Glacier and Snow Cover Dynamics and Their Affecting Factors on the Pamir Plateau Section of the China–Pakistan Economic Corridor
Abstract
1. Introduction
2. Materials and Methods
2.1. Study Area
2.2. Data Sources
2.3. Methods
2.3.1. Remote Sensing-Based Extraction of Glacier and Snow Cover in GEE
2.3.2. Linear Regression Analysis
2.3.3. Correlation Analysis
3. Results
3.1. Spatiotemporal Characteristics of Glaciers and Snow Cover
3.1.1. Temporal Variation Characteristics
3.1.2. Spatial Variation Characteristics
3.2. Glacier Distribution at Different Elevations
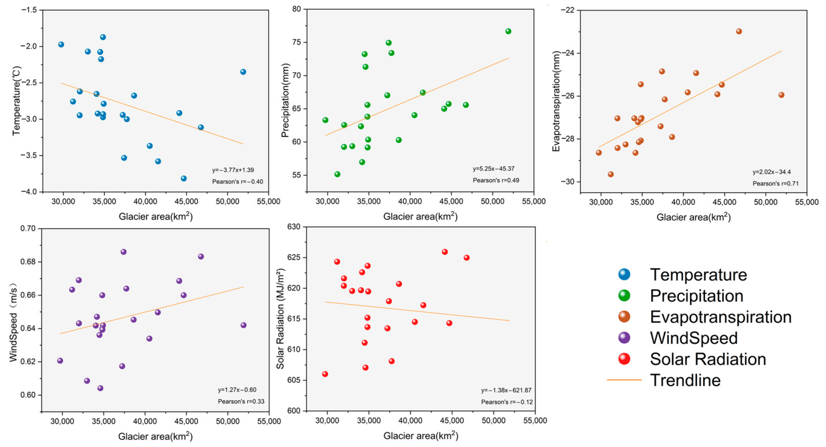
3.3. Correlation Analysis Between Climatic Factors and Glaciers
4. Discussion
4.1. Uncertainty Analysis
4.2. Spatial and Temporal Heterogeneity in Glacier Evolution
5. Conclusions
Author Contributions
Funding
Data Availability Statement
Acknowledgments
Conflicts of Interest
References
- Cannone, N.; Diolaiuti, G.; Guglielmin, M.; Smiraglia, C. Accelerating climate change impacts on alpine glacier forefield ecosystems in the European Alps. Ecol. Appl. 2008, 18, 637–648. [Google Scholar] [CrossRef] [PubMed]
- Kløve, B.; Ala-Aho, P.; Bertrand, G.; Gurdak, J.J.; Kupfersberger, H.; Kværner, J.; Muotka, T.; Mykrä, H.; Preda, E.; Rossi, P. Climate change impacts on groundwater and dependent ecosystems. J. Hydrol. 2014, 518, 250–266. [Google Scholar] [CrossRef]
- Zhang, Z.; Liu, L.; He, X.; Li, Z.; Wang, P. Evaluation on glaciers ecological services value in the Tianshan Mountains, Northwest China. J. Geogr. Sci. 2019, 29, 101–114. [Google Scholar] [CrossRef]
- Fu, Q.; Li, B.; Yang, L.; Wu, Z.; Zhang, X. Ecosystem services evaluation and its spatial characteristics in Central Asia’s arid regions: A case study in Altay Prefecture, China. Sustainability 2015, 7, 8335–8353. [Google Scholar] [CrossRef]
- Benn, D.I.; Owen, L.A. Himalayan glacial sedimentary environments: A framework for reconstructing and dating the former extent of glaciers in high mountains. Quat. Int. 2002, 97, 3–25. [Google Scholar] [CrossRef]
- Mishra, A.K.; Singh, V.P.; Jain, S.K. Impact of global warming and climate change on social development. J. Comp. Soc. Welf. 2010, 26, 239–260. [Google Scholar] [CrossRef]
- Molden, D.J.; Shrestha, A.B.; Nepal, S.; Immerzeel, W.W. Downstream implications of climate change in the Himalayas. In Water Security, Climate Change and Sustainable Development; Springer: Berlin/Heidelberg, Germany, 2015; pp. 65–82. [Google Scholar] [CrossRef]
- Milner, A.M.; Khamis, K.; Battin, T.J.; Brittain, J.E.; Barrand, N.E.; Füreder, L.; Cauvy-Fraunié, S.; Gíslason, G.M.; Jacobsen, D.; Hannah, D.M. Glacier shrinkage driving global changes in downstream systems. Proc. Natl. Acad. Sci. USA 2017, 114, 9770–9778. [Google Scholar] [CrossRef]
- Shah, S.; Ishtiaque, A. Adaptation to Glacial Lake Outburst Floods (GLOFs) in the Hindukush-Himalaya: A Review. Climate 2025, 13, 60. [Google Scholar] [CrossRef]
