Chiral Liquid Crystalline Electronic Systems
Abstract
1. Introduction
1.1. Chiral Liquid Crystalline Phases
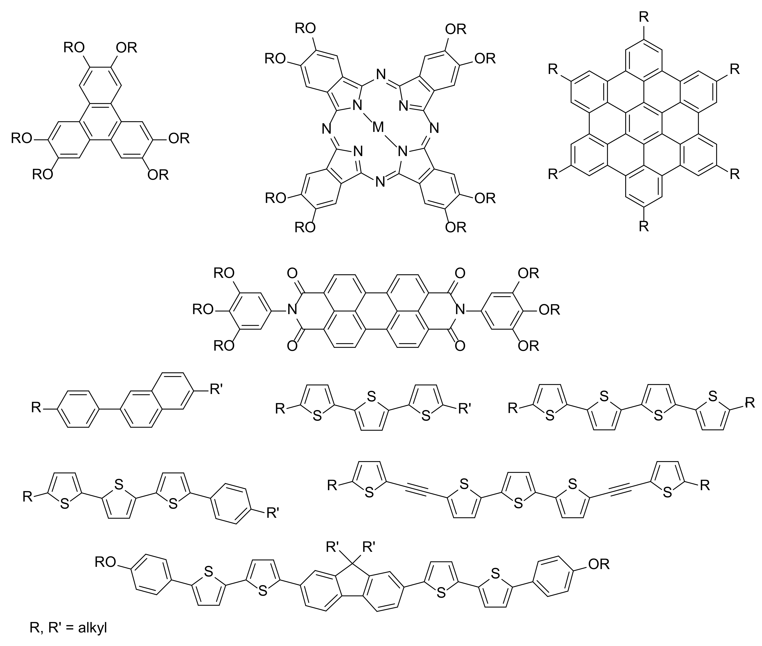
1.2. Liquid Crystalline Semiconductors
1.3. Chiral Liquid Crystalline Electronic Systems
2. Electronic Systems with the Chiral Nematic Order
2.1. Circularly Polarized Photoluminescence from N* Liquid Crystals
2.2. Circularly Polarized Electroluminescence from Twisted Electronic Systems
3. Liquid Crystalline Electronic Systems with Ferroelectricity
3.1. Bulk Photovoltaic Effect in Ferroelectric Solids
3.2. Bulk Photovoltaic Effect in Liquid Crystalline Systems
3.2.1. Ferroelectric Liquid Crystals
3.2.2. Chiral LC Systems
3.2.3. Achiral LC Systems
4. Conclusions
Funding
Institutional Review Board Statement
Informed Consent Statement
Data Availability Statement
Acknowledgments
Conflicts of Interest
References
- De Gennes, G.P.; Prost, J. The Physics of Liquid Crystals, 2nd ed.; Clarendon Press: Oxford, UK, 1997. [Google Scholar]
- Lagerwall, S.T. Ferroelectric and Antiferroelectric Liquid Crystals; Wiley-VCH: Weinheim, Germany, 1999. [Google Scholar]
- Kikuchi, H. Liquid Crystalline Blue Phases. Struct. Bond. 2007, 128, 99–117. [Google Scholar]
- Renn, S.R.; Lubensky, T.C. Abrikosov dislocation lattice in a model of the cholesteric–to–smectic-A transition. Phys. Rev. A 1988, 38, 2132–2147. [Google Scholar] [CrossRef]
- Funahashi, M. Development of Liquid-Crystalline Semiconductors with High Carrier Mobilities and Their Application to Thin-film Transistors. Polym. J. 2009, 41, 459–469. [Google Scholar] [CrossRef]
- Funahashi, M. Nanostructured liquid-crystalline semiconductors—A new approach to soft matter electronics. J. Mater. Chem. C 2014, 2, 7451–7459. [Google Scholar] [CrossRef]
- Funahashi, M. Solution-processable electronic and redox-active liquid crystals based on the design of side chains. Flex. Print. Electron. 2020, 5, 043001. [Google Scholar] [CrossRef]
- O’Neill, M.; Kelly, S.M. Ordered Materials for Organic Electronics and Photonics. Adv. Mater. 2010, 23, 566–584. [Google Scholar] [CrossRef]
- Funahashi, M.; Sonoda, A. Electron transport characteristics in nano-segregated columnar phases of perylene tetracarboxylic bisimide derivatives bearing oligosiloxane chains. Phys. Chem. Chem. Phys. 2014, 16, 7754–7763. [Google Scholar] [CrossRef] [PubMed]
- Funahashi, M.; Ishii, T.; Sonoda, A. Temperature-Independent Hole Mobility of a Smectic Liquid-Crystalline Semiconductor based on Band-Like Conduction. ChemPhysChem 2013, 14, 2750–2758. [Google Scholar] [CrossRef]
- Kato, T.; Yoshio, M.; Ichikawa, T.; Soberats, B.; Ohno, H.; Funahashi, M. Transport of ions and electrons in nanostructured liquid crystals. Nat. Rev. Mater. 2017, 2, 17001. [Google Scholar] [CrossRef]
