You are currently viewing a new version of our website. To view the old version click .
Symmetry
  • Article
  • Open Access

19 August 2021

The Kinetic Model of Diffusion and Reactions in Powder Catalysts during Temperature Programmed Oxygen Isotopic Exchange Process

,
and
1
Physics Department, Kaunas University of Technology, 50 Studentų St., 51368 Kaunas, Lithuania
2
Department of Physics, Mathematics and Biophysics, Lithuanian University of Health Sciences, 4 Eivenių St., 50166 Kaunas, Lithuania
*
Author to whom correspondence should be addressed.
This article belongs to the Collection Feature Papers in Chemistry

Abstract

The mathematical model of diffusion in powder oxide catalysts during the process of temperature programmed oxygen isotopic exchange is proposed. The diffusion is considered together with the homogeneous and heterogeneous oxygen isotopic exchange processes. The matrix forms of exchange rate equations of simple and complex heteroexchange, and homoexchange reactions which obtain symmetrical forms are analyzed. The quantitative values of model parameters are found from the fitting of experimental data taken from literature of temperature programmed oxygen isotopic exchange process in catalysts ZrO2 and CeO2. The fittings show a good matching of model results with experimental data. The shapes of kinetic curves registered during temperature programmed oxygen isotopic exchange process are analyzed and the influence of various process parameters such as activation energies of simple and complex heteroexchange, oxygen surface concentration of catalyst, ratio of catalysts surface and volume of reactor, diffusion activation energy is considered. The depth profiles of diffusing oxygen species in oxide catalysts powder are calculated.

1. Introduction

Ceria (CeO2) and zirconia (ZrO2) are the main components of the three-way catalysts used in automobile pollutant abatement [1,2]. They enable a control of the partial pressure of oxygen near the catalyst surface during automotive emission [3,4] and are able to store and/or supply oxygen under fuel-lean and fuel-rich conditions, respectively, what is necessary for the conversion of nitrogen oxides, hydrocarbons and carbon monoxide [5,6]. AO2 (A = Ce,Zr) releases oxygen during rich conditions and is converted to AO2−x, whereas during lean conditions AO2−x is oxidized back to AO2 [7,8]. These properties are related to the ability of AO2 system to promote migration/exchange of oxygen species in the reaction [9,10]. Due to high surface and bulk diffusivity, the oxygen atoms can be quickly transferred to the active sites form different parts of the catalysts [11,12]. The highest oxygen storage capacity and catalytic performance of ceria-zirconia materials is at approximately 40–60% of ceria content [13,14].
A powerful tool to study the various oxygen transport processes that may take place in a crystalline oxide is the 18O–16O isotopic exchange technique [15,16,17]. The oxygen isotopic exchange is a suitable method to analyze the diffusivity and interaction of molecular oxygen with a metal oxide. From the registered kinetic curves of oxygen species concentrations, the mechanisms of catalytic processes and heir rates in given catalyst are determined [18,19]. Three types of exchange mechanisms between gaseous dioxygen and lattice oxygen atom have been defined on oxide catalysts [20,21]: (1) homoexchange between adsorbed atoms itself, without participation of atoms form oxide; (2) simple hetero-exchange between one atom of adsorbed oxygen molecule and one atom of the solid oxide and (3) the multiple hetero-exchange when both atoms of adsorbed oxygen molecule are exchanged with solid oxide oxygen atoms. Information on the mechanism of exchange may be obtained from the kinetic curves of oxygen species partial pressures at the beginning of exchange reaction. The formation of 16O18O species as a primary product from 18O2 indicates that exchange takes place via a simple hetero-exchange, if 16O2 species are formed firstly, it means multiple hetero-exchange mechanism [22]. Isotopic exchange is generally carried out in a recycle, close reactor coupled to a mass spectrometer [23,24]. The evolution of the partial pressures of 16O2, 16O18O and 18O2 during the exchange process are registered as a function of time in isothermal conditions. When the range of temperatures where the exchange process occurs is not well-known isothermal conditions could turn out to be tedious. In those cases, the method of temperature-programmed oxygen isotopic exchange is very useful. Using a linear and slow increase of sample temperature, the concentration of the adsorbing/reacting/desorbing molecules are registered [25,26]. The curves obtained in one temperature programing isotopic exchange experiment directly inform on the temperature window where the exchange takes place and give a complete view of the proportion of lattice oxygen atoms (surface and bulk) involved in the process depending of the temperature [27]. Such experiment can permit comparison of different families of oxide samples in an easy way, comparing the evolution of the rate of exchange and the evolution of the number of exchanged atoms versus temperature [28]. Increasing the temperature also enables us to rapidly reach an equilibrium between the 18O concentration in the gas phase and into the lattice and then to obtain data about the number of exchangeable atoms in the solid [23].
In the temperature programmed isotopic exchange experiments a very important parameter is the surface area of the catalyst. The high surface area provides more active oxygen transfer from catalyst. In this work the influence of surface is of catalyst is investigated. Oxygen transfer form catalysts goes on through the bulk diffusion processes. The bulk diffusion processes in oxide catalysts where was started to investigate in our previous work Ref. [29]. In this work the complete model of bulk diffusion during and exchange reactions in powder catalysts during temperature programmed oxygen isotopic exchange process is proposed and verification with experimental results is achieved.

