Dynamic Modeling of Soil Water Dynamics and Nitrogen Species Transport with Multi-Crop Rotations Under Variable-Saturated Conditions
Abstract
1. Introduction
2. Materials and Methods
2.1. In Situ Experimental Set-Up and Associated Properties
2.2. Crop Rotation and Fertilizer Application During 2019–2023
2.3. In-Situ Lysimeter Experiments
2.4. Modeling Water Flow and Nitrogen Dynamics
2.5. Initial and Boundary Conditions
3. Results and Discussion
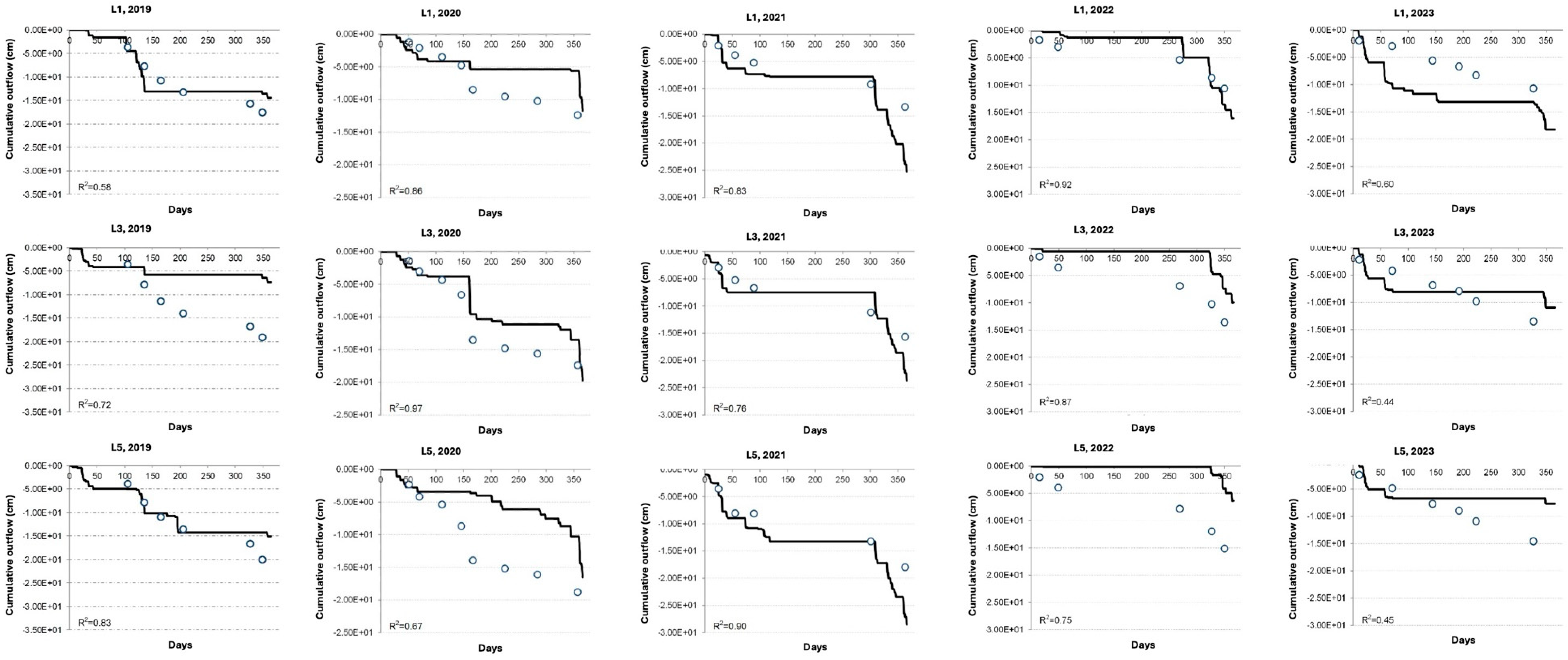
3.1. Modeling Water Dynamics
3.2. Modeling Nitrate Dynamics
4. Conclusions
- Model Performance and Reliability: HYDRUS-1D and HYDRUS-2D models accurately simulated water dynamics and nitrate transport, validated by relatively high R2 values across years (2019–2023). These models successfully captured nitrification and urea hydrolysis, highlighting their applicability for studying nitrogen cycling in agricultural systems; however, it was indicated that capturing the denitrification process might lead to improved model performance.
