Distinguishing Geogenic Load and Anthropogenic Contribution to Soil Contamination in Mineralised Mountain Landscape of Ore Mountains (Czech Republic) Using Cumulative Distribution Functions
Abstract
1. Introduction
2. Materials and Methods
2.1. Geography and Mining and Smelting History of the Study Area
2.2. Soil Sampling and Element Analysis
2.3. Element Analysis
2.4. Geochemical Normalization
2.5. Empirical Cumulative Distribution Function
2.6. Software for Data Processing
3. Results
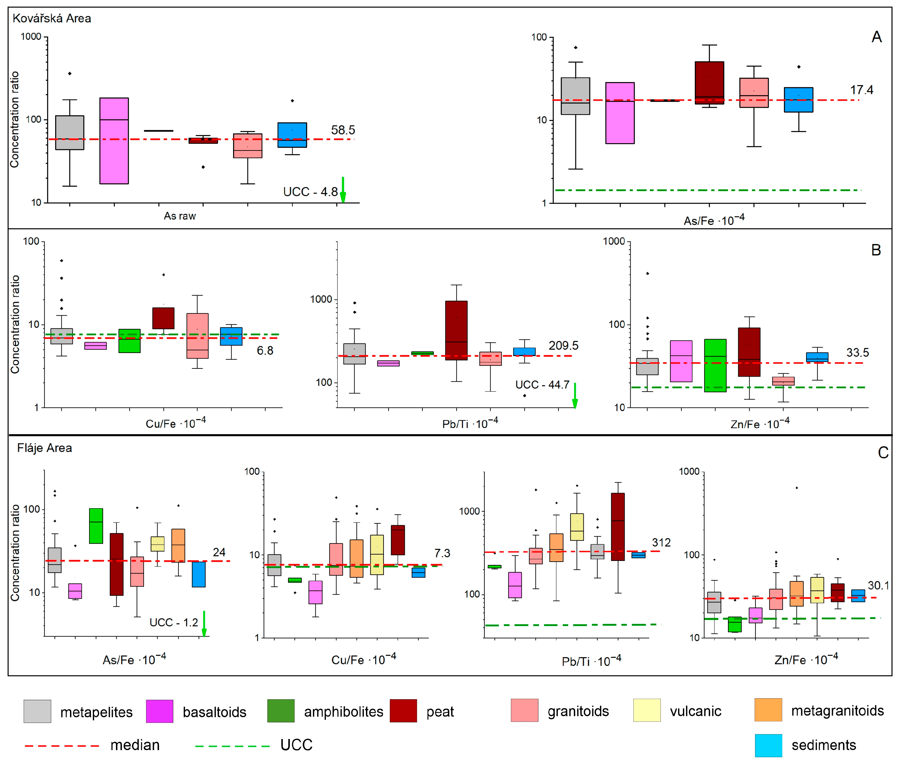
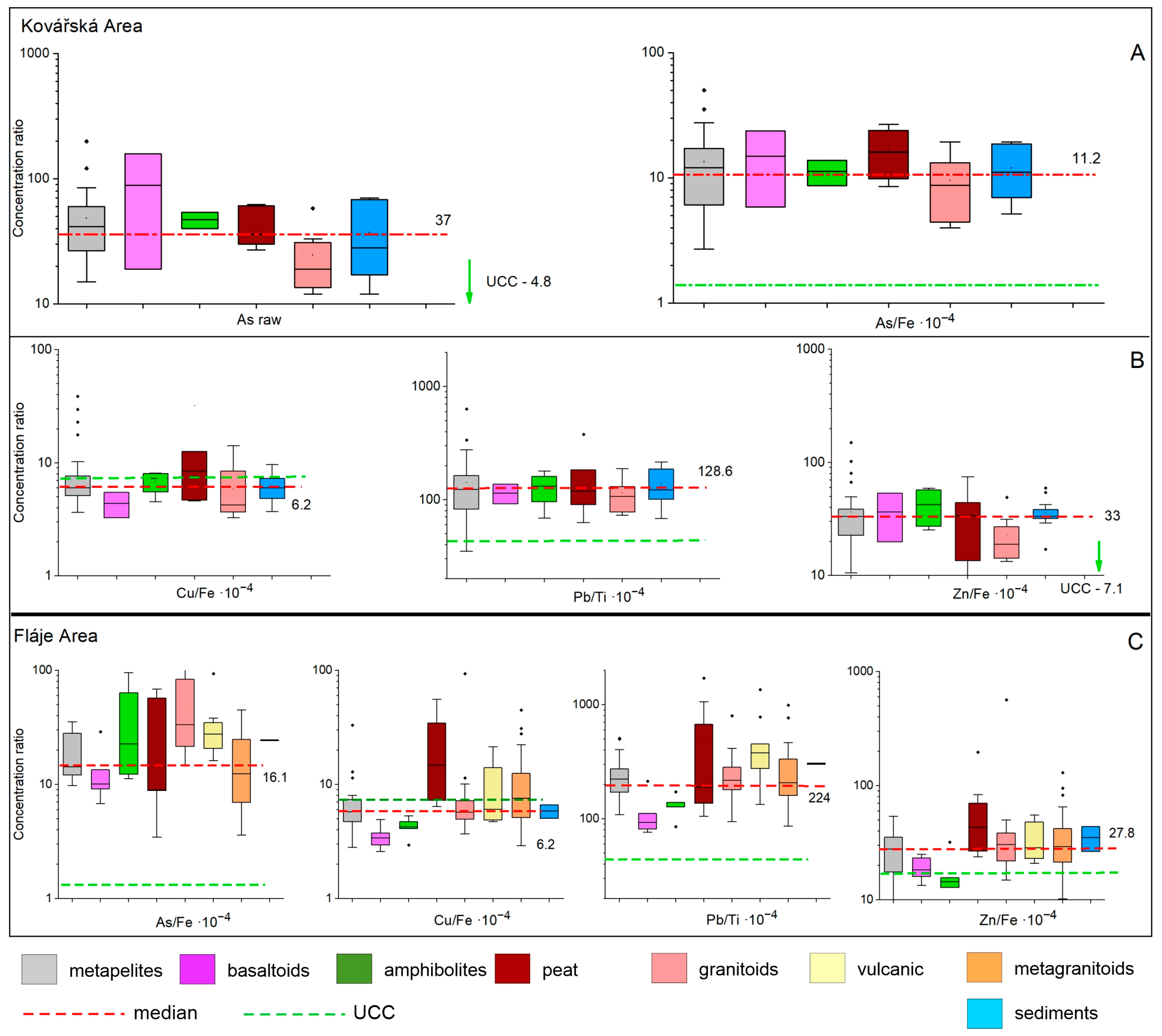
3.1. PTE Concentration in Soils
3.2. Geochemical Maps
3.3. Comparison of PTE Concentrations in TOP and BOT Using ECDF
3.4. Quantification of Diffuse Contamination using ECDF of Entire Data Series
3.5. Quantification of Diffuse Contamination Using TOP and BOT Pairs
4. Discussion
4.1. Impact of Soil-Forming Substrate on PTE Concentrations
4.2. Use of ECDF and Geochemical Maps for Distinguishing Diffuse and Point Contamination
4.3. Realistic Estimates of Diffuse Contamination Contribution
4.4. Diffuse Contribution from Soils and Peats and Outlines of Future Work
5. Conclusions
Author Contributions
Funding
Data Availability Statement
Acknowledgments
Conflicts of Interest
References
- Ander, E.L.; Johnson, C.C.; Cave, M.R.; Palumbo-Roe, B.; Nathanail, C.P.; Lark, R.M. Methodology for the determination of normal background concentrations of contaminants in English soil. Sci. Total Environ. 2013, 454–455, 604–618. [Google Scholar] [CrossRef]
- Vácha, R.; Skála, J.; Čechmánková, J.; Horváthová, V.; Hladík, J. Toxic elements and persistent organic pollutants derived from industrial emissions in agricultural soils of the Northern Czech Republic. J. Soils Sed. 2015, 15, 1813–1824. [Google Scholar] [CrossRef]
- Reimann, C.; Fabian, K.; Flem, B.; Andersson, M.; Filzmoser, P.; Englmaier, P. Geosphere-biosphere circulation of chemical elements in soil and plant systems from a 100 km transect from southern central Norway. Sci. Total Environ. 2018, 639, 129–145. [Google Scholar] [CrossRef] [PubMed]
