Abstract
The current greenway systems in China are relatively homogenous, whereas recreational groups and their needs are highly diverse. This discrepancy has resulted in increasingly severe behavioral conflicts during greenway recreation. However, scholarly research on behavioral conflicts in greenway recreational activities is lacking. Recreationists’ perceptions of conflict negatively impact their evaluation of the recreational experience, thereby limiting the ecological and recreational benefits of greenways. Therefore, it is crucial to categorize these conflicts, understand their formation mechanisms, and identify influencing factors, so as to put forward targeted management strategies for greenway construction. This study selected urban segments of greenways along the Wei and Feng rivers in Xi’an, Shaanxi Province, China. Field observation, semi-structured interviews, and NVivo 12 three-level coding were used to investigate and analyze the main types of behavioral conflicts perceived by various recreational groups on urban greenways and the factors influencing these perceptions. The results indicate that the primary types of behavioral conflicts are danger perception, space occupancy, environmental damage, and noise disturbance. Younger groups, highly educated individuals, local residents, and those with exercise as their primary recreational purpose are more likely to perceive conflicts. In addition, recreationists also focus on the completeness of greenway infrastructure, the richness of green landscapes, and the adequacy of behavior management. These findings can help greenway managers and planners understand the perception of recreational conflicts, enabling the formulation of targeted design strategies and management measures to mitigate these conflicts in urban greenway recreation.
1. Introduction
With the rapid acceleration of global urbanization, gray infrastructure like concrete and impervious surfaces has replaced many natural areas within cities [1,2,3,4]. This high level of urbanization has led to numerous problems, including traffic congestion, environmental pollution, and a lack of green open spaces, severely hindering sustainable urban development [2,5,6]. Urban greenways, as green linear spaces in high-density urban areas, play a vital role in alleviating congestion [7,8,9], providing recreational spaces [10,11,12], enhancing ecological benefits, and promoting sustainability [13,14,15]. Recently, with the increasing demand for leisure and entertainment among urban residents, greenway construction and development have gained broader attention [2,16].
Greenways, a popular form of linear parks, are a unique type of urban green space (UCS) [1,3,8]. Since the twentieth century, the greenway movement has grown explosively [16,17]. The United States was among the first to develop park greenways and green space systems by connecting parks [14,18]. Charles Little’s seminal work, Greenways for America, provides an excellent overview and summary of this movement [18,19,20]. Singapore has developed a greenway network in its densely populated city-state [15,21]. Germany has constructed greenways to address natural habitat fragmentation [22,23]. Japan has developed ecological greenways based on urban green space system planning [22,24]. China has initially established the “Pearl River Delta” greenway network based on greenway theory [3,25]. In the early stages of the greenway movement, Fábos and Ryan [17] systematically reviewed research on urban greenways and found that most studies focused on their ecological benefits [16]. As the greenway movement has progressed, Horte and Eisenman [20] found that recent research has increasingly emphasized the role of greenways in addressing human needs and recreational experiences, as well as in planning, design, and management. This shift reflects a strong orientation towards human needs and concerns [26], indicating that research objectives for greenways have transitioned from ecological protection to recreational experiences [14].
In recent years, urban greenways have increasingly faced various recreational behavior conflicts due to extensive use and diverse user needs [27,28,29,30,31]. These conflicts often manifest as mixed pedestrian and vehicle traffic, excessive cycling speeds, and unpredictable pedestrian crossings, sometimes leading to accidents and fatalities. Recreational behavior conflicts are described as “goal interference”, the discrepancy between expected and actual outcomes. These conflicts can be categorized as “inter-group” and “intra-group” conflicts [30,32]. Inter-group conflicts occur between users engaged in different activities, such as walkers and mountain bikers, while intra-group conflicts occur among users participating in the same activity, like walkers [33]. Recreationists’ evaluations of greenways are based on observations of site conditions and personal recreational experiences. Perceived conflicts can negatively impact these evaluations, diminishing the overall enjoyment of the greenway experience [34,35,36]. Therefore, it is crucial for managers to understand specific conflict perceptions among greenway users to enhance recreational experiences [37].
However, there is a lack of research on the perception of behavioral conflicts in greenway recreation. Pickering et al. [38] found that research on outdoor recreation and conflicts was dominated by the United States, Australia, and some European countries. Despite China’s large population and its extensive terrestrial protected areas, limited attention is given to outdoor recreational conflicts. In recent years, China has placed significant emphasis on the development of greenways, with their lengths steadily increasing [16]. Since 2016, the Ministry of Housing and Urban-Rural Development has issued a series of policy documents related to greenways, aiming to accelerate the construction of greenway networks nationwide. But these policy documents lack content on managing recreational conflicts. In contrast, current research in China on greenway recreational experiences primarily focuses on landscape ecological functions and infrastructure layout, with less attention to behavioral conflicts related to urban greenways [20]. Greenways are prone to recreational conflicts, which are easily perceived by users, potentially threatening the ecological and recreational benefits of future greenways. Conflicts will never be completely eliminated, but understanding them and their influencing factors across different user groups can help in developing potential solutions to mitigate these conflicts. This understanding can lead to better management and broader participation in greenway activities, thereby enhancing their ecological and recreational benefits [39,40].
This study conducts a qualitative case analysis of behavioral conflicts among recreational groups on the urban greenways in Xi’an, China. The objectives are as follows: (1) identify key types of behavioral conflicts among recreational groups; (2) analyze the impact of sociodemographic characteristics and greenway awareness on conflict perception; and (3) summarize the main concerns of recreationists regarding greenway construction and propose targeted conflict mitigation strategies. This study may help to enrich the theoretical framework of inclusive greenway design and provide practical recommendations for future urban greenway planning and will support public participation and the co-governance of urban green public spaces.
