Next Article in Journal
Cosmological Solutions for the Geometrical Scalar-Tensor with the Potential Determined by the Noether Symmetry Approach
Next Article in Special Issue
Symmetry Breaking of Phospholipids
Previous Article in Journal
Potentially Mistaking Enantiomers for Different Compounds Due to the Self-Induced Diastereomeric Anisochronism (SIDA) Phenomenon
 
 
Font Type:
Arial Georgia Verdana
Font Size:
Aa Aa Aa
Line Spacing:
Column Width:
Background:
Article

Racemic Phospholipids for Origin of Life Studies †

1
Chemistry Department, Università degli studi di Bari “Aldo Moro”, Via Orabona 4, 70125 Bari, Italy
2
Institut de Chimie et de Biochimie Moléculaires et Supramoléculaires (UMR 5246), Université Claude Bernard Lyon 1, Université de Lyon, Bât. Edgar Lederer, 1 rue Victor Grignard, CEDEX, F-69622 Villeurbanne, France
3
Department of Biological and Environmental Sciences and Technologies (DiSTeBA), University of Salento, Strada Provinciale Lecce-Monteroni, Ecotekne, 73100 Lecce, Italy
*
Authors to whom correspondence should be addressed.
In memory of Océane.
Equal contribution.
§
Current address C2TN-Centro de Ciências e Tecnologias Nucleares, Instituto Superior Técnico, Universidade de Lisboa, 1649-004 Lisbon, Portugal.
Symmetry 2020, 12(7), 1108; https://doi.org/10.3390/sym12071108
Submission received: 27 May 2020 / Revised: 28 June 2020 / Accepted: 30 June 2020 / Published: 3 July 2020
(This article belongs to the Special Issue Chirality and the Origin of Life)

Abstract

Although prebiotic condensations of glycerol, phosphate and fatty acids produce phospholipid esters with a racemic backbone, most experimental studies on vesicles intended as protocell models have been carried out by employing commercial enantiopure phospholipids. Current experimental research on realistic protocell models urgently requires racemic phospholipids and efficient synthetic routes for their production. Here we propose three synthetic pathways starting from glycerol or from racemic solketal (α,β-isopropylidene-dl-glycerol) for the gram-scale production (up to 4 g) of racemic phospholipid ester precursors. We describe and compare these synthetic pathways with literature data. Racemic phosphatidylcholines and phosphatidylethanolamines were obtained in good yields and high purity from 1,2-diacylglycerols. Racemic POPC (rac-POPC, (R,S)-1-palmitoyl-2-oleoyl-3-phosphocholine), was used as a model compound for the preparation of giant vesicles (GVs). Confocal laser scanning fluorescence microscopy was used to compare GVs prepared from enantiopure (R)-POPC), racemic POPC (rac-POPC) and a scalemic mixture (scal-POPC) of (R)-POPC enriched with rac-POPC. Vesicle morphology and size distribution were similar among the different (R)-POPC, rac-POPC and scal-POPC, while calcein entrapments in (R)-POPC and in scal-POPC were significantly distinct by about 10%.

1. Introduction

In a series of papers published in 1848, Louis Pasteur argued that the crystals of both (+)-tartaric and (–)-tartaric acids were composed of the same molecules, albeit bearing different symmetries. When combined in what is now called a racemic mixture, the different molecules cancelled each other’s ability to rotate the direction of uniformly polarized light; he described these samples as “dissymmetric crystals facing one another in a mirror” [1]. At the time, Pasteur probably ignored the fact that he was giving birth to one of the major questions of natural sciences: given that racemic mixtures are produced in any achiral environment, and that both mirror-imaged molecular forms, now called enantiomers, have, to the limits of detection, exactly identical energies and reactivity, how did the biological homochiral world emerge from the primitive inanimate and achiral environment? In other words, the big question is not the appearance of chiral molecules, but how the population symmetry of dissymmetric objects was broken, that is, the fact that dissymmetric objects of the same potential energy became strongly unequally populated [2].
Indeed, a stochastic formation of dimers (or any n-mers), accompanied by a differential stability/activity of homochiral structures when compared to the heterochiral structures, can be included in the causes accounting for the evolution to our contemporary homochiral world [3]. Moreover, chemical reactions can amplify—by autocatalysis—an initially small enantiomeric imbalance; the Soai reaction is a most prominent example [4,5,6]. The experimental investigation on symmetry breaking and on the propagation of homochirality in primitive times has made progress over the years.
Phospholipids are clearly more complex than the simpler amphiphiles such as fatty acids [7], mono-alkyl phosphates [8,9,10,11], and isoprenoids [12], and most probably they participated in the formation of protocellular membranes together with several other components [13]. Phospholipids, in addition to their chemical diversity of headgroups and tails, are chiral molecules. Theory predicts and experimental evidence confirms that phospholipids form abiotically as racemic mixtures [14,15,16,17,18,19]. The starting materials (i.e., glycerol and fatty acids for the formation of diacylglycerols) are achiral and primordial non-enzymatic condensation reactions do not lead to any symmetry breaking. On the other hand, although it can be speculated that chiral phospholipids could arise in scalemic or enantiopure forms thanks to supposedly available chiral and markedly non-racemic catalysts such as peptides [20], RNA [21,22] or chiral crystals [16,23,24], to date there are no experimental clues to support such a hypothesis. A few examples are represented by the chiral recognition of l-amino acids by liposomes prepared from (S)-phosphocholines [25] or enantioselective reactions carried out in liposomes driven by the presence of l-proline [26].
From the above-mentioned considerations, efficient synthetic routes to prepare racemic phospholipids are needed to extend studies of primitive membrane models. Racemic, scalemic (non-racemic not enantiopure either), and enantiopure phospholipid systems, alone or in a mixture with their precursors (such as fatty acids, mono- and diacylglycerols), must be investigated to address relevant questions of how primitive and most likely racemic phospholipids evolved toward enantiopure phospholipids (Figure 1). For example, do racemic, scalemic or enantiopure phospholipids self-assemble into membranes containing different properties with respect to membrane stability, encapsulation capacity and permeation of chiral molecules such as peptides, enzymes [27,28,29,30] or achiral molecules such as calcein [18,31]? Are they able to sustain dynamical processes such as shrinking, swelling, growth and division [32,33]? Are the processes occurring in their hydrophobic domain significantly affected by enantiomeric excesses [34]? Enantiomer-enriched (scalemic) membranes could affect the “symmetry breaking” of phospholipids themselves, as well as of other biomolecules, by providing a matrix for enantiomer selection at the supramolecular level. Such mechanisms would have been critical during early stages of protocell evolution and before the onset of homochirality as we know it today.
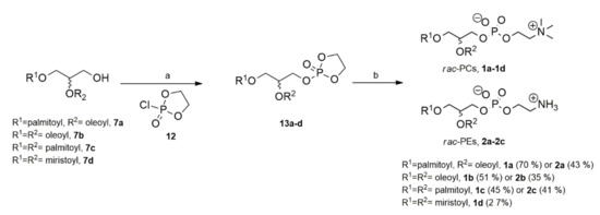
Although the preparation of enantiopure phospholipid esters has been extensively reviewed during the past forty years [35,36], to the best of our knowledge, no large-scale synthesis of racemic phospholipids has ever been reported. The syntheses are usually reported at small scales, except for few chiral building blocks that are expensive or not easy to produce, such as (S)-2,3-O-isopropylideneglycerol ((S)-solketal) [37], (S)-glycidol [38], and l-glyceric acid [39]. d-Mannitol derivatives and d-or l-serine were also extensively used as chiral educts [36]. Thus, we prepared racemic phospholipids by optimizing the synthetic routes that were used for their enantiopure congeners. Four racemic phosphatidylcholines (1a1d, Figure 1) and three racemic phosphatidylethanolamines (2a2c, Figure 1) were synthetized from four different key racemic 1,2-diacylglycerols using different chemical pathways (Scheme 1). Commercially available achiral or racemic building blocks were used for the large-scale synthesis. In addition, POPC was selected as a model molecule to compare three distinct chemical synthetic pathways named A, B and C for its large-scale preparation (Scheme 1). The enantiopure precursor of (R)-POPC, 1-palmitoyl-2-oleoyl-sn-3-glycerol, was also synthesized in large scale from commercially available (S)-solketal, (S)-3b [37]. The characterizations of all compounds were performed via 1D and 2D 1H and 13C NMR spectroscopy and mass spectrometry (cf. Materials and Methods, Appendix A). Comparisons of giant vesicles (GVs) made from commercial enantiopure (R)-POPC with those made from rac-POPC and scalemic mixtures, i.e., rac-POPC enriched with (R)-POPC in a 1:1 molar ratio (scal-POPC, R:S = 2:1), deriving from our synthetic pathways, were performed using confocal laser scanning microscopy analysis.

2. Results

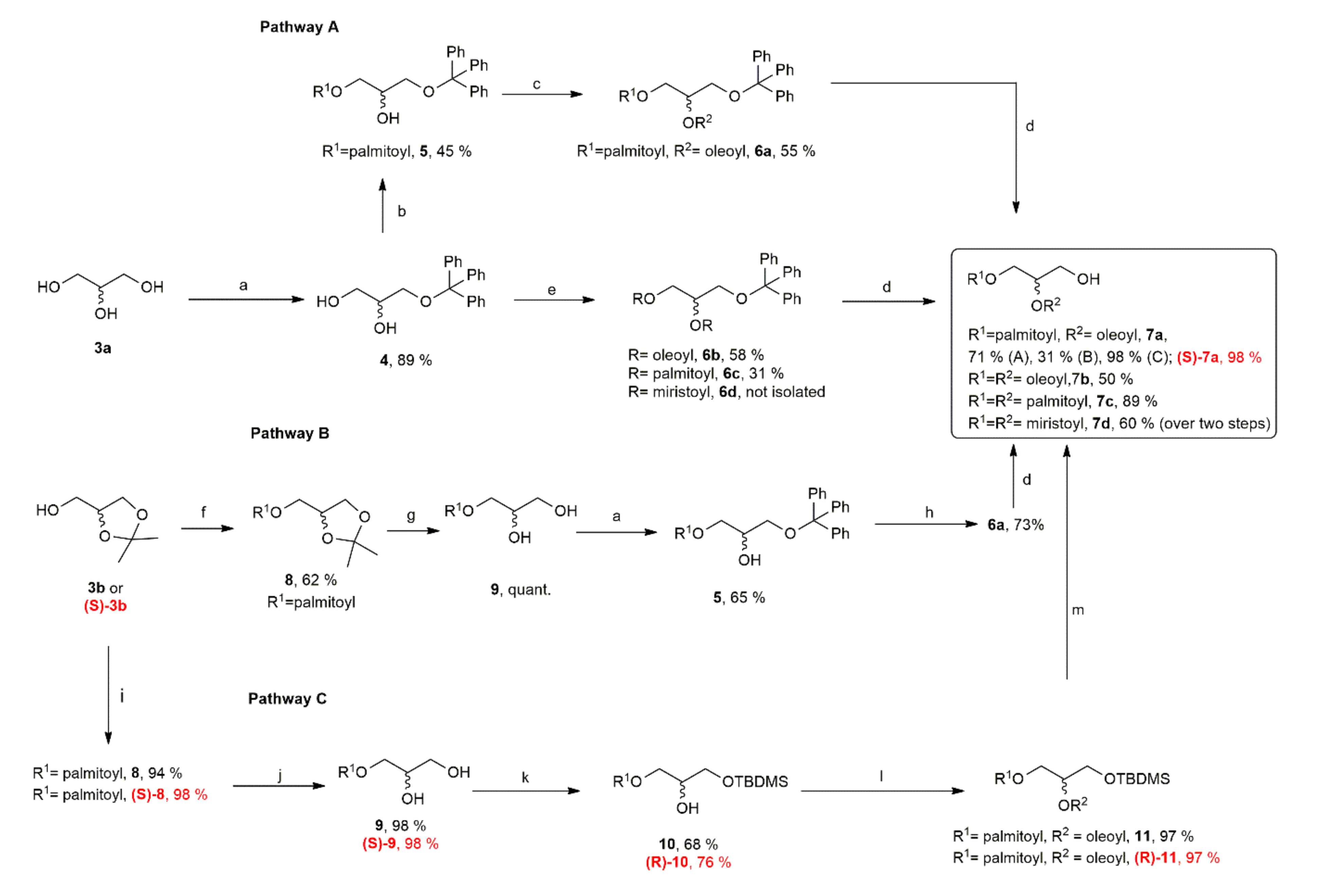
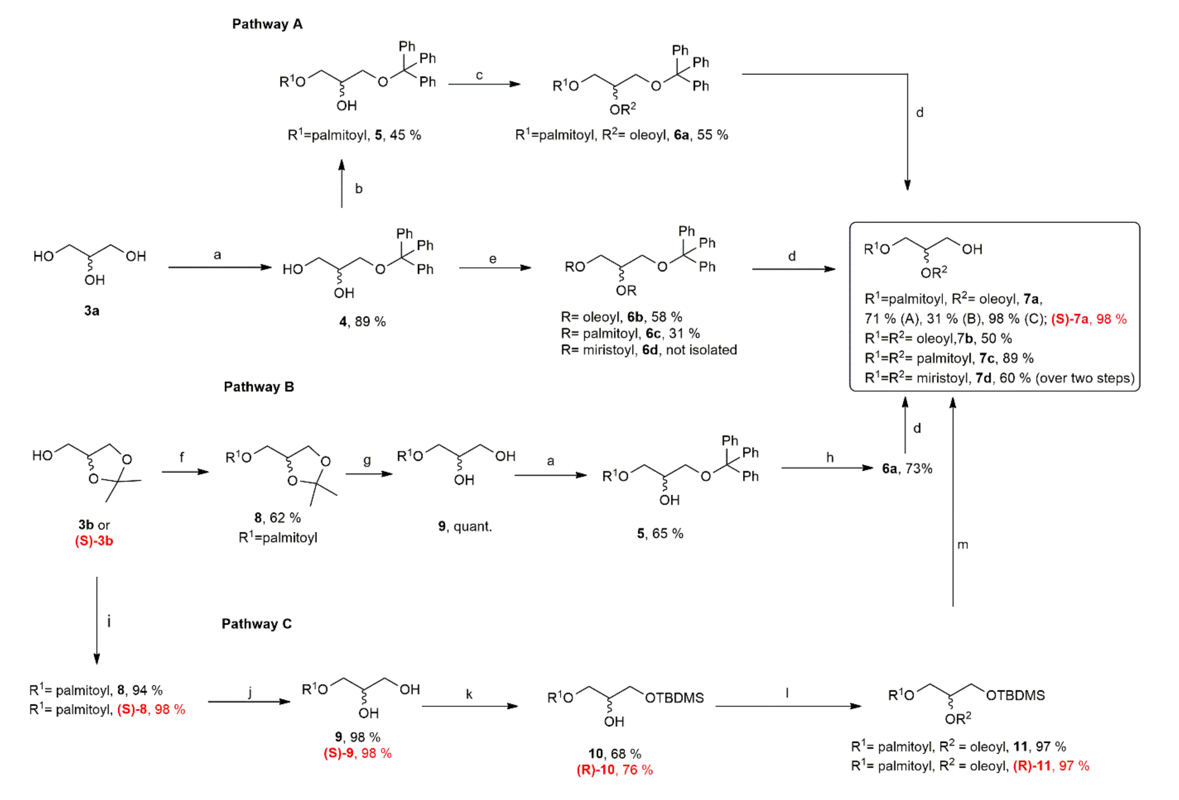
Racemic phospholipids were produced by first acylating a suitably protected racemic glycerol, then phosphorylating it. This strategy resembles the expected prebiotic formation of phospholipids [18,40]. As a model molecule for our speculation, racemic 1,2-dioleoylglycerol was synthesized under conditions identical to those reported for the naturally occurring enantiopure diacylglycerols [39]. The molecule was prepared at a medium-scale and this was crucial for carrying out a study on the properties of the resulting vesicles with no parsimony of starting material [18]. The three different chemical pathways bear the advantage of using pro-chiral compounds such as glycerol (3a), or racemic mixtures of glycerol derivatives, such as α,β-isopropylidene-dl-glycerol (3b, rac-solketal). Both molecules represent very good sources of starting material for the preparation of racemic phospholipid esters [41].

