You are currently viewing a new version of our website. To view the old version click .
Land
  • Article
  • Open Access

23 February 2023

Impact of Green Manuring on Health of Low Fertility Calcareous Soils

,
,
,
,
,
,
,
,
and
1
Soil and Water Testing Laboratory, Khushab 41000, Punjab, Pakistan
2
Jianshui Research Station, School of Soil and Water Conservation, Beijing Forestry University, Beijing 100083, China
3
Soil Chemistry Section, Institute of Soil Chemistry and Environmental Sciences, Ayub Agriculture Research Institute, Faisalabad 38000, Punjab, Pakistan
4
Department of Applied Chemistry, Government College University, Faisalabad 38000, Punjab, Pakistan
This article belongs to the Special Issue Soil Management for Soil Health

Abstract

This study was conducted in a rice-based cropping scheme to investigate the impact of green manuring on soil health, considering soil physicochemical properties and sustainable crop production. A field experiment was started on 2 November 2015 and completed on 15 April 2018 under a rice–berseem (Trifolium alexandrinum) cropping system in calcareous soil. Two green manuring patterns, rice–berseem and rice–wheat–sesbania (rostrata), were compared with a commonly practiced rice–wheat (Oryza sativa-Triticumaestivum) cropping pattern. Green manuring of the berseem crop (last cutting) along with 50, 75, and 100% of the recommended fertilizer doses of nitrogen, phosphorus, and potassium (NPK) were compared with recommended NPK fertilization along with control (no fertilizer). The plant growth parameters of rice, including plant height, tillers per plant at maturity, and yield data, were recorded at harvest. The pre-sowing soil analysis revealed that the experimental soil was low in salts, and the nutrient (NPK) status was very low. The results indicated that green manuring substantially enhanced the grain and straw yield of rice crops. Green manuring combined with 75% of recommended NPK produced the highest grain yield (5.83 t ha−1 in year III) compared to the other treatments. The soil analysis showed that the bulk density was reduced while soil porosity, organic carbon, and N, K, and P contents were significantly improved. From the results of this study, it is recommended that under calcareous soil conditions, the regular use of green manuring can significantly improve crop growth, yield, and physicochemical properties of soil and, therefore, should be adopted by farmers.

1. Introduction

Soil degradation is a major threat to crop production all over the world [1,2]. Land degradation includes loss of soil fertility and biodiversity. It has been estimated that about one-third of farmland have deteriorated in the last four decades, and the fertile layer of topsoil will become unproductive in the coming 60 years if deterioration continues at the same rate [3]. It will be a great challenge to feed the rising population, which is growing at an exponential rate, with the existing natural resources (soil), and more efforts will be focused on improving crop production through intensive agriculture practice [4,5] and the introduction of high yielding and resistant crop varieties. However, soil health is degrading owing to improper use of agricultural practices. The use of organic amendments and the application of chemical fertilizers provide a window of opportunity in ameliorating soil health damage and managing it for sustainable use [6,7]. Increasing crop intensity, less use of organic amendments, and decomposition of organic reserves in existing hot climate shaveled to decline in crop production owing to the depletion of plant nutrients in soil [8,9].
Green manuring (GM) crops are comprised of above- and below-ground biomass. They have the ability to capture solar energy and convert it into carbon flux, which is useful for releasing macro and micronutrients to the soil biota. Green manuring with legumes can fix atmospheric N and provide it to the plants in an available form and also add organic matter (OM) to maintain soil fertility [10]. Green manuring is the best strategy to overcome low soil fertility and aids plants in the absorption of nutrients by exploring the deep root system. This practice adds more nutrients to the soil and prevents further degradation of the soil [11]. Leguminous crops prevent the environmental risks related to oxides. N. Sun hemp (Crotalaria juncea) and Dhaincha (Sesbaniabispinosa)are examples of GM crops; they fix atmospheric N and make it available for plant uptake, resulting in higher biomass production and ultimately improving the soil organic matter [12].
Studies have shown that GM plays a significant role in improving the soil’s physicochemical properties, enhancing organic matter and the concentration of nutrients in the surface soil, increasing the distribution of the soil aggregates, and reducing the bulk density of soil. It also influences soil moisture and temperature because cover crops and legumes can retain more water content after mixing the plant biomass in the soil [13]. In addition, other soil properties that are directly related to the GM increment in the soil include soil aggregation, moisture retention, consistency and density of the soil, porosity, aeration, hydraulic conductivity, and infiltration [14]. The soil structure improves after the decomposition of the post-harvest roots in the soil. Although leguminous and non-leguminous crops are used for green manuring purposes, legumes are superior because they fix more N and have a greater symbiotic association with beneficial microbes inthe soil, resulting in higher soil fertility. Similarly, chemical properties of soil, such as cation exchange capacity (CEC),are also influenced by the addition of soil organic matter (SOM).The decomposition of soil organic matter provides more nutrients, and acids that aid the soil’s chemical properties are also released [15]. Due to the high amount of calcium in Pakistani soil, the pH remains high, nutrient availability in soil solution decreases, and adsorption of the nutrients is high because most of the essential nutrients for plants are available at a 5.5–6.5 pH rate. Reducing pH in an arid climate such as Pakistan’s through GM is an outstanding and cost-effective way to provide healthy soil to crops.
Therefore, the present study was planned to investigate the impact of green manuring on soil physicochemical properties under different cropping systems. It is hypothesized that green manuring not only adds nutrients to the soil but also has a beneficial impact on soil physicochemical properties for long-term agricultural sustainability. Furthermore, different cropping systems and green manuring patterns have different impacts on crop yields and soil health.