2. The Model

Isotopic oxygen exchange on surfaces of catalysts goes on by homoexchange and by heteroexchange [30,31]. Homoexchange occurs without participation of surface oxygen. The heteroexchange takes place when oxygen atoms form the surface of oxide are involved into the process. The simple heteroexchange occurs when one oxygen atom in the molecule is replaced, in complex heteroexchange both oxygen atoms in molecule are replaced [18,22,32]. Simple and complex oxygen isotopic heteroexchange reactions are listed in Table 1.
Table 1. Oxygen exchange reactions. Indexes g and s means compounds in gas phase and on the surface of oxide. p is the probability assuming only those cases when composition is changed.
Not all of the simple hetero-exchange reactions listed in Table 1 result in a change in system composition. It may happen that an atom of the same type from the gas phase can be replaced with an atom of the same type from the surface (e.g., 16Og with 16Os). In that case microscopically the oxygen exchange occurs, but the composition of system remains the same. In order to involve into the calculation only those cases of reaction which lead to compositional changes of system, in Table 1 for simple heteroexchange reactions the probabilities are indicated. Through the probabilities that are included only those cases of exchange when composition of system occurs. Considering adsorption, in the proposed model it is assumed that adsorption is very fast process [33,34] and surface is covered by oxygen species with the same composition as composition in gas phase. The change in composition in the gas phase and on the surface is calculated according to the law of mass action well known in chemistry. Using this law in the case of simple heteroexchange the variation of concentrations in gas phase n32, n34 and n36 of species 16O16Og, 16O18Og and 18O18Og, respectively, expressed in mol/m3 is written as follows:
d n 32 d t S = k S c 36 + 1 2 c 34 n 32 + 1 2 c 32 + 1 2 c 34 n 34 d n 34 d t S = k S c 36 + 1 2 c 34 n 32 1 2 c 32 + c 34 + c 36 n 34 + c 32 + 1 2 c 34 n 36 d n 36 d t S = k S 1 2 c 36 + 1 2 c 34 n 34 c 32 + 1 2 c 34 n 36
where: kS is the rate constant of simple heteroexchange reactions and is expressed by Arrhenius law: k S = A S e x p Q S / R T , where AS and QS are pre-exponential term and activation energy of simple heteroexchange. R and T are gas constant and temperature, respectively. The variables c32, c34 and c36 are surface concentrations of species adsorbed on the surface 16O16OS, 16O18OS and 18O18OS, respectively, expressed in mol/m2. The variation of surface concentration c32, c34 and c36 are found from following relation:
d c 32 d t S = V S k S 1 2 c 34 n 32 + 1 2 c 32 + 1 2 c 34 n 34 c 32 n 36 d c 34 d t S = V S d n 34 d t S d c 36 d t S = V S k S c 36 n 32 + 1 2 c 36 + 1 2 c 34 n 34 + 1 2 c 34 n 36
where V is volume of reactor and S is surface area of catalyst. Only equation for c32 is symmetrical to equation for n34. Ratio V/S appears because of different dimensions of concentrations in gas phase nij expressed in mol/m3 and surface concentrations cij expressed in mol/m2. Later it will be shown that this ratio, which seems to be just technical parameter in fact plays very important role.
Using law of mass action in the case of complex heteroexchange the variation of concentrations in gas phase is written as follows:
d n 32 d t C = k C c 36 + c 34 n 32 + c 32 n 34 + c 32 n 36 d n 34 d t C = k C c 34 n 32 c 32 + c 36 n 34 + c 34 n 36 d n 34 d t C = k C c 36 n 32 + c 36 n 34 c 32 + c 34 n 36
where kC is reaction rate constant of complex heteroexchange expressed by Arrhenius law k C = A C e x p Q C / R T , where AC and QC are pre-exponential term and activation energy of complex heteroexchange. Due to the symmetry of complex heteroexchange reactions (that is not the case for simple heteroexchange), the variations of variables c32, c34 and c36 can be written in very simple form.
d c i d t C = V S d n i d t C ,   i = 32 , 34 , 36
From the mathematical point of view, it is very interesting to analyze obtained sets of Equations (1)–(3). For example, the Equation (3) keeping n32, n34 and n35 as variables can be written in the following matrix.
c 36 + c 34 c 32 c 32 c 34 c 32 + c 36 c 34 c 36 c 36 c 32 + c 34
The Equation (5) is symmetrical in various cross sections and show interesting mathematical regularities of system where the complex heteroexchange of isotopes takes place. For simple heteroexchange the Equation (1) obtains the following matrix form.
c 36 + 1 2 c 34 1 2 c 32 + 1 2 c 34 0 c 36 + 1 2 c 34 1 2 c 32 + c 34 + c 36 c 32 + 1 2 c 34 0 1 2 c 36 + 1 2 c 34 c 32 + 1 2 c 34
Equation (6) also is symmetric in various cross sections and show mathematical regularities in complex heteroexchange systems. More detail and deep analysis of those matrixes could give very useful additional information about the properties of the system.
In the case of homoexchange, when exchange occurs only between adsorbed molecules without participation of lattice atoms the reactions in which the change of system composition takes place are following [20,21].
