Abstract
Industrialization has increased global carbon emissions, necessitating effective climate change mitigation measures. China, the most populous developing nation, faces the challenge of strategizing emissions to meet national carbon neutrality objectives. However, research on specific regions’ carbon emissions drivers and causal factors is limited, particularly across prefectural-level cities. This study estimates the spatial and temporal patterns of carbon emissions across China’s prefectural cities and utilizes both OLS regression and stepwise regression models to analyze the impact of various factors influencing carbon emissions in these cities. Results reveal the following: (1) The country’s overall 20-year carbon emissions continue to grow from 3020.29 Mt in 2001 to 9169.74 Mt in 2020, with an average annual growth rate of 5.71%; the eastern region has seen a gradual deceleration in emissions, whereas the western region continues to experience an increase. Carbon emissions in cities within each subregion consistently rise. (2) Carbon emissions in Chinese prefectural-level cities exhibit strong spatial autocorrelation and clustering (Z > 1.96, p < 0.05), with hot spots primarily in the eastern coastal areas and cold spots in the northwest to southwest regions. (3) Economic and demographic factors significantly increase carbon emissions, while climate and urbanization effects are more complex and variable. Economic growth and population increase are the most significant influencing factors, but regional variances exist in carbon emissions determinants in subregional prefectural cities. These insights provide valuable insights into national emission dynamics at the prefectural level, providing a theoretical basis for enhancing carbon emission strategies across various jurisdictions.
1. Introduction
Global climate change is attracting increasing international attention as it is causing a range of environmental problems [1,2,3]. According to the Sixth Assessment Report of the Intergovernmental Panel on Climate Change (IPCC), the burning of fossil fuels and inequitable and unsustainable energy and land use have led to a steady increase in global temperatures over the past century, resulting in an increase in the frequency and intensity of extreme weather events, putting nature and people at increasing risk in all regions of the world [4]. It has also been pointed out that, globally, the increase in carbon emissions is mainly driven by industry, transport and energy supply, while residential and commercial buildings, forestry/deforestation, and agriculture also contribute significant amounts of carbon dioxide, methane, and other greenhouse gases [5,6,7]. In terms of the impact of economic growth on carbon emissions, China is one of the world’s fastest-growing economies, and its energy consumption and carbon emissions have increased prominently in recent decades [8,9]. From 1980 to 2007, GDP of China grew at an average annual rate of over 9%, primary energy consumption increased by about 340%, and carbon dioxide emissions increased dramatically by about 352% [10]. As the world’s largest developing country, China must assume the role of a major power, and the Chinese government has made its dual carbon target, i.e., to achieve carbon peak by 2030 and carbon neutrality by 2060 [11,12,13]. Achieving carbon neutrality in China means absorbing the CO2 emitted directly and indirectly by human activities in a given period (usually one year) through carbon capture and storage or sequestration techniques, such as planting trees and forests, to achieve “zero emissions” of CO2 [14,15]. Compared with the historical process of Europe, the United States and other developed countries, China is facing the severe challenge of time constraints and heavy tasks to achieve the goal of carbon neutrality and needs to implement a larger amount of carbon neutrality in a shorter period of time than developed countries [16].
The accelerated growth of urbanization has made cities a crucial element in the reduction of carbon emissions [17,18,19]. City clusters, as a pivotal area for carbon emissions and regional economic development, are connected through close economic ties, creating a spatial connection between diverse urban areas [20,21,22,23]. China’s CO2 emissions exhibit a typical pattern of spatial intensity and high emission levels in the prefectures. While there was no significant change in this pattern from 2007 to 2012, the results indicate that there was a 3% relaxation in intensity during this period. Furthermore, the results indicated that the total CO2 emissions had increased by 33.5% during the same period. This emission pattern also reflected the impact of the typical urbanization process in China [24].
In recent years, numerous studies have investigated carbon emissions within specific urban regions, including the Beijing–Tianjin–Hebei area, the Yangtze River Delta, and the Chengdu–Chongqing area, employing various methodologies. For instance, Zeng et al. [25] selected the Chengdu–Chongqing urban agglomeration to analyze the spatial and temporal evolution pattern of carbon emissions. They employed the ridge regression model and the STIRPAT (Stochastic Impacts by Regression on Population, Affluence, and Technology) model to explore the influence of key factors on carbon emissions in the Chengdu–Chongqing urban agglomeration. Luo et al. [26] used data from Xi’an as an example to establish a spatial simulation and prediction model of carbon emissions, with the aim of providing references for the regional planning of carbon emission reduction and the implementation of carbon emission reduction technologies. Some scholars [27] chose to start from the land use to assess the impact of land use patterns on carbon emissions under the Yellow River Delta region, providing a theoretical framework for sustainable land use. Additionally, other studies on national and regional carbon emissions are predominantly based on estimation and analysis of carbon emissions based on data such as the nighttime lighting index [28,29,30] or focus on the relationship between carbon emissions and the economic level [31]. Despite existing research on urban carbon emissions, there is a notable lack of detailed studies on the spatial correlation and key factors influencing carbon emissions across prefecture-level cities nationwide. Understanding the distribution and determinants of these emissions is crucial for aligning regional economic development with high-quality, sustainable growth in China’s new era [32,33]. Such knowledge will aid in crafting more targeted and effective carbon reduction policies. In the current research in this direction, the analysis of spatial and temporal patterns focuses on methods such as spatial autocorrelation analysis [34,35,36], kernel density estimation [36], and center of gravity transfer trajectory [37], among others. The methods of attribution analysis have also gone through the process of developing from simple linear [38] to non-linear machine learning methods [39,40], and the process models have gradually developed from single-factor to multi-factor [41,42] and multi-modal large model simulations [43,44], etc.
Therefore, this paper tries to contribute to achieving China’s carbon peak and carbon neutrality goals by selecting the association between prefecture-level cities and carbon emissions for analysis. First, it aims to analyze the spatial and temporal distribution patterns of carbon emissions across prefecture-level cities in various subregions from 2001 to 2020. Second, it seeks to identify the factors influencing carbon emissions using stepwise and OLS regression models, exploring the extent of each factor’s impact and their variations across space and time (Figure 1). The results of this study can provide a foundational and scientific reference for China’s future strategies on carbon emission reduction and for the planning and development of urban economies.
Figure 1.
Flowchart of the study route (Note: Stepwise regression analysis is firstly used as an exploratory regression to initially screen the factors and obtain some of the results to show the characteristics of each factor and to be able to verify the feasibility of the impact of the selected factors on carbon emissions, and the OLS regression presents a more detailed picture of the changes in the impact on carbon emissions among the influencing factors. The two regression methods work together to serve the final result and ascertain the systematic conclusion of the attribution analysis).
2. Materials and Methods
2.1. Study Area
This study describes and analyses the spatial and temporal evolution of carbon emissions in 329 prefectural administrative units (including prefectural cities, counties, autonomous prefectures, and leagues) across China. The temporal evolution of carbon emissions is expressed at the scale of provincial administrative regions, whereas in analyzing changes in the spatial distribution pattern and spatial correlation of carbon emissions, it is expressed at the scale of municipal administrative regions. Data from the Tibet Autonomous Region (TAR), Taiwan Province, Hong Kong Special Administrative Region (HKSAR), and Macau Special Administrative Region (MSAR) are excluded from the calculations to ensure data consistency, completeness, and accuracy. The provinces in China have been reorganized into subregions as follows: The South Central Region (CS) includes Henan, Hubei, Hunan, Guangxi Zhuang Autonomous Region, Guangdong, and Hainan. The Eastern Region (E) comprises Shanghai, Shandong, Jiangsu, Anhui, Zhejiang, Fujian, and Jiangxi. In the Northern Region (N), Beijing, Tianjin, Hebei, and Shanxi are grouped together. The Northeastern Region (NE) encompasses Heilongjiang, Jilin, Liaoning, and the Inner Mongolia Autonomous Region. The Northwest Region (NW) consists of Shaanxi, Gansu, Qinghai, Ningxia Hui Autonomous Region, and Xinjiang Uygur Autonomous Region. Lastly, the Southwest Region (SW) is made up of Chongqing, Yunnan, Sichuan, and Guizhou (Figure 2).
Figure 2.
Regional Divisions of China.
2.2. Data Sources
The 2001–2020 carbon emission data used in this paper are collected from the China Carbon Accounting Database [45], and the decomposition of the carbon emission influencing factors includes the details of the year-end total GDP, year-end resident population, cumulative precipitation, average temperature, sunshine hours, the proportion of use of the natural environment land type, the proportion of use of the urban land type, and the proportion of use of the non-natural environment land type (agricultural land). The source is indicated in Table 1.
