Abstract
Since the beginning of the new century, there has been a notable enhancement in China’s ecological environment quality (EEQ), a development occurring in tandem with climate change and the extensive ecological restoration projects (ERPs) undertaken in the country. However, comprehensive insights into the spatial and temporal characteristics of China’s EEQ, and its responses to both climate change and human activities over the past two decades, have remained largely elusive. In this study, we harnessed a combination of multi-source remote-sensing data and reanalysis data. We employed Theil–Sen median trend analysis, multivariate regression residual analysis, and the Hurst index to examine the impacts and changing patterns of climatic factors and human activities on China’s EEQ during the past two decades. Furthermore, we endeavored to forecast the future trajectory of EEQ. Our findings underscore a significant improvement in EEQ across most regions of China between 2002 and 2019, with the most pronounced enhancements observed in the Loess Plateau, Northeast China, and South China. This transformation can be attributed to the combined influence of climatic factors and human activities, which jointly accounted for alterations in EEQ across 78.25% of China’s geographical expanse. Human activities (HA) contributed 3.93% to these changes, while climatic factors (CC) contributed 17.79%. Additionally, our projections indicate that EEQ is poised to continue improving in 56.70% of China’s territory in the foreseeable future. However, the Loess Plateau, Tarim Basin, and Inner Mongolia Plateau are anticipated to experience a declining trend. Consequently, within the context of global climate change, the judicious management of human activities emerges as a critical imperative for maintaining EEQ in China. This study, bridging existing gaps in the literature, furnishes a scientific foundation for comprehending the evolving dynamics of EEQ in China and informs the optimization of management policies in this domain.
1. Introduction
The ecological environment serves as the fundamental underpinning of human survival and progress. Since the advent of the new century, China’s trajectory towards modernization has continued its forward momentum, accompanied by rapid socio-economic growth and urbanization. These developments have exerted substantial pressure on the ecological environment [1]. To address this challenge, in November 1998, the State Council introduced the China Ecological Environment Construction Plan (CECP). This visionary plan outlines a comprehensive strategy spanning 50 years, aimed at instigating nationwide ERPs. The overarching goal is to enhance China’s ecological environment and facilitate the sustainable development of both societal and natural systems [2]. A recent study has underscored the remarkable outcome of these long-term ERPs, revealing that China has contributed to 25% of global greening efforts [3]. Nevertheless, despite this achievement, a comprehensive knowledge of the ecological and environmental benefits accrued from ERPs over the past two decades remains elusive. Henceforth, it becomes imperative to illuminate the spatial and temporal evolution of ecological environment quality (EEQ) in China during the preceding 18 years. Additionally, it is essential to investigate the respective contributions of human activities and climate change to variations in EEQ. Such insights hold profound practical significance as they inform the development and implementation of future ERPs, bolster ecological conservation initiatives, and advance the realization of sustainable development goals within China.
ERPs are designed to rehabilitate and enhance ecosystems that have suffered damage through the application of artificial interventions and ecological technologies [4]. This endeavor serves several vital objectives, including the promotion of biodiversity, bolstering ecosystem stability, fortifying resilience against natural disasters and anthropogenic disruptions, and upholding ecosystem security [5]. Since 1998, China has been steadfast in its pursuit of significant advancements in land greening through large-scale initiatives. Notably, the nation has embarked on the construction of nine major ERPs. The comprehensive enhancement of afforestation in terms of both quantity and quality has been a concurrent focus. As of 2023, China has successfully accomplished afforestation on a staggering 6800 × 104 ha of land. This concerted investment in ecological restoration has yielded evident environmental benefits [6]. Noteworthy examples include the transformative effects of initiatives like converting farmland back into forests, restoring pastures to grasslands, safeguarding natural forests, and implementing soil and water conservation measures. These efforts have demonstrably improved land quality, elevated vegetation coverage, enhanced water retention, and mitigated the incidence of climatic and geological catastrophes, such as sandstorms and mudslides. Furthermore, ERPs have also conferred a diverse array of ecological functions and services. These include serving as carbon sinks, regulating climate, and managing resources. These multifaceted contributions promote the sustainable development of the ecological environment [7]. According to statistics from the State Forestry Administration, China’s forest coverage increased from 16.55% in 2000 to 23.04% in 2020, and grassland vegetation coverage expanded from 44% in 2000 to 56.1% in 2020. The culmination of these extensive ecological restoration initiatives in China has played an instrumental role in elevating the quality of the country’s ecological environment and has made substantial contributions to ecosystem protection [6].
In the realm of EEQ assessment, China’s Ministry of Environment introduced the Ecological Environment Status Index (EI) in 2006. This comprehensive index comprises various components, including water quality, soil quality, forest coverage, and pollution levels. Nonetheless, the EI encounters challenges associated with data acquisition complexities and a laborious calculation process [8]. The rapid advancement of remote-sensing technology has significantly streamlined the monitoring and investigation of EEQ on a large scale [9,10]. In 2013, Xu et al. proposed the EEQ evaluation index, known as the Remote Sensing Ecological Index (RSEI) [11]. This index offers the distinct advantages of objectivity, simplicity, and accessibility, rendering it a widely adopted tool in EEQ assessment and research. Although some scholars have used the RSEI model to assess the EEQ in China, most of the previous studies have focused on the analysis of specific regions and the assessment of space only for specific situations, and the applicability of the model in China remains to be studied [12]. And the RSEI index lacks integration with the national EI index for accuracy verification. Moreover, it exhibits limitations, such as the incomplete coverage of evaluation criteria and the omission of dominant ecosystem service functions in specific regions when applied to diverse geographic areas [12,13]. Consequently, there is an urgent need to devise a method characterized by temporal and spatial universality to quantitatively assess EEQ across various Chinese regions.
To address these challenges, this study utilizes a combination of multi-source remote-sensing datasets and reanalysis datasets. Considering the complex climatic and geographic environment of China, we added numerous environmental variables to obtain EEQ data based on the original RESI model construction, and constructed the Chinese High-Resolution Ecological Quality Dataset (CHEQ). These data sources serve as the foundation for an in-depth assessment of the spatial and temporal characteristics of EEQ and the associated influencing mechanisms in China during the period spanning 2002 to 2019, employing residual analysis as the primary analytical tool. The specific objectives of our research encompass three key areas: (1) to generate a comprehensive, high-precision, long time-series dataset documenting EEQ in China, spanning the past two decades, and to elucidate the spatial and temporal patterns characterizing China’s EEQ during this period; (2) to investigate the respective contributions of human activities and climate change to fluctuations in China’s EEQ over the past 18 years; and (3) to forecast the anticipated trends and spatial distribution patterns of China’s EEQ in the future.
This study introduces two principal innovations. First, it presents a high-precision, gridded ecological quality assessment model for China, verified using data from over 2000 ground stations. This model has led to the creation of China’s inaugural high-resolution, high-precision long-term ecological quality dataset, offering invaluable scientific data support for scholarly research. Second, our study is the first to investigate the spatial and temporal variations in China’s ecological quality and their underlying drivers, employing traditional methods as a foundation while utilizing the high-precision dataset.
2. Data
Data Sources
The data used in this study include Chinese administrative division data; MOD13A2 Normalized Vegetation Index data (NDVI); MOD17A3 Net Primary Productivity (NPP) of vegetation; data on climatic elements: precipitation (PRE), actual evapotranspiration (AET), potential evapotranspiration (PET), solar radiation (SRAD), atmospheric pressure (VAP), saturated water vapor pressure difference (VPD), wind speed (VS), surface runoff (RO), drought index (DI), soil moisture (SOIL), drought index (PDSI), water deficit (DEF), surface temperature (TEMP), maximum temperature (TMMN), and minimum temperature (TMMX) [14,15,16]. These climate data come from the Terraclimate dataset. A detailed description of the data used in this study is shown in Table 1.
Table 1.
Detailed description of data.
In this study, the relevant data from 2002–2019 were selected and processed as follows: data cropping, scale conversion, standardization of indicators, synthesis of annual data by monthly mean temperature, and setting all data to the same spatial resolution and coordinate system.