2. Materials and Methods

2.1. Site, Climate, and Soil

The field trial was conducted at the Soil Chemistry Section, Institute of Soil Chemistry and Environmental Sciences (ISCES), Ayub Agricultural Research Institute, Faisalabad (31.4042° N, 73.0487° E) Pakistan, for 3 years. Faisalabad is situated 184 m above sea level in the rolling plains of northeast Punjab. The soil is calcareous in nature, Ca+2 is dominant, and the texture is sandy loam with no salinity or sodicity problems. The maximum and minimum average temperature in June was 40.5 °C and 26.9 °C, and in January, 19.4 °C and 4.1 °C during the trial. The crop received an average of 375 mm (mm) of rain during the crop season. Two composite soil samples were taken to analyze the nutrient status in the field from two depths (0–15 cm and 15–30 cm) prior to conducting the experiment. The soil samples were analyzed following the procedure suggested by Ryan et al. [16], and the results are given in Table 1.
Table 1. Initial soil physicochemical properties before experimentation.

2.2. Experiment Setup, Treatments, and Measurements

The experiment comprised five treatments, including a control (without any chemical or green manuring amendment), NPK (100% of the recommended chemical fertilizers), GM100 (green manuring combined with 100% of the recommended chemical fertilizers), GM75 (green manuring combined with 75% of the recommended chemical fertilizers), and GM50 (green manuring combined with 50% of the recommended chemical fertilizers)using a Randomized Complete Block Design (RCBD) with four replications. The blocking was performed against the fertility gradient in the field to minimize the error, and the plot size was 40 m2.

2.3. Cultivation Technology and Treatment Application Methodology

Rice was prepared in a nursery before transplanting to the field. The plants were transplanted manually to the field after puddling conditions during the crop season in 2015. The basal dose of recommended N, P, and K fertilizers was applied at a rate of 120 kg ha−1, 90 kg ha−1, and 60 kg ha−1 using urea (46% N), triple super phosphate (TSP) 46% P2O5, and sulfate of potash (SOP) 50% K2Oas a source of N, P, and K, respectively. All recommended doses of P and K were applied at the time of transplantation, while N was applied in two halves. The first half was applied at the time of transplantation, while the other half was applied one month after establishing the plants in the field. The berseem, normally known as the king of fodder (green manure crop), was sown in November 2015 after harvesting rice in the same field, and the seed rate was 10–15 kgha−1, applied with the broadcast method. All recommended doses of NPK (25-55-14 Kg/Acre) for berseem were applied at sowing. The first cutting of this crop was recorded 75 days after sowing. After 4–5 cuttings, the berseem was crushed and mixed (incorporated) into the soil with a rotavator before transplanting rice seedlings at least 40 days later. All yield data were recorded, and plant samples were collected for chemical analysis.
Plant growth parameters, plant height (cm), number of tillers per plant, and plant biomass (m−2) data were recorded at the maturity stage. In addition to this, the yield parameters, including the number of productive tillers per plant, grain weight (m−2), and 1000 grain weight, were recorded. Berseem (fodder production) data were recorded on each cutting, and the last cutting was not adopted but rather rotavated into the soil before flowering. After incorporation of the berseem crop into the field (4 weeks), undisturbed samples were obtained from each plot both at 0–15 and 15–30 cm depth using a core sampler. The samples were used to determine the bulk density and soil porosity. Additionally, samples were collected for chemical analysis, air-dried, and ground, and then passed through a 2 mm sieve as described by Carter and Gregorich [17]. The soil was analyzed for its physicochemical parameters, such as texture [18], bulk density, and porosity, as well as pH and electrical conductivity (EC), using the methods explained by Page et al. [19]. Organic matter was determined using the method by Walkley [20]. For N determination, the Kjeldahl digestion and distillation technique was adopted (the Olsen-P blue method was followed for the determination of P using a spectrophotometer), and K was determined using a flame photometer followed byammonium acetate extraction. NH4HCO3-DTPA (known as AB-DTPA) solution was used for soil extraction [21] for the determination of micronutrients. Boron was extracted with dilute 0.05 M HCl using a spectrophotometer, and readings were taken at a wavelength of 420 nm. Plasticware was used instead of glassware during the preparation of the sample for B determination to avoid borax contamination with glassware. The soil samples were analyzed for Fe, Cu, Mn, and Zn determination using anatomic-absorption spectrophotometer (Shemadzu 7000).

2.4. Statistical Analysis

The plant growth and yield data of rice were analyzed using a randomized complete block design (RCBD), taking the year as a random factor. Mean comparison was carried out according to the Least Significant Difference (LSD) test at p ≤ 0.05 probability level. All statistical data analysis was performed using Statistical 8.1 software [22].

3. Results

3.1. Effect of Green Manuring on Soil Physicochemical Properties

3.1.1. Physical Properties

Data regarding bulk density (BD) in response to the incorporation of different amounts of green manure combined with chemical fertilizers is given in Table 2. All treatments showed a positive response with the incorporation of GM into the soil compared to control, and 100% of recommended chemical fertilizers without GM were applied during three growing seasons (2015 to 2018). Bulk density was reduced by the continuous use of green manuring on the same site (2015–2018), as shown in Table 2. The highest BD was found in the control treatment where no amendment was applied, followed by 100% of the recommended NPKc hemical fertilizers (1.53 g cm−3), while the lowest BD was in 50% of the recommended NPK chemical fertilizers combined with GM (1.46 g cm−3), 75% of the recommended NPK chemical fertilizers combined with GM (1.47 g cm−3), and 100% of the recommended NPK chemical fertilizers combined with GM (1.49 g cm−3), respectively (Table 2). In the second year of the study, a slight change in BD was recorded compared to the first year, and a reduction trend in BD was recorded during the second and third years of the experiment.
Table 2. Effect of green manuring on soil properties, plant growth, and yield parameters of rice and berseem crops (average of three years) from 2015 to 2018.
Incorporating green manure into the soil improved the soil’s physical properties, such assoil porosity, during three consecutive years of trials (Table 2). The highest porosity (44.75%) was recorded in the treatment where 50% of the recommended NPK combined with GM was applied as compared to the control, where no amendment was used. However, the recommended NPK chemical fertilization alone did not affect the soil porosity. Similar toBD, soil porosity was significantly increased in the third year compared to the second year. Furthermore, GM applied with either 100% or 50% application of chemical fertilizers improved the soil porosity.