- Dubey, S.; Goyal, M.K. Glacial lake outburst flood hazard, downstream impact, and risk over the Indian Himalayas. Water Resour. Res. 2020, 56, e2019WR026533. [Google Scholar] [CrossRef]
- Clason, C.; Rangecroft, S.; Owens, P.N.; Łokas, E.; Baccolo, G.; Selmes, N.; Beard, D.; Kitch, J.; Dextre, R.M.; Morera, S. Contribution of glaciers to water, energy and food security in mountain regions: Current perspectives and future priorities. Ann. Glaciol. 2022, 63, 73–78. [Google Scholar] [CrossRef]
- Drenkhan, F.; Buytaert, W.; Mackay, J.D.; Barrand, N.E.; Hannah, D.M.; Huggel, C. Looking beyond glaciers to understand mountain water security. Nat. Sustain. 2023, 6, 130–138. [Google Scholar] [CrossRef]
- Brighenti, S.; Tolotti, M.; Bruno, M.C.; Wharton, G.; Pusch, M.T.; Bertoldi, W. Ecosystem shifts in Alpine streams under glacier retreat and rock glacier thaw: A review. Sci. Total Environ. 2019, 675, 542–559. [Google Scholar] [CrossRef] [PubMed]
- Milner, A.M.; Brown, L.E.; Hannah, D.M. Hydroecological response of river systems to shrinking glaciers. Hydrol. Process. Int. J. 2009, 23, 62–77. [Google Scholar] [CrossRef]
- Su, B.; Xiao, C.; Chen, D.; Huang, Y.; Che, Y.; Zhao, H.; Zou, M.; Guo, R.; Wang, X.; Li, X. Glacier change in China over past decades: Spatiotemporal patterns and influencing factors. Earth Sci. Rev. 2022, 226, 103926. [Google Scholar] [CrossRef]
- Momblanch, A.; Holman, I.P.; Jain, S.K. Current practice and recommendations for modelling global change impacts on water resource in the Himalayas. Water 2019, 11, 1303. [Google Scholar] [CrossRef]
- Rippa, A. Mapping the margins of China’s global ambitions: Economic corridors, Silk Roads, and the end of proximity in the borderlands. Eurasian Geogr. Econ. 2020, 61, 55–76. [Google Scholar] [CrossRef]
- Tao, S.; Hui, L.; Yeerken, W. Decentralization and collaborative disaster governance for the China-Pakistan Economic Corridor: Current trends and implications. J. Resour. Ecol. 2023, 14, 974–982. [Google Scholar] [CrossRef]
- Wang, W.; Xiang, Y.; Gao, Y.; Lu, A.; Yao, T. Rapid expansion of glacial lakes caused by climate and glacier retreat in the Central Himalayas. Hydrol. Process. 2015, 29, 859–874. [Google Scholar] [CrossRef]
- Wang, R.; Yao, Z.; Wu, S.; Liu, Z. Glacier retreat and its impact on summertime run-off in a high-altitude ungauged catchment. Hydrol. Process. 2017, 31, 3672–3681. [Google Scholar] [CrossRef]
- Ross, A.R.; Chang, H. Modeling the system dynamics of irrigators’ resilience to climate change in a glacier-influenced watershed. Hydrol. Sci. J. 2021, 66, 1743–1757. [Google Scholar] [CrossRef]
- Sivakumar, B. Global climate change and its impacts on water resources planning and management: Assessment and challenges. Stoch. Environ. Res. Risk Assess. 2011, 25, 583–600. [Google Scholar] [CrossRef]
- Thompson, S.S.; Benn, D.I.; Dennis, K.; Luckman, A. A rapidly growing moraine-dammed glacial lake on Ngozumpa Glacier, Nepal. Geomorphology 2012, 145, 1–11. [Google Scholar] [CrossRef]