- Gosar, M.; Šajn, R.; Bavec, Š.; Gaberšek, M.; Pezdir, V.; Miler, M. Geochemical background and threshold for 47 chemical elements in Slovenian topsoil. Geologija 2019, 62, 5–57. [Google Scholar] [CrossRef]
- Pasieczna, A.; Konon, A.; Nadłonek, W. Sources of anthropogenic contamination of soil in the Upper Silesian Agglomeration (southern Poland). Geol. Q. 2020, 64, 988–1003. [Google Scholar] [CrossRef]
- Kelepertzis, E.; Stathopoulou, E. Availability of geogenic heavy metals in soils of Thiva town (central Greece). Environ. Monit. Assess. 2013, 185, 9603–9618. [Google Scholar] [CrossRef]
- Zhang, H.; Luo, Y.; Teng, Y.; Wan, H. PCB contamination in soils of the Pearl River Delta, South China: Levels, sources, and potential risks. Environ. Sci. Pollut. Res. 2013, 20, 5150–5159. [Google Scholar] [CrossRef] [PubMed]
- Amorosi, A.; Guermandi, M.; Marchi, N.; Sammartino, I. Fingerprinting sedimentary and soil units by their natural metal contents: A new approach to assess metal contamination. Sci. Total Environ. 2014, 500–501, 361–372. [Google Scholar] [CrossRef]
- dos Santos, L.M.R.; Gloaguen, T.V.; de Souza Fadigas, F.; Chaves, J.M.; Martins, T.M.O. Metal accumulation in soils derived from volcano-sedimentary rocks, Rio Itapicuru Greenstone Belt, northeastern Brazil. Sci. Total Environ. 2017, 601–602, 1762–1774. [Google Scholar] [CrossRef]
- Zhang, L.; McKinley, J.; Cooper, M.; Peng, M.; Wang, Q.; Song, Y.; Cheng, H. A regional soil and river sediment geochemical study in Baoshan area, Yunnan province, southwest China. J. Geochem. Explor. 2020, 217, 106557. [Google Scholar] [CrossRef]
- Kafka, J. Rudné a Uranové Hornictví České Republiky; [Ore and Uranium Mining in the Czech Republic]; DIAMO: Rožná, Czech Republic, 2003; p. 647. ISBN 80-86331-67-9. [Google Scholar]
- Bohdálková, L.; Bohdálek, P.; Břízová, E.; Pacherová, P.; Kuběna, A.A. Atmospheric metal pollution records in the Kovářská Bog (Czech Republic) as an indicator of anthropogenic activities over the last three millennia. Sci. Total Environ. 2018, 633, 857–874. [Google Scholar] [CrossRef]
- Tolksdorf, J.F.; Kaiser, K.; Petr, L.; Herbig, C.; Kočár, P.; Heinrich, S.; Wilke, F.D.H.; Theuerkauf, M.; Fülling, A.; Schubert, M.; et al. Past human impact in a mountain forest: Geoarchaeology of a medieval glass production and charcoal hearth site in the Erzgebirge, Germany. Reg. Environ. Chang. 2020, 20, 71. [Google Scholar] [CrossRef]