2. Materials and Methods
2.1. Case Selection
This study focuses on the urban section of the “Three Rivers and One Mountain” greenway along the Wei and Feng rivers in Xi’an, Shaanxi Province, China. This extensive greenway spans 312 km and includes diverse natural and cultural resources, such as the Wei River, the Feng River, the Chan-Ba River, and the Qinling Mountains. This case is considered representative for several reasons. Firstly, the greenway’s scale and scope make it a representative study area, reflecting the complexity and diversity of recreational conflicts and their influencing factors. Secondly, the greenway integrates ecological elements, creating a multifunctional system that supports cycling, walking, sightseeing, and leisure. This functional diversity attracts a wide range of users, including walkers, joggers, and mountain bikers, providing a representative sample for interviews. Thirdly, as a significant construction project and livelihood initiative in China, the “Three Rivers and One Mountain” greenway holds substantial social influence. In 2017, China prioritized greenway construction as a key project and proposed increased efforts in this area. Subsequently, Xi’an, a central city in the northwest, began constructing the “Three Rivers and One Mountain” greenway, which opened in 2021. In recent years, Xi’an City has issued a series of policy documents on greenway planning, mandating the “enhancement of greenway service capacity”. These initiatives have been well received by residents and tourists, increasing the use of urban greenways as major public recreational spaces. However, this popularity also increases the potential for conflicts among recreational users.
2.2. Data Collection
Initially, literature and internet searches were conducted to gather information about the greenway, including types of recreational groups and behavioral conflict incidents. To investigate the project’s actual conditions, a field survey of the “Three Rivers and One Mountain” greenway in Xi’an was conducted in October 2023. During the field trip, activities of recreational groups and instances of behavioral conflicts were observed and recorded, with photographs taken to ensure data accuracy and completeness.
At the end of the field study, a semi-structured interview outline and identification of the types of recreation groups to be interviewed were developed based on the findings of the study and the literature review. On-site interviews were conducted along the greenway in Xi’an. The interviews focused on observing, organizing, and recording the recreationists’ perceptions and experiences, concentrating on three main aspects: (1) the demographic information of the respondents, including gender, age, education level, identity, and familiarity with the greenway and primary recreational activities; (2) the behaviors of other recreational groups on the greenway that disturbed or negatively affected the respondents, along with the reasons for these disturbances; and (3) expectations and suggestions for the future development of the urban greenway. In addition, we collected information on the main types of activities of the interviewees in order to subsequently categorize the interview cases. Random sampling was employed during the interviews to minimize non-response bias. Interviews were conducted during daytime sessions in November 2023 and March 2024, with each session lasting 15–20 min. With participants’ consent, interviewers recorded and transcribed the conversations, guiding respondents to share their perceptions, experiences, and feelings regarding recreational conflicts on the greenway. Participants were informed that the interviews were for research purposes and that their personal information would remain confidential. Flexibility was maintained during the interviews to adjust questions based on discussions and explore new issues related to recreational conflicts. Detailed records of the interview process, including specific contexts, facial expressions, and emotional changes in respondents, were kept to form interview transcripts for subsequent analysis. Ultimately, the research team obtained 112 valid semi-structured interview questionnaires from various recreational groups on the urban greenway (Table 1). This was based on respondents’ perceptions of conflicts and their completion of the basic questions. Additionally, interviews were conducted with staff responsible for managing and maintaining the greenway, such as station attendants, cleaners, and managers, to gain a comprehensive understanding of managing and maintaining behavioral conflicts on the greenway from different perspectives.
Table 1.
Respondents’ information.
2.3. Data Analysis
This study utilized grounded theory methodology, NVivo 12 software was used to analyze interview transcripts, identifying the main types and influencing factors of behavioral conflicts among recreational groups on the greenway. Grounded theory is a method for developing substantive theory from the bottom up. This approach identifies core concepts reflecting phenomena based on case interview information. The relationships between these concepts are then used to construct the relevant theory. It is widely applied by scholars [27,41,42]. The non-preconceived nature of grounded theory ensures that the types of behavioral conflicts and influencing factors identified from the case texts genuinely reflect the experiences of recreational groups. It also helps in understanding the suggestions and perspectives of recreationists regarding greenway construction. Additionally, NVivo 12 offers a workspace and tools for managing, shaping, and understanding interview text information. It efficiently manages large volumes of interview text, facilitating the discovery of new insights. The software’s ability to perform a detailed coding and categorization of interview content is essential for grounded theory methodology.
NVivo 12 software was used to store interview responses as “cases” and to record respondents’ demographic information as attributes for each case. The original descriptive statements were coded and compared using a three-level system of “conflict type-conflict evaluation-conflict description statements”. This process identified types of behavioral conflicts among urban greenway users, forming preliminary theories. Subsequently, the NVivo 12 coding query function explored the relationship between perceived conflict types and case attributes. The query results reflected how demographic characteristics influenced the perception of behavioral conflicts. The authenticity and accuracy of the coding were verified using original data and field research findings. This approach aids in understanding respondents’ experiences and perspectives, reducing limitations in analysis and conclusions. The authenticity and accuracy of the coding were verified using the original data and specific field research conditions [27]. This method helps in understanding the experiences and perspectives of the respondents, thus reducing the limitations of the analysis and conclusions [27,43].
3. Results
3.1. Types of Behavioral Conflicts
As shown in Table 2, behavioral conflicts commonly mentioned by recreational groups are mainly divided into four types, namely, danger perception (Figure 1a), space occupancy (Figure 1b), environmental damage (Figure 1c), and noise disturbance (Figure 1d). Recreationists perceived “pet injuries”, “excessive speed”, “barbecue fires”, “wrong-way turning”, and “collisions” as dangerous. As noted in the interview texts, these behavioral conflicts were perceived to “cause harm” and “frighten people”. This perception of danger led to the decrease in people’s enjoyment feeling of the greenway. Therefore, these conflicts were coded as “danger perception”. Meanwhile, recreationists also felt that “crowding” and “road obstruction” created the perception that “overcrowded spaces affect activities”. This reflected conflicts due to improper space occupancy and was coded as the space occupancy conflict type. Conflicts such as “crowded feeling” and “road obstruction” indicated improper space occupancy and were categorized under the “space occupancy” category. Similarly, incidents like “pet excretion”, “littering”, and “damaging infrastructure” were coded under “environmental damage”. Lastly, “children being noisy” and “loud music” were categorized as “noise disturbance”. Notably, one interviewee mentioned that odors impacted the quality of the recreational experience. However, due to the inability to determine the odor’s source and the rarity of such mentions, this result was excluded to avoid incidental bias.