- Jóhannesdóttir, G.; Gísladóttir, G. People living under threat of volcanic hazard in southern Iceland: Vulnerability and risk perception. Nat. Hazards Earth Syst. Sci. 2010, 10, 407–420. [Google Scholar] [CrossRef]
- Wu, K.; Feng, J.; Cheng, P.; Bolch, T.; Jiang, Z.; Liu, S.; Tahir, A.A. Surge Mechanisms of Garmo Glacier: Integrating Multi-Source Data for Insights into Acceleration and Hydrological Control. Remote Sens. 2024, 16, 4619. [Google Scholar] [CrossRef]
- Han, Y.; Zuo, D.; Xu, Z.; Wang, G.; Peng, D.; Pang, B.; Yang, H. Attributing the impacts of vegetation and climate changes on the spatial heterogeneity of terrestrial water storage over the Tibetan Plateau. Remote Sens. 2022, 15, 117. [Google Scholar] [CrossRef]
- Kuszewska, A.; Nitza-Makowska, A. Multifaceted aspects of economic corridors in the context of regional security: The China–Pakistan economic corridor as a stabilising and destabilising factor. J. Asian Secur. Int. Aff. 2021, 8, 218–248. [Google Scholar] [CrossRef]
- Zhou, Y.; Li, X.; Zheng, D.; Zhang, X.; Wang, Y.; Ren, S.; Guo, Y. Decadal changes in glacier area, surface elevation and mass balance for 2000–2020 in the eastern tanggula mountains using optical images and tandem-x radar data. Remote Sens. 2022, 14, 506. [Google Scholar] [CrossRef]
- Munir, R.; Khayyam, U. Ecological corridors? The case of China-Pakistan economic corridor. Geoforum 2020, 117, 281–284. [Google Scholar] [CrossRef]
- Hussain, H.; Bogheiry, A.; Alam, T. China Pakistan Economic Corridor (CPEC): Opportunities and challenges for Implementation. Pak. J. Int. Aff. 2023, 6. [Google Scholar] [CrossRef]
- Kousar, S.; Rehman, A.; Zafar, M.; Ali, K.; Nasir, N. China-Pakistan Economic Corridor: A gateway to sustainable economic development. Int. J. Soc. Econ. 2018, 45, 909–924. [Google Scholar] [CrossRef]
- Lin, Y. Opportunities and challenges in current China–Pakistan economic and trade relations. In Annual Report on the Development of the Indian Ocean Region (2017) The Belt and Road Initiative and South Asia; Springer: Berlin/Heidelberg, Germany, 2018; pp. 213–236. [Google Scholar] [CrossRef]
- Weidong, S. Pakistan-China relations: CPEC and beyond. Policy Perspect. J. Inst. Policy Stud. 2017, 14, 3–12. [Google Scholar] [CrossRef]
- Zhang, Z.; Xu, J.-L.; Liu, S.-Y.; Guo, W.-Q.; Wei, J.-F.; Feng, T. Glacier changes since the early 1960s, eastern Pamir, China. J. Mt. Sci. 2016, 13, 276–291. [Google Scholar] [CrossRef]
- Yahya, M.; Noreen, U.; Attia, K.A.; Jabeen, F.; Aslam, A.; Anjum, N.; Abbasi, A.; Zaidi, S.F.H. Assessing climate-driven glacial retreat, snow-cover reduction and GLOF risks: Implications for water resource management amid rising global temperatures and CO2. Mar. Freshw. Res. 2024, 75, MF24177. [Google Scholar] [CrossRef]
- Zhang, M.; Chen, F.; Zhao, H.; Wang, J.; Wang, N. Recent changes of glacial lakes in the high mountain asia and its potential controlling factors analysis. Remote Sens. 2021, 13, 3757. [Google Scholar] [CrossRef]
