Abstract
Polycyclic aromatic hydrocarbons (PAHs) are considered hazardous pollutants due to their negative impact on the environment and human health. PAHs can accumulate and be retained in the soil, so PAH pollution is a worldwide problem. This review paper highlights the sources of PAH soil pollution, factors affecting the bioavailability of PAHs in soil, and soil bioremediation methods, as well as the advantages and limitations of the application of these methods. Aspects regarding the impact of the application of surfactants are presented in order to obtain good bioavailability during PAH bioremediation. Bioremediation techniques of soil polluted by these hydrocarbons are addressed: phytoremediation, rhizoremediation, composting, vermiremediation, micoremediation, and electrokinetic bioremediation of PAH-polluted soils. A comprehensive overview of bioremediation technologies for PAH-polluted soils is needed so that the right soil remediation technology is chosen. It has been observed the bioremediation of contaminated soils through rhizoremediation proved to be an effective process, the future of organic pollutants in interaction with plants and microbes must be researched. Vermiremediation, electrokinetic bioremediation, and microcomposting are effective processes for treating soils in situ. Phytoremediation is a sustainable and ecological method of PAH depollution. It improves soil fertility by releasing different organic matter in the soil, and it can be applied on a large scale.
1. Introduction
Soil pollution with petroleum hydrocarbons (PAH) resulting from the oil industry or from human activities is a problem of worldwide interest.
PAH petroleum hydrocarbons are organic chemicals with two or more linked benzene rings, 16 of these hydrocarbons are considered priority contaminants due to their mutagenic, oncogenic, and teratogenic characteristics. Inhalation of PAHs is a risk for lung cancer. People can be exposed to PAHs through skin contact, inhalation, or ingestion of air and soil pollutants. Prolonged exposure to PAH pollution can affect health in the following ways: liver and kidney damage, decreased immunity, cataracts, respiratory diseases, skin, stomach, and lung cancer, cardiotoxicity, atherosclerosis, and apoptosis of endothelial cells [1,2,3].
Natural PAH pollution comes from the incomplete combustion of organic substances, biomass, and some fossil fuels [4,5] from industrial, mining, and agricultural activities [6]. This pollution can cause negative effects on living organisms [6,7].
Low molecular weight (LMW) 2–3 ring hydrocarbon compounds have been shown not to be carcinogenic, although they cause acute toxicity [8]. High molecular weight hydrocarbons (HMW), which have 4–7 rings, have mutagenic, teratogenic, and carcinogenic properties, although they have relatively lower toxicity [9].
PAHs pollute the environment through atmospheric deposition and direct releases from oil spills and use, municipal wastewater treatment plants, industrial discharges, stormwater runoff, landfill leachate, and surface runoff. PAH pollution in the world’s oceans results from atmospheric sources in a proportion of 10–80%. PAHs are released into the air when released into water or soil, adsorb to dust particles in the atmosphere, and when adsorbed to particles, they undergo photooxidation in the presence of sunlight. PAHs reach surface waters through municipal effluents, industrial effluents, atmospheric precipitation, urban runoff (from impervious areas, highways, paved parking lots, roads, machine shops, slaughterhouses, and landfills), and oil spills [9].
Hydrocarbons can be easily adsorbed on the soil and can persist there for a long time [10]. Compared to rural areas, it was observed in urban and industrial areas that the pollution is high, and the PAH concentration in the soil depends on the distance from the emission source [11]. The dispersion of PAH compounds in the soil is affected by certain processes, such as biodegradation, abiotic degradation, sorption-desorption, bioaccumulation, volatilization, and leaching [3]. These processes are influenced by the physico-chemical properties of hydrocarbons (organic carbon–water partition coefficient, molecular weight, and octanol–water partition coefficient) and by soil characteristics: soil carbon concentrations, pH, texture, and moisture content [12]. PAH distribution in soil can be disturbed by environmental conditions such as precipitation and temperature [13]. Soil pollution with petroleum hydrocarbons can affect soil texture, hydraulic conductivity, structure, compaction, penetration resistance, mineral concentration, and heavy metal content [14].
The interaction of hydrocarbons with the soil can be achieved through biological, physical, and chemical processes.
Biological processes involve the biodegradation and bioavailability of hydrocarbons in the soil. The biodegradation process is carried out in two stages: physical degradation of PAH with the help of soil microbes and through the biological metabolism of hydrocarbons, in which the concentration of the pollutant is useful for degradation by microbial cells. These processes are influenced by some soil characteristics such as humidity, alkalinity, salinity, temperatures, nutrient content, and pre-exposure to hydrocarbons. The interaction of pollutants in soil depends on the salinity, humidity, and temperature of the soil. The PAH sequestration in the soil is carried out through chemical processes, oxidation/reduction reactions, solubilization, precipitation, sorption, and ion exchange, which depends on the available chemical species, redox conditions, and pH [13,14]. Once in the environment, hydrocarbons can be transferred to humans [15,16].
There are many publications related to PAH pollution and remediation techniques, but there are few works that have addressed bioremediation techniques [17,18,19,20,21]. Taking into account the fact that soil pollution with PAHs has a negative impact on health since pollutants can be transferred to living organisms in the air and water, the paper highlights the sources of soil pollution with PAHs, the factors that affect the bioavailability of PAHs in the soil, and aspects regarding the impact of surfactant application to achieve good bioavailability during PAH bioremediation.
The bioremediation techniques of soil polluted with these hydrocarbons are addressed: phytoremediation, rhizoremediation, composting, vermimediation, and microremediation of PAH-polluted soils. These techniques are presented along with the mechanistic understanding of pollutant degradation. We have highlighted the advantages and limitations of bioremediation techniques for PAH-polluted soils so that the most effective soil bioremediation techniques are chosen.
2. Sources of PAH Soil Pollution
The sources of soil pollution with PAHs are the result of anthropogenic activities: pyrogens from the processes of burning coal, electronic waste, burning petroleum fuels (gasoline and diesel) and other fossil fuels, fuel consumption, agriculture practices, oil production and gases, leakages from the transportation and storage of hydrocarbons, from loading and unloading, explosions from underground pipelines; biological or natural sources (volcanoes), synthesis of bacteria and algae, forest fires, oil seepage, the decomposition of vegetative waste and the erosion of sedimentary rocks containing petroleum hydrocarbons (Figure 1) [22,23,24,25,26,27,28,29,30,31,32,33].
Figure 1.
Sources of PAH soil pollution (adapted from [3]).
Pyrogenic PAHs are emitted when biomass is processed at high temperatures, in the absence of oxygen or with low oxygen [5]. The emission of pyrogenic PAHs occurs when the pyrolytic refining of petroleum residues into smaller hydrocarbons occurs, the transformation of coal into coke/coal tar [23].
The main sources of PAHs include oil spills from oceanic and river water, above-ground and underground oil storage tanks, seepage [23], and the accumulation of large amounts of gasoline and diesel emissions from transportation [7]. Natural sources of PAHs in the environment are forest fires and volcanic eruptions [24] (Figure 1).
Human exposure to PAH occurs due to soil and plant pollution [25]. It is important to know the sources of PAH contamination in soil to avoid or reduce ecological impacts and health risks. In Table 1, there are 15 PAHs considered possible carcinogenic pollutants by the US Environmental Protection Agency (EPA) [3].
Table 1.
Physical and chemical properties of the 16 priority PAHs (data from [3]).
Apart from coal burning, emissions from road traffic are a source of PAH in the soils of industrial and urban areas [29,30,31,32]. For example, traffic emissions have been identified as the main source of PAH pollution in soils from industrial areas in Shandong, China. Due to rapid urbanization, there has been a high number of vehicles on the roads. PAHs can result from tires and vehicle emissions, from asphalt pavements, and transported by runoff and dust on roadside soils [3]. Agricultural roadside soils, being a repository of PAHs, pose a threat to food safety as PAHs can be absorbed by crops and transferred through the food chain [3]. Antarctica was a pollution-free environment. Currently, tourism, military installations, traffic, and human activities have also polluted Antarctica; thus, fifty to ten PAHs were found in the soil of the Fildes Peninsula in the west of Antarctica, where there are human activities. The results demonstrated that local sources, such as burning and seepage of fossil fuels, were the most important sources of hydrocarbons. In the soils of King George Island, Antarctica, PAHs were found from fuel spills, spilled oil, and released petrogen, resulting from the combustion of diesel, coal, incomplete combustion of fossil fuels, and crude liquid fuel.
There are regional and seasonal variations that also influence the level of soil pollution with PAHs. During the summer, the sources of PAH soil pollution were road traffic (54%), whereas during the winter, PAHs were emitted mainly from the burning of coal for heating (72%) resulting from the heating of homes. The appearance of PAHs in the Antarctic soil may be due to low temperatures, when gaseous PAHs condense, becoming less volatile.
3. Bioavailability of PAHs in Soil
The bioavailability of hydrocarbons depends on the microbiological and physico-chemical factors in the composting matrix, factors that determine which fraction of the soil can be transformed by microorganisms [34,35].
The bioavailable fraction of the total pollutants is the one that accumulates in the food chain [3], some are adsorbed by soil colloids and organic matter (OM). Some are combined with solid soil particles, preventing their contact with biological receptors. The unbound part of the pollutant can migrate into the soil. These pollutants can interact with microorganisms, animals, and plants and move with water in the environment. Soil fauna will absorb bioavailable pollutants through the gastrointestinal tract and through the epidermis, and the absorbed pollutants may be metabolized, excreted, or stored in various tissues or transferred to sites of toxicity (STA) (the organs/tissue where the toxic impact occurred) [30]. In the initial phase of the bioremediation process, depollution is efficient but limited by the kinetics of microbial degradation; in the second phase the removal rate of bioremediation is low and limited by slow desorption [35,36,37]. A high percentage of PAH compounds are not bioavailable to living beings due to the heterogeneity of soils. Bioavailability is reduced with the aging of PAHs in the soil, respectively, in concentration decrease in the pollutant due to the increase in contact time between soil and pollutant, due to adsorption on nano and micropores in soil and diffusion through dissolution sites [3].
The rate of PAH remediation can be slow or fast, depending on soil properties, the time required to generate derivatives (oxygenated derivatives) that are more harmful than the initial PAH compounds, and bioavailability [16]. The reduction in bioavailability and subsequent degradation is due to low water solubility and high hydrophobicity [17,18,19,20,21]. Bioavailability-based assessment is an important tool for the remediation of PAH-polluted sites [18].
3.1. Factors Affecting PAH Bioavailability in Soil
PAHs are characterized by high hydrophobicity, thus increasing their affinity to be adsorbed in soil organic matter, being less available for biological absorption.
The factors that have an essential role in determining the bioavailability of PAHs are:
- -
- The contamination time, the irreversible sorption of PAH, is proportional to the contact time, decreasing the bioavailability of pollutants for microorganisms and the degree of biodegradation [36,37,38,39,40,41,42]. Indigenous microorganisms could be inhibited in recently polluted soil because it has toxicity [43,44].
- -
- Another factor that influences the bioavailability of PAHs is represented by their physico-chemical properties: the water solubility of PAHs is an important factor regarding their bioavailability. It is inversely proportional to the molecular weight of PAHs, which reduces their accessibility to microorganisms.
The increase in biodegradation rate was observed by adding organic co-substrates to the composting mixture, organic substrates are sources of organic matter that help microbial activity, thus improving the bioremediation process of PAH-polluted soils [37,45,46]. Organic matter content for soil is 3.68%, and for compost is 43.54% [45].
The water-extractable organic matter from manure compost increased the solubility of pyrene, benzo[a]pyrene, and phenanthrene, favoring their biodegradation [39].
Water-extractable organic matter with high molecular weight (>1000 Da) determined the improvement of solubility and biodegradation. In the presence of 1000 mg-C L−1, pyrene was degraded more by 118% compared to the mineral salt medium after 48 h of incubation [39].
The addition of compost improved PAH removal by 70% through degradation and 30% through desorption from the total loss [35].
