Abstract
Correctly understanding existing plantations and improving the cycles and effects of ecological restoration in sandy areas have become important scientific issues. Consequently, we selected different diameters at breast height (DBHs) for Populus spp. and Pinus sylvestris var. mongolica (P. sylvestris var. mongolica) and varying diameters at the base (DBs) of Caragana microphylla Lam. (C. microphylla) as research subjects in the sandy plantations in northwestern Liaoning Province. Soil samples were collected along a gradient at distances of 20 cm, 60 cm, and 120 cm from the tree base. Our objective was to investigate the connections among various afforestation species, DBHs or DBs (age), and soil nutrients. The results from our study area revealed that (1) the soil nutrient contents were extremely low; (2) the DBHs or DBs were not significantly related to soil exchangeable phosphorus (EP), total potassium (TK), or Pondus Hydrogenii (pH) but had a significant or moderately positive correlation with soil organic carbon (SOC), exchangeable potassium (EK), total nitrogen (TN), total carbon (TC), and total phosphorus (TP). The most significant relationship was with EK at a distance of 20 cm from the tree base; (3) the three afforestation species presented different trends in terms of the soil nutrient contents among the different distances from the tree base; and (4) the EK in the Populus spp. plantations was significantly greater than that in the P. sylvestris var. mongolica plantations and moderately significantly greater than that in the C. microphylla plantations. The pH levels in P. sylvestris var. mongolica plantations were significantly lower than those in Populus spp. plantations and C. microphylla plantations. Our study provides valuable insights into the synergistic development between sandy plantations and soil dynamics. This study provides important evidence for selecting suitable plant species for vegetation restoration and improvement efforts in sandy lands.
1. Introduction
Land desertification is a global environmental issue [1]. Approximately one-third of the world’s land area is affected by desertification, with approximately 12 million hectares of land being degraded each year [2]. Land degradation leads to water scarcity and loss of biodiversity and exacerbates poverty and social instability [3,4]. China is one of the countries with the largest area of desertification in the world, with 176,000 square kilometers of sandy land, affecting more than 50 million people [5,6]. The distribution of desertification in China is mainly concentrated in arid regions in the north. In particular, northwestern Liaoning Province is widely covered by sandy land [7]. This area has a fragile ecological environment, which impacts local sustainable development and ecological security. To effectively manage the sandy land in northwestern Liaoning Province and strengthen ecological protection and restoration efforts, large-scale shelterbelt construction projects have been implemented in this region in recent years [8]. Through afforestation, soil erosion in northwestern Liaoning Province has been effectively controlled while also promoting the restoration of biodiversity and the accumulation of soil carbon stocks [9].
Afforestation is one of the key measures used to restore the ecosystem functions of sandy land and improve land quality [10,11]. In northwestern Liaoning Province, Caragana microphylla Lam. (C. microphylla), Populus spp., and Pinus sylvestris var. mongolica (P. sylvestris var. mongolica) are the primary species used for afforestation. Studies have confirmed that these three species are ideal for afforestation in sandy areas because they can better adapt to the sandy environment [12,13]. Previous studies showed that, Populus spp. plantations could promote the accumulation of soil organic carbon (SOC) [14]. Researchers conducting studies at the southern edge of the Horqin Sandy Land discovered that, as the stand age of poplar plantations increased, significant changes occurred in soil nutrient content. These alterations were closely associated with the quantity and decomposition rate of leaf litter [15]. Populus spp. litter significantly influenced soil respiration rates, thereby affecting carbon cycling processes [16]. Additionally, the crown width of poplars was found to be quite sensitive to climate change [17]. Studies also indicated that the SOC content in P. sylvestris var. mongolica plantations increased with stand age [18]. The nutrient release from P. sylvestris var. mongolica litter was both low and slow, which could acidify the underlying soil [19,20]. P. sylvestris var. mongolica exhibited a typical coniferous crown structure. Research in the Horqin Sandy Land demonstrated that varying planting densities of Mongolian pine affected its crown structure and growth characteristics [21]. C. microphylla could alter the microclimate, increase litter input, and increase the carbon and nitrogen contents of sandy land [22]. It could also promote the growth of herbaceous species in the Horqin Sandy Land, and the soil carbon and nitrogen concentrations significantly increased with the plantation ages [23,24]. C. microphylla had a compact tree crown structure [25]. Its root system coexisted with rhizobia, which could fix nitrogen, increase soil nitrogen content, and thus affect the composition and structure of plant communities [26]. In addition to species and age, the distance from the tree base may also impact soil nutrients, which are seldom documented. Recently, sandy plantations and soils have experienced significant degradation [27,28,29]. Many unknown factors affect the sustainable development of plantation forests. This degradation may be partly due to limited amounts of soil nutrients and soil water [30,31]. In addition, the long-term synergistic interactions among different tree species and soil nutrients are still unclear [32]. Therefore, how the species and their ages and distance from the tree base affect soil nutrients in the sandy land of northwestern Liaoning Province require further investigation.
It should be noted that due to the lack of historical literature, the age of most of the plantations in northwestern Liaoning Province is no longer traceable. Research showed that there was a certain correlation between the diameter at breast height (DBH) or diameter at base (DB) and tree age, which could be used to estimate tree age [33,34,35,36,37,38]. Our research aimed to explore the interaction between soil and plants using DBHs or DBs as a substitute for the plantation’s age. In this work, we chose C. microphylla, Populus spp., and P. sylvestris var. mongolica plantations and explored the effects of different tree species, their diameter at breast height (DBH) or diameter at base (DB), and their distances from tree bases on the soil nutrients in northwestern Liaoning Province. This research provides new insights for studying the synergistic development of sandy land plantations and soil nutrients and offers important guidance for species selection in the vegetation restoration and improvement in sandy land.
2. Materials and Methods
2.1. Study Area
Our study area is located in northwestern Liaoning Province, China, on the southern edge of the Horqin Sandy Land (Figure 1), which is a typical representative arid region in northern China. This area is an intertwined zone of mesothermal and warm temperate zones, a semi-humid and semi-arid intertwined zone, a forest-steppe transition zone, and the last natural barrier from the Mongolian Plateau to the Liaohe Plain. The annual average temperature was approximately 7 °C, with an average annual precipitation of about 450 mm and uneven temporal and spatial distributions of precipitation. The annual evaporation was approximately 1550 mm, which was about 3.5 times the precipitation amount. This area is characterized by serious soil erosion and a fragile ecological environment and is one of the more serious areas of land sanding. The soil type of the area is mainly wind-sand soil, which is characterized by low fertility, high sand content, loose structure, and susceptibility to hydraulic erosion [39,40]. To address this issue, local governments and research institutions have initiated numerous afforestation projects. Our study focused on three dominant afforestation species: C. microphylla, Populus spp., and P. sylvestris var. mongolica. Among them, C. microphylla is a shrub, while the other two are trees.