Table 1.
Sources of data on impact factors.
2.3. Research Methodology
2.3.1. Analysis of Spatial Distribution Pattern
We use Global Moran’s I and Local Moran’s I. The former is a measure of spatial autocorrelation developed by Patrick Alfred Pierce Moran; as well as a global autocorrelation, followed by a local autocorrelation, the local Moran’s I is the one that will show where the outliers or where the agglomeration occurs. Global Moran’s I > 0 indicates positive spatial correlation; the larger the value, the more spatially clustered the regional carbon emissions are; Moran’s I < 0 indicates negative spatial correlation; the smaller the value, the more significant the difference between the regional carbon emissions and the surrounding region; Moran’s I = 0 indicates that there is no spatial correlation and the regional carbon emissions are spatially randomly distributed; the absolute value represents the strength of the autocorrelation. The absolute value reflects the strength of the autocorrelation. The significance of I was tested by the standardized Z-value, Z > 1.96, and passed the 5% significance level test (p < 0.05), indicating the existence of significant spatial correlation; the correlation formula was referenced from the literature [48]. As for the local autocorrelation, the local spatial distribution characteristics of carbon emissions in urban agglomerations under different zones are analyzed by ArcGIS using the spatial linkage local indicator LISA [49]. The LISA graph is used for visualization, and the spatial agglomeration units with significance are classified into high and high agglomeration type areas (H-H), low and low agglomeration type areas (L-L), high and low agglomeration type areas (H-L), low and high agglomeration type areas (L-H), and the rest are insignificant areas [50]. Based on the previous high/low clustering analysis, the obtained Z-score and p-value were used to calculate the Getis–Ord Gi* statistic for each element in the dataset to obtain the location of hot and cold spots where spatial clustering occurs [51], which is used as a result to further explain the relationship between the spatial distribution pattern and carbon emissions of prefecture-level cities.
2.3.2. Attribution Analysis
Two regression modelling methods, stepwise regression and OLS regression, are used to analyze the changes in the impact of different factors on carbon emissions. The idea is that stepwise regression is first used as an exploratory regression, which can first demonstrate the characteristics of each factor, initially screen the factors, and verify the feasibility of research and analysis of the impact of its selected factors on carbon emissions. Then OLS regression is selected to further analyze the change in influence on carbon emissions between each influence factor and the systematic attribution analysis of carbon emissions, and to obtain a comprehensive conclusion in time and spatial area.
Stepwise regression is a process of screening variables in regression analysis. It allows for the construction of a regression model from a set of candidate variables, with the system automatically identifying influential variables [52]. The stepwise approach to regression was selected, whereby, following the introduction of a variable, the first step is to ascertain whether this variable significantly alters the model (F-test). If this is the case, a t-test is then performed on all variables. The original variable is retained if it is not deemed to be significant due to the introduction of variables at a later stage. If the variable is no longer significant due to the introduction of variables that are added later, it is excluded to ensure that the regression equations contain only significant variables before the introduction of new variables. This process is repeated until there are neither significant explanatory variables selected nor significant explanatory variables in the regression equations. Until the regression equation contains neither significant explanatory variables nor insignificant explanatory variables, an optimal set of variables is finally obtained [53].
The application of stepwise multiple regression necessitates the selection of a model (i.e., the determination of which regressor variables should be included in the final MAM) through the use of parametric inference (i.e., the testing of whether the parameters are significantly different from zero). This process, however, can potentially lead to the introduction of bias in the parameters, the occurrence of overfitting, and the execution of incorrect significance tests. To illustrate this point, a simple example involving a single parameter is presented. A linear model of the observations yi as a function of the parameters α and β, the predicted values xi, and the error ɛ:
A stepwise approach can be employed to ascertain whether the model represented by Equation (1) is more efficacious than a simpler alternative:
A straightforward approach is to calculate an estimation of β (referred to as b) prior to determining whether b is demonstrably different from zero.
In this study, carbon emission was employed as the dependent variable, with economic, demographic, climatic, and land use factors selected as independent variables. Regression analyses were conducted from 2001, 2010, and 2020 to identify significant changes between the three years under different subregions. Additionally, more calculation formulas were referenced from the literature [54,55,56].
OLS (ordinary least squares) regression is employed primarily for parameter estimation in linear regression [57]. The underlying principle is to identify a value that minimizes the sum of squares of the difference between the actual value and the model valuation, which will be used as the parameter estimate. The optimal function match for the data is determined by minimizing the sum of squares of the error. The least squares method facilitates the identification of unknown data and the minimization of the sum of squares of the errors between these data and the actual data. The least squares method can be employed for curve fitting, and it can also be used to express optimization problems in terms of minimizing energy or maximizing entropy.
Influence factor analysis is conducted based on the least squares linear regression model (OLS), as illustrated in Equation (3):
In Equation (3), yi represents the carbon emission evaluation index; i denotes a specific evaluation index; xk denotes an explanatory variable; xj denotes a control variable; β0, βk, and βj denote the linear regression parameters; and εk,j denotes the value of the random error of linear regression.
It has been shown that multicollinearity does not affect the effect before using the OLS regression model. The model was employed with carbon emissions as the dependent variable and economic, demographic, climatic, and land use factors as independent variables. These variables collectively constructed OLS models for urban clusters in different regions at three time points: 2001, 2010, and 2020. The objective of this approach was to illustrate the specific extent of the influence of each factor on regional carbon emissions, both temporally and spatially. Further details on the calculation formulas can be found in References [58,59].
3. Results
3.1. Temporal Evolution of Carbon Emissions in Prefectural-Level Cities across the Country
Overall linear regression and segmented linear regression of trends were used separately for each subregion, with 2010 as the node, and divided into two segments over a 20-year period (2001–2010, 2010–2020) to analyze whether there was significant trend variability in different regions. As illustrated in Figure 3, the changes in carbon emissions across each subregion (Figure 3a–f) demonstrate an upward trajectory from 2001 to 2020. The growth rates of carbon emissions in each subregion were found to be 2.37a−1 (Figure 3a), 1.25a−1 (Figure 3b), 1.52a−1 (Figure 3c), 1.19a−1 (Figure 3d), and 2.01a−1 (Figure 3e), respectively, with a flat growth rate of 0.88a−1 (Figure 3f). The overall growth of carbon emissions in all regions was found to be flat, with an inflection point occurring in the period of 2010–2014. Following this, there were different decreasing trends. The carbon emissions of the Northwest, Southwest, and South Central Regions increased after 2016; also, all three regions have achieved 20 years of sustained increases in average annual carbon emissions by 8.54%, 5.51%, and 6.05%. In contrast, the carbon emissions of the North, Northeast, and East Regions slowed down or showed a weak slowing down trend. The three regions have declined from their historical highs to 2020 by 3.63%, 6.95%, and 9.92%.

Figure 3.
Evolutionary trend of carbon emission changes in prefectural cities in China by subregion, 2001–2020. (Note: (a–f) show the changes in carbon emissions by subregion from 2001 to 2020; (g–l) shows the share of carbon emissions within each subregion from 2001 to 2020).