The addition of compost to coal ash and coal tar polluted soils was beneficial, up to 94%, for improving PAH removal [35,47].
The stability of the used co-substrates that have more humic matter has an important role in stimulating the bioavailability and biodegradation of PAHS [37]. Microbial activity was increased by humic matter more than those developed in humus (aged organic matter), demonstrating that humus more strongly sequestered organic contaminants [38].
The bioavailability of the more easily degradable PAH with low molecular weight (LMW) was decreased due to enzyme inhibition, which is associated with biodegradation [48]. The bioavailability of PAH with high molecular weight (HMW) was increased by the production of inducible enzymes for catabolism [49].
The degradation rate is slower when the toxicity is higher, and when the HMW/LMW PAH ratio is higher, there is also a lower bioavailability [21].
It is important to achieve a correct optimization of these factors that affect PAH bioavailability in the soil in order to obtain an efficient remediation of PAH-polluted soils [21].
3.2. Aspects Concerning the Impact of Biosurfactants Application for Efficient Bioavailability
Some polycyclic aromatic hydrocarbons, due to their ability to adhere to soil particles and to be released slowly in the water phase, are characterized by low solubility and high hydrophobicity [49,50]. The use of surfactants is an efficient method of removing hydrophobic organic substances from polluted soils [51,52]. According to research in which surfactants (Triton X100 and Tween 80) were used in non-ionic form and sodium dodecyl sulfate (SDS), in ionic form, increased the electroremediation of soil polluted with polyaromatic and aliphatic hydrocarbons. Electro-osmosis removal of anthracene (59%) and n-hexadecane (69%) was improved by using Tween 80 in the anolyte together with SDS in the catholyte [51,52]. In order to obtain good bioavailability during PAH bioremediation, surfactants are applied. Biosurfactants are amphiphilic compounds excreted extracellularly that contain hydrophobic and hydrophilic fragments; they can accumulate between the fluid phases of an organism, reducing their interfacial and surface tension. Biosurfactants removed 93.5% of the total petroleum hydrocarbons [53]. Their functionality depends on increasing their solubility and reducing the surface tension of the interface [54,55,56,57,58]. The factors that influence the efficiency of these surfactants are the type and concentration of the surfactant, the hydrophobicity of PAH, temperature, DOM (dissolved organic matter), pH, microbial community, and salinity. For an effective PAH bioremediation, it is important to avoid inhibiting microbial activities by selecting surfactants [54,55,56,57,58]. Biosurfactants produced by microorganisms are more widely used because they are environmentally friendly [55,59]. Biosurfactants have a high potential to increase the performance of phytoremediation technology for soil treatment [53].
4. Bioremediation Techniques
4.1. Bioremediation of PAH-Polluted Soils Using Composting
Bioremediation is an in situ method carried out using microalgae, fungi, bacteria, actinomycetes, and protozoa [60,61]. Microorganisms detoxify, mineralize, and degrade PAHs by producing enzymes. Microorganisms have a higher efficiency of pollutant degradation when collected from contaminated sites because they are adapted to the pollutant environment [62]. Degradation of PAH in polluted soils using microbes is carried out under anaerobic and aerobic conditions [63].
The use of microalgae in the bioremediation of organically polluted soils is very effective; they assimilate pollutants from contaminated soils for biomass production. Biomass harvested from algae is a source of lipids, carbohydrates, proteins, and secondary metabolites that can be used as biofertilizers, raw materials for the production of biofuels, and animal feed [62]. Microalgae and cyanobacteria are effective in the decomposition of organic pollutants and in the remediation of soils polluted with polycyclic aromatic hydrocarbons [61]. Table 2 shows some microorganisms used for the decomposition of PAH compounds in the soil bioremediation process. It is observed that the bacterial strains degraded a mixture of polycyclic aromatic hydrocarbons (PAHs) consisting of fluoranthene, anthracene, phenanthrene, and pyrene (50 mg L−1 each) within 21 days by about 52%, 69%, 73%, and 48% [62,63,64,65,66].
Table 2.
Microorganisms used for the decomposition of PAH compounds in the soil bioremediation process (data from [3]).
The bacteria Delftia sp. FM6-1, Cycloclasticus, and Gordonia sp. SCSIO19801 used phenanthrene as a source of carbon and energy, decomposing it in a proportion of 90%, 100%, and 80% [64,65,66,67,68,69,70]. The bacterial strain Leclercia adecarboxylata PS4040 degraded 61.5% of pyrene in 20 days when used as the sole source of carbon and energy [71]. The bacterial strain Acinetobacter USTB-X removed 63% of pyrene in 16 days from soil contaminated with polycyclic aromatic hydrocarbons (PAHs), using pyrene as the sole source of carbon and energy. The strain produced biosurfactants that improved pyrene removal [71,72]. The bacterial strain Sphingomonaskoreensis ASU-06 degraded in 15 days 92.7%, 99, 98, 100, and from 100 mg/L pyrene, anthracene, naphthalene and phenanthrene [73,74,75,76,77].
The degradation of three- and four-ring polycyclic aromatic hydrocarbons (PAHs) by a white-rot fungus, Anthracophyllum discolor, isolated from forest in Southern Chile, was evaluated. A removal of benzo(a)pyrene (75%), anthracene (73%), phenanthrene (62%), fluoranthene (54%), and pyrene (60%) was obtained in the autoclaved soil in which the fungus was inoculated in the absence of indigenous microorganisms, associated with the production of manganese peroxidase (MnP). Metabolites found in PAH degradation were phthalic acid, anthraquinone, 4-hydroxy-9-fluorenone, 9-fluorenone, and 4,5-dihydropyrene. The fungus A. discolor mineralized 9% of phenanthrene. The inoculation of the fungus A. discolor in the non-autoclaved soil did not improve the PAH removal efficiency. Adequate conditions must be found to promote successful fungal bioaugmentation in non-autoclaved soils [78,79,80,81,82,83]. Intra and extracellular enzymes of Aspergillus sp. RFC-1 degraded hydrocarbons as follows: 84.6%, 51.3%, and 55.1%, naphthalene, phenanthrene, and pyrene [84,85]. And the use of algae in the biodegradation of organic compounds was high [83,84,85,86]. High PAH concentrations (300 mg PAH/kg) caused a reduction in bacterial density compared to low concentrations (30 mh PAH/kg), which had no negative effect on microbes [63].
There are many microorganisms used to degrade PAHs in the soil [84,85]. Biodegradation of PAHs can be achieved under anaerobic or aerobic conditions [35]. Aerobic conditions were found to be more effective [86]. Composting is an in situ aerobic technique used to remediate PAH-polluted soils with the help of bacteria and fungi [45,87,88,89,90].
Composting depends on two mechanisms: degradation or decomposition of organic pollutants by microbes and adsorption with the help of organic matter (OM) [91].
In the first stage, to produce compost, aeration conditions are necessary for microbial efficiency and temperatures of 25–45 °C (mesophilic ranges) and more than 45 °C (thermophilic ranges). An increase in the biodegradation rate of hydrocarbons was observed in the thermophilic and mesophilic temperature ranges. In the second stage, when the microbial activity is reduced, lower temperatures are required. It is necessary to ensure the humidity of the compost [35]. A degradation of 59% and 89% was obtained for PAHs with 4 and 3 benzene rings in reactors at mesophilic temperatures, and in those with thermophilic temperatures, the degradation rate was 41% and 71%. During 50 days of incubation at mesophilic temperatures of 28 °C, the elimination of alkanes and PAH was achieved. In the case of hydrocarbons with low molecular weight, a good degradation of 40.7–61.2% was obtained, in the case of those with high molecular weight, a lower degradation rate was obtained of 18.7–33.1% [35]. The more hydrocarbons have benzene rings, the more the biodegradation rate is affected. High concentrations of PAH can inhibit microbial activity. In the case of soluble compounds, the degradation rate is proportional to their concentration. Increasing the amount of compost added to PAH-polluted soil does not increase their removal rate [35]. Organic co-substrate must be provided to obtain the efficiency of the bioremediation process. The fine compost fraction (<3 mm) offers more accessibility to microorganisms and releases more nutrients compared to the coarse fraction (<5 mm) [85]. The proportion of earthworms and compost is very important. Thus, the removal of extractable petroleum hydrocarbons was effective for a ratio of 1:0.5–1:1 (soil/compost, g/g). PAH biodegradation was not high when high proportions of compost were used (1:2 and 1:4), and earthworm activity was restricted [35].
It was found that after 15 months, adding compost to PAH-contaminated soil resulted in total decomposition of anthracene and pyrene and limited removal of benzo[a]pyrene [92].
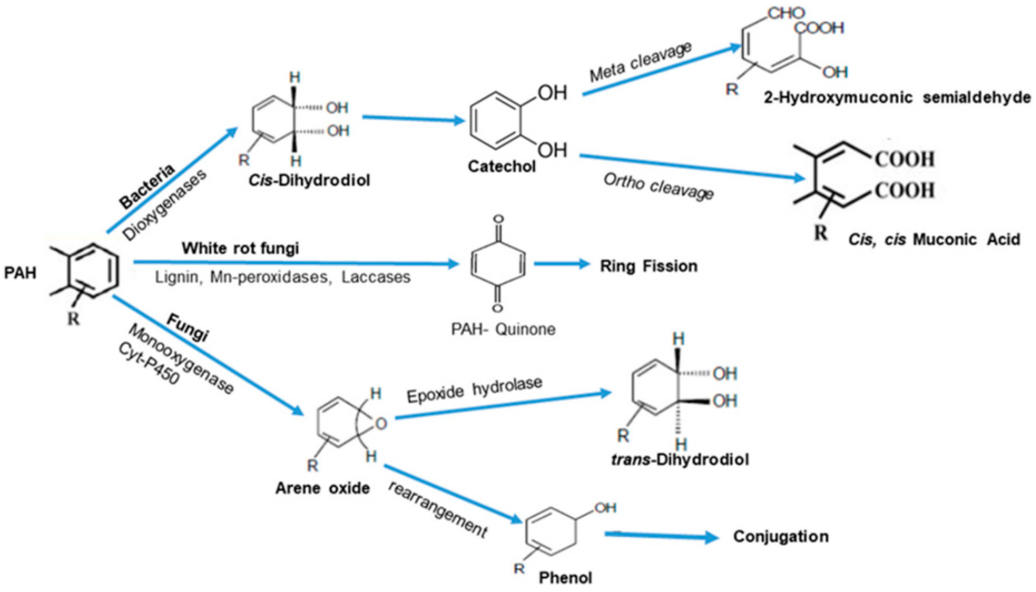
There are many bacterial cultures that have the potential to biodegrade LMW PAHs directly, using them as the sole source of carbon and energy [91,92,93,94,95,96]. On the contrary, HMW-type hydrocarbons must accumulate in the body of microorganisms and then be decomposed through several pathways, according to Figure 2, into a bioavailable form that could be metabolized by microorganisms [86,89,97,98]. The first step in the degradation process is the hydroxylation of the aromatic ring with a dehydrogenase or di- or monooxygenase enzyme, with the formation of a cis-dihydrodiol, which is rearomatized by the action of dehydrogenase to an intermediate diol. These intermediate diols can then be cleaved by in-tradiol or extradiol ring-cleaving dioxygenases, by meta- or ortho-cleavage, leading to the following pyrocatechol acid intermediates and catechols that are converted to tricarboxylic acid [35].
Figure 2.
Bacterial and fungal biodegradation pathways of PAHs (adapted from [35]).
By applying 380 g/kg sewage sludge compost to PAH-polluted soil for 19 months, the total petroleum hydrocarbons were reduced by 99%. Composting achieved the expansion, the transformation of pollutants into non-dangerous compounds, and their degradation [14]. The ways of biodegradation of high molecular weight hydrocarbons (HMW) require more research since there are few bacteria capable of degrading them. Their biodegradation takes place through co-metabolism in the case of benzo[a]pyrene [98,99,100,101].