- Tarvainen, T.; Reichel, S.; Müller, I.; Jordan, I.; Hube, D.; Eurola, M.; Loukola-Ruskeeniemi, K. Arsenic in agro-ecosystems under anthropogenic pressure in Germany and France compared to a geogenic As region in Finland. J. Geochem. Explor. 2020, 217, 106606. [Google Scholar] [CrossRef]
- Beier, T.; Opp, C.; Hahn, J.; Zitzer, N. Sink and Source Functions for Metal(loid)s in Sediments and Soils of Two Water Reservoirs of the Ore Mountains, Saxony, Germany. Appl. Sci. 2022, 12, 6354. [Google Scholar] [CrossRef]
- Goldschmidt, V.M. The principles of distribution of chemical elements in minerals and rocks. J. Chem. Soc. Lond. 1937, 655–673. [Google Scholar]
- Fabian, K.; Reimann, C.; de Caritat, P. Quantifying diffuse contamination: Method and application to Pb in soil. Environ. Sci. Technol. 2017, 51, 6719–6726. [Google Scholar] [CrossRef] [PubMed]
- Matys Grygar, T.; Elznicová, J.; Tůmová, Š.; Kylich, T.; Skála, J.; Hron, K.; Álvarez Vázquez, M.Á. Moving from geochemical to contamination maps using incomplete chemical information from long-term high-density monitoring of Czech agricultural soils. Environ. Earth Sci. 2023, 82, 6. [Google Scholar] [CrossRef]
- Baize, D.; Sterckeman, T. Of the necessity of knowledge of the natural pedo-geochemical background content in the evaluation of the contamination of soils by trace elements. Sci. Total Environ. 2001, 264, 127–139. [Google Scholar] [CrossRef] [PubMed]
- Wang, H.; Yilihamu, Q.; Yuan, M.; Bai, H.; Xu, H.; Wu, J. Prediction models of soil heavy metal(loid)s concentration for agricultural land in Dongli: A comparison of regression and random forest. Ecol. Indic. 2020, 119, 106801. [Google Scholar] [CrossRef]
- Boente, C.; Baragaño, D.; García-González, N.; Forján, R.; Colina, A.; Gallego, J.R. A holistic methodology to study geochemical and geomorphological control of the distribution of potentially toxic elements in soil. Catena 2022, 208, 105730. [Google Scholar] [CrossRef]
