Abstract
Metal/lipase-combo catalyzed dynamic kinetic resolution (DKR) of racemic chiral alcohols is a general and practical process to obtain the corresponding enantiopure esters R with quantitative conversion. The use of known Ru-catalysts as well as newly developed homogeneous and heterogeneous metal catalysts (Fe, V) contributed to make the DKR process more sustainable and to expand the substrate scope of the reaction. In addition to classical substrates, challenging allylic alcohols, tertiary alcohols, C1-and C2-symmetric biaryl diols turned out to be competent substrates. Synthetic utility further emerged from the integration of this methodology into cascade reactions leading to linear/cyclic chiral molecules with high ee through the formation of multiple bonds, in a one-pot procedure.
1. Introduction
Two enantiomers of a chemical compound may have different biological activity resulting from the interaction with chiral environment in biological systems. Thus, it is highly desirable to have easy access to enantiomerically pure molecules which find application as pharmaceuticals, agrochemicals, flavors and fragrances. Many of them originate from alcohols and a lot of work has been done to develop efficient methods for their synthesis in enantioenriched form [1].
Catalytic asymmetric synthesis is based on the enantioselective construction of a new stereocenter by using a chiral catalyst. The biocatalytic reduction of prochiral ketones in the presence of ketoreductases is an example of the enzymatic approach while the hydrogenation reaction of the same substrates catalyzed by chiral transition-metal complexes well represents the chemical strategy [2,3]. Other asymmetric transformations utilize racemates which are often easier and cost-effective to synthesize. In this case, the transformations can proceed through kinetic resolution promoted by an artificial chiral catalyst or an enzyme [4,5]. In industry the predominant method to access enantiomerically pure products is still the kinetic resolution (KR) of racemates promoted by enzymes [4,5]. Lipases are widely used in the KR of racemic alcohols: they catalyze either hydrolysis reaction or ester synthesis even in the presence of organic solvents [5,6]. The chiral enzyme preferentially reacts with the R-enantiomer of a racemic alcohol which can be transformed at a higher rate (kR >> kS) (Scheme 1a). Kinetic resolution proceeds with high enantioselectivity when the difference in the enantiomer reaction rates, namely the enantiomeric ratio E (kR/kS), is ≥100.
Scheme 1.
(a) Kinetic resolution. (b) Dynamic kinetic resolution.
Lipase enantioselectivity can be rationalized considering their active site which is formed by a “catalytic triad” including residues of a serine, a histidine and an aspartate (Scheme 2a) [5,6]. The enantioselective esterification of a racemic secondary alcohol occurs in the presence of an ester acting as an acyl donor. The latter interacts with the OH serine residue made more nucleophilic by H-bonding interactions. Then, the resulting acyl-enzyme intermediate preferentially reacts with the (R)-enantiomer which fits better in the active site (Scheme 2b). The substituents bonded to the stereocenter of the substrate are placed in two different pockets depending on their size: the medium-sized substituent (M) is located inside the stereospecificity pocket, while the large one (L) points towards the entrance of the active site [7,8,9]. The transesterification reaction leads to the corresponding (R)-ester and free enzyme, ready for a new cycle.
Scheme 2.
(a) Mechanism of alcohol acylation catalyzed by lipase. (b) Favored (R)-enantiomer. M stands for a medium substituent; L stands for a large substituent.
The (R)-ester can be obtained with a maximum yield of 50%. This limitation can be overcome when the lipase-catalyzed transesterification is combined with the fast and continuous in situ interconversion of the less reactive (S)-enantiomer into the more reactive one (Scheme 1b). Racemization is normally an undesired reaction in asymmetric synthesis, but its combination with a resolution process may become a powerful method called dynamic kinetic resolution (DKR). The latter is effective when the rate of racemization of the unwanted (S)-enantiomer is faster than the rate of transesterification (krac > kS). In this case, the (R)-ester can be obtained with a theoretically 100% yield (Scheme 1b).
Different racemization methods employing bases, acids or enzymes as catalysts have been developed in accordance with the type of substrate used. A key-point for the success of the DKR is the compatibility between the two catalysts and the conditions (temperature and pH) required for both the kinetic resolution of the racemate and the catalytic enantiomer racemization. Alcohols easily undergo racemization in the presence of metal catalysts (Al, Ir, Ru, Rh, Pd). After the pioneering works of Williams and Bäckvall [10,11], a number of homogeneous and heterogeneous transition metal-based catalysts [12,13] have been developed and employed as co-catalysts in the DKR of a variety of racemic chiral alcohols (Scheme 3) [14,15,16,17].
Scheme 3.
Selected examples of effective catalysts (homogeneous and heterogeneous) for alcohol racemization. ‒2BArF = tetrakis[3,5]-bis(trifluoromethyl)phenyl]borate.
In addition to the initially used enzymes, various synthetic metal complexes were recently applied as single catalysts to promote dynamic kinetic processes [18]. For instance, chiral palladium complexes were reported to catalyze both the KR of a racemic substrate and the rapid racemization of the slow reacting enantiomer leading to the same enantiomerically enriched alcohol derivative [19]. It is important to mention that the desymmetrization of racemates can also occur through different paths including dynamic kinetic asymmetric transformations (DYKATs) and direct enantio-convergent transformations (DETs). A DYKAT proceeds through the irreversible symmetrization of the racemic substrate leading to a prochiral intermediate [20]. Finally, a DET of a racemate into a single chiral alcohol or its derivative implies that each of the two enantiomers reacts through different pathways [21,22].
This review covers the applications of metal/lipase co-catalyzed DKR methodology in the synthesis of enantiopure esters from 2017 to 2021, with a focus on new transition-metal catalysts as well as challenging chiral alcohols used (Section 2 and Section 3). The development of cascade reactions including DKR is an attractive field which has not yet been extensively exploited. Simple racemic alcohols could be transformed into more complex, optically active molecules in a one-pot operation. Section 4 collects the examples reported from 2000 to 2021 to show how this strategy has been evolving during the time. Section 5 reports some details about the mechanism of alcohol racemization which may be useful to the reader.
2. DKR of Alcohols Co-Catalyzed by Homogeneous Catalysts (Ru, Fe)
The development and application of new redox catalysts may improve the scope of the reaction. In 2019, Park and Kim reported that Ru-Complex 3 enabled the selective racemization of several secondary alcohols including α-substituted allylic alcohols. They were quantitatively transformed into the corresponding esters in the presence of LPL-D1, a lipoprotein lipase from Burkholderia species (Scheme 4) [23]. It is to note that the DKR of α-substituted allylic alcohols co-catalyzed by ruthenium redox-catalysts may be less selective as the substrates can undergo a competitive metal-catalyzed double bond isomerization leading to the corresponding saturated ketones (see Section 5) [24,25]. Apparently, this side-reaction is favored in the presence of a base usually used as an additive [12,13]. Interestingly, the unique feature of Precatalyst 3 is that its employment does not require any base (see Section 5).
Scheme 4.
DKR of α-arylallyl alcohols. LPL-D1: anionic surfactant-treated lipoprotein lipase. IPA: isopropenyl acetate. MS: molecular sieves.