At the national level, carbon emissions grow from 3020.29 Mt in 2001 to 9169.74 Mt in 2020, with an average annual growth rate of 5.71%. From the perspective of the evolution of carbon emissions’ total proportion in prefectural-level cities across different regions, from 2001 to 2020, in the Northern Region, when viewed from the provincial level, Tianjin Municipality (a directly administered municipality) had the highest proportion. Its share of carbon emissions increased from 39.93% to 56.47%. Conversely, Beijing Municipality (a directly administered municipality) exhibited a decline in its proportion, with a gradual decrease from 32.91% to 11.12%. The proportion of carbon emissions in prefectural-level cities within Shanxi Province and Hebei Province remained relatively stable over the 20-year period (Figure 3g). In the Northeast Region, only prefecture-level cities in the Inner Mongolia Autonomous Region continue to increase their share of carbon emissions over the 20-year period, from 25.69% to 45.08%. In contrast, the share of carbon emissions of Heilongjiang, Liaoning, and Jilin Provinces decreases slowly, which is probably related to the national policies and reforms (Figure 3h). In the eastern region, Shanghai (municipality directly under the central government) is the leading economic hub and has the highest share of carbon emissions. However, it has experienced a decline over the past two decades, from 63.56% to 49.60%. In contrast, other prefectural-level cities in other provinces have experienced an increase in their share of carbon emissions. For instance, Jiangsu province has risen from 8.70% to 13.72%, while Shandong province has risen steadily from 9.30% to 12.35% (Figure 3i). In the northwestern region, the carbon emission share of Gansu Province and Qinghai Province exhibits relatively stable fluctuations, while that of Ningxia Province rises from 22.77% to 35.27%, and that of Shaanxi Province and Xinjiang Uygur Autonomous Region rises at a gradual pace before declining at a similar rate (Figure 3j). In the Southwestern Region, the share of carbon emissions in Chongqing Municipality (a directly administered municipality) is the highest, but the change is only 3.84%. This situation is also observed in other provinces, such as within Yunnan Province, which is the highest. A similar situation exists in other provinces, such as Yunnan Province, where the share of carbon emissions of prefecture-level cities only changed by 2.11% (Figure 3k). In the South Central Region, Guangdong Province, the share of carbon emissions of prefecture-level cities decreased from 21.85% to 16.53%, with a smaller downward trend, and a similar change was observed in Hubei Province and Henan Province. Conversely, the proportion of carbon emissions in Hainan Province, Guangxi Zhuang Autonomous Region, and Hunan Province is gradually increasing. For instance, in Hunan Province, the figure has risen from 14.83% to 19.34% (Figure 3l).
3.2. Changes in the Spatial Distribution Pattern and Spatial Correlation of Carbon Emissions in Prefecture-Level Cities across the Country
In order to investigate the spatial dynamics of carbon emissions within the context of national prefecture-level cities, data on carbon emissions for these cities across four time periods (2001–2005, 2006–2010, 2011–2015, and 2016–2020) were processed. The first step is to analyze the spatial autocorrelation of carbon emissions of the national prefecture-level city group. This allows for us to judge whether there is aggregation or isolation of carbon emissions of prefecture-level city groups under the national division in space, and to make a judgement on the aggregation trend in space. The results of the analysis are shown in Table 2.
Table 2.
Results of global spatial autocorrelation analysis of carbon emissions of prefecture-level cities in China.
As illustrated in Table 2, the global spatial autocorrelation analyses of carbon emissions of the national urban agglomerations in 2001–2005, 2006–2010, 2011–2015, and 2016–2020 passed the significance test (Z > 1. 96, p < 0.05), indicating that there is a significant spatial autocorrelation of carbon emissions of the national prefectural agglomerations in the spatial context. Over the past two decades, the I and Z values have exhibited a general trend of increasing and then decreasing, indicating an overall spatial aggregation of carbon emissions among prefecture-level cities across the country. However, over the 20-year period, the highest level of agglomeration is observed in the 2006–2015 period, with the level of agglomeration in the 2016–2020 period being approximately equivalent to that observed in the 2001–2005 period.
In order to gain further insight into the spatial distribution of carbon emissions within the national prefecture-level city cluster, this study selects the carbon emissions of the national prefecture-level city cluster in the four time periods of 2001–2005, 2006–2010, 2011–2015, and 2016–2020 to further analyze the local spatial correlation, as illustrated in Figure 4. On a national scale, the spatial clustering of China’s overall carbon emissions over the past 20 years has been relatively stable (Figure 4). The (H-H) high-concentration area refers to the region with high carbon emissions and its neighboring municipalities, which are mainly concentrated in the Eastern and Northern Regions, including Beijing, Tianjin, and Hebei, and Shandong, Jiangsu, Zhejiang, and Shanghai, while the (H-L) high- and low-concentration area refers to the region having high carbon emissions, but its neighboring municipalities having low carbon emissions, which is consistently reflected in Chongqing, Chengdu, and Kunming in the Southwestern Region, Lanzhou in the Northwestern Region, Nanning in the South Central Region, and Nanchang in the Eastern Region; Kashgar changes from a low–low to a high–low agglomeration in the period 2016–2020, Xi’an is of this type in the period 2006–2010, and the rest are non-significant areas, as is Panzhihua in the period 2001–2005; Wuhan changes from a non-significant area at the beginning to a persistent high–low agglomeration, and Changsha, on the other hand. (L-H) Low–high agglomerations, where carbon emissions are low in the region but high in the neighboring prefectures, are embedded in high-value agglomerations with consistently low emissions compared to neighboring high-value cities, such as Yangquan, Shuozhou, and Chengde in the north; Chaoyang City in the northeast; Rizhao and Huzhou City in the east; and Puyang City in the South Central Region. In this 20-year period, there are cities that have changed from insignificant regions to this type, such as Daxinganling and Jiaozuo; there are also prefecture-level cities that have changed in the opposite direction, such as Maanshan and Xuancheng; and there are also cities that have changed to high-value agglomerations, such as Ulanqab and Chuzhou, etc. The (L-L) low-value agglomeration area is defined as an area with low carbon emissions and its neighboring prefectures. It is primarily located in the Western Region of China in a linear shape around several prefectures and cities, specifically in the Southwestern Region, around Kunming City, Chengdu City distribution; in the South Central Region is the distribution of Nanning City as the center; lastly, it is dispersed with Lanzhou City serving as the center in the northwest. During the period 2016–2020, there was a proliferation of low-value agglomerations of prefecture-level cities in the northeast of the Northeast Region (the east of Heilongjiang Province). These included Jixi, Jiamusi, and Shuangyashan. In addition, the low-value prefecture-level city area that used to be centered on Nanchang City is also diminishing over time, becoming a non-significant area.
Figure 4.
LISA distribution of carbon emissions of prefecture-level cities in China by time period. (Note: The distribution of Lisa cluster maps with spatial autocorrelation for 2001–2005, 2006–2010, 2011–2015, and 2016–2020 is represented by (a–d), respectively).
In light of the findings of the local autocorrelation analysis presented in the above section, the carbon emission data of the national prefecture-level cities in the four time periods of integrated 2001–2005, 2006–2010, 2011–2015, and 2016–2020 are selected to further calculate the Getis–Ord Gi* statistic. This allows for the identification of high and low agglomerations of values within each geographic unit and its domains, which in turn enables the determination of spatiotemporal hotspots (Table 3 and Figure 5). The spatial distribution of carbon emission cold and hotspots exhibits aggregation characteristics, with the majority of the hotspots concentrated at the municipal scale. To analyze the national carbon emissions in four segments from 2001 to 2020, the hotspot area spreads from Beijing, Tianjin, and Hebei to coastal cities such as Jiangsu, Zhejiang, and Shanghai. These cities are considered the overall core, with the surrounding prefectures radiating outward. In contrast, the hot spot range in the Eastern Region has been reduced in the period from 2016 to 2020. Conversely, the cold spot area is centered on the prefectures in the Northwest Region of Qinghai and Gansu Province, and gradually spreads to the Southwest Region.
Table 3.
Results of high/low cluster analysis of carbon emissions in prefecture-level cities across the country.
Figure 5.
Distribution of carbon emission cold/hot spots in prefecture-level cities across the country by time period. (Note: The distribution of cold hotspots for 2001–2005, 2006–2010, 2011–2015, and 2016–2020 and the degree of rank are represented by (a–d), respectively).