2.1. Synthesis of Racemic Di-Acyl Glycerols 7a7d

2.1.1. Pathway A

Glycerol (3a) served as a common pro–chiral building block for the synthesis of four different racemic diacyl glycerols (rac-DAG, 7a7d, Scheme 1). The preparation of rac-DAGs bearing two different acyl chains (7a) required one or two additional steps compared with the synthesis of those bearing two identical acyl chains (7b7d, Scheme 1). The derivative 3a was protected on a 10-gram scale with triphenylmethyl chloride (TrtCl), catalytic 4-dimethylaminopyridine (DMAP) and triethylamine (Et3N) to afford the product 4 in very good yields (89%) after precipitation from dichloromethane/pentane (1:10, v/v) [39]. 1-Palmitoyl-3-trityl-glycerol (5) was obtained upon the reaction of 4 with palmitic anhydride in the presence of DMAP. After 48 h, the product was obtained in a modest 45% yield due notably to the difficult removal of residual palmitic acid in the crude mixtures. The insertion of the oleoyl chain was performed by reacting 5 with oleic acid, DMAP and N-(3-dimethylaminopropyl)-N′-ethylcarbodiimide hydrochloride (EDC∙HCl) in dry CH2Cl2. The overnight reaction, followed by purification over a silica gel column, yielded 6a in a decent yield (55%). The key compound 7a was obtained from 6a by slight modifications of previously reported conditions [39] and with an improved yield (71%). Dilute HCl was added dropwise over 6 h to a diluted solution of 6a kept at 0 °C (Scheme 1, step d). The reaction was left stirring overnight and allowed the complete deprotection of the trityl group avoiding the acyl migration inconvenience previously observed [18]. The overall yield of 7a using pathway A was 16% as reported in Table 1, entry 1. Racemic 7b7d bearing, respectively, two oleoyl, two palmitoyl or two myristoyl chains, were obtained by reacting the product 4 with the corresponding acyl chlorides in the presence of DMAP. These reactions were also performed on a gram-scale and the products were obtained with yields ranging from 31 to 58%. The product 6b and 6c were purified, while 6d was recovered in a form sufficiently pure to omit further purification, allowing the overall yield of 7d to be drastically increased, as reported in Table A1 in Appendix A.

2.1.2. Pathway B

The key compound 7a was prepared alternatively starting from α,β-isopropylidene-dl-glycerol (3b, Scheme 1, pathway B). The main difference with respect to pathway A was the introduction of the palmitoyl residue on the protected glycerol 3b. The reaction was performed using palmitoyl chloride, instead of palmitic anhydride, in the presence of DMAP and in a slight excess with respect to 3b (1.25 eq.). The reaction was left stirring overnight and the desired product 8 was isolated in a good yield (62%) and high purity. Compound 8 [42] was quantitatively deprotected using acidic Amberlyst® H+ resin and the primary alcohol of the resulting compound 9 was tritylated in conditions previously described [43]. The resulting compound 5, obtained with the same chemical purity as that obtained via pathway A, was then treated with oleoyl chloride and DMAP to obtain the product 6a. The deprotection of the trityl group was performed as previously described affording the product 7a in 71% yield and good purity. The overall yield obtained using Pathway B was 21% as reported in Table 1, entry 2.

2.1.3. Pathway C

A third route for obtaining the compound 7a was also optimized. This pathway employed a different protecting group, a tert-butyl-dimethylsilyl ether (TBDMS) to protect the terminal alcohol of the monoacyl glycerol 9 [42]. The first reaction was the Steglich esterification [44] of α,β-isopropylidene-dl-glycerol (3b or commercially enantiopure solketal,(S)-3b) [37], using palmitic acid, EDC as the coupling agent and DMAP, to obtain the desired compound 8 in quantitative yield. The isopropylidene moiety was then removed by treatment of 8 with aqueous acetic acid at 55 °C (Scheme 1, step j). The primary alcohol of resulting product 9 [43] was selectively protected as silyl derivative 10 [45] using tert-butyl-dimethylsilyl chloride and imidazole as a catalyst. The same esterification conditions applied for the synthesis of 8 were applied to obtain compound 10 and 11 [39,46,47] that were isolated almost quantitatively. The deprotection of the silyl group was achieved using a five-fold molar excess of triethylamine tris(hydrofluoride) in a 1:1 mixture of MeCN and THF [48] to yield the final compound rac-POG 7a. As described in the literature [49], this sequence using a silyl protecting group is often more efficient, especially during the deprotection step, than the more common trityl-based strategies (pathway A or B). In fact, the deprotection of the trityl group often leads to undesired products due to the acyl chain migration in acidic medium and suffers from a slow rate of deprotection. In contrast, the hindered chlorosilane reagents enable the protection of primary alcohols with yields varying from 60 to 90% and a clean removal using a source of fluoride (Et3N or pyridine HF adducts, or TBAF) with near quantitative yields. Using pathway C, the overall yield of 7a was 60% and the enantiopure (S)-7a following the same reaction pathway was synthesized with an overall yield of 66% (Table 1, entries 3 and 4, respectively).

2.2. The Next-To-Last Step: the Introduction of the Phospholipid Headgroup

Compounds 7a7d were used to prepare the corresponding PCs (1a1d) and PEs (2a2c) via cyclic phosphotriester intermediates 13a13d by nucleophilic addition of dry trimethylamine or ammonia (Scheme 2). The synthetic procedures are well known [9] and the racemic diacyl glycerols 7a7d obtained following pathways A–C were used. Purifications of the crude materials were carried out using flash chromatography as reported in Appendix A.

3. Comparison of Giant Vesicles Made from (R)-POPC with Those Made from Racemic and Scalemic Mixtures of Rac-POPC and Scal-POPC

POPC served as a model compound for the preparation of GVs. In particular, we compared enantiopure membranes made of (R)-POPC with racemic membranes made of the synthesized rac-POPC, and with membranes made of a scalemic mixture (R/S molar ratio = 2:1). Typical giant vesicles produced in this work are shown in Figure 2. The scalemic mixture was prepared by adding to rac-POPC the naturally occurring commercially available (R)-POPC, thus, avoiding the eight-step synthesis from (S)-glycidol of non-natural and non-commercial (S)-POPC [50].
GVs are very large vesicles, the diameters of which lie in the micrometer range (1–100 µm). For this reason, they can be directly observed by optical microscopy rather than using indirect methods [51]. In this study we have used the so-called “droplet transfer” method, originally devised by Weitz and collaborators [52,53] and widely used in the community of protocell researchers for constructing solute-filled GVs for the purpose of studying protocell models [34].
The key mechanism of the droplet transfer method is the formation of vesicular bilayer membranes while lipid-stabilized water-in-oil droplets cross a flat interface where other lipid molecules are aligned in a monolayer [52]. In this step, the lipids coating a droplet and the lipids aligned at the flat interface come into close tail-to-tail contact and form the hydrophobic core of the membrane, while the polar headgroups of all lipids are facing the aqueous phases. In other words, the membrane assembly takes into account both lipid/water and lipid/lipid interactions. The droplet transfer is facilitated by centrifugation [30]. The method is sensitive to the type of lipids employed for the aforementioned reasons, i.e., different molecular structures generate different intermolecular interactions, thus affecting the overall droplet transfer efficiency [29,30,52].
The visual inspection of microscopy images (Figure 2) revealed no major morphological differences between the three samples suggesting that under the experimental conditions tested (low ionic strength, high sugar concentration, 25 °C) the POPC chirality was not critical to the primary goal of forming GVs. Moreover, the green fluorescence detected inside GVs confirmed that in all cases the entrapment of solutes was clearly achievable. These two essential conclusions are key pre-requisites for the future employment of racemic GVs in this field.
To further evaluate the possible differences among GVs made of homochiral, racemic and scalemic POPC mixtures, quantitative analyses are needed. For example, comparing the size distribution, the concentration of entrapped solutes, and especially the biophysical properties of the membrane will shed light on how phospholipid chirality affects self-assembly, dynamics, and their interactions at the supramolecular level of a bilayer membrane. While detailed investigations on these aspects are postponed to future studies, a preliminary account of vesicle size and content is given in Figure 3 (see legend for the numerical values).
The diameter (µm) and the internal fluorescence (a.u.) of each GV in three samples (rac-POPC, (R)-POPC, scal-POPC) were measured by quantitative image analysis and reported as dot plots in Figure 3. The three different populations largely clustered in the same region of the diameter-fluorescence dot-plot, qualitatively showing their similar structure and size–content relationship. A quantitative Kolmogorov–Smirnov analysis of the size distributions (Figure 3, top histogram) and fluorescence distributions (Figure 3, left histogram) revealed that the size distributions of the three samples were not statistically different at the 95% confidence level. The only statistically significant difference was detected between the calcein fluorescence distributions of (R)-POPC and scal-POPC GVs as indicated by Kruskal–Wallis ANOVA (p < 0.01) because their distributions were not normal.
Accordingly, 10% variation in the average fluorescence intensity was observed. Such a variation is consistent with the solute entrapment variability throughout the vesicle formation [54]. However, another intriguing explanation could refer to the mechanism of GV formation. Since a lipid monolayer should be transformed into a lipid bilayer (see original reports for details), supramolecular interactions can play a crucial role during the assembly. The excess of one enantiomer in the scal-POPC could be the origin of membrane defects, possibly located between lipid micro-domains, which would lead to a partial release of calcein. Such defects could play a role in dynamic behavior of the vesicle membrane and in the long-term release of the solutes affecting the permeability of the lipid bilayer.

4. Discussion

Our findings demonstrate that it is possible to prepare, from cheap and commercially available starting materials, racemic phospholipids in high chemical purity at a ≥1 g scale.
In particular, we obtained four different PCs and three PEs. Since racemic diacyl glycerols are the essential compounds for the preparation of the desired racemic phospholipids, our interest was focused on the synthesis of these derivatives. The key compounds 7a7d were prepared in moderate yields from commercially available glycerol (3a) using the described Pathway A. The same synthetic route served also to prepare the derivatives bearing two identical acyl chains, 7b7d, with high yields (50–89%) as described in Table 1, entries 5–8. The synthesis of such compounds presented significant experimental advantages, as it involved a lower number of synthetic steps from the starting material 3a and, in addition, the presence of two identical esters, thus, escaping the problem of acyl migration encountered in the preparation of 7a. Although the chemical purification of intermediate compounds 6b6d was expected to be quite challenging, the purification proceeded smoothly and with a very low loss of material. The compound 7a was obtained in higher yields when using Pathway B, starting from α,β-isopropylidene-dl-glycerol (3b) protected with a triphenylmethyl group. However, the best results, with excellent overall yield, were obtained via Pathway C that involved the use of a tert-butyl-dimethylsilyl ether in the key synthetic step. This protecting group allowed the overall yields to be increased from 16 to 60%. The synthesis of the enantiopure (S)-7a, prepared from commercial (S)-solketal, further improved the overall yield to 66% as shown in Table 1.
In particular, using sterically hindered chlorosilane reagents allowed for the primary alcohol protection with yields varying from 60 to 90%, as well as their clean removal with a source of fluoride (Et3N or pyridine HF adducts, or TBAF) in near quantitative yields. The last steps for the preparation of the target compounds 1a2c were performed accordingly to the reported synthetic procedures. Yields and purity were higher with respect to any reported data (Appendix A) [39,42,43,45,50,55]. We also produced GVs made of (R)-POPC, rac-POPC and a scalemic mixture (scal-POPC) made of (R:S = 2:1) POPC enantiomers (Figure 2 and Figure 3). The feasibility of building GVs either with enantiomeric (R)-POPC, rac-POPC or scal-POPC made of R:S in 2:1 molar ratio was evident. Their respective morphologies were similar based on observations through confocal laser scanning microscopy. Statistical analyses revealed that the size distribution was not affected by the POPC chirality, whereas a low but statistically significant difference was detected between the calcein entrapment inside (R)-POPC (higher content) and scal-POPC (lower content). Although a possible cause for this difference might lie in the mechanisms of bilayer assembly in the very moment of droplet transfer and GV formation, available data did not allow further discussion. Additional physico-chemical characterizations are needed to ascertain their eventual distinct properties. In this respect, a meaningful example refers to racemic sphingomyelins, which significantly differ in their biophysical properties from the physiologically relevant d–erythro sphingomyelins [56].

5. Future Research

To address several unanswered questions on lipid synthesis in ancient times, two future research directions are proposed.
First, to further delineate the properties of chiral and racemic phospholipids, a more stringent physico-chemical analysis of vesicles (enantiopure, racemic, scalemic) will be performed: (a) Turbidity variation induced by shrinking and swelling vesicles as measured by UV spectrometry [57]. (b) Dynamic light scattering and/or spectrophotometry, to monitor morphologies as a function of temperature and the addition of cryoprotectants such as trehalose or other chiral mono/disaccharides. Racemic/enantiopure fatty acid vesicles made of chiral α-methyl fatty acids behave differently under temperature stress, the homochiral ones being more stable [58]. (c) Effects of detergents such as β-d-octylglucopyranoside or sodium cholate (both chiral) affecting the membrane permeability to peptides. (d) Vesicles doped with small amounts of anionic surfactants and subjected to the presence of cationic proteins to determine recognition property of vesicles. (e) Osmotic stress, under the above mentioned conditions. For example, the interaction between anionic vesicles and lysozyme revealed specific properties of vesicles [59,60,61]. Likewise, the opposite can be done, i.e., membranes doped with cationic lipids and interactions with polyanions (poly (Glu), nucleic acids, etc.).
Second, to evaluate dynamical properties, such as the growth–division mechanism [32], GVs made of racemic or scalemic mixtures will be treated with enantiopure compounds such as chiral fatty acids [58] acting like detergents. The fatty acid uptake by GVs may destabilize the growth and division of GVs, a process that mimics the growth and division of cells. Parallel experiments can be run together with membranes stressed as described above. Such a combinatorial approach may reveal the stereochemical diversity and selection of modern membranes. In this context, racemic and scalemic mixtures of conveniently temperature-sensitive phospholipids can be used, e.g., 1,2-dipalmitoyl-sn-glycero-3-phosphocholine, DPPC (1c), showing Tm values above room temperature.