- Impact of Precipitation and Groundwater Levels: Seasonal dynamics revealed that nitrate leaching was strongly influenced by precipitation and shallow groundwater interactions. High soil moisture during early crop growth and post-harvest stages contributed to increased nitrate losses, emphasizing the need for precise timing of nitrogen applications.
- Optimization of Fertilization Practices: Simulations demonstrated that optimal nitrogen rates and application schedules could significantly reduce nitrate leaching while maintaining crop productivity. The study supports the adoption of integrated nitrogen management strategies, including fertigation and partial root-zone drying, to enhance nitrogen use efficiency and mitigate environmental risks.
- Environmental Implications: The study confirms that nitrate leaching poses a risk to groundwater quality, particularly under intensive agricultural practices. The slow migration of nitrates in deeper soil layers underscores the importance of including nitrate accumulation in nitrogen budgets to close the nitrogen cycle and inform sustainable agricultural practices.
Author Contributions
Funding
Data Availability Statement
Conflicts of Interest
References
- Chen, J.; Qian, H.; Wu, H. Nitrogen Contamination in Groundwater in an Agricultural Region Along the New Silk Road, Northwest China: Distribution and Factors Controlling Its Fate. Environ. Sci. Pollut. Res. 2017, 24, 13154–13167. [Google Scholar] [CrossRef]
- Snyder, C.S.; Bruulsema, T.W.; Jensen, T.L.; Fixen, P.E. Review of Greenhouse Gas Emissions from Crop Production Systems and Fertilizer Management Effects. Agric. Ecosyst. Environ. 2009, 133, 247–266. [Google Scholar] [CrossRef]
- Kampbell, D.H.; An, Y.J.; Jewell, K.P.; Masoner, J.R. Groundwater Quality Surrounding Lake Texoma During Short-Term Drought Conditions. Environ. Pollut. 2003, 125, 183–191. [Google Scholar] [CrossRef]
- Guo, Y.; Ji, Y.; Zhang, J.; Liu, Q.; Han, J.; Zhang, L. Effects of Water and Nitrogen Management on N2O Emissions and NH3 Volatilization from a Vineyard in North China. Agric. Water Manag. 2022, 266, 107601. [Google Scholar] [CrossRef]
- Shukla, S.; Saxena, A. Global Status of Nitrate Contamination in Groundwater: Its Occurrence, Health Impacts, and Mitigation Measures. In Handbook of Environmental Materials Management; Hussain, C.M., Ed.; Springer International Publishing: Cham, Switzerland, 2019; pp. 869–888. [Google Scholar]
- Wolfe, A.H.; Patz, J.A. Reactive Nitrogen and Human Health: Acute and Long-Term Implications. Ambio 2002, 31, 120–125. [Google Scholar] [CrossRef] [PubMed]
- Colombani, N.; Mastrocicco, M.; Vincenzi, F.; Castaldelli, G. Modeling Soil Nitrate Accumulation and Leaching in Conventional and Conservation Agriculture Cropping Systems. Water 2020, 12, 1571. [Google Scholar] [CrossRef]
- Groen Groenveld, T.; Argaman, A.; Šimůnek, J.; Lazarovitch, N. Numerical Modeling to Optimize Nitrogen Fertigation with Consideration of Transient Drought and Nitrogen Stress. Agric. Water Manag. 2021, 254, 106971. [Google Scholar] [CrossRef]