3.1.2. Chemical Properties

The incorporation and plowing of green plants into the soil played a significant role related to N contents in the soil for the three-year period, as shown in Table 3 It was found that the incorporation of green plants such as berseem increased the macronutrient availability in soil solution. Nitrogen contents were improved with GM application either alone or with synthetic fertilizers. The N contents in soil were found to be significantly higher in all treatments of GM with respect to control and only synthetic fertilizer application. An increasing trend for N was found with an increasing increment of GM berseem crops plowed into the soil.
Table 3. Effect of green manuring and NPK fertilizer on physicochemical properties of soil (average of three years) from 2015 to 2018.
The results given in Table 3 depict the significant role of green manuring on soil chemical properties. Green manured soils had significantly higher P concentrations in treatments where 50% of the recommended NPK chemical fertilizers combined with 50% green manure was conducted compared to control, where no external amendment was applied. In addition, GM combined with 100% and 50% of chemical fertilizers also showed significant improvement in P concentration in soil over the control and NPK with only the application of synthetic fertilizers (Table 3).
Data regarding K concentration as a result of GM in the soil after the completion of three years of field trials are given in Table 3. In treatments with GM incorporation along with 75% of the recommended chemical fertilizers, the K concentration was found to be significantly higher than the control as well as the sole application of synthetic fertilizers. However, the concentration of K was not as much affected in treatments where GM combined with 100% of the recommended fertilizers and GM combined with 75% synthetic fertilizers were practiced. Furthermore, GM incorporation treatments improved the available K for crops compared to control and synthetic fertilizers.
The organic matter directly showed a relation with the incorporation of GM crops in the soil, as shown in Table 3. Organic matter contents were significantly improved in all GM application treatments as compared to control as well as the sole application of synthetic fertilizers. The data regarding OM contents showed a non-significant trend in all GM treatments with respect to each other, but a significant difference was found between these treatments and the control. In addition, OM contents in soil were not affected by the application of prepared fertilizers compared to the control.
The chemical properties of soil affected by the application of GM related to Zn concentration in soil for three-year experimentation are shown in Table 3. The result of Zn concentration in soil was interesting. Incorporation and mixing of GM crops improved the Zn concentration in the soil as compared to control and synthetic fertilizers application. Although GM practice enhanced the concentration in soil, synthetic fertilizers application did not affect Zn concentration significantly to control, where no external amendment was used.
The chemical analysis of soil for Cu concentration in the soil as influenced by GM combined with chemical fertilizers is represented in Table 3. The concentration of Cu in soil was detected more significantly in treatments where GM combined with 100% of the recommended synthetic fertilizer was adopted compared to the rest of the treatments. In addition, the concentration of Cu in soil for treatments where GM combined with 50% and 75% of the recommended synthetic fertilizer was applied, a significantly improved trend of this element was determined as compared to control and sole application of synthetic fertilizers. However, the synthetic fertilizers application also significantly improved the concentration of Cu in soil over control. GM combined with 50 and 75% of the recommended synthetic fertilizer application showed a non-significant trend for Cu concentration in soil with respect to each other.
The results are shown in Table 3 for Fe concentration in the soil after chopping the GM crop along with synthetic fertilizer use. The concentration of Fe in soil for three years was significantly improved in treatment where 100% synthetic fertilizers combined with GM were adopted. GM combined with 50% and 75% of synthetic fertilizers applied showed the same results for Fe concentration. However, these treatments showed a significant trend compared to the sole application of fertilizers and control. In addition, Fe concertation was also improved significantly in treatment where only NPK was applied as compared to the control.
The results related to Mn concentration in the soil as affected by the incorporation of GM combined with chemical fertilizers during experimentation (2015–2018) are denoted in Table 3. The incorporation of GM combined with 50%, 75% and 100% application of chemical fertilizers significantly improved Mn concentration in the soil as compared to the sole application of chemical fertilizers and control. However, Mn concentration was not affected by the application of GM and synthetic fertilizers in treatment where only chemical fertilizers were applied and in control relative to each other.