- Adam, D.; Closs, F.; Frey, T.; Funhoff, D.; Haarer, D.; Ringsdorf, H.; Schuhmacher, P.; Siemensmeyer, K. Transient photo-conductivity in a discotic liquid crystal. Phys. Rev. Lett. 1993, 70, 457–460. [Google Scholar] [CrossRef]
- van de Craats, A.M.; Warman, J.M.; Fechtenkotter, A.; Brand, J.B.; Harbison, M.A.; Mullen, K. Record Charge Carrier Mobility in a Room-Temperature Discotic Liquid-Crystalline Derivative of Hexabenzocoronene. Adv. Mater. 1999, 11, 1469–1472. [Google Scholar] [CrossRef]
- Ban, K.; Nishikawa, K.; Ohta, K.; van de Craats, A.M.; Warman, J.M.; Yamamoto, I.; Shirai, H. Discotic liquid crystals of transition metal complexes 29: Mesomorphism and charge transport properties of alkylthiosubstituted phthalocyanine ra-re-earth metal sandwich complexes. J. Mater. Chem. 2001, 11, 321–331. [Google Scholar] [CrossRef]
- Würthner, F.; Saha-Möller, C.R.; Fimmel, B.; Ogi, S.; Leowanawat, P.; Schmidt, D. Perylene Bisimide Dye Assemblies as Archetype Functional Supramolecular Materials. Chem. Rev. 2016, 116, 962–1052. [Google Scholar] [CrossRef] [PubMed]
- Funahashi, M.; Sonoda, A. High electron mobility in a columnar phase of liquid-crystalline perylene tetracarboxylic bisimide bearing oligosiloxane chains. J. Mater. Chem. 2012, 22, 25190–25197. [Google Scholar] [CrossRef]
- Funahashi, M.; Hanna, J.-I. Fast ambipolar carrier transport in smectic phases of phenylnaphthalene liquid crystal. Appl. Phys. Lett. 1997, 71, 602–604. [Google Scholar] [CrossRef]
- Funahashi, M.; Hanna, J.-I. High Carrier Mobility up to 0.1 cm2 V−1 s−1 at Ambient Temperatures in Thiophene-Based Smectic Liquid Crystals. Adv. Mater. 2005, 17, 594–598. [Google Scholar] [CrossRef]
- Funahashi, M.; Kato, T. Design of Liquid Crystals: From George Gray’s Nematic Molecules to Thiophene-based π-Conjugated Molecules. Liq. Cryst. 2015, 42, 909–917. [Google Scholar]
- Zhang, H.; Shiino, S.; Shishido, A.; Kanazawa, A.; Tsutsumi, O.; Shiono, T.; Ikeda, T. A Thiophene Liquid Crystal as a Novel π-Conjugated Dye for Photo-Manipulation of Molecular Alignment. Adv. Mater. 2000, 12, 1336–1339. [Google Scholar] [CrossRef]
- Matsui, A.; Funahashi, M.; Tsuji, T.; Kato, T. Hole Transport in Liquid-Crystalline Polymers with a Polysiloxane Backbone and a Phenylterthiophene Moiety in the Side Chain. Chem. Eur. J. 2010, 16, 13465–13472. [Google Scholar] [CrossRef]
- Aldred, M.P.; Contoret, A.E.A.; Farrar, S.R.; Kelly, S.M.; Mathieson, D.; O’Neill, M.; Tsoi, W.C.; Vlachos, P. A Full-Color Electroluminescent Device and Patterned Photoalignment Using Light-Emitting Liquid Crystals. Adv. Mater. 2005, 17, 1368–1372. [Google Scholar] [CrossRef]
- Funahashi, M.; Zhang, F.; Tamaoki, N. High ambipolar mobility in highly ordered smectic phase of dialkylphenylter-thiophene derivative that can be applied to solution-processed organic field effect transistors. Adv. Mater. 2007, 19, 353–358. [Google Scholar] [CrossRef]