3. Methods
Figure 1 shows the workflow of this study, including the distribution map of EEQ in China from 2002–2019, and the contribution analysis of EEQ (natural factors and human activities). The specific steps are as follows: (1) Obtain basic data through multi-source remote-sensing technology, extract, crop, synthesize, resample, standardize, and perform principal component analysis (PCA) and other preprocessing to obtain the specific situation of China’s EEQ from 2002 to 2019, and then obtain the observed overall trend of China’s EEQ; (2) Based on the climate dataset and observed EEQ values, perform multiple linear regression and residual trend analysis to obtain residual and simulated EEQ values; (3) Obtain China’s residual and simulated EEQ trend changes through Theil–Sen median; (4) Based on regression models and climate data calculations, the contribution degree of climatic factors (CC) is obtained, and the difference between the observed EEQ and the predicted EEQ is used to represent the contribution degree of human activities (HA).
Figure 1.
Research method flowchart. The methodological process consists of two parts, i.e., EEQ mapping, as well as EEQ driver analysis.
3.1. Estimation of EEQ
The building of an ecological civilization is inextricably linked to the optimization of habitat quality and the maintenance of biodiversity. Habitat quality indicates the ability of an ecosystem to provide sustained survival for species or groups of species.
In this study, we developed a new EEQ evaluation model based on the RSEI model proposed by Xu et al. [12] and generated high-resolution EEQ data in China. And we assessed the applicability of RSEI and CHEQ. Compared to the RSEI index, we additionally introduced the AI index in the calculation of CHEQ, which is derived from the “Technical Criterion for Ecosystem Status Evaluation”.
This study utilized PCA. PCA is a commonly used data analysis method: PCA can be used to extract the main feature components of the data and is often used for dimensionality reduction of high-dimensional data. This is a commonly used information system data-processing method that can extract the most representative principal components from multiple variables, thereby simplifying the data analysis process and improving the interpretation ability of the data. Based on the results of PCA, the variation patterns and potential factors of the data can be explained for data interpretation and application. where PC1 is the first principal component, PC1min is the minimum value of PC1, PC1max is the maximum value of PC1, NDVI is the Normalized Vegetation Index data, NDBSI is the Normalized Difference Built-Up Index, LST is the land surface temperature, WET is the humidity, and AI is the abundance index. NDVI and LST are MOD13A2 and MOD11A1 products, respectively, and both NDBSI and WET are calculated based on the MOD09A1. For the formulae of NDBSI and WET, please refer to https://www.indexdatabase.de/ (accessed on 2 May 2023). For the calculation process of AI index, please refer to https://www.mee.gov.cn/ (accessed on 2 May 2023).
3.2. Theil–Sen Median Trend Analysis
In this investigation, we primarily employed the Theil–Sen median (TSM) trend analysis method [12], a robust non-parametric statistical approach extensively applied for trend assessment. Particularly well-suited for determining the median trend within datasets, TSM minimizes the impact of outliers while simultaneously offering high computational efficiency. It finds frequent application in trend analyses concerning lengthy time-series data [17,18,19]. The outcomes derived through the TSM technique contribute significantly to delineating the temporal trajectory of EEQ within the time series.
where slope, in this context, signifies the directional course of EEQ across time. Here, CHEQj and CHEQi denote the CHEQ values for years j and i, respectively. When the slope value is less than 0, it signifies a diminishing trend in EEQ over the designated time span. This conveys a state of decline or deterioration in EEQ during this interval. Conversely, a positive slope value greater than 0 indicates an upswing in ecosystem quality throughout the specified period. This suggests an enhancement or elevation in ecosystem quality over the same interval.
3.3. Mann–Kendall Model
The Mann–Kendall test, a rank-based nonparametric examination, is adept at scrutinizing both linear and nonlinear trends within datasets [20,21]. In the context of this study, the Mann–Kendall test served as a tool to ascertain the significance of trends in CHEQ. The resultant statistical values, denoted as S and ZSlope, were calculated utilizing the following formulae:
where CHEQi signifies the CHEQ values corresponding to years j and i within the time series. The symbol “n” designates the length of this series, which, in this case, is 19 years. The test statistic ZSlope is constrained within the range of (−∞, +∞). At a specified significance level α, the alterations within the time series attain significance if |ZSlope| surpasses Z1−α/2. For this study, a significance level of α = 0.05 is selected. Consequently, it is determined that, if ZSlope exceeds 1.96 (Z1−0.05/2), namely, ZSlope > 1.96, a discernible trend in China’s CHEQ within the 2002–2019 timeframe can be confidently deemed significant at the 0.05 confidence level.
3.4. Multiple Regression Residual Analysis
The central objective of this study is to holistically evaluate the collective ramifications of diverse climate shifts on ecosystems, while concurrently dissecting the proportional influence attributed to human interventions. Prior investigations have predominantly centered on modeling the ecological repercussions of climate change employing precipitation and temperature data [22,23,24]. Nonetheless, the real-world impact on ecosystems stems from an amalgamation of factors, encompassing saturated water vapor pressure, soil moisture, actual evapotranspiration, and other climatic elements. To address this complexity, the present study adopts a multiple regression residuals approach for a comprehensive quantitative examination of the mutual contributions posed by climatic factors and human activities towards shifts in ecosystem quality. The ensuing sequence delineates the specific procedural framework:
- A multivariate linear regression model was constructed to establish the interrelation between climate factor indicators and CHEQ, utilizing CHEQ as the dependent variable. This model encompassed diverse factors—TEMP, PRE, AET, PET, DEF, RO, PDSI, VAP, VPD, SRAD, VS, and SOIL—as independent variables. Through this approach, the regression link between climate factor indicators and CHEQ was established.
- By integrating the regression model coefficients with climate data, the anticipated CHEQ value (denoted as CHEQCC: CHEQ influenced solely by climate change) was computed.
- To distinctly delineate the CHEQ impact attributable solely to human activities, the disparity between the observed CHEQ value and the projected CHEQ value was computed as the CHEQ residual (designated as CHEQHA).
The corresponding formula is provided below:
where CHEQCC denotes the forecasted value of CHEQ as determined by the regression model, where xi represents the climate factor, and ai and b stand as parameters within the regression model equation. The disparities between the observed value CHEQobs and the projected value CHEQCC are referred to as CHEQHA residuals.
CHEQHA = CHEQobs − CHEQCC
3.5. Analysis of the Determination of the Drivers of CHEQ Changes
This study endeavors to discern the primary influencers steering alterations in China’s CHEQ. This endeavor encompasses computing the contributions attributed to climatic factors and human activities regarding CHEQ adjustments, as detailed in Table 2 [25]. The precise calculation procedure is elucidated within the confines of Table 2, with the respective terminologies illustrated as follows: “CC” signifies climate factors, “HA” signifies human activities, “Slope(CHEQobs)” represents the observed CHEQ trend, “Slope(CHEQCC)” signifies the trend of CHEQ predictions (reflecting changes under the sway of climate factors), and “Slope(CHEQHA)” signifies the trend of CHEQ residuals (pertaining to changes influenced by human activities) [26,27].
Table 2.
Criteria for determining the drivers of CHEO change and calculation of contribution rate.
3.6. Hurst Index
The anticipation of China’s future CHEQ evolution holds paramount importance for guiding forthcoming ERPs [28]. The Hurst index, widely employed across disciplines such as climatology and ecology, serves as a tool to assess the sustained patterns within extensive time-series data [29,30]. The advantages of the Hurst index lie in its self-similarity and long-term dependence attributes exhibited within measurement index time series. In this study, we adopt the R/S analysis of the Hurst index to evaluate the persistency of China’s CHEQ data across an extensive time span, subsequently employing this information to prognosticate future CHEQ shifts based on the trends observed between 2002 and 2019.
The Hurst index (H) manifests in three primary forms: (1) 0.5 < H < 1, indicating a continuous sequence within the time series. A proximity to 1 signifies enhanced continuity, implying that future changes align with past trends; (2) H = 0.5, denoting a stochastic sequence in CHEQ’s time series, thereby suggesting a lack of long-term correlation; and (3) 0 < H < 0.5, reflecting inverse persistence within the time series. This inversely persistent state implies a future trend contrary to past patterns. Greater proximity to 0 amplifies the strength of this inverse persistence.
