Atmospheric Temperature Prediction Based on a BiLSTM-Attention Model
Abstract
1. Introduction
- (1)
- Firstly, by extracting time series information in both directions through a bidirectional long short-term memory network with symmetry, the problem of forward and backward time dependence of series data is well solved, and more accurate prediction results can be obtained through the training of the neural network.
- (2)
- Secondly, by adding an attention mechanism to the network and using it to reasonably allocate the attention resources in the model, the impact of key sequence information on the prediction results during temperature prediction is highlighted.
2. Literature Review
3. Dataset Construction and Data Quality Improvement
3.1. Data Sources and Their Visualization
3.2. Data Cleaning
3.2.1. Removing Invalid Attributes
3.2.2. Fill Missing Values
3.3. Feature Importance Analysis
3.4. Data Normalization Process
4. Temperature Data Series Prediction Method
4.1. BiLSTM Network
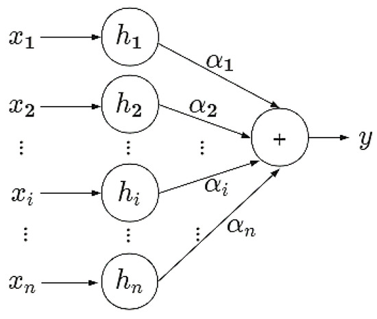
4.2. Attentional Mechanisms
4.3. BiLSTM-Attention Model
- (1)
- Input layer: This refers to the input feature vectors. The input layer of this paper focuses on pre-processing the atmospheric temperature datasets into the form of feature vectors that can be directly accepted and processed by the BiLSTM layer.
- (2)
- BiLSTM layer: The BiLSTM layer consists of forward and backward LSTM layers, which have the role of capturing the information features before and after. The forward LSTM layer computation vector is denoted as ( =1,2,…,n), and the backward LSTM layer computation vector is denoted as ( =1,2,…,n), which yields the output of the BiLSTM layer at moment t, as follows.In the above equation, α and β are constants and the sum of α and β is 1.
- (3)
- Attention layer: In temperature data prediction, the neural network is trained to focus on certain key features through the attention mechanism, the core of which is the weight coefficient. The first step is to learn the importance of each feature, and then assign the corresponding weight to each feature according to the importance. Equation (9) enables the transition from the input initial state to the new attention state, after which the final output state vector is obtained through Equation (10). Finally, is integrated with the dense layer as an output value input into the final output layer.
- (4)
- Output layer: The input into the output layer is the output of the attention mechanism layer in the implicit layer, which in this paper is mainly the set of predicted -vectors of atmospheric temperature.
5. Temperature Data Prediction Based on BiLSTM-Attention Model
5.1. Experimental Materials
5.1.1. Experimental Datasets
5.1.2. Experimental Environment
5.2. Input and Output Variables
- (1)
- Model input: The model input is the input data . represents the indicator data at moment , and consists of a set of multiple factors selected to satisfy the variation in the influencing temperature. The change in continuous values in at moment in the future is fitted by the current indicator value at moment . The data from moment and moment form the temporal input variable . The formula is calculated as follows. In this experiment, the input variables of the model are: PM2.5, PM10, SO2, NO2, CO, O3, PRES, DEWP, RAIN, and WSPM.
- (2)
- Model output: The model output is the prediction result , a one-dimensional array of predictions. In this experiment, the output variable of the model is temperature.
5.3. Optimizer Selection
5.4. Model Parameters Configuration
5.5. Model Training Process
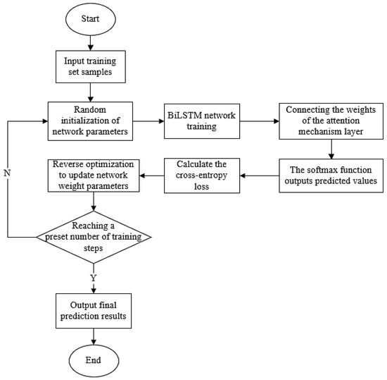
- (1)
- Input a training set sample of size 27,245 × 5 × 11, with a step size of 5 and a dimension of 11.