3.3. Analysis of the Influential Factors of Carbon Emission in Prefecture-Level Cities in China
3.3.1. Stepwise Regression Exploratory Analysis with Regression Analysis of Carbon Emission Impact Factors and Model Fitting Analysis
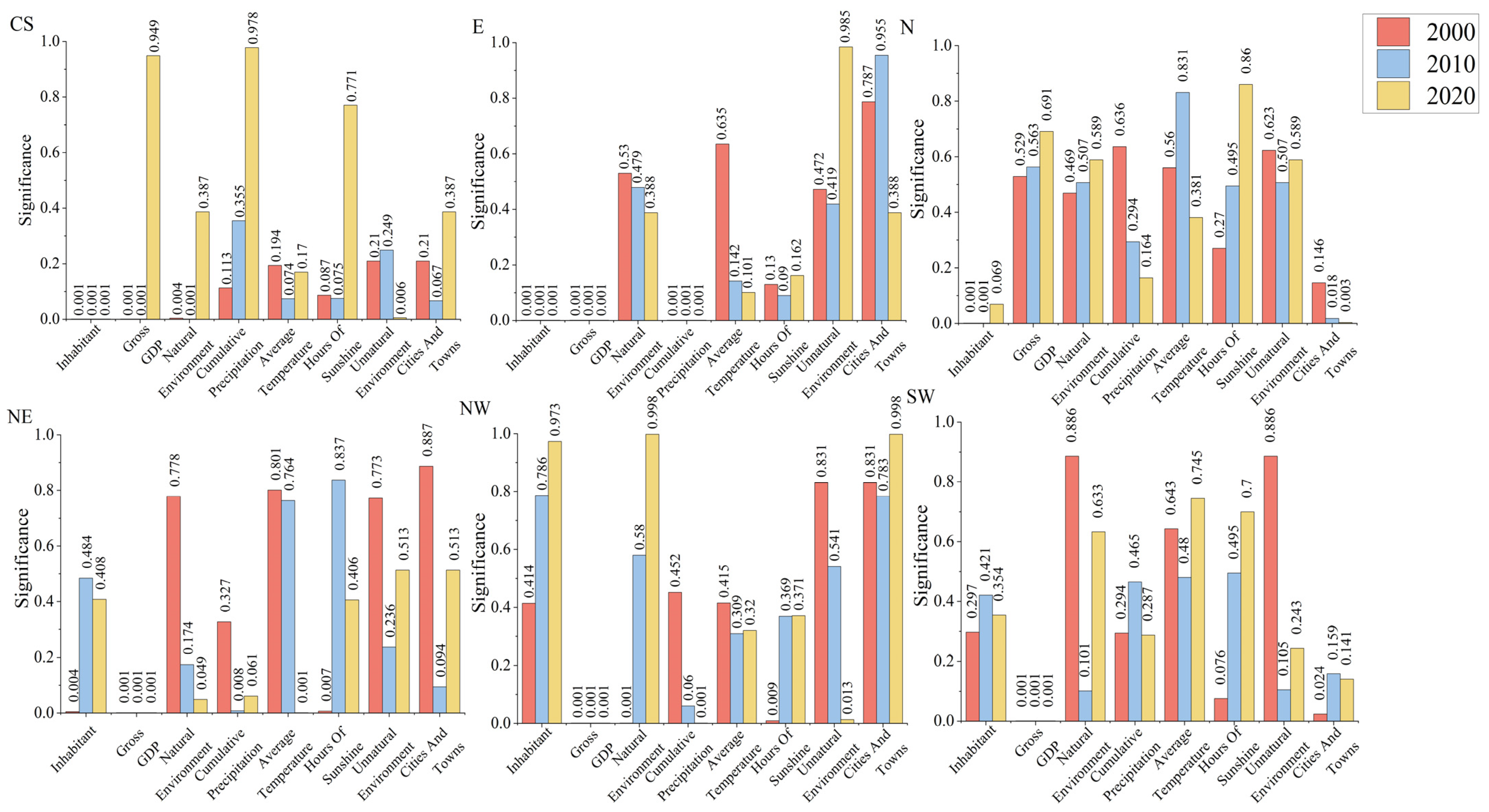
Stepwise regression can assist in determining the significance of the factors influencing carbon emissions in prefecture-level cities within each region, while also evaluating the feasibility of analyzing the impact factors. The results are presented in Figure 6, which compares the significance changes of the factors in 2001, 2010, and 2020.
Figure 6.
Stepwise regression results of carbon emission influencing factors in sub-districts of prefecture-level cities nationwide.
The analysis of CO2 emissions, as detailed in Figure 6, employs stepwise regression to discern the impacts of various influencing factors across different regions over the years 2001, 2010, and 2020. The findings consistently show that GDP and population have a significant positive impact on CO2 emissions across all regions. In contrast, the effects of climatic factors and land use ratios are marked by complexity and instability, reflecting their less predictable influence on emissions.
The OLS regression model was employed on three occasions, in 2001, 2010, and 2020, in order to further ascertain the impact of economic, demographic, climatic, and land use factors on carbon emissions. Moreover, the absence of multicollinearity between the influencing factors, as indicated by a VIF of less than 10, was demonstrated prior to the application of the OLS analysis (see Appendix A, Table A1). The results of the calculations are presented in Table 4.
Table 4.
Overall OLS regression results of carbon emission influencing factors in prefecture-level cities across the country (Note: the coefficients and p-values (*replaced) explain the degree of influence and significance of each independent variable on the dependent variable; the t-values in parentheses reflect the difference between the coefficient estimates and zero, divided by the standard error, the absolute value of which also reflects the degree of significance of the coefficients; the R2 measures the degree of fit of the model, ranging from 0 to 1, and indicates the percentage of variation in the dependent variable that the model explains; and the F-statistic is used to test the significance of the entire model, * p < 0.1, ** p < 0.05, *** p < 0.01).
Table 4 illustrates the exclusion of the indicator non-natural environment from the analysis, due to its high covariance characteristics with the other variables. This table clearly shows the impact of the different factors on carbon emissions at the three points in time. The data from 2001, 2010, and 2020 indicates that GDP has a significant positive effect on CO2. Furthermore, the indicator is the largest in 2010, and all of them are significant at the 1% level. In terms of the resident population, the larger the resident population, the higher the CO2 emission. This evidence supports the hypothesis that the resident population exerts a positive and significant effect on CO2, with the highest level observed in the 2010 data. In terms of other variables, cumulative precipitation has a negative effect on CO2 emissions in 2010 and 2020; average temperature has a negative effect in all three years; sunshine hours has a positive effect in 2010 but no significant effect in 2020; urbanization and natural environment have unstable effects on CO2 emissions, with urbanization being significant in 2001 and 2010, and natural environment having a significant positive effect in all three years. Furthermore, the effects of urbanization and the natural environment on CO2 emissions can be elucidated by examining the scatterplots presented in Appendix B, Figure A1, Figure A2 and Figure A3. These plots illustrate the linear relationship between each factor and carbon emissions, thereby providing a more comprehensive understanding of the overall regression results.
3.3.2. Quantitative OLS Regression Analysis of Local Carbon Emission Impact Factors
In the above section, stepwise regression and OLS regression analyses were conducted using two dummy variables, year and region. This allowed for an overall analysis of the data at the national level over time. In this section, the carbon emission impact factor of prefectural cities at the subregion are calculated and analyzed through OLS regression at the whole and individual level over three years. The specific results are presented in Table 5, Table 6, Table 7 and Table 8.
Table 5.
Localized regression results of carbon emission influencing factors in prefecture-level cities across China. (Note: * p < 0.1, ** p < 0.05, *** p < 0.01).
Table 6.
Localized regression results of carbon emission impact factors in prefecture-level cities across the country in 2001. (Note: * p < 0.1, ** p < 0.05, *** p < 0.01).
Table 7.
Localized regression results of carbon emission impact factors in prefecture-level cities across the country in 2010. (Note: * p < 0.1, ** p < 0.05, *** p < 0.01).
Table 8.
Localized regression results of carbon emission impact factors in prefecture-level cities across the country in 2020. (Note: * p < 0.1, ** p < 0.05, *** p < 0.01).
Specifically, Table 5 illustrates the regional impacts. In the Northern Region, economic growth and population size significantly increase CO2 emissions. Climatic factors such as cumulative precipitation, average temperature, and sunshine hours show no significant effects. Urbanization and the natural environment also exert minimal and statistically insignificant impacts. Similar trends are observed in the Northeast and Northwest Regions, although cumulative precipitation reduces emissions in the Northwest during 2010. In the Southwest, while economic drivers and population continue to increase emissions, climatic effects remain inconsistent, and urbanization along with natural environmental factors display significant impacts under specific conditions.
Table 6 elaborates on the partial regression results from 2001, where economic development consistently elevates CO2 emissions, often reaching statistical significance at the 1% or 5% levels. The population’s effect is similarly significant, especially in the Eastern and Southwest Regions, which are notable at the 1% significance level. However, the influence of cumulative precipitation and sunshine hours varies, showing both positive and negative impacts that are not always statistically significant. The variability extends to urbanization and natural environment effects, which range from positive to negative, with no consistent pattern.
Further analysis in Table 7 indicates that the coefficients for economic development in 2010 are considerably larger than those in 2001, with GDP showing a significant positive effect across all regions, predominantly at the 1% significance level. The influence of population is also more pronounced in 2010, with significant impacts in multiple regions.
Finally, Table 8 focuses on the 2020 data, revealing that economic development remains a major driver of emissions in the Northern Region, maintaining the trends observed in earlier years. The impact of population and non-natural environmental factors in 2020 is also more substantial compared to previous assessments. Notably, urbanization in the CS region shows a significant negative correlation with emissions, diverging from earlier data, while the natural environment’s role in reducing emissions becomes more evident, particularly with its significant negative effect in the Northern Region and a significant positive effect in the Southwest.