Figure 1.
Locations of the study area and sampling plots.
2.2. Field Survey and Sampling
We set up 124 sampling plots, including types such as plantations, bare sand, and logging areas. We set 3 sampling points for each plot in the plantations and 1 sampling point for the remaining types for a total of 234 sampling points (Figure 1). Due to the influence of terrain and vegetation conditions, the plot sizes in both parts of the study area were set between 10 m × 10 m and 50 m × 50 m. In September 2020, we conducted a comprehensive vegetation and soil survey of each point. We collected one soil sample and one herbaceous sample from each sampling point. In this process, we needed to ensure that the distributions of different species in our plots were relatively homogeneous and that the vegetation coverage in the area was as consistent as possible.
The areas we surveyed lacked precise records of the ages of the plantations. But DBHs or DBs are often used as the proxy for tree age. So, we measured the DBHs for Populus spp. and P. sylvestris var. mongolica, whereas the DBs were measured for C. microphylla in each sample plot. In our study area, 65 plots were distributed with plantations and the survival rate of the afforestation species was nearly 100%, with varying amounts of litter present (Figure 2). We recorded the average DBH or DB of the afforestation species in each plantation (Table 1).
Figure 2.
Illustration of the soil sampling gradient schemes in sandy plantations.
Table 1.
The number of plantation plots with different DBH or DB.
We also surveyed the dominant herbaceous species around the three afforestation species and in the understory (Table 2). The size of the sampling area for herbaceous plants at each sample point was 1 m2, and herbaceous plants were collected using the mowing method. The samples were placed in kraft envelopes and brought back to the laboratory and dried in an oven at 105 °C for half an hour and then at 65 °C until constant weight. After drying, the herbaceous samples were weighed to obtain the aboveground biomass (g/m2) for each quadrat. Soil samples were collected at distances of 20 cm, 60 cm, and 120 cm from the tree base (Figure 2). Approximately 300 g of soil samples were collected by excavating the top soil layer (0–20 cm) with a spade and packed in a cloth bag.
Table 2.
The dominant herbaceous plants under the three afforestation species.
Soil samples were air-dried indoors and ensured to be free of impurities, such as gravel, grass roots, and leaves, and then ground and sieved. We measured the fine fraction, with the exception of pH, which required sieving through a 20-mesh (0.85 mm) sieve, and seven other soil variables, which required sieving through a 100-mesh (0.15 mm) sieve. The SOC contents were measured using the potassium dichromate oxidation-external heating method. The total carbon (TC) contents were measured with an elemental analyzer. The total nitrogen (TN) contents were determined using the Kjeldahl method. The total phosphorus (TP) contents were measured by using the acid-soluble Mo–Sb colorimetric method, and the total potassium (TK) contents were measured by using the acid-soluble flame photometry method. The exchangeable phosphorus (EP) was measured by the sodium bicarbonate Mo–Sb colorimetric method. The exchangeable potassium (EK) was measured using the ammonium acetate extraction flame photometry method. The soil Pondus Hydrogenii (pH) was measured by the potentiometric method [41]. These variables are important for evaluating nutrient status and are crucial for plant growth and development [42,43,44,45].
2.3. Statistical Analyses
To investigate the soil nutrients with respect to tree species, DBHs or DBs, and dis-tance to the tree base, we grouped SOC, TC, TN, TP, TK, EP, EK, and pH content data according to the soil sampling gradient and calculated the mean values. The Spearman correlation coefficient method was used to test the relationships between the DBHs or DBs and the soil variables via SPSS 26.0 (IBM Corporation, Armonk, NY, USA). We further grouped the data according to the three different tree species. Using repeated measures analysis of variance (ANOVA) in RStudio (version 4.3.2), we analyzed the differences among the tree species and various soil variables and compared their changes across different distances from the tree base. Furthermore, we analyzed the significance of the mean values of each soil variable for the three tree species to determine if there were significant differences in their impacts on the soil. This analysis was also conducted using SPSS 26.0 (IBM Corporation, Armonk, NY, USA), and the data were log-transformed to fit normal distributions.
3. Results
3.1. Descriptive Statistics of the Soil Variables
The contents of the soil variables in all soil samples were analyzed (Table 3). Each variable was graded according to the six-level soil fertility classification standard recommended by the Second National Soil Survey of China. Level 1 indicates the best soil quality with abundant nutrient contents, whereas Level 6 indicates the poorest soil quality with critically deficient nutrient levels.
Table 3.
Soil nutrient status of the sandy land sampling points in northwestern Liaoning Province.
In the study area, the SOC contents ranged from 1.01 (bare sand) to 11.036 g·kg−1 (Populus spp.), the EP contents ranged from 0.102 to 44.832 mg·kg−1 (Populus spp.), the EK contents ranged from 22.081 (P. sylvestris var. mongolica) to 271.694 mg·kg−1 (Populus spp.), the TN contents ranged from 0.011% (logging area) to 0.105% (Populus spp.), the TC contents ranged from 0.068% (Bare sand) to 1.089% (Populus spp.), the TP contents ranged from 42.369 to 230.865 mg·kg−1 (Populus spp.), the TK contents ranged from 1.554 to 3.129 g·100 g−1 (Populus spp.), and the pH ranged from 5.21 (P. sylvestris var. mongolica) to 8.2 (cropland). The average SOC, TC, TN, and TP contents were in an urgent deficiency state of Level 6. The average soil pH was less than 7, indicating that the soil was weakly acidic overall.
In addition, the coefficient of variation can characterize the degree of dispersion of a variable. When the coefficient of variation is less than 0.1, the variable demonstrates weak variation; when it is between 0.1 and 1, it has moderate variation; and when it is greater than 1, it has strong variation. The pH values showed weak variability, TP values showed strong variability, and the other variables showed moderate variability. This suggested that the soil nutrients in the sandy land of northwestern Liaoning Province exhibited a moderate degree of variability (Figure 3).
Figure 3.
Correlations between the DBHs or DBs of the three afforestation species and the soil variable contents. The horizontal axis represents the names of various variables. The vertical axis represents the soil sampling gradient and average values of each variable. The circle sizes indicate the significance of the correlation (i.e., significant if the p value was less than 0.01, moderately significant if the p value was between 0.01 and 0.05, and not significant if the p value was greater than 0.05). The colors of the circle edges represent positive or negative correlation coefficients, with red indicating positive correlation coefficients and green indicating negative correlations. Different shades within the circles represent the average contents of soil variables at different distances from the tree base (maximum, median, minimum), with yellow representing the mean (Refer to Table 4 for specific values).