3.2. Effect of Green Manuring on Plant Growth and Yield Parameters

3.2.1. Rice

Results obtained from the three-year experiment showed that the maximum plant height of rice (cm) compared to all other treatments was observed in the treatment where 100% of fertilizers combined with GM was applied, as shown in Table 2. Following the trend, the plant height was observed to be significantly over the treatment where 50% of synthetic fertilizers (NPK) combined with GM was adopted, over 75% of recommended chemical fertilizers with GM, sole application of chemical fertilizers, and control. There was no significant difference observed in rice plant height in 75% of chemical application of fertilizers with GM and sole application of recommended chemical fertilizers with no GM. However, a significant difference in plant height was measured between sole applications of recommended chemical fertilizers as compared to control.
Green manuring combined with the application of chemical fertilizers showed a difference in the numbers of tillers plant−1 in rice during the three-year experiment, as shown in Table 2. All treatments where chemical fertilizer was applied either with GM or without GM practice increased the number of tiller plant−1 in rice fields over control, where no chemical fertilizers and GM application was conducted. However, the number of tillers plant−1 showed a non-significant trend in all the above-mentioned treatments excluding control.
Dead grains from rice plants affected by the application of chemical fertilizers and GM incorporation into the soil are given in Table 2. The yield parameters of rice were affected by the application of various rates of chemical fertilizers combined with GM. Minimum dead grains were found in control, 100% of recommended chemical fertilizers combined with GM, and 75% of recommended chemical fertilizers combined with GM over sole application of 100% of chemical fertilizers, and 50% of recommended chemical fertilizers combined with GM, respectively. The former three treatments showed no significant difference among them for dead grains of rice, while more dead grains of rice plants were observed as compared to all other treatments.
Data recording the number of grains panicle−1 in rice affected by different applications of amendments such as chemical fertilizers and GM in field trials are shown in Table 3. The number of grains panicle−1 in rice was significantly improved by the application of 100% of recommended chemical fertilizers (NPK) combined with GM and 75% application of synthetic fertilizers with GM as compared to 50% application of fertilizers with GM, sole application of synthetic fertilizers, and control, respectively. The minimum number of grains was observed in control, where no amendment was used externally, over all other treatments where chemical amendments or GM incorporation was practiced.
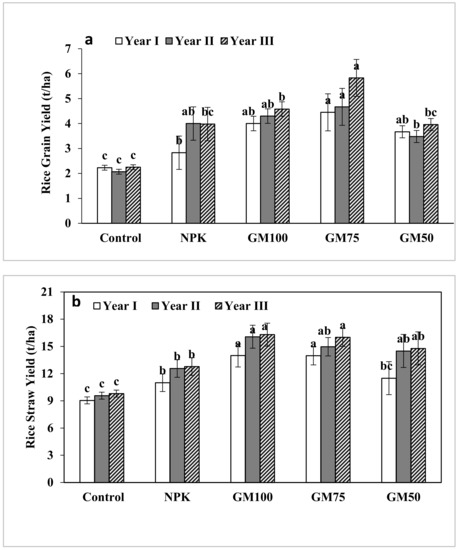
Grain rice (t ha−1) was influenced by the application of chemical fertilizers and GM exogenously, as represented in Table 2. The data regarding grain rice showed a highly significant difference in treatments with 75% of recommended fertilizers combined with GM as compared to all other treatments after applying the statistics. A decreasing trend of grain rice was clearly found in 100% of recommended fertilizers with GM, 50% application of synthetic fertilizers combined with GM, sole application of 100% of synthetic chemical fertilizers, and control, respectively. A low number of rice grains were recoded significantly in control where no addition of fertilizers was performed as exogenously over all other applications of chemicals as well as GM application.
Rice yield (t ha−1) was influenced by the application of green manure and synthetic fertilizers, as denoted in Table 2. Significant improvement in rice straw was recorded in treatments where 100% and 75% of recommended chemical fertilizers combined with GM was adopted compared to all other treatments, whereas low rice straw yield was measured in control, where no amendment was used, as compared to other various rates of synthetic fertilizers and GM application. The maximum rice straw yield was recorded in 100% and 75% of recommended fertilizers combined with GM incorporation, followed by 50% of recommended chemical fertilizer with GM, 100% application of recommended fertilizers without GM, and in control, respectively.
Data regarding rice straw yield for three years (2015–2018) are denoted in Figure 1b as affected by various rates of chemical fertilizers application and GM incorporation. The highest rice straw yield in 100% and 75% of recommended chemical fertilizers with GM was recorded during three consecutive years, but no significant difference was measured in rice straw yield during three consecutive years with each other in both treatments. However, the trend related to rice straw yield (consecutive three years) was lower in the sole application of recommended chemical fertilizers followed by control, respectively, compared to other various rates of chemical fertilizers application with GM incorporation.
Figure 1. Effect of green manuring on rice grain (a) and straw yields (b). Control (without any chemical or green manuring amendment), NPK (No Green manuring, 100% recommended nitrogen, phosphorus, and potassium-NPK), GM100 (green manuring + 100% recommended NPK), GM75 (green manuring + 75% recommended NPK), and GM50 (green manuring + 50% recommended NPK). Blank column shows first year, grey filled second year, and pattern filled shows third year data. Columns sharing the same letters are not significantly different at p ≤ 0.05 probability level.
The results obtained from the three-year experiment showed a higher significant difference in rice grain yield (t ha−1), as mentioned in Figure 1a, in treatment with 75% of recommended NPK synthetic fertilizers with GM incorporation as compared to control, where no additional amendment was applied. Interestingly, a significantly lower rice yield was obtained in control for three consecutive years compared to the other treatments. No significant difference in grain rice yield was recorded between the consecutive three years in treatment where 75% of chemical recommended fertilizers were applied combined with GM incorporation. No significant improvement in rice grain yield was recorded in any treatment for three consecutive years, but a significant difference was recorded among the various treatment means after the application of various rates of chemical fertilizers and GM incorporation into the soil.

3.2.2. Berseem

The average biomass of berseem (t ha−1) after the application of chemical fertilizers (NPK) along with GM incorporation in the soil is denoted in Table 2. A significant improvement in berseem yield for three consecutive years of experimentation was recorded in treatments where 100% of chemical fertilizers application combined with GM incorporation was performed compared to 50% of the recommended application of chemical fertilizers combined with GM followed by control, where no amendment was applied to the soil. No significant difference in berseem yield was found between the three treatment means in sole fertilizers, 100% of chemical fertilizers with GM, and 75% of chemical fertilizers application with GM incorporation with each other during three consecutive years of experimentation. However, GM with various rates of chemical recommended fertilizers application improved the berseem yield as compared to control.
The berseem yield on a per-year basis obtained during three years of experimentation was affected by various rates of chemical fertilizers and GM application, as mentioned in Figure 2. A significant improvement in berseem yield was recorded in the second and third years as compared to the first year in control. Similarly, the berseem biomass was significantly improved in the third year over the first year in the treatment where 50% of chemical fertilizers combined with GM application were performed. However, higher significant berseem yield was obtained in the second and third years, where 100% of chemical fertilizers combined with GM application was conducted, compared to three consecutive years of control, first year of sole chemical fertilizers application, first year of 75% of recommended synthetic fertilizers combined with GM application, and first year of 50% of chemical fertilizers combined with GM application.
Figure 2. Effect of green manuring on berseem yield. Control (without any chemical or green manuring amendment), NPK (no green manuring, 100% recommended nitrogen, phosphorus, and potassium-NPK), GM100 (green manuring + 100% recommended NPK), GM75 (green manuring + 75% recommended NPK), and GM50 (green manuring + 50% recommended NPK). Blank column shows first year, grey filled second year, and pattern filled shows third year data. Columns sharing the same letters are not significantly different at p ≤ 0.05 probability level.

