Influences of Vegetation Rehabilitation on Soil Infiltrability and Root Morphological Characteristics in Coastal Saline Soil
Abstract
1. Introduction
2. Materials and Methods
2.1. Area of Study
2.2. Design of Field Experiments
2.3. Measurements of Soil’s Hydraulic Properties
2.4. Soil Sampling
2.5. Root Parameters
2.6. Statistical Assessment
3. Results
3.1. Characterization of Soil
3.2. Infiltration Rate of Soil Water under Different Types of Vegetation
3.3. Hydraulic Conductivity
3.4. Impacts of Classes of Pore on Flow
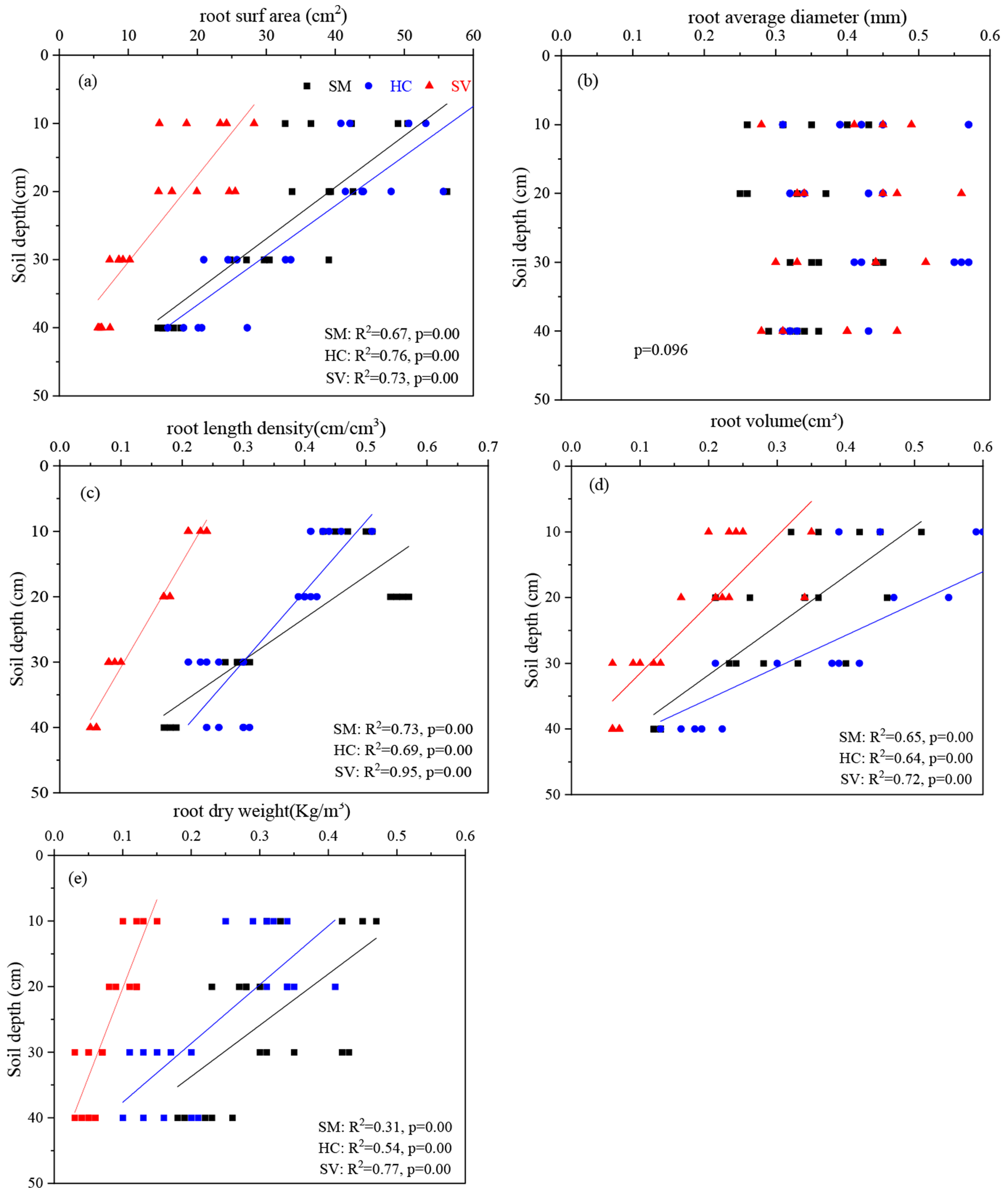
3.5. Distribution of Roots and Roots’ Morphological Properties under Different Types of Vegetation
3.6. Relationships between Soil’s Rate of Infiltration and Soil and Root Properties
4. Discussion
5. Conclusions
Author Contributions
Funding
Data Availability Statement
Acknowledgments
Conflicts of Interest
References
- Luo, Y.; Long, X.; Huang, Z.; Liu, L.; Li, Q.; Li, H.; Sun, L.; Liu, Z. Coupling effects of salt and fertilizer application on growth and iron distribution of oil sunflower in coastal mudflat of northern Jiangsu. Soil 2009, 42, 95–100. [Google Scholar]
- Akhter, J.; Murray, R.; Mahmood, K.; Malik, K.; Ahmed, S. Improvement of degraded physical properties of a saline–sodic soil by reclamation with kallargrass (Leptochloa fusca). Plant Soil 2004, 258, 207–216. [Google Scholar] [CrossRef]
- Li, X.; Kang, Y.; Wan, S.; Chen, X.; Chu, L.; Xu, J. Reclamation of very heavy coastal saline soil using drip—Irrigation with saline water on salt sensitive plants. Soil Tillage Res. 2015, 84, 496–505. [Google Scholar] [CrossRef]
- Li, X.; Zhang, C. Effect of natural and artificial afforestation reclamation on soil properties. Catena 2021, 198, 105066. [Google Scholar] [CrossRef]
- Chandler, K.; Stevens, C.; Binley, A.; Keith, A. Influence of tree species and forest land use on soil hydraulic conductivity. Geoderma 2018, 310, 120–127. [Google Scholar] [CrossRef]
- Stokes, A.; Sotir, R.; Chen, W.; Ghestem, M. Soil bio- and eco-engineering in China: Past experience and future priorities. Ecol. Eng. 2010, 36, 247–257. [Google Scholar] [CrossRef]
- Wang, F.; Wang, Z.; Lee, J. Acceleration of vegetation succession on eroded land by reforestation in a subtropical zone. Ecol. Eng. 2007, 31, 232–241. [Google Scholar] [CrossRef]
- Zhu, W.; Kang, Y.; Li, X.; Wan, S.; Dong, S. Changes in understory vegetation during the reclamation of saline-alkali soil by drip irrigation for shelterbelt establishment in the Hetao Irrigation Area of China. Catena 2022, 214, 106247. [Google Scholar] [CrossRef]
- Li, Y.; Xu, D.; Sa, C.; Wang, X.; Song, K. The study on improvement effect of native species on degraded desert steppe. Chin. J. Grassl. 2022, 44, 36–45. [Google Scholar]