- Pisula, W.; Menon, A.; Stepputat, M.; Lieberwirth, I.; Kolb, U.; Tracz, A.; Sirringhaus, H.; Pakula, T.; Mullen, K. A Zone Cast-ing Technique for Device Fabrication of Field-Effect Transistors Based on Discotic Hexa-peri-Hexabenzocoronene. Adv. Mater. 2005, 17, 684–689. [Google Scholar] [CrossRef]
- Van Breemen, A.J.J.M.; Herwig, P.T.; Chlon, C.H.T.; Sweelssen, J.; Schoo, H.F.M.; Setayesh, S.S.; Hardeman, W.M.; Martin, C.A.; De Leeuw, D.M.; Valeton, J.J.P.; et al. Large Area Liquid Crystal Monodomain Field-Effect Transistors. J. Am. Chem. Soc. 2006, 128, 2336–2345. [Google Scholar] [CrossRef]
- Zhang, F.; Funahashi, M.; Tamaoki, N. High-performance thin film transistors from semiconducting liquid crystalline phases by solution processes. Appl. Phys. Lett. 2007, 91, 063515. [Google Scholar] [CrossRef]
- Iino, H.; Usui, T.; Hanna, J.-I. Liquid crystals for organic thin-film transistors. Nat. Commun. 2015, 6, 6828. [Google Scholar] [CrossRef]
- Hori, T.; Miyake, Y.; Yamasaki, N.; Yoshida, H.; Fujii, A.; Shimizu, Y.; Ozaki, M. Solution Processable Organic Solar Cell Based on Bulk Heterojunction Utilizing Phthalocyanine Derivative. Appl. Phys. Express 2010, 3, 101602. [Google Scholar] [CrossRef]
- Shin, W.; Yasuda, T.; Watanabe, G.; Yang, Y.S.; Adachi, C. SelfOrganizing Mesomorphic Diketopyrrolo-pyrrole Deriva-tives for Efficient Solution-Processed Organic Solar Cells. Chem. Mater. 2013, 25, 2549. [Google Scholar] [CrossRef]
- Schmidt-Mende, L.; Fechtenkötter, A.; Müllen, K.; Moons, E.; Friend, R.H.; MacKenzie, J.D. Self-Organized Discotic Liquid Crystals for High-Efficiency Organic Photovoltaics. Science 2001, 293, 1119–1122. [Google Scholar] [CrossRef]
- Funahashi, M.; Tamaoki, N. Electronic Conduction in the Chiral Nematic Phase of an Oligothiophene Derivative. ChemPhysChem 2006, 7, 1193–1197. [Google Scholar] [CrossRef] [PubMed]
- Funahashi, M.; Tamaoki, N. Effect of pretransitional organization in cholesteric phases of oligothiophene derivatives on their carrier transport characteristics. Chem. Mater. 2007, 19, 608–617. [Google Scholar] [CrossRef]
- Woon, K.L.; Aldred, M.P.; Vlachos, P.; Mehl, G.H.; Stirner, T.; Kelly, S.M.; O’Neill, M. Electronic Charge Transport in Ex-tended Nematic Liquid Crystals. Chem. Mater. 2006, 18, 2311–2317. [Google Scholar] [CrossRef]
- Tokunaga, K.; Takayashiki, Y.; Iino, H.; Hanna, J.-I. Electronic conduction in nematic phase of small molecules. Phys. Rev. B 2009, 79, 033201. [Google Scholar] [CrossRef]
- Furumi, S.; Tamaoki, N. Glass-Forming Cholesteric Liquid Crystal Oligomers for New Tunable Solid-State Laser. Adv. Mater. 2010, 22, 886–891. [Google Scholar] [CrossRef]
- Araoka, F.; Shin, K.-C.; Takanishi, Y.; Ishikawa, K.; Takezoe, H.; Zhu, Z.; Swager, T.M. How doping a cholesteric liquid crystal with polymeric dye improves an order parameter and makes possible low threshold lasing. J. Appl. Phys. 2003, 94, 279–283. [Google Scholar] [CrossRef]