4. Results and Analysis
4.1. Accuracy Verification of EEQ
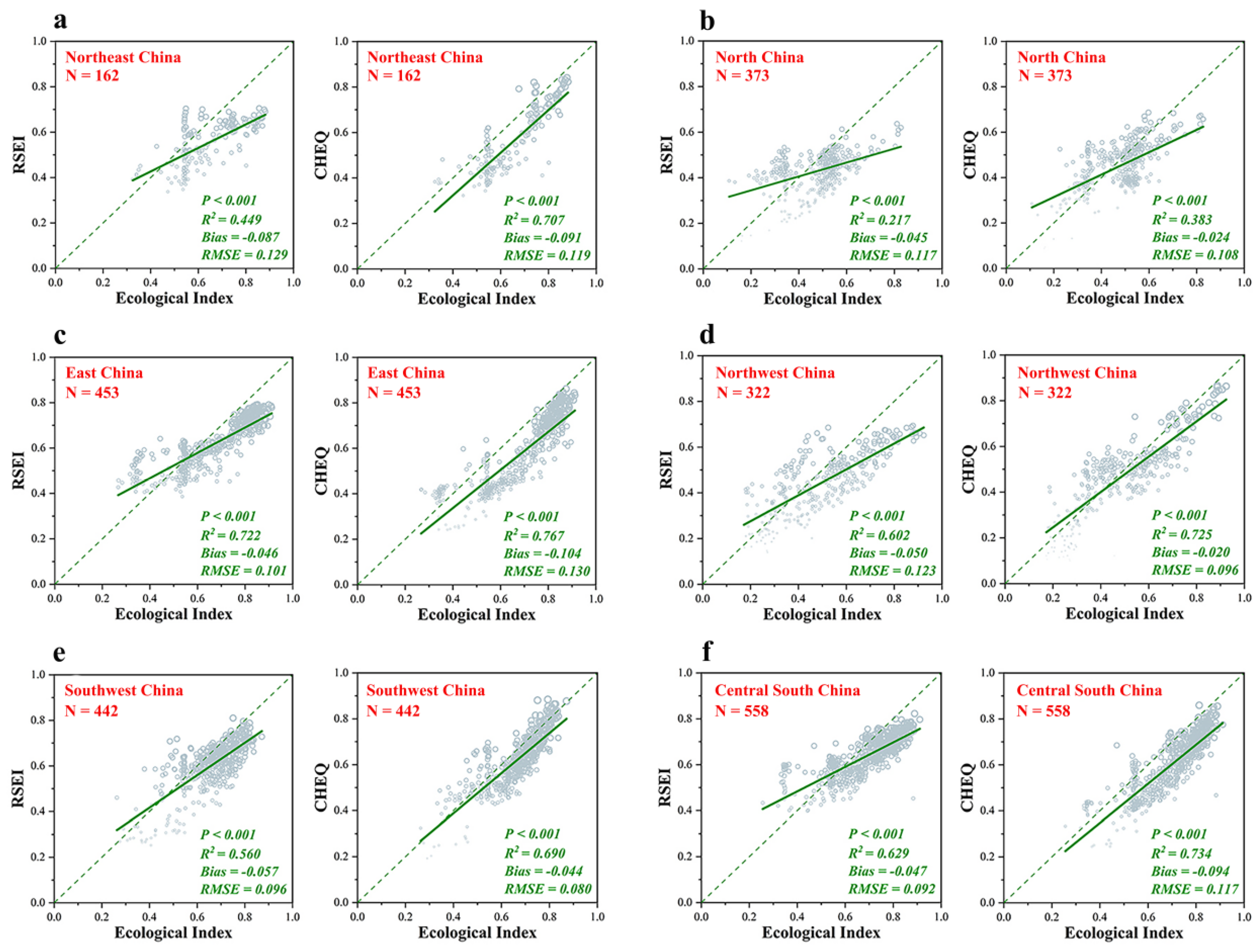
In this investigation, we employ the 2018 county-level eco-index data, as provided by the Ministry of Ecology and Environment of China, to assess the validity and precision of the grid-scale CHEQ data generated within the confines of this research. As illustrated in Figure 2, a comparative analysis of accuracy between the CHEQ and RSEI models is conducted across six distinct regions in China. Upon careful examination of the figure, it becomes evident that the CHEQ model exhibits a notably superior degree of conformity when contrasted with the conventional RSEI model across various regions. It is worth noting, however, that the CHEQ model does exhibit a higher root mean square error (RMSE) compared to RSEI, with the exception of the eastern region, as well as the central and southern regions. In summary, the CEHQ model, as introduced in this study, demonstrates an enhanced level of generalizability when compared to existing approaches.
Figure 2.
Comparison of the accuracy of CHEQ and RSEI models for six regions in China. China partition data from the Resources, Environment, Science and Data Centre. (a): Northeast China; (b): North China; (c): East China; (d): Northwest China; (e): Southwest China; (f): Central South China. (https://www.resdc.cn/Default.aspx (accessed on 2 May 2023)).
Furthermore, we utilized the MCD12Q1 land use data to contrast the longitudinal variations of CHEQ and RSEI across distinct land use and vegetation types. As illustrated in Figure 3, notable disparities emerge in the mean values of RSEI and CHEQ across various land use categories. Specifically, RSEI exhibits higher mean values in bare soil and built-up areas, while CHEQ displays a more consistent and gradual decline in built-up areas. Conversely, in natural areas encompassing both vegetation and water bodies, CHEQ demonstrates higher mean values compared to RSEI. These observations collectively suggest that CHEQ excels in characterizing EEQ across diverse land cover types. Of paramount significance, it is noteworthy that the standard deviation of CHEQ consistently registers lower values than that of RSEI across all land classes. This disparity signifies that CHEQ maintains superior stability and continuity when assessed on a time-series scale. In summation, CHEQ emerges as the more apt choice for applications in large-scale ecological and environmental studies in China when compared to RSEI.
Figure 3.
Characteristics of long time-series variation of CHEQ and RSEI under different land use types and vegetation types. The box plot represents the mean and standard deviation of CHEQ and RSEI over multiple years.
4.2. Characteristics of Spatial and Temporal Changes in the EEQ
In general, the trend in EEQ change across China during the period from 2002 to 2019 remains relatively stable, as depicted in Figure 4. To further elucidate the distribution of these EEQ trends during the same timeframe, Figure 5 offers a comprehensive breakdown. Figure 6 shows the trend of EEQ distribution in China from 2002–2019. Figure 5a illustrates the spatial distribution of observed EEQ trends, Figure 5b portrays the spatial distribution of EEQ trends as derived from climate indicator simulations, and Figure 5c delineates the trends in residual EEQ, representing the impact of human activities exclusively.
Figure 4.
Temporal trends in EEQ in China during 2001–2019.
Figure 5.
Trend distribution of EEQ in China from 2002 to 2019. (a) Spatial change trend map of original CHEQ. (b) Map of spatial trends in CHEQ under the influence of climate change. (c) Map of spatial trends in CHEQ under the influence of human activities.
Figure 6.
Accuracy assessment of simulated CHEQ during 2002–2019. The color mapping in the figure maps values from 0–1.
As illustrated in Figure 5a, a pronounced spatial heterogeneity characterizes the trends in EEQ change across China during the period spanning from 2002 to 2019. Broadly, the majority of regions within China have exhibited improvements in their EEQ over the past 18 years, a trend in line with the findings of Liao [31]. Noteworthy upward EEQ trends are discernible in Northeast China, the northern portions of North China, Central China, the central regions of East China, South China, as well as rapid growth trends in the Loess Plateau, Sichuan, Qinghai, Gansu, and the middle and lower reaches of the Yangtze River. These patterns are closely linked to a series of ERPs and environmental protection strategies carried out in China in recent years [9]. The Loess Plateau stands as a prominent ecological restoration area in China, grappling with severe soil erosion and degradation resulting from decades of excessive cultivation and unsustainable human activities [32]. To ameliorate the local ecological environment, China initiated extensive ERPs, such as converting farmland back into forests and grasslands, and implementing water conservation measures aimed at mitigating soil erosion through vegetation restoration and land preservation. These efforts have notably enhanced the quality of the local ecological environment [33]. In another example, the construction of eco-friendly infrastructures, including wetland restoration, the rehabilitation of natural habitats, and riverbank stabilization, has been implemented in the middle and lower reaches of the Yangtze River in the past decade. These measures have contributed to improved local water quality and ecosystems, providing the necessary conditions for enhancing local EEQ [34]. Meanwhile, over the last 18 years, China has witnessed a significant decline in EEQ in certain regions, including the Yangtze River Delta, Hunan, Jiangxi, the Junggar Basin in Xinjiang, the eastern and western parts of Inner Mongolia, and parts of southern Tibet. The acceleration of industrialization in China, accompanied by expanding urban areas, has resulted in substantial emissions of industrial and urban pollutants, exacerbating ecological and environmental challenges [35]. Furthermore, the Yangtze River Delta, as the central hub of China’s economic development, has adversely affected local vegetation through the extensive use of impermeable surface materials during urbanization and construction processes [36]. Conversely, the central and western regions of China, situated inland and distant from the ocean, grapple with low precipitation levels and densely populated localized areas [37]. Consequently, issues such as water scarcity and pollution are prevalent, contributing to localized ecosystem imbalances.