- Motarjemi, S.K.; Rosenbom, A.E.; Iversen, B.V.; Plauborg, F. Important Factors When Simulating the Water and Nitrogen Balance in a Tile-Drained Agricultural Field Under Long-Term Monitoring. Sci. Total Environ. 2021, 787, 147610. [Google Scholar] [CrossRef]
- Krevh, V.; Filipović, L.; Petošić, D.; Mustać, I.; Bogunović, I.; Butorac, J.; Kisić, I.; Defterdarović, J.; Nakić, Z.; Kovač, Z.; et al. Long-Term Analysis of Soil Water Regime and Nitrate Dynamics at an Agricultural Experimental Site: Field-Scale Monitoring and Numerical Modeling Using HYDRUS-1D. Agric. Water Manag. 2023, 275, 108039. [Google Scholar] [CrossRef]
- Lee, C.M.; Hamm, S.Y.; Cheong, J.Y.; Kim, K.; Yoon, H.; Kim, M.; Kim, J. Contribution of Nitrate-Nitrogen Concentration in Groundwater to Stream Water in an Agricultural Head Watershed. Environ. Res. 2020, 184, 109313. [Google Scholar] [CrossRef]
- Azad, N.; Behmanesh, J.; Rezaverdinejad, V. Long-Term Numerical Modeling of Nitrate Leaching into Groundwater Under Surface Drip Irrigation of Corn. Environ. Geochem. Health 2023, 45, 6245–6266. [Google Scholar] [CrossRef] [PubMed]
- Šimůnek, J.; van Genuchten, M.T.; Šejna, M. Recent Developments and Applications of the HYDRUS Computer Software Packages. Vadose Zone J. 2016, 15, 25. [Google Scholar] [CrossRef]
- Huts Hutson, J.L.; Wagenet, R.J. Simulating Nitrogen Dynamics in Soils Using a Deterministic Model. Soil Use Manag. 1991, 7, 74–78. [Google Scholar] [CrossRef]
- Raw Rawat, M.; Sen, R.; Onyekwelu, I.; Wiederstein, T.; Sharda, V. Modeling of Groundwater Nitrate Contamination Due to Agricultural Activities—A Systematic Review. Water 2022, 14, 4008. [Google Scholar] [CrossRef]
- Liu, C.; Zhang, X.; Zhang, Y.; Li, Z. An Integrated Soil-Crop System Model for Water and Nitrogen Management in North China. Sci. Rep. 2016, 6, 25755. [Google Scholar] [CrossRef]
- Hanson, B.R.; Šimůnek, J.; Hopmans, J.W. Evaluation of Urea–Ammonium–Nitrate Fertigation with Drip Irrigation Using Numerical Modeling. Agric. Water Manag. 2006, 86, 102–113. [Google Scholar] [CrossRef]
- Dou, X.; Shi, H.; Li, R.; Miao, Q.; Yan, J.; Tian, F. Controlled Drainage Effects on Nitrate Leaching and Water Conservation in Farmland Soil. Agronomy 2023, 13, 2936. [Google Scholar] [CrossRef]
- Filipović, V.; Toor, G.S.; Ondrašek, G.; Kodešova, R. Modeling Water Flow and Nitrate–Nitrogen Transport on Golf Course Under Turfgrass. J. Soils Sediment 2015, 15, 1847–1859. [Google Scholar] [CrossRef]
- Filipović, V.; Romić, D.; Romić, M.; Borošić, J.; Filipović, L.; Mallmann, F.J.K.; Robinson, D.A. Plastic Mulch and Nitrogen Fertigation in Growing Vegetables Modify Soil Temperature, Water, and Nitrate Dynamics: Experimental Results and a Modeling Study. Agric. Water Manag. 2016, 176, 100–110. [Google Scholar] [CrossRef]
- Defterdarović, J.; Filipović, L.; Kranjčec, F.; Ondrašek, G.; Kikić, D.; Novosel, A.; Mustać, I.; Krevh, V.; Magdić, I.; Rubinić, V.; et al. Determination of Soil Hydraulic Parameters and Evaluation of Water Dynamics and Nitrate Leaching in the Unsaturated Layered Zone: A Modeling Case Study in Central Croatia. Sustainability 2021, 13, 6688. [Google Scholar] [CrossRef]