- Liu, Z.; Yang, Z.; He, N.; Wei, L.; Zhu, Y.; Jiao, W.; Wang, Z.; Zhang, T.; Zhang, J.; Zou, X. Three decades of glacial lake research: A bibliometric and visual analysis of glacial lake identification. Front. Ecol. Evol. 2023, 11, 1296111. [Google Scholar] [CrossRef]
- Moore, R.; Fleming, S.; Menounos, B.; Wheate, R.; Fountain, A.; Stahl, K.; Holm, K.; Jakob, M. Glacier change in western North America: Influences on hydrology, geomorphic hazards and water quality. Hydrol. Process. Int. J. 2009, 23, 42–61. [Google Scholar] [CrossRef]
- Li, J.; Li, Z.-W.; Ding, X.-L.; Wang, Q.-J.; Zhu, J.-J.; Wang, C.-C. Investigating mountain glacier motion with the method of SAR intensity-tracking: Removal of topographic effects and analysis of the dynamic patterns. Earth Sci. Rev. 2014, 138, 179–195. [Google Scholar] [CrossRef]
- Urrutia, R.; Vuille, M. Climate change projections for the tropical Andes using a regional climate model: Temperature and precipitation simulations for the end of the 21st century. J. Geophys. Res. Atmos. 2009, 114, 2461–2479. [Google Scholar] [CrossRef]
- Montillet, J.-P.; Kermarrec, G.; Forootan, E.; Haberreiter, M.; He, X.; Finsterle, W.; Fernandes, R.; Shum, C. A review on how Big Data can help to monitor the environment and to mitigate risks due to climate change. IEEE Geosci. Remote Sens. Mag. 2024, 12, 67–89. [Google Scholar] [CrossRef]
- Feng, A.; Chao, Q. An overview of assessment methods and analysis for climate change risk in China. Phys. Chem. Earth Parts A/B/C 2020, 117, 102861. [Google Scholar] [CrossRef]
- Ali, S.M.; Ali, S.M. Case study 1: The China–Pakistan economic corridor. In China’s Belt and Road Vision: Geoeconomics and Geopolitics; Springer: Berlin/Heidelberg, Germany, 2020; pp. 175–230. [Google Scholar] [CrossRef]
- Shafqat, S. The China–Pakistan Economic Corridor. Rethink. China Middle East Asia Mult. World 2022, 34, 96. [Google Scholar] [CrossRef]
- Minxing, H.; Sayed, M. China-Pakistan Economic Corridor and Geostrategic Development in The Middle East. J. Pak. China Stud. 2022, 3, 37–52. [Google Scholar] [CrossRef]
- Yao, T.; Bolch, T.; Chen, D.; Gao, J.; Immerzeel, W.; Piao, S.; Su, F.; Thompson, L.; Wada, Y.; Wang, L. The imbalance of the Asian water tower. Nat. Rev. Earth Environ. 2022, 3, 618–632. [Google Scholar] [CrossRef]
- Zhang, Y.; Gao, T.; Kang, S.; Shangguan, D.; Luo, X. Albedo reduction as an important driver for glacier melting in Tibetan Plateau and its surrounding areas. Earth Sci. Rev. 2021, 220, 103735. [Google Scholar] [CrossRef]
- Khromova, T.; Osipova, G.; Tsvetkov, D.; Dyurgerov, M.; Barry, R. Changes in glacier extent in the eastern Pamir, Central Asia, determined from historical data and ASTER imagery. Remote Sens. Environ. 2006, 102, 24–32. [Google Scholar] [CrossRef]
- Wang, J.; Zhou, S.; Zhao, J.; Zheng, J.; Guo, X. Quaternary glacial geomorphology and glaciations of Kongur Mountain, eastern Pamir, China. Sci. China Earth Sci. 2011, 54, 591–602. [Google Scholar] [CrossRef]