- Ali, H.; Reineking, B.; Munkemuller, T. Effects of plant functional traits on soil stability: Intraspecific variability matters. Plant Soil 2017, 411, 359–375. [Google Scholar] [CrossRef]
- Huang, Z.; Tian, F.; Wu, G.; Liu, Y.; Dang, Z. Legume grasslands promote precipitation infiltration better than gramineous grasslands in arid regions. Land Degration Dev. 2017, 28, 309–316. [Google Scholar] [CrossRef]
- Sun, D.; Yang, H.; Guan, D.; Yang, M.; Wu, J.; Yuan, F.; Jin, C.; Wang, A.; Zhang, Y. The effects of land use change on soil infiltration capacity in China: A meta-analysis. Sci. Total Environ. 2018, 626, 1394–1401. [Google Scholar] [CrossRef] [PubMed]
- Van, E.; Boer, H.; Hanegraaf, M.; Bokhorst, J.; Nierop, D.; Bloem, J.; Schouten, T.; Goede, R.; Brussaard, L. Ecosystem services in grassland associated with biotic and abiotic soil parameters. Soil Biol. Biochem. 2010, 42, 1491–1504. [Google Scholar]
- Rillig, M.; Aguilar-rigueros, C.; Joana, B.; Erik, V.; Veresoglou, S.; Anika, L. Plant root and mycorrhizal fungal traits for understanding soil aggregation. New Phytol. 2014, 205, 1385–1388. [Google Scholar] [CrossRef] [PubMed]
- Freschet, G.; Roumet, C. Sampling roots to capture plant and soil functions. Funct. Ecol. 2017, 31, 1506–1518. [Google Scholar] [CrossRef]
- Leung, A.; Garg, A.; Coo, J.; Ng, C.; Hau, B. Effects of the roots of Cynodon dactylon and Schefflera heptaphylla on water infiltration rate and soil hydraulic conductivity. Hydrol. Progresses 2015, 29, 3342–3354. [Google Scholar] [CrossRef]
- Cui, Z.; Wu, G.; Huang, Z.; Liu, Y. Fine roots determine soil infiltration potential than soil water content in semi-arid grassland soils. J. Hydrol. 2019, 578, 124023. [Google Scholar] [CrossRef]
- Liu, Y.; Guo, L.; Huang, Z.; Lopez-Vicente, M.; Wu, G.L. Root morphological characteristics and soil water infiltration capacity in semi-arid artificial grassland soils. Agric. Water Manag. 2020, 235, 106153. [Google Scholar] [CrossRef]
- Wu, G.; Liu, Y.; Yang, Z.; Cui, Z.; Deng, L.; Chang, X.F.; Shi, Z.H. Root channels to indicate the increase in soil matrix water infiltration capacity of arid reclaimed mine soils. J. Hydrol. 2017, 546, 133–139. [Google Scholar] [CrossRef]
- Wang, B.; Liu, J.; Li, Z.G.; Morreale, S.J.; Schneider, R.L.; Xu, D.M.; Lin, X.K. The contributions of root morphological characteristics and soil property to soil infiltration in a reseeded desert steppe. Catena 2023, 225, 107020. [Google Scholar] [CrossRef]
- Jotisankasa, A.; Sirirattanachat, M. Effects of grass roots on soil-water retention curve and permeability. Can. Geotech. J. 2017, 54, 1612–1622. [Google Scholar] [CrossRef]