4.2. Micoremediation of PAH-Polluted Soils
PAH biodegradation in situ can also be achieved with the help of lignolytic and non-lignolytic fungi that can oxidize PAH using cytochrome P-450 monooxygenase and an enzymatic lignin degradation system for the oxidation of aromatic rings. An oxygen atom is incorporated in the aromatic nucleus, and the production of cis-transdihydrodiols is carried out by the remaining atom, which is reduced to water. The arene oxide formed is rearranged to form a phenol, which can be conjugated with gluconeric acid, xylose, glucose, and sulfate. Ligninolytic fungi, also called white rot fungi, can degrade PAHs under ligninolytic and non-ligninolytic culture conditions. Ligninolytic enzymes oxidize the PAH ring by producing hydroxyl free radicals by donating an electron; thus, PAH-quinones and acids are formed instead of dihydrodiols [35,102,103]. The white rot fungus Pleurotus ostreatus alb realizes the mineralization of PAHs, pyrene, phenanthrene, and anthracene [104,105,106,107].
Ligninolytic fungi generate extracellular enzymes that can break down many organic pollutants [108,109,110,111,112,113,114,115,116]. Ligninolysis is an oxidative process that works under nitrogen-limiting circumstances [117]. Extracellular peroxidases of ligninolytic fungi initially oxidize PAHs [118]. Through enzyme-mediated peroxidation of lignin, fungal manganese peroxidases oxidize PAHs. White rot fungi convert anthracene to anthraquinone [52]. The ligninolytic system has the following groups of enzymes: enzymes that produce H2O2, lignin peroxidase (LiP), Mn-dependent peroxidase (MnP), and phenol oxidase (tyrosinase, laccase). Although the decomposition of PAHs by fungi is slow, they can digest a wide range of xenobiotics [52]. In the last decade, fungi have been widely used in bioremediation [108]. Biotrophic and saprotrophic basidiomycetes can decompose harmful substances [108,110].
Fungi can adapt to the soil matrix in any conditions, can colonize biotic and abiotic surfaces, can reproduce, and have fungal enzymes such as lipase, epoxide hydrolases, cytochrome P450, monooxygenase, protease, and dioxygenases, which can degrade a range wide range of contaminants [111,112,113,114,115]. Micoremediation is a biological method for the immobilization, transformation, and degradation of pollutants in the environment [52,116,117,118].
By using the Scopulariopsis brevicauli fungus that was isolated in a PAH pollutant after 28 days of incubation, the following bioremediation yields were obtained: benzo[a]pyrene (82%), pyrene (64%), fluoranthene (62%), and phenanthrene (89%), in liquid medium. It was observed that this fungus has a good potential for bioremediation of PAH-contaminated soil [52].
4.3. Vermiremediation
By using in situ earthworms to remediate PAH-polluted soils, it was evident at high PAH concentrations (less than 0.1 g/kg) that uptake of PAH compounds had little effect on earthworm survival. Eisenia Andrei earthworms, used in the treatment of sewage sludge, were found to contain some of the PAHs [119]. Decomposition was achieved by using Eisenia Andrei earthworms during 126 days for PAH (18.2 mg kg−1), as follows: PAH (20%), biphenyl (5%), BaP (73%) and benzo[e] pyrene (70%), in the soil with a higher number of earthworms (1000 individuals m2), in the soil with a low density of earthworms (250 individuals m2) PAH degradation was 27%, 25%, 68%, and 67% [120]. PAH, BaP, biphenyl, and benzo[e]pyrene were all degraded by 50% in sediments with a low earthworm density, no PAH, BaP, or benzo[e]pyrene were degraded, and only 30% of biphenyl a was removed [52]. By using two species of earthworms, Lampitomauritii (anecic) and Drawidamodesta (epigeic), for the bioaccumulation of polycyclic aromatic hydrocarbons, an increase in the level of macronutrients (NPK) and the reproduction of earthworms during the winter were observed, in which 68.6% of PAHs were removed [121]. Marine nematodes are the most important taxa in the soil ecosystem used as bioindicators for PAHs. Organic compounds act as a chemical signal for nematodes for reproduction, feeding, and communication. The compounds induce reactions that remove PAHs from the environment through bio-indicators [122].
After exposure to PAH compounds, some species, O. campylocercoides, Rhabditis sp., and Ca-lamicrolaimus honestus, were tolerant to PAH (chrysene, phenanthrene, and fluoranthene), other species were very sensitive: Theristus pertenuis, Parasphaerolaimus paradoxus, and Encheliidae sp. [123]. Earthworms are very often used in the assessment of PAH bioavailability in soil due to ease of monitoring, large body size, and sensitivity to pollutants. The bioavailability of PAHs is realized by indirect and direct measurement methods using earthworms.
The direct method measures bioaccumulation, PAH concentration in earthworms, and critical body residues (CBR) [3]. The bioaccumulation of PAHs in earthworms is measured when the PAH concentration in the soil is in equilibrium. CBRs are associated with PAHs at lethal or semi-lethal concentrations in soil, the total concentration of PAHs in earthworms is determined when the pollutant concentration at the site of toxicity is greater than the toxicity threshold. It was found that the concentration of pyrene in earthworms increased with the accumulation of pyrene content in the soil. The aging of PAHs is a special problem and must be considered in experiments dealing with soil fauna. The indirect method of measurement is determined by the response of earthworms to pollutant exposure. The impact of fluoranthene (Fla) on earthworm growth was explored, and it was found that earthworm growth inhibition was directly proportional to Fla content and exposure time [3]. There was a dose–effect relationship between PAH pollutant concentration and earthworm mortality, and pollutant bioavailability could not be quantitatively estimated. PAH bioaccumulation in living organisms is associated with lipid content. Positive correlations were found between fatty acid content and PAH concentrations in marine fish, which mimicked the fact that PAH bioaccumulation is highly dependent on fatty acid content. Therefore, these studies may indicate that, in addition to fatty acids, other factors were responsible for the bioaccumulation of PAHs in marine fish.
Freshwater fish, compared to marine fish, are more prone to PAH contamination due to the higher concentration of PAHs in marine sediments than in freshwater sediments [3]. Compared to invertebrates, fish showed a higher metabolic and excretory rate for PAH; therefore, the concentrations of PAHs found in fish are low. Invertebrates are considered good indicators for PAH biomonitoring compared to fish. Animals applied in PAH biomonitoring in the coastal environment require various specific characteristics, such as wide distribution, easy to sample, higher salinity tolerance capacity, and higher bioaccumulation capacity. According to the requirements mentioned above, oysters and mussels are preferably applied as bioindicators for various PAHs and their derivatives.
4.4. Electrokinetic Bioremediation
In situ application of bioremediation technology to PAH-polluted soils aims to absorb or transform organic pollutants into biomass or harmless metabolites by using microorganisms, animals, and plants to facilitate soil reuse [124,125,126]. Important factors in the effectiveness of soil bioremediation are soil properties and the surrounding environment, such as moisture, soil type, pH, organic matter content, temperature, soil fertility, pollutant properties, plant density, and root depth [127,128,129]. Microorganisms fed by plants that secrete micronutrients, carbohydrates, and amino acids can metabolize organic pollutants from the soil [130,131,132]. These nutrients are diffused near plant roots, and low soil permeability limits the movement of microorganisms in the soil, thus limiting the effect of large-scale soil bioremediation [133].
Studies have been carried out to highlight the impact of nutrient transport on soil bacteria during bioremediation [134]. Thus, it was discovered that by combining electrokinetic methods (electrophoresis, electrolysis, electromigration, and electroosmosis) and bioremediation in contaminated soil, nutrient transport was improved, and the rate of organic matter degradation was improved [135].
By using the Ryegrass plant to remediate oil-contaminated soil, it was observed that microorganisms migrated from the soil to the surroundings, thus determining the improvement of microbial activity and the removal rate of total petroleum hydrocarbons, it had a negligible effect on plant growth [134,135,136].
Through electrokinetic bioremediation, the degradation of organic pollutants in the soil was improved [125]. After electrokinetic bioremediation, over 40% of PAHs were removed [52]. Figure 3 shows electrokinetic bioremediation. The movement of the acid in the approach of the anode to the soil pores is favored by the action of the low-intensity direct current, breaking the connection between the pollutants and the soil. Through electroosmosis, nutrients and water migrate into the soil, the diffusion of pollutants is increased, and the total amount and microbial activity increase, thus facilitating the migration of microorganisms from rhizosphere soil to non-rhizosphere soil, and the pollutant elimination rate is improved.
Figure 3.
Electrokinetic bioremediation (adapted from [125]).
It was observed that through bioremediation, 52% of the total petroleum hydrocarbons were removed from the soil, and through the combined remediation and the addition of oxygen and nutrients, the biodegradability and bioavailability of the pollutants were improved, 80% of the petroleum hydrocarbons were degraded [125]. Through chemical oxidation with persulfate, the pollutants were eliminated from the soil, but the number of bacteria that degrade polycyclic aromatic hydrocarbons in the soil was reduced; thus, a decrease in bacteria was observed by 2.39 orders of magnitude in 30 days in the soil to which 3% persulfate was added (weight/weight), the addition of 1% persulfate reduced the bacterial richness by 0.94 orders of magnitude in 30 days [50]. For 1% persulfate (w/w), the removal efficiency using chemical oxidation combined with bioremediation exceeded that of the single treatment, and polycyclic aromatic hydrocarbons in the soil were reduced [137].
According to Medina and collaborators, the number of soil bacteria recovered after persulfate depletion depends on the amount of oxidants in the soil [138]. By adding nano-iron loaded with biochar to persulfate, the total number of bacteria that degrade petroleum hydrocarbons increased [127]. Mora et al. [139] obtained an improvement in the biodegradability of petroleum hydrocarbons using permanganate as an oxidant, which allowed the growth of bacteria. After two months of bioremediation, the removal rate of aliphatic hydrocarbons was 92%, and of polycyclic aromatic hydrocarbons was 100% [139,140,141].
4.5. Phytoremediation
In the phytoremediation process, plants are used to remove, adsorb, digest, or assimilate toxic pollutants from the soil [141]. The most used in situ techniques for removing organic substances from polluted soils are phytodegradation and phytoextraction [142,143,144]. In Figure 4, the schematic representation of the phytoremediation process is described. Through phytodegradation, plant roots stimulate the activity of microbes, helping to improve mineralization at the root–soil interface [145,146].
Figure 4.
Schematic representation of different phytoremediation techniques (adapted from [147]).
Within phytoremediation, the transformation and degradation of PAH are carried out by plant species through the secretion into the soil of enzymes such as hydrolase, dehydrogenase, monooxygenase, dehalogenase, dioxygenase, and peroxidase [63].
The remediation of PAH-polluted soils by plants is achieved through the accumulation capacity of plant organs used in the remediation process [146].
Thus, ornamental plants use enzymes to relocate PAH compounds from the roots to different parts of the plant tissue [148]. Through phytoremediation, rhizospheric microbial degradation is achieved, in which the population of microbes present in the soil, for their growth and development, feeds on organic substances as carbon substrates [52]
According to Tejeda-Agredano et al. (2013), a positive effect was obtained in 90 days on the rhizosphere by planting sunflowers due to the increase in the elimination rate of total PAHs by 16% compared to contaminated soil without plants [148]. Through molecular analysis, the positive effect of the rhizosphere on the expansion of PAH-degrading microbe populations was observed [147,148].
Enzyme activity helped ornamental plants to degrade organic pollutants. A greater degradation capacity of Fire Phoenix growing in PAH-contaminated soils was obtained due to the activities of peroxidase, dehydrogenase, and catalase in the rhizosphere soil [148,149,150].
Leguminous plants and herbs are used for the phytodegradation of organic substances through phytoremediation [150].
Some tropical plants are effective in PAH decomposition due to their tolerance to hydrocarbons; they have thick roots [151]. According to Parrish’s research, phytodegradation is effective when used as a secondary treatment for the decontamination of PAH-contaminated soils [152].
Plants and animals use similar enzymes to achieve decontamination.