- (2)
- Randomly initialize model parameters, including dropout, learning rate, epoch, etc.
- (3)
- The training data are learned by BiLSTM and the feature vector of (none, 5, 11) is output, connecting the weights of the temporal states by the attention mechanism layer, and finally, the prediction result of the atmospheric temperature value is output by the softmax function.
- (4)
- The output predictions are compared with the true labels to calculate the cross-entropy loss, and the weight parameters in the network are updated by the ADAM optimizer to calculate the error loss gradient reverse optimization according to the set learning rate size.
- (5)
- Repeat the model training process (1)–(4) over and over again according to the number of training steps.
5.6. Predictive Effectiveness Evaluation
5.6.1. Loss Curve
5.6.2. Visualization of Prediction Results
5.6.3. Comparative Testing of Models
5.7. Discussion
6. Conclusions
- (1)
- The proposed BiLSTM-Attention model enables the model to efficiently extract feature data in a specific time step through a bidirectional LSTM network structure while retaining complete information between the past and the future. It then continuously and dynamically adjusts the weight values of different channels based on the attention mechanism, which in turn enables efficient allocation of computational resources, and can effectively improve the model’s temperature prediction accuracy.
- (2)
- The model is used for temperature data prediction and compared with BiLSTM, LSTM-Attention, and LSTM models, and it was found that the proposed BiLSTM-Attention model has the highest prediction accuracy and the lowest error, reduced by 0.72%, 0.41%, and 1.24%, respectively; the R2 value reached 0.9618, which improved by 2.73%, 1.23%, and 4.98% compared with BiLSTM, LSTM-Attention, and LSTM, respectively. Thus, it is shown that the BiLSTM-Attention model has good theoretical value and practical application significance, and can provide better solutions in the field of temperature prediction.
- (1)
- Consider using more efficient and fast hyperparameter optimization methods to optimize the model parameters to obtain a more suitable parameter configuration for the temperature prediction domain.
- (2)
- In future research, more regional temperature datasets should be collected for a more complete prediction analysis to make the model more reliable and adaptable.
- (3)
- More detailed comparison experiments can be attempted in future studies to prove the superiority of the model.
Author Contributions
Funding
Data Availability Statement
Conflicts of Interest
References
- Wang, D.; Cao, Z.; Chen, B.; Ni, Y. Multivariate Time Series Local Support Vector Regression Forecast Methods for Daily Temperature. J. Syst. Simul. 2016, 28, 654–660. [Google Scholar]
- Zhu, J.; Zhao, X.; Wu, S.; Hui, W.; Xing, C.; Center, H.C. Temperature Forecast Model Based on Support Vector Machine Method. Nat. Sci. J. Hainan Univ. 2016, 34, 40–44. [Google Scholar]
- Cong, L.; Cai, J. The Application of Auto-Regressive and Moving Average Model in Harbin Temperature Fore-cast. Math. Pract. Theory 2012, 42, 190–195. [Google Scholar]
- Zhang, W.Y.; Xie, J.F.; Wan, G.C.; Tong, M.S. Single-step and Multi-step Time Series Prediction for Urban Temperature Based on LSTM Model of TensorFlow. In Proceedings of the 2021 Photonics & Electromagnetics Research Symposium (PIERS), Hangzhou, China, 21–25 November 2021; pp. 1531–1535. [Google Scholar]
