Structural Investigation into Magnetic Spin Orders of a Manganese Phosphatic Oxyhydroxide, Mn5[(PO4)2(PO3(OH))2](HOH)4
Abstract
:1. Introduction
2. Materials and Methods
2.1. Sample Preparation and Phase Identification
2.2. Molar Heat Capacity and Magnetic Susceptibility Measurements
2.3. High-Resolution Neutron Powder Diffraction (HRNPD)
3. Results and Discussion
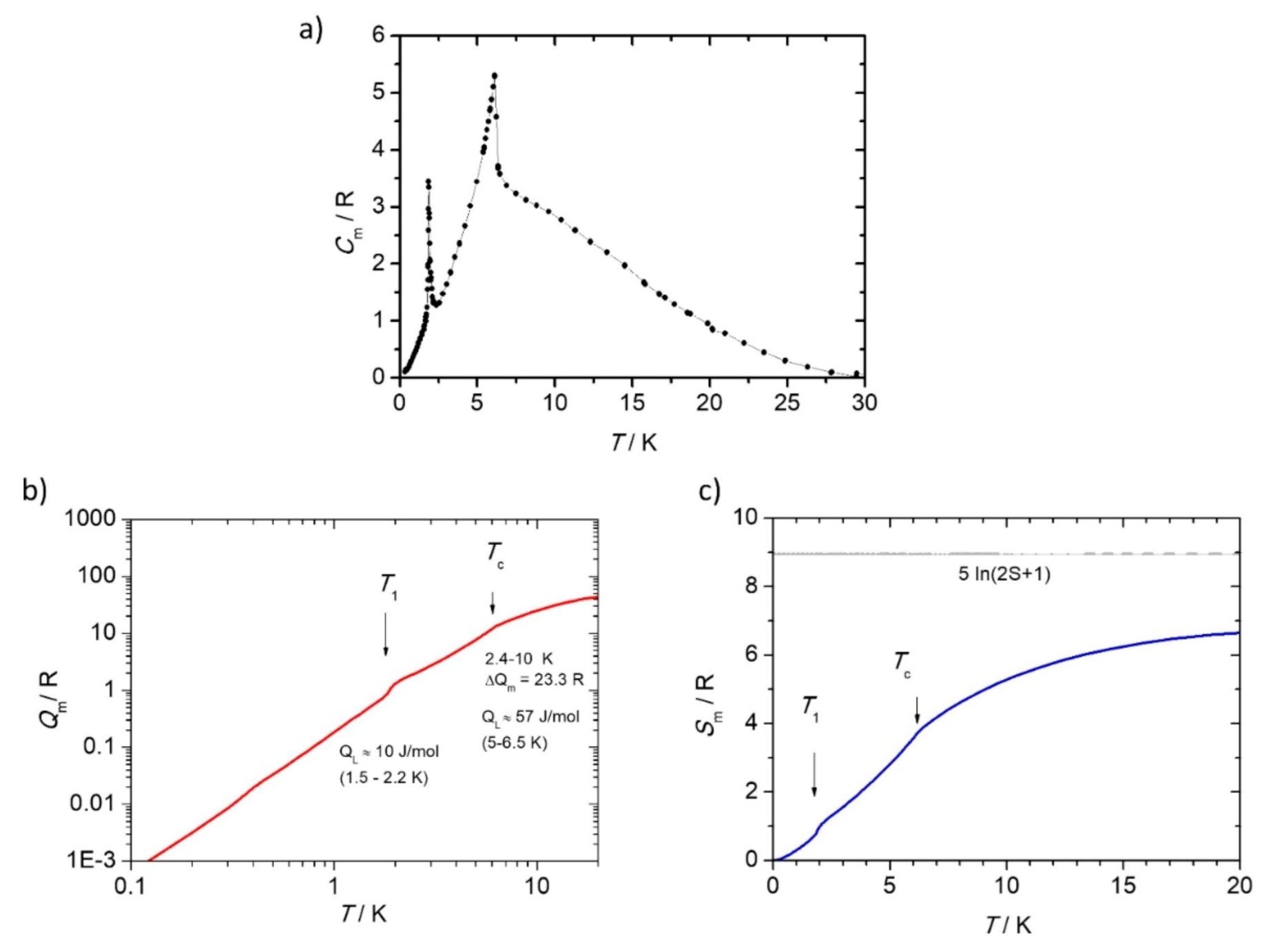
3.1. Magnetic Phase Transitions
3.2. PM and FM Structure Models Refined with HRNPD Data (λ = 2.536 Å)
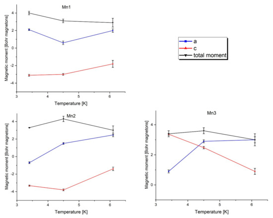
3.3. Reorientation of Magnetic Moments in the FM State, Refined with 4.5 K and 6.1 K HRNPD Data (λ = 2.45 Å)
3.4. The AFM Phase with Incommensurately Modulated Magnetic Spins Below T1
4. Conclusions
Supplementary Materials
Author Contributions
Funding
Institutional Review Board Statement
Informed Consent Statement
Data Availability Statement
Acknowledgments
Conflicts of Interest
References
- Kohn, M.J.; Rakovan, J.; Hughes, J.M. Phosphates- Geochemical, geobiological, and materials importance, Reviews in Mineralogy & Geochemistry. Mineral. Mag. 2002, 67, 823–824. [Google Scholar]
- Hawthorne, F.C. Structure and chemistry of phosphate minerals. Miner. Mag. 1998, 62, 141–164. [Google Scholar] [CrossRef]
- Hartl, A.; Park, S.-H.; Hoelzel, M.; Paul, N.; Gilles, R. Proton conductivity in a hureaulite-type compound, Mn5[(PO4)2(PO3(OH))2](HOH)4. J. Solid State Chem. 2019, 277, 290–302. [Google Scholar] [CrossRef]
- Hartl, A.; Krack, M.; Lunkenheimer, P.; Schulz, A.; Cheptiakov, D.; Appel, M.; Paulmann, C.; Juranyi, F.; Park, S.-H. Proton motions in hydrogen bonds of the hureaulite-type phosphatic oxyhydroxide Mn5[(PO4)2(PO3(OH))2](HOH)4. J. Chem. Phys. in submission.
- Winkler, M.; Lunkenheimer, P.; Loidl, A.; Park, S.-H.; Röska, B.; Hoelzel, M. Charge transport by global protonic conductivity and relaxational dynamics over hydrogen bonds in (Fe2+Fe3+3.2(Mn2+,Zn)0.8(PO4)3(OH)4.2(HOH)0.8. Solid State Ion. 2020, 347, 115240. [Google Scholar] [CrossRef]