Table 2.
Coding of behavioral conflict categories.
Figure 1.
Types of behavioral conflicts: (a) danger perception; (b) space occupancy; (c) environmental damage; and (d) noise disturbance.
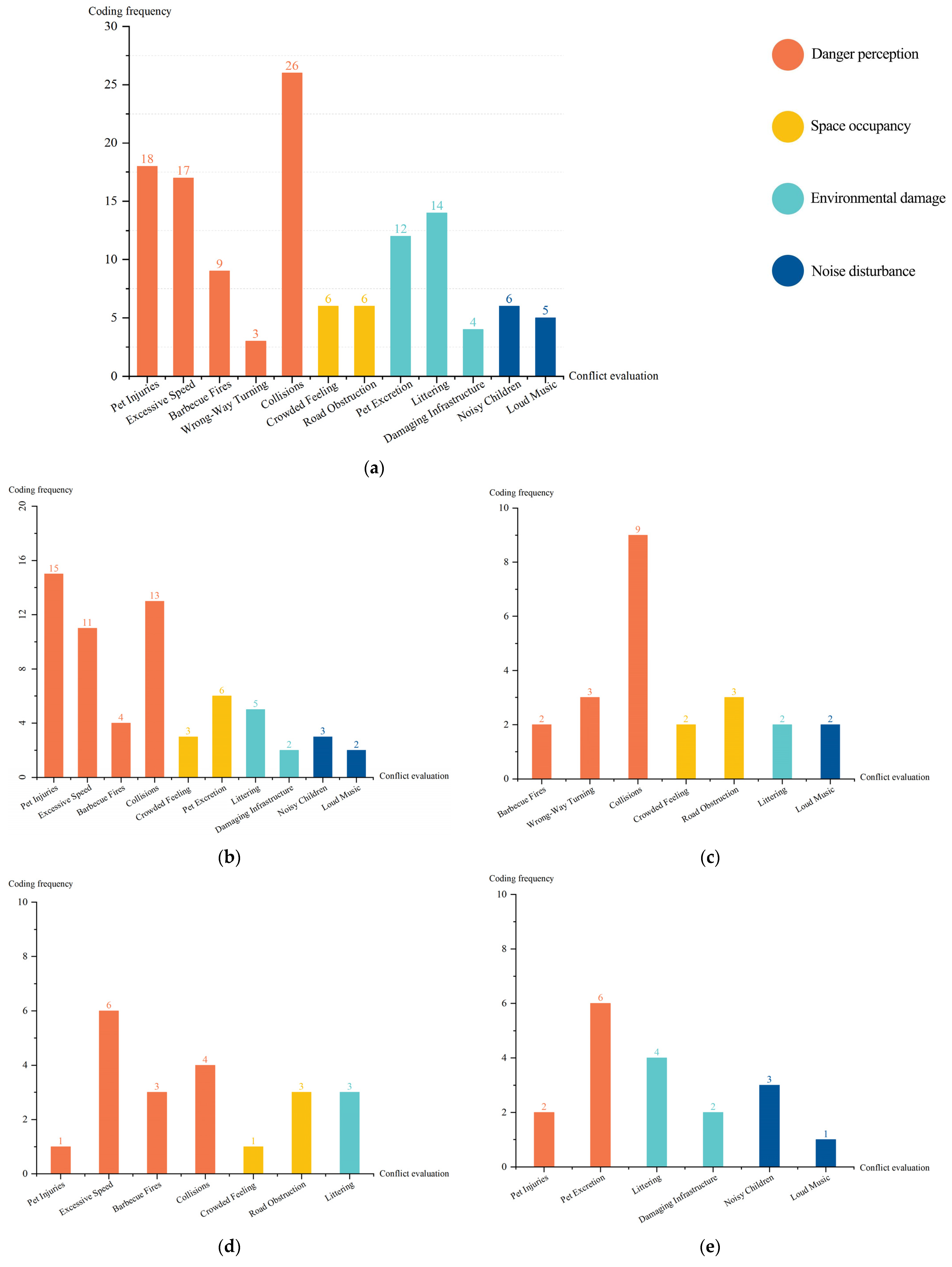
Descriptive statistics of the identified behavioral conflict types (Figure 2) reveal that recreational groups on the greenway primarily perceived interference from “danger perception” conflicts. They perceived less interference from the “space occupancy” and “noise disturbance” conflict types. Different recreational groups perceived various types of behavioral conflicts. Walkers, mountain bikers, and joggers mainly perceived danger perception conflicts, while campers were primarily affected by environmental damage. Of these, mountain bikers primarily worried about “collisions” with walkers. Walkers and joggers reported being mainly disturbed by “collisions” and the “excessive speed” of mountain bikers. Additionally, walkers indicated that “pet injuries” within their group significantly reduced their recreational experience. Unlike the other three groups, campers were less affected by safety issues. However, in open-ended conflict questions, campers noted that “pet excretion” and “littering” by walkers caused conflict during their recreation. These results indicate that behavioral conflicts are perceived not only between different recreational groups but also within the same group.
Figure 2.
Coding frequency of behavioral conflict perceptions: (a) coding frequency of behavioral conflict perceptions among recreational groups; (b) coding frequency of behavioral conflict perceptions among walkers; (c) coding frequency of behavioral conflict perceptions among mountain bikers; (d) coding frequency of behavioral conflict perceptions among joggers; and (e) coding frequency of behavioral conflict perceptions among campers.