- Ribeiro, M.T.; Guestrin, C. “Why Should I Trust You?” Explaining the Predictions of Any Classifier. In Proceedings of the 22nd ACM SIGKDD International Conference on Knowledge Discovery and Data Mining, San Francisco, CA, USA, 13–17 August 2016; pp. 1135–1144. [Google Scholar]
- Zhao, Z.; Qiao, K.; Liu, Y.; Chen, J.; Li, C. Geochemical Data Mining by Integrated Multivariate Component Data Analysis: The Heilongjiang Duobaoshan Area (China) Case Study. Minerals 2022, 12, 1035. [Google Scholar] [CrossRef]
- Sarti, G.; Sammartino, I.; Amorosi, A. Geochemical anomalies of potentially hazardous elements reflect catchment geology: An example from the Tyrrhenian coast of Italy. Sci. Total Environ. 2020, 714, 136870. [Google Scholar] [CrossRef]
- Lienard, A.; Colinet, G. Assessment of vertical contamination of Cd, Pb, and Zn in soils around a former ore smelter in Wallonia, Belgium. Environ. Earth Sci. 2016, 75, 1322. [Google Scholar] [CrossRef]
- Reimann, C.; Fabian, K.; Birke, M.; Filzmoser, P.; Demetriades, A.; Négrel, P.; Oorts, K.; Matschullat, J.; de Caritat, P.; Albanese, S.; et al. GEMAS: Establishing geochemical background and threshold for 53 chemical elements in European agricultural soil. Appl. Geochem. 2018, 88, 730–740. [Google Scholar] [CrossRef]
- Spahić, M.P.; Sakan, S.; Cvetković, Ž.; Tančić, P.; Trifković, J.; Nikić, Z.; Manojlović, D. Assessment of contamination, environmental risk, and origin of heavy metals in soils surrounding industrial facilities in Vojvodina, Serbia. Environ. Monit. Assess. 2018, 190, 208. [Google Scholar] [CrossRef] [PubMed]
- Sinclair, A.J. Applications of Probability Graphs in Mineral Exploration; Special Volume No. 4; The Association of Exploration Geochemists: Nepean, ON, Canada; Richmond Printers: Richmond, BC, Canada, 1976. [Google Scholar]
- Reimann, C.; Fabian, K.; Flem, B. Cadmium enrichment in topsoil: Separating diffuse contamination from biosphere-circulation signals. Sci. Total Environ. 2019, 651, 1344–1355. [Google Scholar] [CrossRef] [PubMed]
- Reimann, C.; Fabian, K.; Flem, B.; Englmaier, P. The large-scale distribution of Cu and Zn in sub- and topsoil: Separating topsoil bioaccumulation and natural matrix effects from diffuse and regional contamination. Sci. Total Environ. 2019, 655, 730–740. [Google Scholar] [CrossRef]