3.2. The Relationships Between the DBHs or DBs, Distances from the Tree Base, and Soil Variables
The values of soil variables for different types in our study area are shown in Table 4. For further analysis, we linked the DBHs or DBs of the trees in the study area with the soil sampling gradient and explored their interactive relationships with soil variables (Figure 3).
Table 4.
The values of the soil variables in the different types.
According to our survey, the DBHs or DBs of the three afforestation species were not significantly related to the EP, TK, or pH of the soil. There were significant positive correlations between the DBHs or DBs and the average contents of SOC, EK, TN, TC, and TP, with EK having the most significant relationship.
Along the soil sampling gradient, the DBHs or DBs were positively correlated with the soil SOC, EK, TN, TC, and TP contents and negatively correlated with TK, but not all correlations were significant. Some variables were moderately significant or not significant. Specifically, there was no significant relationship between the DBHs or DBs and TK at any distance from the tree base. The most significant relationship was for EK at a distance of 20 cm from the tree base, but as the distance increased, the significance decreased sharply. The relationship was not significant at distances of 60 cm or 120 cm from the tree base. There was a significant correlation between the DBHs or DBs and TC at a distance of 60 cm from the tree base, but the correlations were moderately significant at distances of 20 cm and 120 cm. The TC contents gradually decreased with increasing distance from the tree base. There was a moderately significant relationship between DBHs or DBs and SOC content at varying distances from the tree base. As the distance increased, the degree of correlation between the DBHs or DBs and SOC increased, but the SOC content gradually decreased. There was a moderately significant correlation between the DBHs or DBs and the TN content at distances of 20 cm and 60 cm from the tree base, whereas this relationship was not significant at 120 cm. As the distance increased, the TN content gradually decreased. For TP, the relationship with the DBHs or DBs was not significant at a distance of 20 cm from the tree base but was moderately significant at distances of 60 cm and 120 cm. As the distance increased, the TP content gradually increased.
3.3. The Impact of Tree Species and Distance to the Tree Base on Soil Variables
The effects of the three afforestation species on various soil variables and the aboveground biomass (BIO) of herbaceous plants at different distances from the tree base are shown in Figure 4. The average contents of various soil variables in bare sand and logging area land were compared, as shown in Table 2.
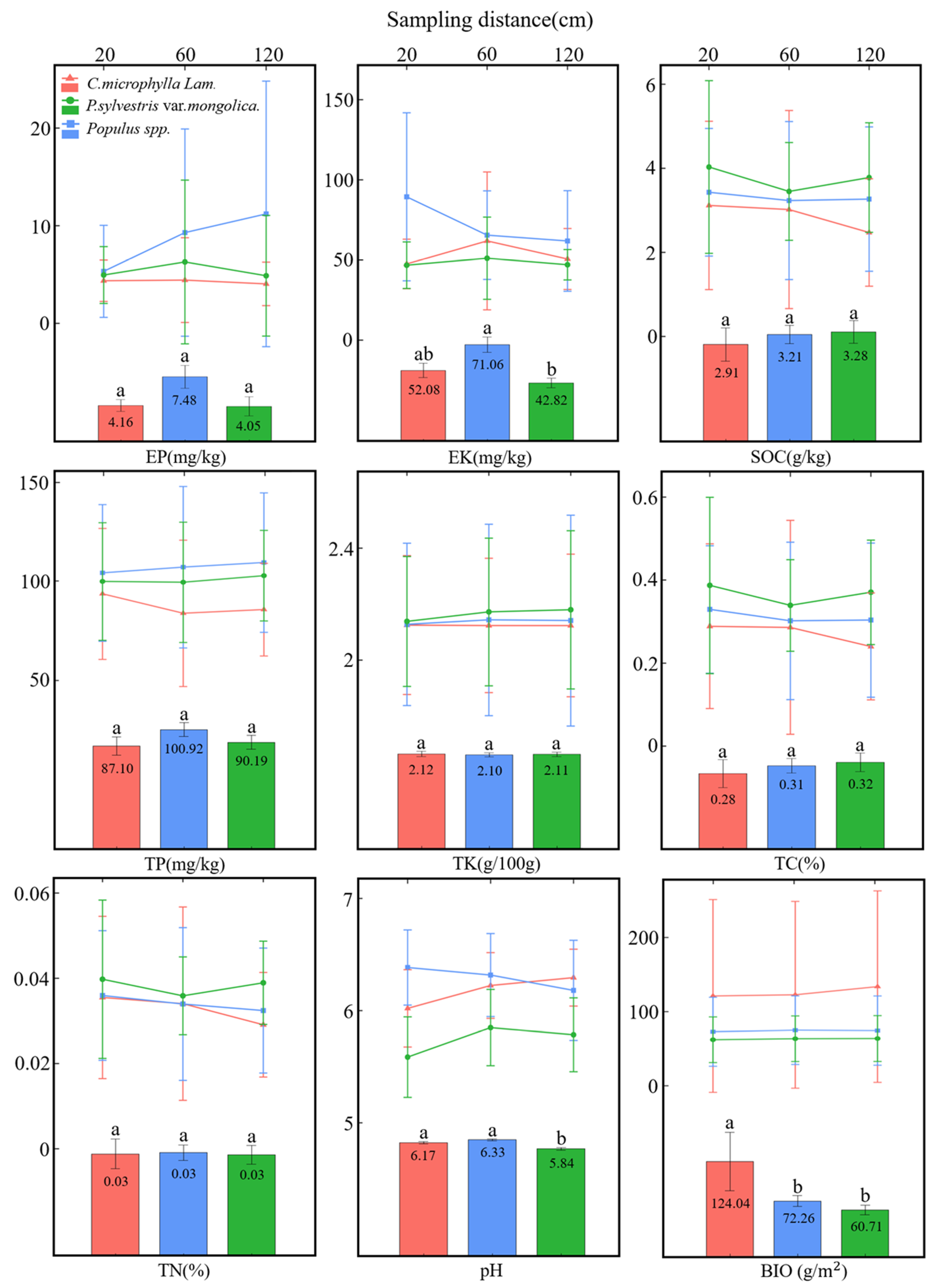
Figure 4.