- Röska, B.; Park, S.-H.; Yoshimori, Y.; Kimura, K.; Kimura, T. Anomalous dielectric response of short hydrogen bonds under pressure: The case of (Mn,Fe)2+AlPO4(OH)2H2O. J. Phys. Condens. Matter 2017, 29, 365401. [Google Scholar] [CrossRef]
- Röska, B.; Park, S.-H.; Behal, D.; Hess, K.-U.; Günther, A.; Benka, G.; Pfleiderer, C.; Hoelzel, M.; Kimura, T.; Guenther, A. Determination of the hydrogen-bond network and the ferrimagnetic structure of a rockbridgeite-type compound, Fe2+Fe3+3.2(Mn2+,Zn)0.8(PO4)3(OH)4.2(HOH)0.8. J. Phys. Condens. Matter 2018, 30, 235401. [Google Scholar] [CrossRef]
- Behal, D.; Röska, B.; Park, S.-H.; Pedersen, B.; Benka, G.; Pfleiderer, C.; Wakabayashi, Y.; Kimura, T. The first study of anti-ferromagnetic eosphorite-childrenite series (Mn1−xFex)AlPO4(OH)2H2O (x = 0.5). J. Magn. Magn. Mater. 2017, 428, 17–27. [Google Scholar] [CrossRef]
- Menchetti, S.; Sabelli, C. The crystal structure of hureaulite, Mn5(HOPO3)2(PO4)2(H2O)4. Acta Crystallogr. Sect. B Struct. Crystallogr. Cryst. Chem. 1973, 29, 2541–2548. [Google Scholar] [CrossRef]
- Gatta, G.D.; Redhammer, G.; Vignola, P.; Meven, M.; McIntyre, G. Single-crystal neutron diffraction and Mössbauer spectroscopic study of hureaulite, (Mn,Fe)5(PO4)2(HPO4)2(H2O)4. Eur. J. Miner. 2016, 28, 93–103. [Google Scholar] [CrossRef]
- Moreira, L.F.; Domingues, P.H.; Mattievich, E. Mössbauer studies of the solid solutions of synthetic hureaulite, [FexMn5-x][PO4H]2[PO4]2[H2O]4. J. Magn. Magn. Mater. 1994, 132, 191–196. [Google Scholar] [CrossRef]
- Domingues, P.-H.; Moreira, L.F.; Mattievich, E.; Sarkissian, B. Magnetism in the series [FexMn5-x][PO4H]2[PO4]2[H2O]4. J. Magn. Magn. Mater. 1997, 167, 87–92. [Google Scholar] [CrossRef]
- Larrea, E.S.; Mesa, J.L.; Pizarro, J.L.; Arriortua, M.I.; Rojo, T. Hydrothermal synthesis, thermal, structural, spectroscopic and magnetic studies of the [FexMn5-x][PO4H]2[PO4]2[H2O]4 (x = 1.25, 2, 2.5 and 3) finite solid solution. J. Solid St. Chem. 2007, 180, 1686–1697. [Google Scholar] [CrossRef]
- Hoelzel, M.; Senyshyn, A.; Juenke, N.; Boysen, H.; Schmahl, W.; Fuess, H. High-resolution neutron powder diffractometer SPODI at research reactor FRM II. Nucl. Instrum. Methods Phys. Res. Sect. A Accel. Spectrometers Detect. Assoc. Equip. 2012, 667, 32–37. [Google Scholar] [CrossRef]