18 O 18 O g + 16 O 16 O g 18 O 16 O g + 18 O 16 O g 18 O 16 O g + 18 O 16 O g 16 O 16 O g + 18 O 18 O g
The rate equations mathematically describing those reactions applying the mass action law are the next:
d n 32 d t O = k O n 34 2 n 32 n 36 d n 34 d t O = 2 k O n 34 2 + n 32 n 36 d n 36 d t O = k O n 34 2 n 32 n 36
where kO is rate constant of homoexchange expressed by Arrhenius law as k o = A o e x p Q o / R T , AO and QO are preexponential term and activation energy of homoexchange, respectively. In the case of molar concentrations of nij dimension of kO is m4/s mol.
Similar to Equations (5) and (6), if writing Equation (8) in matrix form keeping n32, n34 and n35 as variables the following two equivalent matrixes can be written
0 n 34 n 32 0 2 n 34 2 n 32 0 n 34 n 32   or   n 36 n 34 0 2 n 36 2 n 34 0 n 36 n 34 0
Considering the process of bulk diffusion, when oxygen isotope atoms 18O penetrate in deeper layers of oxide, the concentration variation of oxygen atoms in one oxide layer K as given is calculated by using the second Fick’s law expressed in finite increments. However, first it must be adapted to geometrical specifics of particles of powder catalysts. The particles of ceria and zirconia powder catalysts, which experimental results will be fitted by proposed model, have cubic-like geometrical form [35,36]. Describing mathematically the process of diffusion into bulk of powder particle it is necessary to assume the limitation of the depth. The Fick’s law expressed in finite increments means that the bulk is deleted into separate layers but in the cases of powder particles, when diffusion flux takes place from for all surfaces into the center of powder particle the area of layers decreases. To solve this problem, the cubic-like powder particles are virtually divided into four pyramids and in 2-d case each of them is divided into layers (see Figure 1). The area of each K layer can be found form the following relation:
S B K = S o x 1 2 K 1 h d o x 2
where S o x is the area of surface layer, h is the thickness of layer and dox is the size of powder particle. The second Fick’s law expressed in finite increments, assuming decreasing areas of layers obtains the following form:
d c i L , K d t S D = D h 2 B K 1 c i L , K 1 c i L , K 1 B K c i L , K c i L , K + 1 ,   K > 1
where D is the bulk diffusion coefficient of oxygen atoms in oxide, i = 16, 18 indicates the type of oxygen isotopes and coefficients B(K) involve the changes of areas of layers and are expressed as:
B K = S K + 1 S K   , i f   c i L , K c i L , K + 1 0 S K S K + 1   , i f   c i L , K c i L , K + 1 < 0 ,
Figure 1. Scheme of the layers introduced for bulk diffusion calculations in particle of powder catalyst.
It is assumed that diffusion of oxygen isotopes are balanced, i.e., 18O diffuses into the bulk and replaces 16O atoms which diffuses to the surface and the condition d c 18 K / d t d i f = d c 16 K / d t d i f is fulfilled. Diffusion coefficient of both oxygen species is assumed the same.
As indicated in Equation (11) K > 1 the equation describes diffusion starting from the second layer K ≥ 2, K = 1 is the surface, first or adsorption layer where oxygen species form gas phase adsorbs (and desorbs). The equation is needed which could describe diffusion and oxygen exchange between surface (first) layer and second layer of catalysts. The mass action law in combination with Fick’s law we will use to build equation for diffusion between first and second monolayers.
The exchange reactions between oxygen species on the surface 18O18O, 16O18O and 16O16O with oxygen atoms from second monolayer 16O (K = 2) and 18O (K = 2) are considered [29]:
18O18Os+16O (K = 2)18O16Os+18O (K = 2)’
18O16Og+16O (K = 2)16O16Os+18O (K = 2)
16O16Os+16O (K = 2)18O16Os+16O (K = 2)
Using the mass action law and taking into account the gradient of concentrations the reaction rates of those reaction are expressed in following form:
d n 32 d t d i f = D h 2 k d c 18 1 c 18 2 1 2 c 34 c 32 c 16 2 d n 34 d t d i f = D h 2 k d c 18 1 c 18 2 c 36 + c 32 1 2 c 34 c 16 2 d n 36 d t d i f = D h 2 k d c 18 1 c 18 2 c 34 c 16 2
where kd is the reaction rate constant, c 16 1 and c 18 1 are atomic concentrations of oxygen of 16O and 18O on the surface K = 1 and are calculated form concentrations of molecular species 16O16O, 16O18O and 18O18O from the next relation:
c 16 1 = c 32 + 1 2 c 34 c 18 1 = c 36 + 1 2 c 34
Finally, the kinetics of composition in gas phase is calculated including all considered above processes simple and complex heteroexchange, homoexchange and diffusion:
d n i d t = d n i d t S + d n i d t C + d n i d t O + d n i d t d i f ,   i = 32 , 34 , 36
The temperature programming exchange.
In the model the reaction rate constants kS, kC, kO, kd and diffusion coefficient D depend on temperature according to Arrhenius law k j = A j e x p Q j / R T t , AO and QO are preexponential term and activation energy of. In temperature programming exchange process the temperature T depends on time linearly: T t = T 0 + b t , where T0 is initial temperature and b the rate temperature increase, t is the time.