- Ma, D.; Ma, S.; Chen, Q.; Yang, C. Temperature Prediction Algorithm based on Spatio-temporal Prediction. In Proceedings of the 2022 IEEE 25th International Conference on Computer Supported Cooperative Work in Design (CSCWD), Hangzhou, China, 4–6 May 2022; pp. 151–157. [Google Scholar]
- Choi, H.-M.; Kim, M.-K.; Yang, H. Abnormally High Water Temperature Prediction Using LSTM Deep Learning Model. J. Intell. Fuzzy Syst. 2021, 40, 8013–8020. [Google Scholar] [CrossRef]
- Kun, X.; Shan, T.; Yi, T.; Chao, C. Attention-based long short-term memory network temperature prediction model. In Proceedings of the 2021 7th International Conference on Condition Monitoring of Machinery in Non-Stationary Operations (CMMNO), Guangzhou, China, 11–13 June 2021; pp. 278–281. [Google Scholar]
- Park, I.; Kim, H.S.; Lee, J.; Song, C.H. Temperature prediction using the missing data refinement model based on a long short-term memory neural network. Atmosphere 2019, 10, 718. [Google Scholar] [CrossRef]
- Wang, X.; Li, Z.; Zhang, J.; Liu, H.; Qiu, C.; Cai, X. An LSTM-attention wind power prediction method considering multiple factors. In Proceedings of the 8th Renewable Power Generation Conference (RPG 2019), Shanghai, China, 24–25 October 2019; IET: London, UK, 2019; pp. 1–7. [Google Scholar]
- Cao, Z. Daily Temperature and Drought Index Support Vector Regression Prediction Methods. Master’s Thesis, Nanjing University of Information Engineering, Nanjing, China, 2015. [Google Scholar]
- Jiang, W.; Wang, Y.; Hao, X.; Li, F. Application of Decision Tree in Temperature Predicition. Comput. Appl. Softw. 2012, 29, 141–144. [Google Scholar]
- Dan, Y.; Dong, R.; Cao, Z.; Li, X.; Niu, C.; Li, S.; Hu, J. Computational prediction of critical temperatures of superconductors based on convolutional gradient boosting decision trees. IEEE Access 2020, 8, 57868–57878. [Google Scholar] [CrossRef]
- Tao, H.; Junjie, L.; Yu, S.; Yongjian, C.; Zhenyu, L. Predictive analysis of indoor temperature and humidity based on BP neural network single-step prediction method. In Proceedings of the 2020 IEEE 3rd International Conference on Information Systems and Computer Aided Education (ICISCAE), Dalian, China, 27–29 September 2020; pp. 402–407. [Google Scholar]
- Zhou, H.; Li, H.; Sun, X.; Yan, W. A Temperature Forecasting Model of Grey-Markov Based on Seasonal Index. Math. Pract. Theory 2016, 46, 167–173. [Google Scholar]
- Raviprasad, S.; Angadi, N.A.; Kothari, M. Tree Based Models for Critical Temperature Prediction of Superconductors. In Proceedings of the 2022 3rd International Conference for Emerging Technology (INCET), Belgaum, India, 27–29 May 2022; pp. 1–5. [Google Scholar]
- Hou, H. Global Climate Change Prediction Model Based on BP Neural Network. Sci. Technol. Innov. 2021, 9, 10–11. [Google Scholar]
- Qi, C.; Wenbiao, W.; Siyuan, W. Application of indoor temperature prediction based on SVM and BPNN. In Proceedings of the 27th Chinese Control and Decision Conference (2015 CCDC), Qingdao, China, 23–25 May 2015; pp. 2883–2887. [Google Scholar]
- Xu, B.; Dan, H.C.; Li, L. Temperature prediction model of asphalt pavement in cold regions based on an improved BP neural network. Appl. Therm. Eng. 2017, 120, 568–580. [Google Scholar] [CrossRef]
- Zhang, K.; Guliani, A.; Ogrenci-Memik, S.; Memik, G.; Yoshii, K.; Sankaran, R.; Beckman, P. Machine learning-based temperature prediction for runtime thermal management across system components. IEEE Trans. Parallel Distrib. Syst. 2017, 29, 405–419. [Google Scholar] [CrossRef]