- Fischer, P.; Frey, G.; Koch, M.; Könnecke, M.; Pomjakushin, V.; Schefer, J.; Thut, R.; Schlumpf, N.; Bürge, R.; Greuter, U.; et al. High-resolution powder diffractometer HRPT for thermal neutrons at SINQ. Phys. B Condens. Matter 2000, 276, 146–147. [Google Scholar] [CrossRef]
- Petříček, V.; Dušek, M.; Palatinus, L. Crystallographic Computing System JANA2006: General features. Z. Krist. Cryst. Mater. 2014, 229, 345–352. [Google Scholar] [CrossRef]
- Momma, K.; Izumi, F. VESTA: A three-dimensional visualization system for electronic and structural analysis. J. Appl. Crystallogr. 2008, 41, 653–658. [Google Scholar] [CrossRef]
- Forstat, H.; Love, N.D.; McElearney, J.N.; Butterworth, G.J. Specific Heat of an Ising Linear-Chain Crystal. Phys. Rev. B 1970, 1, 3097–3100. [Google Scholar] [CrossRef]
- Litvin, D.B. Magnetic Group Tables: 1-, 2- and 3-Dimensional Magnetic Subperiodic Groups and Magnetic Space Groups; International Union of Crystallography: Chester, UK, 2013. [Google Scholar] [CrossRef]
- Goodenough, J.B. Direct Cation-Cation Interactions in Several Oxides. Phys. Rev. 1960, 117, 1442–1451. [Google Scholar] [CrossRef]
- van Smaalen, S. Incommensurate Crystallography, 1st ed.; IUCr Monography on Crystallography No. 21 Oxford Science Pub-lication: Oxford, UK, 2007. [Google Scholar]
- Peres-Mato, J.M.; Ribeiro, J.L.; Petricek, V.; Arroyo, M. Magnetic superspace groups and symmetry constraints in incommen-surate magnetic phases. J. Phys. Condens. Mater 2012, 24, 16320. [Google Scholar]
- Yang, C.; Tong, P.; Lin, J.C.; Lin, S.; Cui, D.P.; Wang, B.S.; Song, W.H.; Lu, W.J.; Sun, Y.P. Large magnetic entropy change associated with the weakly first-order paramagnetic to ferrimagnetic transition in antiperovskite manganese nitride CuNMn3. J. Appl. Phys. 2014, 116, 033902. [Google Scholar] [CrossRef]
- Law, J.Y.; Franco, V.; Moreno-Ramírez, L.-M.; Conde, A.; Karpenkov, D.Y.; Radulov, I.; Skokov, K.P.; Gutfleisch, O. A quan-titative criterio for determining the order of magnetic phase transitions using the magnetocaloric effect. Nat. Commun. 2018, 9, 2680. [Google Scholar] [CrossRef] [PubMed]