3. Results and Discussion

In Figure 2a,b the experimental and calculated dependencies of partial pressures of oxygen species 18O2, 18O16O and 16O2 on temperature are presented. Results are calculated for ZrO2 and CeO2. Experimental results are taken form literature Refs. [35,36]. The temperature programmed oxygen isotopic exchange experiment was performed at following conditions: the temperature increase speed 1.6 °C/min, specific surface area Sbet = 25 m2/g for ceria and Sbet = 25 m2/g for zirconia, mass of powder catalyst mcat = 0.25 g, initial pressure of 18O2 48 mbar and volume of reactor V = 12 cm3. The surface concentration of oxygen in ceria depending on crystallite orientation varies from 0.97 nm2 for (110) until 15.8 nm2 for (111) [35,36] and in these calculations was taken as 1.09× 1019 m2. Similarly using data from Ref. [36] for zirconia oxygen surface concentration was taken 1.09 × 1019 m−2. From the fitting of experimental curves presented in Figure 2, the values of activation energies of simple and complex heteroexchange reactions, diffusion and its pre-exponential terms were found. Values are written in Table 2.
Figure 2. Calculated (lines) and experimental (points+line) [35,36] dependencies of partial pressures of oxygen species on temperature for catalyst ZrO2 (a) and CeO2 (b) during TPIE.
Table 2. Values of calculation parameters of Figure 2.
The fitting results presented in Figure 2 are quite good, taking into account the difficulty of the process. In TPIE experiments the temperature changes with time and curves in Figure 2 represent not a simple dependency on temperature but the kinetic curves. Some deviations of calculated results form experimental ones in many cases occurs because of impurities, which always exist in real conditions and which are impossible to estimate in modeling. For zirconia Figure 2a some deviation of calculated curves form experimental points occurs considering the temperature range where the process of exchange starts. Experimental results show that exchange process starts at a little lower temperatures tha, theoretical predictions. However, for ceria catalysts Figure 2b the calculated curves very well correspond with experimental points in this interval of temperatures. For ceria a small deviation is observed at higher temperatures when steady state of process is reached, but only for p34 curve, the curve p32 show very good agreement in whole considered temperature interval. Comparing the temperature interval where the exchange process starts the lower temperature is for ceria catalyst.
Measuring composition changes in gas phase during TPIE process the important parameter is the ratio between volume of reactor and total surface of catalyst V/S which is involved into calculations through Equations (2) and (4). This ratio influences significantly the partial pressures of oxygen species, including the steady state regime. This ratio depends on mass of catalysts and specific surface area through the relation S = mcat·Sbet. This relation also means that the same influence in the kinetic curves have both parameters mass of catalyst and specific area of catalyst. Moreover, because in Equations (2) and (4) the ratio V/S exist, the volume of catalyst also significantly affects the shapes kinetic curves and the values of partial pressures when steady state is reached. At the steady state if when mass of catalysts is relatively high p34 < p32 and when catalyst mass is low, situation is in opposite: p34 > p32. However, it is important to consider the influence of process parameters on the shapes of kinetic curves and partial pressures of species at steady state regime.
In Figure 3 the calculated curves of partial pressures of oxygen species at steady state regime as a dependency on ratio S/V are presented. The shapes of curves p34 and p32 significantly differs. The curve p34 pass maximum while the curve p32 goes up in whole interval of S/V. The position of maximum in curve p34 corresponds with position of cross section point of pressure curves of p32 and p36. The curves p32 and p34 cross each other and after the amount of species 16O2 at steady state becomes higher than 18O16O with further increase of S/V. The point at which curves p32 and p34 cross each other depends on total pressure: it shifts to lower values of S/V when total pressure decreases. It is seen in Figure 2 (dot lines).
Figure 3. Calculated dependencies of partial pressures of oxygen species at steady state regime on ratio S/V.
Experimental kinetic curves of oxygen species partial pressures registered during TPIE may have quite different shapes. For example, the curve p34 in Figure 2b has a maximum, but the curve p34 not. Many experimental results show that the maximums can be broad or narrow, high or low, or sometimes they are not formed at all. It depends on type of catalyst. In order to clarify this situation and to find some regularities the calculations were performed by varying activation energies of simple and complex heteroexchange. The influence of QS and QC (activation energies of simple and complex exchange) is analyzed in Figure 4a the calculated curves obtained by changing QC and (b) the curves by changing QS are presented. From Figure 4a it is seen that with increase of QC the temperature at which the molecules 16O2 start to form shifts to higher temperatures and this shift at the beginning is very significant and later reduces (see 4 and 5 curves). However, the temperature of formation of 16O18O species almost does not depend on QC but the shape of p34 curves significantly depends on QC. At low values of QC the maximum is not observed in those curves, but it appears and increases with the increase of QC. In opposite it is for p32 curves, at low QC the broad but not well-expressed maximum is seen but with increase of QC it disappears. The influence of QS which presented in Figure 4b is different. The temperature of formation of 16O18O species is very sensitive on QS and it is not so sensitive for formation of 16O2 molecules, especially at higher values of QS (see 4 and 5 curves of p32). Maximums in p34 curves are well expressed at lower values of QS and disappear at high values of QS. In opposite it is for p32 curves, no maximums are seen at low values of QS and broad maximums appear at high values of QS. From Figure 4a,b it is seen that QS and QC values determine which oxygen species with increase of temperature will be formed first. Depending on QS and QC values with increase of temperature the oxygen species 16O18O can start to form first and 16O2 after or in opposite, 16O2 first and 16O18O after. The cases when both oxygen species start to form together at the same temperature also can be observed in Figure 4.
Figure 4. Calculated dependencies of partial pressures of oxygen species on temperature for the case of steady state pressures p32 > p34: (a) influences of QC and (b) QS.