- Flem, B.; Acosta-Gongora, P.; Andersson, M.; Finne, T.E.; Minde, Å. Organic Soil Geochemistry in Southern Trøndelag, QC—Report; Report No: 2021.006; Geological Survey of Norway: Trondheim, Norway, 2021. [Google Scholar]
- Giandon, P. Soil Contamination by Diffuse Inputs. In Environmental Indicators; Springer: Dordrecht, The Netherlands, 2015; ISBN 978-94-017-9498-5. [Google Scholar] [CrossRef]
- Vilímek, V.; Raška, P. The Krušné Hory Mts.—The Longest Mountain Range of the Czech Republic. In Landscapes and Landforms of the Czech Republic; Geomorphological Landscapes; Springer: Cham, Switzerland, 2016. [Google Scholar] [CrossRef]
- UNESCO World Heritage Site. Available online: http://www.montanregion.cz/cs/montanregion.html (accessed on 20 October 2023).
- Kaiser, K.; Theuerkauf, M.; Hieke, F. Holocene forest and land-use history of the Erzgebirge, central Europe: A review of palynological data. E G Quat. Sci. J. 2023, 72, 127–161. [Google Scholar] [CrossRef]
- Tolksdorf, J.F.; Schröder, F.; Petr, L.; Herbig, C.; Kaiser, K.; Kočár, P.; Fülling, A.; Heinrich, S.; Hönig, H.; Hemker, C. Evidence for Bronze Age and Medieval tin placer mining in the Erzgebirge mountains, Saxony (Germany). Geoarchaeology 2019, 35, 2. [Google Scholar] [CrossRef]
- Cílová, Z.; Woitsch, J. Potash—A key raw material of glass batch for Bohemian glasses from 14th–17th centuries? J. Archaeol. Sci. 2012, 39, 371–380. [Google Scholar] [CrossRef]
- Černá, E.; Frýda, F. Sklo vrcholného středověku—Současný stav a perspektivy studia historických (Glass of the High Middle Ages—Current state and perspectives of historical studies Technologies). Archaeol. Hist. 2000, 35, 355–357. [Google Scholar]
- Botula, Y.D.; Nemes, A.; Van Ranst, E.; Mafuka, P.; De Pue, J.; Cornelis, W.M. Hierarchical pedotransfer functions to predict bulk density of highly weathered soils in Central Africa. Soil Sci. Soc. Am. 2015, 79, 476–486. [Google Scholar] [CrossRef]
- Geological Map 1:50,000. Praha: Czech Geological Survey. Available online: https://mapy.geology.cz/geocr50/ (accessed on 10 October 2023).