- Yang, L.; Shang, L.; Yang, L. Improved Prediction of Markov Chain Algorithm for Indoor Temperature. In Proceedings of the 2016 International Symposium on Computer, Consumer and Control (IS3C), Xi’an, China, 4–6 July 2016; pp. 809–812. [Google Scholar]
- Kim, M.; Yang, H.; Kim, J. Sea surface temperature and high water temperature occurrence prediction using a long short-term memory model. Remote Sens. 2020, 12, 3654. [Google Scholar] [CrossRef]
- Qiu, R.; Wang, Y.; Rhoads, B.; Wang, D.; Qiu, W.; Tao, Y.; Wu, J. River water temperature forecasting using a deep learning method. J. Hydrol. 2021, 595, 126016. [Google Scholar] [CrossRef]
- Suleman, M.A.R.; Shridevi, S. Short-Term Weather Forecasting Using Spatial Feature Attention Based LSTM Model. IEEE Access 2022, 10, 82456–82468. [Google Scholar] [CrossRef]
- Song, X.; Huang, J.; Song, D. Air quality prediction based on LSTM-Kalman model. In Proceedings of the 2019 IEEE 8th Joint International In-formation Technology and Artificial Intelligence Conference (ITAIC), Chongqing, China, 24–26 May 2019; IEEE: New York, NY, USA, 2019; pp. 695–699. [Google Scholar]
- Liu, J.; Zhang, T.; Han, G.; Gou, Y. TD-LSTM: Temporal dependence-based LSTM networks for marine temperature prediction. Sensors 2018, 18, 3797. [Google Scholar] [CrossRef] [PubMed]
- Yu, T.; Pei, L.; Li, W.; Sun, Z.Y.; Huyan, J. Prediction of Pavement Surface Condition Index Based on Random Forest Algorithm. J. Highw. Transp. Res. Dev. 2021, 38, 16–23. [Google Scholar] [CrossRef]
- Aziz, N.; Abdullah, M.H.A.; Zaidi, A.N. Predictive Analytics for Crude Oil Price Using RNN-LSTM Neural Network. In Proceedings of the 2020 International Conference on Computational Intelligence (ICCI), Bandar Seri Iskandar, Malaysia, 8–9 October 2020; IEEE: New York, NY, USA, 2020; pp. 173–178. [Google Scholar]
- Chandriah, K.K.; Naraganahalli, R.V. RNN/LSTM with modified Adam optimizer in deep learning approach for automobile spare parts demand forecasting. Multimed. Tools Appl. 2021, 80, 26145–26159. [Google Scholar] [CrossRef]
- Chen, D.; Zhang, J.; Jiang, S. Forecasting the short-term metro ridership with seasonal and trend decomposition using loess and LSTM neural networks. IEEE Access 2020, 8, 91181–91187. [Google Scholar] [CrossRef]
- Zhao, G.; Jiang, P.; Lin, T. Remaining Life Prediction of Rolling Bearing Based on CNN-BiLSTM Model with Attention Mechanism. Mech. Electr. Eng. Mag. 2021, 38, 1253–1260. [Google Scholar]
- Cheng, Q.; Li, H.; Wu, Q.; Meng, F.; Xu, L.; Ngan, K.N. Learn to Pay Attention Via Switchable Attention for Image Recognition. In Proceedings of the 2020 IEEE Confer-ence on Multimedia Information Processing and Retrieval (MIPR), Shenzhen, China, 6–8 August 2020; IEEE: New York, NY, USA, 2020; pp. 291–296. [Google Scholar]
- Mahato, N.K.; Dong, J.; Song, C.; Chen, Z.; Wang, N.; Ma, H.; Gong, G. Electric Power System Transient Stability Assessment Based on Bi-LSTM Attention Mechanism. In Proceedings of the 2021 6th Asia Conference on Power and Electrical Engineering (ACPEE), Chongqing, China, 8–11 April 2021; IEEE: New York, NY, USA, 2021; pp. 777–782. [Google Scholar]
- Liu, J.; Liu, J.; Luo, X. Research Progress in Attention Mechanism in Deep Learning. Chin. J. Eng. 2021, 43, 1499–1511. [Google Scholar]