- Jensen, T.B.S.; Christensen, N.B.; Kenzelmann, M.; Rønnow, H.M.; Niedermayer, C.; Andersen, N.H.; Lefmann, K.; Schefer, J.; Zimmermann, M.; Li, J.; et al. Field-induced magnetic phases and electric polarization in LiNiPO4. Phys. Rev. B 2009, 79, 092412. [Google Scholar] [CrossRef]














| Temperature (K) | 1.5 | 1.7 | 3.4 | 4.5 | 6.1 | 6.5 * | |
|---|---|---|---|---|---|---|---|
| Space group | C2/c | C2/c | C2/c | C2/c | C2/c | C2/c | |
| Magnetic state | AFM | AFM | FM | FM | FM | PM | |
| Magnetic space group | P21/c.1′ (α0γ)00s | P21/c.1′ (α0γ)00s | C2′/c′ | C2′/c′ | C2′/c′ | - | |
| Lattice metric | a (Å) | 17.5715 (5) | 17.6023 (8) | 17.5717 (2) | 17.5740 (3) | 17.5986 (6) | 17.5748 (4) 17.5717 (2) |
| b (Å) | 9.1185 (3) | 9.1331 (5) | 9.1179 (1) | 9.1188 (2) | 9.1315 (3) | 9.1186 (2) 9.1181 (1) | |
| c (Å) | 9.4931 (3) | 9.5086 (4) | 9.4936 (1) | 9.4946 (2) | 9.5068 (3) | 9.4944 (2) 9.4937 (1) | |
| β (°) | 96.391 (1) | 96.391 (2) | 96.408 (1) | 96.393 (1) | 96.391 (1) | 96.391 (1) 96.409 (1) | |
| V (Å3) | 1511.6 (1) | 1519.1 (2) | 1511.5 (1) | 1512.1 (1) | 1518.2 (1) | 1512.1 (1) 1511.6 (1) | |
| Modulation vector k | (0.522 (2), 0, 0.055 (1)) | (0.545 (2), 0, −0.003 (2)) | (0, 0, 0) | (0, 0, 0) | (0, 0, 0) | - | |
| Density (g/cm3) | 3.2460 (2) | 3.2299 (3) | 3.2461 (1) | 3.2449 (1) | 3.2318 (3) | 3.2449 (2) 3.2460 (1) | |
| Wavelength (Å) | 2.45 | 2.45 | 2.536 | 2.45 | 2.45 | 2.45 2.536 | |
| Data range (°(2θ)) | 2.4–163 | 2.4–163 | 0.95–155 | 2.4–163 | 2.4–163 | 2.4–163 0.95–153 | |
| wR (main reflections) | 0.032 | 0.028 | 0.025 | 0.016 | 0.023 | 0.030 0.030 | |
| wR (satellites) | 0.033 | 0.030 | 0.032 | 0.019 | 0.024 | - | |
| GOF (profile) | 4.79 | 2.86 | 2.43 | 2.53 | 1.95 | 2.05 2.95 | |
| Magnetic Space Group | M at Mn1 | M at Mn2 | M at Mn3 | Magnetic Order |
|---|---|---|---|---|
| C2′/c′ | (Mx, 0, Mz)/(Mx, 0, Mz) | (Mx, My, Mz)/(Mx, 0, Mz) | (Mx, My, Mz)/(Mx, 0, Mz) | FM |
| C2/c | (0, My, 0)/(0, My, 0) | (Mx, My, Mz)/(0, My, 0) | (Mx, My, Mz)/(0, My, 0) | FM |