3.2. Influencing Factors of Behavioral Conflict Perception
The matrix analysis results indicate that sociodemographic factors have varying impacts on the perception of behavioral conflicts (Table 3). Regarding gender, a higher proportion of male respondents (57.38%) perceived conflicts compared to females, suggesting that men were more likely to perceive conflicts. Both genders, however, mainly experienced “danger perception” conflicts. In terms of age, the groups perceiving conflicts on the greenway had a diverse age distribution. The age groups 26–30 years (24.59%) and 31–40 years (34.43%) were more likely to perceive conflicts, indicating that younger individuals were more sensitive to behavioral conflicts. Younger groups mainly perceived danger perception and environmental damage conflicts, while older groups primarily experienced danger perception conflicts. Regarding educational attainment, respondents had a wide range of educational backgrounds: elementary school or below (6.56%), middle school (9.84%), high school or vocational education (16.39%), associate or bachelor’s degrees (49.18%), and master’s (4.92%) or doctoral degrees (13.11%). Relatively speaking, higher-educated groups were more likely to perceive conflicts. Additionally, they were more sensitive to space occupancy and noise disturbance conflicts. At the identity level, residents living near the greenway (63.93%) were more likely to perceive conflicts. Additionally, residents were more sensitive to environmental damage conflicts compared to tourists.
Table 3.
An analysis of factors influencing the perception of behavioral conflicts.
Recreationists’ perceptions of the greenway and their recreational motivations also significantly influence the perception of behavioral conflicts. Regarding familiarity with the greenway, those who were “familiar and frequently visited” (49.18%) were the most affected by behavioral conflict. They mainly perceived conflict types were related to danger perception and environmental damage. In terms of primary purpose, those using the greenway for exercise were more likely to experience conflicts (83.61%) and were more likely to be disturbed by the danger perception conflict type.
3.3. Respondents’ Focus on Greenway Development
The results of coding analysis show that respondents’ evaluations and expectations of the “Three Rivers and One Mountain” greenway focused on three main areas: infrastructure completeness, the richness of green landscapes, and the effectiveness of behavior management (Table 4). However, unmet needs and expectations of recreationists can indirectly lead to behavioral conflicts among recreational groups. The interview results indicated a desire for more activity facilities. A lack of such facilities in urban greenways can lead to functional zoning chaos, indirectly triggering conflicts among recreational groups. Respondents also suggested, “There should be more convenience facilities on the greenway”. A staff member at one of the greenway stations acknowledged the lack of convenience facilities, stating, “More vendors would not only boost the economy but also make it more convenient for tourists”. Many interviews highlighted that ample and diverse green landscapes effectively enhance positive emotions among recreationists. One respondent noted, “This helps establish an emotional connection with the greenway”, and expressed a desire for “more green landscapes, as I enjoy the natural scenery”. Regarding behavior management, respondents pointed out several issues. One respondent said, “When camping here, sometimes the management staff would chase us away without any signs indicating where camping is allowed”. Another respondent commented, “The mix of pedestrian and vehicle traffic on the greenway feels very dangerous, and I’m worried about collisions”. These issues reflect significant challenges in greenway management.
Table 4.
Recreationists’ evaluations.
4. Discussion
4.1. Types of Behavioral Conflicts among Recreational Groups
4.1.1. Danger Perception Behavioral Conflict Type
Overall, recreationists identify danger perception behavioral conflicts as the most disruptive. This finding aligns with Mann and Absher’s research [40], which identified the fear of dog walkers (and their dogs) and mountain bikers as common conflict sources. Recreationists prefer comfortable and safe environments. The perception of danger leads to psychological aversion to the surroundings, reducing recreational satisfaction [44,45]. Therefore, setting up separate paths for pedestrians and cyclists and educating recreationists about the reasons for management actions may more effectively reduce conflicts [46]. Additionally, placing signs at key points on the greenway to emphasize cycling directions and providing leash hooks can promote responsible dog-walking behavior, thereby reducing unnecessary conflicts (Figure 3a).
Figure 3.
Design layout for mitigating types of behavioral conflicts: (a) design layout for mitigating danger perception behavioral conflict type; (b) design layout for mitigating space occupancy behavioral conflict type; (c) design layout for mitigating environmental damage behavioral conflict type; and (d) design layout for mitigating noise disturbance behavioral conflict type.
Additionally, this study found that for walkers, “pet injuries” and “collisions” were the primary sources of danger perception conflicts, originating both within their group and from mountain bikers. This indicates that behavioral conflicts exist both within and between recreational groups, which is consistent with previous studies [33,46,47,48]. This study also found that campers experienced fewer internal conflicts related to “barbecue fires” compared to other groups. This suggests that internal conflicts are less frequent than external conflicts, consistent with previous research [36,40,47,49]. This may be related to increased satisfaction levels when encountering members of the same recreational group [36]. This indirectly reflects that people enjoy seeing others engaging in similar recreational activities. Managers can enhance satisfaction by providing shared spaces, such as campsites and barbecue areas, and organizing interactive activities among similar groups, like walking events and camping gatherings.
4.1.2. Space Occupancy Behavioral Conflict Type
This study found that greenway users experienced less interference from space occupancy conflicts. This finding contrasts with previous research [29,34,47,50], which identified “crowding” as a major conflict among recreation groups [26]. The likely reason is that, compared to other recreational spaces, greenways are long and can disperse crowds across multiple areas. Additionally, this study′s results showed that mountain bikers and joggers were more likely to experience space occupancy conflicts, possibly because their activity styles make them more sensitive to such conflicts [47,51]. To address this issue, planning separate routes for different recreational groups, such as joggers and mountain bikers, can minimize conflicts. Additionally, clearly marked lanes and one-way route planning can help accommodate various recreational speeds and reduce the sense of crowding for greenway users (Figure 3b).
4.1.3. Environmental Damage Behavioral Conflict Type
This study found that campers were the most significantly affected by environmental damage behavioral conflicts compared to other recreational groups. This is likely because campers are more dependent on greenway resources for their recreational activities, making them more sensitive to issues such as litter and vandalism [40,52]. Additionally, this study identified that “pet excretion” and “littering” were the main forms of recreational disturbances within this conflict type. This supports previous research [36,40], which found that “littering” and “vandalism” significantly reduce recreational satisfaction and have high conflict potential. One potential solution is to designate specific camping areas on urban greenways, situated away from high recreational usage zones, and implement a regular cleaning schedule. This strategy could effectively reduce the likelihood of behavioral conflicts (Figure 3c). However, in any case, it is essential to enhance recreationists’ sense of responsibility for urban greenway environmental protection and to improve greenway environmental management systems to mitigate the emergence of conflicts. This can be achieved through awareness campaigns and education that emphasize the importance of pet owners promptly cleaning up after their pets. Additionally, increasing the number of trash bins and ensuring their regular maintenance can ensure the sufficient and effective use of waste disposal facilities.