SOC, TC, TN, TP, TK, EP, EK, pH, and BIO varied with the soil sampling gradient for different afforestation species. The horizontal axis represents the soil sampling gradient. The vertical axis represents the values of the soil variables. In both the line and bar charts, three colors represent the three different afforestation species, and the same color represents the same afforestation species. The error bars indicate the standard errors. The bar charts represent the mean values ± standard errors (SEs) for the three tree species. Different letters represent significant differences between different afforestation species (p < 0.05).
The soil nutrient contents of C. microphylla, Populus spp., and P. sylvestris var. mongolica were greater than those of bare sand and logging area (Table 2). Compared with those of bare sand, the average EP contents for the afforested species increased by 771%, the TC contents increased by 330%, the TN contents increased by 227%, and the EK contents increased by 135%. The EK content in Populus spp. plantations was significantly greater than that in P. sylvestris var. mongolica plantations and moderately greater than that in C. microphylla plantations (p < 0.05). The pH of the P. sylvestris var. mongolica plantations was significantly lower than those of Populus spp. plantations and C. microphylla plantations (p < 0.05). P. sylvestris var. mongolica plantations presented greater soil acidity. Populus spp. plantations presented relatively high EP, TP, and EK contents; P. sylvestris var. mongolica plantations presented relatively high SOC and TC contents; and C. microphylla plantations presented relatively high TK contents, but these differences were not significant. The average TN content ranged from 0.0332% to 0.0339% across the different plantations, with no significant differences. The BIO in C. microphylla plantations was significantly greater than those in P. sylvestris var. mongolica plantations and Populus spp. plantations (Figure 4, p < 0.05).
The contents of the soil variables in the different plantations varied along the soil sampling gradient. The content of EK in Populus spp. plantations significantly decreased from 20 cm to 60 cm (p < 0.05). C. microphylla and P. sylvestris var. mongolica plantations exhibited trends of first increasing and then decreasing from 20 cm to 120 cm. The changes in the TC, SOC, and TN contents of the three tree species were generally similar. The changes in TK were not significant for the three afforestation species with increasing distance from the tree base. The EP contents significantly increased with increasing distance from the tree base in Populus spp. plantations (p < 0.05). The EP contents in P. sylvestris var. mongolica plantations initially increased but then decreased, and the EP contents in C. microphylla plantations did not significantly change. In terms of the TP contents, these in C. microphylla plantations tended to initially decrease but then gradually increased with increasing distance from the tree base, whereas Populus spp. and P. sylvestris var. mongolica fluctuated little. As the distance increased, the pH of C. microphylla plantations tended to increase, that of Populus spp. tended to decrease, and that of P. sylvestris var. mongolica initially increased but then decreased.
4. Discussion
4.1. Relationships Between the DBHs or DBs, Distances from the Tree Base, and Soil Variables
The DBH or DB of a tree is a good proxy for the age of the tree. But there were also certain limitations: the growth rate and morphological characteristics of different species varied significantly, and even under the same environmental conditions, individuals with the same DBHs or DBs might have different ages [46]; environmental factors, such as soil, climate, and water supply, could affect the growth rate of trees, thereby influencing the relationship between DBHs or DBs and age [47]. Even within the same species and similar environmental conditions, there might be differences in growth rates between individuals due to genetic variations, resulting in inconsistent relationships between DBHs or DBs and age [37]. The lack of precise records of plantations age was a limitation of the study, and future research should aim to include accurate age data. Generally speaking, the larger the DBH or DB of a tree is, the older the tree is, which typically corresponds to a longer management period for plantations [37,48]. In general, with increasing plantation age, the nutrient content of soils tends to increase [15,49,50]. Our results revealed that the contents of SOC, EK, TN, TC, and TP were positively correlated with DBHs or DBs (Figure 3). This finding is in line with previous studies [15,49,50]. However, the relationships between the DBHs or DBs and the contents of soil EP, TK, and pH for the three afforestation species were not significant, possibly because these soil properties are more strongly influenced by other factors, such as soil type, climatic conditions, terrain, and different land use practices and management strategies, among others [51]. Climatic conditions, including temperature and precipitation, further regulate nutrient cycling [45]. Terrain, such as slope and elevation, influences erosion rates, moisture distribution, and nutrient availability [52]. Land use and management practices, such as agriculture, deforestation, and fertilization, can heavily deplete soil nutrients [53,54]. Together, these factors create a complex and multifaceted system where the impact of individual tree dimensions becomes challenging to isolate.
Our results revealed that the influence of DBHs or DBs of the three afforestation species on the soil EK contents was the most significant, especially at a distance of 20 cm from the tree base (Figure 3). This may be because, compared to other elements, EK can be more readily replenished in the soil solution [55,56,57]. As the root system of trees grows and extends, the relationship between DBHs or DBs and soil EK content becomes more significant, especially with a greater impact on the tree base. Conversely, TP had lower mobility in the soil and primarily existed in insoluble forms [58,59]. Thus, the soil located farther from the roots tended to have higher TP contents because of a lack of root absorption.
Trees not only absorb nutrients from the surrounding soil but also input necessary nutrients to the soil around the tree base through litter, dead branches, and fallen leaves [60,61]. The larger the DBH or DB is, the larger the tree crown and the greater the area covered by litter [37]. Carbon and nitrogen are largely derived from litter decomposition [62,63]. In our study area, the TC, SOC, and TN contents tended to be relatively high near the tree base and gradually decreased as the distance to the tree base increased. This might be attributed to the fact that litter is distributed mainly near tree roots [64,65].
4.2. Impact of Tree Species and Distance to the Tree Base on Soil Variables
The establishment and development of different plant communities can influence soil properties [66]. As shown in our study, the contents of the soil variables in the different plantations varied along the soil sampling gradient. Notably, understory herbaceous plants absorb nutrients primarily from the surface soil layer. Therefore, the changes in soil nutrients with distance from the tree base in our study area might be attributed to the differences in understory vegetation types [67]. For example, Song et al. reported that understory vegetation types influence the distribution of soil nutrients in Chinese fir plantations [68]. Wu et al. reported differences in the contributions of herbaceous layer plants to soil nutrient variations [69]. Pan et al. revealed that understory vegetation types affect soil carbon and nitrogen cycling through differences in litter or root mass [70]. These results might indicate the significant role of understory vegetation in soil nutrient changes, explaining the variations in soil nutrient dynamics among the three afforestation species at different distances from the tree base in our study.