Microbes can mineralize organic pollutants. When organic pollutants enter plants, they can participate in the processes that plants engage in as a group of biochemical and physiological defense mechanisms. According to Dorantes and Dorantes (2012), plants are subjected to oxidative stress through pollution with organic pollutants, causing the accumulation of reactive oxygen species (ROS) in their cells [153]. Plants can stop the harmful effects of organic contaminants through the process of excretion. Excretion ensures that the toxic molecule only passes through the apoplast and is expelled from the plant rather than being chemically modified. This method works when highly mobile molecules with basic structures are involved [135].
The degree of bioaccumulation in plants and the physicochemical characteristics are closely related to the uptake and bioavailability of PAHs [154,155].
Plant roots absorb PAHs directly from the soil [156], and uptake is correlated with the amount of lipids in the roots [157]. The amount of PAHs in plant components is lower than that in the soil in which the plants grow. Large amounts of PAHs have been found in above-ground tissues, absorption through air-exposed leaves or other plant components explains the high concentrations in the aerial parts of plants [157]. According to the research of Huang et al. (2018), atmospheric PAH can reach exposed plant tissue through vapor retention of PAH in leaf cuticles or via particulate-bound compounds [158]. The migration of three- to four-ring PAHs occurs from the aerial parts of plants to the roots [158]. When plant areas are larger, PAH concentrations in above-ground components are higher. Medium molecular weight (MMW) and LMW (low molecular weight, less than four rings) PAHs from oil pollution are transferred from root to aboveground plant components [159,160]. According to Wang et al. (2020), mature vegetation with higher lipid content has higher PAH levels [160]. PAHs having LMW were found to be more widespread in plants [160].
HMW (high molecular weight, containing more than four rings) PAHs, which originate from the complete combustion of coal, coke, biomass, and dense traffic, usually adhere to the wax of the leaf cuticle and are easily washed away by atmospheric water [161]. LMW PAHs can be volatilized and reach leaves from polluted soil. They predominate in root tissues [162,163]. PAHs with two or three rings in their molecular structure have increased solubility in water, which increases their bioavailability to roots.
Phytoremediation is an ecological method of PAH remediation that uses ornamental, tropical plants with thick fibrous roots that have tolerance to high hydrocarbon concentrations [163,164,165,166,167,168,169]. Phytoremediation has a disadvantage in soil PAH depollution when used in large quantities due to the sensitivity to contamination, which can delay the formation of sufficient biomass to allow decomposition [164].
Direct plant uptake and metabolism, promotion of biodegradation by enhancing soil microbial activity and metabolic pathways with root-released compounds, and adsorption or mobilization of PAHs in the rhizosphere due to root surfaces are the main phytoremediation mechanisms of PAH-contaminated soils [52,165,166]. According to Xiao’s research, it was observed that the ornamental plants Fire Phoenix and Medicago Sativa Linn have a good yield in the phytoremediation of PAH-contaminated soil after 150 days [167]. The depollution rate being 99.40% and 98.11%, these species of ornamental plants have a high potential for PAH removal [106]. In PAH-contaminated soils, Fire Phoenix improved soil physico-chemical properties (mainly available phosphorus) and cation exchange capacity [167]. A good capacity to accumulate poly-aromatic hydrocarbons from the soil was also observed in the shoots of Brassica plants. Napus, Sorghum bicolor, and J. subsecundus were used for phytoremediation; they survived PAH toxicity in the soil [168,169].
PAH accumulation rates in plants were estimated using the shoot concentration factor (SCF). It was expressed as the ratio of the PAH concentration in the plant shoot to the PAH concentration in the soil [169]. Phytoremediation, with special ornamental species, is an efficient method of depollution of PAH-contaminated soils. By adding a biosurfactant with a desorption and solubilization effect, at a concentration of 10%, to the gasoline-contaminated soil in which Ludwigia octovalvis used in soil remediation was planted, total removal of 93.5% of petroleum hydrocarbons and proliferation of bacteria were obtained from the surface of the long and fibrous root of the plant, which decomposed the pollutants (rhyzodegradation) [53].
Different plant species can remove organic pollutants from polluted sites (Table 3).
Table 3.
Plants used in the phytoremediation process.
The use of the Phragmites australis plant for PAH depollution (229.67 ± 15.56 μg PAH/g sediment dry weight) in dredged sediments accelerated PAH oxidation by rhizodegradation, removing 58.47% of PAHs [170,171]. The use of Luffa acutangular and Sparganium sp. led to an elimination of PAH in the range of 85.9–99.5% [172,173]. A 57% reduction in PAH was observed after 6 months of phytoremediation with Panicum virgatum, Schizachyrium scoparium, and Medicago sativa plants. Anthracene and phenanthrene removal was achieved by combining phytoremediation with electrokinetic treatment. Combining phytoremediation with bioaugmentation using Pseudomonas aeruginosa resulted in a 68% reduction in PAH.
It is observed that the phytoremediation of PAH-polluted soils has a number of advantages: it is an ecological treatment, the cost is low, it preserves the soil structure, it prevents soil erosion, and by adding organic matter, soil fertility is improved [174]. Phytoremediation is influenced by pollutant concentration and toxicity, which can lead to longer remediation time, plant bioavailability, plant root depth, and slow plant growth rate, which can limit the application of phytoremediation [175]. After remediation, harvesting plants for biomass management generates other costs. Toxic pollutants accumulated in plants can be transferred along the food chain.
4.6. Rhyzoremediation
Rhyzoremediation is a very good technique with a low impact on the environment to eliminate PAH from the soil [154], with the help of plants that use the microorganisms present in their roots to damage the hydrocarbons [52,176,177,178,179]. Plants aerate the soil and microorganisms [180]. Plants naturally produce organic compounds (organic acids, sugars) that encourage microbial growth, produce catabolic responses to PAHs, and select PAH-degrading bacteria [181,182].
Plants from the Poaceae family are frequently used in rhizome treatment due to their rapid growth and development, fibrous roots, resistance to PAH, tolerance to stressful environmental conditions, and lower nutritional demand [56,183,184]. Sudan grass, after 20 days, had a hydrocarbon removal rate of 98% [159]. Sudan grass stimulated microbial growth [52]. The improvement of the dissipation of hydrocarbons was obtained by feeding the rhizosphere with Sphingomonadales grass.
Plants excrete organic chemicals that are produced during photosynthesis. These root exudates contain amino acids, sugars, proteins, alcohols, nucleotides, flavonones, phenolic chemicals, organic acids, and enzymes [185,186]. The rate of exudation is affected by the presence of pollutants, the age of the plants, and the availability of mineral nutrients. The rhizoremediation process is influenced by the time of exudation and the amount of root exudates [187,188]. Root exudates improve microbial metabolism due to the presence of organic pollutants, provide nitrogen and carbon to the microbes that degrade the organic pollutants, and improve the physical and chemical properties of the soil [189,190,191].
By applying biochar to PAH-polluted soil, an improvement in the community of microbes that metabolized PAHs from the polluted soil was found [192,193].
Solubility in water has been improved by adding surfactants; this helps microorganisms assimilate hydrophobic PAH compounds [53,194]. The removal of pyrene and phenanthrene from the soil was obtained following the addition of two root exudates (oxalic and citric acid) [189]. Rhizoremediation is an effective process of natural degradation of hydrocarbons by bacteria whose growth is enhanced by the compounds (flavonoids) released by the roots [161,190].
5. Comparison Between Bioremediation Techniques: The Advantages and Limits of the Application of Bioremediation
Applying bioremediation to soil, the diversity of microbes used, the concentration and toxicity of PAHs, and the physico-chemical properties of the polluted soil must be taken into account. In situ bioremediation advantages include the following: By applying in situ bioremediation methods, the contaminated soil should not be excavated [195,196]. Biological processes are ecological and include the presence of metabolically active microbial populations, suitable growth conditions, and the availability of nutrients and contaminants in the environment [52].
Through this method, solid and dissolved contaminants are treated, so it is a volumetric treatment [53]. Organic pollutants can be completely converted into carbon dioxide, water, and ethanol as the energy source [140]. Contaminants are not transferred to the environment but are removed [151]. By applying this method, the soil can be further used, being remediated [152].
Composting improves PAH removal, but research on compost stability and the use of surfactants for PAH removal must be continued. Composting is an ecological treatment carried out with low costs, and pollutants can be transformed into non-dangerous substances. The action of earthworms improves the soil structure with nutrients that favor plant growth and increases earthworm biomass, which can be harvested and used as animal feed [197,198].
Biosurfactants increase phytoremediation performance. Phytoremediation is the most sustainable and ecological method of PAH depollution, and it improves soil fertility by removing different organic matter in the soil, it can be applied on a large scale, is carried out at low cost, can be applied on a large scale, soil fertility is improved by releasing organic matter into the soil [159]. Ornamental, tropical plants with thick fibrous roots with tolerance to high concentrations of hydrocarbons are used in the phytoremediation process [163]. Rhizome remediation has the advantage of effective plant tolerance to PAHs.
Root exudation into the rhizosphere provides better nutrient uptake for the rhizosphere microbiome. High biomass production provides OM and nutrients to the soil [189,190]. Plant tolerance to PAHs and the absorption of nutrients for the microbiome of the rhizosphere is ensured by the exudation of the roots in the rhizosphere and high biomass production [199,200].
Certain organic pollutants can be used by bacterial strains as a source of energy and carbon for development [71].
Electrokinetic remediation has advantages, including being effective with low permeability soil and low environmental impacts [195].
Limits of In Situ Bioremediation
Certain contaminants may not be converted into harmless products.
If the transformation stops at an intermediate compound, the intermediate may be more toxic and/or mobile than the initial compound and may persist in the environment [52].
Contaminants can be present as solids, liquids, and gases. It may take longer compared to other treatments such as incineration, excavation, and soil removal.
Further research is needed to develop and design bioremediation technologies that are appropriate for sites with complex mixtures of contaminants that are not uniformly dispersed in the environment [24].
For the application on large areas of land, the following aspects must be taken into account in order to obtain a high yield of remediation of PAH-polluted soils:
- -
- The physical and chemical properties of the contaminated soil: soil profile, temperature, content of clay minerals in the soil, soil-water ratio, environmental conditions, and oxygen availability.
- -
- Microbial community, resistance and interaction, microbial diversity, PAH concentration, mass transfer, toxicity, volatility, etc. Proper optimization of these parameters is required for field-scale applications. They develop genetic and physiological adaptations. It cannot be used in the case of depollution of highly polluted soils. Due to risk assessment, earthworms may not be suitable as biomonitoring agents [198,199]. The life cycle of earthworms (feeding, secretion, metabolism, and burrows). For PAH degradation, earthworms interact with biotic and abiotic factors [198,199].
- -
- Evaluation of the pre-treatment and post-treatment of the site contaminated with PAH, it is necessary that in this phase, the biochemical conversions of the PAH compounds are invested so that after the treatment, they are completely removed, or they are transformed into non-toxic compounds.
Phytoremediation requires time, especially in heavily and moderately contaminated areas, due to the slow growth rate and low biomass production, this is why choosing suitable plants is fundamental. In the case of phytoremediation, the polluted soil is improved, but the molecular mechanism of PAH degradation or accumulation in plants has not been studied.
Phytoremediation has a disadvantage in the depollution of large sites with PAHs due to the sensitivity to contamination, which can delay the formation of sufficient biomass to allow decomposition [175]. Due to the slow growth rate and low biomass production, it takes time in highly polluted areas [200].
Rhizome remediation is limited by the fact that there are not enough surveys for large areas. It is not possible to determine the exact time for the degradation of the organic pollutant [199,200].
Research must be continued to identify and characterize the degradative enzymes of bacterial strains [71]. The mechanism by which earthworms biodegrade polycyclic aromatic hydrocarbons in soil is not yet known [120]. There is no relationship between changes in the microbial community through earthworm activity and increased PAH removal from soil. Further research is needed to highlight the role of earthworm-induced changes in soil microbial community structure in removal [120].