- Khas Khashaei, F.; Behmanesh, J.; Rezaverdinejad, V.; Azad, N. Field Evaluation and Numerical Simulation of Water and Nitrate Transport in Subsurface Drip Irrigation of Corn Using HYDRUS-2D. Irrig. Sci. 2024, 42, 327–352. [Google Scholar] [CrossRef]
- Zhu, W.; Qiao, R.; Jiang, R. Modelling of Water and Nitrogen Flow in a Rain-Fed Ridge-Furrow Maize System with Plastic Mulch. Land 2022, 11, 1514. [Google Scholar] [CrossRef]
- Karandish, F.; Šimůnek, J. Two-Dimensional Modeling of Nitrogen and Water Dynamics for Various N-Managed Water-Saving Irrigation Strategies Using HYDRUS. Agric. Water Manag. 2017, 193, 174–190. [Google Scholar] [CrossRef]
- Azad, N.; Behmanesh, J.; Rezaverdinejad, V.; Khodaverdiloo, H.; Thompson, S.E.; Mallants, D.; Ramos, T.B.; He, H. CNN Deep Learning Performance in Estimating Nitrate Uptake by Maize and Root Zone Losses Under Surface Drip Irrigation. J. Hydrol. 2023, 625, 130148. [Google Scholar] [CrossRef]
- Chen, N.; Li, X.; Šimůnek, J.; Shi, H.; Zhang, Y.; Hu, Q. Quantifying Inter-Species Nitrogen Competition in the Tomato-Corn Intercropping System with Different Spatial Arrangements. Agric. Syst. 2022, 201, 103461. [Google Scholar] [CrossRef]
- He, H.; Yu, Q.; Zhang, Y.; Li, Z. Soil Water and Nitrogen Dynamics from Interaction of Irrigation and Fertilization. Soil Sci. Soc. Am. J. 2018, 82, 230–240. [Google Scholar] [CrossRef]
- Filipović, V.; Kodešová, R.; Petošić, D. Experimental and Mathematical Modeling of Water Regime and Nitrate Dynamics on Zero-Tension Plate Lysimeters in Soil Influenced by High Groundwater Table. Nutr. Cycl. Agroecosyst. 2013, 95, 123–139. [Google Scholar] [CrossRef]
- IUSS Working Group WRB. World Reference Base for Soil Resources 2014, International Soil Classification System for Naming Soils and Creating Legends for Soil Maps; FAO: Rome, Italy, 2014. [Google Scholar]
- Gee, G.W.; Or, D. Particle-Size Analysis. In Methods of Soil Analysis; Part 4; Dane, J.H., Topp, G.C., Eds.; Soil Science Society of America: Madison, WI, USA, 2002; pp. 255–293. [Google Scholar]
- Dane, J.H.; Hopmans, J.W. Methods of Soil Analysis: Water Retention and Storage. In Methods of Soil Analysis; Part 4; Dane, J.H., Topp, G.C., Eds.; Soil Science Society of America: Madison, WI, USA, 2002; pp. 671–673. [Google Scholar] [CrossRef]
- Klute, A.; Dirksen, C. Hydraulic Conductivity and Diffusivity: Laboratory Methods. In Methods of Soil Analysis, 2nd ed.; Part 1; Klute, A., Ed.; Soil Science Society of America: Madison, WI, USA, 1986; pp. 687–734. [Google Scholar]
- van Genuchten, M.T. A Closed-Form Equation for Predicting the Hydraulic Conductivity of Unsaturated Soils. Soil Sci. Soc. Am. J. 1980, 44, 892–898. [Google Scholar] [CrossRef]
- van Genuchten, M.T.; Leij, F.J.; Yates, S.R. The RETC Code for Quantifying the Hydraulic Functions of Unsaturated Soils, Version 1.0; EPA Report 600/2-91/065; US Salinity Laboratory, USDA ARS: Riverside, CA, USA, 1991. [Google Scholar]
- Mualem, Y. A New Model for Predicting the Hydraulic Conductivity of Unsaturated Porous Media. Water Resour. Res. 1976, 12, 513–522. [Google Scholar] [CrossRef]