Sustainable metal catalysis relies on the use of inexpensive, abundant and non-toxic metals. Among them, iron is the most abundant in earth’s upper crust [26]. Most of the examples of DKR are co-catalyzed by homogeneous metal complexes containing precious metals. In the last ten years, the development of homogeneous catalysts based on biorelevant metals capable of promoting a variety of reactions including oxidation and reduction has become a hot topic [27]. However, their integration in a DKR process may be demanding because of the incompatibility with the biocatalytic system [28]. In 2016, Rueping and coworkers found that iron Complex 6 is a competent co-catalyst in the DKR of racemic secondary alcohols using commercially available immobilized lipase B from Candida antarctica CAL-B (Novozym® 435) and p-chlorophenylacetate, as the acyl donor (14 examples, 68–95% yield, 92–99% ee) (Scheme 5a) [29]. It is to note that in comparison to precious metal catalysts, iron complexes turned out to be less reactive and the corresponding co-catalyzed DKR occurred at higher temperature (60 °C). Catalyst 6, which is sensitive to air and moisture, was replaced with the stable and easy to handle Complex 7 by Bäckvall, in 2017 (Scheme 5b) [30]. The latter is a precatalyst and can be activated in situ through an oxidative partial decarbonylation of the iron centre promoted by Me3NO (Scheme 5). An inorganic base and a catalytic amount of the ketone intermediate were also needed to make the racemization reaction more efficient. Racemic 1-arylethanols bearing p-halogen, CF3 and MeO substituents were quantitatively transformed into the corresponding enantioenriched acetates in fair to good selectivity (nine examples, 62–83% yield, 95–99% ee). Interestingly, no additives were required when tricarbonyl(cyclopentadienone)iron Complexes 8 (Ar: Ph, 4-MeOC6H4) were employed (Scheme 5c) [31]. Moderate to high conversions of a variety of secondary aliphatic and benzyl alcohols were obtained, under DKR conditions (18 examples, esters R: 42–94% yield, 82–99% ee).
Scheme 5.
Iron-catalyzed DKR of chiral secondary alcohols. TMS: trimethylsilyl group. Ar: 4-MeOC6H4.
Kinetic resolution is highly selective with centrochiral molecules as lipases, typically CAL-B, can differentiate the geometry of tetrahedral carbon centers. Aryl or heteroaryl alkyl (Me, Et) carbinols, aryl-substituted propargylic alcohols, 1,2-diarylethanols and benzoins are substrates that give excellent results in terms of selectivity when subjected to the DKR process [14,15,16,17]. The reaction is less effective when secondary aryl carbinols contain alkyl groups which are branched in the α, β, or γ position, as they do not fit well in the medium-sized pocket. The DKR of simple secondary aliphatic alcohols as well as those bearing additional functional groups (CN, Cl, N3, ester, phosphate, amides, ether) proceeds with moderate to excellent selectivities, in some cases being sensitive to the length of the alkyl chain or to the presence of a branched alkyl group. Among centrochiral molecules, α-allenic alcohols of Type I still represent an unsolved problem in chemoenzymatic resolution (Scheme 6). Lipase IL1-PS (IL1-supported lipase PS) could promote selective KR, but none of the commonly used Ru-complexes turned out to be an effective racemization catalyst for such compounds [32].
Scheme 6.
Challenging substrates for dynamic kinetic resolution process.
The potential of lipases in the synthesis of chiral esters is not limited to C-centrochiral alcohols. Planar chiral macrocycle III (R1: Br, 80%, 99% ee) was recently synthesized through an atroposelective macrocyclization of prochiral primary diol with a diester in the presence of CAL-B as a catalyst [33]. Nevertheless, axially planar or helically chiral alcohols have been less exploited as potential substrates for DKR. A rare example is the chemoenzymatic synthesis of the (R)-ester of axially chiral primary allenic alcohol II with vinyl butyrate, using a dimeric N-heterocyclic carbene palladium complex and porcine pancreatic lipase, as co-catalysts (83% yield and 89% ee) [34].
In 2018, Akai and coworkers reported the first synthesis of axially chiral 2,2′-dihydroxy-1,1′-biaryls through the DKR of the corresponding racemates followed by the hydrolysis of the ester intermediates (Scheme 7) [35]. Co-catalysis of the immobilized Pseudomonas sp. lipoprotein lipase and Complex 2 (R = Ph) led to the optically active biphenol or binaphthol derivatives in fair to excellent yields and enantioselectivity (16 examples, 61–98% yield, 86–98% ee). Lower yields were obtained in the presence of electron-deficient substituents (Br, ester and alkyl groups). Apparently, the racemization occurs through a redox mechanism involving a radical intermediate which represents a novelty in the case of Catalyst 2 (see Section 5). Optically active C1- and C2-symmetric atropoisomeric biphenol or binaphthol derivatives are used as building blocks for natural product and chiral ligand synthesis. This approach is a good alternative to conventional procedures based on the metal-catalyzed enantioselective oxidative coupling of 2-naphthol or biphenol derivatives [36].
Scheme 7.
DKR of 2,2-dihydroxy-1,1′-biaryls: selected examples.
3. DKR of Alcohols Co-Catalyzed by Heterogeneous Catalysts (V, Pd)
Almost any type of catalytic species can be immobilized on heterogeneous supports which should be: (a) inert to avoid unwanted side reactions decreasing the yield of the desired product, (b) highly stable over a wide range of reaction conditions to enable the re-use of the catalyst [17]. Then, the development of DKR protocols with efficient and reusable catalysts would be highly desirable. Heterogeneous vanadium catalysts are still playing a central role in the chemoenzymatic resolution of alcohols (Scheme 3) [37]. Vanadium is a biorelevant metal, being abundant in nature and relatively low toxic. In 2006, Akai and Kita began to use homogeneous oxovanadium species 9 as a racemization catalyst (see Section 5) in combination with Novozym® 435 [38]. However, improved racemization activity was obtained when the homogeneous species was covalently attached to the inner surface of a neutral solid carrier such as mesoporous silica (MPS) [39]. The resulting heterogeneous Catalyst 10 was employed in the DKR of various chiral secondary alcohols including allylic alcohols [40].
The development of enantioselective synthesis of tertiary alcohols is a challenge in organic synthesis [41]. The application of the DKR method relies on the availability of an efficient racemization method and its compatibility with the enzyme. As the racemization of tertiary alcohols cannot be achieved through a catalytic redox process, an alternative way could be based on the cleavage of the C-O bond leading to a carbocation as an intermediate (see Section 5). Recently, tertiary alcohols have been reported to undergo complete and selective racemization in the presence of an acidic resin material, but no data are available about the combination with a lipase [42]. Remarkably, in 2020 Akai and Gröger found that V-MPS triggered the racemization of (S)-1,2,3,4-tetrahydronaphthalene-1-ol (25 °C, 24 h, 44%→16% ee) [43]. The co-catalyzed DKR of the tertiary alcohol in the presence of CAL-A from Candida antartica lipase A and vinyl acetate led to the desired (R)-acetate in 77% yield and excellent ee value (>99%) (Scheme 8). Stepwise addition of both the catalysts during the reaction allowed to overcome the inactivation of the enzyme due to long reaction times (312 h).
Scheme 8.
DKR of a tertiary alcohol.
The DKR of propargylic alcohols carried out in (trifluoromethyl)benzene or MeCN as solvents, led to the corresponding (R)-esters with high selectivity (15 examples, 70–99%, 81–99% ee) (Scheme 9) [44]. The choice of the solvent was crucial to reduce or totally suppress the formation of the unsaturated aldehyde which can form as a by-product. Propargyl vanadate (S) which is involved in the racemization of the alcohol could transform into the allenyl-vanadate intermediate through Meyer–Schuster rearrangement (Scheme 9). Subsequent hydrolysis and the tautomerization of the resulting alcohol led to the undesired aldehyde.
Scheme 9.
DKR of propargylic alcohols: competition between racemization and rearrangement.