Cao et al. reported that the soil TP contents in broadleaf forests were significantly greater than those in coniferous forests [71]. In our study, the TP contents in Populus spp. plantations were greater than those in P. sylvestris var. mongolica plantations. However, the difference was not significant, which confirms the finding that tree species are not the key factor that influences soil TP contents in northern China [72]. Moreover, the changes in EK content along the soil sampling gradient in the three plantations shown in Figure 3 were consistent with the changes in EK in the Populus spp. plantations in Figure 4 but were inconsistent with those for the other two tree species, indicating that Populus spp. had a more significant impact on the soil EK content among the three afforestation species.
The BIO of C. microphylla plantations was significantly greater than those of Populus spp. and P. sylvestris var. mongolica plantations, which was likely due to differences in canopy closure. Canopy closure in forests regulates environmental factors, such as light, water, nutrients, temperature, and wind speed, which significantly influence the development of herbaceous plants [73,74]. Additionally, Su et al. reported that C. microphylla promotes the establishment and development of herbaceous species and that species diversity increases with the age of plantations [23]. This finding was consistent with our findings. The lower BIO in the P. sylvestris var. mongolica plantations might also be due to the poor quality of the coniferous litter, which was less easily decomposed. Its allelopathic effects might inhibit the development of herbaceous plants [75,76]. Among the three afforestation species, the soil nutrient content in C. microphylla plantations was relatively low, but the BIO was relatively high. This suggested that soil nutrients might not be the key factor influencing vegetation productivity.
The nutrient contents in the soil are also influenced by various other factors, as mentioned earlier, including soil type, climatic conditions, topography, and different land use practices and management strategies. Therefore, the relationships among different tree species, DBHs or DBs, and soil variable contents may vary under different circumstances.
5. Conclusions
The soil quality was poor in the sandy land of northwestern Liaoning Province, with extremely low levels of various soil nutrients. There was a moderate degree of variability in the soil variables in sandy lands. The afforestation ages had a significant or moderately significant positive correlation with the SOC, EK, TN, TC, and TP contents across the soil sampling gradient for the three afforested species. EK was most significantly influenced. The soil nutrient contents of C. microphylla, Populus spp., and P. sylvestris var. mongolica plantations were higher than those of bare sand and logging areas. Compared with those in the bare sandy areas, the average EP contents in the three plantations increased by 771%, the TC contents increased by 330%, the TN contents increased by 227%, and the EK contents increased by 135%. The EK contents in Populus spp. plantations were significantly greater than those in P. sylvestris var. mongolica plantations and significantly greater than those in C. microphylla plantations. The pH in the P. sylvestris var. mongolica plantations was significantly lower than those in the Populus spp. plantations and C. mcrophylla plantations, indicating higher soil acidity in the P. sylvestris var. mongolica plantations. The BIO of C. microphylla plantations was significantly greater than those of P. sylvestris var. mongolica plantations and Populus spp. plantations. When managing and establishing plantations on sandy land, suitable combinations of tree species and layouts could be selected on the basis of the changes in soil nutrients observed in our study. Taking our study area as an example, Populus spp. was more effective at accelerating soil nutrient accumulation, particularly EK. P. sylvestris var. mongolica was more effective at improving the soil pH, and C. microphylla was more effective at promoting herbaceous diversity.
Our study has significant implications for understanding the relationship between plantations and soil nutrients in sandy lands, providing scientific evidence for the ecological restoration and construction of the sandy lands in northwestern Liaoning Province. However, we also acknowledge the limitations of this study. Many factors, such as the effects of plant litterfall and root decomposition on soil variables, as well as a more comprehensive analysis of other ecosystem factors, have not been investigated over the long term. These aspects require further exploration and validation in future studies.
Author Contributions
Conceptualization, R.B.; Methodology, H.L.; Software, H.L., L.Q., C.C. and Z.Z.; Formal analysis, H.L.; Investigation, R.B.; Data curation, H.L.; Writing—original draft, H.L.; Writing—review and editing, Y.C.; Visualization, L.Z.; Supervision, R.B. and Y.C. All authors have read and agreed to the published version of the manuscript.
Funding
This research was funded by Liaoning Provincial Science and Technology Major Project, grant number 2020JH1/10300006.
Data Availability Statement
The datasets generated and analyzed during the study are available from the corresponding author upon reasonable request. The request should be accompanied by a clear and legitimate academic or research justification, and the corresponding author will review and respond to such requests in a timely and appropriate manner, adhering to the principles of academic transparency and cooperation.
Conflicts of Interest
The authors declare no conflicts of interest.
References
- Warren, A. Desertification as a global environmental issue. GeoJournal 1993, 31, 11–14. [Google Scholar] [CrossRef]