4. Discussion
In terms of the changes in carbon emissions and the share of each region between 2001 and 2020, it can be observed that the more developed economy in the Eastern Region of China has led to a faster growth in carbon emissions, which reached its peak and then gradually slowed down in accordance with the requirements of the national situation [60]. On the other hand, in the Northwest, Southwest, and South Central Regions, where more cities with relatively backward economies are struggling to develop, all have achieved 20 years of sustained upward mobility, and their average annual carbon emissions have increased by 8.54%, 5.51%, and 6.05%. This is exemplified by the phenomenon of urbanization, which is occurring at a more rapid pace in these cities, and the pursuit of economic growth in order to catch up with the relatively more developed regions. In addition, over this 20-year period, carbon emissions have made overall progress in an upward trend. The carbon emissions from the country’s prefectural cities continue to grow, reflecting the country’s rising level of development and the gradual realization of a carbon neutrality policy on that basis. In analyzing the changes in China’s carbon emissions, it is also possible to add to and compare the content of studies involving global carbon emissions [61]. The continued growth of carbon emissions in China as a developing country is different from the changes in carbon emissions in the developed countries of Europe, where we can see that Europe is undergoing an energy transition to meet its carbon reduction targets, which the more developed regions of eastern China could emulate [62]. Moreover, the cross-border impacts of carbon emissions in China are more related to economic trade and ecological changes. For example, cross-border co-operation will help EU exporters to mitigate the adverse impacts of the EU Carbon Emission Rights Act and play a key role in global coordination of emission reduction actions. In addition, in the long run, in regions with fragile environments and high per capita incomes, high carbon emission industries are not conducive to the development of the regional economy and industry and the introduction of foreign investment by the regional government, and this will force the regional government to pay attention to environmental regulation and promote the long term sustainable development of the local industry [63,64]. The carbon emissions vary and change at the provincial scale in different regions, which in turn is closely related to factors such as the level of economic development, policy implementation, and industrial structure of the specific region.
Over time, the carbon emissions of prefecture-level city clusters in China have exhibited a clear spatial autocorrelation, with an overall clustering trend. The clustering of carbon emission cold and hotspots in China has been expanding and becoming more tightly clustered simultaneously. Conversely, the addition or reduction of cold and hotspots can also demonstrate the differences and continuity of carbon emissions within the country. The types of carbon emissions clustering in different regions have varied over time, but on the whole they show a certain degree of stability. The absence of H-H type high-value agglomerations in cities in the Pearl River Delta region may be related to the decentralized industrialization and urbanization in the region [65]. Meanwhile, the distribution of carbon emissions in China exhibits an east–west dichotomy, exemplified by the spatial pattern of “hot in the east and cold in the west”. The concentration of hot spots is evident in the eastern coastal areas, while cold spots are primarily distributed in the Northwest to Southwest Regions. However, the scope of their agglomeration is expanding and becoming closer simultaneously. At this juncture, the spatial distribution of carbon emissions in China exhibits a growing tendency towards positive autocorrelation. Low-carbon emission cities should prioritize addressing their own challenges, leveraging the insights of neighboring efficient cities, driving the restructuring of their own economy and industry, proactively exploring avenues for carbon emission reduction, and enhancing the efficiency of carbon emission. This is consistent with the findings of Huang et al. [65], which help to elucidate the spatial and temporal CO2 distribution of carbon emissions in China and provide a scientific basis for the formulation of targeted carbon emission reduction policies.
In terms of influencing factors, economic and population growth can lead to significant increases in carbon emissions. The increase in carbon emissions due to economic development can be derived from changes in affluence or technological development [66]. On the other hand, the impacts behind population growth can be understood from other studies, where population growth, through its impact on demographic processes such as urbanization, population density, age structure, and household size, has an indirect impact on emissions/energy consumption [67]. Taken together, it is found that the economy and population are inextricably linked, implicating the level of consumption as well as the impact of GDP per capita, with an increase in population leading to an increase in consumption demand, which exacerbates the level of carbon dioxide emissions from both production and consumption [68]. The influence of climate factors and urbanization on CO2 emissions is more complex and unstable. In addition to local policy reasons, there are also a number of unknowns that may affect carbon emissions. Further research is therefore needed to understand the mechanism of its influence. However, with the steady development of the economy and the current slowdown in China’s population growth, China’s carbon emissions in the future will be more successful in realizing the established national policy requirements.
The analysis of carbon emission impact factors in the national subregional prefecture-level cities revealed that, although there are differences between different regions, the general trend is that the impact of economic development and population growth on CO2 emissions is generally positive. At the same time, some studies also pointed out [69] that its effect has weakened over time, but economic growth is the most critical factor driving the growth of carbon emissions. From 2005–2010, 2010–2015, and 2015–2020, the carbon emissions driven by economic growth are 5835.51 metric tons, 4735.38 metric tons, and 3137.13 metric tons, respectively. Population growth plays a relatively limited role, contributing 203.48 Mt, 355.45 Mt, and 278.71 Mt in 2005–2010, 2010–2015, and 2015–2020, respectively. The industrial structure of the NWT may favor energy-intensive industries, such as heavy industry or coal mining, which typically generate significant CO2 emissions [70]. Therefore, with economic expansion and population growth, the expansion of these industries will directly lead to an increase in CO2 emissions. The significant negative effect of cumulative precipitation may be due to the fact that higher precipitation reduces the operational efficiency of industries such as thermal power plants, which reduces CO2 emissions. Additionally, higher precipitation may also promote vegetation growth that absorbs carbon dioxide, thereby reducing atmospheric CO2 concentrations. There are some differences between different regions that need to be further studied and explored.
The regression analyses from 2001 to 2020 reveal a consistent correlation between economic development, population growth, and increased CO2 emissions, especially in the E and SW Regions. This view is consistent with the findings of previous studies that urbanization leads to the migration of rural populations, which provides human resources for urban development, but also generates large amounts of carbon emissions [71,72]. Moreover, this trend underscores the urgent need for integrated policies that simultaneously address economic expansion and environmental sustainability. The variable impacts of climatic factors on emissions highlight the complex interactions within environmental systems and the necessity for models to better incorporate regional climatic variations for more effective emission management. Urbanization’s growing influence on emissions emphasizes the dual challenge of fostering urban growth while minimizing environmental degradation. Promoting sustainable urban practices, such as green consumption and support for eco-friendly industrial transformations, is crucial. The significant economic changes in Region N in 2020, driven by the introduction of new industries, underscore the profound environmental impacts of economic shifts. Additionally, the dynamic interplay between urban planning and demographic changes, particularly in the CS region as discussed by Xu et al. [73], calls for a reevaluation of urbanization strategies to align with sustainable development goals. Moreover, the importance of region-specific approaches, such as those adopted in the Southwest to enhance ecological protection and land use efficiency [74], illustrates the need for adaptive strategies that respect local economic, political, and climatic conditions. This holistic understanding can inform policymakers in designing strategies that not only promote economic growth but also ensure environmental preservation.
These findings underscore the dominant influence of economic activities and demographic growth on CO2 emissions, while highlighting the variable and often unpredictable effects of climatic and environmental factors across different regions and time periods.
5. Conclusions
In this paper, we analyzed and evaluated CO2 emissions at the scale of prefecture-level administrative units in China. This study initially examined the changes in carbon emissions and discovered that carbon emissions are rapidly increasing in the economically developed Eastern Region of China, while the less developed Western Region of the country is catching up through accelerated urbanization and economic growth; the spatial and temporal distribution of carbon emissions exhibits a pattern of “hot in the east and cold in the west”. Economic expansion and population growth remain the main drivers of carbon emissions growth in each region, while the effects of climatic factors and urbanization are complex and volatile. In the future, the Eastern Region will require a focus on the issues of urbanization progress and population efficiency, while achieving a gradual energy transition. In contrast, the Western Region will need to strengthen ecological protection and improve land use efficiency in order to balance the environmental change caused by carbon emissions. The results and relevant conclusions can serve as a foundation or offer recommendations for China’s regional carbon policy formulation and modification.