Tertiary cyclohexenols were selectively converted into the corresponding secondary allylic esters (R) through dynamic kinetic resolution and 1,3-allylic transposition promoted by Lipase/V-MPS4 as co-catalysts (Scheme 10) [45]. The DKR is the first step of an interesting enantio- and chemo-selective reaction sequence which continues with a Claisen–Ireland rearrangement leading to optically active cycloalkenes bearing all-carbon quaternary centers. They are interesting building blocks used for the synthesis of natural compounds. Reusability of the immobilized lipases and vanadium catalyst made the reaction more efficient and attractive.
Scheme 10.
Dynamic kinetic resolution as a key step in the synthesis of optically active cycloalkenes. PSIM: immobilized Burkholderia cepacia lipase.
Heterogeneous supported catalysts find application in flow reactors for continuously running processes. The use of packed-bed reactors improves the turnover numbers and lifetimes of the catalysts by avoiding their recovery for reuse [46]. They present advantages including better mass and heat transfer, improved safety profiles, easier work-up and accurate control of reaction parameters (temperature, pressure, time). Continuous-flow processes have higher productivity and reproducibility than batch reactions [47]. In 2020, the groups of Gröger and Akai developed the continuous-flow DKR of allylic alcohols. A three-layer packed column containing DualPore silica beads as a filler, and both catalysts with increasing ratio of V-MPS4/CAL-B was used (Scheme 11) [48]. Alcohols were converted after 30–60 min of residence time and the corresponding (R)-esters were isolated in 88–92% yield and 96–99% ee. Noteworthy, the flow DKR of an aromatic allylic alcohol continuously conducted for three days turned out to be highly selective using a lower number of catalysts in comparison to that of batch reaction.
Scheme 11.
Continuous-flow DKR of an allylic alcohol.
A drawback of V-MPS catalyst is the cost of (a) the mesoporous silica matrix used to support the homogeneous vanadium oxide, (b) the procedure for immobilization. In 2020, Milagre and coworkers applied the less expensive hydrated vanadyl sulfate (VOSO4·XH2O) in combination with Novozym® 435 for the DKR of various benzylic alcohols with vinyl decanoate at 50 °C, in heptanes (10 examples, 74–91%, up to 99% ee) [49]. Both the heterogeneous chemo- and biocatalysts could be re-used up to five times without a significant decreasing of the conversion. The catalytic system worked well with benzyl alcohols bearing methyl/ethyl side-chains as they react faster (8 h) than alcohols bearing larger groups. Unfortunately, prolonged reaction time caused catalyst incompatibility thus precluding the success of the reaction.
A chiral benzyl alcohol, namely the (R)-1-(2,6-dichloro-3-fluorophenyl)ethanol is the key-intermediate in the synthesis of Crizotinib (Scheme 12). The continuous flow-DKR of the racemate using Novozym® 435 and VOSO4·XH2O allowed to circumvent the incompatibility between bio- and chemo-catalyst: better conversion was obtained in comparison to batch reaction [50].
Scheme 12.
DKR of 1-(2,6-dichloro-3-fluorophenyl)ethanol, a key-precursor of Crizotinib.
A heterogeneous catalyst based on size-controlled (2.8 nm) palladium nanoparticles highly dispersed on mesoporous silica, as a support (Pd@SBA-15) was synthesized in 2017 by Li and coworkers [51]. The catalyst promoted the complete racemization of (S)-1-phenylethanol in hexane at 70 °C, under H2 pressure (0.03 MPa) and microwave irradiation. The latter was crucial to speed up the racemization on the Pd surface, while an appropriate H2 pressure was needed to prevent the formation of the ketone intermediate (catalytic alcohol oxidation). The co-catalyzed DKR of chiral benzyl alcohols with CAL-B and vinyl acetate worked well independently on the electronic nature of the aromatic substituents (H, Me, Cl, MeO) (2–4 h, up to 89% yield and 99% ee). Both catalysts were easily separated and re-used six times without loss of efficiency. In comparison to zeolites or Ru(OH)3 as co-catalysts, the use of 12 gave similar yield and better enantioselectivity [17].
4. Cascade Synthesis of Complex Molecules including DKR
The synthesis of chiral and achiral complex molecules through one-pot multiple bond formation starting from simple precursors is a goal which has been pursuing for years. The advantages of this strategy are considerable (i.e., product purification, cost, time and effort saving) in comparison to traditional multi-step synthetic procedures. The application of metal-, organo- or bio-catalysis have played a role in developing this type of strategy, whereas, the multi-catalytic approach based on the concurrent activity of different catalysts is a less exploited concept due to possible incompatibilities between the different catalytic systems used [52,53]. The metal/lipase co-catalyzed DKR is a successful example of this type of approach. Coupling DKR and other C-C or C-N bond forming reactions further proves the synthetic potential of the method.
4.1. Reductive Acylation of Ketones
In 2000, Kim and Park developed the first cascade process integrating DKR process: prochiral aliphatic/aromatic ketones were directly transformed into enantiopure chiral acetates, in a single synthetic operation (94–100% yield, 95–99% ee, 8 examples) (Scheme 13a) [54]. The reaction sequence began with the catalytic transfer hydrogenation of the ketone in the presence of the dimeric Catalyst 1 and a H2-donor (2,6-dimethylheptan-4-ol) (see Section 5). Then, the resulting racemic alcohol entered the DKR catalytic cycle catalyzed by Complex 1/CAL-B (Novozym® 435) in the presence of 4-chlorophenyl acetate, thus providing the corresponding enantiopure acetates.
Scheme 13.
Cascade synthesis of chiral acetates.
Switching to enol acetates as substrates led to a more atom-economical reaction sequence as the addition of an external acylating agent could be avoided (Scheme 13a’). Lipase initially triggered the de-acetylation of the substrate leading to the enol and the acetylated lipase. The latter selectively acylated the (R)-alcohol formed by the successive enol tautomerization and transfer hydrogenation of the ketone (8 examples, 80–95% yield, 79–99% ee) [54].
Both the transformations shown in Scheme 13a,a’ turned out to be successful when ketone reduction occurred under hydrogen atmosphere (Scheme 13b,b’) [55]. It is to note that switching from transfer to direct hydrogenation is not obvious. In principle, the racemization process promoted by the oxidizing species (S-o) of the dimeric Catalyst 1 could be disfavored under hydrogen atmosphere.
The reductive acylation of chiral enantiopure β-aminoketone derivatives (R or S) gave the corresponding (2R,4R)- or (2R,4S)-aminoacetates with excellent diastero- and enantioselectivity (up to 98:2, dr 99% ee) confirming the high preference of CAL-B for the (R)-alcohol intermediates (Scheme 14) [56]. Aminoketones substituted by electron-rich or -poor aryl and heteroaryl groups were well tolerated.
Scheme 14.
Reductive acylation of chiral enantiopure β-aminoketone derivatives. PCPA: p-chlorophenylacetate.
It is also to note that Ru-Complex 4 (Scheme 3) was a competent catalyst for the reductive acylation of a small number of aromatic ketones by using iPrOH, as the hydrogen source (four examples, up to 99% yields, 89–99% ee) [57].
The original hydrogenation/DKR cascade process was made more sustainable by applying dual Fe-Complex 6, as the hydrogenation/racemization catalyst (Scheme 15) [58]. A variety of aliphatic, electron-deficient and -rich prochiral aromatic ketones as well as diketones were competent substrates. Oxygen- and sulfur-containing heteroaromatic ketones were applied with success while no results have been reported about the use of the corresponding aza-heterocyclic derivatives. As shown in the scheme, ester enantioselectivity was comparable to that obtained starting from racemic alcohols.
Scheme 15.
Iron-catalyzed reductive acylation of ketone: selected examples. The enantiomeric purity of the esters obtained through DKR of alcohols are reported in parenthesis [29].