- Matsui, T.; Ozaki, R.; Funamoto, K.; Ozaki, M.; Yoshino, K. Flexible mirror-less laser based on a free-standing film of pho-topolymerized cholesteric liquid crystal. Appl. Phys. Lett. 2002, 81, 3741–3743. [Google Scholar] [CrossRef]
- Finkelmann, H.; Kim, S.T.; Munoz, A.; Palffy-Muhoray, P.; Taheri, B. Tunable mirrorless lasing in cholesteric liquid crystal-line elastomers. Adv. Mater. 2001, 13, 1069–1072. [Google Scholar] [CrossRef]
- Chen, S.H.; Katsis, D.; Schmid, A.W.; Mastrangelo, J.C.; Tsutsui, T.; Blanton, T.N. Circularly polarized light generated by photoexcitation of luminophores in glassy liquid-crystal films. Nat. Cell Biol. 1999, 397, 506–508. [Google Scholar] [CrossRef]
- Zhao, D.; He, H.; Gu, X.; Guo, L.; Wong, K.S.; Lam, J.W.Y.; Tang, B.Z. Circularly Polarized Luminescence and a Reflec-tive-Photoluminescent Chiral Nematic Liquid Crystal Display Based on an Aggregation-Induced Emission Luminogen. Adv. Opt. Mater. 2016, 4, 534–539. [Google Scholar] [CrossRef]
- Woon, K.L.; O’Neill, M.; Richards, G.J.; Aldred, M.P.; Kelly, S.M.; Fox, A.M. Highly circularly polarized photolumines-cence over a broad spectral range from a calamitic, hole-transporting, and chiral nematic glass and from an indirectly ex-cited dye. Adv. Mater. 2003, 15, 1555–1558. [Google Scholar] [CrossRef]
- Hamamoto, T.; Funahashi, M. Circularly polarized light emission from a chiral nematic phenylterthiophene dimer exhib-iting ambipolar carrier transport. J. Mater. Chem. C 2015, 3, 6891–6900. [Google Scholar] [CrossRef]
- Zhang, D.-W.; Li, M.; Chen, C.-F. Recent advances in circularly polarized electroluminescence based on organic light-emitting diodes. Chem. Soc. Rev. 2020, 49, 1331–1343. [Google Scholar] [CrossRef] [PubMed]
- Zinna, F.; Giovanella, U.; Di Bari, L. Highly Circularly Polarized Electroluminescence from a Chiral Europium Complex. Adv. Mater. 2015, 27, 1791–1795. [Google Scholar] [CrossRef]
- Brandt, J.R.; Wang, X.-H.; Yang, Y.; Campbell, A.J.; Fuchter, M.J. Circularly Polarized Phosphorescent Electroluminescence with a High Dissymmetry Factor from PHOLEDs Based on a Platinahelicene. J. Am. Chem. Soc. 2016, 138, 9743–9746. [Google Scholar] [CrossRef] [PubMed]
- Feuillastre, S.; Pauton, M.; Gao, L.; Desmarchelier, A.; Riives, A.J.; Prim, D.; Tondelier, D.; Geffroy, B.; Muller, G.; Clavier, G.; et al. Design and Synthesis of New Circularly Polarized Thermally Activated Delayed Fluorescence Emitters. J. Am. Chem. Soc. 2016, 138, 3990–3993. [Google Scholar] [CrossRef] [PubMed]
- Peeters, E.; Christiaans, M.P.T.; Janssen, R.A.J.; Schoo, H.F.M.; Dekkers, A.H.P.J.M.; Meijer, E.W. Circularly Polarized Electroluminescence from a Polymer Light-Emitting Diode. J. Am. Chem. Soc. 1997, 119, 9909–9910. [Google Scholar] [CrossRef]