- Adamec, S.; Tůmová, Š.; Hošek, M.; Lučić, M.; Matys Grygar, T. Pitfalls of distinguishing anthropogenic and geogenic reasons for risk elements in soils around coal-fired power plant: From case study in NW Czech Republic to general recommendations. J. Soils Sed. 2024. [CrossRef]
- Álvarez-Vázquez, M.Á.; Hošek, M.; Elznicová, J.; Pacina, J.; Hron, K.; Fačevicová, K.; Talská, R.; Bábek, O.; Grygar, T.M. Separation of geochemical signals in fluvial sediments: New approaches to grain-size control and anthropogenic contamination. Appl. Geochem. 2020, 123, 104791. [Google Scholar] [CrossRef]
- Sterckeman, T.; Douay, F.; Baize, D.; Fourrier, H.; Proix, N.; Schvartz, C. Trace elements in soils developed in sedimentary materials from Northern France. Geoderma 2006, 136, 912–929. [Google Scholar] [CrossRef]
- Bábek, O.; Grygar, T.M.; Faměra, M.; Hron, K.; Nováková, T.; Sedláček, J. Geochemical background in polluted river sediments: How to separate the effects of sediment provenance and grain size with statistical rigour? Catena 2015, 135, 240–253. [Google Scholar] [CrossRef]
- Dung, T.T.T.; Cappuyns, V.; Swennen, R.; Phung, N.K. From geochemical background determination to pollution assessment of heavy metals in sediments and soils. Rev. Environ. Sci. Biotechnol. 2013, 12, 335–353. [Google Scholar] [CrossRef]
- Matys Grygar, T.; Popelka, J. Revisiting geochemical methods of distinguishing natural concentrations and pollution by risk elements in fluvial sediments. J. Geochem. Explor. 2016, 170, 39–57. [Google Scholar] [CrossRef]
- Goldschmidt, V.M. Geochemistry; Muir, A., Ed.; Clarendon Press: Oxford, UK, 1954. [Google Scholar]
- Reimann, C.; Filzmoser, P.; Garrett, R.G.; Dutter, R. Statistical Data Analysis Explained: Applied Environmental Statistics with R; John Wiley & Sons: Chichester, UK, 2008; ISBN 978-0-470-98581-6. [Google Scholar]
- Reimann, C.; Fabian, K. Quantifying diffuse contamination: Comparing silver and mercury in organogenic and minerogenic soil. Sci. Total Environ. 2022, 832, 155065. [Google Scholar] [CrossRef]
- Flem, B.; Reimann, C.; Fabian, K. Excess Cr and Ni in top soil: Comparing the effect of geology, diffuse contamination, and biogenic influence. Sci. Total Environ. 2022, 843, 157059. [Google Scholar] [CrossRef]
- Rudnick, R.L.; Gao, S. Treatise on Geochemistry: Composition of the continental crust. In The Crust: Treatise on Geochemistry; Rudnick, R.L., Holland, H.D., Turekian, K.K., Eds.; Elsevier-Pergamon: Oxford, UK, 2003; Volume 3, pp. 1–64. [Google Scholar]
- Salminen, R.; Batista, M.J.; Bidovec, M.; Demetriades, A.; De Vivo, B.; De Vos, W.; Duris, M.; Gilucis, A.; Gregorauskiene, V.; Halamic, J.; et al. Geochemical Atlas of Europe. Part 1—Background Information, Methodology and Maps; Geological Survey of Finland: Espoo, Finland, 2005; ISBN 951-690-921-3. [Google Scholar]
- Ministry of Environment of Czech Republic (2016): Decree No. 153/2016 Coll., about the Agricultural Soil Quality and Protection Requirements. Legal Code of the Czech Republic; pp. 2692–2699. (In Czech). Available online: https://www.e-sbirka.cz/sb/2016/153?zalozka=text (accessed on 20 November 2023).