4.1.4. Noise Disturbance Behavioral Conflict Type
Although noise disturbance conflicts are less noticeable in urban greenways, they still require attention. Previous studies have identified noise disturbance conflicts among recreational groups [31,36]. In urban greenways, the main sources of noise disturbance conflicts are “children’s noise” and “music noise”. Managers can mitigate these conflicts by using signs. The interview results indicate that such conflicts are more noticeable to walkers and campers, while mountain bikers and joggers are less affected. This difference may be due to walkers and campers placing greater importance on the availability of quiet spaces, making them less tolerant of noise disturbances. To address this, it is advisable to designate quiet areas on greenways, especially in regions where walkers and campers are concentrated. Signage should remind recreationists to maintain silence. Furthermore, installing vegetative sound barriers or other noise reduction facilities along the greenway can help reduce the impact of music noise and children’s chatter on walkers and campers (Figure 3d).
4.2. Influence of Demographic and Other Factors on Behavioral Conflict Perception
Our results indicate that sociodemographic characteristics, including gender, age, highest education level, and residency status, influence behavioral conflict perception. It was found that men (57.38%) were more likely to perceive conflicts than women (42.63%), individuals with higher education levels (67.21%) were more likely to perceive conflicts, and residents living near the greenway (63.93%) were more likely to perceive conflicts. These findings are consistent with previous research [33,40,49,53,54]. Local residents are more likely to perceive conflicts because they have easier access to the greenway and are more exposed to its impacts on their community [53]. The results also showed that younger people (65.58%) were more prone to behavioral conflicts, contrasting with previous research findings [36,40,49]. This discrepancy may be due to the linear and open nature of the greenway, which accommodates a wide variety of recreational activities. In contrast, older adults tend to engage primarily in walking, perceiving fewer types and sources of behavioral conflicts.
In terms of greenway perception and motivation, this study found that those who were familiar with and frequently visited the greenway (62.29%) were more likely to perceive conflicts. This may be because recreationists develop an attachment to familiar greenways, which leads to stronger opinions about the appropriate conditions of these environments [37]. Moreover, our study discovered that recreationists using the greenway for exercise (83.61%) were more likely to perceive conflicts. This novel finding might be related to the nature of their activities. Recreationists motivated by fitness have higher spatial demands and are more susceptible to disturbances caused by crowding.
4.3. Recommendations for Greenway Development
This study identifies infrastructure completeness, landscape richness, and behavior management as the main concerns for greenway development. This finding corroborates previous research [55,56,57], which also recognized these three aspects as significant factors influencing recreational satisfaction [55,58,59,60]. This suggests that people prioritize their recreational experience over environmental ecological functions [20]. Thus, greenway development should address the perceived needs and expectations of recreational groups based on their feedback. Furthermore, specific evaluations of the “Three Rivers and One Mountain” greenway reveal that these aspects directly or indirectly impact behavioral conflicts.
To address these issues, reasonable suggestions should be provided for infrastructure, landscape beautification, and behavior management in urban greenways. The interview results found that users are dissatisfied with some specific functions of public infrastructure services on greenways. It is therefore recommended that basic facilities be strengthened and improved in accordance with the specific conditions of the actual space and the varying needs of the different recreational groups throughout the entire process of greenway recreation. This involves expanding parking areas to accommodate more vehicles and enhancing access near greenway entrances to facilitate use by all recreational groups. Adequate restrooms should be installed along the greenway, especially in high-traffic areas, with regular cleaning and maintenance schedules to ensure cleanliness and functionality. Clear and informative signs should be installed to provide directions, safety information, and behavioral guidelines. Regarding landscaping, managers should enrich natural landscapes by increasing plant diversity and creating habitats for local wildlife. Furthermore, sustainable landscaping practices and the regular maintenance of green spaces should be implemented to enhance the positive experiences of recreational users. Lastly, behavior management on greenways should be strengthened. Behavioral conflicts have been identified in both direct and indirect interactions between recreational groups [48]. Clear guidelines for recreational behavior on the greenway should be established by managers and planners, outlining acceptable behaviors and the consequences of violations. Prohibited behaviors, such as littering, allowing pets off-leash, and speeding by cyclists, should be clearly defined to directly mitigate conflicts between user groups. Moreover, recreational routes should be designed for various user groups, integrating elements that foster positive interactions to indirectly mitigate behavioral conflicts.
4.4. Limitations and Future Directions
This study has several limitations. First, it focuses on the urban section of the greenway along the Wei and Feng rivers in the “Three Rivers and One Mountain” urban greenway in Xi’an, and the findings may not be generalizable to other urban greenways. Further validation with more cases from different cities is needed. Second, this study targets the main recreational groups on the “Three Rivers and One Mountain” greenway, reflecting only the general situation of this specific greenway. Thus, the results may not represent all recreationists using greenways. Additionally, this study does not distinguish between walkers and dog walkers among the greenway users. Future research could further differentiate and analyze these groups to identify differences in perceived behavioral conflicts between walkers and dog walkers. Lastly, the number of interview cases for each recreational group in this study is limited, which may introduce incidental bias. Future research should expand the sample size and include other urban greenways to explore the main causes of perceived conflicts and the impact of encounters between recreational groups on recreational satisfaction.