6. Conclusions

A series of racemic phosphatidylcholines and racemic phosphatidylethanolamines was synthetized from four different key racemic 1,2-diacylglycerols using different chemical pathways. The use of a silyl ether protecting group drastically increased the overall yields from 16 to 60% for a convenient gram scale scale-up synthesis of POPC. The synthesized racemic POPC was used for the construction of racemic membranes approaching primitive membranes before the onset of the homochiral bio-world that characterizes life as we know it (see next article in this issue). Generally speaking, here we have concluded that racemic and scalemic lipids, in particular POPC, form stable membranes essentially, as well as homochiral lipids. Such a decisive observation will pave the way to deeper investigations on the subject of homo/hetero-chiral primitive membranes. This work represents the first step for a systematic study of phospholipid chirality and its effect on many possible vesicle properties.

Author Contributions

Conceptualization: M.F.; methodology: M.F., E.A. and A.C.; investigation: equal contribution for all authors; resources, M.F. and P.S. (Peter Strazewski); data curation, equal contribution for all authors; writing-original draft preparation, M.F.; first review: M.F., P.S.(Pasquale Stano), R.B. and P.S. (Peter Strazewski); Electronic Supporting Information part, M.F. visualization, M.F.; supervision, M.F. and P.S. (Peter Strazewski); project administration, M.F. and P.S. (Peter Strazewski); funding acquisition, P.S. (Peter Strazewski); All authors have read and agreed to the published version of the manuscript.

Funding

This research was funded by Volkswagen Stiftung (Molecular Life, Az. 92 850)”. Collaboration between authors has been fostered by the European COST Action CM1304 on “Emergence and Evolution of Complex Chemical Systems.

Acknowledgments

MF dedicates this work to the memory of his daughter Océane (2015–2017). The European COST Action CM1304 on “Emergence and Evolution of Complex Chemical Systems” is gratefully acknowledged. The people at the Centre Commun de Spectrométrie de Masse (CCSM) and at the Centre Commun de RMN at the Institut de Chimie et de Biochimie Moléculaires et Supramoléculaires (UMR 5246) are gratefully acknowledged for their irreplaceable work done for this research.

Conflicts of Interest

The authors declare no conflict of interest.

Abbreviations

PE, petroleum ether; EtOAc, ethyl acetate; AcOH, acetic acid; MeCN, acetonitrile; THF, tetrahydrofurane; Cy, cyclohexane; TRIS-HCl, tris(hydroxymethyl)aminomethane hydrochloride; TBAF, tetramethylammonium fluoride.; TBDMSCl, tert-butyldimethylsilyl chloride; UV, ultra-violet.

Appendix A. Materials and Methods, Preparation of Giant Vesicles and Chemical Characterization of Synthetic Compounds

Appendix A.1. Materials and Methods

(R)-POPC was purchased from Avanti Polar Lipids, Alabaster AL (USA). All the other reagents, including calcein, glycerol, (S)-solketal, α,β-isopropylidene-dl-glycerol, oleic acid and oleoyl chloride, palmitic acid, palmitic anhydride and palmitoyl chloride, myristoyl chloride, dimethylaminopyririne (DMAP) were purchased from Sigma-Aldrich (Paris, France), Thermo-Fisher Scientific (Dortmund, Germany) or TCI Europe (Paris Cedex 7, France) and were used without further purification. NH3 (N50) was purchased by Airliquide (75 Quai d’Orsay, 75321 Paris cedex 07, France). Solvents used for silica gel chromatography were purchased from Fisher Scientific (Hampton, New Hampshire, USA).
Silica was activated by heating at 200 °C overnight to avoid presence of humidity.
Low temperature reactions were carried out using a Fryka KB06-40 (ProfiLab24 GmbH, Landsberger Str. 245, 12623 Berlin, Germany) or a Huber Minichiller 600 (Kältemaschinenbau AG, Werner-von-Siemens-Strasse 1, D-77656 Offenburg, Germany).
Thin-layer chromatography (TLC) was carried out on aluminum sheets coated with silica gel 60 F254 (Merck). TLC plates were inspected by UV light (λ = 254 nm) and developed by treatment with a mixture of 10% H2SO4 in EtOH/H2O (1:1 v/v), 10% KMnO4 in EtOH/H2O (1:1 v/v), or the Hanessian (Pancaldi) reagent ((NH4)6MoO4, Ce(SO4)2, H2SO4, H2O) followed by heating.
Optical rotations were measured as CHCl3 solutions (c = 0.01 g/L, unless specified otherwise) on a JASCO P-1010 digital polarimeter and converted to specific rotations [α]D.
HRMS analyses were performed on a Bruker Impact II quadrupole-time of flight mass spectrometer.
NMR spectra were recorded in CDCl3 on a Bruker Avance 300 spectrometer at 300 MHz for 1H, 75 for 13C and 121.5 for 31P and on a Bruker Avance 400 spectrometer at 400 MHz for 1H and 100 for 13C. Chemical shifts of CDCl3: δH = 7.26 and δC = 77.23 served as internal references. Signal shapes and multiplicities are abbreviated as br (broad), s (singlet), d (doublet), t (triplet), q (quartet), quint (quintet) and m (multiplet). Where possible, a scalar coupling constant J is given in Hertz (Hz).
Microscopic images were recorded with a confocal laser scanning microscope Leica SP8 X. Samples (5 µL) were placed in micro-welled plastic slides (ibidi GmbH, Gräfelfing-Münich, Germany, #81821). Images were recorded with a HCX PL APO lambda blue 40.0 N.A. 1.25 oil immersion objective: calcein fluorescence was acquired with excitation source at 488 nm selected wavelength of an argon laser and the emission recorded in the 500–600 nm range.

Appendix A.2. Preparation of Giant Vesicles

Giant vesicles (GVs) were obtained via the droplet transfer method [52], following an optimized procedure [30]. In a 1.5 mL Eppendorf tube (tube A) 300 μL of organic phase consisting of 0.5 mM phospholipids, (R)-POPC for enantiopure sample; rac-POPC for the racemic one; 2:1 ratio of R-POPC and rac-POPC for a scalemic mixture, dispersion in mineral oil (Sigma-Aldrich, #M5904), were gently laid over 500 μL of aqueous O-solution (outer solution, 200 mM glucose, Tris-HCl 20 mM, pH 7.8)
In another 1.5 mL Eppendorf tube (tube B), 20 μL of I-solution (inner solution: Tris-HCl 20 mM pH 7.8, 200 mM sucrose, calcein 2 μM) were added to 600 μL of 0.5 mM phospholipids in mineral oil. A water-in-oil (w/o) emulsion was obtained by pipetting repeatedly up and down the mixture for 30 s. Next, the w/o emulsion (tube B) was gently poured on top of the organic phase in tube A. Tube A was centrifuged at 2500 rpm for 10 min at room temperature. After the centrifugation, the mineral oil appeared clear and was removed. The resulting GV pellets were collected from the bottom of the tube by direct aspiration with a polypropylene micropipette tip (50 μL). The vesicles were washed twice by centrifugation, supernatant removal, and re-suspension in fresh O-solution to remove most of the non-entrapped substances.

Appendix A.3. Chemical Synthesis

3-O-Triphenylmethyl-dl-glycerol (4). To a stirred solution of glycerol (3a, 10.0 g, 109.6 mmol), DMAP (0.075 g, 0.6 mmol) and trityl chloride (7.5 g, 26.9 mmol) in 20 mL of anhydrous THF at 0 °C were added 4.5 mL of anhydrous triethylamine. The reaction mixture was stirred at r.t. overnight. A solution of NaHCO3 (2.0 g in 50 mL of H2O) was added followed by stirring for 15 min. The product was then extracted with EtOAc (2 × 35 mL). The combined organic phases were washed with brine (2 × 50 mL) and dried over anhydrous Na2SO4. The crude material obtained after evaporation of the solvent was crystallized from dichloromethane upon addition of pentane (1:10 v/v) to give 32.57 g (89.7%) of a white powder containing 4. Rf (hexane/EtOAc 1:1 v/v) 0.42; 1H NMR (400 MHz, CDCl3): δH = 7.49–7.12 (m, 15 H, 3 × Ph), 3.85–3.79 (m, 1 H, C(2)H), 3.63 (dd, J = 11.4, 3.8 Hz, 1 H, C(3)Ha), 3.55 (dd, J = 11.4, 5.7 Hz, 1 H, C(3)Hb), 3.26–3.16 (m, 2H, C(3)H2); 4c: 1H NMR (400 MHz, CDCl3): δH = 7.49–7.12 (m, 15 H, 3 × Ph), 3.97–3.89 (m, 1 H, C(2)H), 3.32–3.26 (m, 4H, C(1)H2 and C(3)H2); 13C NMR (100 MHz, CDCl3, selected signals): δC = 64.1 (C1, HSQC), 64.8 (C3, HSQC), 70.6 (C2, HSQC), 71.1 (C2, HSQC), 86.8 (CqAr), 127.2–129.9 (series of CHAr), 144.0 (OC(Ph)3), 147.1 (OC(Ph)3); [α]D25 = 0.00 (c 0.1, CHCl3); HRMS m/z: [M]+ calcd. for C22H22NaO3: 357.1466, found C22H22NaO3: 357.1461.
Compound 5, (Pathway A). To a cold (0 °C) solution of 4 (4 g, 12.2 mmol) in 100 mL of CHCl3 were added portion wise 6 g palmitic anhydride (12.1 mmol) and 1.6 g DMAP (13.1 mmol). The resulting solution was allowed to return to room temperature and left under vigorous stirring at r.t. for 48 h. The solution was cooled down to 0 °C (ice bath) and 100 mL of saturated NaHCO3 were slowly added until the excess of palmitic anhydride was hydrolyzed. The phases were separated, and the organic layers were washed with brine (4 × 50 mL) and dried over dry Na2SO4. The crude material obtained after evaporation of the solvent was purified over freshly activated SiO2 with PE:EtOAc (10:0 to 8:2 v/v) yielding 5 as a viscous oil (4.96 g, 55%). Rf (PE/EtOAc 3:1) 0.74. 1H NMR (300 MHz, CDCl3): δH = 7.44–7.39 (m, 5 H, 1 × Ph), 7.33–7.20 (m, 10 H, 2 × Ph), 4.22–4.08 (m, 2 H, C(1)H2), 3.92–3.73 (m, 1 H, C(1)H), 3.21 (d, J = 5.4 Hz, 2 H, C(3)H2), 2.45 (s, 1 H, OH), 2.26 (t, J = 7.4 Hz, 2 H, CH2CH2COOR), 1.62–1.41 (m, 2 H, CH2CH2COOR), 1.25 (s, 24 H, 12 × CH2), 0.87 (t, J = 6.7 Hz, 3H, CH3). 13C NMR: δC = 14.3 (CH3), 22.9 (CH2), 25.1 (CH2), 29.3 (CH2), 29.5 (CH2), 29.6 (CH2), 29.7 (CH2), 29.8–29.9 (series of CH2), 31.2 (CH2), 34.4 (CH2), 64.4 (C3), 65.8 (C2), 69.1 (C1) 87.1 (CqAr), 126.9 (CHAr) 127.7(CHAr) 128.4 (CHAr), 143.8 (OC(Ph)3),173.8 (C=O); [α]D25 = 0.00 (c 0.1, CHCl3).
Compound 6a (Pathway A). 1.96 g of 5 (5.85 mmol) were dissolved in cold CHCl3 (50 mL, 0 °C) together with DMAP (0.8 g, 6.44 mmol) and oleic acid (3.18 g, 6.44 mmol). The resulting solution was slowly warmed to r.t. and the conversion of 5 into 6a was monitored periodically by TLC (PE:EtOAc 4:1 v/v). The starting material 5 was consumed after 16 h. To the cold mixture, 50 mL of a solution of NaHCO3 (3% w/w in water) were slowly added and the biphasic mixtures was stirred for 30 min until it went back to r.t. The organic layer was extracted by adding extra volumes of CHCl3 (3 × 20 mL) and the combined organic layers were washed with saturated solutions of citric acid (pH 6, 2 × 50 mL), NaHCO3 (3 × 25 mL) and brine (3 × 50 mL) and dried over Na2SO4. The crude material obtained after evaporation of the solvent was purified over freshly activated SiO2 eluting with PE:EtOAc (4:1 to 3:1 v/v) yielding 6a as white wax (1.57 g, 55%). 1H NMR (300 MHz, CDCl3): δH = 7.43–7.40 (m, 5 H, 1 × Ph), 7.33–7.18 (m, 10 H, 2 × Ph), 5.39–5.29 (m, s, 1 × Z-CH=CH), 5.28–5.20 (m, 1 H, C(2)H), 4.34 (dd, J = 11.8, 3.8 Hz, 1 H, C(1)Hb), (dd, J = 11.8, 6.6 Hz, 1H, C(1)Ha), 3.28–3.17 (m, 2H, C(3)H2), 2.33 (t, J = 7.5 Hz, 2 H, 1 × CH2COOR) 2.22 (t, J = 7.5 Hz, 2 H, 1 × CH2COOR), 2.10–1.80 (m, 4 H, 2 × CH2-CH=CH-CH2), 1.71–1.47 (m, 4 H, 2 × CH2CH2COOR), 1.25 (s, 42 H, 21 × CH2), 0.95–0.79 (m, superimposition of 2 × t, apparent J = 7.0 Hz, 6 H, 2 × CH3). 13C NMR (75 MHz, CDCl3): δC = 14.3 (CH3), 22.9 (CH2), 25.1 (CH2), 25.2 (CH2), 27.4 (CH2), 27.5 (CH2), 29.3–29.7 (series of CH2), 32.1 (CH2), 32.2 (CH2), 62.4 (C3), 63.0 (C1), 70.6 (C2), 86.9 (CqAr), 127.3 (CH), 128.1 (CH), 129.9 (CH), 130.2 (CH), 129.9 (Z-CH=CH), 130.2 (Z-CH=CH), 143.2 (OC(Ph)3), 173.2 (C=O), 173.6 (C=O). [α]D25 = 0.00 (c 0.1, CHCl3).
Compound 6a (Pathway B). To a cold solution (0 °C) prepared by dissolving 5 (1.6 g, 2.6 mmol) and DMAP (0.4 g, 3.3 mmol) in 10 mL anhydrous CHCl3, were slowly added by using a syringe pump 1.0 g oleoyl chloride (3.3 mmol) and the resulting solution was kept in the dark and under stirring for 18 h at r.t. After consumption of starting material 5 (TLC monitoring), the solution was cooled with an ice bath and 25 mL of saturated NaHCO3 solution were added. Organic layers were separated and then washed with additional saturated NaHCO3 solution (2 × 25 mL) and with brine (3 × 25 mL) and dried over Na2SO4. The crude material obtained after evaporation of the solvent was purified over freshly activated SiO2 with PE:EtOAc (10:0 to 9:1, v/v) yielding 6a as a white wax (1.60 g, 73%). Rf (PE/EtOAc 9:1) 0.75. Spectroscopic data were in agreement with those recorded for the compound obtained in route A.