The results presented in Figure 4 were obtained at relatively high ratio of S/V, in the case when steady state pressures as p32 > p34. The case of relatively low ratio S/V when steady state pressures are p32 < p34 is considered in Figure 5. In Figure 5a the influence of QC is shown. It is seen that curves of p34 almost are not affected by changes of QC, but curves p32 are significantly affected by QC. At low values of QC curves p32 have big and broad maximums which decrease and finally disappear with increase of QC. In Figure 5a it is also seen that at low values of QC with increase of temperature species of 16O2 are formed firstly and 16O18O after. However, the situation reversely changes at high values of QC: 16O18O are formed first and then 16O2. The influence of QC in the case when steady state pressures fulfil condition p32 < p34 is presented in Figure 5b. Now, the change of QS significantly affects both curves. At higher values of QS the maximums in curves p32 start to appear and become broader with increase of QS. However, it is interesting to note that when maximum appears, the temperature of formation of 16O2 does not change any more with further increase of QS. The curves of p34 continuously shift to higher temperatures with increase of QS but the shape of curves remain the same and no maximums appear. At low values of QS with increase of temperature the species of 16O18O are formed firstly and then 16O2, but at high values of QS situation reversely changes: species 16O2 first and 16O18O after.
Figure 5. Calculated dependencies of partial pressures of oxygen species on temperature for the case of steady state pressures p32 < p34: (a) influences of QC and (b) QS.
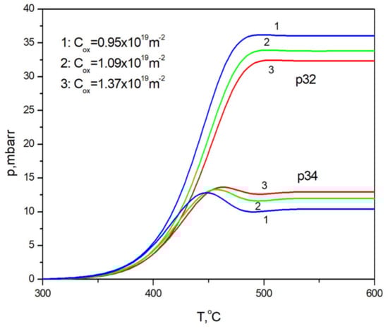
Considering the steady state pressures of oxygen species, it is important to note that additionally to ratio S/V, there is another parameter which influences the steady state pressures and modifies the kinetic. This parameter is the initial surface concentration of oxygen COX. In the model this parameter is involved through the initial value of surface concentration c32. Parameter c32 is variable but at the beginning at t = 0 it equals to COX: c32 (t = 0) = COX. Surface concentration of oxygen depends on the type of catalyst, method of preparation and also orientation of oxide crystallite grains [35,36]. The influence of oxygen surface concentration is shown in Figure 6 where the partial pressure curves calculated for different surface concentration of oxygen COX are presented. It is seen that in contrast with curves presented in Figure 4 and Figure 5, the curves of Figure 6 at steady state regime differs. Since COX depends on crystallite surface orientation curves presented in Figure 6 can also be considered as presentation of the influence of crystallite surface orientation catalysts. Parameter COX affects both, the temperature of formation of oxygen species and the pressure at steady state regime.
Figure 6. Calculated dependencies of partial pressures of oxygen species on temperature for different values of concentration of oxygen on the surfaces of oxides.
In the heterogeneous exchange, the process of diffusion is very important and influences the kinetic curves. The influence of bulk diffusion process is shown in Figure 7 where the calculated kinetic curves of partial pressure of oxygen specie 16O2 as a dependency on temperature (which increases with time in TPIE) are presented. The curves are calculated at different values of diffusion activation energy at constant pre-exponential factor Adif = 1.90·10−24 m2s−1. All other parameters were kept as constants and were the same as in calculations presented in in Figure 2b. It is seen that diffusion significantly influences the shape of kinetic curves in the transition period and at steady state. The partial pressure at steady state of 16O2 decreases with increase of Qdif. This result is logic, because the increase of Qdif means the decrease of diffusivity. At higher diffusivity more amount of 16O2 appear in gas phase because of diffusion of oxygen atoms from the bulk of catalyst. In order to see this effect in more detail the dependence of 16O2 partial pressure at steady state regime is presented in Figure 8. The considered interval is narrow and change of pressure is small, nevertheless, the nonlinear dependence of steady state partial pressure on diffusivity can be seen.
Figure 7. Calculated dependencies of partial pressures of oxygen species on temperature for different values of concentration of oxygen on the surfaces of diffusion activation energies Qdif.
Figure 8. The dependence of pressure at steady state regime on Qdif.
In order to check the validity of model the concentration distribution in deeper layers, the concentration deps profiles of atoms 16O and 18O were calculated. Results are presented in Figure 9, where depth profile curves are calculated for different values of Qdif. Obtained curves are typical diffusion curves and shows the correctness of calculations. However, the bulk diffusion on powder catalysts is not so simple as discussed above presenting Figure 1 and Equation (12) and depth profile curves at higher diffusivity can be more complex. It is seen that with increase of diffusivity (decrease of Qdif) the concentration of 16O at the surface layers decreases and is replaced by oxygen 18O coming from gas phase. It means what more oxygen 16O must appear in gas phase forming oxygen species 16O2 and 16O18O.
Figure 9. The depth profiles of oxygen atoms calculated at different values of Qdif.
Above the bulk diffusion was considered, but the surface diffusion is also very important in catalysis. It depends on homogeneity of surface. In the case of homogeneous surface, the exchange takes place directly on surface of oxide, the surface diffusion does not change surface composition of species and mathematically there is no need to write new equation because of absence of new variables. Concentration gradients on the surface in that case are not formed and it is not possible to consider surface mobility of atoms. Situation is significantly different in the case of nonhomogeneous surfaces, e.g., when noble metal nanoparticles are formed on the surfaces of oxides such as in M/CeO2 (M-noble metal, e.g., Pt, Pd, Au) catalysts. Such catalysts are used in order to reduce oxygen exchange temperature [23] (which on noble metals is less) what is very important in automotive catalysts. In that case, because of spillover [12,37,38] the oxygen concentration gradients are formed toward metal nanoparticles. The model of surface and bulk diffusion because of oxygen spillover was proposed in our previous works [33,34]. In these studies the surface diffusion was combined with bulk diffusion and finally two dimensional diffusion model was created for consideration of nonhomogeneous catalysts such as M/CexZr(1−x)O2. It was found [28,39] that process of bulk diffusion becomes more important with increase of content of Zr. For pure ceria CeO2 samples bulk diffusion is weak and dominates surface diffusion.