5. Conclusions
Behavioral conflicts in urban greenway recreation significantly impact recreational satisfaction. While an extensive amount of the literature has studied the impact of behavioral conflicts on satisfaction and their causes among outdoor recreational groups, this study uniquely identifies the main types and influencing factors of these conflicts in the “Three Rivers and One Mountain” urban greenway through qualitative case interviews and grounded theory. This study also analyzes the key concerns of recreationists regarding greenway development based on case interviews. The results indicate that the main types of behavioral conflicts among recreational groups include space occupancy, danger perception, environmental damage, and noise disturbance. Male groups, younger groups, highly educated individuals, local residents, and those primarily engaged in fitness activities are more likely to be affected by these conflicts. Respondents emphasized the importance of infrastructure completeness, landscape richness, and effective behavior management in greenway development. The findings provide insights for the rational planning and configuration of recreational spaces and facilities, essential for enhancing recreational satisfaction.
Conflict is an inherent and disruptive part of society, yet behavioral conflicts in greenway recreation can be mitigated through the collaborative efforts of managers, planners, and recreationists. Managers should enhance infrastructure construction, ensuring that greenway facilities are comprehensive and regularly maintained to improve user satisfaction. It is also essential to focus on functional zoning within greenways to avoid conflicts between different activity areas, ensuring that each group can use the greenway safely and comfortably. Additionally, promoting behavioral norms through education and guidance can raise users’ environmental awareness and encourage civilized behavior, thereby reducing behavioral conflicts. To achieve sustainable greenway development, planners should adopt ecological design principles to protect and restore natural ecosystems within the greenway, increase green space and vegetation cover, and enhance landscape diversity. Future greenway development should also prioritize community involvement, soliciting feedback from residents and users to strengthen their sense of identity and responsibility toward the greenway, ultimately achieving long-term sustainable development.
Author Contributions
Conceptualization, X.-J.Q. and J.Z.; Methodology, X.-J.Q., J.Z. and X.Y.; Data acquisition, X.Y.; Data processing, X.Y.; Writing original draft preparation, X.Y. and J.Z.; Writing review and editing, X.Y., J.Z. and Y.Y.; Fund acquisition, X.-J.Q. All authors have read and agreed to the published version of the manuscript.
Funding
This work was supported by the Funding Agency: Social science funding of Shaanxi province, China [grant number: 2022J134]; the Funding Agency: Social science funding of Northwest A&F University [grant number: 2452023323]; the Funding Agency: Innovation and entrepreneurship training plan for Chinese college students [grant number: 202402460A1].
Data Availability Statement
The data that support our research findings are available from the corresponding author on request.
Conflicts of Interest
The authors declare no conflicts of interest.
References
- Akpinar, A. Factors influencing the use of urban greenways: A case study of Aydın, Turkey. Urban For. Urban Green. 2016, 16, 123–131. [Google Scholar] [CrossRef]
- Li, L.; Gao, X.; Li, J.; Meng, L.; Wang, Z.; Yang, L. Difference of Usage Behavior between Urban Greenway and Suburban Greenway: A Case Study in Beijing, China. Land 2022, 11, 1245. [Google Scholar] [CrossRef]
- Liu, Z.; Lin, Y.; De Meulder, B.; Wang, S. Can greenways perform as a new planning strategy in the Pearl River Delta, China? Landsc. Urban Plan. 2019, 187, 81–95. [Google Scholar] [CrossRef]
- Xie, B.; Pang, Z.; He, D.; Lu, Y.; Chen, Y. Effects of neighborhood environment on different aspects of greenway use: Evidence from East Lake Greenway, China. J. Transp. Geogr. 2023, 106, 103488. [Google Scholar] [CrossRef]
- Guo, J.; Fu, Y.; Sun, X. Green innovation efficiency and multiple paths of urban sustainable development in China: Multi-configuration analysis based on urban innovation ecosystem. Sci. Rep. 2023, 13, 12975. [Google Scholar] [CrossRef] [PubMed]
- Liu, Z.; Lin, Y.; De Meulder, B.; Wang, S. Heterogeneous landscapes of urban greenways in Shenzhen: Traffic impact, corridor width and land use. Urban For. Urban Green. 2020, 55, 126785. [Google Scholar] [CrossRef]
- Zheng, D.Y.; Zhou, X.Y.; He, Y.J.; Jiang, W.W. The Research on Urban Greenway Fineness Route Selection Technology Based on Multivariate Big Data and Network Model: A Cace Study of Wuhan Greenways. Modern Urban Research 2023, 113–118. [Google Scholar]
- Keith, S.J.; Larson, L.R.; Shafer, C.S.; Hallo, J.C.; Fernandez, M. Greenway use and preferences in diverse urban communities: Implications for trail design and management. Landsc. Urban Plan. 2018, 172, 47–59. [Google Scholar] [CrossRef]
- Zhang, Y.; Huang, Y.; Zheng, M.; Zhang, H.; Zhang, Q.; He, T.; Ye, J. A Study on the Characteristics and Influencing Factors of Soundscape Perception in Landscape Spaces of Urban Greenways. Forests 2024, 15, 670. [Google Scholar] [CrossRef]