4. Discussion

4.1. Effect of GM with Synthetic Fertilizers Application on Soil Porosity and Bulk Density

There is a great need to restore soil health for sustainable crop production to feed the exponentially growing population. It can be improved by the application of chemical fertilizers and other soil amendments [6,23,24,25,26,27,28,29,30,31,32,33], but the non-judicious use of synthetic fertilizers by farmers deteriorates soil fertility. Applying chemical fertilizers along with green manure is an alternative, cost-effective method to overcome soil fertility problems associated with calcareous soil. Our study found that soil physical properties, such as soil porosity, improved upon the chemical application of fertilizers with GM incorporation, and bulk density was reduced. Our results emphasize that the combination of synthetic fertilizers and GM application significantly improved the soil’s physical properties in calcareous soils in Pakistan, where organic matter contents are very low. We found that the incorporation of GM with 50% of the recommended fertilizers for three consecutive years improved the soil porosity and reduced the soil bulk density, which are key indicators of soil fertility. However, the sole application of chemical fertilizers did not reveal a significant positive response for soil physical properties improvements. The soil’s physical properties were improved with the incorporation of plants as green manure into the plow layer of soil owing to increasing organic C sequestration and Nitrate-N contents in the soil upon decomposition, as reported by Souza et al. [34] and Melo et al. [35]. It has been reported that the incorporation of leguminous crops as green manure into soil enhanced the soil’s physical properties owing to C stocks and nutrient cycling. In our experiment, the decomposition of roots improved soil porosity and reduced the bulk density due to soil organic matter loosening the soil and enhancing the water-holding capacity [36,37,38].

4.2. Effect of GM with Synthetic Fertilizer Application on Soil Chemical Properties

The incorporation of GM with synthetic fertilizers improved the soil’s chemical properties in three consecutive years of experimentation compared to before starting the study. The soil’s chemical properties, such as organic matter, CEC, available P, and extractable K, were significantly improved due to the incorporation of GM with synthetic fertilizers. These results are very similar to Ehsan et al. [39] and Muhmood et al. [40], who incorporated sesbania and organic amendments along with synthetic fertilizers to okra and carrots grown in fields. Significant improvement was recorded related to the nutrient availability of K and P, respectively. Another finding by Piotrowska and Wilczewski [41] reported that the incorporation of legumes into soil significantly improved the soil’s physico-chemical properties, especially the enzymatic activity in the soil. In addition, the application of organic residues improved the P availability in calcareous soil [42]. This indicates that GM is an alternative to chemical fertilizers and an easy approach to improving soil health for crop production on a sustainable basis. Moreover, GM improved the soil’s plowlayer by deposition of organic residues and enhanced the soil quality by reducing erosion. The deposition of organic residues in the soil caused the plant roots to proliferate more and released H+ in the rhizosphere to lower soil pH, ultimately improving the availability of plant nutrients and strengthening soil health [43,44].

4.3. Effect of GM with Synthetic Fertilizer on Plant Growth and Yield

The incorporation of GM along with different rates of synthetic fertilizer (NPK) resulted in a positive response on plant growth and yield of rice and berseem during three years of experimentation. It was observed that the sole application of synthetic fertilizers might not contribute to a positive response in plant growth and yield, but significant results were obtained upon application of synthetic fertilizers with organic amendments such as GM. Green manuring provides nutrients such as NPK and other trace elements to plants. The rice and berseem yields were improved significantly in treatment where 100% of the recommended synthetic fertilizers combined with GM were incorporated into the soil. Similar findings were obtained under a rice–wheat cropping system where organic amendments were applied, as reported by Singh et al. [45] and Ali et al. [46]. Nitrogen is a key factor involved in cell division and improves chlorophyll pigments in plants, ultimately increasing plant growth. N uptake not only increased, but it also hada synergistic effect with other plant nutrients, such as K [47].
A positive response was noticed for plant growth due to the availability of nutrients such as NPK. In calcareous soil, P availability is a main issue owing to strong binding with calcium carbonate [48]. Exhaustive crop cultivation on the same piece of land leads to the stripping of nutrients, especially K. Being exhaustive K feeders, the crop requires 20–22 K t−1 for grain production [49]. The fixation of K with illite mineral is another issue thatreduces the K concentration for plant uptake from soil. On the other hand, the negative charges ascribed upon decomposition of GM and other organic amendments help to adsorb di- and tri-valent cations and release K into the soil solution.
Green manuring directly improves the soil structure in areas such as aggregation, and the physical condition of pulverized soil helps the slow release of nutrients sustainably. Cultivation of high-yielding varieties on the same plot of soil increases the mining of nutrients owing to more uptake. To overcome this problem, GM is an alternative source for supplying nutrients to crops on a sustainable basis. Green manuring is the best strategy to control nutrient depletion, especially N. It has been noticed that the incorporation of leguminous crops as a source of GM improved the root proliferation and yield of wheat and rice for N uptake owing to involvement in root and photosynthetic development, as mentioned by Yadav et al. [50] and Singh et al. [45].

5. Conclusions

This study clearly indicates that green manuring substantially enhanced the crop yield and improved soil porosity, organic carbon, N, P, K contents, and soil infiltration rate by reducing the soil bulk density when adopted as a regular practice. The use of green manuring crops also saves money because 25–50% less fertilizer application produces a similar result as obtained with a full dose of NPK. Therefore, we recommend blend of inorganic (chemical fertilizers) and organic (green manuring) applications to improve the efficiency of applied fertilizers.

Author Contributions

Conceptualization, A.N. (Asifa Naz) and R.N.; Data curation, A.A. and A.N. (Abid Niaz); Formal analysis, A.K., S.N., R.K., B.A. and M.H.S.; Funding acquisition, J.Z.; Methodology, A.R.; Project administration, A.N. (Abid Niaz) and J.Z.; Resources, R.N.; Software, R.N., A.K., R.K. and B.A.; Supervision, J.Z.; Validation, M.U.A., B.A. and M.I.A.; Visualization, A.A.; Writing—original draft, A.N. (Asifa Naz), A.R. and B.A.; Writing—review and editing, R.N., A.A., A.K., A.N. (Abid Niaz), M.I.A., S.N., B.A. and M.H.S. All authors have read and agreed to the published version of the manuscript.

Funding

The National Key R&D Program of China (2022YFF1302900) and the National Natural Science Foundation of China (31870707).

Data Availability Statement

Not applicable.