- Geng, Y.; Trajkovska, A.; Culligan, S.W.; Ou, J.J.; Chen, H.M.P.; Katsis, D.; Chen, S.H. Origin of Strong Chiroptical Activi-ties in Films of Nonafluorenes with a Varying Extent of Pendant Chirality. J. Am. Chem. Soc. 2003, 125, 14032–14038. [Google Scholar] [CrossRef]
- Di Nuzzo, D.; Kulkarni, C.; Zhao, B.; Smolinsky, E.; Tassinari, F.; Meskers, S.C.J.; Naaman, R.; Meijer, E.W.; Friend, R.H. High Circular Polarization of Electroluminescence Achieved via Self-Assembly of a Light-Emitting Chiral Conjugated Polymer into Multidomain Cholesteric Films. ACS Nano 2017, 11, 12713–12722. [Google Scholar] [CrossRef]
- Wan, L.; Wade, J.; Salerno, F.; Arteaga, O.; Laidlaw, B.; Wang, X.; Penfold, T.; Fuchter, M.J.; Campbell, A.J. Inverting the Handedness of Circularly Polarized Luminescence from Light-Emitting Polymers Using Film Thickness. ACS Nano 2019, 13, 8099–8105. [Google Scholar] [CrossRef]
- Lee, D.-M.; Song, J.-W.; Lee, Y.-J.; Yu, C.-J.; Kim, J.-H. Control of Circularly Polarized Electroluminescence in Induced Twist Structure of Conjugate Polymer. Adv. Mater. 2017, 29, 1700907. [Google Scholar] [CrossRef]
- Jung, J.-H.; Lee, D.-M.; Kim, J.-H.; Yu, C.-J. Circularly polarized electroluminescence by controlling the emission zone in a twisted mesogenic conjugate polymer. J. Mater. Chem. C 2017, 6, 726–730. [Google Scholar] [CrossRef]
- Butler, K.T.; Frost, J.M.; Walsh, A. Ferroelectric materials for solar energy conversion: Photoferroics revisited. Energy Environ. Sci. 2015, 8, 838–848. [Google Scholar] [CrossRef]
- Köhler, A.; Bässler, H. Electronic Processes in Organic Semiconductors: An Introduction; Wiley-VCH Verlag GmbH & Co. KGaA: Weinheim, Germany, 2015. [Google Scholar]
- Elumalai, N.K.; Uddin, A. Open circuit voltage of organic solar cells: An in-depth review. Energy Environ. Sci. 2016, 9, 391–410. [Google Scholar] [CrossRef]
- Werner, J.; Weng, C.-H.; Walter, A.; Fesquet, L.; Seif, J.P.; De Wolf, S.; Niesen, B.; Ballif, C. Efficient Monolithic Perov-skite/Silicon Tandem Solar Cell with Cell Area > 1 cm2. J. Phys. Chem. Lett. 2016, 7, 161–166. [Google Scholar] [CrossRef] [PubMed]
- Liu, W.; Li, S.; Huang, J.; Yang, S.; Chen, J.; Zuo, L.; Shi, M.; Zhan, X.; Li, C.-Z.; Chen, H. Nonfullerene Tandem Organic Solar Cells with High Open-Circuit Voltage of 1.97 V. Adv. Mater. 2016, 28, 9729–9734. [Google Scholar] [CrossRef] [PubMed]
- Glass, A.M.; Von Der Linde, D.; Negran, T.J. High-voltage bulk photovoltaic effect and the photorefractive process in LiNbO3. Appl. Phys. Lett. 1974, 25, 233–235. [Google Scholar] [CrossRef]
- Koch, W.; Munser, R.; Ruppel, W.; Würfel, P. Bulk photovoltaic effect in BaTiO3. Solid State Commun. 1975, 17, 847–850. [Google Scholar] [CrossRef]
- Choi, T.; Lee, S.; Choi, Y.J.; Kiryukhin, V.; Cheong, S.-W. Switchable Ferroelectric Diode and Photovoltaic Effect in BiFeO3. Science 2009, 324, 63–66. [Google Scholar] [CrossRef]