- Li, Z.; Wang, N.; Chen, A.A.; Liang, Q.; Yang, D. Slight change of glaciers in the Pamir over the period 2000–2017. Arct. Antarct. Alp. Res. 2022, 54, 13–24. [Google Scholar] [CrossRef]
- Waleed, M.; Sajjad, M. On the emergence of geospatial cloud-based platforms for disaster risk management: A global scientometric review of google earth engine applications. Int. J. Disaster Risk Reduct. 2023, 97, 104056. [Google Scholar] [CrossRef]
- Ghosh, S.; Kumar, D.; Kumari, R. Google earth engine based computational system for the earth and environment monitoring applications during the COVID-19 pandemic using thresholding technique on SAR datasets. Phys. Chem. Earth Parts A/B/C 2022, 127, 103163. [Google Scholar] [CrossRef]
- Salomonson, V.V.; Appel, I. Estimating fractional snow cover from MODIS using the normalized difference snow index. Remote Sens. Environ. 2004, 89, 351–360. [Google Scholar] [CrossRef]
- Raghubanshi, S.; Agrawal, R.; Rathore, B.P. Enhanced snow cover mapping using object-based classification and normalized difference snow index (NDSI). Earth Sci. Inform. 2023, 16, 2813–2824. [Google Scholar] [CrossRef]
- Scherler, D.; Wulf, H.; Gorelick, N. Global assessment of supraglacial debris-cover extents. Geophys. Res. Lett. 2018, 45, 11798–11805. [Google Scholar] [CrossRef]
- Riggs, G.A.; Hall, D.K.; Román, M.O. Overview of NASA’s MODIS and visible infrared imaging radiometer suite (VIIRS) snow-cover earth system data records. Earth Syst. Sci. Data 2017, 9, 765–777. [Google Scholar] [CrossRef]
- Xu, H. Modification of normalised difference water index (NDWI) to enhance open water features in remotely sensed imagery. Int. J. Remote Sens. 2006, 27, 3025–3033. [Google Scholar] [CrossRef]
- Rad, A.M.; Kreitler, J.; Sadegh, M. Augmented Normalized Difference Water Index for improved surface water monitoring. Environ. Model. Softw. 2021, 140, 105030. [Google Scholar] [CrossRef]
- Liu, S.; Qiu, J.; Li, F. A remote sensing water information extraction method based on unsupervised form using probability function to describe the frequency Histogram of NDWI: A case study of Qinghai Lake in China. Water 2024, 16, 1755. [Google Scholar] [CrossRef]
- Ali, S.; Cheema, M.J.M.; Waqas, M.M.; Waseem, M.; Awan, U.K.; Khaliq, T. Changes in snow cover dynamics over the Indus Basin: Evidences from 2008 to 2018 MODIS NDSI trends analysis. Remote Sens. 2020, 12, 2782. [Google Scholar] [CrossRef]
- Shreve, C.M.; Okin, G.S.; Painter, T.H. Indices for estimating fractional snow cover in the western Tibetan Plateau. J. Glaciol. 2009, 55, 737–745. [Google Scholar] [CrossRef]
- Su, X.; Yan, X.; Tsai, C.L. Linear regression. Wiley Interdiscip. Rev. Comput. Stat. 2012, 4, 275–294. [Google Scholar] [CrossRef]
- Sedgwick, P. Pearson’s correlation coefficient. BMJ 2012, 345, e4483. [Google Scholar] [CrossRef]
- Racoviteanu, A.E.; Nicholson, L.; Glasser, N.F. Surface composition of debris-covered glaciers across the Himalaya using linear spectral unmixing of Landsat 8 OLI imagery. Cryosphere 2021, 15, 4557–4588. [Google Scholar] [CrossRef]