The limited availability of data poses a significant challenge for the refinement and effectiveness of evaluation index systems, since the carbon emissions data used in this study are the sum of energy-related CO2 emissions and CO2 emissions/sequestration from the land use sector, excluding non-CO2 greenhouse gases, etc. In future studies, the classification and detailed localization of data could greatly enhance the foundational datasets, thereby improving the robustness and relevance of the index system. Such enhancements could involve categorizing sources of carbon emissions, documenting local policy shifts in specific years, and conducting targeted research on climate data. Additionally, expanding the analysis to include more comprehensive comparisons across these variables could significantly enhance our understanding of the factors influencing carbon emissions. This approach would facilitate the identification of critical links that drive regional and temporal differences in emission patterns, providing valuable insights for targeted environmental policy and action.
Author Contributions
Conceptualization, M.S. and B.L.; Methodology, M.S.; Software, M.S.; Validation, M.S.; Formal analysis, M.S.; Investigation, Y.Z.; Resources, X.M. and Y.Z.; Data curation, X.M.; Writing—original draft, M.S.; Writing—review & editing, B.L. and Z.W.; Visualization, M.S.; Supervision, B.L. and Z.W.; Project administration, B.L.; Funding acquisition, J.W. All authors have read and agreed to the published version of the manuscript.
Funding
This paper has been funded by National Natural Science Foundation of China (42330507) and College Student Innovation and Entrepreneurship Training Program (202310022016).
Data Availability Statement
The raw data supporting the conclusions of this article will be made available by the authors on request.
Conflicts of Interest
The authors declare no conflict of interest.
Correction Statement
This article has been republished with a minor correction to the Funding statement. This change does not affect the scientific content of the article.
Appendix A
Table A1.
VIF certificate.
Table A1.
VIF certificate.
| 2001 | 2010 | 2020 | |||
|---|---|---|---|---|---|
| VIF | 1/VIF | VIF | 1/VIF | VIF | 1/VIF |
| 4.960 | 0.202 | 3.190 | 0.313 | 2.480 | 0.403 |
| 4.120 | 0.242 | 3.090 | 0.324 | 2.170 | 0.460 |
| 3.580 | 0.279 | 2.970 | 0.337 | 2.090 | 0.478 |
| 2.970 | 0.336 | 2.910 | 0.344 | 2.060 | 0.486 |
| 2.940 | 0.340 | 2.800 | 0.357 | 1.990 | 0.503 |
| 2.650 | 0.378 | 2.520 | 0.397 | 1.930 | 0.519 |
| 2.390 | 0.419 | 2.470 | 0.404 | 1.050 | 0.950 |
| 3.370 | 2.850 | 1.970 |
Appendix B
Figure A1.
Scatterplot of regression of factors affecting carbon emissions in prefecture-level cities nationwide in 2001. (Note: Scatterplot of linear relationship between factors and carbon emissions, the following data has been collated for the purposes of this study: CO2 (million tons), lnGDP (million yuan), Inhabitant (ten thousand people), Cumulative precipitation (mm), Average temperature (degrees Celsius °C), Hours of sunshine (hours), Percentage of cities and towns (%), Percentage of natural environment (%)).
Figure A1.
Scatterplot of regression of factors affecting carbon emissions in prefecture-level cities nationwide in 2001. (Note: Scatterplot of linear relationship between factors and carbon emissions, the following data has been collated for the purposes of this study: CO2 (million tons), lnGDP (million yuan), Inhabitant (ten thousand people), Cumulative precipitation (mm), Average temperature (degrees Celsius °C), Hours of sunshine (hours), Percentage of cities and towns (%), Percentage of natural environment (%)).

Figure A2.
Scatterplot of regression of factors influencing carbon emissions in prefecture-level cities across China in 2010. (Note: Scatterplot of linear relationship between factors and carbon emissions, the following data has been collated for the purposes of this study: CO2 (million tons), lnGDP (million yuan), Inhabitant (ten thousand people), Cumulative precipitation (mm), Average temperature (degrees Celsius °C), Hours of sunshine (hours), Percentage of cities and towns (%), Percentage of natural environment (%)).
Figure A2.
Scatterplot of regression of factors influencing carbon emissions in prefecture-level cities across China in 2010. (Note: Scatterplot of linear relationship between factors and carbon emissions, the following data has been collated for the purposes of this study: CO2 (million tons), lnGDP (million yuan), Inhabitant (ten thousand people), Cumulative precipitation (mm), Average temperature (degrees Celsius °C), Hours of sunshine (hours), Percentage of cities and towns (%), Percentage of natural environment (%)).

Figure A3.
Scatterplot of regression of factors affecting carbon emissions in prefecture-level cities across China in 2020. (Note: Scatterplot of linear relationship between factors and carbon emissions, the following data has been collated for the purposes of this study: CO2 (million tons), lnGDP (million yuan), Inhabitant (ten thousand people), Cumulative precipitation (mm), Average temperature (degrees Celsius °C), Hours of sunshine (hours), Percentage of cities and towns (%), Percentage of natural environment (%)).
Figure A3.
Scatterplot of regression of factors affecting carbon emissions in prefecture-level cities across China in 2020. (Note: Scatterplot of linear relationship between factors and carbon emissions, the following data has been collated for the purposes of this study: CO2 (million tons), lnGDP (million yuan), Inhabitant (ten thousand people), Cumulative precipitation (mm), Average temperature (degrees Celsius °C), Hours of sunshine (hours), Percentage of cities and towns (%), Percentage of natural environment (%)).

References
- Ma, R.; Abid, N.; Yang, S. From crisis to resilience: Strengthening climate action in OECD countries through environmental policy and energy transition. Environ. Sci. Pollut. Res. 2023, 30, 115480–115495. [Google Scholar] [CrossRef] [PubMed]
- Newman, R.; Noy, I. The global costs of extreme weather that are attributable to climate change. J. Nat. Commun. 2023, 14, 6103. [Google Scholar] [CrossRef] [PubMed]
- Butsch, C.; Beckers, L.M.; Nilson, E.; Frassl, M.; Brennholt, N.; Kwiatkowski, R.; Söder, M. Health impacts of extreme weather events–Cascading risks in a changing climate. J. Health Monit. 2023, 8 (Suppl. 4), 33. [Google Scholar] [CrossRef] [PubMed]
- IPCC. Climate Change 2013: The Physical Science Basis Working Group I Contribution to the Fifth Assessment Report of the Intergovernmental Panel on Climate Change; Cambridge University Press: Cambridge, UK, 2014.