- Archer, N.; Quinton, J.; Hess, T. Below-ground relationships of soil texture, roots and hydraulic conductivity in two-phase mosaic vegetation in South-east Spain. J. Arid. Environ. 2002, 52, 535–553. [Google Scholar] [CrossRef]
- Thompson, S.; Harman, C.; Heine, P.; Katul, G. Vegetation-infiltration relationships across climatic and soil type gradients. J. Geophys. Res.-Biogeosci. 2010, 115, 1–12. [Google Scholar]
- Yu, Y.; Loiskandl, W.; Kaul, H.; Peter, M.; Himmelbauer, W.; Wei, L.; Chen, G. Estimation of runoff mitigation by morphologically different cover crop root systems. J. Hydrol. 2016, 538, 667–676. [Google Scholar] [CrossRef]
- Eldridge, D.; Wang, L.; Ruiz-Colmenero, M. Shrub encroachment alters the spatial patterns of infiltration. Ecohydrology 2015, 8, 83–93. [Google Scholar] [CrossRef]
- Song, L.; Li, J.; Zhou, T.; Fredlund, D. Experimental study on unsaturated hydraulic properties of vegetated soil. Ecol. Eng. 2017, 103, 207–216. [Google Scholar] [CrossRef]
- Bodner, G.; Leitner, D.; Kaul, H. Coarse and fine root plants affect pore size distributions differently. Plant Soil 2014, 380, 133–151. [Google Scholar] [CrossRef] [PubMed]
- Wu, G.; Yang, Z.; Cui, Z.; Liu, Y.; Fang, N.; Shi, Z. Mixed artificial grasslands with more roots improved mine soil infiltration capacity. J. Hydrodyn. 2016, 535, 54–60. [Google Scholar] [CrossRef]
- Wu, G.; Cui, Z.; Huang, Z. Contribution of root decay process on soil infiltration capacity and soil water replenishment of planted forestland in semi-arid regions. Geoderma 2021, 404, 115289. [Google Scholar] [CrossRef]
- Vergani, C.; Graf, F. Soil permeability, aggregate stability and root growth: A pot experiment from a soil bioengineering perspective. Ecohydrology 2016, 9, 830–842. [Google Scholar] [CrossRef]
- Demenois, J.; Carriconde, F.; Rey, F.; Stokes, A. Tropical plant communities modify soil aggregate stability along a successional vegetation gradient on a Ferralsol. Ecol. Eng. 2017, 109, 161–168. [Google Scholar] [CrossRef]
- Perroux, K.; White, I. Designs for disc permeameters. Soil Sci. Soc. Am. J. 1988, 52, 1205–1215. [Google Scholar] [CrossRef]
- Angulo-Jaramillo, R.; Vandervaere, J.; Roulier, S.; Thony, J.; Gaudet, J.; Vauclin, M. Field measurement of soil surface hydraulic properties by disc and ring infiltrometers: A review and recent developments. Soil Tillage Res. 2000, 55, 1–29. [Google Scholar] [CrossRef]
- Sun, J.; Kang, Y.; Hu, W. Effect of water and salt regulations under drip irrigation on soil hydraulic properties in local coastal saline soil. Trans. CSAE 2012, 28, 107–112. [Google Scholar]
- Wooding, R. Steady infiltration from a circular shallow circular pond. Water Resour. Res. 1968, 4, 1259–1273. [Google Scholar] [CrossRef]
- Watson, K.; Luxmoore, R. Estimating macroporosity in a forest watershed by use of a tension infiltrometer. Soil Sci. Soc. Am. J. 1986, 50, 578–582. [Google Scholar] [CrossRef]