- Xing, Y.L.; Chen, Y.H.; Lei, Y.Q.; Zhang, M. Post Occupancy Evaluation of Urban Recreational Greenway—Fudao of Fuzhou City as an Example. J. Heilongjiang Vocat. Inst. Ecol. Eng. 2023, 36, 15–19+77. [Google Scholar]
- He, H.; Li, J.; Lin, X.; Yu, Y. Greenway Cyclists’ Visual Perception and Landscape Imagery Assessment. Front. Psychol. 2021, 12, 541469. [Google Scholar] [CrossRef]
- Cao, S.; Song, C.; Jiang, S.; Luo, H.; Zhang, P.; Huang, Y.; Yu, J.; Li, K.; Li, N.; Guo, B.; et al. Effects of Urban Greenway Environmental Types and Landscape Characteristics on Physical and Mental Health Restoration. Forests 2024, 15, 679. [Google Scholar] [CrossRef]
- Chi, W.; Lin, G. The Use of Community Greenways: A Case Study on A Linear Greenway Space in High Dense Residential Areas, Guangzhou. Land 2019, 8, 188. [Google Scholar] [CrossRef]
- Lynch, A.J. Creating Effective Urban Greenways and Stepping-stones: Four Critical Gaps in Habitat Connectivity Planning Research. J. Plan. Lit. 2018, 34, 131–155. [Google Scholar] [CrossRef]
- Tan, K.W. A greenway network for singapore. Landsc. Urban Plan. 2006, 76, 45–66. [Google Scholar] [CrossRef]
- Xu, H.; Fu, F.; Miao, M. What Is the Effect of Cultural Greenway Projects in High-Density Urban Municipalities? Assessing the Public Living Desire near the Cultural Greenway in Central Beijing. Int. J. Environ. Res. Public Health 2022, 19, 2147. [Google Scholar] [CrossRef]
- Fábos, J.G.; Ryan, R.L. An introduction to greenway planning around the world. Landsc. Urban Plan. 2006, 76, 1–6. [Google Scholar] [CrossRef]
- Fábos, J.G. Greenway planning in the United States: Its origins and recent case studies. Landsc. Urban Plan. 2004, 68, 321–342. [Google Scholar] [CrossRef]
- Little, C.E. Greenways for America; JHU Press: Baltimore, MD, USA, 1995. [Google Scholar]
- Horte, O.; Eisenman, T. Urban Greenways: A Systematic Review and Typology. Land 2020, 9, 40. [Google Scholar] [CrossRef]
- Zhang, Y.; Ong, G.X.; Jin, Z.; Seah, C.M.; Chua, T.S. The effects of urban greenway environment on recreational activities in tropical high-density Singapore: A computer vision approach. Urban For. Urban Green. 2022, 75, 127678. [Google Scholar] [CrossRef]
- Lin, J.; Yang, W.; Yu, K.; Geng, J.; Liu, J. Identification and Construction of Ecological Nodes in the Fuzhou Ecological Corridors. Forests 2022, 13, 1837. [Google Scholar] [CrossRef]
- von Haaren, C.; Reich, M. The German way to greenways and habitat networks. Landsc. Urban Plan. 2006, 76, 7–22. [Google Scholar] [CrossRef]
- Liu, C.; Chen, X.F.; Sun, X.X.; Deng, S.Q.; Tan, Y.P. Overview and Inspiration of Greenway Construction in Japan. World For. Res. 2016, 29, 91–96. [Google Scholar] [CrossRef]
- Chen, Y.; Gu, W.; Liu, T.; Yuan, L.; Zeng, M. Increasing the Use of Urban Greenways in Developing Countries: A Case Study on Wutong Greenway in Shenzhen, China. Int. J. Environ. Res. Public Health 2017, 14, 554. [Google Scholar] [CrossRef] [PubMed]
- Ferguson, M.D.; Caraynoff, A.R.; Ferguson, L.A.; Barcelona, R.J.; Evensen, D.; Knox, H.; Pytlik, S.; Grosz, D. Whether They Return: Modeling Outdoor Recreation Behaviors, Decision Making, and Intention-to-Return in Congressionally Designated Wilderness. Forests 2022, 13, 1018. [Google Scholar] [CrossRef]
- Guangsi, L.I.N.; Zhaosen, Z. Research on the Influencing Factors of Users’ Perception of the Inclusiveness of Urban Parks Based on the Grounded Theory. Landsc. Archit. Front. 2022, 10, 12–37. [Google Scholar] [CrossRef]
- Marzano, M.; Dandy, N. Recreationist behaviour in forests and the disturbance of wildlife. Biodivers. Conserv. 2012, 21, 2967–2986. [Google Scholar] [CrossRef]
- Shelby, L.B.; Vaske, J.J. Perceived Crowding among Hunters and Anglers: A Meta-Analysis. Hum. Dimens. Wildl. 2007, 12, 241–261. [Google Scholar] [CrossRef]
- Wang, C.-P.; Dawson, C.P. Recreation Conflict Along New York′s Great Lakes Coast. Coast. Manag. 2005, 33, 297–314. [Google Scholar] [CrossRef]
- Wong, K.K.; Yu, X. Recreation conflict perception among visitors to Tuen Mun Park, Hong Kong, China: Outgroup evaluation, resource specificity, and lifestyle tolerance. Manag. Leis. 2012, 17, 349–362. [Google Scholar] [CrossRef]
- Schroeder, S.A.; Fulton, D.C.; Cornicelli, L.; McInenly, L.E. Recreation conflict, coping, and satisfaction: Minnesota grouse hunters’ conflicts and coping response related to all-terrain vehicle users, hikers, and other hunters. J. Outdoor Recreat. Tour. 2020, 30, 100282. [Google Scholar] [CrossRef]
- Bakhtiari, F.; Jacobsen, J.B.; Jensen, F.S. Willingness to travel to avoid recreation conflicts in Danish forests. Urban For. Urban Green. 2014, 13, 662–671. [Google Scholar] [CrossRef]
- Kainzinger, S.; Burns, R.C.; Arnberger, A. Whitewater Boater and Angler Conflict, Crowding and Satisfaction on the North Umpqua River, Oregon. Hum. Dimens. Wildl. 2015, 20, 542–552. [Google Scholar] [CrossRef]
- Sever, I.; Verbič, M. Providing information to respondents in complex choice studies: A survey on recreational trail preferences in an urban nature park. Landsc. Urban Plan. 2018, 169, 160–177. [Google Scholar] [CrossRef]
- Watkins, C.E.; Poudyal, N.C. Recreation group encounters and impacts on satisfaction in Tennessee wildlife management areas. Hum. Dimens. Wildl. 2020, 26, 507–522. [Google Scholar] [CrossRef]
- Price, S.; Blacketer, M.; Brownlee, M. The influence of place attachment on campers’ evaluations of ecological impacts due to recreation use. J. Outdoor Recreat. Tour. 2018, 21, 30–38. [Google Scholar] [CrossRef]