Electrokinetic remediation is not effective for all types of PAHs and has poor desorption ability and low solubility [196,197].
6. Conclusions
Soil pollution with PAHs has a negative impact on health because the pollutants can be transferred to living organisms’ health in the air and in water. A comprehensive overview of bioremediation technologies for PAH-polluted soils is needed so that the right technology for soil remediation can be chosen. The bioremediation of contaminated soils through rhizoremediation proved to be an effective process, and the future of organic pollutants in interaction with plants and microbes must be researched. Microorganisms have a higher efficiency of pollutant degradation when collected from contaminated sites because they are adapted to the pollutant environment. Vermiremediation and electrokinetic bioremediation are effective processes for treating soils in situ. Biosurfactants increase the performance of phytoremediation technology for soil treatment. Phytoremediation is a sustainable and ecological method of PAH depollution; it improves soil fertility by releasing different organic matter in the soil, and it can be applied on a large scale.
After 150 days of phytoremediation with the ornamental plants Fire Phoenix and Medicago Sativa Linn, a depollution of 99.40% and 98.11% was obtained, and the physical–chemical properties of the soil (mainly available phosphorus) and the cation exchange capacity were improved [167]. By adding a biosurfactant with a desorption and solubilization effect, at a concentration of 10%, to the gasoline-contaminated soil in which Ludwigia octovalvis used in soil remediation was planted, total removal of 93.5% of petroleum hydrocarbons and proliferation of bacteria were obtained from the surface of the long and fibrous root of the plant, which decomposed the pollutants (rhyzodegradation) [53]. Sudan grass, after 20 days, had a hydrocarbon removal rate of 98% [159].
By using the Scopulariopsis brevicauli fungus that was isolated in a PAH pollutant after 28 days of incubation, the following bioremediation yields were obtained: benzo[a]pyrene (82%), pyrene (64%), fluoranthene (62%) and phenanthrene (89%), in liquid medium. It was observed that this fungus has a good potential for bioremediation of PAH-contaminated soil [52]. After two months of bioremediation, the removal rate of aliphatic hydrocarbons was 92%, and that of polycyclic aromatic hydrocarbons was 100% [139,140,141].
To remediate soils polluted with PAHs in large areas, the most effective bioremediation method must be chosen, depending on the concentration and properties of petroleum hydrocarbons, soil characteristics, the duration of contact between hydrocarbons and soil, and climatic conditions. For each bioremediation method, there are limitations and advantages, a single treatment method cannot be used, and two or more methods could be combined for better efficiency of degradation or removal of PAH from soils.
Author Contributions
Conceptualization: C.O.R.; methodology: C.O.R.; investigation: C.O.R. and A.M.R.; formal analysis: G.A.C., I.A.I. and A.M.R.; visualization: G.A.C., I.A.I. and A.M.R.; resources: C.O.R.; writing—review and editing: C.O.R. and A.M.R. All authors have read and agreed to the published version of the manuscript.
Funding
The APC was funded by Politehnica Bucharest, Romania, within the PubArt Program.
Data Availability Statement
Not applicable.
Acknowledgments
C.O.R., I.A.I., A.M.R. and G.A.C., acknowledge the project, Establishment and operationalization of a Competence Center for Soil Health and Food Safety-CeSoH, Contract no.: 760005/2022, specific project no. 1, with the title, Soil Health and Food Safety by introducing a soil remediation protocol and developing mobile remediation equipment to reduce the concentration of organic/inorganic pollutants, Code 2, financed through PNRR-III-C9-2022–I5.
Conflicts of Interest
The authors declare no conflicts of interest.
References
- Zhang, T.; Liu, F.; Yu, X.; Jiang, X.; Cui, Y.; Li, M. Risk assessment and ecotoxicological diagnosis of soil from a chemical industry park in Nanjing, China. Ecotoxicology 2021, 30, 1303–1314. [Google Scholar] [CrossRef]
- Luki´c, B.; Panico, A.; Huguenot, D.; Fabbricino, M.; van Hullebusch, E.D.; Esposito, G. Evaluation of PAH removal efficiency in an artificial soil amended with different types of organic wastes. Eur. Mediterr. J. Environ. Integr. 2016, 1, 5. [Google Scholar] [CrossRef]
- Kumar, M.; Bolan, N.; Hoang, S.; Sawarkar, A.; Jasemizad, T.; Gao, B.; Keerthanan, S.; Padhye, L.; Singh, L.; Kumar, S.; et al. Remediation of soils and sediments polluted with polycyclic aromatic hydrocarbons: To immobilize, mobilize, or degrade? J. Hazard. Mater. 2021, 420, 126534. [Google Scholar] [CrossRef] [PubMed]
- Patel, A.B.; Shaikh, S.; Jain, K.R.; Desai, C.; Madamwar, D. Polycyclic aromatic hydrocarbons: Sources. Front. Microbiol. 2020, 11, 562813. [Google Scholar] [CrossRef] [PubMed]
- Balmer, J.E.; Hung, H.; Yu, Y.; Letcher, R.J.; Muir, D.C. Sources and environmental fate of pyrogenic polycyclic aromatic hydrocarbons (PAHs) in the Arctic. Emerg. Contam. 2019, 5, 128–142. [Google Scholar] [CrossRef]
- Yuan, Z.; He, B.; Wu, X.; Simonich, S.L.M.; Liu, H.; Fu, J.; Chen, A.; Liu, H.; Wang, Q. Polycyclic aromatic hydrocarbons (PAHs) in urban stream sediments of Suzhou Industrial Park, an emerging eco-industrial park in China: Occurrence, sources and potential risk. Ecotoxicol. Environ. Saf. 2021, 214, 112095. [Google Scholar] [CrossRef] [PubMed]
- Hussain, K.; Hoque, R.R.; Balachandran, S.; Medhi, S.; Idris, M.G.; Rahman, M.; Hussain, F.L. Monitoring and risk analysis of PAHs in the environment. In Handbook of Environmental Materials Management; Springer: Cham, Switzerland, 2018; pp. 1–35. [Google Scholar]
- Olayinka, O.O.; Adewusi, A.A.; Olujimi, O.O.; Aladesida, A.A. Polycyclic aromatic hydrocarbons in sediment and health risk of fish, crab and shrimp around Atlas Cove, Nigeria. J. Health Pollut. 2019, 9, 191204. [Google Scholar] [CrossRef]
- Anyahara, J.N. Effects of Polycyclic Aromatic Hydrocarbons (PAHs) on the Environment: A Systematic Review. Int. J. Adv. Acad. Res. 2021, 7, 3. [Google Scholar] [CrossRef]
- Wu, H.; Sun, B.; Li, J. Polycyclic aromatic hydrocarbons in sediments/soils of the rapidly urbanized lower reaches of the River Chaohu. Int. J. Environ. Res. Public Health 2019, 16, 2302. [Google Scholar] [CrossRef]
- Yuan, H.; Li, T.; Ding, X.; Zhao, G.; Ye, S. Distribution, sources and potential toxicological significance of polycyclic aromatic hydrocarbons (PAHs) in surface soils of the Yellow River Delta, China. Mar. Pollut. Bull. 2014, 83, 258–264. [Google Scholar] [CrossRef]
- Omores, R.A.; Wewers, F.; Ikhide, P.O.; Farrar, T.; Giwa, A. Spatio–temporal distribution of polycyclic aromatic hydrocarbons in Urban Soils in Cape Town, South Africa. Int. J. Environ. Res. 2017, 11, 189–196. [Google Scholar] [CrossRef]
- Hong, W.J.; Li, Y.F.; Li, W.L.; Jia, H.; Minh, N.H.; Sinha, R.K.; Moon, H.B.; Nakata, H.; Chi, K.H.; Kannan, K.; et al. Soil concentrations and soil-air exchange of polycyclic aromatic hydrocarbons in five Asian countries. Sci. Total Environ. 2020, 711, 135223. [Google Scholar] [CrossRef] [PubMed]
- Ossai, I.C.; Ahmed, A.; Hassan, A.; Hamid, F.S. Remediation of soil and water contaminated with petroleum hydrocarbon: A review Innocent Chukwunonso. Environ. Technol. Innov. 2020, 17, 100526. [Google Scholar]
- Honda, M.; Suzuki, N. Toxicities of polycyclic aromatic hydrocarbons for aquatic animals. Int. J. Environ. Res. Public Health 2020, 17, 1363. [Google Scholar] [CrossRef] [PubMed]
- Zhang, L.; Li, X.; Zuo, W.; Li, S.; Sun, G.; Wang, W.; Yu, Y.; Huang, H. Root exuded low-molecular-weight organic acids affected the phenanthrene degrader differently: A multi-omics study. J. Hazard. Mater. 2021, 414, 125367. [Google Scholar] [CrossRef]
- Ranjbar Jafarabadi, A.; Mashjoor, S.; Riyahi Bakhtiari, A.; Jadot, C. Dietary intake of polycyclic aromatic hydrocarbons (PAHs) from coral reef fish in the Persian Gulf-human health risk assessment. Food Chem. 2020, 329, 127035. [Google Scholar] [CrossRef]
- Duan, L.; Naidu, R.; Thavamani, P.; Meaklim, J.; Megharaj, M. Managing longterm polycyclic aromatic hydrocarbon contaminated soils: A risk-based approach. Environ. Sci. Pollut. Res. 2015, 22, 8927–8941. [Google Scholar] [CrossRef] [PubMed]
- Dai, Y.; Liu, R.; Zhou, Y.; Li, N.; Hou, L.; Ma, Q.; Gao, B. Fire Phoenix facilitates phytoremediation of PAH-Cd co-contaminated soil through promotion of beneficial rhizosphere bacterial communities. Environ. Int. 2020, 136, 105421. [Google Scholar] [CrossRef]
- Lu, C.; Hong, Y.; Liu, J.; Gao, Y.; Ma, Z.; Yang, B.; Ling, W.; Waigi, M.G. A PAHdegrading bacterial community enriched with contaminated agricultural soil and its utility for microbial bioremediation. Environ. Pollut. 2019, 251, 773–782. [Google Scholar] [CrossRef]
- Kuppusamy, S.; Thavamani, P.; Venkateswarlu, K.; Lee, Y.B.; Naidu, R.; Megharaj, M. Remediation approaches for polycyclic aromatic hydrocarbons (PAHs) contaminated soils: Technological constraints, emerging trends and future directions. Chemosphere 2017, 168, 944–968. [Google Scholar] [CrossRef] [PubMed]
- Abdel-Shafy, H.I.; Mansour, M.S.M. A review on polycyclic aromatic hydrocarbons: Source, environmental impact, effect on human health and remediation. Egypt. J. Pet. 2016, 25, 107–123. [Google Scholar] [CrossRef]