Appendix A.3.1 Synthesis of Compounds 6b–6d

General method. To a stirred solution of 4 in 25–50 mL CHCl3 were added equimolar amounts of the corresponding acyl chlorides: oleoyl (for 6b), palmitoyl (for 6c) or myristoyl (for 6d) and DMAP (0.4 mol eq.). The resulting solutions were stirred overnight at r.t. The excess of acyl chlorides was decomposed by addition of 50 mL NaHCO3 (0.4 M) and the resulting biphasic solutions were stirred for 15 min. The biphasic solutions were extracted with CHCl3 (2 × 50 mL), and the combined organic phases were washed with 2 × 10 mL of brine and dried over Na2SO4. Evaporation of the solvent followed by chromatography over freshly activated SiO2 with CHCl3 gave the wished compounds 6b and 6c. Product 6d was not isolated, and the deprotection was carried out on crude mixture.
6b. White solid. Rf (hexane/EtOAc 4:1) 0.36; 1H NMR (300 MHz, CDCl3): δH = 7.40–7.11 (m, 15 H, 3 × Ph), 5.27 (m, 4 H, 2 × Z-CH=CH), 5.21–5.17 (m, 1 H, C(2)H), 4.33–4.01 (m, 2 H, C(1)H2), 3.16 (m, 2 H, C(3)H2), 2.34–2.21 (m, 4 H, 2 × CH2COOR), 2.02–1.85 (m, 8 H, 2 × CH2-CH=CH-CH2), 1.62–1.42 (2 × br, 4 H, 2 × CH2CH2COOR), 1.21 (s, 40 H, 20 × CH2), 0.81 (t, J = 8.0 Hz, 6 H, 2 × CH3). 13C NMR (75 MHz, CDCl3): δC = 14.3 (CH3), 22.9 (CH2), 25.0 (CH2), 25.3 (CH2), 27.3 (CH2), 27.4 (CH2), 29.4–29.9 (series of CH2), 32.1 (CH2), 34.3 (CH2), 34.4.7 (CH2), 62.2 (C3), 62.0 (C1), 72.2 (C2), 86.9 (CqAr), 127.1 (CH), 127.4 (CH), 127.9 (CH), 128.0 (CH), 128.1(CH),128.7 (CH), 128.8 (CH), 129.9 (Z-CH=CH), 130.4 (Z-CH=CH), 143.2 (OC(Ph)3), 173.5 (C=O), 173.9 (C=O). [α]D25 = 0.00 (c 0.1, CHCl3). ESI-MS m/z 885 as M+Na+.
6c. White wax. Rf (PE:EtOAc 4:1) 0.50; 1H NMR (400 MHz, CDCl3): δH = 7.45–7.39 (m, 5 H, 1 × Ph), 7.33–7.20 (m, 10 H, 2 × Ph), 5.30–5.22 (m, 1 H, C(2)H), 4.34 (dd, J = 11.8, 3.7 Hz, 1 H, C(1)H2), 4.23 (dd, J = 11.8, 6.7 Hz, 1 H, C(3)H2), 3.26–3.19 (m, 4 H, 2 × CH2CH2COOR), 2.33 (t, J = 9.0 Hz, 2 H, 1 × CH2CH2COOR), 2.23 (t, J = 9.0 Hz, 2 H, 1 × CH2CH2COOR), 1.69–1.50 (m, 4 H, 2 × CH2CH3), 1.25, (s 44 H, 22 × CH2), 0.88 (t, J = 9.0 Hz, 6 H, 2 × CH3); 13C (100 MHz) δC = 14.2 (CH3), 22.9 (CH2), 24.4 (CH2–COOR), 24.8 (CH2CH2COOR), 25.1 (CH2), 25.2 (CH2), 29.1 (CH2), 29.2 (CH2), 29.3 (CH2), 29.2 (CH2), 29.4 (CH2), 29.7 (CH2), 29.8–30.0 (series of CH2), 63.1 (C3), 62.7 (C1), 70.5 (C2), 86.9 (CqAr), 122.2 (Ar) 127.9 (Ar), 128.6 (Ar), 144.8 (C(Ph3)), 173.2 (C=O), 173.6 (C=O); [α]D25 = 0.00 (c 0.1, CHCl3); HRMS m/z: [M]+ calcd. for C54H82O5: 819.6162, found C54H82NaO5: 833.6054.
6d. The crude mixture containing 6d was directly treated for deprotection. ESI-MS m/z 777 as M+Na+;
Compound 8 (Pathway B). 3.0 g of α,β-isopropylidene-dl-glycerol (3b, 22.7 mmol) were dissolved in dry CH2Cl2 (80.0 mL) and the solution was cooled to 0 °C using a thermostatic bath. Palmitoyl chloride (7.80 g, 28.4 mmol) was added together with DMAP (3.5 g, 28.4 mmol) and the resulting solution was left under vigorous stirring at r.t. for 18 h. 25 mL of saturated NaHCO3 were added dropwise until the excess of palmitoyl chloride was consumed. The phases were separated, and the organic layers were washed with brine (3 × 25 mL) and dried over dry Na2SO4. The crude material obtained after evaporation of the solvent was purified over freshly activated SiO2 with Cy: EtOAc (9:1 v/v) yielding 8 as a viscous oil (5.23 g, 62%). Rf (Cy/EtOAc 1:1) 0.70. 1H NMR (300 MHz, CDCl3): δH = 4.35–4.30 (m, C(4)), 4.20–4.01 (m, 3 H, RCOOCHHb, RCOOCHaH, C(5)Hb), 3.72 (dd, J = 8.4, 6.2 Hz, 1 H; C(5)Ha), 2.32 (t, J = 6.0 Hz, 2 H, CH2COOR), 2.03 (s, 1H), 1.69–1.51 (m, 2 H, CH2CH2COOR), 1.42, 1.36 (2 × s, 6 H, (CH3)2C(2)), 1.24 (m, 20 H, 10 × CH2), 0.86 (t, J = 8.0 Hz, 3 H, CH3). 13C NMR: δC = 14.1 (CH3), 22.7 (CH2), 24.9 (CH2), 25.4 (CH2), 26.7 (CH2), 29.8–29.9 (series of CH2), 31.9 (CH2), 34.1 (CH2), 64.5 (COOCH2), 66.3 (C5), 76.6 (C4), 109.8 (C2), 173.6 (C=O); [α]D25 = 0.00 (c 0.1, CHCl3).
Compound 9. (Pathway B). 1.8 g of 8 (4.9 mmol) were dissolved in 40 mL of dry CH2Cl2 and 5.8 g of Amberlyst® 15 H+ resin were added. The suspension was stirred vigorously at r.t. until complete disappearing of the starting material was observed (4 h). The solution was filtered over a pad of Celite and the solvent evaporated. 1.6 g of 9 (>99.0%) were recovered as a yellowish oil. Rf (PE/EtOAc 1:1) 0.47. 1H NMR (300 MHz, CDCl3): δH = 4.23–4.09 (m, 2 H, C(1)H2), 3.92–3.86 (m, 1 H, C(2)H), 3.69 (dd, J = 11.5, 3.8 Hz, 1 H, C(3)Hb), 3.58 (dd, J = 11.5, 8.9 Hz, 1 H, C(3)Ha), 2.34 (t, J = 7.6 Hz, 2 H, CH2COOR), 1.69–1.52 (m, 2 H, CH2CH2COOR), 1.24, (s, 24 H, 12 × CH2), 0.87 (t, J = 6.7 Hz, 3 H, CH3). 13C NMR: δC = 14.1 (CH3), 22.7 (CH2), 24.9 (CH2), 25.4 (CH2), 29.1–29.7 (series of CH2), 31.9 (CH2), 34.2 (CH2), 63.1 (C1), 64.9 (C2), 76.6 (C3), 174.2 (C=O); [α]D25 = 0.00 (c 0.1, CHCl3).

Appendix A.3.2 Deprotection of compounds 6a–6d into 7a–7d: Pathways A and B

General method for deprotection of 6a6d into 7a7d obtained from routes A and B.
A mixture of CHCl3–MeOH (100 mL, 1:1 v/v) containing 44 µL of concentrated HCl (12 N, 37%) was added dropwise to a CHCl3–MeOH solution (100 mL, 1:1 v/v) of 8ad during 6 h at 0 °C. The obtained clear solution was left stirring at 4 °C overnight. A saturated solution of NaHCO3 was then added slowly (15 min) and the resulting heterogeneous biphasic solution was stirred up to room temperature. The resulting solutions were extracted with CHCl3 (3 × 250 mL), and the combined organic phases was washed with brine (3 × 100 mL) and dried over Na2SO4. Evaporation of the solvent followed by chromatography over freshly activated SiO2 with CHCl3 gave products 7a7d as pale–yellow oils. Yields are reported in Table A1.
Table A1. Data for the preparation of rac diacyl glycerols 6b6d using 4 as common building block.
Table A1. Data for the preparation of rac diacyl glycerols 6b6d using 4 as common building block.
EntryAcylationScale 1YieldEntryDeprotectionScale 1Yield
46a→7a1.6 g45%
14→6b2.2 g58%56b→7b700 mg50%
24→6c1.0 g31%66c→7c450 mg89%
34→6d1.0 g76d→7d910 mg 260%
1 with respect to the starting material used; 2 non purified mixtures, yield calculated over two steps.
7a. Rf (9:1 PE/EtOAc) 0.15; 1H NMR (300 MHz, CDCl3): δH = 5.41–5.28 (m, 2 H, Z-CH=CH), 5.15–4.98 (m, 1 H, C(2)H), 4.32 (dd, J = 11.9, 4.5 Hz, 1 H, C(1)Hb), 4.22 (dd, J = 11.9, 5.7 Hz, 1 H, C(1)Ha), 3.78–3.56 (m, 2 H, C(3)H2), 2.32 (dd, J = 14.8, 7.3 Hz, 4 H, 2 × CH2COOR), 2.08–1.92 (m, 4 H, 2 × CH2-CH=CH-CH2), 1.70–1.55 (m, 4H, 2 CH2CH2COOR), 1.30, 1.26 (2 × br, 38 H, 19 × CH2), 0.96–0.76 (m, superimposition of 2 × t, apparent J = 6.8 Hz, 6 H, 2 × CH3). 13C NMR (75 MHz, CDCl3): δC = 14.3 (CH3), 22.9 (CH2), 25.1 (CH2), 27.3 (CH2), 27.4 (CH2), 29.3 (CH2), 29.5–29.9 (series of CH2), 30.0 (CH2), 32.1 (CH2), 34.3 (CH2), 61.7 (C3), 62.2 (C1), 72.3 (C2), 129.9 (Z-CH=CH), 130.2 (Z-CH=CH), 174.0 (C=O), 176.6 (C=O); [α]D25 = 0.00 (c 0.1, CHCl3).
7b. Rf (2:1 hexane/EtOAc) 0.30; 1H NMR (300 MHz, CDCl3): δH = 5.40–5.28 (m, 4 H, 2 × Z-CH=CH), 5.08 (quint, 1 H, J = 5.0 Hz, C(2)H), 4.31 (dd, J = 11.9, 4.6 Hz, 1 H, C(1)HHb), 4.24 (dd, J = 11.9, 4.6 Hz, 1 H, C(1)HaH), 3.74 (dd, J = 12.2, 4.7 Hz, 1 H, C(3)HHb), 3.72 (dd, J = 12.2, 4.7 Hz, 1 H, C(3)HaH), 2.39–2.37 (2 × t, J = 7.5 Hz, 4 H, 2 × CH2COOR), 2.08–1.90 (m, 8H, 2 × CH2– CH=CH-CH2), 1.67–1.56 (m, 4 H, 2 × CH2CH2COOR), 1.30, 1.26 (2 × br, 40 H, 20 × CH2), 0.87 (t, J = 6.8 Hz, 6 H, 2 × CH3). 13C NMR (75 MHz, CDCl3): δC = 14.1 (CH3), 22.1 (CH2), 24.8 (CH2), 24.9 (CH2), 25.6 (CH2), 27.0 (CH2), 27.1 (CH2), 27.2 (CH2), 29.0–29.2 (4 × CH2), 29.3 (CH2), 29.5 (CH2), 29.7 (CH2), 29.8 (CH2), 31.9 (CH2), 34.0 (CH2), 34.3 (CH2), 61.5 (C3), 62.0 (C1), 72.2 (C2), 129.8 (Z-CH=CH), 130.0 (Z-CH=CH), 173.5 (C=O), 173.9 (C=O); [α]D25 = 0.00 (c 0.1, CHCl3); ESI–MS m/z 643 as [M+Na]+; HRMS m/z: [M]+ calcd. for C39H72NO5: 634.5410, found C39H72NO5: 634.5272.
7c. Rf (PE/EtOAc 7:1) 0.30; 1H NMR (400 MHz, CDCl3): δH = 5.13–5.03 (m, 1H, C(2)H), 4.31 (dd, J = 11.9, 4.4 Hz, 1H, C(1)HHb), 4.22 (dd, J = 11.9, 5.8 Hz, 1H, C(1)HaH), 3.72 (d, J = 5.0 Hz, 1H, C(3)H2), 2.32 (dd, J = 9.0, 7.6 Hz, 4H, 2 CH2COOR), 1.61 (dd, J = 13.1, 6.8 Hz, 4H, 2 × CH2CH2COOR), 1.24 (s, 52H, 26 × CH2), 0.87 (t, J = 6.9 Hz, 6H, 2 × CH3). 13C NMR (75MHz, CDCl3): δC = 14.3 (CH3), 22.9 (CH2), 25.0 (CH2), 25.1 (CH2), 29.3–29.9 (series of CH2), 34.3 (CH2), 34.5 (CH2), 61.7 (C3), 62.2 (C1), 72.3 (C2), 173.7 (C=O), 174.0 (C=O); [α]D25 = 0.00 (c 0.1, CHCl3); ESI–MS m/z 591 as M+Na+;
7d. Rf (2:1 hexane/EtOAc) 0.40; 1H NMR (400 MHz, CDCl3): δH = 5.08 (quint, 1H, J = 8.2 Hz, C(2)H), 4.32 (dd, J = 11.9, 4.5 Hz, 1H, C(1)HHb), 4.23 (dd, J = 11.9, 5.7 Hz, 1H, C(1)HaH), 3.73 (d, J = 4.8 Hz, 1H, C(3)H2), 2.33 (dd, J = 15.9, 8.2 Hz, 4H, 2 × CH2COOR), 2.08 (s, 1H, –OH), 1.67–1–57 (m, 4H, 2 × CH2CH2COOR), 1.25 (s, 40H, 20 × CH2), 0.87 (t, J = 6.9 Hz, 6H, 2 × CH3). 13C NMR (75MHz, CDCl3): δC = 14.3 (CH3), 22.9 (CH2), 25.1 (CH2), 25.2 (CH2), 29.2 (CH2), 29.3 (CH2), 29.5 (CH2), 29.6 (CH2), 29.7 (CH2), 29.8 (CH2), 29.9 (CH2), 30.0 (CH2), 32.1 (CH2), 34.3 (CH2), 34.5 (CH2), 61.7 (C3), 62.2 (C1), 72.4 (C2), 173.7 (C=O), 174.0 (C=O); [α]D25 = 0.00 (c 0.1, CHCl3);