- Santini, N.S.; Miquelajauregui, Y. The restoration of degraded lands by local communities and Indigenous peoples. Front. Conserv. Sci. 2022, 3, 873659. [Google Scholar] [CrossRef]
- Hermans, K.; McLeman, R. Climate change, drought, land degradation and migration: Exploring the linkages. Curr. Opin. Env. Sust. 2021, 50, 236–244. [Google Scholar] [CrossRef]
- Davidson, E.A.; Janssens, I.A. Temperature sensitivity of soil carbon decomposition and feedbacks to climate change. Nature 2006, 440, 165–173. [Google Scholar] [CrossRef]
- Wang, X.; Ge, Q.; Geng, X.; Wang, Z.; Gao, L.; Bryan, B.A.; Chen, S.; Su, Y.; Cai, D.; Ye, J. Unintended consequences of combating desertification in China. Nat. Commun. 2023, 14, 1139. [Google Scholar] [CrossRef]
- Wang, J.; Wang, Y.; Xu, D. Desertification in northern China from 2000 to 2020: The spatial–temporal processes and driving mechanisms. Ecol. Inf. 2024, 82, 102769. [Google Scholar] [CrossRef]
- Wang, T.; Xue, X.; Zhou, L.; Guo, J. Combating Aeolian Desertification in Northern China. Land. Degrad. Dev. 2013, 26, 118–132. [Google Scholar] [CrossRef]
- Zhang, W.; Hu, G.; Dang, Y.; Weindorf, D.C.; Sheng, J. Afforestation and the impacts on soil and water conservation at decadal and regional scales in Northwest China. J. Arid. Environ. 2016, 130, 98–104. [Google Scholar] [CrossRef]
- Zhu, J.; Sun, Y.; Zheng, X.; Yang, K.; Wang, G.G.; Xia, C.; Sun, T.; Zhang, J. A large carbon sink induced by the implementation of the largest afforestation program on Earth. Ecol. Process. 2023, 12, 44. [Google Scholar] [CrossRef]
- Yazici, N.; Turan, A. Effect of forestry afforestation on some soil properties: A case study from Turkey. Fresenius Environ. Bull. 2016, 25, 2509–2513. [Google Scholar]
- Pedersen, N.K.; Schmidt, I.K.; Kepfer-Rojas, S. Drivers of tree colonization, species richness, and structural variation during the initial three decades of natural forest colonization in abandoned agricultural soils. For. Ecol. Manag. 2023, 543, 121138. [Google Scholar] [CrossRef]
- Wilske, B.; Lu, N.; Wei, L.; Chen, S.P.; Zha, T.G.; Liu, C.F.; Xu, W.T.; Noormets, A.; Huang, J.H.; Wei, Y.F.; et al. Poplar plantation has the potential to alter the water balance in semiarid Inner Mongolia. J. Environ. Manag. 2009, 90, 2762–2770. [Google Scholar] [CrossRef] [PubMed]
- Kim, E.-J.; Lee, S.-H.; Kim, S.-H.; Park, J.-H.; You, Y.-H. Changes in Competitors, Stress Tolerators, and Ruderals (CSR) Ecological Strategies after the Introduction of Shrubs and Trees in Disturbed Semiarid Steppe Grasslands in Hulunbuir, Inner Mongolia. Biology 2023, 12, 1479. [Google Scholar] [CrossRef]
- Shirato, Y.; Taniyama, I.; Zhang, T.-H. Changes in soil properties after afforestation in Horqin Sandy Land, North China. Soil Sci. Plant Nutr. 2004, 50, 537–543. [Google Scholar] [CrossRef]
- Guo, X.; Yang, G.; Wu, J.; Qiao, S.; Tao, L. Impacts of forest age on soil characteristics and fertility quality of Populus simonii shelter forest at the southern edge of the Horqin Sandy Land, China. PeerJ 2024, 12, e17512. [Google Scholar] [CrossRef]
- Han, C.; Liu, T.; Lu, X.; Duan, L.; Singh, V.P.; Ma, L. Effect of litter on soil respiration in a man-made Populus L. forest in a dune-meadow transitional region in China’s Horqin sandy land. Ecol. Eng. 2019, 127, 276–284. [Google Scholar] [CrossRef]
- Ren Yue, R.Y.; Gao GuangLei, G.G.; Ding GuoDong, D.G.; Zhang Ying, Z.Y.; Park KiHyung, P.K.; Guo MiShan, G.M.; Cao HongYu, C.H. Characteristics of organic carbon content of leaf-litter-soil system in Pinus sylvestris var. mongolica plantations. 2018, 40, 36–44. [Google Scholar] [CrossRef]
- Lei, Z.; Yu, D.; Zhou, F.; Zhang, Y.; Yu, D.; Zhou, Y.; Han, Y. Changes in soil organic carbon and its influencing factors in the growth of Pinus sylvestris var. mongolica plantation in Horqin Sandy Land, Northeast China. Sci Rep 2019, 9, 16453. [Google Scholar] [CrossRef]
- Arnold, G. Soil acidification as caused by the nitrogen uptake pattern of Scots pine (Pinus sylvestris). Plant Soil 1992, 142, 41–51. [Google Scholar] [CrossRef]
- Roots, F.; Litter, N. The Dynamics of Mass Loss and Nutrient Release of Decomposing. Front. For. Glob. Change 2021, 4, 686468. [Google Scholar] [CrossRef]
- Hou, R.; Zhang, K.; Ahmad, B.; Wang, L.; Wang, X. Hydrological Effects of Forest Litter and Soil on Different Density Plantations of Pinus sylvestris L. Var. mongolica Litv. in Mu Us Sandland, Northwest China. Nat. Environ. Pol. Tech. 2015, 14, 243–250. [Google Scholar]
- Cao, C.; Jiang, D.; Teng, X.; Jiang, Y.; Liang, W.; Cui, Z. Soil chemical and microbiological properties along a chronosequence of Caragana microphylla Lam. plantations in the Horqin sandy land of Northeast China. Appl. Soil Ecol. 2008, 40, 78–85. [Google Scholar] [CrossRef]
- Su, Y.Z.; lin Zhao, H. Soil properties and plant species in an age sequence of Caragana microphylla plantations in the Horqin Sandy Land, north China. Ecol. Eng. 2003, 20, 223–235. [Google Scholar] [CrossRef]
- Cao, W.; Li, Y.; Chen, Y.; Wang, X. Grazing exclusion is more beneficial for restoring soil organic carbon and nutrient balance than afforestation on degraded sandy land. Front. Plant Sci. 2023, 14, 1326244. [Google Scholar] [CrossRef]
- Kondo, J.; Hirobe, M.; Yamada, Y.; Undarmaa, J.; Sakamoto, K.; Yoshikawa, K. Effects of Caragana microphylla patch and its canopy size on “islands of fertility” in a Mongolian grassland ecosystem. Landsc. Ecol. Eng. 2012, 8, 1–8. [Google Scholar] [CrossRef]
- Zhu, T.; Li, Q. Effect of Caragana microphylla Lam. on Desertified Grassland Restoration. Forests 2024, 15, 1801. [Google Scholar] [CrossRef]
- Zhu, J.; Kang, H.; Tan, H.; Xu, M. Effects of drought stresses induced by polyethylene glycol on germination of Pinus sylvestris var. mongolica seeds from natural and plantation forests on sandy land. J. For. Res. 2006, 11, 319–328. [Google Scholar] [CrossRef]