- Zhai, M. Research on the Prediction Effect of LSTM/BILSTM-ARMA Model Based on Signal Decomposition for Influenza in Shanxi Province. Shanxi Medical University: Taiyuan, China, 2021. [Google Scholar]
- Pei, L.; Sun, Z.; Hu, Y.; Li, W.; Gao, Y.; Hao, X. Neural Network Model for Road Aggregate Size Calculation Based on Multiple Features. J. South China Univ. Technol. 2020, 48, 77–86. [Google Scholar]


















| Literature | Method | Overall Evaluation of the Method |
|---|---|---|
| [17] | Grey-Markov | Combining longitudinal and cross-sectional analysis for non-stationary data prediction, but the method is traditional and the accuracy is not high. |
| [18] | Decision Trees | Multiple conventional and non-conventional models are used for superconductor critical temperature prediction, demonstrating the benefits of decision trees, however, the prediction accuracy needs to be improved. |
| [19] | BP | A wide range of atmospheric factors affecting temperature change are considered to predict climate conditions over the next 25 years, but the method is single and the accuracy needs to be improved. |
| [20] | SVM | A support vector machine SVM model for indoor temperature prediction is shown to outperform a back propagation neural network BPNN model, but the model is traditional, the contrast is single. |
| [22] | LSTM | Neural networks predict daily water temperatures and quantify trends, resulting in a significant improvement over traditional models, however, the model is single and the feature extraction is not sufficient. |
| [23] | LSTM-Attention | Accurately capture the spatial and temporal relationships of multiple meteorological features, but the feature extraction is not sufficient. |
| [24] | LSTM-Kalman | Kalman filtering added to data series processing, however, the data features are not sufficiently extracted and the prediction accuracy needs to be verified. |
| [25] | TD-LSTM | A time-varying parameter matrix based on the fusion of historical observations is proposed, but more models need to be compared and the accuracy can be further improved. |
| No | Year | Month | Day | Hour | PM2.5 | PM10 | SO2 | NO2 | CO | O3 | PRES | DEWP | RAIN | WSPM | TEMP | Station |
|---|---|---|---|---|---|---|---|---|---|---|---|---|---|---|---|---|
| 1 | 2013 | 3 | 1 | 0 | 6 | 6 | 4 | 8 | 300 | 81 | 1024.5 | −21.4 | 0 | 5.7 | −0.5 | Tiantan |
| 2 | 2013 | 3 | 1 | 1 | 6 | 29 | 5 | 9 | 300 | 80 | 1025.1 | −22.1 | 0 | 3.9 | −0.7 | Tiantan |
| 3 | 2013 | 3 | 1 | 2 | 6 | 6 | 4 | 12 | 300 | 75 | 1025.3 | −24.6 | 0 | 5.3 | −1.2 | Tiantan |
| 4 | 2013 | 3 | 1 | 3 | 6 | 6 | 4 | 12 | 300 | 74 | 1026.2 | −25.5 | 0 | 4.9 | −1.4 | Tiantan |
| 5 | 2013 | 3 | 1 | 4 | 5 | 5 | 7 | 15 | 400 | 70 | 1027.1 | −24.5 | 0 | 3.2 | −1.9 | Tiantan |
| Features | Eigenvalue Meaning |
|---|---|
| PRES | Atmospheric pressure intensity |
| DEWP | Dew point temperature |
| RAIN | Rainfall |
| WSPM | Wind speed |
| TEMP | Atmospheric temperature |
| Station | Five stations |
| Model Evaluation Metrics | Equation | Evaluation Criteria |
|---|---|---|
| MAE | Average absolute error, the more the value tends to 0, the better the model. | |
| MSE | Mean square error, the more the value tends to 0, the better the model. | |
| MAPE | Average absolute percentage error, the more the value tends to 0, the better the model. | |
| R2 | Linear correlation coefficient, the more the value tends to 1, the better the model. |
| Configuration Items | Configuration Conditions |
|---|---|