Appendix A.3.3 Synthesis of Compounds 7a and (S)-(7a): Pathway C

Compound 8 (Pathway C). 3.7 g of α,β–isopropylidene–dl–glycerol (3b, 28.6 mmol) were dissolved in dry CH2Cl2 (75 mL) and palmitic acid (7.3 g, 28.6 mmol) was added. The solution was cooled to 0 °C using an ice bath, DMAP (1.0 g, 8.6 mmol) and EDC∙HCl (7.1 g, 37.2 mmol) were added together. The resulting solution was left under vigorous stirring at r.t. for 18 h. A quantity of 150 mL of saturated NaHCO3 was added to quench the reaction. The product was then extracted with CH2Cl2 (2 × 100 mL). The combined organic phases were dried over anhydrous MgSO4 and the crude material obtained after evaporation of the solvent was purified over SiO2 with PE:EtOAc (99:1 to 85:15, v/v) yielding 8 as a white powder (9.99 g, 94%). Rf (PE/EtOAc 9:1) 0.5. 1H NMR (300 MHz, CDCl3): δH = 4.33–4.27 (m, 1H, C(4)H), 4.19–4.05 (m, 3H, RCOOCHHb, RCOOCHaH, C(5)Hb), 3.74 (dd, J = 8.4, 6.2 Hz, 1 H, C(5)Ha), 2.34 (t, J = 7.6 Hz, 2 H, CH2COOR), 1.64–1.57 (m, 2 H, CH2CH2COOR), 1.43, 1.37 (2 × s, 6 H, (CH3)2C(2)), 1.25 (m, 24 H, 12 × CH2), 0.88 (t, J = 6.9 Hz, 3 H, CH3). 13C NMR: δC = 14.1 (CH3), 22.7 (CH2), 24.9 (CH2), 25.4 (CH2), 26.7 (CH2), 29.8–29.9 (series of CH2), 31.9 (CH2), 34.1 (CH2), 64.5 (COOCH2), 66.3 (C5), 76.6 (C4), 109.8 (C2), 173.6 (C=O); [α]D25 = 0.00 (c 0.1, CHCl3).
Compound 9 (Pathway C). A quantity of 9.99 g of 8 (26.9 mmol) was dissolved in a mixture of AcOH/H2O (100/25 mL, 4:1 v/v) and kept under vigorous stirring at 55 °C for 2 h. The solution was cooled to r.t. and 150 mL of saturated NaHCO3 were added dropwise until the solution was neutralized. The product was then extracted with ethyl acetate (2 × 100 mL). The combined organic phases were washed with brine (100 mL) and dried over anhydrous MgSO4. The resulting solution was evaporated yielding 9 as a white powder (8.90 g, 99%). 1H NMR (300 MHz, CDCl3): δH = 4.23–4.11 (m, 2 H, C(1)H2), 3.96–3.90 (m, 1 H, C(2)H), 3.70 (dd, J = 11.4, 3.8 Hz, 1 H, C(3)Hb), 3.60 (dd, J = 11.4, 5.7 Hz, 1 H, C(3)Ha), 2.80 (s, 2 H, 2 × OH), 2.35 (t, J = 7.4 Hz, 2 H, CH2COOR), 1.67–1.58 (m, 2 H, CH2CH2COOR), 1.26 (m, 24 H, 12 × CH2), 0.88 (t, J = 6.6 Hz, 3 H, CH3). 13C NMR: δC = 14.1 (CH3), 22.7 (CH2), 24.9 (CH2), 25.4 (CH2), 29.1–29.7 (series of CH2), 31.9 (CH2), 34.2 (CH2), 63.1 (C1), 64.9 (C2), 76.6 (C3), 174.2 (C=O); [α]D25 = 0.00 (c 0.1, CHCl3).
Compound 10. A quantity of 8.90 g of 9 (26.9 mmol) was dissolved in dry CH2Cl2 (250.0 mL) and imidazole (2.7 g, 40.4 mmol) was added. A solution of TBDMSCl (4.5 g, 29.6 mmol) in dry CH2Cl2 (50 mL) was added dropwise with an addition funnel and the resulting solution was left under vigorous stirring at r.t. for 18 h. The suspension was filtered over a pad of Celite and the solvent was evaporated. The crude material obtained was purified over SiO2 with PE:EtOAc (95:5 to 4:1, v/v) yielding 10 as a yellowish oil (8.11 g, 68%). Rf (PE/EtOAc 4:1) 0.8. 1H NMR (300 MHz, CDCl3): δH = 4.18–4.08 (m, 2 H, C(1)H2), 3.91–3.84 (m, 1 H, C(2)H), 3.68 (dd, J = 10.2, 5.6 Hz, 1 H, C(3)Hb), 3.60 (dd, J = 10.2, 4.6 Hz, 1 H, C(3)Ha), 2.34 (t, J = 7.6 Hz, 2 H, CH2COOR), 1.65–1.68 (m, 2 H, CH2CH2COOR), 1.25 (m, 24 H, 12 × CH2), 0.93–0.90 (m, 9H, t–Bu–Si), 0.88–0.86 (m, 3 H, CH3(CH2)n), 0.08 (s, 6 H, CH3Si). 13C NMR: 13C NMR: δC = –5.4 (2× CH3), 14.2 (CH3), 18.4 (Cq tBu), 22.8 (CH2), 25.8 (CH2), 25.9 (3× CH3), 29.3–29.8 (series of CH2), 32.0 (CH2), 34.3 (CH2), 63.8 (C1), 65.1 (C2), 70.1 (C3), 174.1 (C=O). [α]D25 = 0.00 (c 0.1, CHCl3).
Compound 11. A quantity of 5 g of 10 (11.2 mmol) was dissolved in dry CH2Cl2 (50.0 mL) and oleic acid (3.5 g, 12.3 mmol) was added. The solution was cooled to 0 °C using an ice bath before DMAP (0.4 g, 3.4 mmol) and EDC∙HCl (2.8 g, 14.6 mmol) were added together. The resulting solution was left under vigorous stirring at r.t. for 18 h. 75 mL of water were added to quench the reaction and the product was then extracted with CH2Cl2 (2 × 50 mL). The combined organic phases were dried over anhydrous MgSO4. The crude material obtained after evaporation of the solvent was purified over SiO2 with PE:EtOAc (99:1 to 9:1, v/v) giving 11 as a colorless oil (7.71 g, 97%). Rf (PE/EtOAc 16:1) 0.7. 1H NMR (300 MHz, CDCl3): δH = 5.36–5.32 (m, 2 H, Z-CH=CH), 5.09–5.05 (m, 1 H, CHOCOR), 4.33 (dd, J = 11.8, 3.7 Hz, 1 H, SiOCH2CHCHaHbOCOR), 4.16 (dd, J = 11.8, 6.2 Hz, 1 H, SiOCH2CHCHaHbOCOR), 3.71 (d, J = 5.3 Hz, 2 H, R(O)COCH2CHCHaHbOSi), 2.33–2.27 (m, 4 H, 2 × CH2COOR), 2.04–1.97 (m, 4 H, CH2-CH=CH-CH2), 1.64–1.58 (m, 4 H, 2 × CH2CH2COOR), 1.29 (m, 44 H, 22 × CH2), 0.91–0.85 (m, 15 H, t–Bu–Si, 2 × CH3), 0.05 (s, 6 H, CH3Si). 13C NMR: δC = –5.3 (2× CH3), 14.3 (CH3), 18.4 (Cq tBu), 22.8 (CH2), 25.1 (2× CH2), 25.9 (3× CH3), 27.3 (2× CH2), 29.2–29.9 (series of CH2), 32.0 (2× CH2), 34.3 (CH2), 34.4 (CH2), 61.6 (C1), 62.6 (C2), 71.8 (C3), 129.9 (Z-CH=CH), 130.2 (Z-CH=CH), 173.3 (C=O), 173.6 (C=O). [α]D25 = 0.00 (c 0.1, CHCl3).
Compound 7a. (Route C) A quantity of 7.71 g of 11 (10.9 mmol) was dissolved in a mixture of THF/MeCN (50/50 mL, 1:1 v/v) and Et3N·3HF (8.8 g, 54.3 mmol) was added slowly. The resulting solution was left under vigorous stirring at r.t. for 7 h. 150 mL of saturated NaHCO3 were added drop wise to quench the reaction and the product was then extracted with CH2Cl2 (2 × 100 mL). The combined organic phases were washed with water (100 mL), dried over anhydrous MgSO4 and concentrated, giving 7a as a colorless oil (6.36 g, 98%). 1H NMR (300 MHz, CDCl3): δH = 5.38–5.30 (m, 2 H, Z-CH=CH), 5.11–5.05 (m, 1 H, CHOCOR), 4.32 (dd, J = 11.8, 4.4 Hz, 1 H, C(1)Hb), 4.23 (dd, J = 11.8, 5.7 Hz, 1 H, C(1)Ha), 3.76–3.70 (m, 2 H, C(3)H2), 2.33 (dd, J = 14.7, 7.4 Hz, 4H, 2 × CH2COOR), 2.06–1.97 (m, 4 H, CH2-CH=CH-CH2), 1.68–1.56 (m, 4 H, 2 × CH2CH2COOR), 1.27 (m, 44 H, 22 × CH2), 0.91–0.85 (m, 6 H, 2 × CH3). 13C NMR: δC = 14.3 (CH3), 22.9 (CH2), 25.1 (CH2), 27.3 (CH2), 27.4 (CH2), 29.3 (CH2), 29.5–29.9 (series of CH2), 30.0 (CH2), 32.1 (CH2), 34.3 (CH2), 61.7 (C3), 62.2 (C1), 72.3 (C2), 129.9 (Z-CH=CH), 130.2 (Z-CH=CH), 174.0 (C=O), 176.6 (C=O); [α]D25 = 0.00 (c 0.1, CHCl3).
Compound (S)-8. A quantity of 3.7 g (R)-(−)-2,2-Dimethyl-1,3-dioxolane-4-methanol (S)-3b (15.1 mmol) was dissolved in dry CH2Cl2 (40 mL) and palmitic acid (3.8 g, 15.1 mmol) was added. The solution was cooled to 0 °C using an ice bath, before DMAP (0.5 g, 4.5 mmol) and EDC∙HCl (3.8 g, 19.6 mmol) were added together. The resulting solution was left under vigorous stirring at r.t. for 18 h. 75 mL of saturated NaHCO3 were added to quench the reaction and the product was then extracted with CH2Cl2 (2 × 50 mL). The combined organic phases were dried over anhydrous MgSO4. The crude material obtained after evaporation of the solvent was purified over SiO2 with PE:EtOAc (99:1 to 85:15, v/v) furnishing (S)-8 as a white powder (5.55 g, 98%). [α]D25 = 0.80 (c 0.05, CHCl3)
Compound (S)-9. A quantity of 5.55 g of (S)-8 (14.9 mmol) was dissolved in a mixture of AcOH/H2O (60/15 mL, 4:1 v/v) and left under vigorous stirring at 55 °C for 2 h. The solution was cooled to r.t. and 75 mL of saturated NaHCO3 were added dropwise until the solution was neutralized. The product was then extracted with ethyl acetate (2 × 50 mL). The combined organic phases were washed with brine (50 mL) and dried over anhydrous MgSO4. The solvent was evaporated furnishing (S)-9 as a white powder (4.61 g, 94%) [α]D25 = 0.40 (c 0.05, CHCl3)
Compound (R)-10. A quantity of 4.61 g of (S)-9 (13.94 mmol) was dissolved in dry CH2Cl2 (130.0 mL) and imidazole (1.42 g, 20.9 mmol) was added. A solution of TBDMSCl (2.3 g, 15.3 mmol) in dry CH2Cl2 (30 mL) was added dropwise via an addition funnel and the resulting solution was left under vigorous stirring at r.t. for 18 h. The suspension was filtered over a pad of Celite and solvent was evaporated. The crude material obtained was purified over SiO2 with PE:EtOAc (95:5 to 4:1, v/v) giving (R)-10 as a yellowish oil (4.77 g, 76%). [α]D25 = 1.73 (c 0.05, CHCl3)
Compound (R)-11. A quantity of 4.77 g of (R)-10 (10.7 mmol) was dissolved in dry CH2Cl2 (50 mL) and oleic acid (3.3 g, 11.7 mmol) was added. The solution was cooled to 0 °C using an ice bath before DMAP (0.4 g, 3.2 mmol) and EDC∙HCl (2.6 g, 13.9 mmol) were added. The resulting solution was left under vigorous stirring at r.t. for 18 h 75 mL of water were added to quench the reaction and the product was then extracted with CH2Cl2 (2 × 50 mL). The combined organic phases were dried over anhydrous MgSO4. The crude material obtained after evaporation of the solvent was purified over SiO2 with PE:EtOAc (99:1 to 9:1 v/v) giving (R)-11 as a colorless oil (7.35 g, 96%). (R)-11: [α]D25 = 2.31 (c 0.05, CHCl3)
Compound (S)-7a. A quantity of 7.35 g of (R)-11 (10.3 mmol) was dissolved in a mixture of THF/MeCN (50/50 mL, 1:1 v/v) and Et3N·3HF (8.3 g, 51.2 mmol) was added slowly. The resulting solution was left under vigorous stirring at r.t. for 7 h. 150 mL of saturated NaHCO3 were added dropwise to quench the reaction and the product was then extracted with CH2Cl2 (2 × 100 mL). The combined organic phases were washed with water (100 mL), dried over anhydrous MgSO4 and concentrated, giving (S)–7a as a colorless oil (6.08 g, 98%). [α]D25 = –0.60 (c 0.05, CHCl3)
Figure A1. 1H NMR spectra (300 MHz, CDCl3) of the racemic compounds 8 to 7a obtained via Pathway C. The NMR spectra of compounds (S)-8 to (S)-7a are identical.
Figure A1. 1H NMR spectra (300 MHz, CDCl3) of the racemic compounds 8 to 7a obtained via Pathway C. The NMR spectra of compounds (S)-8 to (S)-7a are identical.
Symmetry 12 01108 g0a1