4. Conclusions

  • The matrix forms of equations of simple and complex isotopic heteroexchange have symmetry in various cross sections and show interesting mathematical regularities.
  • Despite the variety of different shapes of partial pressure kinetic curves registered during TPIE there are strict regularities: (a) in the case of p34 < p32 at steady state, the p34 curves have well expressed maximums or may be without extremums at higher values of activation energies or together with maximum can exist minimum; the p32 curves approaches steady state passing broad maximums or without them but never through the minimums. (b) in the case p34 > p32 at steady state, the p32 curve approaches steady state passing broad maximums or without them at higher activation energies, p34 curve approaches steady state without extremums.
  • The main parameter determining the steady state partial pressures of oxygen species is the ratio of catalyst specific surface area to volume of reactor. Surface atomic concentration bulk diffusion also influences state partial pressures. Steady state partial pressures are not influenced by reaction rates of heteroexchange.
  • The bulk diffusion process significantly influences the shapes of kinetic curves and partial pressures of species at steady state regime.

Author Contributions

Conceptualization, A.G.; methodology, A.G. and M.G.; software, A.G., M.U. and M.G.; validation, A.G., M.U. and M.G.; investigation, A.G., M.U. and M.G.; writing—original draft preparation, A.G., M.U. and M.G.; writing—review and editing, A.G. and M.G.; visualization, A.G., M.U. and M.G.; supervision, A.G.; funding acquisition, A.G. and M.G. All authors have read and agreed to the published version of the manuscript.

Funding

This project has received funding from European Regional Development Fund (project No 01.2.2-LMT-K-718-01-0071) under grant agreement with the Research Council of Lithuania (LMTLT).

Institutional Review Board Statement

Not applicable.

Data Availability Statement

Not applicable.

Acknowledgments

Authors would like to express their gratitude for the following individuals for their expertise and contribution to the manuscript: G. Laukaitis, T. Moskaliovienė, K. Bočkutė, G. Kairaitis, D. Virbukas, M. Sriubas and V. Kavaliūnas.

Conflicts of Interest

The authors declare no conflict of interest.