| C2/c′ | (0, My, 0)/(0, 0, 0) | (Mx, My, Mz)/(0, 0, 0) | (Mx, My, Mz)/(0, 0, 0) | AFM |
| C2′/c | (Mx, 0, Mz)/(0, 0, 0) | (Mx, My, Mz)/(0, 0, 0) | (Mx, My, Mz)/(0, 0, 0) | AFM |
| Site | Type | Coordinates | Uiso | Occupancy | Multiplicity | ||
|---|---|---|---|---|---|---|---|
| x | y | z | |||||
| Mn1 | Mn | 0 | 0.3995 (9) | 0.25 | 0.001 (1) | 1 | 4 |
| Mn2 | Mn | 0.3173 (3) | 0.4070 (7) | 0.1862 (5) | 0.001 (1) | 1 | 8 |
| Mn3 | Mn | 0.3247 (3) | 0.0286 (6) | 0.1344 (6) | 0.001 (1) | 1 | 8 |
| P1 | P | 0.4192 (3) | 0.1810 (5) | 0.4078 (5) | 0.001 | 1 | 8 |
| P2 | P | 0.1600 (2) | 0.2366 (5) | 0.1289 (4) | 0.001 | 1 | 8 |
| O1 | O | 0.5132 (2) | 0.2808 (5) | 0.0827 (5) | 0.0009 (3) | 1 | 8 |
| O2 | O | 0.4236 (2) | 0.0684 (4) | 0.2941 (4) | 0.0009 (3) | 1 | 8 |
| O3 | O | 0.3450 (2) | 0.2697 (4) | 0.3705 (3) | 0.0009 (3) | 1 | 8 |
| O4 | O | 0.0856 (2) | 0.3900 (4) | 0.4449 (4) | 0.0009 (3) | 1 | 8 |
| O5 | O | 0.3377 (2) | 0.2356 (4) | 0.0324 (4) | 0.0009 (3) | 1 | 8 |
| O6 | O | 0.2005 (2) | 0.0957 (5) | 0.1727 (4) | 0.0009 (3) | 1 | 8 |
| O7 | O | 0.2004 (2) | 0.3647 (4) | 0.2089 (4) | 0.0009 (3) | 1 | 8 |
| O8 | O | 0.0760 (2) | 0.2341 (4) | 0.1568 (4) | 0.0009 (3) | 1 | 8 |
| O9 | O | 0.2417 (3) | 0.0801 (5) | 0.4682 (4) | 0.0009 (3) | 1 | 8 |
| O10 | O | 0.0767 (3) | 0.0134 (5) | 0.3529 (5) | 0.0009 (3) | 1 | 8 |
| D1 | D | 0.0244 (2) | 0.2201 (4) | 0.0093 (5) | 0.024 (1) | 1 | 8 |
| D2 | D | 0.2647 (2) | 0.1561 (4) | 0.4145 (4) | 0.015 (1) | 1 | 8 |
| D3 | D | 0.2025 (2) | 0.1288 (4) | 0.5232 (4) | 0.010 (1) | 1 | 8 |
| D4 | D | 0.0635 (2) | 0.0917 (6) | 0.2830 (4) | 0.022 (1) | 1 | 8 |
| D5 | D | 0.4675 (2) | 0.4509 (4) | 0.1406 (4) | 0.020 (1) | 1 | 8 |
| Atomic Site | Direction | 3.4 K | 4.5 K | 6.1 K |
|---|---|---|---|---|
| Mn1 | a | 2.1 (1) | 0.6 (2) | 2.0 (2) |
| b | 0 | 0 | 0 | |
| c | −3.1 (1) | −3.0 (1) | −1.8 (4) | |
| magnitude | 3.9 (2) | 3.1 (2) | 2.9 (5) | |
| Mn2 | a | −0.7 (1) | 1.5 (1) | 2.47 (2) |
| b | 0.1 (2) | 0.1 (2) | 0.3 (4) | |
| c | −3.32 (6) | −3.8 (1) | −1.4 (2) | |
| magnitude | 3.3 (2) | 4.3 (3) | 3.0 (5) | |