- Reimann, C.; Garret, R.G. Geochemical background—Concept and reality. Sci. Total Environ. 2005, 350, 12–27. [Google Scholar] [CrossRef]
- O’Shea, B.; Stransky, M.; Leitheiser, S.; Brock, P.; Marvinney, R.; Zheng, Y. Heterogeneous arsenic enrichment in meta-sedimentary rocks in central Maine, United States. Sci. Total Environ. 2015, 505, 1308–1319. [Google Scholar] [CrossRef]
- Goldhaber, S.B. Trace element risk assessment: Essentiality vs. toxicity. Regul. Toxic. Pharmacol. 2003, 38, 232–242. [Google Scholar] [CrossRef]
- Wang, X.; Han, Z.; Wang, W.; Zhang, B.; Wu, H.; Nie, L.; Zhou, J.; Chi, Q.; Xu, S.; Liu, H.; et al. Continental-scale geochemical survey of lead (Pb) in mainland China’s pedosphere: Concentration, spatial distribution and influences. Appl. Geochem. 2018, 100, 55–63. [Google Scholar] [CrossRef]
- Salminen, R.; Gregorauskiene, V. Considerations regarding the definition of a geochemical baseline of heavy metals in the overburden in areas differing in basic geology. Appl. Geochem. 2000, 15, 647–653. [Google Scholar] [CrossRef]
- Bravo, S.; García-Ordiales, E.; García-Navarro, F.J.; Amorós, J.Á.; Pérez-De-Los-Reyes, C.; Jiménez-Ballesta, R.; Esbrí, J.M.; García-Noguero, E.M.; Higueras, P. Geochemical distribution of major and trace elements in agricultural soils of Castilla-La Mancha (central Spain): Finding criteria for baselines and delimiting regional anomalies. Environ. Sci. Pollut. Res. 2023, 26, 3100–3114. [Google Scholar] [CrossRef]
- Matys Grygar, T.; Faměra, M.; Hošek, M.; Elznicová, J.; Rohovec, J.; Matoušková, Š.; Navrátil, T. Uptake of Cd, Pb, U, and Zn by plants in floodplain pollution hotspots contributes to secondary contamination. Environ. Sci. Poll. Res. 2021, 28, 51183–51198. [Google Scholar] [CrossRef] [PubMed]
- Shotyk, W. Comment on “The biosphere: A homogeniser of Pb-isotope signals” by C. Reimann, B. Flem, A. Arnoldussen, P. Englmaier, T.E. Finne, F. Koller and Ø. Nordgulen. Appl. Geochem. 2008, 23, 2514–2518. [Google Scholar] [CrossRef]
- Density of Materials. SImetric. 2004. Available online: https://www.simetric.co.uk/si_materials.htm (accessed on 10 December 2023).
- Shotyk, W.; Kempter, H.; Krachler, M.; Zaccone, C. Stable (206Pb, 207Pb, 208Pb) and radioactive (210Pb) lead isotopes in 1 year of growth of sphagnum moss from four ombrotrophic bogs in southern Germany: Geochemical significance and environmental implications. Geochim. Cosmochim. Acta 2015, 163, 101–125. [Google Scholar] [CrossRef]
- Veron, A.; Novak, M.; Brizova, E.; Stepanova, M. Environmental imprints of climate changes and anthropogenic activities in the Ore Mountains of Bohemia (Central Europe) since 13 cal. kyr BP. Holocene 2014, 24, 919–931. [Google Scholar] [CrossRef]
- Windroses at Air Pollution Stations, Praha: Czech Hydrometeorological Institute. Available online: https://www.chmi.cz/files/portal/docs/uoco/isko/tab_roc/2021_enh/pollution_wrose/wrose_UKRUA_GB.html (accessed on 18 December 2023).