- Zhu, Y.; Fox, R.H.; Toth, J.D. Leachate Collection Efficiency of Zero-Tension Pan and Passive Capillary Fiberglass Wick Lysimeters. Soil Sci. Soc. Am. J. 2002, 66, 37–43. [Google Scholar]
- Smith, M. CROPWAT: Manual and Guidelines; FAO of the United Nations: Rome, Italy, 1991. [Google Scholar]
- Feddes, R.A.; Kowalik, P.J.; Zaradny, H. Simulation of Field Water Use and Crop Yield; John Wiley & Sons: New York, NY, USA, 1978. [Google Scholar]
- Brunetti, G.; Kodešová, R.; Šimůnek, J. Modeling the Translocation and Transformation of Chemicals in the Soil-Plant Continuum: A Dynamic Plant Uptake Module for the HYDRUS Model. Water Resour. Res. 2019, 55, 8979–8989. [Google Scholar] [CrossRef]
- Brunetti, G.; Papagrigoriou, I.A.; Šimůnek, J.; Stumpp, C. Green Roofs for Domestic Wastewater Treatment: Experimental and Numerical Analysis of Nitrogen Turnover. J. Hydrol. 2021, 603, 127132. [Google Scholar] [CrossRef]
- Bolado-Rodriguez, S.; Alonso-Gaite, A.; Álvarez-Benedi, J. Characterization of Nitrogen Transformations, Sorption, and Volatilization Processes in Urea-Fertilized Soils. Vadose Zone J. 2005, 4, 329–336. [Google Scholar] [CrossRef]
- Zhu, Y.; Ren, L.; Zhang, Q.; Lü, H.; Yu, Z.; Wu, Y.; Feng, H. The Contribution of Groundwater to Soil Moisture in Populus Euphratica Root Zone Layer. Ecohydrol. Surf. Groundw. Depend. Syst. 2009, 20, 181–188. [Google Scholar]
- Tillotson, W.R.; Robbins, C.W.; Wagenet, R.J.; Hanks, R.J. Soil Water, Solute, and Plant Growth Simulation; Utah Agricultural Experiment Station: Logan, UT, USA, 1980. [Google Scholar]
- Maenhout, P.; Van den Bulcke, J.; Van Hoorebeke, L.; Cnudde, V.; De Neve, S.; Sleutel, S. Nitrogen Limitations on Microbial Degradation of Plant Substrates Are Controlled by Soil Structure and Moisture Content. Front. Microbiol. 2018, 9, 1433. [Google Scholar] [CrossRef]
- Balkhi, A.; Ebrahimian, H.; Ghameshlou, A.N.; Amini, M. Modeling of Nitrate and Ammonium Leaching and Crop Uptake Under Wastewater Application Considering Nitrogen Cycle in the Soil. Model. Earth Syst. Environ. 2022, 9, 901–911. [Google Scholar] [CrossRef]
- Gao, J.B.; Wang, S.M.; Li, Z.Q.; Wang, L.; Chen, Z.J.; Zhou, J.B. High Nitrate Accumulation in the Vadose Zone After Land-Use Change from Croplands to Orchards. Environ. Sci. Technol. 2021, 55, 5782–5790. [Google Scholar] [CrossRef]
- Filipović, V.; Defterdarović, J.; Šimůnek, J.; Filipović, L.; Ondrašek, G.; Romić, D.; Bogunović, I.; Mustać, I.; Ćurić, J.; Kodešová, R. Estimation of Vineyard Soil Structure and Preferential Flow Using Dye Tracer, X-Ray Tomography, and Numerical Simulations. Geoderma 2020, 380, 114699. [Google Scholar] [CrossRef]
- Gerke, H.H. Preferential-Flow Descriptions for Structured Soils. J. Plant Nutr. Soil Sci. 2006, 169, 382–400. [Google Scholar] [CrossRef]








| Location | Depth (cm) | Sand (%) | Silt (%) | Clay (%) | Texture | θs (cm3 cm−3) | Soil Bulk Density (g cm−3) | Ks (cm day−1) | Water Retention at Pressure (kPa) | ||
|---|---|---|---|---|---|---|---|---|---|---|---|
| 33 | 625 | 1500 | |||||||||
| L1 | 0–40 | 13 | 65 | 22 | Silt Loam | 0.38 | 1.59 | 11 | 0.34 | 0.22 | 0.20 |