The synthesis of (R)-2-acetoxy-1-indanol is a representative example of reductive acylation entirely catalyzed by heterogeneous catalytic systems (Scheme 16) [59]. The regioselective, direct hydrogenation of 1,2-indanedione was catalyzed by Pd/Al2O3 while the dynamic kinetic resolution of the resulting 2-hydroxy-1-indanone occurred using Ru(OH)3, lipase and trifluoroethyl butyrate. The desired product, an interesting building block of pharmaceuticals and chiral catalysts, was obtained in moderate enantioselectivity but with a higher yield in comparison to the traditional isolated batch reaction approach.
Scheme 16.
One-pot synthesis of (R)-2-acetoxy-1-indanol. Lipase AK (from Pseudomonas Fluorescens) immobilized on celite.
4.2. Combining Aldol Reaction and DKR
A number of versatile building blocks such as optically active β-hydroxy esters were obtained in a one-pot process from aldehydes and ethyl acetate (Scheme 17) [60]. Once the aldol reaction (LDA/THF) was complete, the resulting aldol adduct intermediates were subjected to dynamic kinetic resolution by adding 1, Pseudomonas cepacia lipase (PS-C) and p-chlorophenyl acetate. The reaction well tolerated aromatic and aliphatic (R: Bn, Cy) aldehydes, whereas the attempts to synthesize β-hydroxy esters with a methyl group in the α-position failed. The sequence well complements known methods which are unsuitable for the synthesis of simple β-hydroxy esters lacking α-substituents.
Scheme 17.
One-pot enantioselective synthesis of chiral β-hydroxy esters. LDA: lithium diisopropylamide.
4.3. Combining DKR and Intramolecular Cyclizations: Synthesis of Enantiopure Carbo- and Heterocycles
The acyl group installed on the alcohol through chemo-enzymatic DKR in most cases is removed or replaced with another group in the course of subsequent transformations. Interestingly, the use of acrylic esters or organic carbonates, as acyl donors were effective for triggering sequential bond forming transformations after their installation.
The first example of this strategy is the synthesis of enantiopure decalin derivatives developed by Kita and coworkers (Scheme 18) [61]. Cyclic allylic alcohols [R1: H, Me, R1−R1: S−(CH2)3−S] were subjected to DKR with ethoxyvinyl maleate (R: Me, Et), CAL-B and the homogeneous Ru-Complex 5. The latter enabled allylic alcohol racemization with reduced formation of the undesired saturated and unsaturated ketones, as by-products (Scheme 4). The resulting (R)-acrylic esters underwent an in situ intramolecular Diels–Alder reaction. The tricyclic compounds, formed as single diastereomers, are useful chiral intermediates of natural products (i.e., Compactin, Forskolin).
Scheme 18.
Synthesis of optically active polysubstituted decalins.
Akai and coworkers have recently developed the one-pot synthesis of optically active naphtho[2,3-c]furan-1(3H)-one derivatives used in the total synthesis of the alkaloid (-)-himbacine [62,63]. The tricyclic compounds were obtained as a 4/1 diastereomeric mixture (98% ee for each diastereomer) starting from dienols and an acrylic ester as an acylating agent (Scheme 19). The dynamic kinetic resolution co-catalyzed by a heterogeneous vanadium catalyst, allowed for the in-situ construction of a transient triene which easily underwent cyclization leading to the fused cyclic compounds, under reaction conditions.
Scheme 19.
One-pot synthesis of naphtho[2,3-c]furan-1(3H)-one derivatives.
In 2013, Bäckvall developed a multistep synthesis of bioactive 5,6-dihydropyran-2-ones starting from the enantiopure O-acyl esters of homoallylic alcohols obtained by the DKR of the corresponding racemic alcohols by the combined use of CAL-B and 2, as catalysts [16]. In 2019, Koszelewski and coworkers significantly shortened the procedure just switching from isopropenyl acetate to vinyl crotonate as the acyl donor [64] (Scheme 20). The resulting (R)-crotonates of the homoallylic alcohols proved to be good substrates for ring closing metathesis reactions. The sequential addition of the Grubbs catalyst to the reaction mixture promoted the formation of various enantiomerically pure (R)-5,6-dihydropyran-2-ones substituted by electron-rich or -poor aryl and heteroaryl groups at C−6 carbon atom.
Scheme 20.
Synthesis of (R)-5,6-dihydropyran-2-one derivatives.
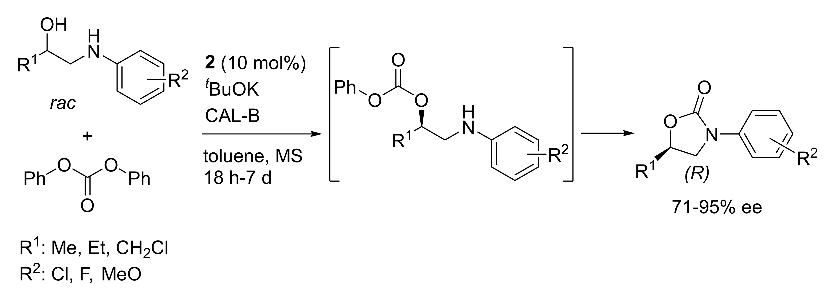
In 2019, Ramström and coworkers reported a novel synthesis of enantiopure, pharmaceutically interesting N-aryloxazolidinone derivatives from chiral 1,2-anilinoalcohols through cascade O- and N-acylation using diphenyl carbonate, CAL-B and 2 (Scheme 21) [65]. Diphenylcarbonate behaving as a double acyl donor was initially involved in the intermolecular esterification under DKR conditions leading to the (R)-O-acylated intermediate. The latter underwent a cyclization through the lipase-catalyzed intramolecular N-acylation. The cyclic products were quantitatively obtained with moderate to high enantioselectivity (9 examples, 71–95 ee).
Scheme 21.
Synthesis of (R)-N-aryloxazolidinones.
5. Metal Catalysts: Racemization Mechanism
The mechanism of alcohol racemization depends on the type of the catalyst used. In general, homogeneous/heterogeneous ruthenium-based catalysts and iron-complexes promote the racemization through a catalytic hydrogen transfer mechanism, as suggested by extensively investigation of the catalytic cycle of some of them. An elimination/addition reaction occurs in the presence of vanadium-based catalysts.
5.1. Ru-Catalysts 2–5
The catalytic cycle of Complex 2 begins with its instantaneous activation promoted by tBuOK with the assistance of the Ru-coordinated CO (Scheme 22a) [13]. Experimental evidences based on X-ray absorption spectroscopy confirmed the formation of the acyl-intermediate 2a [66]. The subsequent alkoxide migration from the carbon atom to the metal produces the catalytically active Complex 2b which undergoes alkoxide/(S)−1-phenylethanol exchange. The reaction proceeds through beta-hydride elimination of metal-coordinated alkoxide 2c. The resulting Ru-hydride Complex 2e forms after the dissociation of a CO ligand as suggested by 13CO exchange studies and DFT investigations [66]. Racemization process continues with hydride re-addition to the Ru-coordinated ketone followed by CO coordination. The racemic ruthenium alkoxide complex (rac)−2c undergoes alcohol/alkoxide exchange leading to the racemic alcohol and 2c ready for a new cycle.
Scheme 22.
(a) Proposed mechanism for the racemization of (S)-1-phenylethanol catalyzed by Complex 2. The box represents a free coordination site; (b) isomerization mechanism of an allylic alcohol catalyzed by 2.
When the substrate is an allylic alcohol, it may be that carbon–carbon double bond isomerization occurs and competes with the racemization reaction (Scheme 22b). In that case hydride re-addition also takes place at the C−C double bond leading to the saturated ketone [24,25]. The resulting O-bound ruthenium enolate species then leads to the saturated ketone. Hydride transfer was found to be facilitated in the presence of a base (strong or weak) [67].