- Yu, W.; Zhang, Z.; Li, Q.; Zou, J.; Feng, Z.; Wen, T. Effects of Pinus sylvestris var. mongolica afforestation on soil physicochemical properties at the southern edge of the Mu Us Sandy Land, China. For. Ecol. Manag. 2023, 545, 121254. [Google Scholar] [CrossRef]
- Baradwal, H.; Ghosh, A.; Singh, A.K.; Jiménez-Ballesta, R.; Yadav, R.K.; Misra, S.; Siddanagouda Sannagoudar, M.; Kumar, S.; Kumar, R.V.; Singh, S.K.; et al. Soil Nutrient Dynamics under Silviculture, Silvipasture and Hortipasture as Alternate Land-Use Systems in Semi-Arid Environment. Forests 2023, 14, 125. [Google Scholar] [CrossRef]
- Huntley, B.J. Soil, water and nutrients. In Ecology of Angola; Springer: Cham, Switzerland, 2023; pp. 127–147. [Google Scholar] [CrossRef]
- Hattori, D.; Kenzo, T.; Shirahama, T.; Harada, Y.; Kendawang, J.J.; Ninomiya, I.; Sakurai, K. Degradation of soil nutrients and slow recovery of biomass following shifting cultivation in the heath forests of Sarawak, Malaysia. For. Ecol. Manag. 2019, 432, 467–477. [Google Scholar] [CrossRef]
- Cao, S.X.; Chen, L.; Shankman, D.; Wang, C.M.; Wang, X.B.; Zhang, H. Excessive reliance on afforestation in China’s arid and semi-arid regions: Lessons in ecological restoration. Earth Sci. Rev. 2011, 104, 240–245. [Google Scholar] [CrossRef]
- Hu, M.; Lehtonen, A.; Minunno, F.; Mäkelä, A. Age effect on tree structure and biomass allocation in Scots pine (Pinus sylvestris L.) and Norway spruce (Picea abies [L.] Karst.). Ann. For. Sci. 2020, 77, 1–15. [Google Scholar] [CrossRef]
- Tang, Y.; Ali, A.; Feng, L.-H. Bayesian model predicts the aboveground biomass of Caragana microphylla in sandy lands better than OLS regression models. J. Plant Ecol. 2020, 13, 732–737. [Google Scholar] [CrossRef]
- Chojnacky, D.C.; Rogers, P. Converting tree diameter measured at root collar to diameter at breast height. West. J. Appl. For. 1999, 14, 14–16. [Google Scholar] [CrossRef]
- Loubère, M.; Saint-André, L.; Hervé, J.-C.; Vestøl, G.I. Relationships between stem size and branch basal diameter variability in Norway spruce (Picea abies (L.) Karsten) from two regions of France. Ann. For. Sci. 2004, 61, 525–535. [Google Scholar] [CrossRef]
- Sumida, A.; Miyaura, T.; Torii, H. Relationships of tree height and diameter at breast height revisited: Analyses of stem growth using 20-year data of an even-aged Chamaecyparis obtusa stand. Tree Physiol. 2013, 33, 106–118. [Google Scholar] [CrossRef]
- Yang, S.I.; Brandeis, T.J.; Helmer, E.H.; Oatham, M.P.; Heartsill-Scalley, T.; Marcano-Vega, H. Characterizing height-diameter relationships for Caribbean trees using mixed-effects random forest algorithm. For. Ecol. Manag. 2022, 524, 120507. [Google Scholar] [CrossRef]
- Rubio, J.L.; Bochet, E. Desertification indicators as diagnosis criteria for desertification risk assessment in Europe. J. Arid. Environ. 1998, 39, 113–120. [Google Scholar] [CrossRef]
- Perrin, S. Fabricating Unity: The FAO-UNESCO Soil Map of the World. Hist. Soc. Res. Hist. Sozialforschung 2015, 40, 174–201. [Google Scholar] [CrossRef]
- Bao, S. Soil and Agricultural Chemistry Analysis; China Agriculture Press: Beijing, China, 2000. [Google Scholar]
- Wang, H.; Wang, S.L.; Yu, Q.; Zhang, Y.J.; Wang, R.; Li, J.; Wang, X.L. Ploughing/zero-tillage rotation regulates soil physicochemical properties and improves productivity of erodible soil in a residue return farming system. Land Degrad. Dev. 2021, 32, 1833–1843. [Google Scholar] [CrossRef]
- Zhou, W.X.; Li, C.J.; Wang, S.; Ren, Z.B.; Stringer, L.C. Effects of grazing and enclosure management on soil physical and chemical properties vary with aridity in China’s drylands. Sci. Total Environ. 2023, 877, 162946. [Google Scholar] [CrossRef] [PubMed]
- Zhang, P.; Li, C.L.; Xie, X.H.; Gao, Q.; Zhang, J.J.; Wang, L.C. Integrated Soil-Crop System Management Increases Phosphorus Concentrations and Bioavailability in a Primosol. J. Soil Sci. Plant Nutr. 2019, 19, 357–367. [Google Scholar] [CrossRef]
- Lal, R. Soil carbon sequestration impacts on global climate change and food security. Science 2004, 304, 1623–1627. [Google Scholar] [CrossRef]
- Fu, L.; Lei, X.; Sharma, R.P.; Li, H.; Zhu, G.; Hong, L.; You, L.; Duan, G.; Guo, H.; Lei, Y. Comparing height–age and height–diameter modelling approaches for estimating site productivity of natural uneven-aged forests. For. Int. J. For. Res. 2018, 91, 419–433. [Google Scholar] [CrossRef]
- Li, Q.; Jia, Z.; Feng, L.; He, L.; Yang, K. Dynamics of biomass and carbon sequestration across a chronosequence of Caragana intermedia plantations on alpine sandy land. Sci. Rep. 2018, 8, 12432. [Google Scholar] [CrossRef]
- Luo, J.; Zhang, M.; Zhou, X.; Chen, J.; Tian, Y. Tree Height and DBH Growth Model Establishment of Main Tree Species in Wuling Mountain Small Watershed. IOP Conf. Ser. Earth Environ. Sci. 2018, 108, 042003. [Google Scholar] [CrossRef]
- Osman, K.T. Nutrient dynamics in forest soil. In Forest Soils: Properties and Management; Springer International Publishing: Cham, Switzerland, 2013; pp. 97–121. [Google Scholar] [CrossRef]
- Gong, S.; Yang, X.; Xu, X.; Lai, Y.; Zhang, Z.; Kong, Y. Effect of stand age on the temporal dynamics of soil active carbon and nitrogen in Chinese cypress artificial forests. Soil Sci. Plant Nutr. 2022, 68, 64–71. [Google Scholar] [CrossRef]
- Wang, S.; Wang, X.; Ouyang, Z. Effects of land use, climate, topography and soil properties on regional soil organic carbon and total nitrogen in the Upstream Watershed of Miyun Reservoir, North China. J. Environ. Sci. 2012, 24, 387–395. [Google Scholar] [CrossRef]
- Montgomery, D.R. Soil erosion and agricultural sustainability. Proc. Natl. Acad. Sci. USA 2007, 104, 13268–13272. [Google Scholar] [CrossRef]