- Guarino, C.; Zuzolo, D.; Marziano, M.; Conte, B.; Baiamonte, G.; Morra, L.; Benotti, D.; Gresia, D.; Stacul, E.R.; Cicchella, D.; et al. Investigation and assessment for an effective approach to the reclamation of polycyclic aromatic hydrocarbon (PAHs) contaminated site: SIN Bagnoli. Italy Sci. Rep. 2019, 9, 11522. [Google Scholar] [CrossRef]
- Jiao, H.; Wang, Q.; Zhao, N.; Jin, B.; Zhuang, X.; Bai, Z. Distributions and sources of polycyclic aromatic hydrocarbons (PAHs) in Soils around a chemical plant in Shanxi, China. Int. J. Environ. Res. Public Health 2017, 14, 1198. [Google Scholar] [CrossRef]
- Bortey-Sam, N.; Ikenaka, Y.; Nakayama, S.M.; Akoto, O.; Yohannes, Y.B.; Baidoo, E.; Mizukawa, H.; Ishizuka, M. Occurrence, distribution, sources and toxic potential of polycyclic aromatic hydrocarbons (PAHs) in surface soils from the Kumasi Metropolis, Ghana. Sci. Total Environ. 2014, 496, 471–478. [Google Scholar] [CrossRef]
- Kamal, A.; Malik, R.N.; Martellini, T.; Cincinelli, A. Source, profile, and carcinogenic risk assessment for cohorts occupationally exposed to dust-bound PAHs in Lahore and Rawalpindi cities (Punjab province, Pakistan). Environ. Sci. Pollut. Res. 2015, 22, 10580–10591. [Google Scholar] [CrossRef] [PubMed]
- Zhang, P.; Chen, Y. Polycyclic aromatic hydrocarbons contamination in surface soil of China: A review. Sci. Total Environ. 2017, 605, 1011–1020. [Google Scholar] [CrossRef]
- Han, B.; Liu, A.; Wang, S.; Lin, F.; Zheng, L. Concentration level, distribution model, source analysis, and ecological risk assessment of polycyclic aromatic hydrocarbons in sediments from laizhou bay, China. Mar. Pollut. Bull. 2020, 150, 110690. [Google Scholar] [CrossRef]
- Wang, J.; Zhang, X.; Ling, W.; Liu, R.; Liu, J.; Kang, F.; Gao, Y. Contamination and health risk assessment of PAHs in soils and crops in industrial areas of the Yangtze River Delta region, China. Chemosphere 2017, 168, 976–987. [Google Scholar] [CrossRef]
- Zeng, S.; Ma, J.; Ren, Y.; Liu, G.J.; Zhang, Q.; Chen, F. Assessing the Spatial Distribution of Soil PAHs and their Relationship with Anthropogenic Activities at a National Scale. Int. J. Environ. Res. Public Health 2019, 16, 4928. [Google Scholar] [CrossRef] [PubMed]
- Lamichhane, S.; Krishna, K.B.; Sarukkalige, R. Polycyclic aromatic hydrocarbons (PAHs) removal by sorption: A review. Chemosphere 2016, 148, 336. [Google Scholar] [CrossRef]
- Nadal, M.; Schuhmacher, M.; Domingo, J.L. Levels of PAHs in soil and vegetation samples from Tarragona County, Spain. Environ. Pollut. 2004, 132, 1–11. [Google Scholar] [CrossRef]
- Qu, Y.; Gong, Y.; Ma, J.; Wei, H.; Liu, Q.; Liu, L.; Wu, H.; Yang, S.; Chen, Y. Potential sources, influencing factors, and health risks of polycyclic aromatic hydrocarbons (PAHs) in the surface soil of urban parks in Beijing, China. Environ. Pollut. 2020, 260, 114016. [Google Scholar] [CrossRef]
- Liu, S.; Xia, X.; Yang, L.; Shen, M.; Liu, R. Polycyclic aromatic hydrocarbons in urban soils of different land uses in Beijing, China: Distribution, sources and their correlation with the city’s urbanization history. J. Hazard. Mater. 2010, 177, 1085–1092. [Google Scholar] [CrossRef]
- Sayara, T.; Sánchez, A. Bioremediation of PAH-Contaminated Soils: Process Enhancement through Composting/Compost. Appl. Sci. 2020, 10, 3684. [Google Scholar] [CrossRef]
- Loeher, R.C.; Mc Millen, S.J.; Webster, M.T. Predictions of biotreatability and actual results: Soils with petroleum hydrocarbons. Pract. Period. Hazard. Toxic Radioact. Waste Manag. 2001, 5, 78–87. [Google Scholar] [CrossRef]
- Trinidade, P.V.O.; Sobral, A.C.L.; Rizzo, S.G.F.; Leite Soriano, A.U. Bioremediation of weathered and recently oil-contaminated soils from Brazil: A compression study. Chemosphere 2005, 58, 515–522. [Google Scholar] [CrossRef]
- Yang, Y.; Tao, S.; Zhang, N.; Zhang, D.Y.; Li, X.Q. The effect of soil organic matter on fate of polycyclic aromatic hydrocarbons in soil: A microcosm study. Environ. Pollut. 2010, 158, 1768–1774. [Google Scholar] [CrossRef]
- Tang, J.; Lu, X.; Sun, Q.; Zhu, W. Aging effect of petroleum hydrocarbons in soil under different attenuation conditions. Agric. Ecosyst. Environ. 2012, 149, 109–117. [Google Scholar] [CrossRef]
- Cébron, A.; Faure, P.; Lorgeoux, C.; Ouvrard, S.; Leyval, C. Experimental increase in availability of a PAH complex organic contamination from an aged contaminated soil: Consequences on biodegradation. Environ. Pollut. 2013, 177, 98–105. [Google Scholar] [CrossRef]
- Allard, A.S.; Remberger, M.; Neilson, A.H. The negative impact of aging on the loss of PAH components in a creosote-contaminated soil. Int. Biodeter. Biodegr. 2000, 46, 43–49. [Google Scholar] [CrossRef]
- Maletic, S.; Dalmacija, B.; Roncevic, S.; Agbaba, J.; Ugarcina, P.S. Impact of hydrocarbon type, concentration and weathering on its biodegradability in soil. J. Environ. Sci. Health A 2011, 46, 1042–1049. [Google Scholar] [CrossRef]
- Margesin, R.; Labbe, D.; Schninner, F.; Greer, C.W.; Whyte, L.G. Characterization of Hydrocarbon-Degrading Microbial Populations in Contaminated and Pristine Contaminated Soils. Appl. Environ. Microbiol. 2003, 69, 3085–3092. [Google Scholar] [CrossRef] [PubMed]
- Pawar, R.M. The Effect of Soil pH on Bioremediation of Polycyclic Aromatic Hydrocarbons (PAHS). J. Bioremed. Biodeg. 2015, 6, 291. [Google Scholar] [CrossRef]
- Sayara, T.; Borràs, E.; Caminal, G.; Sarrà, M.; Sánchez, A. Bioremediation of PAHs-contaminated soil through composting: Influence of bioaugmentation and biostimulation on contaminant biodegradation. Int. Biodeter. Biodegr. 2011, 65, 859–865. [Google Scholar] [CrossRef]
- Mrozik, A.; Piotrowska-Seget, Z. Bioaugmentation as a strategy for cleaning up of soils contaminated with aromatic compounds. Microbiol. Res. 2010, 165, 363–375. [Google Scholar] [CrossRef] [PubMed]
- Kobayashi, T.; Murai, Y.; Tatsumi, K.; Iimura, Y. Biodegradation of polycyclic aromatic hydrocarbons by Sphingomonas sp. enhanced by water-extractable organic matter from manure compost. Sci. Total Environ. 2009, 407, 5805–5810. [Google Scholar] [CrossRef] [PubMed]
- Wu, G.; Kechavarzi, C.; Li, X.; Sui, H.; Pollard, S.J.T.; Coulon, F. Influence of mature compost amendment on total and bioavailable polycyclic aromatic hydrocarbons in contaminated soils. Chemosphere 2013, 90, 2240–2246. [Google Scholar] [CrossRef] [PubMed]
- Couling, N.R.; Towell, M.G.; Semple, K.T. Biodegradation of PAHs in soil: Influence of chemical structure, concentration and multiple amendment. Environ. Pollut. 2010, 158, 3411–3420. [Google Scholar] [CrossRef]
- Trellu, C.; Mousset, E.; Pechaud, Y.; Huguenot, D.; Van Hullebusch, E.D.; Esposito, G.; Oturan, M.A. Removal of hydrophobic organic pollutants from soil washing/flushing solutions: A critical review. J. Hazard. Mater. 2016, 306, 149–174. [Google Scholar] [CrossRef] [PubMed]
- Boulakradeche, M.O.; Akretche, D.E.; Cameselle, C.; Hamidi, N. Enhanced electrokinetic remediation of hydrophobic organics ontaminated soils by the combinations of non-ionic and ionic surfactants. Electrochim. Acta 2015, 174, 1057–1066. [Google Scholar] [CrossRef]
- Ansari, F.; Anees, A.; Mohd, R. Review on bioremediation technologies of polycyclic aromatic hydrocarbons (PAHs) from soil: Mechanisms and future perspective. Int. Biodeterior. Biodegrad. 2023, 179, 105582. [Google Scholar] [CrossRef]
- Almansoory, A.F.; Hasan, H.A.; Idris, M.; Abdullah, S.R.S.; Anuar, N. Potential application of a biosurfactant in phytoremediation technology for treatment of gasoline-contaminated soil. Ecol. Eng. 2015, 84, 113–120. [Google Scholar] [CrossRef]
- Li, J.L.; Chen, B.H. Effect of nonionic surfactants on biodegradation of phenanthrene by a marine bacteria of Neptunomonas naphthovorans. J. Hazard. Mater. 2009, 162, 66–73. [Google Scholar] [CrossRef] [PubMed]
- Lamichhane, S.; Krishna, K.C.B.; Sarukkalige, R. Surfactant-enhanced remediation of polycyclic aromatic hydrocarbons: A review. J. Environ. Manag. 2017, 199, 46–61. [Google Scholar] [CrossRef] [PubMed]
- Liu, Y.; Zeng, G.; Zhong, H.; Wang, Z.; Liu, Z.; Cheng, M.; Liu, G.; Yang, X.; Liu, S. Effect of rhamnolipid solubilization on hexadecane bioavailability: Enhancement or reduction? J. Hazard. Mater. 2017, 322, 394–401. [Google Scholar] [CrossRef]
- Cheng, K.Y.; Lai, K.M.; Wong, J.W.C. Effects of pig manure compost and nonionicsurfactant Tween 80 on phenanthrene and pyrene removal from soil vegetated with Agropyron elongatum. Chemosphere 2008, 73, 791–797. [Google Scholar] [CrossRef]
- Adrion, A.C.; Nakamura, J.; Shea, D.; Aitken, M.D. Screening nonionic surfactants for enhanced biodegradation of polycyclic aromatic hydrocarbons remaining in soil after conventional biological treatment. Environ. Sci. Technol. 2016, 50, 3838–3845. [Google Scholar] [CrossRef] [PubMed]
- Shivlata, L.; Satyanarayana, T. Thermophilic and alkaliphilic Actinobacteria: Biology and potential applications. Front. Microbiol. 2015, 6, 1014. [Google Scholar] [CrossRef] [PubMed]
- Das, N.; Chandran, P. Microbial degradation of petroleum hydrocarbon contaminants: An overview. Biotechnol. Res. Int. 2011, 2011, 941810. [Google Scholar] [CrossRef] [PubMed]
- Subashchandrabose, S.R.; Ramakrishnan, B.; Megharaj, M.; Venkateswarlu, K.; Naidu, R. Mixotrophic cyanobacteria and microalgae as distinctive biological agents for organic pollutant degradation. Environ. Int. 2013, 51, 59–72. [Google Scholar] [CrossRef]
- Sivakumar, G.; Xu, J.; Thompson, R.W.; Yang, Y.; Randol-Smith, P.; Weathers, P.J. Integrated green algal technology for bioremediation and biofuel. Bioresour. Technol. 2012, 107, 1–9. [Google Scholar] [CrossRef]
- Sakshi; Singh, S.K.; Haritash, A.K. Polycyclic aromatic hydrocarbons: Soil pollution and remediation. Int. J. Environ. Sci. Technol. 2019, 16, 6489–6512. [Google Scholar] [CrossRef]