Acknowledgments

Authors greatly appreciate Soil Chemistry Section, Institute of Soil Chemistry and Environmental Sciences (ISCES), Ayub Agricultural Research Institute, Faisalabad (31.4042° N, 73.0487° E) Pakistan for providing tools and helping us.

Conflicts of Interest

The authors declare no conflict of interest.

References

  1. Adnan, M.; Fahad, S.; Saleem, M.H.; Ali, B.; Mussart, M.; Ullah, R.; Arif, M.; Ahmad, M.; Shah, W.A.; Romman, M. Comparative efficacy of phosphorous supplements with phosphate solubilizing bacteria for optimizing wheat yield in calcareous soils. Sci. Rep. 2022, 12, 11997. [Google Scholar] [CrossRef] [PubMed]
  2. Fahad, S.; Chavan, S.B.; Chichaghare, A.R.; Uthappa, A.R.; Kumar, M.; Kakade, V.; Pradhan, A.; Jinger, D.; Rawale, G.; Yadav, D.K.; et al. Agroforestry Systems for Soil Health Improvement and Maintenance. Sustainability 2022, 14, 14877. [Google Scholar] [CrossRef]
  3. Maximillian, J.; Brusseau, M.L.; Glenn, E.P.; Matthias, A.D. Pollution and environmental perturbations in the global system. In Environmental and Pollution Science; Elsevier: Amsterdam, The Netherlands, 2019; pp. 457–476. [Google Scholar]
  4. Khan, M.A.; Adnan, M.; Basir, A.; Fahad, S.; Hafeez, A.; Saleem, M.H.; Ahmad, M.; Gul, F.; Durrishahwar; Subhan, F.; et al. Impact of tillage and potassium levels and sources on growth, yield and yield attributes of wheat. Pak. J. Bot. 2022, 55, 321–326. [Google Scholar] [CrossRef] [PubMed]
  5. Saini, A.; Manuja, S.; Kumar, S.; Hafeez, A.; Ali, B.; Poczai, P. Impact of Cultivation Practices and Varieties on Productivity, Profitability, and Nutrient Uptake of Rice (Oryza sativa L.) and Wheat (Triticum aestivum L.) Cropping System in India. Agriculture 2022, 12, 1678. [Google Scholar] [CrossRef]
  6. Saleem, A.; Zulfiqar, A.; Ali, B.; Naseeb, M.A.; Almasaudi, A.S.; Harakeh, S. Iron Sulfate (FeSO4) Improved Physiological Attributes and Antioxidant Capacity by Reducing Oxidative Stress of Oryza sativa L. Cultivars in Alkaline Soil. Sustainability 2022, 14, 16845. [Google Scholar] [CrossRef]
  7. Ahmad, M.; Ishaq, M.; Shah, W.A.; Adnan, M.; Fahad, S.; Saleem, M.H.; Khan, F.U.; Mussarat, M.; Khan, S.; Ali, B.; et al. Managing Phosphorus Availability from Organic and Inorganic Sources for Optimum Wheat Production in Calcareous Soils. Sustainability 2022, 14, 7669. [Google Scholar] [CrossRef]
  8. Umar, U.D.; Ahmed, N.; Zafar, M.Z.; Rehman, A.; Naqvi, S.A.H.; Zulfiqar, M.A.; Malik, M.T.; Ali, B.; Saleem, M.H.; Marc, R.A. Micronutrients Foliar and Drench Application Mitigate Mango Sudden Decline Disorder and Impact Fruit Yield. Agronomy 2022, 12, 2449. [Google Scholar] [CrossRef]
  9. Sajjad, M.R.; Rafique, R.; Bibi, R.; Umair, A.; Arslan Afzal, A.A.; Rafique, T. Performance of green manuring for soil health and crop yield improvement. Pure Appl. Biol. 2019, 8, 1543–1553. [Google Scholar] [CrossRef]
  10. Meena, B.L.; Fagodiya, R.K.; Prajapat, K.; Dotaniya, M.L.; Kaledhonkar, M.J.; Sharma, P.C.; Meena, R.S.; Mitran, T.; Kumar, S. Legume green manuring: An option for soil sustainability. In Legumes for Soil Health and Sustainable Management; Springer: Berlin/Heidelberg, Germany, 2018; pp. 387–408. [Google Scholar]
  11. Kimetu, J.M.; Lehmann, J.; Ngoze, S.O.; Mugendi, D.N.; Kinyangi, J.M.; Riha, S.; Verchot, L.; Recha, J.W.; Pell, A.N. Reversibility of soil productivity decline with organic matter of differing quality along a degradation gradient. Ecosystems 2008, 11, 726–739. [Google Scholar] [CrossRef]
  12. Islam, M.; Urmi, T.A.; Rana, M.; Alam, M.S.; Haque, M.M. Green manuring effects on crop morpho-physiological characters, rice yield and soil properties. Physiol. Mol. Biol. Plants 2019, 25, 303–312. [Google Scholar] [CrossRef]
  13. He, Y.; Xu, C.; Gu, F.; Wang, Y.; Chen, J. Soil aggregate stability improves greatly in response to soil water dynamics under natural rains in long-term organic fertilization. Soil Tillage Res. 2018, 184, 281–290. [Google Scholar] [CrossRef]
  14. Sultani, M.I.; Gill, M.A.; Anwar, M.M.; Athar, M. Evaluation of soil physical properties as influenced by various green manuring legumes and phosphorus fertilization under rain fed conditions. Int. J. Environ. Sci. Technol. 2007, 4, 109–118. [Google Scholar] [CrossRef]
  15. Lin, Y.; Ye, G.; Kuzyakov, Y.; Liu, D.; Fan, J.; Ding, W. Long-term manure application increases soil organic matter and aggregation, and alters microbial community structure and keystone taxa. Soil Biol. Biochem. 2019, 134, 187–196. [Google Scholar] [CrossRef]
  16. Ryan, J.; Estefan, G.; Rashid, A. Soil and Plant Analysis Laboratory Manual; ICARDA: Aleppo, Syria, 2001; ISBN 9291271187. [Google Scholar]