Apparently, the racemization of enantiopure axially chiral compounds catalyzed by 2 occurs through a different mechanism (Scheme 7) [35]. The proposed mechanism begins with the initial oxidation (O2) of the intermediate I (Scheme 23). The resulting Ru-complex II undergoes a single electron transfer (SET) from binaphthyl moiety to RuIII leading to a radical species coordinating to RuII (III). The formation of a sp3 carbon atom at C−1 position of the proposed species III allows for the free rotation around the chiral axis thus enabling racemization. The proposed radical mechanism is supported by the experimental evidence that the Ru-Catalyst 2 enabled the oxidative coupling of 2-naphthol by SET process in the presence of oxygen [35]. These results open new perspectives about the potentiality of Complex 2, as a racemization catalyst.
Scheme 23.
Proposed racemization mechanism of (R)-2,2-dihydroxy-1,1′-biaryl, as a model compound.
A common feature of catalysts 2, 4 and 5 is that they all need a base (strong or weak) to promote the formation of a Ru-alkoxide intermediate (i.e., 2c, Scheme 22a) which is successively involved in the hydrogen transfer mechanism [68]. Noteworthy, Ru-complex 3 enables alcohol racemization in the total absence of a base, as an activator [23]. At room temperature, 3 transforms into the proposed catalytically active species 3b by simple loosing CO and subsequent methoxy migration to the ruthenium atom (Scheme 24). Apparently, carbon oxide dissociation is favored by the electron-rich character of the ligand bearing alkyl and methoxy substituents which stabilizes the formation of the unsaturated 16e complex intermediate 3a. Alkoxide exchange with the (S)-alcohol leads to 3c which undergoes decarbonylation and β-hydrogen elimination to yield ruthenium-ketone Complex 3e. Hydride migration from the Ru-centre to the coordinated ketone triggered racemization. Alkoxide exchange with (S)-alcohol lead to (rac)-alcohol and 3d starting a new cycle.
Scheme 24.
Proposed racemization mechanism of (S)-alcohol catalyzed by Ru-Catalyst 3.
5.2. Ru- and Fe-Complexes 1, 6–8
Complex 6 is a catalytically active species whereas Complexes 7 and 8 are stable precatalysts (Scheme 5). The key-iron complex enabling the first step of the racemization process (dehydrogenation) is the coordinatively unsaturated 16 electron iron species A which forms either from 6 by H2 elimination or from 7 (or 8) through an oxidative partial decarbonylation with trimethylamine-N-oxide. The latter reacts with 7 (or 8) leading to trimethylamine, carbon dioxide and the complex intermediate A (Scheme 25a) [69]. Enantiopure alcohol oxidation (dehydrogenation) leads to the ketone and Complex 6. The latter reduces the ketone affording racemic alcohol and the intermediate A ready for a new cycle [70]. In some cases, the addition of additives (base, ketone intermediate) favors the hydrogen transfer from Complex 6 to the ketone (Scheme 4b).
Scheme 25.
(a) Simplified racemization mechanism catalyzed by iron-complexes. TMS: SiMe3. (b) Dimeric Catalyst 1 dissociation into the corresponding monomeric oxidizing and reducing species. The box represents a free coordination site.
Shvo Catalyst 1 is a diruthenium complex. It is activated by heat and dissociates into two catalytically active monomers: one isolable 18 electron RuII-complex and one proposed 16 electron Ru0-complex (Scheme 25b) [71]. It is interesting to note that the monomeric reducing (S-r) and oxidizing (S-o) species, closely related to the catalytically active iron species 6 and A respectively, are involved in the racemization mechanism.
The main difference in the mechanism of the homogeneous redox catalysts so far discussed regards the H-transfer from the metal-hydride complex (i.e., 2e and 6 for comparison) to the ketone. In the Bäckvall catalyst the ketone is coordinated to the metal and H-transfer occurs through an inner sphere mechanism. In the iron catalyst hydride and proton are simultaneously transferred to the ketone which is not coordinated to the metal (outer sphere mechanism) (Scheme 22a and Scheme 25a) [70,71].
5.3. Vanadium Catalysts
Homogeneous oxovanadium (V) compounds (Scheme 1) trigger the racemization of chiral alcohol trough an addition/elimination mechanism involving the formation of a carbocation intermediate [38]. Catalyst 9 (Scheme 26) initially reacts with (S)-alcohol and the resulting alkyl- or allyl-vanadate undergoes the reversible cleavage of the C-O bond. When an allylic alcohol is used the formation of the corresponding allyl cation intermediate is followed by 1,3-allylic transposition of hydroxyl group leading to the most stable alcohol regioisomer. The DKR of I and II was enantio- and chemoselective both giving the (R)–ester derived from II, as the only product. When 10 is used as a catalyst, alcohol racemization/isomerization occurs in the V-MPS pores which are approximatively of 3 nm in diameter while the immobilized Candida antarctica lipase B is responsible for the transesterification with acyl donors outside the pores [39]. The separation of the reaction sites allows to keep lipase outside the pore, thus minimizing the interaction between the catalysts. As a result, vanadium catalyst and the enzyme turn out to be highly compatible and stable. They can be separated from the reaction mixture and re-used for several time without any loss of activity.
Scheme 26.
DKR of allylic alcohols co-catalyzed by vanadium-based catalysts.
Apparently, vanadyl sulfate 11 promotes the racemization of (S)-alcohol through the acid-catalyzed formation of a carbocation intermediate in a non-polar solvent. The hypothesis is supported by 18O-labelling experiments using the catalyst containing 18O-enriched hydration water [72].
6. Conclusions
The examples collected in this review show that metal/enzyme combo-catalyzed dynamic kinetic resolution continues to be a powerful tool for the quantitative transformation of racemic alcohols into the corresponding (R)-esters (alcohols upon de-protection). As far as homogeneous catalysts, a significant advance in terms of sustainability has been done combining lipases with iron complexes, as hydrogen transfer racemization catalysts. Moreover, substrate scope has been further expanded using Bäckvall catalyst and the new Ru-Complex 3. The successful application of challenging C1- and C2-symmetric biaryl diols is a significant achievement considering that DKR is known to be highly selective mostly with centrochiral molecules. In the future, the application of new metal abundant-based catalysts or the discover of unexpected racemization mechanisms involving new or well-known catalysts are key-points to further increase the synthetic potential of this methodology. Among heterogeneous catalysts, V-MPS still plays a central role in both batch and flow DKR, as shown by the recent application to tertiary chiral alcohol, propargylic- and allylic alcohols. The recently published examples on the integration of metal/enzyme combo-catalyzed DKR in sequential reactions proved that this is an interesting research area. Simple and complex chiral molecules including important building blocks for the synthesis of natural products could be synthesized with high ee, in a one-pot procedure. In the future, the development of this type of cascade reactions may take advantage of new technological advances including compartmentalization especially in flow systems.
Funding
This research received no external funding.
Institutional Review Board Statement
Not applicable.
Informed Consent Statement
Not applicable.
Data Availability Statement
Not applicable.
Conflicts of Interest
The author declares no conflict of interest.