- Yang, S.Y.; Seidel, J.; Byrnes, S.J.; Shafer, P.; Yang, C.-H.; Rossell, M.D.; Yu, P.; Chu, Y.-H.; Scott, J.F.; Ager, J.W.; et al. Above-bandgap voltages from ferroelectric photovoltaic devices. Nat. Nanotechnol. 2010, 5, 143–147. [Google Scholar] [CrossRef]
- Horiuchi, S.; Tokura, Y. Organic ferroelectrics. Nat. Mater. 2008, 7, 357–366. [Google Scholar] [CrossRef]
- Horiuchi, S.; Tokunaga, Y.; Giovannetti, G.; Picozzi, S.; Itoh, H.; Shimano, R.; Kumai, R.; Tokura, Y. Above-room-temperature ferroelectricity in a single-component molecular crystal. Nat. Cell Biol. 2010, 463, 789–792. [Google Scholar] [CrossRef]
- Furukawa, T.; Nakajima, T.; Takahashi, Y. Factors governing ferroelectric switching characteristics of thin VDF/TrFE co-polymer films. IEEE Trans. Dielectric. Electr. Insul. 2006, 13, 1120–1131. [Google Scholar] [CrossRef]
- Hartmann, W.J. Ferroelectric liquid crystal displays for television application. Ferroelectrics 1991, 122, 1–26. [Google Scholar] [CrossRef]
- Sasabe, H.; Nakayama, T.; Kumazawa, K.; Miyata, S.; Fukada, E. Photovoltaic Effect in Poly(vinilydene fluoride). Polym. J. 1981, 13, 967–973. [Google Scholar] [CrossRef]
- Sugita, A.; Suzuki, K.; Tasaka, S. Ferroelectric properties of a triphenylene derivative with polar functional groups in the crystalline state. Phys. Rev. B 2004, 69, 212201. [Google Scholar] [CrossRef]
- Nakamura, M.; Horiuchi, S.; Kagawa, F.; Ogawa, N.; Kurumaji, T.; Tokura, Y.; Kawasaki, M. Shift current photovoltaic effect in a ferroelectric charge-transfer complex. Nat. Commun. 2017, 8, 1–6. [Google Scholar] [CrossRef]
- Meyer, R.B.; Liebert, L.; Strzelecki, L.; Keller, P. Ferroelectric liquid crystals. J. Phys. Lett. 1975, 36, 69–71. [Google Scholar] [CrossRef]
- Clark, N.A.; Lagerwall, S.T. Submicrosecond bistable electro-optic switching in liquid crystals. Appl. Phys. Lett. 1980, 36, 899–901. [Google Scholar] [CrossRef]
- Bock, H.; Helfrich, W. Two ferroelectric phases of a columnar dibenzopyrene. Liq. Cryst. 1995, 18, 387–399. [Google Scholar] [CrossRef]
- Kishikawa, K.; Nakahara, S.; Nishikawa, Y.; Kohmoto, S.; Yamamoto, M. A Ferroelectrically Switchable Columnar Liquid Crystal Phase with Achiral Molecules: Superstructures and Properties of Liquid Crystalline Ureas. J. Am. Chem. Soc. 2005, 127, 2565–2571. [Google Scholar] [CrossRef]
- Miyajima, D.; Araoka, F.; Takezoe, H.; Kim, J.; Kato, K.; Takata, M.; Aida, T. Ferroelectric Columnar Liquid Crystal Featur-ing Confined Polar Groups within Core–Shell Architecture. Science 2012, 336, 209–213. [Google Scholar] [CrossRef]
- Funatsu, Y.; Sonoda, A.; Funahashi, M. Ferroelectric liquid-crystalline semiconductors based on a phenylterthiophene skel-eton: Effect of introduction of oligosiloxane moieties and photovoltaic effect. J. Mater. Chem. C 2015, 3, 1982–1993. [Google Scholar] [CrossRef]