Appendix A.3.4 Synthesis of Compounds 1a–1d and 2a–2c

Synthesis of 13a13d and (R)-13a. General method. 7a7d and (S)-7a were dissolved in dry toluene (6 mL) with dry Et3N (0.025 mL, 0.178 mmol) and cooled (0 °C). To this cold solution, a second solution prepared by dissolving 2-chloro-2-oxo-1,3,2-dioxaphospholane (12, 1.1 equiv.) in dry toluene (4 mL) were slowly added and the resulting mixture was stirred at r.t. The white precipitate obtained after 16 h was filtered off over a Celite pad (2 cm thick, 4 cm Ø, filter porosity n°4) and the filtrate was evaporated as quickly as possible while keeping the temperature of the water bath below 20 °C. 1H NMR and 31P NMR (CDCl3) were used to confirm the formation of 13a13d that were used without further purifications for the next steps. Yields are reported in Table A2. (R)-13a was not used instead.
Table A2. Data for the synthesis of 1a–1d and 2a–2c from 7a–7d.
Table A2. Data for the synthesis of 1a–1d and 2a–2c from 7a–7d.
EntryStepScale 1YieldEntryStepScale 1Yield
17a→13a→1a128 mg70%77a→13a→2a128 mg43%
27a→13a→1a1.0 g65%87b→13b→2b56 mg35%
37b→13b→1b56 mg51%97c→13c→2c82 mg41%
47c→13c→1c82 mg27%
57d→13d→1d100 mg45%
6(S)7a→(R)–13a50 mgquant.
1 with respect to the amount 7a–d (S)7a and 7a–c used.
13a. 1H NMR (300 MHz, CDCl3): δH = 5.39–5.30 (m, 2 H, Z-CH=CH), 5.28–5.21 (m, 1 H, C(2)H), 4.52–4.11 (m, 4 H, C(1)H2 and O-CH2-CH2-O), 3.89–3.76 (m, 2 H, C(1)H2), 2.34–2.30 (m, 4 H, 2 x CH2COOR), 2.01–1.94 (m, 4 H, 2 × CH2-CH=CH-CH2), 1.60–1.54 (m, 4 H, 2 x CH2CH2COOR), 1.30, 1.15 (2 x br, 38 H, 19 x CH2), 0.96–0.76 (m, superimposition of 2 x t, apparent J = 6.8 Hz, 6 H, 2 x CH3). 31P NMR (121.5 MHz, CDCl3): δP = 18.14.
13b. (The mixture contained unreacted 5b: ratio 5b/12a 1:4 by 1H NMR integration). 1H NMR (300 MHz, CDCl3): δH = 5.40–5.28 (m, 4 H, 2 x Z-CH=CH, 6b+7b), 5.27–5.20 (m, 1 H, C(2)H), 5.16–4.80 (m, 2 H, 1 x CH2NHR), 4.40–4.05 (m, 8 H, C(1)H2 and C(1)H2 5b+12b), 3.78–3.87 (m, 2 H, NHCH2CH2OR), 2.62–2.69 (m, 2 H, 1 x CH2-CH=CH-CH2), 2.40–2.25 (m, 4 H, CH2CH2COOR, 5b+12b), 2.11–1.96 (m, 6 H, 3 x CH2-CH=CH-CH2, 5b+12b), 1.60–1.55 (m, 4 H, 2 x CH2CH2COOR, 5b+12b), 1.39, 1.26 (2 x br, 40 H, 20 x CH2, 5b+12b), 0.96–0.76 (m, 6 H, 2 x CH3, 6b+7b). 31P NMR (121.5 MHz, CDCl3): δP = 17.63.
13c. 1H NMR (300 MHz, CDCl3, selected signals): δH = 5.30–5.16 (m, 1 H, C(2)H), 3.81–3.68 (m, 3H), 2.37–2.28 (m, 4 H, CH2CH2COOR), 1.70–1.53 (m, 4 H, 2 x CH2CH2COOR), 1.39, 1.25 (2 x br, 44 H, 22 x CH2), 0.87 (t, J = 6.9 Hz, 2 x CH3); 31P NMR (121.5 MHz, CDCl3): δP = 17.38.
13d. 1H NMR (300 MHz, CDCl3, selected signals): δH = 5.20–5.18 (m, 1 H, C(2)H), 2.40–2.23 (m, 4 H, CH2CH2COOR), 1.77–1.50 (m, 4 H, 2 x CH2CH2COOR), 1.22 (br, 40 H, 20 x CH2), 0.87 (t, J = 6.9 Hz, 2 x CH3); 31P NMR (121.5 MHz, CDCl3): δP = 17.68.
(R)-13a. 1H NMR (300 MHz, CDCl3): δH = 5.39–5.30 (m, 2 H, Z-CH=CH), 5.28–5.21 (m, 1 H, C(2)H), 4.52–4.11 (m, 4 H, C(1)H2 and O-CH2-CH2–O), 3.89–3.76 (m, 2 H, C(1)H2), 2.34–2.30 (m, 4 H, 2 x CH2COOR), 2.01–1.94 (m, 4 H, 2 x CH2-CH=CH-CH2), 1.60–1.54 (m, 4 H, 2 x CH2CH2COOR), 1.30, 1.15 (2 x br, 38 H, 19 x CH2), 0.96–0.76 (m, superimposition of 2 x t, apparent J = 6.8 Hz, 6 H, 2 x CH3). 31P NMR (121.5 MHz, CDCl3): δP = 18.14.
Synthesis of racemic phosphocholines 1a1d. General method. Cyclic phosphotriesters 13a–13d were dissolved in dry MeCN (10 mL) and placed in a pressure tube (Sigma Aldrich) equipped with a rubber septum and connected to an Ar reservoir and the tube was placed in an ice bath (0 °C). Dry trimethylamine (0.5 mL, 0.49 mmol) was added, the tube sealed and the resulting white solution was kept stirring at 65 °C for 24 h. The solution was cooled to r.t. and the resulting mixture was purified by chromatography over freshly activated SiO2 with CHCl3/MeOH/H2O 65:25:0.4 v/v/v furnishing products 1a1d as white waxes. Only the 1a reaction was scaled up to 1 g of 7a. Data were reported in Table A2.
1a. Obtained 36 mg (70%), the scale–up reaction (1 gr) yielded 508 mg (65%); Rf (65: 25: 04, CHCl3: MeOH: H2O, v/v/v) 0.65. 1H NMR (300 MHz, CDCl3): δH = 5.41–5.27 (m, 2 H, Z-CH=CH), 5.23 (br, 1 H, C(2)H), 4.43–4.94 (m, 4 H, O-CH2-CH2-NMe3), 3.73 (br, 2 H, C(1)H2), 3.99 (br, 2 H, C(3)H2), 2.39–2.22 (m, 4 H, 2 × CH2COOR), 2.01–1.94 (m, 4 H, 2 x CH2-CH=CH-CH2), 1.66–1.50 (m, 4 H, 2 x CH2CH2COOR), 1.30, 1.15 (2 x br, 53 H, 19 x CH2 and N(CH3)3), 0.95–0.79 (m, superimposition of 2 x t, apparent J = 6.8 Hz), 6 H, 2 x CH3). 13C NMR (75 MHz, CDCl3): δC = (selected signals) 14.3 (CH3), 22.9 (CH2), 25.0 (CH2), 25.1 (CH2), 27.4 (CH2), 29.4 (CH2), 29.5 (CH2), 29.6 (CH2), 29.9–32.0 (series of CH2), 32.1 (CH2), 34.3 (CH2), 61.7 (C3), 62.9 (C1), 70.6 (C2, HSQC), 129.6 (Z-CH=CH), 130.2 (Z-CH=CH), 173.6 (C=O), 173.8 (C=O); 31P NMR (121.5 MHz, CDCl3): δP = −1.65; [α]D25 = 0.00 (c 0.1, CHCl3); [α]D25 = 0.00 (c 0.1, CHCl3); HRMS m/z: [M]+ calcd. for C42H82NNaO8P: 782.5675, found C42H82NNaO8P: 782.5670.
1b. Obtained 35.4 mg (51%); Rf (CHCl3: MeOH: H2O, 65: 25: 0.4 v/v/v) 0.64. 1H NMR (400 MHz, CDCl3): δH = 5.39–5.29 (m, 2 H, Z-CH=CH), 5.23 (br, 1 H, C(2)H), 4.51 (br, 2 H, OH), 4.16–4.11 (m, 2 H, C(1)H2); 4.11–3.96 (m, 6 H, O-CH2-CH2-NMe3 and C(1)H2), 2.37–2.26 (m, 4 H, 2 x CH2COOR), 2.06–1.93 (m, 4 H, 2 x CH2-CH=CH-CH2), 1.63–1.49 (m, 4 H, 2 x CH2CH2COOR), 1.38, 1.15 (2 x br, 53 H, 19 x CH2 and N(CH3)3), 0.95–0.79 (m, superimposition of 2 x t, apparent J = 6.8 Hz, 6H, 2 x CH3). 13C NMR (100 MHz, CDCl3): δC = (selected signals) 14.3 (CH3), 22.9 (CH2), 24.9 (CH2CH2COOR), 27.3 and 27.4 (CH2-CH=CH-CH2, HSQC), 29.4–29.5 (series of CH2), 29.8 (CH2), 29.9 (CH2), 30.0 (CH2), 32.1 (CH2), 34.1 (CH2COOR), 62.4 (C3, HSQC), 64.6 (C1, HSQC), 69.8 (C2, HSQC), 129.9 (Z-CH=CH), 130.2 (Z-CH=CH), 173.4 (C=O), 173.7 (C=O); 31P NMR (121.5 MHz, CDCl3): δP = −2.33; [α]D25 = 0.00 (c 0.1, CHCl3); HRMS m/z: [M]+ calcd. for C44H85NO8P: 786.6013, found C44H85NO8P: 786.6007.
1c. Obtained 33.0 mg (45%). Rf (CHCl3:MeOH :H2O, 65: 25: 0.4 v/v/v) 0.72. 1H NMR (400 MHz, CDCl3): δH = 5.17–5.22 (m, 1 H, C(2)H), 4.34–4.26 (m, 2 H, O-CH2-CH2-NH2), 4.12 (dd, J = 12.0, 2.8 Hz, 2 H, C(2)H2), 3.99–3.86 (m, 2 H, C(3)H2), 3.81–3.75 ( m, 2 H, CH2–NH2), 3.45 (s, 9 H, N(CH3)3), 2.28 (dd, 4 H, J = 15.4, 8 Hz, 4 H, 2 x CH2COOR), 1.62–1.51 (m, 4H, 2 x CH2CH2COOR), 1.30, 1.25 (2 x br, 48H, 24 x CH2), 0.87 (t, 6H, J = 6.9 Hz), 6 H, 2 x CH3). 13C NMR (100 MHz, CDCl3): δC = (selected signals) 14.3 (CH3), 25.1 (CH2), 25.2 (CH2), 29.2 (CH2), 29.3 (CH2), 29.4 (CH2), 29.5 (CH2), 29.6 (CH2), 29.8 (CH2), 29.9 (CH2), 30.0 (CH2), 32.0 (CH2), 34.4 (CH2), 34.5 (CH2), 63.2 (C3), 62.9 (C1), 70.6 (C2, HSQC), 173.4 (C=O), 173.8 (C=O); 31P NMR (121.5MHz, CDCl3): δP = −2.45; [α]D25 = 0.00 (c 0.1, CHCl3); HRMS m/z: [M]+ calcd. for C40H80NNaO8P: 756.5519, found C40H80NNaO8P: 756.5428.
1d. Obtained 28.7 mg (26%); Rf (CHCl3: MeOH: H2O, 65: 25: 04 v/v/v) 0.70. 1H NMR (300 MHz, CDCl3): δH = 5.24 (br, 1 H, C(2)H), 4.39–4.20 (m, 4 H, O-CH2-CH2-NMe3), 4.19–4.09 (m, 1 H, C(3)Hb), 4.04 (br, 1 H, C(1)H2), 3.76 (br, 2 H, C(3)Ha), 2.85 (br, 9 H, N(CH3), 2.37–2.30 (m, 4H, 2 x CH2COOR), 1.66–1.51 (m, 4H, 2 x CH2CH2COOR), 1.23 (br, 32H, 16 x CH2), 0.87 (t, 6H, J = 6.8 Hz, 2 x CH3). 13C NMR (75MHz, CDCl3): δC = (selected signals) 14.3 (CH3), 22.9 (CH2), 23.7 (CH2), 24.7 (CH2), 25.1 (CH2CH2COOR ), 27.4 (CH2), 29.5 (CH2), 29.8 (CH2), 29.6 (CH2), 32.1 (CH2), 34.4 (CH2COOR), 62.5 (C3, HSQC), 64.4 (C1, HSQC), 70.3 (C2, HSQC), 173.2 (C=O), 173.6 (C=O); 31P NMR (121.5MHz, CDCl3): δP = −2.05; [α]D25 = 0.00 (c 0.1, CHCl3); HRMS (m/z): [M]+ calcd. for C36H73NO8P: 678.5074, found C36H73NO8P: 678.5068.
Synthesis of racemic phosphoethanolamines 2a–2c. General method. 13a14c were dissolved in dry CH3CN (10 mL) in a pressure tube (Sigma Aldrich) equipped with a rubber septum and connected to an Ar reservoir and the tube was placed in an ice bath (0 °C). Dry NH3 (3.5 bar, excess) was bubbled into the tube until the solution became white (2 min). The tube was sealed and the resulting white solution was kept under stirring at 65 °C for 24 h. The solution was cooled to r.t. and the resulting mixture was purified by chromatography over freshly activated SiO2 with CHCl3: MeOH: H2O (65:25:0.4 v/v/v) yielding 2a2c as white waxes. Reactions carried out by using a 1.0 M solution of NH3 in dry acetonitrile gave similar results. Data were reported in Table A2
2a. Obtained 66.4 mg (43%); Rf (CHCl3: MeOH: H2O, 65: 25: 04 v/v/v) 0.67; 1H NMR (400 MHz, CDCl3): δH = 5.37–5.28 (m, 2 H, Z-CH=CH), 5.26–5.13 (m, 1 H, C(2)H), 4.41–4.33 (m, 1 H, C(1)Hb), 4.21–4.04 (m, 3 H, C(1)Ha and O-CH2-CH2–NH3+), 3.97–3.92 (m, 2 H, O-CH2-CH2–NH3+), 3.26–3.10 (m, 2 H, C(3)H2), 2.36–2.22 (m, 4 H, 2 x CH2COOR), 2.07 – 1.95 (m, 4 H, 2 x CH2-CH=CH-CH2), 1.66–1.51 (m, 4H, 2 x CH2CH2COOR), 1.25 (br, 44 H, 22 x CH2), 0.85 (t, J = 6.8 Hz, 6 H, 2 x CH3); 13C NMR (100 MHz, CDCl3): δC = (selected signals) 14.3 (CH3), 22.9 (CH2), 27.4 (series of CH2), 29.4 (CH2), 29.5 (CH2), 29.6 (CH2-CH=CH-CH2), 29.9–30.0 (series of CH2), 62.7 (C3), 64.2 (C1), 70.4 (C2), 129.9 (Z-CH=CH), 130.2 (Z-CH=CH), 173.2 (C=O), 173.6 (C=O); 31P NMR (121.5 MHz, CDCl3): δP = −0.17; [α]D25 = 0.00 (c 0.1, CHCl3); HRMS m/z: [M]+ calcd. for C39H77NO8P: 718.5387, found C39H77NO8P: 718.5381.
2b. Obtained 23.5 mg. Rf (CHCl3: MeOH: H2O, 65: 25: 04 v/v/v) 0.58; 1H NMR 400 MHz, CDCl3) δH = 8.49 (br s, 2.5 H, NH2 ⇌ NH3+), 5.38–5.28 (m, 4 H, 2 x Z-CH=CH), 5.24–5.18 (m, 1 H, C(1)H), 4.37 (dd, J = 12.0, 3.0 Hz, 1 H, C(2)Hb), 4.17–4.09 (m, 3H, C(1)Ha+C(3)H2), 3.95 (t, J = 6 Hz, 2 H, OCH2CH2NH2), 3.93 (br s, 2 H, OCH2CH2NH2), 2.29 (dd, J = 16.5, 8.3 Hz, 4 H, 2 x CH2CH2COOR), 2.01–1.93 (m, 8 H, 2 x CH2-CH=CH-CH2), 1.58 (br s, 4 H, 2 x CH2CH2COOR ), 1.39–1.22 (br s, 40 H, 20 x CH2), 0.88 (t, J = 10.0 Hz, 6 H, 2 x CH3); 13C NMR (100 MHz, CDCl3): δC = 14.3 (CH3), 22.9 (CH2), 25.1 (CH2), 25.2 (CH2), 27.4 (CH2), 29.4 (CH2), 29.5–29.8 (series of CH2), 30.0 (CH2), 32.1 (CH2), 34.3 (CH2), 34.3 (CH2),40.7 (CH2O, HSQC) 62.4 (C3), 63.7 (C1), 64.1 (CH2N, HSQC), 70.6 (C2, HSQC), 129.6 (Z-CH=CH), 130.2 (Z-CH=CH), 173.3 (C=O), 173.6 (C=O); 31P NMR (121.5MHz, CDCl3): δP = −2.24; [α]D25 = 0.00 (c 0.1, CHCl3); HRMS m/z: [M]+ calcd. for C41H78NNaO8P: 766.5339, found C39H77NO8P: 766.5357.
2c. Obtained 29.1 mg. Rf (CHCl3: MeOH: H2O, 65: 25: 04 v/v/v) 0.70; 1H NMR (400 MHz, CDCl3) selected signals: δH = 5.24–5.18 (m, 1 H, C(2)H), 4.0.2–3.99 (m, 2 H, C(2)H2), 4.33–4.45 (m, 2 H, C(3)H2), 4.27–4.19 (m, 2 H, O-CH2-CH2-NH2), 4.20–4.11 (m, 2 H, O-CH2-CH2-NH2), 2.37–2.18 (m, 4 H, 2 x CH2COOR), 1.68–1.50 (m, 4 H, 2 x CH2CH2COOR), 1.30, 1.26 (2 x br, 48H, 24 x CH2), 0.88 (t, 6H, J = 6.9 Hz), 6H, 2 x CH3). 13C NMR (100MHz, CDCl3): δC = (selected signals) 14.2 (CH3), 25.1 (CH2), 25.2 (CH2), 29.5 (CH2), 29.6 (CH2), 29.8–29.9 (series of CH2), 30.6 (CH2), 32.2 (CH2), 34.4 (CH2), 34.6 (CH2), 65.5 (C3), 65.6 (C1), 70.6 (C2, HSQC), 173.6 (C=O), 173.8 (C=O); 31P NMR (121.5 MHz, CDCl3): δP = −2.45; [α]D25 = 0.00 (c 0.1, CHCl3); HRMS m/z: [M]+ calcd. for C37H75NO8P: 692.5230, found C37H75NO8P: 692.5225.