  17. Carter, M.R.; Gregorich, E.G. Soil Sampling and Methods of Analysis; CRC Press: Boca Raton, FL, USA, 2007; ISBN 0429126220. [Google Scholar]
  18. Kekane, S.S.; Chavan, R.P.; Shinde, D.N.; Patil, C.L.; Sagar, S.S. A review on physico-chemical properties of soil. Int. J. Chem. Stud. 2015, 3, 29–32. [Google Scholar]
  19. Page, A.L.; Miller, R.H.; Keeney, D.R. Methods of Soil Analysis, Part 2: Chemical and Microbiological Properties; American Society of Agronomy, Soil Science Society of America Publishing: Madison, WI, USA, 1982. [Google Scholar]
  20. Walkley, A. A critical examination of a rapid method for determining organic carbon in soils—Effect of variations in digestion conditions and of inorganic soil constituents. Soil Sci. 1947, 63, 251–264. [Google Scholar] [CrossRef]
  21. Soltanpour, P.N.; Workman, S. Modification of the NH4 HCO3-DTPA soil test to omit carbon black. Commun. Soil Sci. Plant Anal. 1979, 10, 1411–1420. [Google Scholar] [CrossRef]
  22. Steel, R.G.D.; Torrie, J.H. Principles and Procedures of Statistics, A Biometrical Approach; McGraw-Hill Kogakusha, Ltd.: New York, NY, USA, 1980; ISBN 0070609268. [Google Scholar]
  23. Ali, B.; Hafeez, A.; Ahmad, S.; Javed, M.A.; Sumaira; Afridi, M.S.; Dawoud, T.M.; Almaary, K.S.; Muresan, C.C.; Marc, R.A.; et al. Bacillus thuringiensis PM25 ameliorates oxidative damage of salinity stress in maize via regulating growth, leaf pigments, antioxidant defense system, and stress responsive gene expression. Front. Plant Sci. 2022, 13, 921668. [Google Scholar] [CrossRef]
  24. Ali, B.; Hafeez, A.; Javed, M.A.; Afridi, M.S.; Abbasi, H.A.; Qayyum, A.; Batool, T.; Ullah, A.; Marc, R.A.; Jaouni, S.K.A.; et al. Role of endophytic bacteria in salinity stress amelioration by physiological and molecular mechanisms of defense: A comprehensive review. S. Afr. J. Bot. 2022, 151, 33–46. [Google Scholar] [CrossRef]
  25. Ali, B.; Wang, X.; Saleem, M.H.; Azeem, M.A.; Afridi, M.S.; Nadeem, M.; Ghazal, M.; Batool, T.; Qayyum, A.; Alatawi, A. Bacillus mycoides PM35 Reinforces Photosynthetic Efficiency, Antioxidant Defense, Expression of Stress-Responsive Genes, and Ameliorates the Effects of Salinity Stress in Maize. Life 2022, 12, 219. [Google Scholar] [CrossRef]
  26. Ali, B.; Wang, X.; Saleem, M.H.; Hafeez, A.; Afridi, M.S.; Khan, S.; Ullah, I.; do Amaral, A.T., Jr.; Alatawi, A.; Ali, S. PGPR-Mediated Salt Tolerance in Maize by Modulating Plant Physiology, Antioxidant Defense, Compatible Solutes Accumulation and Bio-Surfactant Producing Genes. Plants 2022, 11, 345. [Google Scholar] [CrossRef]
  27. Afridi, M.S.; Ali, S.; Salam, A.; César Terra, W.; Hafeez, A.; Sumaira; Ali, B.; AlTami, S.M.; Ameen, F.; Ercisli, S.; et al. Plant Microbiome Engineering: Hopes or Hypes. Biology 2022, 11, 1782. [Google Scholar] [CrossRef] [PubMed]
  28. Afridi, M.S.; Javed, M.A.; Ali, S.; De Medeiros, F.H.V.; Ali, B.; Salam, A.; Sumaira; Marc, R.A.; Alkhalifah, D.H.M.; Selim, S.; et al. New opportunities in plant microbiome engineering for increasing agricultural sustainability under stressful conditions. Front. Plant Sci. 2022, 13, 899464. [Google Scholar] [CrossRef] [PubMed]
  29. Salam, A.; Afridi, M.S.; Javed, M.A.; Saleem, A.; Hafeez, A.; Khan, A.R.; Zeeshan, M.; Ali, B.; Azhar, W.; Sumaira; et al. Nano-Priming against Abiotic Stress: A Way Forward towards Sustainable Agriculture. Sustainability 2022, 14, 14880. [Google Scholar] [CrossRef]
  30. Yasin, M.; Anwar, F.; Noorani, H.; Muhammad, S.; Mahmood, A.; Javed, T.; Ali, B.; Alharbi, K.; Saleh, I.A.; Abu-Harirah, H.A. Evaluating Non-Composted Red Cotton Tree (Bombax ceiba) Sawdust Mixtures for Raising Okra (Abelmoschus esculentus (L.) Moench) in Pots. Agronomy 2022, 13, 97. [Google Scholar] [CrossRef]
  31. Ma, J.; Ali, S.; Saleem, M.H.; Mumtaz, S.; Yasin, G.; Ali, B.; Al-Ghamdi, A.A.; Elshikh, M.S.; Vodnar, D.C.; Marc, R.A.; et al. Short-term responses of Spinach (Spinacia oleracea L.) to the individual and combinatorial effects of Nitrogen, Phosphorus and Potassium and silicon in the soil contaminated by boron. Front. Plant Sci. 2022, 13, 983156. [Google Scholar] [CrossRef]
  32. Ma, J.; Saleem, M.H.; Ali, B.; Rasheed, R.; Ashraf, M.A.; Aziz, H.; Ercisli, S.; Riaz, S.; Elsharkawy, M.M.; Hussain, I.; et al. Impact of foliar application of syringic acid on tomato (Solanum lycopersicum L.) under heavy metal stress-insights into nutrient uptake, redox homeostasis, oxidative stress, and antioxidant defense. Front. Plant Sci. 2022, 13, 950120. [Google Scholar] [CrossRef]
  33. Ma, J.; Saleem, M.H.; Yasin, G.; Mumtaz, S.; Qureshi, F.F.; Ali, B.; Ercisli, S.; Alhag, S.K.; Ahmed, A.E.; Vodnar, D.C.; et al. Individual and combinatorial effects of SNP and NaHS on morpho-physio-biochemical attributes and phytoextraction of chromium through Cr-stressed spinach (Spinacia oleracea L.). Front. Plant Sci. 2022, 13, 973740. [Google Scholar] [CrossRef]