Abbreviations
| CAL-A | Candida antartica lipase A |
| CAL-B | Candida antartica lipase B |
| DKR | dynamic kinetic resolution |
| DYKAT | dynamic kinetic asymmetric transformation |
| DET | direct enantio-convergent transformation |
| KR | kinetic resolution |
| IL | ionic liquid |
| IPA | isopropenyl acetate |
| LDA | lithium diisopropylamide |
| LPL | lipoprotein lipase from Burkholderia species |
| MPS | mesoporous silica |
| MS | molecular sieves |
| PCPA | p-chlorophenylacetate. |
| PS | lipase from Burkholderia cepacia |
| PSIM | immobilized Burkholderia cepacia lipase |
| SET | single electron transfer |
| TBME | tert-butyl methyl ether |
| THF | tetrahydrofuran |
| TMS | trimethylsilyl group |
References
- Wu, S.; Snajdrova, R.; Moore, J.C.; Baldenius, K.; Bornscheuer, U.T. Biocatalysis: Enzymatic synthesis for industrial applications. Angew. Chem. Int. Ed. 2021, 60, 88–119. [Google Scholar] [CrossRef] [PubMed]
- Xie, X.; Lu, B.; Li, W.; Zhang, Z. Coordination determined chemo- and enantioselectivities in asymmetric hydrogenation of multi-functionalized ketones. Coord. Chem. Rev. 2018, 355, 39–53. [Google Scholar] [CrossRef]
- Wang, H.; Wen, J.; Zhang, X. Chiral tridentate ligands in transition metal-catalyzed asymmetric hydrogenation. Chem. Rev. 2021, 121, 7530–7567. [Google Scholar] [CrossRef] [PubMed]
- Noyori, R.; Tokunaga, M.; Kitamura, M. Stereoselective organic synthesis via dynamic kinetic resolution. Bull. Chem. Soc. Jpn. 1995, 68, 36–56. [Google Scholar] [CrossRef]
- Seddigi, Z.S.; Malik, M.S.; Ahmed, S.A.; Babalghith, A.O.; Kamal, A. Lipases in asymmetric transformations: Recent advances in classical kinetic resolution and lipase–metal combinations for dynamic processes. Coord. Chem. Rev. 2017, 348, 54–70. [Google Scholar] [CrossRef]
- De Miranda, A.S.; Miranda, L.S.M.; de Souza, R.O.M.A. Lipases: Valuable catalysts for dynamic kinetic resolutions. Biotechnol. Adv. 2015, 33, 372–393. [Google Scholar] [CrossRef]
- Kazlauskas, R.J.; Weissfloch, A.N.E.; Rappaport, A.T.; Cuccia, L.A. A rule to predict which enantiomer of a secondary alcohol reacts faster in reactions catalyzed by cholesterol esterase, lipase from Pseudomonas cepacia, and lipase from Candida rugosa. J. Org. Chem. 1991, 56, 2656–2665. [Google Scholar] [CrossRef]
- Orrenius, C.; Haffner, F.; Rotticci, D.; Öhrner, N.; Norin, T.; Hult, K. Chiral recognition of alcohol enantiomers in acyl transfer reactions catalysed by Candida Antarctica lipase B. Biocatal. Biotransform. 1998, 16, 1–15. [Google Scholar] [CrossRef]
- Ferrario, V.; Nitti, P.; Ebert, C.; Gardossi, L. Modelling and predicting enzyme enantioselectivity: The aid of computational methods for the rational use of lipase B from Candida Antarctica. Curr. Biotechnol. 2015, 4, 87–99. [Google Scholar] [CrossRef]
- Dinh, P.M.; Howarth, J.A.; Hudnott, A.R.; Williams, J.M.J.; Harris, W. Catalytic racemisation of alcohols: Applications to enzymatic resolution reactions. Tetrahedron Lett. 1996, 37, 7623–7626. [Google Scholar] [CrossRef]
- Larsson, A.L.E.; Persson, B.A.; Bäckvall, J.-E. Enzymatic resolution of alcohols coupled with ruthenium-catalyzed racemization of the substrate alcohol. Angew. Chem. Int. Ed. 1997, 36, 1211–1212. [Google Scholar] [CrossRef]
- Ahn, Y.; Ko, S.-B.; Mahn-Joo Kim, M.-J.; Park, J. Racemization catalysts for the dynamic kinetic resolution of alcohols and amines. Coord. Chem. Rev. 2008, 252, 647–658. [Google Scholar] [CrossRef]
- Warner, M.C.; Bäckvall, J.-E. Mechanistic aspects on cyclopentadienylruthenium complexes in catalytic racemization of alcohols. Acc. Chem. Res. 2013, 46, 2545–2555. [Google Scholar] [CrossRef]
- Lee, H.; Han, K.; Kim, M.-J.; Park, J. Chemoenzymatic dynamic kinetic resolution of alcohols and amines. Eur. J. Org. Chem. 2010, 2010, 999–1015. [Google Scholar] [CrossRef]
- Hoyos, P.; Pace, V.; Alcántara, A.R. Dynamic kinetic resolution via hydrolase-metal combo catalysis in stereoselective synthesis of bioactive compounds. Adv. Synth. Catal. 2012, 354, 2585–2611. [Google Scholar] [CrossRef]
- Verho, O.; Bäckvall, J.-E. Chemoenzymatic dynamic kinetic resolution: A powerful tool for the preparation of enantiomerically pure alcohols and amines. J. Am. Chem. Soc. 2015, 137, 3996–4009. [Google Scholar] [CrossRef] [PubMed]
- Långvik, O.; Saloranta, T.; Murzin, D.Y.; Leino, R. Heterogeneous chemoenzymatic catalyst combinations for one-pot dynamic kinetic resolution applications. ChemCatChem 2015, 7, 4004–4015. [Google Scholar] [CrossRef]
- Bath, V.; Welin, E.R.; Guo, X.; Stoltz, B.M. Advances in stereoconvergent catalysis from 2005 to 2015: Transition-metal-mediated stereoablative reactions, dynamic kinetic resolutions, and dynamic kinetic asymmetric transformations. Chem. Rev. 2017, 117, 4528–4561. [Google Scholar]
- Trost, B.M.; Toste, F.D. Palladium-catalyzed kinetic and dynamic kinetic asymmetric transformation of 5-acyloxy-2-(5H)-furanone. Enantioselective synthesis of (-)-Aflatoxin B lactone. J. Am. Chem. Soc. 1999, 121, 3543–3544. [Google Scholar] [CrossRef]
- Trost, B.M.; Fandrick, D.R. Palladium-catalyzed dynamic kinetic asymmetric allylic alkylation with the DPPBA ligands. Aldrichchimica Acta 2007, 40, 59–71. [Google Scholar]
- Ito, H.; Kunii, S.; Sawamura, M. Direct enantio-convergent transformation of racemic substrates without racemization or symmetrization. Nat. Chem. 2010, 2, 972–976. [Google Scholar] [CrossRef] [Green Version]
- Chen, M.; Roush, W.R. Enantioconvergent hydroboration of a racemic allene: Enantioselective synthesis of (E)-δ-stannyl-anti-homoallylic alcohols via aldehyde crotylboration. J. Am. Chem. Soc. 2011, 133, 5744–5747. [Google Scholar] [CrossRef] [Green Version]
- Yun, I.; Park, J.Y.; Park, J.; Kim, M.-J. Base-free dynamic kinetic resolution of secondary alcohols with a ruthenium−lipase couple. J. Org. Chem. 2019, 84, 16293–16298. [Google Scholar] [CrossRef] [PubMed]