References

  1. Gal, J. When did Louis Pasteur present his memoir on the discovery of molecular chirality to the Académie des sciences ? Analysis of a discrepancy. Chirality 2008, 20, 1072–1084. [Google Scholar] [CrossRef] [PubMed]
  2. Garcia, A.; Meinert, C.; Sugahara, H.; Jones, N.; Hoffmann, S.; Meierhenrich, U. The Astrophysical Formation of Asymmetric Molecules and the Emergence of a Chiral Bias. Life 2019, 9, 29. [Google Scholar] [CrossRef] [PubMed]
  3. Fiore, M. The Origin and Early Evolution of Life: Prebiotic Chemistry. Life 2019, 9, 73. [Google Scholar] [CrossRef] [PubMed]
  4. Soai, K.; Shibata, T.; Morioka, H.; Choji, K. Asymmetric autocatalysis and amplification of enantiomeric excess of a chiral molecule. Nature 1995, 378, 767–768. [Google Scholar] [CrossRef]
  5. Shibata, T.; Morioka, H.; Hayase, T.; Choji, K.; Soai, K. Highly enantioselective catalytic asymmetric automultiplication of chiral pyrimidyl alcohol. J. Am. Chem. Soc. 1996, 118, 471–472. [Google Scholar] [CrossRef]
  6. Kawasaki, T.; Tanaka, H.; Tsutsumi, T.; Kasahara, T.; Sato, I.; Soai, K. Chiral discrimination of cryptochiral saturated quaternary and tertiary hydrocarbons by asymmetric autocatalysis. J. Am. Chem. Soc. 2006, 128, 6032–6033. [Google Scholar] [CrossRef]
  7. Hargreaves, W.R.; Deamer, D.W. Liposomes from ionic, single-chain amphiphiles. Biochemistry 1978, 17, 3759–3768. [Google Scholar] [CrossRef]
  8. Albertsen, A.N.; Duffy, C.D.; Sutherland, J.D.; Monnard, P.-A. Self-Assembly of Phosphate Amphiphiles in Mixtures of Prebiotically Plausible Surfactants. Astrobiology 2014, 14, 462–472. [Google Scholar] [CrossRef]
  9. Fiore, M.; Madanamoothoo, W.; Berlioz-Barbier, A.; Maniti, O.; Girard-Egrot, A.; Buchet, R.; Strazewski, P. Giant vesicles from rehydrated crude mixtures containing unexpected mixtures of amphiphiles formed under plausibly prebiotic conditions. Org. Biomol. Chem. 2017, 15, 4231–4240. [Google Scholar] [CrossRef]
  10. Fiore, M. The synthesis of mono-alkyl phosphates and their derivatives: An overview of their nature, preparation and use, including synthesis under plausible prebiotic conditions. Org. Biomol. Chem. 2018, 16, 3068–3086. [Google Scholar] [CrossRef]
  11. Powner, M.W.; Sutherland, J.D. Prebiotic chemistry: A new modus operandi. Philos. Trans. R. Soc. B Biol. Sci. 2011, 366, 2870–2877. [Google Scholar] [CrossRef] [PubMed]
  12. Ourisson, G.; Nakatani, Y. The terpenoid theory of the origin of cellular life: The evolution of terpenoids to cholesterol. Chem. Biol. 1994, 1, 11–23. [Google Scholar] [CrossRef]
  13. Hanczyc, M.M.; Monnard, P.-A.A. Primordial membranes: More than simple container boundaries. Curr. Opin. Chem. Biol. 2017, 40, 78–86. [Google Scholar] [CrossRef] [PubMed]
  14. Hargreaves, W.R.; Mulvil, S.J.; Deamer, D.W. Synthesis of phospholipids and membranes in prebiotic conditions. Nature 1977, 266, 78–80. [Google Scholar] [CrossRef]
  15. Epps, D.E.; Sherwood, E.; Eichberg, J.; Oró, J. Cyanamide mediated syntheses under plausible primitive earth conditions. J. Mol. Evol. 1978, 11, 279–292. [Google Scholar] [CrossRef] [PubMed]
  16. Rao, M.; Eichberg, J.; Oró, J. Synthesis of phosphatidylcholine under possible primitive Earth conditions. J. Mol. Evol. 1982, 18, 196–202. [Google Scholar] [CrossRef]
  17. Rao, M.; Eichberg, J.; Oró, J. Synthesis of phosphatidylethanolamine under possible primitive earth conditions. J. Mol. Evol. 1987, 25, 1–6. [Google Scholar] [CrossRef]
  18. Fayolle, D.; Altamura, E.; D’Onofrio, A.; Madanamothoo, W.; Fenet, B.; Mavelli, F.; Buchet, R.; Stano, P.; Fiore, M.; Strazewski, P. Crude phosphorylation mixtures containing racemic lipid amphiphiles self-assemble to give stable primitive compartments. Sci. Rep. 2017, 7, 18106. [Google Scholar] [CrossRef]
  19. Rushdi, A.I.; Simoneit, B.R.T.T. Abiotic condensation synthesis of glyceride lipids and wax esters under simulated hydrothermal conditions. Orig. Life Evol. Biosph. 2006, 36, 93–108. [Google Scholar] [CrossRef]
  20. Canavelli, P.; Islam, S.; Powner, M.W. Peptide ligation by chemoselective aminonitrile coupling in water. Nature 2019, 571, 546–549. [Google Scholar] [CrossRef]
  21. Gilbert, W. Origin of life: The RNA world. Nature 1986, 319, 618. [Google Scholar] [CrossRef]
  22. Tamura, K. Origin of amino acid homochirality: Relationship with the RNA world and origin of tRNA aminoacylation. BioSystems 2008, 92, 91–98. [Google Scholar] [CrossRef]
  23. Park, J.W. Effect of phospholipid bilayer phase asymmetry on phospholipase D reaction-induced vesicle rupture. J. Membr. Biol. 2011, 244, 55–59. [Google Scholar] [CrossRef] [PubMed]
  24. Hitz, T.; Luisi, P.L. Enhancement of Homochirality in Oligopeptides by Quartz. Helv. Chim. Acta 2002, 85, 3975–3983. [Google Scholar] [CrossRef]
  25. Ishigami, T.; Suga, K.; Umakoshi, H. Chiral Recognition of L-Amino Acids on Liposomes Prepared with L-Phospholipid. ACS Appl. Mater. Interfaces 2015, 7, 21065–21072. [Google Scholar] [CrossRef]
  26. Hirose, M.; Ishigami, T.; Suga, K.; Umakoshi, H. Liposome Membrane as a Platform for the l -Pro-Catalyzed Michael Addition of trans-β-Nitrostyrene and Acetone. Langmuir 2015, 31, 12968–12974. [Google Scholar] [CrossRef]
  27. Stano, P.; Altamura, E.; Mavelli, F. Novel directions in molecular systems design: The case of light-transducing synthetic cells. Commun. Integr. Biol. 2017, 10, 3837–3842. [Google Scholar] [CrossRef]
  28. D’Aguanno, E.; Altamura, E.; Mavelli, F.; Fahr, A.; Stano, P.; Luisi, P.L. Physical routes to primitive cells: An experimental model based on the spontaneous entrapment of enzymes inside Micrometer-Sized liposomes. Life 2015, 5, 969–996. [Google Scholar] [CrossRef]
  29. Altamura, E.; Stano, P.; Walde, P.; Mavelli, F. Giant vesicles as micro-sized enzymatic reactors: Perspectives and recent experimental advancements. Int. J. Unconv. Comput. 2015, 11, 5–21. [Google Scholar]
  30. Altamura, E.; Milano, F.; Tangorra, R.R.; Trotta, M.; Omar, O.H.; Stano, P.; Mavelli, F. Highly oriented photosynthetic reaction centers generate a proton gradient in synthetic protocells. Proc. Natl. Acad. Sci. USA 2017, 114, 3837–3842. [Google Scholar] [CrossRef] [PubMed]
  31. Fayolle, D.; Fiore, M.; Stano, P.; Strazewski, P. Rapid purification of giant lipid vesicles by microfiltration. PLoS ONE 2018, 13, e0192975. [Google Scholar] [CrossRef] [PubMed]
  32. Fiore, M.; Maniti, O.; Girard-Egrot, A.; Monnard, P.-A.A.; Strazewski, P. Glass Microsphere-Supported Giant Vesicles for the Observation of Self-Reproduction of Lipid Boundaries. Angew. Chem. Int. Ed. 2018, 57, 282–286. [Google Scholar] [CrossRef]
  33. Miele, Y.; Medveczky, Z.; Holló, G.; Tegze, B.; Derényi, I.; Hórvölgyi, Z.; Altamura, E.; Lagzi, I.; Rossi, F. Self-division of giant vesicles driven by an internal enzymatic reaction. Chem. Sci. 2020, 11, 3228–3235. [Google Scholar] [CrossRef]
  34. Lopez, A.; Fiore, M. Investigating Prebiotic Protocells for a Comprehensive Understanding of the Origins of Life: A Prebiotic Systems Chemistry Perspective. Life 2019, 9, 49. [Google Scholar] [CrossRef] [PubMed]
  35. Eibl, H. Phospholipids as Functional Constituents of Biomembranes. Angew. Chemie Int. Ed. 1984, 23, 257–271. [Google Scholar] [CrossRef]
  36. Paltauf, F.; Hermetter, A. Strategies for the synthesis of glycerophospholipids. Prog. Lipid Res. 1994, 33, 239–328. [Google Scholar] [CrossRef]
  37. Burgos, C.E.; Ayer, D.E.; Johnson, R.A. A new, asymmetric synthesis of lipids and phospholipids. J. Org. Chem. 1987, 52, 4973–4977. [Google Scholar] [CrossRef]
  38. Lindberg, J.; Ekeroth, J.; Konradsson, P. Efficient synthesis of phospholipids from glycidyl phosphates. J. Org. Chem. 2002, 67, 194–199. [Google Scholar] [CrossRef] [PubMed]
  39. Roodsari, F.S.; Wu, D.; Pum, G.S.; Hajdu, J. A new approach to the stereospecific synthesis of phospholipids. The use of L-glyceric acid for the preparation of diacylglycerols, phosphatidylcholines, and related derivatives. J. Org. Chem. 1999, 64, 7727–7737. [Google Scholar] [CrossRef]
  40. Fiore, M.; Strazewski, P. Prebiotic lipidic amphiphiles and condensing agents on the early earth. Life 2016, 6, 17. [Google Scholar] [CrossRef]
  41. Baran, J.S.; Langford, D.D.; Laos, I. Displacement Reactions of Cyclic Sulfites and Phosphates by Salts of Weak Acids Applicable to the Synthesis of Phospholipids and Other Natural Substances. J. Org. Chem. 1977, 42, 2260–2264. [Google Scholar] [CrossRef]
  42. Perosa, A.; Moraschini, A.; Selva, M.; Noè, M. Synthesis of the Fatty Esters of Solketal and Glycerol-Formal: Biobased Specialty Chemicals. Molecules 2016, 21, 170. [Google Scholar] [CrossRef] [PubMed]
  43. Tyurina, Y.Y.; Lou, W.; Qu, F.; Tyurin, V.A.; Mohammadyani, D.; Liu, J.; Hüttemann, M.; Frasso, M.A.; Wipf, P.; Bayir, H.; et al. Lipidomics Characterization of Biosynthetic and Remodeling Pathways of Cardiolipins in Genetically and Nutritionally Manipulated Yeast Cells. ACS Chem. Biol. 2017, 12, 265–281. [Google Scholar] [CrossRef]
  44. Neises, B.; Steglich, W. Simple Method for the Esterification of Carboxylic Acids. Angew. Chemie Int. Ed. 1978, 17, 522–524. [Google Scholar] [CrossRef]
  45. Rytczak, P.; Koziołkiewicz, M.; Okruszek, A. The chemical synthesis of phosphorothioate and phosphorodithioate analogues of lysophosphatidic acid (LPA) and cyclic phosphatidic acid (CPA). New J. Chem. 2010, 34, 1008. [Google Scholar] [CrossRef]
  46. Jeong, S.W.; O’Brien, D.F. Synthesis of a polymerizable metal-ion-chelating lipid for fluid bilayers. J. Org. Chem. 2001, 66, 4799–4802. [Google Scholar] [CrossRef] [PubMed]
  47. Hemström, P.; Larsson, A.; Elfsmark, L.; Åstot, C. α-Phosphatidylglycerol Chlorohydrins as Potential Biomarkers for Chlorine Gas Exposure. Anal. Chem. 2016, 88, 9972–9979. [Google Scholar] [CrossRef] [PubMed]
  48. Burgula, S.; Swarts, B.M.; Guo, Z. Total synthesis of a glycosylphosphatidylinositol anchor of the human lymphocyte CD52 antigen. Chem. A Eur. J. 2012, 18, 1194–1201. [Google Scholar] [CrossRef] [PubMed][Green Version]
  49. Starck, J.-P.; Nakatani, Y.; Ourisson, G. Synthesis of two new phospholipidic fluorescent probes for membrane studies. Tetrahedron 1995, 51, 2629–2638. [Google Scholar] [CrossRef]
  50. Jeon, O.Y.; Carreira, E.M. Differential interaction of an AmB Analogue and ergosterol in enantiomeric membranes. Org. Lett. 2010, 12, 1772–1775. [Google Scholar] [CrossRef]