References

  1. Teschner, D.; Wootsch, A.; Röder, T.; Matusek, K.; Paál, Z. Ceria as a new support of noble metal catalysts for hydrocarbon reactions: Chemisorption and catalytic studies. Solid State Ion. 2001, 141, 709–713. [Google Scholar] [CrossRef]
  2. Moschovi, A.; Giuliano, M.; Kourtelesis, M.; Nicol, G.; Polyzou, E.; Parussa, F.; Yakoumis, I.; Sgroi, M. First of its kind automotive catalyst prepared by recycled PGMs-catalytic performance. Catalysts 2021, 11, 942. [Google Scholar] [CrossRef]
  3. Nelson, A.E.; Schulz, K.H. Surface chemistry and microstructural analysis of CexZr1−xO2−y model catalyst surfaces. Appl. Surf. Sci. 2003, 210, 206–221. [Google Scholar] [CrossRef]
  4. Machida, M.; Fujiwara, A.; Yoshida, H.; Ohyama, J.; Asakura, H.; Hosokawa, S.; Tanaka, T.; Haneda, M.; Tomita, A.; Miki, T.; et al. Deactivation mechanism of Pd/CeO2–ZrO2 three-way catalysts analyzed by chassis-dynamometer tests and in situ diffuse reflectance spectroscopy. ACS Catal. 2019, 9, 6415–6424. [Google Scholar] [CrossRef]
  5. Jen, H.W.; Graham, G.W.; Chun, W.; McCabe, R.W.; Cuif, J.P.; Deutsch, S.E.; Touret, O. Characterization of model automotive exhaust catalysts: Pd on ceria and ceria–zirconia supports. Catal. Today 1999, 50, 309–328. [Google Scholar] [CrossRef]
  6. Gong, J.; Wang, D.; Li, J.; Kamasamudram, K.; Currier, N.; Yezerets, A. An experimental and kinetic modeling study of aging impact on surface and subsurface oxygen storage in three-way catalysts. Catal. Today 2019, 320, 51–60. [Google Scholar] [CrossRef]
  7. Suhonen, S.; Valden, M.; Hietikko, M.; Laitinen, R.; Savimäki, A.; Härkönen, M. Effect of Ce–Zr mixed oxides on the chemical state of Rh in alumina supported automotive exhaust catalysts studied by XPS and XRD. Appl. Catal. A-Gen. 2001, 218, 151–160. [Google Scholar] [CrossRef]
  8. Rafaj, Z.; Krutel, J.; Nehasil, V. Oxygen exchange between catalyst and active support during CO oxidation on Rh/CeO2(111) and Rh/CeO2(110): Isotope labeled 18O study. J. Phys. Chem. C 2021, 125, 15959–15966. [Google Scholar] [CrossRef]
  9. Kašpar, J.; Fornasiero, P.; Graziani, M. Use of CeO2-based oxides in the three-way catalysis. Catal. Today 1999, 50, 285–298. [Google Scholar] [CrossRef]
  10. Nakanishi, Y.; Suehiro, Y.; Hashimoto, M.; Narishige, T. Development of Low Temperature Active Three Way Catalyst. SAE Technical Paper 2019-01-1293. 2019. Available online: https://doi.org/10.4271/2019-01-1293 (accessed on 10 May 2021).
  11. Ojala, S.; Bion, N.; Gomes, S.R.; Keiski, R.L.; Duprez, D. Isotopic oxygen exchange over Pd/Al2O3 catalyst: Study on C18O2 and 18O2 exchange. ChemCatChem 2010, 2, 527–533. [Google Scholar] [CrossRef]
  12. Rajbala; Bhatia, D. Crystallite-scale approach to predict the oxygen storage capacity of a three-way catalyst for natural gas applications. Ind. Eng. Chem. Res. 2019, 58, 10271–10284. [Google Scholar] [CrossRef]
  13. Rood, S.; Eslava, S.; Manigrasso, A.; Bannister, C. Recent advances in gasoline three-way catalyst formulation: A review. Proc. Inst. Mech. Eng. Part J. Automob. Eng. 2020, 234, 936–949. [Google Scholar] [CrossRef]
  14. Hajar, Y.M.; Boreave, A.; Caravaca, A.; Vernoux, P.; Baranova, E.A. Isotopic oxygen exchange study to unravel noble metal oxide/support interactions: The case of RuO2 and IrO2 nanoparticles supported on CeO2, TiO2 and YSZ. ChemCatChem 2020, 12, 2548–2555. [Google Scholar] [CrossRef]
  15. Bouwmeester, H.J.M.; Song, C.; Zhu, J.; Yi, J.; Annaland, M.V.S.; Boukamp, B.A. A novel pulse isotopic exchange technique for rapid determination of the oxygen surface exchange rate of oxide ion conductors. Phys. Chem. Chem. Phys. 2009, 11, 9640–9643. [Google Scholar] [CrossRef] [PubMed]
  16. MacQueen, B.; Ruiz-Yi, B.; Royko, M.; Heyden, A.; Pagan-Torres, Y.; Williams, C.T.; Lauterbach, J.A. In-situ oxygen isotopic exchange vibrational spectroscopy of rhenium oxide surface structures on cerium oxide. J. Phys. Chem. C 2020, 124, 7174–7181. [Google Scholar] [CrossRef]
  17. Winter, L.R.; Chen, R.; Chen, X. Elucidating the roles of metallic Ni and oxygen vacancies in CO2 hydrogenation over Ni/CeO2 using isotope exchange and in situ measurements. Appl. Catal. B Environ. 2019, 245, 360–366. [Google Scholar] [CrossRef]
  18. Doornkamp, C.; Clement, M.; Ponec, V. The isotopic exchange reaction of oxygen on metal oxides. J. Catal. 1999, 182, 390–399. [Google Scholar] [CrossRef]
  19. Dong, F.; Tanabe, T.; Takahashi, N.; Shinjoh, H. Investigation of the effective oxygen storage and release performances on the Pt/CeO2-ZrO2 catalysts by breakthrough method. Catal. Today 2019, 332, 259–266. [Google Scholar] [CrossRef]