- Brun, F.; Dumont, M.; Wagnon, P.; Berthier, E.; Azam, M.; Shea, J.; Sirguey, P.; Rabatel, A.; Ramanathan, A. Seasonal changes in surface albedo of Himalayan glaciers from MODIS data and links with the annual mass balance. Cryosphere 2015, 9, 341–355. [Google Scholar] [CrossRef]
- Shea, J.; Menounos, B.; Moore, R.; Tennant, C. An approach to derive regional snow lines and glacier mass change from MODIS imagery, western North America. Cryosphere 2013, 7, 667–680. [Google Scholar] [CrossRef]
- Zhang, R.; Shi, G.; Wang, Y.; Zhao, S.; Ahmad, S.; Zhang, X.; Deng, Q. Social impact assessment of investment activities in the China–Pakistan economic corridor. Impact Assess. Proj. Apprais. 2018, 36, 331–347. [Google Scholar] [CrossRef]
- Hu, S. Connecting the “One Belt and One Road” initiative with the interconnected Himalayan region—Reflections on the construction of the China–Nepal–India Economic Corridor. In Annual Report on the Development of the Indian Ocean Region (2017) The Belt and Road Initiative and South Asia; Springer: Berlin/Heidelberg, Germany, 2018; pp. 51–101. [Google Scholar] [CrossRef]
- Pei, Y.; Qiu, H.; Yang, D.; Liu, Z.; Ma, S.; Li, J.; Cao, M.; Wufuer, W. Increasing landslide activity in the Taxkorgan River Basin (eastern Pamirs Plateau, China) driven by climate change. Catena 2023, 223, 106911. [Google Scholar] [CrossRef]
- Pei, Y.; Qiu, H.; Zhu, Y.; Wang, J.; Yang, D.; Tang, B.; Wang, F.; Cao, M. Elevation dependence of landslide activity induced by climate change in the eastern Pamirs. Landslides 2023, 20, 1115–1133. [Google Scholar] [CrossRef]
- Schmidt, S.; Nüsser, M. Changes of high altitude glaciers in the Trans-Himalaya of Ladakh over the past five decades (1969–2016). Geosciences 2017, 7, 27. [Google Scholar] [CrossRef]
- Bogdal, C.; Bucheli, T.D.; Agarwal, T.; Anselmetti, F.S.; Blum, F.; Hungerbühler, K.; Kohler, M.; Schmid, P.; Scheringer, M.; Sobek, A. Contrasting temporal trends and relationships of total organic carbon, black carbon, and polycyclic aromatic hydrocarbons in rural low-altitude and remote high-altitude lakes. J. Environ. Monit. 2011, 13, 1316–1326. [Google Scholar] [CrossRef]
- Negi, H.S.; Kumar, A.; Kanda, N.; Thakur, N.; Singh, K. Status of glaciers and climate change of East Karakoram in early twenty-first century. Sci. Total Environ. 2021, 753, 141914. [Google Scholar] [CrossRef]
- Mehta, M. Existing and Potential Changes in Himalayan Glaciers: In Climate Change Perspective. In Natural Hazards and Risk Mitigation: Natural Hazards in Himalaya and Risk Mitigation; Springer: Berlin/Heidelberg, Germany, 2024; pp. 149–172. [Google Scholar]
- Schoenbohm, L.M.; Chen, J.; Stutz, J.; Sobel, E.R.; Thiede, R.C.; Kirby, B.; Strecker, M.R. Glacial morphology in the Chinese Pamir: Connections among climate, erosion, topography, lithology and exhumation. Geomorphology 2014, 221, 1–17. [Google Scholar] [CrossRef]