- Choi, J.H.; Choi, Y.K.; Kim, Y.H.; Park, E.S.; Kim, E.J.; Kim, M.-J.; Park, J. Aminocyclopentadienyl ruthenium complexes as racemization catalysts for dynamic kinetic resolution of secondary alcohols at ambient temperature. J. Org. Chem. 2004, 69, 1972–1977. [Google Scholar] [CrossRef] [PubMed]
- Bartoszewicz, A.; Jezowska, M.M.; Laymand, K.; Möbus, J.; Martín-Matute, B. Synthesis of β-hydroxy and β-amino ketones from allylic alcohols catalyzed by Ru(η5-C5Ph5)(CO)2Cl. Eur. J. Inorg. Chem. 2012, 2012, 1517–1530. [Google Scholar] [CrossRef] [Green Version]
- Holzwarth, M.S.; Plietker, B. Biorelevant metals in sustainable metal catalysis—A survey. ChemCatChem 2013, 5, 1650–1679. [Google Scholar] [CrossRef]
- Filonenko, G.A.; van Putten, R.; Hensen, E.J.M.; Pidko, E.A. Catalytic (de)hydrogenation promoted by non-precious metals—Co, Fe and Mn: Recent advances in an emerging field. Chem. Soc. Rev. 2018, 47, 1459–1483. [Google Scholar] [CrossRef] [PubMed] [Green Version]
- Bornschein, C.; Gustafson, K.P.J.; Verho, O.; Beller, M.; Bäckvall, J.-E. Evaluation of Fe and Ru pincer-type complexes as catalysts for the racemization of secondary benzylic alcohols. Chem. Eur. J. 2016, 22, 11583–11586. [Google Scholar] [CrossRef]
- El-Sepelgy, O.; Alandini, N.; Rueping, M. Merging iron catalysis and biocatalysis—Iron carbonyl complexes as efficient hydrogen autotransfer catalysts in dynamic kinetic resolutions. Angew. Chem. Int. Ed. 2016, 55, 13602–13605. [Google Scholar] [CrossRef]
- Gustafson, K.P.J.; Guðmundsson, A.; Lewis, K.; Bäckvall, J.-E. Chemoenzymatic dynamic kinetic resolution of secondary alcohols using an air-and moisture-stable iron racemization catalyst. Chem. Eur. J. 2017, 23, 1048–1051. [Google Scholar] [CrossRef] [Green Version]
- Yang, Q.; Zhang, N.; Liu, M.; Zhou, S. New air-stable iron catalyst for efficient dynamic kinetic resolution of secondary benzylic and aliphatic alcohols. Tetrahedron Lett. 2017, 58, 2487–2489. [Google Scholar] [CrossRef]
- Yang, B.; Zhu, C.; Qiu, Y.; Bäckvall, J.-E. Enzyme- and ruthenium-catalyzed enantioselective transformation of α-allenic alcohols into 2,3-dihydrofurans. Angew. Chem. Int. Ed. 2016, 55, 5568–5572. [Google Scholar] [CrossRef] [Green Version]
- Gagnon, C.; Godin, É.; Minozzi, C.; Sosoe, J.; Pochet, C.; Collins, S.K. Biocatalytic synthesis of planar chiral macrocycles. Science 2020, 367, 917–921. [Google Scholar] [CrossRef] [PubMed]
- Deska, J.; del Pozo Ochoa, C.; Backvall, J.-E. Chemoenzymatic dynamic kinetic resolution of axially chiral allenes. Chem. Eur. J. 2010, 16, 4447–4451. [Google Scholar] [CrossRef] [PubMed]
- Moustafa, G.A.I.; Oki, Y.; Akai, S. Lipase-catalyzed dynamic kinetic resolution of C1 and C2-symmetric racemic axially chiral 2,2′-dihydroxy-1,1′-biaryls. Angew. Chem. Int. Ed. 2018, 57, 10278–10282. [Google Scholar] [CrossRef]
- Kozlowski, M.C.; Morgan, B.J.; Linton, E.C. Total synthesis of chiral biaryl natural products by asymmetric biaryl coupling. Chem. Soc. Rev. 2009, 38, 3193–3207. [Google Scholar] [CrossRef]
- Takizawa, S.; Gröger, H.; Sasai, H. Vanadium in asymmetric synthesis: Emerging concepts in catalyst design and applications. Chem. Eur. J. 2015, 21, 8992–8997. [Google Scholar] [CrossRef]
- Akai, S.; Tanimoto, K.; Kanao, Y.; Egi, M.; Yamamoto, T.; Kita, Y. A dynamic kinetic resolution of allyl alcohols by the combined use of lipases and [VO(OSiPh3)3]. Angew. Chem. Int. Ed. 2006, 45, 2592–2595. [Google Scholar] [CrossRef] [PubMed]
- Egi, M.; Sugiyama, K.; Saneto, M.; Hanada, R.; Kato, K.; Akai, S. A Mesoporous-silica-immobilized oxovanadium cocatalyst for the lipase-catalyzed dynamic kinetic resolution of racemic alcohols. Angew. Chem. Int. Ed. 2013, 52, 3654–3658. [Google Scholar] [CrossRef]
- Akai, S. Dynamic kinetic resolution of racemic allylic alcohols via hydrolase metal combo catalysis: An effective method for the synthesis of optically active compounds. Chem. Lett. 2014, 43, 746–754. [Google Scholar] [CrossRef]
- Kourist, R.; de María, P.D.; Bornscheuer, U.T. Enzymatic synthesis of optically active tertiary alcohols: Expanding the biocatalysis toolbox. ChemBioChem 2008, 9, 491–498. [Google Scholar] [CrossRef]
- Görbe, T.; Lihammar, R.; Bäckvall, J.-E. Heterogeneous acid-catalyzed racemization of tertiary alcohols. Chem. Eur. J. 2018, 24, 77–80. [Google Scholar] [CrossRef]
- Kuhn, F.; Katsuragi, S.; Oki, Y.; Scholz, C.; Akai, S.; Gröger, H. Dynamic kinetic resolution of a tertiary alcohol. Chem. Commun. 2020, 56, 2885–2888. [Google Scholar] [CrossRef]
- Kawanishi, S.; Oki, S.; Kundu, D.; Akai, S. Lipase/oxovanadium co-catalyzed dynamic kinetic resolution of propargyl alcohols: Competition between racemization and rearrangement. Org. Lett. 2019, 21, 2978–2982. [Google Scholar] [CrossRef]
- Kawanishi, S.; Sugiyama, K.; Oki, Y.; Ikawa, T.; Akai, S. Preparation of optically active cycloalkenes bearing all-carbon quaternary stereogenic centres via lipase–oxovanadium combocatalysed dynamic kinetic resolution. Green Chem. 2017, 19, 411–417. [Google Scholar] [CrossRef]
- Britton, J.; Raston, C.L. Multi-step continuous-flow synthesis. Chem. Soc. Rev. 2017, 46, 1250–1271. [Google Scholar] [CrossRef] [Green Version]
- Foley, A.M.; Maguire, A.R. The impact of recent developments in technologies which enable the increased use of biocatalysts. Eur. J. Org. Chem. 2019, 2019, 3713–3734. [Google Scholar] [CrossRef]
- Higashio, K.; Katsuragi, S.; Kundu, D.; Adebar, N.; Plass, C.; Kühn, F.; Gröger, H.; Akai, S. Continuous-flow dynamic kinetic resolution of racemic alcohols by lipase–oxovanadium cocatalysis. Eur. J. Org. Chem. 2020, 1961–1967. [Google Scholar] [CrossRef]
- De Almeida, L.A.; Marcondes, T.H.; Milagre, C.D.F.; Milagre, H.M.S. Lipase-oxovanadium heterogeneous catalysis system: A robust protocol for the dynamic kinetic resolution of sec-alcohols. ChemCatChem 2020, 12, 2849–2858. [Google Scholar] [CrossRef]