The spatial distribution of the simulated EEQ trend is illustrated in Figure 5b. Remarkably, the spatial distribution pattern of both observed and simulated EEQ values in China from 2002 to 2019 closely aligns. This alignment implies that climate change and natural factors have predominantly governed the enhancement of EEQ in China over the past 18 years [13]. Conversely, EEQ changes attributable to human activities exhibit a markedly distinct distribution pattern during the period from 2002 to 2019, as depicted in Figure 5c. The regions demonstrating increased EEQ are primarily situated in the Loess Plateau, Northeast China, Central China, and South China. Northeast China has implemented an array of ERPs, including the establishment of the Three-North Protective Forest System, the Natural Forest Resource Protection Project, and initiatives focused on wetland preservation and restoration. Concurrently, they have undertaken an extensive policy of converting farmland into forests and grasslands. These efforts have revitalized vegetation cover, improved local soil quality, effectively mitigated land degradation, and, thereby, elevated local EEQ [22]. In the central and southern regions, collaborative inter-regional efforts have been initiated. This includes the implementation of projects such as the Protection Forest System in the Yangtze River Basin (Phase II and Phase III), the Protection Forest System in the Pearl River Basin, and the Comprehensive Management of Karst Rocky Desertification in Southwest China. These initiatives have effectively safeguarded local flora and natural ecological environments, reducing the impacts of industrial and agricultural discharges on local EEQ [7]. Moreover, the central region, in tandem with economic development, has embarked on soil and water conservation and river management projects to mitigate the adverse effects of land degradation and water scarcity on EEQ [38].
4.3. Contribution of Human Activities and Natural Factors
To assess the scientific robustness and applicability of the residual trend analysis model developed in this investigation, we conducted a validation exercise to gauge the accuracy of the simulated EEQ values. As evident from Figure 6, both R2 and the slope closely approach the value of 1, indicative of the model’s effectiveness in capturing the influence of climatic elements on EEQ [26]. Consequently, the TSS-RESTREND model employed in this research is substantiated, scientifically sound, and universally applicable. This model serves as a valuable tool for scrutinizing the driving forces behind the temporal variations in EEQ across China.
The contributions of climatic factors and human activities to the changes in EEQ in China between 2002 and 2019 are depicted in Figure 7. In this context, “CC” signifies the influence of climatic factors alone, “HA” represents the influence of human activities alone, and “HA&CC” denotes the combined influence of climatic factors and human activities.
Figure 7.
Trend distribution of natural factors and human activities on EEQ changes in China during 2002–2019.
As delineated in Figure 7, approximately 78.25% (750.60 × 104 km2) of the EEQ alterations in China over the past 18 years can be attributed to the joint influence of HA&CC. Among these changes, HA&CC synergistically promoted 29.26% (280.41 × 104 km2) of the area, primarily concentrated in the Yunnan–Guizhou Plateau, Loess Plateau, and the northeastern, central, eastern, and southern regions of China. The Loess Plateau and Yungui Plateau, characterized by intricate topography and diverse climates, have witnessed the implementation of extensive soil and water conservation measures, including terracing, row-break planting, and protective forest construction. These efforts have substantially improved the local ecological environment and, in turn, the quality of EEQ [39]. Similarly, several nature reserves and scenic areas have been established in Northeast, Central, East, and South China to mitigate the disruption of the natural environment by human activities. Furthermore, a series of ecological restoration strategies have been undertaken to safeguard and sustain ecosystem stability [7,40]. Moreover, with the progression of urbanization, these regions have begun to recognize the vital role of the ecological environment in urban development. Consequently, they have introduced ecological protection policies that encompass restricting industrial pollutant emissions, intensifying urban greening and ecological development, promoting the utilization of energy-efficient and low-emission clean energy sources, and deploying intelligent detection equipment and pollution control technologies. These measures have notably contributed to enhancing local EEQ [41]. Conversely, the area jointly influenced by HA&CC and experiencing suppression encompasses 48.99% (470.07 × 104 km2) of the total area, mainly situated in the northern regions of the Inner Mongolia Plateau, Tarim Basin, and Sichuan Basin within China. These areas contend with severe natural climatic conditions, including drought and rising temperatures, which exacerbate grassland degradation. Additionally, water scarcity, over-exploitation, and irrational resource allocation have contributed to environmental challenges in these regions. Human activities have further compounded these issues, with overgrazing leading to excessive land use and grassland degradation, impairing vegetation growth and recovery. Frequent construction projects have disrupted land integrity, further unsettling the local ecological balance [12].
The EEQ change area influenced solely by climatic factors accounts for 17.79% (170.55 × 104 km2) of the total, with these areas generally characterized by lower population densities and, thus, fewer human activities. Among them, 7.26% (69.65 × 104 km2) of the area is predominantly found in the Shanxi, Shaanxi, and Qinghai regions. These areas enjoy ample sunshine, a variety of suitable land types for diverse plant categories, four distinct seasons, and moderate rainfall, all contributing to the water requirements of vegetation [42]. In contrast, the area experiencing inhibition amounts to 10.53% (100.90 × 104 km2) and is primarily distributed along the Tibetan Himalayan border and in the Xinjiang Altay region. These regions grapple with harsh climates, aridity, soil fragility, stoniness, and nutrient deficiencies, rendering plant establishment difficult. Rapid water evaporation compounds these challenges, further hindering local vegetation growth [43].
Finally, EEQ alterations driven solely by human activities encompass 3.96% (38.02× 104 km2) of the total area. Within this subset, 1.73% (16.6 × 104 km2) is facilitated by human activities, while 2.23% (21.42 × 104 km2) is inhibited. On the whole, climatic factors and human activities together have significantly shaped EEQ changes across the majority of China, with climatic factors exerting a more substantial influence on EEQ compared to human activities.
The contributions of climatic factors and human activities to the changes in EEQ across China from 2002 to 2019 are illustrated in Figure 8. Specifically, Figure 8a portrays the spatial distribution map of the influence of climatic factors on EEQ evolution, while Figure 8b delineates the spatial distribution map of the impact of human activities on EEQ evolution. As discernible in the figures, climatic factors emerge as the principal drivers of EEQ alterations across the majority of China. Regions where climatic factors account for nearly 100% of the influence are predominantly concentrated in the northern part of Inner Mongolia, the Loess Plateau, and Tibet. These areas exhibit lower population densities and reduced human activity, yet they benefit from favorable climates and ample precipitation, providing conducive conditions for local plant growth and ecosystem rehabilitation [39,40,41,42,43,44]. In contrast, the impact of human activities on EEQ changes in China is relatively modest, echoing the findings in Figure 8. The regions with more pronounced contributions from human activities to EEQ are primarily situated in central China, the northern Sichuan Basin, and the Junggar Basin. These areas are closely linked to a succession of ERPs initiated across China, including the Natural Forest Resources Protection Project and the construction of the Three-North Protective Forest System [45]. Additionally, these regions have progressively adopted advanced agricultural technologies such as intelligent agricultural machinery and drip irrigation, further supporting ecological development [46]. Overall, EEQ changes in China over the past 18 years have been jointly shaped by climatic factors and human activities. Climatic factors have accounted for approximately 79.19% of the contribution, whereas human activities have contributed approximately 20.81%. Notably, the influence of climatic factors has outweighed that of human activities in driving EEQ changes.
Figure 8.
Spatial distribution of the contribution of natural factors and human activities to the trend of EEQ change in China during 2002–2019.
5. Discussion
5.1. Ecological and Environmental Benefits of ERPs
Since 1998, China has undertaken numerous ERPs (Table A1). Among them, there are nine ecological restoration projects (ERPs) with the highest investment and the most outstanding ecological benefits (Figure 9). These initiatives encompass a range of comprehensive undertakings: the Beijing–Tianjin Sand Source Comprehensive Control Project (BTSSCP), the Three-North Protective Forest Construction Project (TNSDP), the Sanjiangyuan Ecological Protection and Construction Project (SEPCP), the Natural Forest Resource Protection Project (NFRPP), the Returning Ploughland to Forestry Project (RPFP), the Returning Pasture to Grassland Project (RPGP), the Southwestern Karst Desertification Comprehensive Treatment Project (SKRDCTP), the Yangtze River Basin Protection Forest System (YRBPFSCP), the Pearl River Basin Protection Forest System, and several other major projects (PRBPFSCP) [17]. Across the nation’s expanse, these ecological restoration endeavors span all 31 provinces, collectively covering an extensive land area of approximately 924.8 × 104 km2 [2].