- Guo, S.; Du, P.; Xia, J.; Tang, P.; Wang, X.; Meng, Y.; Wang, H. Spatiotemporal changes of glacier and seasonal snow fluctuations over the Namcha Barwa–Gyala Peri massif using object-based classification from Landsat time series. ISPRS J. Photogramm. Remote Sens. 2021, 177, 21–37. [Google Scholar] [CrossRef]
- Porporato, A.; Feng, X.; Manzoni, S.; Mau, Y.; Parolari, A.J.; Vico, G. Ecohydrological modeling in agroecosystems: Examples and challenges. Water Resour. Res. 2015, 51, 5081–5099. [Google Scholar] [CrossRef]









| Product | Band Number | Spatial Resolution | Time Range | Band Name |
|---|---|---|---|---|
| MODIS | sur_refl_b02 sur_refl_b04 sur_refl_b06 | 500 m | 2000–2022 | near-IR (NIR) |
| Green | ||||
| SWIR2 | ||||
| Landsat 5 | B2 | 30 m | 2000 | Green |
| B4 | near-IR (NIR) | |||
| B5 | SWIR1 | |||
| Landsat 8 | B3 | 30 m | 2020 | Green |
| B5 | near-IR (NIR) | |||
| ERA5-Land Monthly Aggregated—ECMWF Climate Reanalysis | temperature_2m | 11,132 m | 2000–2022 | Temperature |
| total_precipitation_sum | Precipitation | |||
| surface_solar_radiation_downwards_sum | Solar radiation | |||
| total_evaporation_sum | Evapotranspiration | |||
| u_component_of_wind_10m v_component_of_wind_10m | Wind speed |
| Year | Landsat (×103 km2) | MODIS(×103 km2) | Relative Error (%) |
|---|---|---|---|
| 2000 | 24.43 | 33.06 | 35.31 |
| 2022 | 21.66 | 29.03 | 34.01 |
Disclaimer/Publisher’s Note: The statements, opinions and data contained in all publications are solely those of the individual author(s) and contributor(s) and not of MDPI and/or the editor(s). MDPI and/or the editor(s) disclaim responsibility for any injury to people or property resulting from any ideas, methods, instructions or products referred to in the content. |
© 2025 by the authors. Licensee MDPI, Basel, Switzerland. This article is an open access article distributed under the terms and conditions of the Creative Commons Attribution (CC BY) license (https://creativecommons.org/licenses/by/4.0/).
Share and Cite
Han, Y.; Wang, Y.; Ma, X.; Shang, Y. Glacier and Snow Cover Dynamics and Their Affecting Factors on the Pamir Plateau Section of the China–Pakistan Economic Corridor. Land 2025, 14, 880. https://doi.org/10.3390/land14040880
Han Y, Wang Y, Ma X, Shang Y. Glacier and Snow Cover Dynamics and Their Affecting Factors on the Pamir Plateau Section of the China–Pakistan Economic Corridor. Land. 2025; 14(4):880. https://doi.org/10.3390/land14040880
Chicago/Turabian StyleHan, Yonglong, Yonghui Wang, Xiaofei Ma, and Yanjun Shang. 2025. "Glacier and Snow Cover Dynamics and Their Affecting Factors on the Pamir Plateau Section of the China–Pakistan Economic Corridor" Land 14, no. 4: 880. https://doi.org/10.3390/land14040880
APA StyleHan, Y., Wang, Y., Ma, X., & Shang, Y. (2025). Glacier and Snow Cover Dynamics and Their Affecting Factors on the Pamir Plateau Section of the China–Pakistan Economic Corridor. Land, 14(4), 880. https://doi.org/10.3390/land14040880