- De Vos, B.; Van Meirvenne, M.; Quataert, P.; Deckers, J.; Muys, B. Predictive quality of pedotransfer functions for estimating bulk density of forest soils. Soil Sci. Soc. Am. J. 2005, 69, 500–510. [Google Scholar] [CrossRef]
- Robbins, C.; Wiegand, C. Field and laboratory measurements. In Agricultural Salinity Assessment and Management; Wallender, W.W., Tanji, K.K., Eds.; American Society of Civil Engineers: New York, NY, USA, 1990; pp. 203–219. [Google Scholar]
- Dong, S.; Wan, S.; Kang, Y.; Li, X. Prospects of using drip irrigation for ecological conservation and reclaiming highly saline soils at the edge of Yinchuan Plain. Agric. Water Manag. 2020, 239, 106255. [Google Scholar] [CrossRef]
- Hu, W.; Shao, M.; Wang, Q.; Fan, J.; Horton, R. Temporal changes of soil hydraulic properties under different land uses. Geoderma 2009, 149, 355–366. [Google Scholar] [CrossRef]
- Yimer, F.; Messing, I.; Ledin, S.; ABdelkadir, A. Effects of different land use types on infiltration capacity in a catchment in the highlands of Ethiopia. Soil Use Manag. 2008, 24, 344–349. [Google Scholar] [CrossRef]
- Guo, F.; Wang, Y.; Hou, T.; Zhang, L.; Mu, Y.; Wu, F. Variation of soil moisture and fine roots distribution adopts rainwater collection, infiltration promoting and soil anti-seepage system (RCIP-SA) in hilly apple orchard on the Loess Plateau of China. Agric. Water Manag. 2021, 244, 106573. [Google Scholar] [CrossRef]
- Liu, H.; Lei, T.; Zhao, J.; Yuan, C.; Fan, Y.; Qu, L. Effects of rainfall intensity and antecedent soil water content on soil infiltrability under rainfall conditions using the run off-on-out method. J. Hydrol. 2011, 396, 24–32. [Google Scholar] [CrossRef]
- She, D.; Liu, Y.; Yu, S.; Gao, X.; Zhen, J. Comparison of Soil Hydraulic Properties under Different Land Use Pattern. Trans. Chin. Soc. Agric. Mach. 2014, 45, 175–186. [Google Scholar]
- Huang, Z.; Sun, L.; Liu, Y.; Liu, Y.; Lopez-Vicente, M.; Wei, X.; Wu, G. Alfalfa planting significantly improved alpine soil water infiltrability in the QinghaiTibetan Plateau. Agric. Ecosyst. Environ. 2019, 285, 106606. [Google Scholar] [CrossRef]
- Kalkhajeh, Y.K.; Huang, B.; Hu, W. The relation of preferential flow pathways to phosphorus leaching from typical plastic shed vegetable production soils of China. Agric. Ecosyst. Environ. 2021, 307, 107218. [Google Scholar] [CrossRef]
- Doussan, C.; Pagès, L. Water Uptake by Plants. Soils as a Key Component of the Critical Zone 3. Soils Water Circ. 2018, 3, 85–119. [Google Scholar]
- Chen, J.; Wu, Z.; Zhao, T.; Yang, H.; Long, Q.; He, Y. Rotation crop root performance and its effect on soil hydraulic properties in a clayey Utisol. Soil Tillage Res. 2021, 213, 105136. [Google Scholar] [CrossRef]