Figure 9.
Spatial distribution of 9 ERPs in China. (A): the Beijing–Tianjin Sand Source Comprehensive Control Project (BTSSCP), (B): the Three-North Protective Forest Construction Project (TNSDP), (C): the Sanjiangyuan Ecological Protection and Construction Project (SEPCP), (D): the Natural Forest Resource Protection Project (NFRPP), (E): the Returning Ploughland to Forestry Project (RPFP), the Returning Pasture to Grassland Project (RPGP), (F): the Southwestern Karst Desertification Comprehensive Treatment Project (SKRDCTP), (G): the Yangtze River Basin Protection Forest System (YRBPFSCP), (H): the Pearl River Basin Protection Forest System, (I): several other major projects (PRBPFSCP).
Figure 10 provides a comprehensive view of the spatio-temporal dynamics of EEQ within various ecological restoration project areas across China over the past 18 years. The dotted line denotes the average EEQ value for all ERP areas in China. Overall, there has been a discernible upward trend in China’s EEQ during the 2002–2019 period. Notably, significant EEQ improvements are observed in regions associated with SKRDCTP, SEPCP, and PRBPFSCP. These areas are predominantly located in Hubei, Jiangxi, Guangxi, Guangdong, and Qinghai within China. They boast high vegetation coverage, particularly Qinghai, which has implemented a suite of ecological protection and restoration measures in recent years. These measures encompass initiatives like returning farmland to forests and grasslands, ecological compensation policies, soil and water conservation projects, and the encouragement of land restoration and resource rationalization. As a result, Qinghai’s comprehensive vegetation cover in grasslands has reached 57.9%, encompassing 57.67% of Qinghai Province’s area and 14.92% of China’s grassland area, directly attributable to China’s ecological restoration endeavors [47]. Furthermore, local EEQ in Guangxi and Guangdong, bolstered by PRBPFSCP and the SKRDCTP, has also seen remarkable enhancement. These regions are dedicated to restoring the water-sourcing function of the karst areas, ensuring a stable water supply, and providing water security for local plant growth. Additionally, they have implemented afforestation and grassland restoration initiatives, augmenting plant species diversity and population numbers, enhancing vegetation coverage, and fostering a conducive growth environment for indigenous plants [48,49]. Conversely, the progress of TNSDP and RPGP has been relatively sluggish. These areas grapple with complex climatic and ecological dynamics, with multiple ecological elements interplaying. Moreover, their climates are characterized by aridity and low temperatures, imposing constraints on vegetation growth due to factors like temperature and precipitation. The region’s infertile soil further hampers plant growth, resulting in slow progress in ecological recovery. Consequently, substantial improvements in the local ecological environment in these areas may require an extended time frame and ongoing maintenance efforts to yield noticeable effects [50].
Figure 10.
Spatio-temporal dynamics of EEQ in China during 2002–2019 (Numbers 1–9 denote 9 ERPs, of which 1. BTSSCP, 2. TNSDP, 3. SEPCP, 4. NFRPP, 5. RPFP, 6. RPGP, 7. SKRDCTP, 8. YRBPFSCP, 9. PRBPFSCP). The white dotted line represents the trend of the average annual EEQ of the nine ecological restoration projects in the last 20 years, and the corresponding values can be found on the upper axis.
5.2. Trends in EEQ for ERPs
Figure 11 provides insights into the extent of contribution from ERPs and the trends in EEQ changes across various districts and counties in China spanning from 2002 to 2019. Figure 11a delineates the number of ERPs implemented and the corresponding recovery of EEQ in each district and county across China. The horizontal axis represents the count of overlapping ERPs in China, while the vertical axis employs a five-tier grading system to facilitate the visualization of EEQ recovery in these regions throughout the study period. Examining the figure reveals a positive correlation between the number of ecological restoration project overlaps and EEQ recovery. Areas that experienced six instances of ERP coverage are predominantly situated within China’s Yunnan–Guizhou Plateau, while regions with five ERP overlaps are primarily located in the central provinces of China, including Sichuan, Chongqing, Hubei, Henan, and others. Notably, these regions exhibit more pronounced EEQ improvements, consistent with the findings depicted in Figure 7. China’s Yunnan–Guizhou region is characterized by its high-altitude plateau terrain. In recent years, the local government has actively pursued industrial restructuring efforts to curtail the overexploitation of natural resources and mitigate pollution. Moreover, they have initiated large-scale ERP implementations and established an ecological compensation mechanism. These measures have contributed significantly to the notable EEQ recovery in the region. On the other hand, the central region of China, located inland and marked by relatively scarce water resources, has intensified water resource management. This involves the robust construction of water conservancy projects and improved utilization of water resources, effectively safeguarding the local ecological equilibrium and promoting EEQ enhancements [25].
Figure 11.
Degree of contribution of ERPs in China and the trend of EEQ by district and county, 2002–2019. (a): delineates the number of ERPs implemented and the corresponding recovery of EEQ in each district and county across China; (b): illustrates the relationship between the frequency of ERP coverage in specific districts and counties and their corresponding EEQ; (c): illustrates the temporal trends in the geographical coverage of nine major ERPs in China spanning from 2002 to 2019, along with the EEQ; ((c): Numbers 1–9 denote 9 ERPs, of which 1. BTSSCP, 2. TNSDP, 3. SEPCP, 4. NFRPP, 5. RPFP, 6. RPGP, 7. SKRDCTP, 8. YRBPFSCP, 9. PRBPFSCP).
Figure 11b illustrates the relationship between the frequency of ERP coverage in specific districts and counties and their corresponding EEQ. The Y-axis represents the number of districts covered by ERPs and the X-axis represents the number of times covered by ERPs. The blue bars represent districts and counties with EEQ greater than 0, while the red bars represent those with EEQ less than 0. The number of districts and counties with an ERP coverage of 0 is the lowest (115 districts and counties with EEQ greater than 0 and 113 districts and counties with EEQ less than 0), while the number of districts and counties with a coverage of 2 and 5 is the highest (299 and 306 districts and counties with EEQ greater than 0 and 256 and 219 districts and counties with EEQ less than 0). These regions are primarily situated in the central and eastern parts of China. The yellow dashed line illustrates the proportion of China’s EEQ recovery trend exceeding 0, while the blue dashed line represents the average EEQ value associated with China’s ERPs. It is evident that, as the number of ecological restoration project coverages increases, both the overall trend of EEQ recovery and the average value exhibit an upward trajectory. Consequently, it can be deduced that China’s EEQ progressively improves with the ongoing advancement of ERPs.
Figure 11c illustrates the temporal trends in the geographical coverage of nine major ERPs in China spanning from 2002 to 2019, along with the EEQ. Notably, the reforestation initiative on retired farmland boasts the broadest presence, encompassing a noteworthy 1205 districts and counties with an EEQ greater than 0, while 1063 districts and counties exhibit an EEQ lower than 0. In contrast, SEPCP exhibits the most restricted geographical span, with a mere 2 districts and 19 counties displaying an EEQ greater and lower than 0, respectively. The yellow dashed line delineates the percentage of China experiencing an EEQ recovery trend surpassing 0, with the highest proportion evident in PRBPFSCP and the lowest proportion observed in SEPCP and Construction Project. Concurrently, the blue folded line traces the average EEQ value across ERPs in China. It is evident that PRBPFSCP demonstrates a more pronounced increase, while the SEPCP exhibits a comparatively slower rate of enhancement. Located primarily in the coastal regions of Guangdong and Guangxi provinces in southern China, PRBPFSCP benefits from favorable climatic conditions, essential for local vegetation restoration. Additionally, the relevant authorities have promulgated a series of favorable policies and regulations to facilitate a comprehensive assessment of the local climate and natural conditions. This has enabled the determination of optimal vegetation planting types, modes, and densities through the utilization of modern scientific and technological tools for the real-time monitoring and analysis of protection forest distribution and growth status. Timely measures are then implemented to contribute to the restoration of local EEQ [7,9]. Conversely, SEPCP is predominantly situated in China’s Qinghai region, characterized by a complex ecosystem encompassing climate, soil, vegetation, and wildlife dimensions. Frequent natural disasters and climate fluctuations in the region further impede the recovery of local EEQ [42]. In summary, the development of ERPs in China necessitates a scientifically grounded approach based on the specific geographical attributes of each locality. This approach should involve the formulation of rational policies, the prioritization of long-term sustainability, and a commitment to achieving substantial outcomes.