- Huisingh, D.; Zhang, Z.; Moore, J.C.; Qiao, Q.; Li, Q. Recent advances in carbon emissions reduction: Policies, technologies, monitoring, assessment and modeling. J. Clean. Prod. 2015, 103, 1–12. [Google Scholar] [CrossRef]
- Yang, Z.; Zhao, Y. Energy consumption, carbon emissions, and economic growth in India: Evidence from directed acyclic graphs. Econ. Model. 2014, 38, 533–540. [Google Scholar] [CrossRef]
- Liu, H.; Wong, W.K.; Cong, P.T.; Nassani, A.A.; Haffar, M.; Abu-Rumman, A. Linkage among Urbanization, energy Consumption, economic growth and carbon Emissions. Panel data analysis for China using ARDL model. Fuel 2023, 332, 126122. [Google Scholar] [CrossRef]
- Pao, H.T.; Fu, H.C.; Tseng, C.L. Forecasting of CO2 emissions, energy consumption and economic growth in China using an improved grey model. Energy 2012, 40, 400–409. [Google Scholar] [CrossRef]
- Jian, J.; Fan, X.; He, P.; Xiong, H.; Shen, H. The effects of energy consumption, economic growth and financial development on CO2 emissions in China: A VECM approach. Sustainability 2019, 11, 4850. [Google Scholar] [CrossRef]
- Zhang, X.P.; Cheng, X.M. Energy consumption, carbon emissions, and economic growth in China. Ecol. Econ. 2009, 68, 2706–2712. [Google Scholar] [CrossRef]
- Tan, X.; Guo, W.; Fan, J.; Guo, J.; Wang, M.; Zen, A.; Su, L.; Sun, Y. Policy framework and technology innovation policy of carbon peak and carbon neutrality. Bull. Chin. Acad. Sci. 2022, 37, 435–443. [Google Scholar] [CrossRef]
- He, J.; Li, Z.; Zhang, X.; Wang, H.; Dong, W.; Chang, S.; Ou, X.; Guo, S.; Tian, Z.; Gu, A.; et al. Comprehensive report on China’s long-term low-carbon development strategies and pathways. Chin. J. Popul. Resour. Environ. 2020, 18, 263–295. [Google Scholar] [CrossRef]
- Dong, H.; Liu, Y.; Zhao, Z.; Tan, X.; Managi, S. Carbon neutrality commitment for China: From vision to action. Sustain. Sci. 2022, 17, 1741–1755. [Google Scholar] [CrossRef]
- Walker, W.S.; Gorelik, S.R.; Cook-Patton, S.C.; Baccini, A.; Farina, M.K.; Solvik, K.K.; Ellis, P.W.; Sanderman, J.; Houghton, R.A.; Leavitt, S.M.; et al. The global potential for increased storage of carbon on land. Proc. Natl. Acad. Sci. USA 2022, 119, e2111312119. [Google Scholar] [CrossRef] [PubMed]
- Sun, W.; Liu, X. Review on carbon storage estimation of forest ecosystem and applications in China. For. Ecosyst. 2020, 7, 4. [Google Scholar] [CrossRef]
- Yu, B.; Zhao, G.; An, R.; Chen, J.; Tan, J.; Li, X. Research on China’s CO2 emission pathway under carbon neutral target. J. Beijing Inst. Technol. (Soc. Sci. Ed.) 2021, 23, 17–24. [Google Scholar] [CrossRef]
- Long, Y.; Yoshida, Y. Quantifying city-scale emission responsibility based on input-output analysis–Insight from Tokyo, Japan. Appl. Energy 2018, 218, 349–360. [Google Scholar] [CrossRef]
- Liu, B.; Tian, C.; Li, Y.; Song, H.; Ma, Z. Research on the effects of urbanization on carbon emissions efficiency of urban agglomerations in China. J. Clean. Prod. 2018, 197, 1374–1381. [Google Scholar] [CrossRef]
- Dhakal, S. Urban energy use and carbon emissions from cities in China and policy implications. Energy Policy 2009, 37, 4208–4219. [Google Scholar] [CrossRef]
- Hong, S.; Hui, E.C.M.; Lin, Y. Relationship between urban spatial structure and carbon emissions: A literature review. Ecol. Indic. 2022, 144, 109456. [Google Scholar] [CrossRef]
- Wu, Y.; Zhang, Q. The confrontation and symbiosis of green and development: Coupling coordination analysis between carbon emissions and spatial development in urban agglomerations of China. Sustain. Cities Soc. 2024, 106, 105391. [Google Scholar] [CrossRef]
- Yu, Q.; Li, M.; Li, Q.; Wang, Y.; Chen, W. Economic agglomeration and emissions reduction: Does high agglomeration in China’s urban clusters lead to higher carbon intensity? Urban Clim. 2022, 43, 101174. [Google Scholar] [CrossRef]
- Qian, Y.; Wang, H.; Wu, J. Spatiotemporal association of carbon dioxide emissions in China’s urban agglomerations. J. Environ. Manag. 2022, 323, 116109. [Google Scholar] [CrossRef] [PubMed]
- Cai, B.; Wang, X.; Huang, G.; Wang, J.; Cao, D.; Baetz, B.W.; Liu, L.; Zhang, H.; Fenech, A.; Liu, Z. Spatiotemporal changes of China’s carbon emissions. Geophys. Res. Lett. 2018, 45, 8536–8546. [Google Scholar] [CrossRef]
- Zeng, H.; Shao, B.; Bian, G.; Dai, H.; Zhou, F. Analysis of influencing factors and trend forecast of CO2 emission in Chengdu-Chongqing urban agglomeration. Sustainability 2022, 14, 1167. [Google Scholar] [CrossRef]
- Luo, H.; Li, Y.; Gao, X.; Meng, X.; Yang, X.; Yan, J. Carbon emission prediction model of prefecture-level administrative region: A land-use-based case study of Xi’an city, China. Appl. Energy 2023, 348, 121488. [Google Scholar] [CrossRef]
- Wang, Q.; Yang, C.H.; Wang, M.L.; Zhao, L.; Zhao, Y.C.; Zhang, Q.P.; Zhang, C.Y. Decoupling analysis to assess the impact of land use patterns on carbon emissions: A case study in the Yellow River Delta efficient eco-economic zone, China. J. Clean. Prod. 2023, 412, 137415. [Google Scholar] [CrossRef]
- Yang, T.; Liu, J.; Mi, H.; Cao, Z.; Wang, Y.; Han, H.; Luan, J.; Wang, Z. An estimating method for carbon emissions of China based on nighttime lights remote sensing satellite images. Sustainability 2022, 14, 2269. [Google Scholar] [CrossRef]
- Yang, D.; Luan, W.; Qiao, L.; Pratama, M. Modeling and spatio-temporal analysis of city-level carbon emissions based on nighttime light satellite imagery. Appl. Energy 2020, 268, 114696. [Google Scholar] [CrossRef]
- Shi, K.; Chen, Y.; Yu, B.; Xu, T.; Chen, Z.; Liu, R.; Li, L.; Wu, J. Modeling spatiotemporal CO2 (carbon dioxide) emission dynamics in China from DMSP-OLS nighttime stable light data using panel data analysis. Appl. Energy 2016, 168, 523–533. [Google Scholar] [CrossRef]
- Han, F.; Xie, R.; Fang, J.; Liu, Y. The effects of urban agglomeration economies on carbon emissions: Evidence from Chinese cities. J. Clean. Prod. 2018, 172, 1096–1110. [Google Scholar] [CrossRef]
- Yu, X.; Wu, Z.; Zheng, H. How urban agglomeration improve the emission efficiency? A spatial econometric analysis of the Yangtze River Delta urban agglomeration in China. Environ. Manag. 2020, 260, 110061. [Google Scholar] [CrossRef] [PubMed]
- Wang, Y.; Yin, S.; Fang, X.; Chen, W. Interaction of economic agglomeration, energy conservation and emission reduction: Evidence from three major urban agglomerations in China. J. Energy 2022, 241, 122519. [Google Scholar] [CrossRef]
- Chuai, X.; Huang, X.; Wang, W.; Wen, J.; Chen, Q.; Peng, J. Spatial econometric analysis of carbon emissions from energy consumption in China. J. Geogr. Sci. 2012, 22, 630–642. [Google Scholar] [CrossRef]
- Zhang, X.; Liao, Q.; Zhao, H.; Li, P. Vector maps and spatial autocorrelation of carbon emissions at land patch level based on multi-source data. Front. Public Health 2022, 10, 1006337. [Google Scholar] [CrossRef] [PubMed]
- Wang, S.; Huang, Y.; Zhou, Y. Spatial spillover effect and driving forces of carbon emission intensity at the city level in China. J. Geogr. Sci. 2019, 29, 231–252. [Google Scholar] [CrossRef]
- Li, R.; You, K.; Cai, W.; Wang, J.; Liu, Y.; Yu, Y. Will the southward center of gravity migration of population, floor area, and building energy consumption facilitate building carbon emission reduction in China. Build. Environ. 2023, 242, 110576. [Google Scholar] [CrossRef]
- Zou, K.H.; Tuncali, K.; Silverman, S.G. Correlation and simple linear regression. Radiology 2003, 227, 617–628. [Google Scholar] [CrossRef]
- Ma, J.; Cheng, J.C.; Jiang, F.; Chen, W.; Zhang, J. Analyzing driving factors of land values in urban scale based on big data and non-linear machine learning techniques. Land Use Policy 2020, 94, 104537. [Google Scholar] [CrossRef]
- Alizamir, M.; Kim, S.; Kisi, O.; Zounemat-Kermani, M. A comparative study of several machine learning based non-linear regression methods in estimating solar radiation: Case studies of the USA and Turkey regions. Energy 2020, 197, 117239. [Google Scholar] [CrossRef]
- Gunson, N.; Marshall, D.; Morton, H.; Jack, M. User perceptions of security and usability of single-factor and two-factor authentication in automated telephone banking. Comput. Secur. 2011, 30, 208–220. [Google Scholar] [CrossRef]
- Ometov, A.; Bezzateev, S.; Mäkitalo, N.; Andreev, S.; Mikkonen, T.; Koucheryavy, Y. Multi-factor authentication: A survey. Cryptography 2018, 2, 1. [Google Scholar] [CrossRef]
- Saprykin, A.; Chokani, N.; Abhari, R.S. GEMSim: A GPU-accelerated multi-modal mobility simulator for large-scale scenarios. Simul. Model. Pract. Theory 2019, 94, 199–214. [Google Scholar] [CrossRef]
- Elbery, A.; Dvorak, F.; Du, J.; Rakha, H.A.; Klenk, M. Large-scale Agent-based Multi-modal Modeling of Transportation Networks-System Model and Preliminary Results. In Proceedings of the 4th International Conference on Vehicle Technology and Intelligent Transport Systems, Funchal, Portugal, 16–18 March 2018; pp. 103–112. [Google Scholar]
- Shan, Y.; Guan, D.; Zheng, H.; Ou, J.; Li, Y.; Meng, J.; Mi, Z.; Liu, Z.; Zhang, Q. China CO2 emission accounts 1997–2015. Sci. Data 2018, 5, 170201. [Google Scholar] [CrossRef] [PubMed]
- National Bureau of Statistics of China. Statistical Yearbook of Chinese Cities (2001–2020); China Statistics Press: Beijing, China, 2020.