| Soil Depth (cm) | Particle Composition (%) | Soil Texture | ECe (dS/m) | pH | SAR (mmol/L)0.5 | Organic Matter (g/kg) | ||
|---|---|---|---|---|---|---|---|---|
| <0.002 mm | 0.002–0.05 mm | 0.05–2 mm | ||||||
| 0–10 | 0.11 | 74.43 | 25.46 | Silt loam | 27.05 | 7.79 | 19.48 | 11.00 |
| 10–20 | 0.11 | 77.41 | 22.48 | Silt loam | 29.30 | 7.80 | 22.01 | 10.22 |
| 20–40 | 0.08 | 75.05 | 24.87 | Silt loam | 32.65 | 7.75 | 21.27 | 7.37 |
| 40–60 | 0.08 | 75.22 | 24.70 | Silt loam | 27.10 | 7.80 | 19.03 | 4.52 |
| 60–100 | 0.15 | 75.66 | 24.19 | Silt loam | 30.30 | 7.89 | 20.93 | 2.79 |
| Depth (cm) | Plant Species | BD (g/cm3) | SWC (cm3/cm3) | EC (dS/m) | pH |
|---|---|---|---|---|---|
| 0–10 | SM | 1.29 (0.03)cA | 0.37 (0.02)bA | 1.86 (0.11)cB | 8.302 (0.29)aA |
| HC | 1.21 (0.02)cAB | 0.26 (0.03)bB | 3.24 (0.12)cA | 8.218 (0.31)aA | |
| SV | 1.17 (0.05)cAB | 0.21 (0.03)bC | 2.79 (0.25)cB | 8.176 (0.21)aA | |
| 10–20 cm | SM | 1.32 (0.03)cA | 0.40 (0.04)abA | 2.07 (0.24)bcB | 8.278 (0.34)aA |
| HC | 1.24 (0.03)cAB | 0.31 (0.05)abB | 4.56 (0.62)bcA | 8.17 (0.26)aA | |
| SV | 1.21 (0.05)cB | 0.28 (0.03)abC | 3.03 (0.10)bcB | 8.026 (0.32)aA | |
| 20–30 cm | SM | 1.38 (0.03)bA | 0.43 (0.02)aA | 3.27 (0.27)abB | 8.188 (0.20)aA |
| HC | 1.37 (0.04)bAB | 0.41 (0.06)aB | 6.56 (0.27)abA | 8.028 (0.21)aA | |
| SV | 1.26 (0.06)bB | 0.30 (0.03)aC | 3.31 (0.14)abB | 8.066 (0.37)aA | |
| 30–40 cm | SM | 1.43 (0.05)aA | 0.42 (0.02)abA | 3.56 (0.11)aB | 8.284 (0.23)aA |
| HC | 1.39 (0.04)aAB | 0.38 (0.05)abB | 6.99 (0.40)aA | 8.034 (0.15)aA | |
| SV | 1.35 (0.03)aAB | 0.31 (0.02)abC | 3.54 (0.25)aB | 8.036 (0.42)aA | |
| Summary of ANOVA (p values) | |||||
| Depth | 0.001 ** | 0.112 | 0.000 ** | 0.805 | |
| Vegetation types | 0.027 | 0.000 ** | 0.000 ** | 0.338 | |
| Depth × vegetation types | 0.090 | 0.718 | 0.000 ** | 0.719 | |
| Vegetation Types | K | Minimum Value | Maximum Value | Mean Value | CV % |
|---|---|---|---|---|---|
| SM | Ks | 0.1387 | 0.1688 | 0.1495c | 8.11 |
| K3 | 0.0649 | 0.0782 | 0.0720c | 8.00 | |
| K6 | 0.0283 | 0.0404 | 0.0349c | 12.34 | |
| K9 | 0.0124 | 0.0208 | 0.0169b | 18.19 | |
| α | 0.2204 | 0.2764 | 0.2434a | 9.84 | |
| HC | Ks | 0.1522 | 0.1917 | 0.1707b | 9.16 |
| K3 | 0.0856 | 0.1035 | 0.0924b | 7.49 | |
| K6 | 0.0481 | 0.0559 | 0.0501b | 6.55 | |
| K9 | 0.0256 | 0.0302 | 0.0272a | 6.70 | |
| α | 0.1920 | 0.2138 | 0.2040b | 4.71 | |
| SV | Ks | 0.2175 | 0.2421 | 0.2317a | 4.41 |
| K3 | 0.1113 | 0.1177 | 0.1153a | 2.60 | |
| K6 | 0.0543 | 0.0637 | 0.0574a | 6.54 | |
| K9 | 0.0261 | 0.0345 | 0.0287a | 11.65 | |
| α | 0.2046 | 0.2436 | 0.2326a | 6.91 |
| Types | Depth (cm) | SA (cm2) | AD (mm) | LD (cm/cm3) | RV (cm3) | DW (Kg/m3) |
|---|---|---|---|---|---|---|