5.3. China’s Future EEQ Forecast
The prediction of China’s future ecological effectiveness quotient (EEQ) development holds paramount significance for pertinent governmental agencies tasked with formulating environmental protection policies and sustainable development strategies. Such forecasts are instrumental in steering the trajectory of future development while facilitating a scientifically rigorous evaluation of ecological and environmental impacts. In this investigation, we employ the Hurst index rescaled polarity method (R/S) to project forthcoming EEQ changes in China, building upon the observed trends from 2002 to 2019 [29,30]. As illustrated in Figure 12, the projected area earmarked for EEQ improvement amounts to 544.00 × 104 square kilometers, constituting 56.70% of China’s total land area. This implies that over half of China’s territory is anticipated to witness enhanced EEQ in the future. Concurrently, the region projected to experience EEQ deterioration encompasses approximately 409.45 × 104 square kilometers, representing 42.72% of China’s landmass. The most substantial change, spanning 311.18 × 104 square kilometers and comprising 32.43% of China’s total land area, is primarily situated in the Loess Plateau, Tarim Basin, Inner Mongolia Plateau, and Tibet. These regions are poised to gradually restore their ecological quality due to the progression of ERPs. Conversely, regions expected to transition from high to low EEQ cover an area of roughly 132.81 × 104 square kilometers, making up 13.88% of China’s total land area. These areas are primarily concentrated in the central and eastern parts of China and may impede future EEQ development owing to the rapid pace of urbanization.
Figure 12.
Spatial distribution of future EEQ in China.
Based on the aforementioned analysis, this paper presents the following recommendations: (1) Regions experiencing a decline in EEQ within China should consider adjusting their development strategies. Emphasis should be placed on achieving sustainable development by establishing a robust environmental monitoring system that enables real-time assessment of environmental quality. Concurrently, fostering collaboration among regions to collectively address challenges and facilitate resource sharing and environmental protection synergies is essential. (2) The ecological restoration strategy has played a pivotal role in enhancing China’s EEQ since its inception. China should continue to implement this strategy and institute an ecological compensation mechanism to facilitate the necessary conditions for ecological restoration efforts. (3) The establishment of an ecological red line is imperative in order to rigorously regulate the exploitation and overgrazing of China’s Inner Mongolian Plateau, Loess Plateau, and Tibetan Plateau. In regions characterized by delicate climatic and natural environments, tailored recovery strategies must be developed to ameliorate the local ecological landscape.
5.4. Contribution of the Study
RSEI was first proposed by Xu et al. in 2013 [11], who aimed to remedy the cumbersome calculation process of the EI index (proposed by the Ministry of Ecology and Environment of China) by creating a simple index that can be equivalently substituted with the EI index. Since its introduction, the RSEI has been widely used in China and other parts of the world to monitor the quality of ecosystems. However, we have not yet seen any article exploring the applicability of the RSEI index in China. For this reason, with the help of the Ministry of Ecology and Environment of China, we conducted the first evaluation study on the applicability of the RSEI index in China and found that the RSEI index is not suitable for regions with poor ecological environments, which is mainly due to the lack of indicators that can characterize regional ecosystem services in the evaluation system of the RSEI index. Therefore, we combined the RSEI and EI indices and introduced the land-use abundance index to create the CHEQ, a universal ecological quality index for China, which compensates for the low applicability of the RSEI index and the cumbersome calculation of the EI. In addition, we analyzed the drivers of spatial and temporal changes in EEQ in China in the last two decades from the perspectives of both climate change and human activities. Combined with the analyses in Section 5.1, Section 5.2 and Section 5.3, our study not only provides reference value for the implementation of future ecological restoration projects in China, but is also expected to provide certain valuable suggestions for scholars to carry out research on the mechanism of the impact of ecological restoration projects on EEQ.
6. Recommendation and Conclusions
6.1. Recommendation
Concerning the prospective development of China’s EEQ, it is noteworthy that the projected EEQ improvement encompasses 56.70% of China’s total land area. However, there remain regions exhibiting a declining trend in EEQ. These areas are primarily situated within the Loess Plateau, Tarim Basin, Inner Mongolia Plateau, and Tibet region of China, characterized by fragile ecosystems influenced by intricate climatic factors and geographic conditions. Consequently, pertinent authorities should establish more scientifically informed and rational ecological planning approaches. This should be coupled with a steadfast commitment to advance ERPs, emphasizing large-scale land conversion from farming to afforestation and grassland rejuvenation, averting soil degradation, and striking a harmonious balance between economic development and ecological preservation [25,39]. Furthermore, as urbanization continues to advance in China, regions of high economic development such as the Yangtze River Delta and the Pearl River Delta may encounter future declines in EEQ. These areas are especially vulnerable to EEQ degradation due to high population density and the gradual expansion of urban areas. To ameliorate the quality of the local ecological environment in these urban settings, the incorporation of resilient green spaces, including parks, gardens, and green infrastructure, is recommended in order to increase urban green space coverage, elevate the city’s greening ratio, and mitigate the urban heat island effect.
6.2. Conclusions
This study focuses on unveiling the spatial and temporal characteristics of EEQ in China, exploring its response to both climate change and human activities spanning from 2002 to 2019. Our findings reveal a substantial improvement in EEQ across most regions of China over the past 18 years, with a particularly pronounced recovery observed in the northeastern, Loess Plateau, and southern regions. This improvement can be attributed to the successive launch of ERPs, including TNSDP, NFRPP, and wetland protection and restoration initiatives. Together, climatic factors and human activities account for 78.82% of the EEQ variation in China, significantly contributing to its overall enhancement. Notably, climatic factors exert a greater influence, representing approximately 79.19% of the total impact, while human activities contribute to the remaining 20.81%.
The outcomes of this research offer valuable insights into the dynamics of China’s ecological quality and the factors influencing it. Our quantitative analysis, assessing the respective contributions of ecological restoration efforts and climate change, furnishes policymakers and stakeholders with actionable recommendations. The knowledge derived from this study can effectively guide efforts to promote ecological well-being and sustainable development in China, as the nation navigates the delicate balance between economic expansion and ecological preservation.
Author Contributions
Conceptualization, J.L., D.X. and X.P.; methodology, J.L. and X.P.; resources, J.L. and R.T.; data curation, J.G., X.P., T.B. and J.L.; writing—original draft preparation, J.L., Z.Z. and X.P.; writing—review and editing, X.P. and J.L.; visualization, X.P., D.X, Z.Z., J.G., T.B. and J.L.; supervision, Z.Z., J.L., R.T. and X.P.; funding acquisition, J.G. All authors have read and agreed to the published version of the manuscript.
Funding
This research was funded by the Innovation Research Team Project of Natural Science Foundation of Hainan Province (Grant No. 422CXTD515) and the Key Research and Development Plan of Hainan Province (No: ZDYF2022SHFZ062).
Institutional Review Board Statement
Not applicable.
Informed Consent Statement
Not applicable.
Data Availability Statement
The original contributions presented in the study are included in the article, further inquiries can be directed to the corresponding author.
Conflicts of Interest
The authors declare no conflict of interest.
Abbreviations
| EEQ | Ecological environment quality |
| ERPs | Ecological restoration projects |
| HA | Human activities |
| CC | Climatic factors |
| CHEQ | Chinese High-Resolution Ecological Quality Dataset |
| EI | Ecological Environment Status Index |
| RSEI | Remote Sensing Ecological Index |
| NDVI | Normalized Vegetation Index data |
| NPP | Net primary productivity |
| PRE | Precipitation |
| AET | Actual evapotranspiration |
| PET | Potential evapotranspiration |
| SRAD | Solar radiation |
| VAP | Atmospheric pressure |
| VPD | Saturated water vapor pressure difference |
| VS | Wind speed |
| RO | Surface runoff |
| DI | Drought index |
| SOIL | Soil moisture |
| PDSI | Drought index |
| DEF | Water deficit |
| TEMP | Surface temperature |
| TMMN | Maximum temperature |
| TMMX | Minimum temperature |
| PCA | Principal component analysis |
| TSM | Theil–Sen median |
| TEMP | Temperature |
| NDBSI | Normalized Difference Built-Up Index |
| LST | Land surface temperature |
| WET | Humidity |
| AI | Abundance index |
| H | Hurst index |
| Root Mean Square Error | RMSE |
| BTSSCP | The Beijing–Tianjin Sand Source Comprehensive Control Project |
| TNSDP | The Three-North Protective Forest Construction Project |
| SEPCP | The Sanjiangyuan Ecological Protection and Construction Project |
| NFRPP | The Natural Forest Resource Protection Project |
| RPFP | The Returning Ploughland to Forestry Project |
| RPGP | The Returning Pasture to Grassland Project |
| SKRDCTP | The Southwestern Karst Desertification Comprehensive Treatment Project |
| YRBPFSCP | The Yangtze River Basin Protection Forest System |
| PRBPFSCP | The Pearl River Basin Protection Forest System, and several other major projects |
Appendix A
Table A1.