| Mn3 | a | 0.9 (1) | 2.9 (1) | 3.0 (2) |
| b | 0.3 (1) | 0.1 (2) | 0.2 (3) | |
| c | 3.37 (6) | 2.48 (8) | 0.9 (2) | |
| magnitude | 3.4 (2) | 3.6 (2) | 3.0 (4) |
| Site 1 | Site 2 | Site 3 | Intra Pentamer Angle (°) | Inter Pentamer Angle (°) |
|---|---|---|---|---|
| Mn2 | O6 | Mn3 | 95.058 (1) | - |
| Mn2 | O7 | Mn3 | 102.445 (1) | - |
| Mn3 | O2 | Mn1 | 102.311 (1) | - |
| Mn3 | O4 | Mn1 | 97.699 (1) | - |
| Mn2 | O9 | Mn3 | - | 110.583 (1) |
| P21/c.1′(α0γ)00s | |||||
| {1| 0 0 0 0} | x1 | x2 | x3 | x4 | m |
| {21(0,y,1/4)| 0 0 0 0} | −x1 | x2 + 1/2 | −x3 + 1/2 | −x4 | m |
| {−1| 0 0 0 0} | −x1 | −x2 | -x3 | -x4 | m |
| {c(x,1/4,z)| 0 0 0 0} | x1 | −x2 + 1/2 | x3 + 1/2 | x4 | m |
| {1′| 0 0 0 0} | x1 | x2 | x3 | x4 + 1/2 | −m |
| Atomic Site | Wave | along a | along b | along c | Modulation Range of Magnetic Moment Magnitudes |
|---|---|---|---|---|---|
| Mn1 | sin | 4.1 (2) | 0 | 5.2 (3) | 3.38–4.36 |
| cos | 0 | 0 | 7.0 (3) | ||
| Mn2_1 | sin | 1.9 (2) | 1.3 (3) | 0 | 1.19–2.24 |
| cos | 0 | 0 | 0 | ||
| Mn2_2 | sin | 3.9 (2) | 3.2 (4) | −5.1 (3) | 4.31–5.51 |
| cos | 1.3 (3) | 2.4 (1) | 3.5 (3) | ||
| Mn3_1 | sin | 0 | 0 | −3.6 (3) | 3.25–4.96 |
| cos | 2.9 (3) | 2.2 (1) | −2.6 (3) | ||
| Mn3_2 | sin | 0 | 3.0 (3) | 5.7 (3) | 0.02–3.96 |
| cos | 0 | 0 | 0 |
| T (K) | Donor (D) | Deuterium/ Hydrogen (H) | Acceptor (A) | D–H Distance (Å) | H···A Distance (Å) | D–A Distance (Å) | A–H···D Angle (°) |
|---|---|---|---|---|---|---|---|
| 6.5 | O1 | D1 | O8 | 1.035 (8) | 1.637 (8) | 2.669 (8) | 174.2 (7) |
| O9 | D2 | O3 | 0.933 (9) | 1.912 (9) | 2.807 (9) | 160.1 (7) | |
| O9 | D3 | O3 | 0.965 (9) | 1.683 (9) | 2.638 (9) | 169.6 (7) | |
| O10 | D4 | O8 | 0.956 (10) | 1.750 (9) | 2.683 (9) | 164.3 (7) | |
| O10 | D5 | O1 | 0.962 (10) | 1.828 (9) | 2.753 (10) | 160.6 (7) | |
| 4.5 | O1 | D1 | O8 | 1.031 (5) | 1.573 (5) | 2.601 (6) | 174.4 (4) |
| O9 | D2 | O3 | 0.979 (6) | 1.905 (6) | 2.819 (7) | 154.3 (4) | |
| O9 | D3 | O3 | 0.983 (7) | 1.678 (6) | 2.647 (7) | 167.9 (5) | |
| O10 | D4 | O8 | 1.001 (7) | 1.740 (6) | 2.712 (6) | 162.7 (5) | |
| O10 | D5 | O1 | 0.973 (7) | 1.822 (6) | 2.710 (7) | 150.4 (5) | |