  34. De Souza, T.A.F.; Santos, D. Effects of using different host plants and long-term fertilization systems on population sizes of infective arbuscular mycorrhizal fungi. Symbiosis 2018, 76, 139–149. [Google Scholar] [CrossRef]
  35. De Melo, L.N.; de Souza, T.A.F.; Santos, D. Transpiratory rate, biomass production and leaf macronutrient content of different plant species cultivated on a regosol in the brazilian semiarid. Russ. Agric. Sci. 2019, 45, 147–153. [Google Scholar] [CrossRef]
  36. Ashworth, A.J.; Owens, P.R.; Allen, F.L. Long-term cropping systems management influences soil strength and nutrient cycling. Geoderma 2020, 361, 114062. [Google Scholar] [CrossRef]
  37. Austin, E.E.; Wickings, K.; McDaniel, M.D.; Robertson, G.P.; Grandy, A.S. Cover crop root contributions to soil carbon in a no-till corn bioenergy cropping system. Gcb Bioenergy 2017, 9, 1252–1263. [Google Scholar] [CrossRef]
  38. Rehman, H.; Aziz, T.; Farooq, M.; Wakeel, A.; Rengel, Z. Zinc nutrition in rice production systems: A review. Plant Soil 2012, 361, 203–226. [Google Scholar] [CrossRef]
  39. Ehsan, S.; Niaz, A.; Saleem, I.; Mehmood, K. Substitution of major nutrient requirement of rice-wheat cropping system through Sesbania green manuring. Sci. Agric. 2014, 8, 99–102. [Google Scholar]
  40. Muhmood, A.; Majeed, A.; Niaz, A.; Javid, S.; Shah, S.S.; Shah, A.H. Nutrients uptake and the yield of okra and carrot in response to bioslurry and inorganic N fertilizers. Int. J. Plant Soil Sci. 2015, 7, 297–305. [Google Scholar] [CrossRef]
  41. Piotrowska, A.; Wilczewski, E. Effects of catch crops cultivated for green manure and mineral nitrogen fertilization on soil enzyme activities and chemical properties. Geoderma 2012, 189, 72–80. [Google Scholar] [CrossRef]
  42. Arif, M.; Ilyas, M.; Riaz, M.; Ali, K.; Shah, K.; Haq, I.U.; Fahad, S. Biochar improves phosphorus use efficiency of organic-inorganic fertilizers, maize-wheat productivity and soil quality in a low fertility alkaline soil. Field Crop. Res. 2017, 214, 25–37. [Google Scholar] [CrossRef]
  43. Boselli, R.; Fiorini, A.; Santelli, S.; Ardenti, F.; Capra, F.; Maris, S.C.; Tabaglio, V. Cover crops during transition to no-till maintain yield and enhance soil fertility in intensive agro-ecosystems. Field Crops Res. 2020, 255, 107871. [Google Scholar] [CrossRef]
  44. Restovich, S.B.; Andriulo, A.E.; Armas-Herrera, C.M.; Beribe, M.J.; Portela, S.I. Combining cover crops and low nitrogen fertilization improves soil supporting functions. Plant Soil 2019, 442, 401–417. [Google Scholar] [CrossRef]
  45. Singh, V.K.; Dwivedi, B.S.; Tiwari, K.N.; Majumdar, K.; Rani, M.; Singh, S.K.; Timsina, J. Optimizing nutrient management strategies for rice–wheat system in the Indo-Gangetic Plains of India and adjacent region for higher productivity, nutrient use efficiency and profits. Field Crop. Res. 2014, 164, 30–44. [Google Scholar] [CrossRef]
  46. Ali, R.I.; Iqbal, N.; Saleem, M.U.; Akhtar, M. Efficacy of various organic manures and chemical fertilizers to improve paddy yield and economic returns of rice under rice-wheat cropping sequence. Int. J. Agric. Appl. Sci. 2012, 4, 135–140. [Google Scholar]
  47. Zhang, Z.; Li, J.; Hu, N.; Li, W.; Qin, W.; Li, J.; Gao, Y.; Liu, Y.; Sun, Z.; Yu, K. Spike growth affects spike fertility through the number of florets with green anthers before floret abortion in wheat. Field Crop. Res. 2021, 260, 108007. [Google Scholar] [CrossRef]
  48. Von Wandruszka, R. Phosphorus retention in calcareous soils and the effect of organic matter on its mobility. Geochem. Trans. 2006, 7, 6. [Google Scholar] [CrossRef] [PubMed]
  49. Dwivedi, B.S.; Shukla, A.K.; Singh, V.K.; Yadav, R.L. Improving nitrogen and phosphorus use efficiencies through inclusion of forage cowpea in the rice–wheat systems in the Indo-Gangetic Plains of India. Field Crop. Res. 2003, 80, 167–193. [Google Scholar] [CrossRef]
  50. Yadav, S.K.; Babu, S.; Yadav, M.K.; Singh, K.; Yadav, G.S.; Pal, S. A review of organic farming for sustainable agriculture in Northern India. Int. J. Agron. 2013, 2013, 718145. [Google Scholar] [CrossRef]
Disclaimer/Publisher’s Note: The statements, opinions and data contained in all publications are solely those of the individual author(s) and contributor(s) and not of MDPI and/or the editor(s). MDPI and/or the editor(s) disclaim responsibility for any injury to people or property resulting from any ideas, methods, instructions or products referred to in the content.

Article Metrics

Citations

Article Access Statistics

Multiple requests from the same IP address are counted as one view.