  51. Walde, P.; Cosentino, K.; Engel, H.; Stano, P. Giant Vesicles: Preparations and Applications. ChemBioChem 2010, 11, 848–865. [Google Scholar] [CrossRef] [PubMed]
  52. Pautot, S.; Frisken, B.J.; Weitz, D.A. Production of unilamellar vesicles using an inverted emulsion. Langmuir 2003, 19, 2870–2879. [Google Scholar] [CrossRef]
  53. Altamura, E.; Carrara, P.; D’Angelo, F.; Mavelli, F.; Stano, P. Extrinsic stochastic factors (solute partition) in gene expression inside lipid vesicles and lipid-stabilized water-in-oil droplets: A review. Synth. Biol. 2018, 3. [Google Scholar] [CrossRef]
  54. Altamura, E. Light-driven ATP production promotes mRNA biosynthesis inside hybrid multi-compartment artificial protocells. bioRxiv 2020. [Google Scholar] [CrossRef]
  55. Stamatov, S.D.; Gronowitz, S. Glyceroamidothiophosphates of cholecalciferol (Vitamin D3). Lipids 1990, 25, 149–151. [Google Scholar] [CrossRef]
  56. Ramstedt, B.; Slotte, J.P. Comparison of the Biophysical Properties of Racemic and d-Erythro-N-Acyl Sphingomyelins. Biophys. J. 1999, 77, 1498–1506. [Google Scholar] [CrossRef]
  57. Cohen, B.E.; Bangam, A.D. Diffusion of Small Non-Electrolytes across Liposome Membranes. Nature 1972, 236, 173–174. [Google Scholar] [CrossRef]
  58. Morigaki, K.; Dallavalle, S.; Walde, P.; Colonna, S.; Luisi, P.L. Autopoietic self-reproduction of chiral fatty acid vesicles. J. Am. Chem. Soc. 1997, 119, 292–301. [Google Scholar] [CrossRef]
  59. Moreno, A.; Ruiz-Mirazo, K. The problem of the emergence of functional diversity in prebiotic evolution. Biol. Philos. 2009, 24, 585–605. [Google Scholar] [CrossRef]
  60. Ruiz-Mirazo, K.; Mavelli, F. On the way towards “basic autonomous agents”: Stochastic simulations of minimal lipid-peptide cells. BioSystems 2008, 91, 374–387. [Google Scholar] [CrossRef]
  61. Ruiz-Mirazo, K.; Mavelli, F. Simulation model for functionalized vesicles: Lipid-peptide integration in minimal protocells. Lect. Notes Comput. Sci. Subser. Lect. Notes Artif. Intell. Lect. Notes Bioinform. 2007, 4648, 32–41. [Google Scholar] [CrossRef]
Figure 1. Chemical structures of the racemic phosphatidylcholines (1a1d) and phosphatidyl ethanolamines (2a2c); Rac-POPC (1a) was used as a model molecule for the study of large-scale synthesis. A racemic mixture of POPC is made of 50% (R)-POPC and 50% (S)-POPC; a mixture is termed scalemic when the ratio of enantiomers is different from 1:1 or 1:0 (0:1).
Figure 1. Chemical structures of the racemic phosphatidylcholines (1a1d) and phosphatidyl ethanolamines (2a2c); Rac-POPC (1a) was used as a model molecule for the study of large-scale synthesis. A racemic mixture of POPC is made of 50% (R)-POPC and 50% (S)-POPC; a mixture is termed scalemic when the ratio of enantiomers is different from 1:1 or 1:0 (0:1).
Symmetry 12 01108 g001
Scheme 1. Pathways A–C used for the synthesis of key compound 7a and schematic preparation of rac-DAG 7b7d. (a) 3a, TrtCl (0.25 equiv.), DMAP (0.005 equiv.), Et3N (0.03 equiv.) dry THF, 16 h, r.t.; (b) 4, Palmitic anhydride (1.1 equiv.), DMAP (1.1 equiv.), CHCl3, 48 h, 0 °C to r.t.; (c) 5, oleic acid (1.3 equiv.), DMAP (1.3 equiv.), EDC∙HCl (2.6 equiv.), pyridine (2.6 equiv.), dry CH2Cl2, 16 h, r.t.; (d) HCl 37% (50 mmol, 44 µL) in 30 mL CHCl3: MeOH 1:1 (v/v), added for 6 h at 0 °C to a solution 8a8d dissolved in 30 mL CHCl3: MeOH 1:1 (v/v), then 16 h at 0 °C; (e) 4, acyl chlorides (1.3 equiv), DMAP (1.3 equiv), 16 h, r.t; (f) 3b, Palmitoyl chloride (1.25 equiv.), DMAP (1.25 equiv, dry CH2Cl2, 16 h, r.t.; (g) 9, Amberlyst–15, (1:10 w/w), dry CH2Cl2, 4 h, r.t.; (h) 5, oleoyl chloride (1.25 equiv.), DMAP (1.25 equiv.), dry CHCl3, 16 h r.t.; (i) 3b, Palmitic acid (1.1 equiv.), EDC∙HCl (1.3 equiv.), DMAP (0.3 equiv.), dry CH2Cl2, 16 h, r.t.; (j) 8, AcOH:H2O (4:1 v/v), 2 h, 55 °C; (k) 9, TBDMSCl (1.1 equiv.), imidazole (1.5 equiv.), dry CH2Cl2, 16 h, r.t.; (l) 10 or (R)-10, oleic acid (1.1 equiv.), EDC∙HCl (1.3 equiv.), DMAP (0.3 equiv.), dry CH2Cl2, 16 h r.t; (m) 11 or (R)-11, Et3N∙3HF (5 equiv.) in THF:MeCN (1:1 v/v), 7 h, r.t.
Scheme 1. Pathways A–C used for the synthesis of key compound 7a and schematic preparation of rac-DAG 7b7d. (a) 3a, TrtCl (0.25 equiv.), DMAP (0.005 equiv.), Et3N (0.03 equiv.) dry THF, 16 h, r.t.; (b) 4, Palmitic anhydride (1.1 equiv.), DMAP (1.1 equiv.), CHCl3, 48 h, 0 °C to r.t.; (c) 5, oleic acid (1.3 equiv.), DMAP (1.3 equiv.), EDC∙HCl (2.6 equiv.), pyridine (2.6 equiv.), dry CH2Cl2, 16 h, r.t.; (d) HCl 37% (50 mmol, 44 µL) in 30 mL CHCl3: MeOH 1:1 (v/v), added for 6 h at 0 °C to a solution 8a8d dissolved in 30 mL CHCl3: MeOH 1:1 (v/v), then 16 h at 0 °C; (e) 4, acyl chlorides (1.3 equiv), DMAP (1.3 equiv), 16 h, r.t; (f) 3b, Palmitoyl chloride (1.25 equiv.), DMAP (1.25 equiv, dry CH2Cl2, 16 h, r.t.; (g) 9, Amberlyst–15, (1:10 w/w), dry CH2Cl2, 4 h, r.t.; (h) 5, oleoyl chloride (1.25 equiv.), DMAP (1.25 equiv.), dry CHCl3, 16 h r.t.; (i) 3b, Palmitic acid (1.1 equiv.), EDC∙HCl (1.3 equiv.), DMAP (0.3 equiv.), dry CH2Cl2, 16 h, r.t.; (j) 8, AcOH:H2O (4:1 v/v), 2 h, 55 °C; (k) 9, TBDMSCl (1.1 equiv.), imidazole (1.5 equiv.), dry CH2Cl2, 16 h, r.t.; (l) 10 or (R)-10, oleic acid (1.1 equiv.), EDC∙HCl (1.3 equiv.), DMAP (0.3 equiv.), dry CH2Cl2, 16 h r.t; (m) 11 or (R)-11, Et3N∙3HF (5 equiv.) in THF:MeCN (1:1 v/v), 7 h, r.t.
Symmetry 12 01108 sch001
Scheme 2. Synthesis of racemic 1a1d and 2a2c. (a) 7ad, 12 (1.0 equiv.), Et3N (1.1 equiv.), dry CH3CN, 0 °C to r.t. 1 h; (b) 13ad, NMe3 (3.5 equiv.), dry CH3CN, 16 h, 65 °C; or 13ac, NH3 (3.5 equiv.), dry CH3CN, 16 h, 65 °C.
Scheme 2. Synthesis of racemic 1a1d and 2a2c. (a) 7ad, 12 (1.0 equiv.), Et3N (1.1 equiv.), dry CH3CN, 0 °C to r.t. 1 h; (b) 13ad, NMe3 (3.5 equiv.), dry CH3CN, 16 h, 65 °C; or 13ac, NH3 (3.5 equiv.), dry CH3CN, 16 h, 65 °C.
Symmetry 12 01108 sch002
Figure 2. Confocal micrographs of the vesicles obtained from enantiopure (column a), racemic (column b) and scalemic (R:S, 2:1 column c) POPC GVs were imaged with a SP8 X laser scanning confocal microscope (Leica Microsystems, Wetzlar, Germany). Calcein (20 µM) was included in the inner aqueous buffer to mark the vesicle lumen and largely washed out from the outside by replacing with calcein-free outside buffer. Calcein fluorescence is evident in the green channel row, while the vesicle contours are shown in the bright field image row. The green fluorescence confinement is clearly shown in the merged channels row. Scale bar is 30 µm for all the micrographs.
Figure 2. Confocal micrographs of the vesicles obtained from enantiopure (column a), racemic (column b) and scalemic (R:S, 2:1 column c) POPC GVs were imaged with a SP8 X laser scanning confocal microscope (Leica Microsystems, Wetzlar, Germany). Calcein (20 µM) was included in the inner aqueous buffer to mark the vesicle lumen and largely washed out from the outside by replacing with calcein-free outside buffer. Calcein fluorescence is evident in the green channel row, while the vesicle contours are shown in the bright field image row. The green fluorescence confinement is clearly shown in the merged channels row. Scale bar is 30 µm for all the micrographs.
Symmetry 12 01108 g002
Figure 3. Quantitative image analysis of GVs made of rac-POPC (black), (R)-POPC (red), scal-POPC (blue). The dot plot shows the values of diameters (μm, on the x-axis) and internal fluorescence (a.u., on the y-axis) for each individual GV (i.e., each point represents one GV). The two histograms on the top and on the left of the dot plot show, respectively, the size distribution and the fluorescence distribution of the three populations. Means and standard deviations of the GV populations: rac-POPC (n = 177), diameter 11.1 ± 3.8 μm, fluorescence 100 ± 37 a.u.; (R)-POPC (n = 146), diameter 11.9 ± 5.3 μm, fluorescence 110 ± 40 a.u.; scal-POPC (n = 127), diameter 11.6 ± 3.9 μm, fluorescence 90 ± 30 a.u.
Figure 3. Quantitative image analysis of GVs made of rac-POPC (black), (R)-POPC (red), scal-POPC (blue). The dot plot shows the values of diameters (μm, on the x-axis) and internal fluorescence (a.u., on the y-axis) for each individual GV (i.e., each point represents one GV). The two histograms on the top and on the left of the dot plot show, respectively, the size distribution and the fluorescence distribution of the three populations. Means and standard deviations of the GV populations: rac-POPC (n = 177), diameter 11.1 ± 3.8 μm, fluorescence 100 ± 37 a.u.; (R)-POPC (n = 146), diameter 11.9 ± 5.3 μm, fluorescence 110 ± 40 a.u.; scal-POPC (n = 127), diameter 11.6 ± 3.9 μm, fluorescence 90 ± 30 a.u.
Symmetry 12 01108 g003
Table 1. Synthesis of the key compounds 5a for the preparation of racemic compounds 1a2c.
Table 1. Synthesis of the key compounds 5a for the preparation of racemic compounds 1a2c.
EntryStarting MaterialScale 1PathwayCompoundOverall Yield
13a4 gA7a16%
23b2 gB7a21%
33b3.7 gC7a60%
4(S)-3b3.7 gC(S)-7a66%2
542.2 g 7b29%3
641.0 g 7c28%3
741.0 g 7d60%3,4
1 with respect to the starting material used; 2 slightly increased yield is due to the higher chemical purity of the starting material used in step m in Scheme 1; 3 yield calculated over the steps e–d, Scheme 1; 4 non purified mixtures of 6d were directly used.

Share and Cite

MDPI and ACS Style

Altamura, E.; Comte, A.; D’Onofrio, A.; Roussillon, C.; Fayolle, D.; Buchet, R.; Mavelli, F.; Stano, P.; Fiore, M.; Strazewski, P. Racemic Phospholipids for Origin of Life Studies. Symmetry 2020, 12, 1108. https://doi.org/10.3390/sym12071108

AMA Style

Altamura E, Comte A, D’Onofrio A, Roussillon C, Fayolle D, Buchet R, Mavelli F, Stano P, Fiore M, Strazewski P. Racemic Phospholipids for Origin of Life Studies. Symmetry. 2020; 12(7):1108. https://doi.org/10.3390/sym12071108

Chicago/Turabian Style

Altamura, Emiliano, Arnaud Comte, Alice D’Onofrio, Charlotte Roussillon, Dimitri Fayolle, René Buchet, Fabio Mavelli, Pasquale Stano, Michele Fiore, and Peter Strazewski. 2020. "Racemic Phospholipids for Origin of Life Studies" Symmetry 12, no. 7: 1108. https://doi.org/10.3390/sym12071108

APA Style

Altamura, E., Comte, A., D’Onofrio, A., Roussillon, C., Fayolle, D., Buchet, R., Mavelli, F., Stano, P., Fiore, M., & Strazewski, P. (2020). Racemic Phospholipids for Origin of Life Studies. Symmetry, 12(7), 1108. https://doi.org/10.3390/sym12071108

Note that from the first issue of 2016, this journal uses article numbers instead of page numbers. See further details here.

Article Metrics

Back to TopTop