- Pickering, C.; Rossi, S.D.; Hernando, A.; Barros, A. Current knowledge and future research directions for the monitoring and management of visitors in recreational and protected areas. J. Outdoor Recreat. Tour. 2018, 21, 10–18. [Google Scholar] [CrossRef]
- Dissanayake, S.T.M.; Meyer, A.G. Incorporating Beliefs and Experiences into Choice Experiment Analysis: Implications for Policy Recommendations. Appl. Econ. Perspect. Policy 2020, 43, 823–848. [Google Scholar] [CrossRef]
- Mann, C.; Absher, J.D. Recreation conflict potential and management implications in the northern/central Black Forest Nature Park. J. Environ. Plan. Manag. 2008, 51, 363–380. [Google Scholar] [CrossRef]
- Birks, M.; Hoare, K.; Mills, J. Grounded Theory: The FAQs. Int. J. Qual. Methods 2019, 18, 1609406919882535. [Google Scholar] [CrossRef]
- Turner, C.; Astin, F. Grounded theory: What makes a grounded theory study? Eur. J. Cardiovasc. Nurs. 2021, 20, 285–289. [Google Scholar] [CrossRef]
- Charmaz, K.; Thornberg, R. The pursuit of quality in grounded theory. Qual. Res. Psychol. 2020, 18, 305–327. [Google Scholar] [CrossRef]
- Wang, H.D.; Ye, J.; Tarin, M.W.K.; Liu, Y.Y.; Zheng, Y.S. Tourists’ Safety Perception Clues in the Urban Forest Environment: Visual Quality, Facility Completeness, Accessibility-A Case Study of Urban Forests in Fuzhou, China. Int. J. Environ. Res. Public Health 2022, 19, 1293. [Google Scholar] [CrossRef] [PubMed]
- Mak, B.K.L.; Jim, C.Y. Contributions of human and environmental factors to concerns of personal safety and crime in urban parks. Secur. J. 2021, 35, 263–293. [Google Scholar] [CrossRef]
- Pam Carothers, J.J.V.M. Social Values versus Interpersonal Conflict among Hikers and Mountain Bikers. Leis. Sci. 2001, 23, 47–61. [Google Scholar] [CrossRef]
- Bachinger, M.; Hafner, M.; Harprecht, P. Cultural and space-based factors influencing recreational conflicts in forests. The example of cyclists and other forest visitors in Freiburg (Germany). Eur. J. Cult. Manag. Policy 2024, 13, 12494. [Google Scholar] [CrossRef]
- Vaske, J.J.; Needham, M.D.; Cline, R.C. Clarifying Interpersonal and Social Values Conflict among Recreationists. J. Leis. Res. 2017, 39, 182–195. [Google Scholar] [CrossRef]
- Kleiner, A.; Freuler, B.W.; Arnberger, A.; Hunziker, M. Biking-hiking conflicts and their mitigation in urban recreation areas: Results of a quasi-experimental long-term evaluation in the Zurich forest. J. Outdoor Recreat. Tour. 2022, 40, 100563. [Google Scholar] [CrossRef]
- Wang, Y.-J.; Yu, S.-Q.; Lin, M.-H. Study on visitors′ crowding perception, adjustment mechanism and satisfaction in urban natural parks. J. Nat. Resour. 2023, 38, 1025–1039. [Google Scholar] [CrossRef]
- Jacob, G.R.; Schreyer, R. Conflict in Outdoor Recreation: A Theoretical Perspective. J. Leis. Res. 2018, 12, 368–380. [Google Scholar] [CrossRef]
- Harshaw, H. Outdoor recreation participation in BC forest-dependent communities. For. Chron. 2008, 84, 2. [Google Scholar] [CrossRef]
- Keith, S.J.; Boley, B.B. Importance-performance analysis of local resident greenway users: Findings from Three Atlanta BeltLine Neighborhoods. Urban For. Urban Green. 2019, 44, 126426. [Google Scholar] [CrossRef]
- Confer, J.J.; Thapa, B.; Mendelsohn, J.L. Exploring a Typology of Recreation Conflict in Outdoor Environments. World Leis. J. 2011, 47, 12–23. [Google Scholar] [CrossRef]
- Mallette, A.; Heaney, S.; McGlynn, B.; Stuart, S.; Witkowski, S.; Plummer, R. Outdoor education, environmental perceptions, and sustainability: Exploring relationships and opportunities. J. Outdoor Environ. Educ. 2024. [Google Scholar] [CrossRef]
- Ren, Y.; Yang, Q. Research on the Factors Influencing the Perception of Urban Park Recreational Behavior Based on the “Homo Urbanicus” Theory. Sustainability 2023, 15, 6525. [Google Scholar] [CrossRef]
- Yao, X.; Sun, Y.; Sun, B.; Huang, Y. The Impact of the Urban Forest Park Recreation Environment and Perceived Satisfaction on Post-Tour Behavioral Intention—Using Tongzhou Grand Canal Forest Park as an Example. Forests 2024, 15, 330. [Google Scholar] [CrossRef]
- Ferguson, M.D.; Giles, G.; Ferguson, L.A.; Barcelona, R.; Evensen, D.; Barrows, C.; Leberman, M. Seeing the forest for the trees: A social-ecological systems approach to managing outdoor recreation visitation in parks and protected areas. J. Outdoor Recreat. Tour. 2022, 38, 100473. [Google Scholar] [CrossRef]
- Gong, L.; Mao, B.; Qi, Y.; Xu, C. A satisfaction analysis of the infrastructure of country parks in Beijing. Urban For. Urban Green. 2015, 14, 480–489. [Google Scholar] [CrossRef]
- Zhang, Z.; Gao, Y.; Zhou, S.; Zhang, T.; Zhang, W.; Meng, H. Psychological Cognitive Factors Affecting Visual Behavior and Satisfaction Preference for Forest Recreation Space. Forests 2022, 13, 136. [Google Scholar] [CrossRef]
Disclaimer/Publisher’s Note: The statements, opinions and data contained in all publications are solely those of the individual author(s) and contributor(s) and not of MDPI and/or the editor(s). MDPI and/or the editor(s) disclaim responsibility for any injury to people or property resulting from any ideas, methods, instructions or products referred to in the content. |
© 2024 by the authors. Licensee MDPI, Basel, Switzerland. This article is an open access article distributed under the terms and conditions of the Creative Commons Attribution (CC BY) license (https://creativecommons.org/licenses/by/4.0/).