| Software environment | Pycharm, Jupyter Notebook |
| Hardware environment | Win10, GPU, 8 GB of memory, GTX960M graphics card |
| Language | Python |
| Frames | Keras |
| Evaluation indicators | MAE, MSE, MAPE, R2 |
| Model Parameters | Meaning | Takes Values |
|---|---|---|
| window | Frames the time series according to the specified unit length, i.e., the size of the sliding window. | 5 |
| lstm_units | Dimensions of the hidden layers within the LSTM cell. | 16 |
| learning_rate | Learning rate, which is negatively correlated with model training time, the higher the learning rate the shorter the training time. | 0.001 |
| dropout | The activation values of neurons stop working with a certain probability value, making the model more generalizable. | 0.01 |
| epoch | Number of training rounds. | 500 |
| input_size | Number of features of the input variable x. | 11 |
| output_size | Number of output variables y. | 1 |
| batch_size | Number of samples selected for one training session. | 256 |
| optimizer | Faster model learning and faster model convergence. | ADAM |
| Contrast Model | Training Set | Test Set | Training Time/s | ||||||
|---|---|---|---|---|---|---|---|---|---|
| R2 | MAE/°C | MSE/°C | MAPE/°C | R2 | MAE/°C | MSE/°C | MAPE/°C | ||
| BiLSTM-Attention | 0.9922 | 0.0117 | 0.0003 | 3.5886 | 0.9618 | 0.0130 | 0.0004 | 4.2370 | 204 |
| LSTM-Attention [23] | 0.9884 | 0.0161 | 0.0004 | 3.6735 | 0.9495 | 0.0171 | 0.0006 | 5.0966 | 210 |
| BiLSTM [34] | 0.9875 | 0.0159 | 0.0005 | 4.4780 | 0.9345 | 0.0202 | 0.0007 | 7.0559 | 207 |
| LSTM [22] | 0.9809 | 0.0214 | 0.0007 | 4.9403 | 0.9120 | 0.0254 | 0.0010 | 7.4216 | 207 |
| Stations | Training Set | Test Set | ||||||
|---|---|---|---|---|---|---|---|---|
| R2 | MAE/°C | MSE/°C | MAPE/°C | R2 | MAE/°C | MSE/°C | MAPE/°C | |
| Changping | 0.9886 | 0.0145 | 0.0004 | 3.3236 | 0.9632 | 0.0132 | 0.0004 | 4.5364 |
| Dingling | 0.9886 | 0.0144 | 0.0004 | 3.4486 | 0.9600 | 0.0143 | 0.0005 | 4.8303 |
| Tiantan | 0.9922 | 0.0117 | 0.0003 | 3.5886 | 0.9618 | 0.0130 | 0.0004 | 4.2370 |
| Huairou | 0.9905 | 0.0127 | 0.0004 | 2.8664 | 0.9649 | 0.0138 | 0.0004 | 4.2658 |
| Shunyi | 0.9904 | 0.0137 | 0.0004 | 3.4345 | 0.9691 | 0.0122 | 0.0004 | 4.1956 |
| Mean | 0.9900 | 0.0134 | 0.0004 | 3.3323 | 0.9638 | 0.0133 | 0.0004 | 4.4130 |
Publisher’s Note: MDPI stays neutral with regard to jurisdictional claims in published maps and institutional affiliations. |
© 2022 by the authors. Licensee MDPI, Basel, Switzerland. This article is an open access article distributed under the terms and conditions of the Creative Commons Attribution (CC BY) license (https://creativecommons.org/licenses/by/4.0/).
Share and Cite
Hao, X.; Liu, Y.; Pei, L.; Li, W.; Du, Y. Atmospheric Temperature Prediction Based on a BiLSTM-Attention Model. Symmetry 2022, 14, 2470. https://doi.org/10.3390/sym14112470
Hao X, Liu Y, Pei L, Li W, Du Y. Atmospheric Temperature Prediction Based on a BiLSTM-Attention Model. Symmetry. 2022; 14(11):2470. https://doi.org/10.3390/sym14112470
Chicago/Turabian StyleHao, Xueli, Ying Liu, Lili Pei, Wei Li, and Yaohui Du. 2022. "Atmospheric Temperature Prediction Based on a BiLSTM-Attention Model" Symmetry 14, no. 11: 2470. https://doi.org/10.3390/sym14112470
APA StyleHao, X., Liu, Y., Pei, L., Li, W., & Du, Y. (2022). Atmospheric Temperature Prediction Based on a BiLSTM-Attention Model. Symmetry, 14(11), 2470. https://doi.org/10.3390/sym14112470