- Xu, X.; Liu, W.; Wang, W.; Tian, S.; Jiang, P.; Qi, Q.; Li, F.; Li, H.; Wang, Q.; Li, H.; et al. Potential biodegradation of phenanthrene by isolated halotolerant bacterial strains from petroleum oil polluted soil in Yellow River Delta. Sci. Total Environ. 2019, 664, 1030–1038. [Google Scholar] [CrossRef]
- Abdelhaleem, H.A.R.; Zein, H.S.; Azeiz, A.; Sharaf, A.N.; Abdelhadi, A.A. Identification and characterization of novel bacterial polyaromatic hydrocarbondegrading enzymes as potential tools for cleaning up hydrocarbon pollutants from different environmental sources. Environ. Toxicol. Pharmacol. 2019, 67, 108–116. [Google Scholar] [CrossRef] [PubMed]
- Gao, L.; Fang, B.Z.; Liu, Y.H.; Jiao, J.Y.; Li, M.M.; Alkhalifah, D.H.M.; Hozzein, W.N.; Li, W.J. Comparative genomic analyses of Lutimaribacter degradans sp. nov. With the ability to PAHs-biodegradation and transformation. Int. Biodeterior. Biodegrad. 2023, 176, 105505. [Google Scholar] [CrossRef]
- Sakshi; Singh, S.K.; Haritash, A.K. Catabolic enzyme activities during biodegradation of three-ring PAHs by novel DTU-1Y and DTU-7P strains isolated from petroleum-contaminated soil. Arch. Microbiol. 2021, 203, 3101–3110. [Google Scholar]
- Ghosh, I.; Jasmine, J.; Mukherji, S. Biodegradation of pyrene by a Pseudomonas aeruginosa strain RS1 isolated from refinery sludge. Bioresour. Technol. 2014, 166, 548–558. [Google Scholar] [CrossRef]
- Wu, P.; Wang, Y.S. Fluorene degradation by Rhodococcus sp. A2-3 isolated from hydrocarbon contaminated sediment of the Pearl River estuary, China. Ecotoxicology 2021, 30, 929–935. [Google Scholar]
- Mai, Z.; Wang, L.; Li, Q.; Sun, Y.; Zhang, S. Biodegradation and metabolic pathway of phenanthrene by a newly isolated bacterium Gordonia sp. SCSIO19801. Biochem. Biophys. Res. Commun. 2021, 585, 42–47. [Google Scholar] [PubMed]
- Sarma, P.M.; Duraja, P.; Deshpande, S.; Lal, B. Degradation of pyrene by an enteric bacterium, Leclercia adecarboxylata PS4040. Biodegradation 2010, 21, 59–69. [Google Scholar] [CrossRef]
- Yuan, H.; Yao, J.; Masakorala, K.; Wang, F.; Cai, M.; Yu, C. Isolation and characterization of a newly isolated pyrene-degrading Acinetobacter strain USTB-X. Environ. Sci. Pollut. Res. 2014, 21, 2724–2732. [Google Scholar] [CrossRef] [PubMed]
- Hesham, A.E.L.; Mawad, A.M.M.; Mostafa, Y.M.; Shoreit, A. Biodegradation ability and catabolic genes of petroleum-degrading Sphingomonas koreensis strain ASU-06 isolated from Egyptian oily soil. BioMed Res. Int. 2014, 2014, 127674. [Google Scholar] [CrossRef]
- Haritash, A.; Kaushik, C. Degradation of low molecular weight polycyclic aromatic hydrocarbons by microorganisms isolated from contaminated soil. Int. J. Environ. Sci. 2016, 6, 472–482. [Google Scholar]
- Thomas, F.; Lorgeoux, C.; Faure, P.; Billet, D.; C’ebron, A. Isolation and substrate screening of polycyclic aromatic hydrocarbon degrading bacteria from soil with long history of contamination. Int. Biodeterior. Biodegrad. 2016, 107, 1–9. [Google Scholar] [CrossRef]
- Mangwani, N.; Kumari, S.; Das, S. Effect of synthetic N-acylhomoserine lactones on cell–cell interactions in marine Pseudomonas and biofilm mediated degradation of polycyclic aromatic hydrocarbons. Chem. Eng. J. 2016, 302, 172–186. [Google Scholar] [CrossRef]
- Alegbeleye, O.; Opeolu, B. Bioremediation of polycyclic aromatic hydrocarbon (PAH) compounds:(acenaphthene and fluorene) in water using indigenous bacterial species isolated from the Diep and Plankenburg rivers, Western Cape, South Africa. Brazalian J. Microbiol. 2017, 48, 314–325. [Google Scholar] [CrossRef] [PubMed]
- Acevedo, F.; Pizzul, L.; Castillo, M.d.P.; Cuevas, R.; Diez, M.C. Degradation of polycyclic aromatic hydrocarbons by the Chilean white-rot fungus Anthracophyllum discolor. J. Hazard Mater. 2011, 185, 212–219. [Google Scholar] [CrossRef] [PubMed]
- Mineki, S.; Suzuki, K.; Iwata, K.; Nakajima, D.; Goto, S. Degradation of polyaromatic hydrocarbons by fungi isolated from soil in Japan. Polycycl. Aromat. Comp. 2014, 35, 120–128. [Google Scholar] [CrossRef]
- Birolli, W.G.; de A Santos, D.; Alvarenga, N.; Garcia, A.C.F.S.; Romão, L.P.C.; Porto, A.L.M. Biodegradation of anthracene and several PAHs by the marine-derived fungus Cladosporium sp. CBMAI 1237. Mar. Pollut. Bull. 2018, 129, 525–533. [Google Scholar] [CrossRef] [PubMed]
- Warshawsky, D.; LaDow, K.; Schneider, J. Enhanced degradation of benzo[a] pyrene by Mycobacterium sp. in conjunction with green alga. Chemosphere 2007, 69, 500–506. [Google Scholar] [CrossRef]
- Ese, A.; Amm, M. Pyrene biodegradation capability of two different microalgal strains. Glob. NEST J. 2018, 20, 290–295. [Google Scholar]
- García de Llasera, M.P.; Olmos-Espejel, J.d.J.; Díaz-Flores, G.; Montano-Montiel, A. Biodegradation of benzo(a)pyrene by two freshwater microalgae Selenastrum capricornutum and Scenedesmus acutus: A comparative study useful for bioremediation. Environ. Sci. Pollut. Res. 2016, 23, 3365–3375. [Google Scholar] [CrossRef]
- Amir, S.; Hafidi, M.; Merlina, G.; Hamdi, H.; Revel, J.C. Fate of polycyclic aromatic hydrocarbons during composting of lagooning sewage sludge. Chemosphere 2005, 58, 449–458. [Google Scholar] [CrossRef]
- Peng, J.J.; Zhang, Y.; Su, J.Q.; Qiu, Q.F.; Jia, Z.J.; Zhu, Y.G. Bacterial communities predominant in the degradation of 13C4-4,5,9,10-pyrene during composting. Bioresour. Technol. 2013, 143, 608–614. [Google Scholar] [CrossRef]
- Ambrosoli, R.; Petruzzelli, L.; Minati, J.L.; Marsan, F.A. Anaerobic PAH degradation in soil by a mixed bacterial consortium under denitrifying conditions. Chemosphere 2005, 60, 1231–1236. [Google Scholar] [CrossRef]
- Sayara, T.; Sarrà, M.; Sánchez, A. Effects of compost stability and contaminant concentration on the bioremediation of PAHs contaminated soil through composting. J. Hazard. Mater. 2010, 179, 999–1006. [Google Scholar] [CrossRef] [PubMed]
- Sayara, T.; Sarrà, M.; Sánchez, A. Optimization and enhancement of soil bioremediation by composting using the experimental design technique. Biodegradation 2010, 21, 345–356. [Google Scholar] [CrossRef]
- Mueller, J.G.; Cerniglia, C.E.; Pritchard, P.H. Bioremediation of Environments Contaminated by Polycyclic Aromatic Hydrocarbons. In Bioremediation: Principles and Applications; Crawford, R.L., Crawford, D.L., Eds.; Cambridge University Press: Cambridge, UK, 1996; pp. 1215–1294. [Google Scholar]
- Delgado-Balbuena, L.; Romero-Tepal, E.M.; Luna-Guido, M.L.; Marsch, R.; Dendooven, L. Removal of anthracene from recently contaminated and aged soils. Water Air Soil Pollut. 2013, 224, 1420. [Google Scholar] [CrossRef]
- Chen, M.; Xu, P.; Zeng, G.; Yang, C.; Huang, D.; Zhang, J. Bioremediation of soils contaminated with polycyclic aromatic hydrocarbons, petroleum, pesticides, chlorophenols and heavy metals by composting: Applications, microbes and future research needs. Biotechnol. Adv. 2015, 33, 745–755. [Google Scholar] [CrossRef] [PubMed]
- Hamdi, H.; Benzarti, S.; Manusadzianas, L.; Aoyama, I.; Jedidi, N. Solid-phase bioassays and soil microbial activities to evaluate PAH-spiked soil ecotoxicity after a long-term bioremediation process simulating landfarming. Chemosphere 2007, 70, 135–143. [Google Scholar] [CrossRef] [PubMed]
- Peng, R.H.; Xiong, A.S.; Xue, Y.; Fu, X.Y.; Gao, F.; Zhao, W.; Tian, Y.-S.; Yao, Q.-H. Microbial biodegradation of polyaromatic hydrocarbons. FEMS Microbiol. Rev. 2008, 32, 927–955. [Google Scholar] [CrossRef] [PubMed]
- Seo, J.S.; Keum, Y.S.; Li, Q.X. Bacterial degradation of aromatic compounds. Int. J. Environ. Res. Public Health 2009, 6, 278–309. [Google Scholar] [CrossRef] [PubMed]
- Mallick, S.; Chakraborty, J.; Dutta, T.K. Role of oxygenases in guiding diverse metabolic pathways in the bacterial degradation of low-molecular-weight polycyclic aromatic hydrocarbons: A review. Crit. Rev. Microbiol. 2011, 37, 64–90. [Google Scholar] [CrossRef] [PubMed]
- Ghosal, D.; Dutta, A.; Chakraborty, J.; Basu, S.; Dutta, T.K. Characterization of the metabolic pathway involved in assimilation of acenaphthene in Acinetobacter sp. strain AGAT-W. Res. Microbiol. 2013, 164, 155–163. [Google Scholar] [CrossRef] [PubMed]
- Hammel, K.E. Mechanisms for polycyclic aromatic hydrocarbon degradation by ligninolytic fungi. Environ. Health Perspect. 1995, 103, 41. [Google Scholar] [PubMed]
- Haritash, A.K.; Kaushik, C.P. Biodegradation aspects of polycyclic aromatic hydrocarbons (PAHs): A review. J. Hazard. Mater. 2009, 169, 1–15. [Google Scholar] [CrossRef]
- van Herwijnen, R.; Wattiau, P.; Bastiaens, L.; Daal, L.; Jonker, L.; Springael, D.; Govers, H.A.J.; Parsons, J.R. Elucidation of the metabolic pathway of fluorene and cometabolic pathways of phenanthrene, fluoranthene, anthracene and dibenzothiophene by Sphingomonas sp. LB126. Res. Microbiol. 2003, 154, 199–206. [Google Scholar] [CrossRef] [PubMed]
- Kweon, O.; Kim, S.-J.; Jones, R.C.; Freeman, J.P.; Adjei, M.D.; Edmondson, R.D.; Cerniglia, C.E. A polyomic approach to elucidate the fluoranthene-degradative pathway in Mycobacterium vanbaalenii PYR-1. J. Bacteriol. 2007, 189, 4635–4647. [Google Scholar] [CrossRef] [PubMed]
- Kim, S.J.; Kweon, O.; Jones, R.C.; Freeman, J.P.; Edmondson, R.D.; Cerniglia, C.E. Complete and integrated pyrene degradation pathway in Mycobacterium vanbaalenii PYR-1 based on systems biology. J. Bacteriol. 2007, 189, 464–472. [Google Scholar] [CrossRef]
- Bezalel, L.; Hadar, Y.; Cerniglia, C.E. Enzymatic mechanisms involved in phenanthrene degradation by the white rot fungus Pleurotus ostreatus. Appl. Environ. Microbiol. 1997, 63, 2495–2501. [Google Scholar] [CrossRef] [PubMed]