| SM | 0–10 | 42.2 ± 7.7a | 0.4 ± 0.1a | 0.5 ± 0.0a | 0.4 ± 0.1b | 0.4 ± 0.1a |
| 10–20 | 42.2 ± 8.5a | 0.3 ± 0.1a | 0.6 ± 0.0a | 0.3 ± 0.1b | 0.3 ± 0.0b | |
| 20–30 | 30.2 ± 5.4a | 0.4 ± 0.1b | 0.3 ± 0.0a | 0.3 ± 0.1a | 0.4 ± 0.1a | |
| 30–40 | 15.7 ± 1.3b | 0.3 ± 0.0a | 0.2 ± 0.0b | 0.1 ± 0.0b | 0.2 ± 0.0a | |
| HC | 0–10 | 49.5 ± 8.3a | 0.4 ± 0.1a | 0.5 ± 0.0a | 0.5 ± 0.1a | 0.3 ± 0.0b |
| 10–20 | 46.6 ± 5.6a | 0.5 ± 0.2a | 0.4 ± 0.0b | 0.6 ± 0.1a | 0.4 ± 0.0a | |
| 20–30 | 27.5 ± 5.5a | 0.5 ± 0.1a | 0.3 ± 0.0b | 0.3 ± 0.1a | 0.2 ± 0.0b | |
| 30–40 | 20.4 ± 4.3a | 0.3 ± 0.1a | 0.3 ± 0.0a | 0.2 ± 0.0a | 0.2 ± 0.1b | |
| SV | 0–10 | 21.8 ± 5.3b | 0.4 ± 0.1a | 0.2 ± 0.0b | 0.3 ± 0.1c | 0.1 ± 0.0c |
| 10–20 | 20.2 ± 4.9b | 0.5 ± 0.1a | 0.2 ± 0.0c | 0.2 ± 0.1b | 0.1 ± 0.0c | |
| 20–30 | 8.8 ± 1.1b | 0.4 ± 0.1ab | 0.1 ± 0.0c | 0.1 ± 0.0b | 0.1 ± 0.0c | |
| 30–40 | 6.2 ± 0.7c | 0.4 ± 0.1a | 0.1 ± 0.0c | 0.1 ± 0.0c | 0.1 ± 0.0c |
Disclaimer/Publisher’s Note: The statements, opinions and data contained in all publications are solely those of the individual author(s) and contributor(s) and not of MDPI and/or the editor(s). MDPI and/or the editor(s) disclaim responsibility for any injury to people or property resulting from any ideas, methods, instructions or products referred to in the content. |
© 2024 by the authors. Licensee MDPI, Basel, Switzerland. This article is an open access article distributed under the terms and conditions of the Creative Commons Attribution (CC BY) license (https://creativecommons.org/licenses/by/4.0/).
Share and Cite
Chu, L.; Yuan, S.; Chen, D.; Kang, Y.; Shaghaleh, H.; El-Tayeb, M.A.; Sheteiwy, M.S.; Hamoud, Y.A. Influences of Vegetation Rehabilitation on Soil Infiltrability and Root Morphological Characteristics in Coastal Saline Soil. Land 2024, 13, 849. https://doi.org/10.3390/land13060849
Chu L, Yuan S, Chen D, Kang Y, Shaghaleh H, El-Tayeb MA, Sheteiwy MS, Hamoud YA. Influences of Vegetation Rehabilitation on Soil Infiltrability and Root Morphological Characteristics in Coastal Saline Soil. Land. 2024; 13(6):849. https://doi.org/10.3390/land13060849
Chicago/Turabian StyleChu, Linlin, Si Yuan, Dan Chen, Yaohu Kang, Hiba Shaghaleh, Mohamed A. El-Tayeb, Mohamed S. Sheteiwy, and Yousef Alhaj Hamoud. 2024. "Influences of Vegetation Rehabilitation on Soil Infiltrability and Root Morphological Characteristics in Coastal Saline Soil" Land 13, no. 6: 849. https://doi.org/10.3390/land13060849
APA StyleChu, L., Yuan, S., Chen, D., Kang, Y., Shaghaleh, H., El-Tayeb, M. A., Sheteiwy, M. S., & Hamoud, Y. A. (2024). Influences of Vegetation Rehabilitation on Soil Infiltrability and Root Morphological Characteristics in Coastal Saline Soil. Land, 13(6), 849. https://doi.org/10.3390/land13060849