- National Bureau of Statistics of China. China Energy Statistics Yearbook (2001–2020); China Statistics Press: Beijing, China, 2020.
- Chen, Y. An analytical process of spatial autocorrelation functions based on Moran’s index. PLoS ONE 2021, 16, e0249589. [Google Scholar] [CrossRef] [PubMed]
- Anselin, L. Local indicators of spatial association—LISA. Geogr. Anal. 1995, 27, 93–115. [Google Scholar] [CrossRef]
- He, Y.; Zhou, G.; Tang, C.; Fan, S.; Guo, X. The spatial organization pattern of urban-rural integration in urban agglomerations in China: An agglomeration-diffusion analysis of the population and firms. Habitat Int. 2019, 87, 54–65. [Google Scholar] [CrossRef]
- Jana, M.; Sar, N. Modeling of hotspot detection using cluster outlier analysis and Getis-Ord Gi* statistic of educational development in upper-primary level, India. Model. Earth Syst. Environ. 2016, 2, 60. [Google Scholar] [CrossRef]
- Shacham, M.; Brauner, N. Application of stepwise regression for dynamic parameter estimation. Comput. Chem. Eng. 2014, 69, 26–38. [Google Scholar] [CrossRef]
- Chen, Y.; Shi, R.; Shu, S.; Gao, W. Ensemble and enhanced PM10 concentration forecast model based on stepwise regression and wavelet analysis. Atmos. Environ. 2013, 74, 346–359. [Google Scholar] [CrossRef]
- Yu, T.; Yu, G.; Li, P.Y.; Wang, L. Citation impact prediction for scientific papers using stepwise regression analysis. Scientometrics 2014, 101, 1233–1252. [Google Scholar] [CrossRef]
- Żogała-Siudem, B.; Jaroszewicz, S. Fast stepwise regression based on multidimensional indexes. Inform. Sci. 2021, 549, 288–309. [Google Scholar] [CrossRef]
- Whittingham, M.J.; Stephens, P.A.; Bradbury, R.B.; Freckleton, R.P. Why do we still use stepwise modelling in ecology and behaviour. J. Anim. Ecol. 2006, 75, 1182–1189. [Google Scholar] [CrossRef] [PubMed]
- Fernandes, R.; Leblanc, S.G. Parametric (modified least squares) and non-parametric (Theil–Sen) linear regressions for predicting biophysical parameters in the presence of measurement errors. Remote Sens. Environ. 2005, 95, 303–316. [Google Scholar] [CrossRef]
- Burton, A.L. OLS (Linear) regression. In The Encyclopedia of Research Methods in Criminology and Criminal Justice; Barnes, J.C., Forde, D.R., Eds.; John Wiley & Sons: Hoboken, NJ, USA, 2021; pp. 509–514. [Google Scholar]
- Steel, R.G.D.; Torrie, J.H. Principles and Procedures of Statistics; McGraw-Hill Book Company: New York, NY, USA, 1960. [Google Scholar]
- Pan, D.; Li, N.; Li, F.; Feng, K.; Peng, L.; Wang, Z. Mitigation strategy of Eastern China based on energy-source carbon emission estimation. Acta Sci. Circumst. 2021, 41, 1142–1152. [Google Scholar] [CrossRef]
- Nassar, R.; Napier-Linton, L.; Gurney, K.R.; Andres, R.J.; Oda, T.; Vogel, F.R.; Deng, F. Improving the temporal and spatial distribution of CO2 emissions from global fossil fuel emission data sets. J. Geophys. Res. Atmos. 2013, 118, 917–933. [Google Scholar] [CrossRef]
- Moutinho, V.; Moreira, A.C.; Silva, P.M. The driving forces of change in energy-related CO2 emissions in Eastern, Western, Northern and Southern Europe: The LMDI approach to decomposition analysis. J. Renew. Sustain. Energy Rev. 2015, 50, 1485–1499. [Google Scholar] [CrossRef]
- Liu, K.; Wu, S.; Guo, N.; Fang, Q. Host Country’s carbon emission and cross-border M&A performance: Evidence from listed enterprises in China. J. Clean. Prod. 2021, 314, 127977. [Google Scholar] [CrossRef]
- Shen, H.; Yang, Q.; Luo, L.; Huang, N. Market reactions to a cross-border carbon policy: Evidence from listed Chinese companies. Br. Account. Rev. 2023, 55, 101116. [Google Scholar] [CrossRef]
- Huang, H.; Wei, Z.; Ge, Q.; Guo, Q. Analysis of spatial-temporal evolution and influencing factors of carbon emission efficiency in Chinese cities. Front. Environ. Sci. 2023, 11, 1119914. [Google Scholar] [CrossRef]
- Lee, C.C.; Zhao, Y.N. Heterogeneity analysis of factors influencing CO2 emissions: The role of human capital, urbanization, and FDI. Renew. Sustain. Energy Rev. 2023, 185, 113644. [Google Scholar] [CrossRef]
- Liddle, B. Impact of population, age structure, and urbanization on carbon emissions/energy consumption: Evidence from macro-level, cross-country analyses. Popul. Environ. 2014, 35, 286–304. [Google Scholar] [CrossRef]
- Zhu, Q.; Peng, X. The impacts of population change on carbon emissions in China during 1978–2008. Environ. Impact Assess. Rev. 2012, 36, 1–8. [Google Scholar] [CrossRef]
- Duman, Z.; Mao, X.; Cai, B.; Zhang, Q.; Chen, Y.; Gao, Y.; Guo, Z. Exploring the spatiotemporal pattern evolution of carbon emissions and air pollution in Chinese cities. J. Environ. Manag. 2023, 345, 118870. [Google Scholar] [CrossRef] [PubMed]
- Jun, L.; Lu, S.; Li, X.; Li, Z.; Cao, C. Spatio-Temporal Evolution Characteristics and Influencing Factors of Industrial Carbon Emission Efficiency in Chinese Prefecture-Level Cities. Sustainability 2023, 15, 13694. [Google Scholar] [CrossRef]
- Wang, Z.; Sun, Y.; Wang, B. How does the new-type urbanisation affect CO2 emissions in China? An empirical analysis from the perspective of technological progress. Energy Econ. 2019, 80, 917–927. [Google Scholar] [CrossRef]
- Hossain, M.S. Panel estimation for CO2 emissions, energy consumption, economic growth, trade openness and urbanization of newly industrialized countries. Energy Policy 2011, 39, 6991–6999. [Google Scholar] [CrossRef]
- Xu, L.; Wang, D.; Du, J. Spatial-temporal evolution and influencing factors of urban green and smart development level in China: Evidence from 232 prefecture-level cities. Int. J. Environ. Res. Public Health 2022, 19, 3939. [Google Scholar] [CrossRef]
- Cai, C.; Fan, M.; Yao, J.; Zhou, L.; Wang, Y.; Liang, X.; Liu, Z.; Chen, S. Spatial-temporal characteristics of carbon emissions corrected by socio-economic driving factors under land use changes in Sichuan Province, southwestern China. Ecol. Inf. 2023, 77, 102164. [Google Scholar] [CrossRef]
Disclaimer/Publisher’s Note: The statements, opinions and data contained in all publications are solely those of the individual author(s) and contributor(s) and not of MDPI and/or the editor(s). MDPI and/or the editor(s) disclaim responsibility for any injury to people or property resulting from any ideas, methods, instructions or products referred to in the content. |
© 2024 by the authors. Licensee MDPI, Basel, Switzerland. This article is an open access article distributed under the terms and conditions of the Creative Commons Attribution (CC BY) license (https://creativecommons.org/licenses/by/4.0/).