- De França, A.S.; Silva, M.V.M.; Neves, R.V.; de Souza, S.P.; Leão, R.A.C.; Monteiro, C.M.; Rocha, Â.; Afonso, C.A.M.; de Souza, R.O.M.A. Studies on the dynamic resolution of Crizotinib intermediate. Bioorg. Med. Chem. 2018, 26, 1333–1337. [Google Scholar] [CrossRef] [PubMed]
- Xu, Y.; Wang, M.; Feng, B.; Li, Z.; Li, Y.; Li, H.; Li, H. Dynamic kinetic resolution of aromatic sec-alcohols by using a heterogeneous palladium racemization catalyst and lipase. Catal. Sci. Technol. 2017, 7, 5838–5842. [Google Scholar] [CrossRef]
- Liu, Y.; Liu, P.; Gao, S.; Wang, Z.; Luan, P.; González-Sabín, J.; Jiang, J. Construction of chemoenzymatic cascade reactions for bridging chemocatalysis and biocatalysis: Principles, strategies and prospective. Chem. Eng. J. 2021, 420, 127659–127676. [Google Scholar] [CrossRef]
- Schmidt, S.; Castiglione, K.; Kourist, R. Overcoming the incompatibility challenge in chemoenzymatic and multi-catalytic cascade reactions. Chem. Eur. J. 2018, 24, 1755–1768. [Google Scholar] [CrossRef]
- Jung, H.M.; Koh, J.H.; Kim, M.-J.; Park, J. Concerted catalytic reactions for conversion of ketones or enol acetates to chiral acetates. Org. Lett. 2000, 2, 409–411. [Google Scholar] [CrossRef]
- Jung, H.M.; Koh, J.H.; Kim, M.-J.; Park, J. Practical ruthenium/lipase-catalyzed asymmetric transformations of ketones and enol acetates to chiral acetates. Org. Lett. 2000, 2, 2487–2490. [Google Scholar] [CrossRef]
- Millet, R.; Träff, A.M.; Petrus, M.L.; Bäckvall, J.-E. Enantioselective synthesis of syn- and anti-1,3-aminoalcohols via β-aminoketones and subsequent reduction/dynamic kinetic asymmetric transformation. J. Am. Chem. Soc. 2010, 132, 15182–15184. [Google Scholar] [CrossRef]
- Fernandez-Salas, J.A.; Manzini, S.; Nolan, S.P. A cationic ruthenium complex for the dynamic kinetic resolution of secondary alcohols. Chem. Eur. J. 2014, 20, 13132–13135. [Google Scholar] [CrossRef] [PubMed]
- El-Sepelgy, O.; Brzozowska, A.; Rueping, M. Asymmetric chemoenzymatic reductive acylation of ketones by a combined iron-catalyzed hydrogenation–racemization and enzymatic resolution cascade. ChemSusChem 2017, 10, 1664–1668. [Google Scholar] [CrossRef] [PubMed]
- Långvik, O.; Sandberg, T.; Wärnå, J.; Murzin, D.Y.; Leino, R. One-pot synthesis of (R)-2-acetoxy-1-indanone from 1,2-indanedione combining metal catalyzed hydrogenation and chemoenzymatic dynamic kinetic resolution. Catal. Sci. Technol. 2015, 5, 150–160. [Google Scholar] [CrossRef]
- Huerta, F.F.; Bäckvall, J.-E. Enantioselective synthesis of β-hydroxy acid derivatives via a one-pot aldol reaction−dynamic kinetic resolution. Org. Lett. 2001, 3, 1209–1212. [Google Scholar] [CrossRef] [PubMed]
- Akai, S.; Tanimoto, K.; Kita, Y. Lipase-catalyzed domino dynamic kinetic resolution of racemic 3-vinylcyclohex-2-en-1-ols/intramolecular Diels–Alder reaction: One-pot synthesis of optically active polysubstituted decalins. Angew. Chem. Int. Ed. 2004, 43, 1407–1410. [Google Scholar] [CrossRef] [PubMed]
- Sugiyama, K.; Kawanishi, S.; Oki, Y.; Kamiyab, M.; Hanadab, R.; Egi, M.; Akai, S. Lipase-catalyzed asymmetric synthesis of naphtho[2,3-c]furan-1(3H)-one derivatives by a one-pot dynamic kinetic resolution/intramolecular Diels–Alder reaction: Total synthesis of (-)-himbacine. Bioorg. Med. Chem. 2018, 26, 1378–1386. [Google Scholar] [CrossRef] [PubMed]
- Tsuchimochi, I.; Hori, S.; Takeuchi, Y.; Egi, M.; Satoh, T.; Kanomata, K.; Ikawa, T.; Akai, S. Four-step one-pot catalytic asymmetric synthesis of polysubstituted tricyclic compounds: Lipase-catalyzed dynamic kinetic resolution followed by an intramolecular Diels–Alder reaction. Synlett 2021, 32, 822–828. [Google Scholar]
- Koszelewski, D.; Borys, F.; Brodzka, A.; Ostaszewski, R. Synthesis of enantiomerically pure 5,6-dihydropyran-2-ones via chemoenzymatic sequential DKR-RCM reaction. Eur. J. Org. Chem. 2018, 2019, 1653–1658. [Google Scholar] [CrossRef]
- Zhang, Y.; Xie, S.; Yan, M.; Ramström, O. Enzyme- and ruthenium-catalyzed dynamic kinetic resolution involving cascade alkoxycarbonylations for asymmetric synthesis of 5-substituted N-Aryloxazolidinones. Mol. Catal. 2019, 470, 138–144. [Google Scholar] [CrossRef]
- Gustafson, K.P.J.; Guðmundsson, A.; Bajnóczi, É.G.; Yuan, N.; Zou, X.; Persson, I.; Bäckvall, J.-E. In situ structural determination of a homogeneous ruthenium racemization catalyst and its activated intermediates using X-ray absorption spectroscopy. Chem. Eur. J. 2020, 26, 3411–3419. [Google Scholar] [CrossRef]
- Bäckvall, J.-E.; Andreasson, U. Ruthenium-catalyzed isomerization of allylic alcohols to saturated ketones. Tetrahedron Lett. 1993, 34, 5459–5462. [Google Scholar] [CrossRef]
- Koh, J.H.; Jeong, H.M.; Park, J. Efficient catalytic racemization of secondary alcohols. Tetrahedron Lett. 1998, 39, 5545–5548. [Google Scholar] [CrossRef]
- Bauer, I.; Knölker, H.-J. Iron catalysis in organic synthesis. Chem. Rev. 2015, 115, 3170–3387. [Google Scholar] [CrossRef]
- Casey, C.P.; Guan, H. An efficient and chemoselective iron catalyst for the hydrogenation of ketones. J. Am. Chem. Soc. 2007, 129, 5816–5817. [Google Scholar] [CrossRef]
- Conley, B.L.; Pennington-Boggio, M.K.; Boz, E.; Williams, T.J. Discovery, applications, and catalytic mechanisms of Shvo’s catalyst. Chem. Rev. 2010, 110, 2294–2312. [Google Scholar] [CrossRef] [PubMed]
- Wuyts, S.; Wahlen, J.; Jacobs, P.A.; De Vos, D.E. Heterogeneous vanadium catalysts for racemization and chemoenzymatic dynamic kinetic resolution of benzylic alcohols. Green Chem. 2007, 9, 1104–1108. [Google Scholar] [CrossRef]
Publisher’s Note: MDPI stays neutral with regard to jurisdictional claims in published maps and institutional affiliations. |
© 2021 by the author. Licensee MDPI, Basel, Switzerland. This article is an open access article distributed under the terms and conditions of the Creative Commons Attribution (CC BY) license (https://creativecommons.org/licenses/by/4.0/).

