- Tilman, D.; Cassman, K.G.; Matson, P.A.; Naylor, R.; Polasky, S. Agricultural sustainability and intensive production practices. Nature 2002, 418, 671–677. [Google Scholar] [CrossRef]
- Ding, H.; Zhu, H.; Sun, R.; Wen, W.; Bi, R. Variation in the physical properties of soil in relation to natural and anthropogenic factors in the hilly loess region of China. Catena 2024, 236, 107751. [Google Scholar] [CrossRef]
- Öborn, I.; Andrist-Rangel, Y.; Askekaard, M.; Grant, C.; Watson, C.; Edwards, A. Critical aspects of potassium management in agricultural systems. Soil Use Manag. 2005, 21, 102–112. [Google Scholar] [CrossRef]
- Aarnio, T.; Derome, J.; Martikainen, P. Availability and mobility of nutrients in acid forest soil treated with fast and slow-release nutrients. Plant Soil 1995, 168, 523–531. [Google Scholar] [CrossRef]
- Carrillo-González, R.; Šimůnek, J.; Sauvé, S.; Adriano, D. Mechanisms and pathways of trace element mobility in soils. Adv. Agron. 2006, 91, 111–178. [Google Scholar] [CrossRef]
- Hinsinger, P.; Gobran, G.R.; Gregory, P.J.; Wenzel, W.W. Rhizosphere geometry and heterogeneity arising from root-mediated physical and chemical processes. New Phytol. 2005, 168, 293–303. [Google Scholar] [CrossRef]
- Neumann, G.; Martinoia, E. Cluster roots–an underground adaptation for survival in extreme environments. Trends Plant Sci. 2002, 7, 162–167. [Google Scholar] [CrossRef]
- Erdenebileg, E.; Wang, C.W.; Yu, W.Y.; Ye, X.H.; Pan, X.; Huang, Z.Y.; Liu, G.F.; Cornelissen, J.H.C. Carbon versus nitrogen release from root and leaf litter is modulated by litter position and plant functional type. J. Ecol. 2023, 111, 198–213. [Google Scholar] [CrossRef]
- Silveira, M.L.; Reddy, K.R.; Comerford, N.B. Litter Decomposition and Soluble Carbon, Nitrogen, and Phosphorus Release in a Forest Ecosystem. Open J. Soil Sci. 2011, 1, 86–96. [Google Scholar] [CrossRef]
- Schlesinger, W.H. Biogeochemistry; Annals of Botany; Elsevier: Amsterdam, The Netherlands, 2005; Volume 8. [Google Scholar]
- Zhu, H.Q.; Gong, L.; Ding, Z.L.; Li, Y.F. Effects of litter and root manipulations on soil carbon and nitrogen in a Schrenk’s spruce (Picea schrenkiana) forest. PLoS ONE 2021, 16, e0247725. [Google Scholar] [CrossRef]
- Baltzinger, M.; Archaux, F.; Dumas, Y. Tree litter and forest understorey vegetation: A conceptual framework to understand the effects of tree litter on a perennial geophyte, Anemone nemorosa. Ann. Bot. 2012, 109, 1175–1184. [Google Scholar] [CrossRef]
- Giweta, M. Role of litter production and its decomposition, and factors affecting the processes in a tropical forest ecosystem: A review. J. Ecol. Environ. 2020, 44, 11. [Google Scholar] [CrossRef]
- Liu, X.; Yang, T.; Wang, Q.; Huang, F.; Li, L. Dynamics of soil carbon and nitrogen stocks after afforestation in arid and semi-arid regions: A meta-analysis. Sci. Total Environ. 2018, 618, 1658–1664. [Google Scholar] [CrossRef] [PubMed]
- Zhao, F.; Kang, D.; Han, X.; Yang, G.; Feng, Y.; Ren, G. Soil stoichiometry and carbon storage in long-term afforestation soil affected by understory vegetation diversity. Ecol. Eng. 2015, 74, 415–422. [Google Scholar] [CrossRef]
- Song, R.; Han, X.; Yang, Q.; Zheng, Z.; Xi, D. Effects of Understory Vegetation Heterogeneity on Soil Organic Carbon Components in Cunninghamia lanceolata Plantation. Land 2022, 11, 2300. [Google Scholar] [CrossRef]
- Wu, J.; Zeng, H.; Zhao, F.; Chen, C.; Liu, W.; Yang, B.; Zhang, W. Recognizing the role of plant species composition in the modification of soil nutrients and water in rubber agroforestry systems. Sci. Total Environ. 2020, 723, 138042. [Google Scholar] [CrossRef]
- Pan, P.; Zhao, F.; Ning, J.; Zhang, L.; Ouyang, X.; Zang, H. Impact of understory vegetation on soil carbon and nitrogen dynamic in aerially seeded Pinus massoniana plantations. PLoS ONE 2018, 13, e0191952. [Google Scholar] [CrossRef]
- Cao, Y.; Zhang, P.; Chen, Y.M. Soil C:N:P stoichiometry in plantations of N-fixing black locust and indigenous pine, and secondary oak forests in Northwest China. J. Soils Sediments 2018, 18, 1478–1489. [Google Scholar] [CrossRef]
- Li, X.K.; Li, Y.A.; Peng, S.Z.; Chen, Y.M.; Cao, Y. Changes in soil phosphorus and its influencing factors following afforestation in Northern China. Land Degrad. Dev. 2019, 30, 1655–1666. [Google Scholar] [CrossRef]
- Cui, R.R.; Qi, S.; Wu, B.C.; Zhang, D.; Zhang, L.; Zhou, P.; Ma, N.; Huang, X. The Influence of Stand Structure on Understory Herbaceous Plants Species Diversity of Platycladus orientalis Platycladus orientalis Plantations in Beijing, China. Forests 2022, 13, 1921. [Google Scholar] [CrossRef]
- Rybar, J.; Bosela, M.; Marcis, P.; Ujházyová, M.; Polták, D.; Hederová, L.; Ujházy, K. Effects of tree canopy on herbaceous understorey throughout the developmental cycle of a temperate mountain primary forest. For. Ecol. Manag. 2023, 546, 121353. [Google Scholar] [CrossRef]
- Kato-Noguchi, H.; Kimura, F.; Ohno, O.; Suenaga, K. Involvement of allelopathy in inhibition of understory growth in red pine forests. J. Plant Physiol. 2017, 218, 66–73. [Google Scholar] [CrossRef]
- Bulut, Y.; Demir, M. The allelopathic effects of Scots pine(Pinus sylvestris L.) leaf extracts on turf grass seed germination and seedling growth. Asian J. Chem. 2007, 19, 3169–3177. [Google Scholar]
Disclaimer/Publisher’s Note: The statements, opinions and data contained in all publications are solely those of the individual author(s) and contributor(s) and not of MDPI and/or the editor(s). MDPI and/or the editor(s) disclaim responsibility for any injury to people or property resulting from any ideas, methods, instructions or products referred to in the content. |
© 2025 by the authors. Licensee MDPI, Basel, Switzerland. This article is an open access article distributed under the terms and conditions of the Creative Commons Attribution (CC BY) license (https://creativecommons.org/licenses/by/4.0/).