Ecological restoration projects in China in the past two decades.
Table A1.
Ecological restoration projects in China in the past two decades.
| Restore Object | ERPs | Period | Pilot Area | Investment (Billion CNY) |
|---|---|---|---|---|
| Forest | Natural Forest Protection project | 1998–2010 | Yunnan, Sichuan, Chongqing, Guizhou, Hunan, Hubei, Jiangxi, Shanxi, Shannxi, Gansu, Qinghai, Ningxia, Xinjiang, Inner Mongolia, Jilin, Heilongjiang, Hainan, Henan | 962.02 |
| Reclaimed Farmland to Forest project | 1999–2021 | Gansu, Inner Mongolia, Guizhou, Shanxi, Shannxi, Hunan, Hubei, Sichuan, Chongqing, Yunnan | 4311.30 | |
| Three-North Shelter Forest Program | 2001–2010 | Xinjiang, Qinghai, Gansu, Ningxia, Inner Mongolia, Shannxi, Shanxi, Hebei, Liaoning, Jilin, Heilongjiang, Beijing, Tianjin | 354.12 | |
| Shelter Forest System in the Yangtze River Basin | 2001–2010 | Jiangxi, Hubei, Hunan, Sichuan, Guizhou, Yunnan, Shannxi, Gansu, Qinghai | 205.61 | |
| Beijing–Tianjin Sandstorm Source Control Project | 2001–2010 | Beijing, Tianjin, Hebei, Shanxi, Inner Mongolia | 558.65 | |
| Coastal Shelter Forest System Project | 2001–2010 | Liaoning, Heibei, Zhejiang, Fujian, Guangdong, Hainan, Guangxi | 39.09 | |
| Taihang Mountain Greening Project | 2001–2010 | Shanxi, Hebei, Henan, Beijing | 35.97 | |
| Plain Greening Project | 2001–2010 | More than 900 plains in China | 12.47 | |
| Coastal Shelter Forest Project | 2006–2015 | Liaoning, Heibei, Zhejiang, Fujian, Guangdong, Hainan, Guangxi | 99.84 | |
| Wetland | National Wetland Protection Project | 2005–2010 | 473 wetlands in China | 90.04 |
| Reclaimed Farmland to Lake | 1998–2005 | Cover the whole country | — | |
| Grassland | Reclaimed Pasture to Grass | 2003–2007 | Xinjiang, Xizang, Inner Mongolia, Qianghai, Gansu, Ningxia | 143.00 |
| Important ecological functions | Ecological Protection and Construction of Sanjiangyuan Nature Reserve | 2005–2010 | Qinghai | 75.00 |
| National Nature Reserve | 1999–2010 | Cover the whole country | 4.80 |
References
- Yang, W.; Zhao, J. Study on China’s economic development from the perspective of strong sustainability. Singap. Econ. Rev. 2020, 65, 161–192. [Google Scholar] [CrossRef]
- Shao, Q.; Liu, S.; Ning, J.; Liu, G.; Yang, F.; Zhang, X.; Niu, L.; Huang, H.; Fan, J.; Liu, J. Remote sensing assessment of ecological benefits of major ecological projects in China from 2000 to 2019. J. Geogr. 2022, 77, 2133–2153. [Google Scholar]
- Chen, C.; Park, T.; Wang, X.H.; Piao, S.L.; Xu, B.D.; Chaturvedi, R.K.; Fuchs, R.; Brovkin, V.; Ciais, P.; Fensholt, R.; et al. China and India lead in greening of the world through land-use management. Nat. Sustain. 2019, 2, 122–129. [Google Scholar] [CrossRef] [PubMed]
- Fu, B.; Liu, Y.; Meadows, M.E. Ecological restoration for sustainable development in China. Natl. Sci. Rev. 2023, 10, nwad033. [Google Scholar] [CrossRef] [PubMed]
- Lu, F.; Hu, H.; Sun, W.; Zhu, J.; Liu, G.; Zhou, W.; Zhang, Q.; Shi, P.; Liu, X.; Wu, X.; et al. Effects of national ERPs on carbon sequestration in China from 2001 to 2010. Proc. Natl. Acad. Sci. USA 2018, 115, 4039–4044. [Google Scholar] [CrossRef] [PubMed]
- China National Forestry and Grass Administration. Available online: http://www.forestry.gov.cn (accessed on 2 May 2023).
- Liu, T.; Yu, L.; Chen, X.; Wu, H.; Lin, H.; Li, C.; Hou, J. Environmental laws and ERPs enhancing ecosystem services in China: A meta-analysis. J. Environ. Manag. 2023, 327, 116810. [Google Scholar] [CrossRef]
- Shan, W.; Jin, X.; Ren, J.; Wang, Y.; Xu, Z.; Fan, Y.; Gu, Z.; Hong, C.; Lin, J.; Zhou, Y. EEQ assessment based on remote sensing data for land consolidation. J. Clean. Prod. 2019, 239, 118126. [Google Scholar] [CrossRef]
- Bai, T.; Cheng, J.; Zheng, Z.; Zhang, Q.; Li, Z.; Xu, D. Drivers of eco-environmental quality in China from 2000 to 2017. J. Clean. Prod. 2023, 396, 136408. [Google Scholar] [CrossRef]
- Wang, Z.; Bai, T.; Xu, D.; Kang, J.; Shi, J.; Fang, H.; Wang, D. Temporal and Spatial Changes in Vegetation Ecological Quality and Driving Mechanism in Kökyar Project Area from 2000 to 2021. Sustainability 2022, 14, 7668. [Google Scholar] [CrossRef]
- Hanqiu, X. Creation of urban remote sensing ecological index and its application. J. Ecol. 2013, 33, 7853–7862. [Google Scholar]
- Xu, D.; Yang, F.; Yu, L.; Zhou, Y.; Li, H.; Ma, J.; Huang, J.; Wei, J.; Xu, Y.; Zhang, C.; et al. Quantization of the coupling mechanism between eco-environmental quality and urbanization from multisource remote sensing data. J. Clean. Prod. 2021, 321, 128948. [Google Scholar] [CrossRef]
- Cai, Y.; Zhang, F.; Duan, P.; Jim, C.Y.; Chan, N.W.; Shi, J.; Liu, C.; Wang, J.; Bahtebay, J.; Ma, X. Vegetation cover changes in China induced by ecological restoration-protection projects and land-use changes from 2000 to 2020. Catena 2022, 217, 106530. [Google Scholar] [CrossRef]
- National Earth System Science Data Center. National Science & Technology Infrastructure of China. Available online: http://www.geodata.cn (accessed on 2 May 2023).
- Didan, K. MOD13A2 MODIS/Terra Vegetation Indices 16-Day L3 Global 1 km SIN Grid vo06; NASA EOSDIS Land Processes DAAC: Sioux Falls, SD, USA, 2015. [CrossRef]
- Running, S.; Mu, Q.; Zhao, M. MOD17A3H MODIS/Terra Net Primary Production Yearly L4 Global 500 m SIN Grid vo06; NASA EOSDIS Land Processes DAAC: Sioux Falls, SD, USA, 2015. [CrossRef]
- Yin, R.; Rothstein, D.; Qi, J.; Liu, S. Methodology for an Integrative Assessment of China’s Ecological Restoration Programs; Springer: Dordrecht, The Netherlands, 2009. [Google Scholar]
- Sen, P.K. Estimates of the regression coefficient based on Kendall’s tau. J. Am. Stat. Assoc. 1968, 63, 1379–1389. [Google Scholar] [CrossRef]
- Theil, H. A rank-invariant method of linear and polynomial regression analysis. Indag. Math. 1950, 12, 173. [Google Scholar]
- Mann, H.B. Nonparametric tests against trend. J. Econom. Soc. 1945, 245–259. [Google Scholar] [CrossRef]
- Kendall, M.G. Rank Correlation Methods; American Psychological Association: Washington, DC, USA, 1948; Available online: https://psycnet.apa.org/record/1948-15040-000 (accessed on 2 May 2023).