  20. Klier, K.; Nováková, J.; Jíru, P. Exchange reactions of oxygen between oxygen molecules and solid oxides. J. Catal. 1963, 2, 479–484. [Google Scholar] [CrossRef]
  21. Novakova, J. Isotopic exchange of oxygen 18O between the gaseous phase and oxide catalysts. Catal. Rev. 1971, 4, 77–113. [Google Scholar] [CrossRef]
  22. Descorme, C.; Madier, Y.; Duprez, D. Infrared study of oxygen adsorption and activation on cerium–zirconium mixed oxides. J. Catal. 2000, 196, 167–173. [Google Scholar] [CrossRef]
  23. Sadykov, V.; Eremeev, N.; Sadovskaya, E.; Bobin, A.; Ishchenko, A.; Pelipenko, V.; Muzykantov, V.; Krieger, T.; Amanbaeva, D. Oxygen mobility and surface reactivity of PrNi1−xCoxO3δperovskites and their nanocomposites with Ce0.9Y0.1O2−δ by temperature-programmed isotope exchange experiments. Solid State Ion. 2015, 273, 35–40. [Google Scholar] [CrossRef]
  24. Penkala, B.; Aubert, D.; Kaper, H.; Tardivat, C.; Conder, K.; Paulus, W. The role of lattice oxygen in CO oxidation over Ce18O2-based catalysts revealed under operando conditions. Catal. Sci. Technol. 2015, 5, 4839–4848. [Google Scholar] [CrossRef]
  25. Boaro, M.; Vicario, M.; de Leitenburg, C.; Dolcetti, G.; Trovarelli, A. The use of temperature-programmed and dynamic/transient methods in catalysis: Characterization of ceria-based, model three-way catalysts. Catal. Today 2003, 77, 407–417. [Google Scholar] [CrossRef]
  26. Marinho, A.L.A.; Rabelo-Neto, R.C.; Epron, F.; Bion, N.; Toniolo, F.S.; Noronha, F.B. Embedded Ni nanoparticles in CeZrO2 as stable catalyst for dry reforming of methane. Appl. Catal. B Environ. 2020, 268, 118387. [Google Scholar] [CrossRef]
  27. Liang, Q.; Wu, X.; Wu, X.; Weng, D. Role of surface area in oxygen storage capacity of ceria-zirconia as soot combustion catalyst. Catal. Lett. 2007, 119, 265–270. [Google Scholar] [CrossRef]
  28. Duprez, D. Study of surface reaction mechanisms by 16O/18O and H/D isotopic exchange. Catal. Today 2006, 112, 17–22. [Google Scholar] [CrossRef]
  29. Galdikas, A.; Bion, N.; Duprez, D.; Virbickas, V.; Mazelis, D. Modeling of diffusion process in the isotopic oxygen exchange experiments of CexZr(1−x)O2 catalysts. Mater. Sci. 2013, 19, 83–88. [Google Scholar] [CrossRef][Green Version]
  30. Den Otter, M.W.; Boukamp, B.A.; Bouwmeester, H.J.M. Theory of oxygen isotope exchange. Solid State Ion. 2001, 139, 89–94. [Google Scholar] [CrossRef]
  31. Farlenkov, A.S.; Khodimchuk, A.V.; Eremin, V.A.; Tropin, E.S.; Fetisov, A.V.; Shevyrev, N.A.; Leonidov, I.I.; Ananyev, M.V. Oxygen isotope exchange in doped lanthanum zirconates. J. Solid State Chem. 2018, 268, 45–54. [Google Scholar] [CrossRef]
  32. Sadovskaya, E.M.; Ivanova, Y.A.; Pinaeva, L.G.; Grasso, G.; Kuznetsova, T.G.; van Veen, A.; Sadykov, V.A.; Mirodatos, C. Kinetics of oxygen exchange over CeO2−ZrO2 fluorite-based catalysts. J. Phys. Chem. A 2007, 111, 4498–4505. [Google Scholar] [CrossRef] [PubMed]
  33. Galdikas, A.; Descorme, C.; Duprez, D. Surface diffusion upon oxygen isotopic exchange on oxide-supported metal nanoclusters. Solid State Ion. 2004, 166, 147–155. [Google Scholar] [CrossRef]
  34. Galdikas, A.; Descorme, C.; Duprez, D.; Dong, F.; Shinjoh, H. Study of the oxygen diffusion on three-way catalysts: A kinetic model. Top. Catal. 2004, 30, 405–409. [Google Scholar] [CrossRef]
  35. Madier, Y.; Descorme, C.; Le Govic, A.M.; Duprez, D. Oxygen mobility in CeO2 and CexZr(1−x)O2 compounds:  Study by CO transient oxidation and 18O/16O isotopic exchange. J. Phys. Chem. B 1999, 103, 10999–11006. [Google Scholar] [CrossRef]
  36. Madier, Y. Etude de la Mobilité et du Stockage de l’Oxygène par Echange Isotopique 18O/16O sur des Catalyseurs de Postcombustion à Base d’Oxydes de Terres Rares. Ph.D. Thesis, Poitiers University, Poitiers, Fance, 1999. [Google Scholar]
  37. Henry, C.R. Catalytic activity of supported nanometer-sized metal clusters. Appl. Surf. Sci. 2000, 164, 252–259. [Google Scholar] [CrossRef]
  38. Ananyev, M.V.; Porotnikova, N.M.; Eremin, V.A.; Kurumchin, E.K. Interaction of O2 with LSM–YSZ composite materials and oxygen spillover effect. ACS Catal. 2021, 11, 4247–4262. [Google Scholar] [CrossRef]
  39. Bedrane, S.; Descorme, C.; Duprez, D. Investigation of the oxygen storage process on ceria- and ceria-zirconia-supported catalysts. Catal. Today 2002, 75, 401–405. [Google Scholar] [CrossRef]
Publisher’s Note: MDPI stays neutral with regard to jurisdictional claims in published maps and institutional affiliations.

Article Metrics

Citations

Article Access Statistics

Multiple requests from the same IP address are counted as one view.