- Seki, A.; Funahashi, M. Photovoltaic Effects in Ferroelectric Liquid Crystals based on Phenylterthiophene Derivatives. Chem. Lett. 2016, 45, 616–618. [Google Scholar] [CrossRef]
- Seki, A.; Funatsu, Y.; Funahashi, M.; Seki, A. Anomalous photovoltaic effect based on molecular chirality: Influence of enantiomeric purity on the photocurrent response in π-conjugated ferroelectric liquid crystals. Phys. Chem. Chem. Phys. 2017, 19, 16446–16455. [Google Scholar] [CrossRef]
- Seki, A.; Funahashi, M. Chiral photovoltaic effect in an ordered smectic phase of a phenylterthiophene derivative. Org. Electron. 2018, 62, 311–319. [Google Scholar] [CrossRef]
- Funahashi, M.; Mori, Y. Linearly polarized electroluminescence device in which the polarized plane can be rotated electri-cally using a chiral liquid crystalline semiconductor. Mater. Chem. Front. 2020, 4, 2137–2148. [Google Scholar] [CrossRef]
- Mori, Y.; Funahashi, M. Bulk photovoltaic effect in organic binary systems consisting of a ferroelectric liquid crystalline semiconductor and fullerene derivatives. Org. Electron. 2020, 87, 105962. [Google Scholar] [CrossRef]
- Seki, A.; Yoshio, M.; Mori, Y.; Funahashi, M. Ferroelectric Liquid-Crystalline Binary Mixtures Based on Achiral and Chiral Trifluoromethylphenylterthiophenes. ACS Appl. Mater. Interfaces 2020, 12, 53029–53038. [Google Scholar] [CrossRef]
- Anetai, H.; Wada, Y.; Takeda, T.; Hoshino, N.; Yamamoto, S.; Mitsuishi, M.; Takenobu, T.; Akutagawa, T. Fluorescent Ferro-electrics of Hydrogen-Bonded Pyrene Derivatives. J. Phys. Chem. Lett. 2015, 6, 1813–1818. [Google Scholar] [CrossRef] [PubMed]
- Zhang, C.; Nakano, K.; Nakamura, M.; Araoka, F.; Tajima, K.; Miyajima, D. Noncentrosymmetric Columnar Liquid Crystals with the Bulk Photovoltaic Effect for Organic Photodetectors. J. Am. Chem. Soc. 2020, 142, 3326–3330. [Google Scholar] [CrossRef]
















Publisher’s Note: MDPI stays neutral with regard to jurisdictional claims in published maps and institutional affiliations. |
© 2021 by the author. Licensee MDPI, Basel, Switzerland. This article is an open access article distributed under the terms and conditions of the Creative Commons Attribution (CC BY) license (https://creativecommons.org/licenses/by/4.0/).
Share and Cite
Funahashi, M. Chiral Liquid Crystalline Electronic Systems. Symmetry 2021, 13, 672. https://doi.org/10.3390/sym13040672
Funahashi M. Chiral Liquid Crystalline Electronic Systems. Symmetry. 2021; 13(4):672. https://doi.org/10.3390/sym13040672
Chicago/Turabian StyleFunahashi, Masahiro. 2021. "Chiral Liquid Crystalline Electronic Systems" Symmetry 13, no. 4: 672. https://doi.org/10.3390/sym13040672
APA StyleFunahashi, M. (2021). Chiral Liquid Crystalline Electronic Systems. Symmetry, 13(4), 672. https://doi.org/10.3390/sym13040672