- Zhou, Y.; Fu, D.; Lu, C.; Xu, X.; Tang, Q. Positive effects of ecological restoration policies on the vegetation dynamics in a typical ecologically vulnerable area of China. Ecol. Eng. 2021, 159, 106087. [Google Scholar] [CrossRef]
- Du, H.; Liu, X.; Jia, X.; Li, S.; Fan, Y. Assessment of the effects of ERPs on soil wind erosion in northern China in the past two decades. Catena 2022, 215, 106360. [Google Scholar] [CrossRef]
- Li, Z.; Ning, K.; Chen, J.; Liu, C.; Wang, D.; Nie, X.; Hu, X.; Wang, L.; Wang, T. Soil and water conservation effects driven by the implementation of ERPs: Evidence from the red soil hilly region of China in the last three decades. J. Clean. Prod. 2020, 260, 121109. [Google Scholar] [CrossRef]
- Sun, W.; Song, X.; Mu, X.; Gao, P.; Wang, F.; Zhao, G. Spatiotemporal vegetation cover variations associated with climate change and ecological restoration in the Loess Plateau. Agric. For. Meteorol. 2015, 209, 87–99. [Google Scholar] [CrossRef]
- Burrell, A.L.; Evans, J.P.; Liu, Y. Detecting dryland degradation using time series segmentation and residual trend analysis (TSS-RESTREND). Remote Sens. Environ. 2017, 197, 43–57. [Google Scholar] [CrossRef]
- Gao, A.; Yang, S.L.; Li, G.; Li, P.; Chen, S.L. Long-term morphological evolution of a tidal island as affected by natural factors and human activities, the Yangtze estuary. J. Coast. Res. 2010, 26, 123–131. [Google Scholar] [CrossRef]
- Campbell, B.M.; Hansen, J.; Rioux, J.; Stirling, C.M.; Twomlow, S. Urgent action to combat climate change and its impacts (SDG 13): Transforming agriculture and food systems. Curr. Opin. Environ. Sustain. 2018, 34, 13–20. [Google Scholar] [CrossRef]
- Davies, R.B.; Harte, D.S. Tests for Hurst effect. Biometrika 1987, 74, 95–101. [Google Scholar] [CrossRef]
- Ndayisaba, F.; Guo, H.; Bao, A.; Guo, H.; Karamage, F.; Kayiranga, A. Understanding the spatial temporal vegetation dynamics in Rwanda. Remote Sens. 2016, 8, 129. [Google Scholar] [CrossRef]
- Liao, W.; Jiang, W. Evaluation of the spatiotemporal variations in the eco-environmental quality in China based on the remote sensing ecological index. Remote Sens. 2020, 12, 2462. [Google Scholar] [CrossRef]
- Li, S.; Liang, W.; Fu, B.; Lü, Y.; Fu, S.; Wang, S.; Su, H. Vegetation changes in recent large-scale ERPs and subsequent impact on water resources in China’s Loess Plateau. Sci. Total Environ. 2016, 569, 1032–1039. [Google Scholar] [CrossRef]
- Zhao, J.; Yang, Y.; Zhao, Q.; Zhao, Z. Effects of ERPs on changes in land cover: A case study on the Loess Plateau in China. Sci. Rep. 2017, 7, 44496. [Google Scholar] [CrossRef]
- Qu, S.; Wang, L.; Lin, A.; Zhu, H.; Yuan, M. What drives the vegetation restoration in Yangtze River basin, China: Climate change or anthropogenic factors? Ecol. Indic. 2018, 90, 438–450. [Google Scholar] [CrossRef]
- Wu, M.; Liu, Y.; Xu, Z.; Yan, G.; Ma, M.; Zhou, S.; Qian, Y. Spatio-temporal dynamics of China’s ecological civilization progress after implementing national conservation strategy. J. Clean. Prod. 2021, 285, 124886. [Google Scholar] [CrossRef]
- Zhang, J.; Gangopadhyay, P. Dynamics of environmental quality and economic development: The regional experience from Yangtze River Delta of China. Appl. Econ. 2015, 47, 3113–3123. [Google Scholar] [CrossRef]
- Su, X.; Zhou, Y.; Li, Q. Designing ecological security patterns based on the framework of ecological quality and ecological sensitivity: A case study of Jianghan Plain, China. Int. J. Environ. Res. Public Health 2021, 18, 8383. [Google Scholar] [CrossRef]
- Yin, R.; Yin, G. China’s primary programs of terrestrial ecosystem restoration: Initiation, implementation, and challenges. Environ. Manag. 2010, 45, 429–441. [Google Scholar] [CrossRef]
- Lü, Y.; Fu, B.; Feng, X.; Zeng, Y.; Liu, Y.; Chang, R.; Sun, G.; Wu, B. A policy-driven large scale ecological restoration: Quantifying ecosystem services changes in the Loess Plateau of China. PLoS ONE 2012, 7, e31782. [Google Scholar] [CrossRef] [PubMed]
- Wang, L.J.; Ma, S.; Zhao, Y.G.; Zhang, J.C. ERPs did not increase the value of all ecosystem services in Northeast China. For. Ecol. Manag. 2021, 495, 119340. [Google Scholar] [CrossRef]
- Zhang, J.; Mengting, L.; Hui, Y.; Xiyun, C.; Chong, F. Critical thresholds in ecological restoration to achieve optimal ecosystem services: An analysis based on forest ecosystem restoration projects in China. Land Use Policy 2018, 76, 675–678. [Google Scholar] [CrossRef]
- Zhang, S.; Zhao, K.; Ji, S.; Guo, Y.; Wu, F.; Liu, J.; Xie, F. Evolution characteristics, eco-environmental response and influencing factors of production-living-ecological space in the Qinghai–Tibet Plateau. Land 2022, 11, 1020. [Google Scholar] [CrossRef]
- He, L.; Shen, J.; Zhang, Y. Ecological vulnerability assessment for ecological conservation and environmental management. J. Environ. Manag. 2018, 206, 1115–1125. [Google Scholar] [CrossRef]
- Li, C.; Zhang, S.; Cui, M.; Wan, J.; Rao, T.; Li, W.; Wang, X. Improved Vegetation Ecological Quality of the Three-North Shelterbelt Project Region of China during 2000–2020 as Evidenced from Multiple Remotely Sensed Indicators. Remote Sens. 2022, 14, 5708. [Google Scholar] [CrossRef]
- Wang, X.M.; Zhang, C.X.; Hasi, E.; Dong, Z.B. Has the Three Norths Forest Shelterbelt Program solved the desertification and dust storm problems in arid and semiarid China? J. Arid Environ. 2010, 74, 13–22. [Google Scholar] [CrossRef]
- Hasan, S.S.; Zhang, Y.; Chu, X.; Teng, Y. The role of big data in China’s sustainable forest management. For. Econ. Rev. 2019, 1, 96–105. [Google Scholar] [CrossRef]
- Qinghai Forestry and Grassland Bureau. Available online: http://www.qinghai.gov.cn (accessed on 2 May 2023).
- Li, Y.; Bai, X.; Wang, S.; Tian, Y. Integrating mitigation measures for karst rocky desertification land in the Southwest mountains of China. Carbonates Evaporites 2019, 34, 1095–1106. [Google Scholar] [CrossRef]
- Jiang, Z.; Lian, Y.; Qin, X. Rocky desertification in Southwest China: Impacts, causes, and restoration. Earth Sci. Rev. 2014, 132, 1–12. [Google Scholar] [CrossRef]
- Liu, S.; Zhang, J.; Zhang, J.; Guo, Y. Simultaneously tackling ecological degradation and poverty challenges: Evidence from desertified areas in northern China. Sci. Total Environ. 2022, 815, 152927. [Google Scholar] [CrossRef] [PubMed]
Disclaimer/Publisher’s Note: The statements, opinions and data contained in all publications are solely those of the individual author(s) and contributor(s) and not of MDPI and/or the editor(s). MDPI and/or the editor(s) disclaim responsibility for any injury to people or property resulting from any ideas, methods, instructions or products referred to in the content. |
© 2024 by the authors. Licensee MDPI, Basel, Switzerland. This article is an open access article distributed under the terms and conditions of the Creative Commons Attribution (CC BY) license (https://creativecommons.org/licenses/by/4.0/).