| 1.5 | O1_1 | D1_1 | O8_2 | 1.09 (3) | 1.56 (2) | 2.63 (3) | 168 (3) |
| O1_2 | D1_2 | O8_1 | 1.01 (3) | 1.48 (3) | 2.49 (3) * | 174 (2) | |
| O9_1 | D2_1 | O3_1 | 0.99 (3) | 1.69 (3) | 2.67 (3) | 167 (2) | |
| O9_2 | D2_2 | O3_2 | 1.04 (3) | 1.61 (3) | 2.62 (4) | 162 (2) | |
| O9_1 | D3_1 | O3_1 | 1.15 (3) | 1.60 (3) | 2.71 (3) | 158.2 (2) | |
| O9_2 | D3_2 | O3_2 | 0.82 (3) | 2.12 (3) | 2.88 (3) | 154 (2) | |
| O10_1 | D4_1 | O1_2 | 0.93 (3) | 1.94 (3) | 2.81 (4) | 155 (2) | |
| O10_2 | D4_2 | O1_1 | 0.99 (3) | 1.66 (3) | 2.52 (3) | 142 (2) | |
| O10_1 | D5_1 | O8_1 | 1.11 (3) | 1.49 (3) | 2.58 (3) * | 164 (2) | |
| O10_2 | D5_2 | O8_2 | 0.94 (3) | 2.15 (3) | 3.07 (4) | 166 (2) |
Publisher’s Note: MDPI stays neutral with regard to jurisdictional claims in published maps and institutional affiliations. |
© 2021 by the authors. Licensee MDPI, Basel, Switzerland. This article is an open access article distributed under the terms and conditions of the Creative Commons Attribution (CC BY) license (https://creativecommons.org/licenses/by/4.0/).
Share and Cite
Park, S.; Hartl, A.; Sheptyakov, D.; Hoelzel, M.; Arauzo, A. Structural Investigation into Magnetic Spin Orders of a Manganese Phosphatic Oxyhydroxide, Mn5[(PO4)2(PO3(OH))2](HOH)4. Symmetry 2021, 13, 1688. https://doi.org/10.3390/sym13091688
Park S, Hartl A, Sheptyakov D, Hoelzel M, Arauzo A. Structural Investigation into Magnetic Spin Orders of a Manganese Phosphatic Oxyhydroxide, Mn5[(PO4)2(PO3(OH))2](HOH)4. Symmetry. 2021; 13(9):1688. https://doi.org/10.3390/sym13091688
Chicago/Turabian StylePark, Sohyun, Anna Hartl, Denis Sheptyakov, Markus Hoelzel, and Ana Arauzo. 2021. "Structural Investigation into Magnetic Spin Orders of a Manganese Phosphatic Oxyhydroxide, Mn5[(PO4)2(PO3(OH))2](HOH)4" Symmetry 13, no. 9: 1688. https://doi.org/10.3390/sym13091688
APA StylePark, S., Hartl, A., Sheptyakov, D., Hoelzel, M., & Arauzo, A. (2021). Structural Investigation into Magnetic Spin Orders of a Manganese Phosphatic Oxyhydroxide, Mn5[(PO4)2(PO3(OH))2](HOH)4. Symmetry, 13(9), 1688. https://doi.org/10.3390/sym13091688