| 40–75 | 4 | 63 | 33 | Silty Clay Loam | 0.37 | 1.57 | 15 | 0.34 | 0.22 | 0.20 | |
| 75–105 | 14 | 54 | 32 | Silty Clay Loam | Not measured | ||||||
| 105–150 | 5 | 69 | 26 | Silt Loam | |||||||
| L2 | 0–30 | 9 | 67 | 24 | Silt Loam | 0.36 | 1.56 | 17 | 0.33 | 0.17 | 0.16 |
| 30–75 | 2 | 61 | 37 | Silty Clay Loam | 0.37 | 1.55 | 12 | 0.39 | 0.31 | 0.28 | |
| 75–130 | 8 | 72 | 20 | Silt Loam | Not measured | ||||||
| 130–200 | 13 | 69 | 18 | Silt Loam | |||||||
| L3 | 0–40 | 6 | 60 | 34 | Silty Clay Loam | 0.37 | 1.49 | 14 | 0.35 | 0.22 | 0.19 |
| 40–90 | 6 | 60 | 34 | Silty Clay Loam | 0.38 | 1.55 | 9 | 0.34 | 0.22 | 0.19 | |
| 90–130 | 6 | 63 | 31 | Silty Clay Loam | Not measured | ||||||
| 130–170 | 10 | 67 | 23 | Silt Loam | |||||||
| L4 | 0–25 | 3 | 56 | 41 | Silty Clay | 0.40 | 1.47 | 12 | 0.41 | 0.32 | 0.29 |
| 25–80 | 2 | 57 | 41 | Silty Clay | 0.41 | 1.46 | 10 | 0.35 | 0.22 | 0.20 | |
| 80–110 | 4 | 64 | 32 | Silty Clay Loam | Not measured | ||||||
| 110–150 | 5 | 69 | 26 | Silt Loam | |||||||
| L5 | 0–30 | 5 | 54 | 41 | Silty Clay | 0.42 | 1.37 | 12 | 0.39 | 0.28 | 0.22 |
| 30–70 | 3 | 54 | 43 | Silty Clay | 0.41 | 1.55 | 14 | 0.37 | 0.27 | 0.21 | |
| 70–100 | 3 | 54 | 43 | Silty Clay | Not measured | ||||||
| L6 | 0–30 | 5 | 75 | 20 | Silt Loam | 0.43 | 1.56 | 16 | 0.29 | 0.22 | 0.17 |
| 30–70 | 7 | 73 | 20 | Silt Loam | 0.44 | 1.39 | 12 | 0.29 | 0.22 | 0.17 | |
| 70–100 | 9 | 60 | 31 | Silty Clay Loam | Not measured | ||||||
| 100–150 | 12 | 72 | 16 | Silt Loam | |||||||
| Depth (cm) | θr (cm3 cm−3) | θs (cm3 cm−3) | Ks (cm day−1) | α (cm−1) | n (-) | |
|---|---|---|---|---|---|---|
| L1 | 0–40 | 0.0 | 0.38 | 11 | 0.00261 | 1.18 |
| 40–75 | 0.0 | 0.37 | 15 | 0.00263 | 1.17 | |
| L2 | 0–30 | 0.0 | 0.36 | 17 | 0.0018 | 1.26 |
| 30–75 | 0.0 | 0.37 | 12 | 0.00017 | 1.25 | |
| L3 | 0–40 | 0.0 | 0.37 | 14 | 0.00158 | 1.20 |
| 40–90 | 0.0 | 0.38 | 9 | 0.00285 | 1.18 | |
| L4 | 0–25 | 0.0 | 0.40 | 12 | 0.00032 | 1.19 |
| 25–80 | 0.0 | 0.41 | 10 | 0.0527 | 1.17 | |
| L5 | 0–30 | 0.0 | 0.42 | 12 | 0.00136 | 1.20 |
| 30–70 | 0.0 | 0.41 | 14 | 0.00212 | 1.17 | |
| L6 | 0–30 | 0.0 | 0.43 | 16 | 0.01241 | 1.19 |
| 30–70 | 0.0 | 0.44 | 12 | 0.05525 | 1.17 |
| Year | Location | Crop | Sowing Date | Harvest Date | Fertilizer Application Date | Amount and Type of Fertilizer |
|---|---|---|---|---|---|---|
| 2019 | L1 | Maize | 10 May 2019. | 30 October 2019. | 15 May 2019. | 250 kg/ha NPK (15:15:15)/120 kg/ha urea |
| 10 June 2019. | 50 kg/ha urea | |||||
| L2 | Triticale | 15 November 2018. | 10 July 2019. | 10 March 2019. | 200 kg/ha KAN | |
| L3 | Alfalfa | 2016. | Multiple times | / | / | |
| Wheat | 20 October 2018. | 20 July 2019. | 15 March 2019. | 300 kg/ha KAN | ||
| L4 | Sugar beet | 17 March 2019. | 18 September 2019. | 10 March 2019. | 400 kg/ha NPK (7:20:30)/250 kg/ha NPK (15:15:15) | |
| Winter Barley | 10 October 2019. | 20 May 2019. | 100 kg/ha KAN | |||
| L5 | Wheat | 25 October 2018. | 14 July 2019. | 15 March 2019. | 300 kg/ha KAN | |
| Canola | 15 September 2019. | 10 September 2019. | 300 kg/ha NPK (0:20:30)/150 kg/ha urea | |||