| Amphibolites | Basaltoids | Metagranitoids | Metapelites | Peat | Fluvial Sediments | Granitoids | Volcanic | All Rocks | FOREGS | ||
|---|---|---|---|---|---|---|---|---|---|---|---|
| Fláje Area | As TOP | 418 | 63 | 104 | 72 | 46 | x | 34 | 54 | 62 | 7 |
| As BOT | 134 | 62 | 92 | 54 | 16 | x | 27 | 47 | 52 | 6 | |
| Cu TOP | 27 | 19 | 20 | 23 | 36 | x | 17 | 13 | 20 | 13 | |
| Cu BOT | 25 | 19 | 16 | 23 | 24 | x | 16 | 10 | 19 | 14 | |
| Pb TOP | 157 | 168 | 173 | 165 | 218 | x | 110 | 155 | 141 | 23 | |
| Pb BOT | 113 | 126 | 117 | 112 | 109 | x | 84 | 119 | 109 | 17 | |
| Zn TOP | 84 | 98 | 72 | 98 | 81 | x | 61 | 53 | 72 | 52 | |
| Zn BOT | 83 | 97 | 65 | 90 | 83 | x | 66 | 47 | 77 | 47 | |
| UCC | |||||||||||
| Kovářská Area | As TOP | 74 | 101 | 43 | 59 | 58 | 57 | x | x | 58 | 4.8 |
| As BOT | 47 | 89 | 19 | 40 | 36 | 28 | x | x | 36 | ||
| Cu TOP | 28 | 28 | 12 | 26 | 29 | 25 | x | x | 25 | 28 | |
| Cu BOT | 30 | 23 | 11 | 23 | 25 | 16 | x | x | 22 | ||
| Pb TOP | 114 | 205 | 94 | 94 | 135 | 100 | x | x | 96 | 17 | |
| Pb BOT | 64 | 155 | 51 | 52 | 47 | 47 | x | x | 52 | ||
| Zn TOP | 174 | 170 | 43 | 130 | 73 | 137 | x | x | 116 | 67 | |
| Zn BOT | 207 | 152 | 49 | 105 | 67 | 93 | x | x | 98 | ||
| Kovářská | Fláje | ||||
|---|---|---|---|---|---|
| LCS | Estimated Diffuse Contamination | LCS | Estimated Diffuse Contamination | ||
| As/Fe | 1.52 | 1.12 | As/Fe | 1.48 | 1.42 |
| Pb/Ti | 1.64 | 16.5 | Pb/Ti | 1.34 | 16.2 |
| Element | Kovářská Area | Fláje Area |
|---|---|---|
| As | 15 | 14 |
| Cu | 1.5 | 0.7 |
| Pb | 35 | 42 |
| Zn | 1.7 | −0.7 |
Disclaimer/Publisher’s Note: The statements, opinions and data contained in all publications are solely those of the individual author(s) and contributor(s) and not of MDPI and/or the editor(s). MDPI and/or the editor(s) disclaim responsibility for any injury to people or property resulting from any ideas, methods, instructions or products referred to in the content. |
© 2024 by the authors. Licensee MDPI, Basel, Switzerland. This article is an open access article distributed under the terms and conditions of the Creative Commons Attribution (CC BY) license (https://creativecommons.org/licenses/by/4.0/).
Share and Cite
Hošek, M.; Pavlíková, P.; Šoltýs, M.; Tůmová, Š.; Matys Grygar, T. Distinguishing Geogenic Load and Anthropogenic Contribution to Soil Contamination in Mineralised Mountain Landscape of Ore Mountains (Czech Republic) Using Cumulative Distribution Functions. Land 2024, 13, 218. https://doi.org/10.3390/land13020218
Hošek M, Pavlíková P, Šoltýs M, Tůmová Š, Matys Grygar T. Distinguishing Geogenic Load and Anthropogenic Contribution to Soil Contamination in Mineralised Mountain Landscape of Ore Mountains (Czech Republic) Using Cumulative Distribution Functions. Land. 2024; 13(2):218. https://doi.org/10.3390/land13020218
Chicago/Turabian StyleHošek, Michal, Petra Pavlíková, Matěj Šoltýs, Štěpánka Tůmová, and Tomáš Matys Grygar. 2024. "Distinguishing Geogenic Load and Anthropogenic Contribution to Soil Contamination in Mineralised Mountain Landscape of Ore Mountains (Czech Republic) Using Cumulative Distribution Functions" Land 13, no. 2: 218. https://doi.org/10.3390/land13020218
APA StyleHošek, M., Pavlíková, P., Šoltýs, M., Tůmová, Š., & Matys Grygar, T. (2024). Distinguishing Geogenic Load and Anthropogenic Contribution to Soil Contamination in Mineralised Mountain Landscape of Ore Mountains (Czech Republic) Using Cumulative Distribution Functions. Land, 13(2), 218. https://doi.org/10.3390/land13020218