| L6 | Maize | 10 May 2019. | 30 October 2019. | 15 May 2019. | 250 kg/ha NPK (15:15:15)/120 kg/ha urea | |
| 10 June 2019. | 50 kg/ha urea | |||||
| 2020 | L1 | Soybean | 25 April 2020. | 01 October 2020. | 24 April 2020. | 300 kg/ha NPK (15:15:15) |
| L2 | Soybean | 08 April 2020. | 15 September 2020. | / | / | |
| Wheat | 19 October 2020. | / | / | |||
| L3 | Alfalfa | 2016. | Multiple times | / | / | |
| L4 | Maize | 15 April 2020. | 03 October 2020. | 13 April 2020. | 150 kg/ha urea/400 kg/ha NPK (15:15:15) | |
| 200 kg/ha KAN | ||||||
| Wheat | 20 October 2020. | 10 May 2020. | 300 kg/ha NPK 0:20:30 | |||
| L5 | Winter Barley | 25 October 2019. | 28 June 2020. | 10 March 2020. | 100 kg/ha KAN | |
| 15 July 2020. | 40.000 l/ha slurry | |||||
| 20 October 2020. | 300 kg/ha NPK 7:20:30 | |||||
| L6 | Canola | 20 September 2019. | 28 June 2020. | 10 April 2020. | 150 kg/ha KAN | |
| Winter Barley | 20 October 2020 | 30 September 2020. | 300 kg/ha NPK 0:20:30 | |||
| 2021 | L1 | Soybean | 15 April 2021. | 07 September 2021. | 10 January 2021. | 250 kg/ha NPK (0:20:30) |
| Wheat | 29 October 2021. | - | 18 October 2021. | 400 kg/ha NPK (15:15:15) | ||
| L2 | Wheat | 15 October 2020. | 10 July 2021. | 01 March 2021. | 200 kg/ha KAN | |
| 02 April 2021. | 200 kg/ha KAN | |||||
| 05 May 2021. | 150 kg/ha KAN | |||||
| L3 | Maize | 25 April 2021. | 9 September 2021. | 25 April 2021. | 120 kg/ha urea | |
| 25 April 2021. | 600 kg/ha NPK (15:15:15) | |||||
| 01 June 2021. | 150 kg/ha KAN | |||||
| Winter Barley | 15 October 2021. | - | - | - | ||
| L4 | Maize | 25 April 2021. | 01 October 2021. | 25 April 2021. | 250 kg/ha urea | |
| 500 kg/ha NPK (15:15:15) | ||||||
| 175 kg/ha KAN | ||||||
| L5 | Maize | 20 April 2021. | 20 August 2021. | 18 April 2021. | 350 kg/ha NPK (15:15:15) | |
| 18 April 2021. | 150 kg/ha urea | |||||
| 20 May 2021. | 100 kg/ha KAN | |||||
| Winter Barley | 15 October 2021. | - | 03 October 2021. | 300 kg/ha NPK (15:15:15) | ||
| L6 | Winter Barley | 15 October 2020. | 20 June 2021. | 26 March 2021. | 300 kg/ha KAN | |
| 2022 | L1 | Wheat | 20 October 2021. | 03 July 2022. | 20 February 2022. | 180 kg/ha, KAN |
| 29 March 2022. | 200 kg/ha, KAN | |||||
| 10 November 2022. | 300 kg/ha, NPK 0:15:15 | |||||
| L2 | Soybean | 10 April 2022. | 05 September 2022. | / | / | |
| Wheat | 27 October 2022. | / | 26 October 2022. | 250 kg/ha NPK 0:20:30 | ||
| L3 | Winter Barley | 15 November 2021. | 25 June 2022. | 10 March 2022. | 220 kg/ha KAN | |
| 200 kg/ha NPK 15:15:15 | ||||||
| L4 | Soybean | 20 April 2022. | 25 September 2022. | 20 April 2022. | 400 kg/ha NPK 15:15:15 | |
| 100 kg/ha urea | ||||||
| Wheat | 20 October 2022. | / | 19 October 2022. | 300 kg/ha NPK 0:20:30 | ||
| 150 kg/ha urea | ||||||
| L5 | Winter Barley | 10 October 2021. | 05 July 2022. | 20 February 2022. | 100 kg/ha KAN | |
| 10 August 2022. | Slurry 17.000 l/ha | |||||
| L6 | Maize | 15 April 2022. | 01 October 2022. | 15 April 2022. | 150 kg/ha urea | |
| 400 kg/ha NPK 15:15:15 | ||||||
| 175 kg/ha KAN | ||||||
| 2023 | L1 | Soybean | 12 April 2023. | 15.09.2023. | / | / |
| L2 | Wheat | 25 October 2023. | / | / | / | |
| L3 | Wheat | 27 October 2023. | 04 July 2023. | 09 March 2023. | 200 kg/ha KAN | |
| 21 April 2023. | 200 kg/ha KAN | |||||
| L4 | Maize | 24 April 2023. | 05 September 2023. | 15 April 2023. | 175 kg/ha urea | |
| 24 April.2023. | 600 kg/ha NPK 15.15.15 | |||||
| 15 May 2023. | 210 kg/ha KAN | |||||
| Winter Barley | 25 October 2023. | / | / | / | ||
| L5 | Wheat | 25 October 2023. | 05 July 2023. | 09 March 2023. | 200 kg/ha KAN | |
| 21 April 2023. | 200 kg/ha KAN | |||||
| L6 | Maize | 22 April 2023. | 18 April 2023. | Slurry, 15.000 l/ha | ||
| 22 April 2023. | 300 kg/ha NPK 15:15:15 | |||||
| Winter Barley | 20 October 2023. | / | / |
| 2019 | 2020 | 2021 | 2022 | 2023 | |
|---|---|---|---|---|---|
| L1 | 0.58 | 0.88 | 0.83 | 0.92 | 0.60 |
| L2 | 0.74 | 0.84 | 0.78 | 0.94 | 0.59 |
| L3 | 0.72 | 0.97 | 0.76 | 0.87 | 0.44 |
| L4 | 0.77 | 0.88 | 0.82 | 0.82 | 0.37 |
| L5 | 0.83 | 0.67 | 0.90 | 0.75 | 0.45 |
| L6 | 0.70 | 0.85 | 0.75 | 0.83 | 0.45 |
| 2019 | 2020 | 2021 | 2022 | 2023 | |
|---|---|---|---|---|---|
| L1 | 0.75 | 0.84 | 0.68 | 0.90 | 0.94 |
| L2 | 0.74 | 0.87 | 0.90 | 0.95 | 0.70 |
| L3 | 0.13 | 0.97 | 0.80 | 0.81 | 0.79 |
| L4 | 0.36 | 0.90 | 0.82 | 0.81 | 0.90 |
| L5 | 0.62 | 0.78 | 0.69 | 0.72 | 0.48 |
| L6 | 0.57 | 0.83 | 0.83 | 0.65 | 0.98 |
Disclaimer/Publisher’s Note: The statements, opinions and data contained in all publications are solely those of the individual author(s) and contributor(s) and not of MDPI and/or the editor(s). MDPI and/or the editor(s) disclaim responsibility for any injury to people or property resulting from any ideas, methods, instructions or products referred to in the content. |
© 2025 by the authors. Licensee MDPI, Basel, Switzerland. This article is an open access article distributed under the terms and conditions of the Creative Commons Attribution (CC BY) license (https://creativecommons.org/licenses/by/4.0/).
Share and Cite
Filipović, V.; Petošić, D.; Mustać, I.; Bogunović, I.; He, H.; Filipović, L. Dynamic Modeling of Soil Water Dynamics and Nitrogen Species Transport with Multi-Crop Rotations Under Variable-Saturated Conditions. Land 2025, 14, 315. https://doi.org/10.3390/land14020315
Filipović V, Petošić D, Mustać I, Bogunović I, He H, Filipović L. Dynamic Modeling of Soil Water Dynamics and Nitrogen Species Transport with Multi-Crop Rotations Under Variable-Saturated Conditions. Land. 2025; 14(2):315. https://doi.org/10.3390/land14020315
Chicago/Turabian StyleFilipović, Vilim, Dragutin Petošić, Ivan Mustać, Igor Bogunović, Hailong He, and Lana Filipović. 2025. "Dynamic Modeling of Soil Water Dynamics and Nitrogen Species Transport with Multi-Crop Rotations Under Variable-Saturated Conditions" Land 14, no. 2: 315. https://doi.org/10.3390/land14020315
APA StyleFilipović, V., Petošić, D., Mustać, I., Bogunović, I., He, H., & Filipović, L. (2025). Dynamic Modeling of Soil Water Dynamics and Nitrogen Species Transport with Multi-Crop Rotations Under Variable-Saturated Conditions. Land, 14(2), 315. https://doi.org/10.3390/land14020315