- Cerniglia, C.E.; Sutherland, J.B. Degradation of polycyclic aromatic hydrocarbons by fungi. In Handbook of Hydrocarbon and Lipid Microbiology; Timmis, K.N., McGenity, T.J., van der Meer, J.R., de Lorenzo, V., Eds.; Springer: Berlin/Heidelberg, Germany, 2010; pp. 2080–2110. [Google Scholar]
- Jerina, D.M. The 1982 Bernard, B. brodie Award Lecture. Metabolism of Aromatic hydrocarbons by the cytochrome P-450 system and epoxide hydrolase. Drug Metab. Dispos. 1983, 11, 1–4. [Google Scholar] [PubMed]
- Chang, B.V.; Chang, W.; Yuan, S.Y. Anaerobic degradation of polycyclic aromatic hydrocarbons in sludge. Adv. Environ. Res. 2003, 7, 623–628. [Google Scholar] [CrossRef]
- Tortella, G.R.; Diez, M.C.; Duran, N. Fungal diversity and use in decomposition of environmental pollutants. Crit. Rev. Microbiol. 2005, 31, 197–212. [Google Scholar] [CrossRef] [PubMed]
- Aydin, S.; Karaçay, H.A.; Shahi, A.; Gökçe, S.; Ince, B.; Ince, O. Aerobic and anaerobic fungal metabolism and Omics insights for increasing polycyclic aromatic hydrocarbons biodegradation. Fungal Biol. Rev. 2017, 31, 61–72. [Google Scholar] [CrossRef]
- Jafari, M.; Danesh, Y.R.; Goltapeh, E.M.; Varma, A. Bioremediation and Genetically Modified Organisms; Springer: Berlin/Heidelberg, Germany, 2013; pp. 433–451. [Google Scholar]
- Baldrian, P. Wood-inhabiting ligninolytic basidiomycetes in soils: Ecology and constraints for applicability in bioremediation. Fungal Ecol. 2008, 1, 4–12. [Google Scholar] [CrossRef]
- Spina, F.; Cecchi, G.; Landinez-Torres, A.; Pecoraro, L.; Russo, F.; Wu, B.; Cai, L.; Liu, X.Z.; Tosi, S.; Varese, G.C.; et al. Fungi as a toolbox for sustainable bioremediation of pesticides in soil and water. Off. J. Soc. Bot. Ital. 2018, 152, 474–488. [Google Scholar] [CrossRef]
- Kulshreshtha, S.; Mathur, N.; Bhatnagar, P. Mycoremediation of Paper, Pulp and Cardboard Industrial Wastes and Pollutants. In Fungi as Bioremediators; Springer: Berlin/Heidelberg, Germany, 2013; pp. 77–116. [Google Scholar]
- Purnomo, A.S.; Mori, T.; Putra, S.R.; Kondo, R. Biotransformation of heptachlor and heptachlor epoxide by white-rot fungus Pleurotus ostreatus. Int. Biodeterior. Biodegrad. 2013, 82, 40–44. [Google Scholar] [CrossRef]
- Bharath, Y.; Singh, S.N.; Keerthiga, G.; Prabhakar, R. Mycoremediation of contaminated soil in MSW sites. In Waste Management and Resource Efficiency; Springer: Singapore, 2018; pp. 321–329. [Google Scholar]
- Joutey, N.T.; Bahafid, W.; Sayel, H.; El Ghachtouli, N. Biodegradation: Involved microorganisms and genetically engineered microorganisms. In Biodegradation-Life of Science; IntechOpen: London, UK, 2013. [Google Scholar]
- Zafra, G.; Absalon, A.E.; Anducho-Reyes, M.A.; Fernandez, F.J.; Cortes-Espinosa, D.V. Construction of PAH-degrading mixed microbial consortia by induced selection in soil. Chemosphere 2017, 172, 120–126. [Google Scholar] [CrossRef] [PubMed]
- Bosco, F.; Mollea, C.; Bosco, F.; Mollea, C. Mycoremediation in soil. In Environmental Chemistry and Recent Pollution Control Approaches; IntechOpen: London, UK, 2019. [Google Scholar]
- Novotný, Č.; Svobodová, K.; Erbanová, P.; Cajthaml, T.; Kasinath, A.; Lang, E.; Šašek, V. Ligninolytic fungi in bioremediation: Extracellular enzyme production and degradation rate. Soil Biol. Biochem. 2004, 36, 1545–1551. [Google Scholar] [CrossRef]
- Zhang, S.; Ning, Y.; Zhang, X.; Zhao, Y.; Yang, X.; Wu, K.; Yang, S.; La, G.; Sun, X.; Li, X. Contrasting characteristics of anthracene and pyrene degradation by wood rot fungus Pycnoporus sanguineus H1. Int. Biodeterior. Biodegrad. 2015, 105, 228–232. [Google Scholar] [CrossRef]
- Rorat, A.; Wloka, D.; Grobelak, A.; Grosser, A.; Sosnecka, A.; Milczarek, M.; Jelonek, P.; Vandenbulcke, F.; Kacprzak, M. Vermiremediation of polycyclic aromatic hydrocarbons and heavy metals in sewage sludge composting process. J. Environ. Manag. 2017, 187, 347–353. [Google Scholar] [CrossRef]
- Natal-da-Luz, T.; Lee, I.; Verweij, R.A.; Morais, P.V.; Van Velzen, M.J.M.; Sousa, J.P.; Van Gestel, C.A.M. Influence of earthworm activity on microbial communities related with the degradation of persistent pollutants. Environ. Toxicol. Chem. 2012, 31, 794–803. [Google Scholar] [CrossRef]
- Rajadurai, M.; Karmegam, N.; Kannan, S.; Yuvaraj, A.; Thangaraj, R. Vermiremediation of engine oil contaminated soil employing indigenous earthworms, Drawida modesta and Lampito mauritii. J. Environ. Manag. 2022, 301, 113849. [Google Scholar] [CrossRef] [PubMed]
- Bazzicalupo, P.; Riso LDe Maimone, F.; Ristoratore, F.; Sebastiano, M. Chemoreception in nematodes. In Advances in Molecular Plant Nematology; Springer: Boston, MA, USA, 1994; pp. 251–260. [Google Scholar] [CrossRef]
- Allouche, M.; Nasri, A.; Harrath, A.H.; Mansour, L.; Beyrem, H.; Boufahja, F. Migratory behavior of free-living marine nematodes surrounded by sediments experimentally contaminated by mixtures of polycyclic aromatic hydrocarbons. J. King Saud Univ. Sci. 2020, 32, 1339–1345. [Google Scholar] [CrossRef]
- Ulmanu, M.; Anger, I.; Gament, E.; Olanescu, G.; Predescu, C.; Sohaciu, M. Effect of a romanian zeolite on heavy metals transfer from polluted soil to corn, mustard and oat. U.P.B. Sci. Bull. Ser. B 2006, 3, 67–78. [Google Scholar]
- Zheng, W.; Cui, T.; Li, H. Combined technologies for the remediation of soils contaminated by organic pollutants. A review. Environ. Chem. Lett. 2022, 20, 2043–2062. [Google Scholar] [CrossRef]
- Haimi, J. Decomposer animals and bioremediation of soils. Environ. Pollut 2000, 107, 233–238. [Google Scholar] [CrossRef] [PubMed]
- Zhang, B.W.; Guo, Y.; Huo, J.Y.; Xie, H.J.; Xu, C.H.; Liang, S.A. Combining chemical oxidation and bioremediation for petroleum polluted soil remediation by BC-nZVI activated persulfate. Chem Eng. J. 2020, 382, 123055. [Google Scholar] [CrossRef]
- Azad, M.; Amin, L.; Sidik, N.M. Genetically engineered organisms for bioremediation of pollutants in contaminated sites. Chin. Sci. Bull. 2014, 59, 703–714. [Google Scholar] [CrossRef]
- Cycoń, M.; Mrozik, A.; Piotrowska-Seget, Z. Bioaugmentation as a strategy for the remediation of pesticide-polluted soil: A review. Chemosphere 2017, 172, 52–71. [Google Scholar] [CrossRef]
- Sasse, J.; Martinoia, E.; Northen, T. Feed your friends: Do plant exudates sPAHe the root microbiome? Trends Plant Sci. 2018, 23, 25–41. [Google Scholar] [CrossRef]
- Tu, C.; Ma, L.Y.; Guo, P.P.; Song, F.; Teng, Y.; Zhang, H.B.; Luo, Y.M. Rhizoremediation of a dioxin-like PCB polluted soil by alfalfa: Dynamic characterization at temporal and spatial scale. Chemosphere 2017, 189, 517–524. [Google Scholar] [CrossRef] [PubMed]
- Hassan, I.; Mohamedelhassan, E.; Yanful, E.K.; Yuan, Z.C. A review article: Electrokinetic bioremediation current knowledge and new prospects. Adv. Microbiol. 2016, 6, 57–72. [Google Scholar] [CrossRef]
- Lima, A.T.; Hofmann, A.; Reynolds, D.; Ptacek, C.J.; Van Cappellen, P.; Ottosen, L.M.; Pamukcu, S.; Alshawabekh, A.; O’Carroll, D.M.; Riis, C. Environmental electrokinetics for a sustainable subsurface. Chemosphere 2017, 181, 122–133. [Google Scholar] [CrossRef] [PubMed]
- Huang, H.; Tang, J.C.; Niu, Z.R.; Giesy, J.P. Interactions between electrokinetics and rhizoremediation on the remediation of crude oil-contaminated soil. Chemosphere 2019, 229, 418–425. [Google Scholar] [CrossRef]
- Ma, J.; Zhang, Q.; Chen, F.; Zhu, Q.; Liu, G. Remediation of resinscontaminated soil by the combination of electrokinetic and bioremediation processes. Environ. Pollut. 2020, 260, 114047. [Google Scholar] [CrossRef]
- Ma, J.; Zhang, Q.; Chen, F.; Zhu, Q.L.; Wang, Y.F.; Liu, G.J. Remediation of PBDEs-metal co-contaminated soil by the combination of metal stabilization, persulfate oxidation and bioremediation. Chemosphere 2020, 252, 126538. [Google Scholar] [CrossRef]
- Gou, Y.L.; Zhao, Q.Y.; Yang, S.C.; Qiao, P.W.; Cheng, Y.J.; Song, Y.; Sun, Z.P.; Zhang, T.F.; Wang, L.; Liu, Z.H. Enhanced degradation of polycyclic aromatic hydrocarbons in aged subsurface soil using integrated persulfate oxidation and anoxic biodegradation. Chem. Eng. J. 2020, 394, 125040. [Google Scholar] [CrossRef]
- Medina R, David Gara PM, Fernández-González AJ, Rosso JA, Del Panno MT Remediation of a soil chronically contaminated with hydrocarbons through persulfate oxidation and bioremediation. Sci. Total Environ. 2018, 618, 518–530. [CrossRef] [PubMed]
- Mora, V.C.; Morelli, I.S.; Rosso, J.A. Co-treatment of an oily sludge and aged contaminated soil: Permanganate oxidation followed by bioremediation. J Environ. Manag. 2020, 261, 110169. [Google Scholar] [CrossRef] [PubMed]
- Ahmadpour, P.; Ahmadpour, F.; Mahmud, T.M.M.; Abdu, A.; Soleimani, M.; Tayefeh, F.H. Phytoremediation of heavy metals: A green technology. Afr. J. Biotechnol. 2016, 11, 14036–14043. [Google Scholar]
- Lee, J.H. An overview of phytoremediation as a potentially promising technology for environmental pollution control. Biotechnol. Bioproc. Eng. 2013, 183, 431–439. [Google Scholar] [CrossRef]
- Mani, D.; Kumar, C. Biotechnological advances in bioremediation of heavy metals contaminated ecosystems: An overview with special reference to phytoremediation. Int. J. Environ. Sci. Technol. 2014, 11, 843–872. [Google Scholar] [CrossRef]
- Al-Baldawi, I.A.; Abdullah, S.R.S.; Suja, F.; Anuar, N.; Mushrifah, I. Effect of aeration on hydrocarbon phytoremediation capability in pilot sub-surface flow constructed wetland operation. Ecol. Eng. 2013, 61, 496–500. [Google Scholar] [CrossRef]
- Mani, D.; Kumar, C.; Kumar Patel, N. Integrated micro-biochemical approach for phytoremediation of cadmium and zinc contaminated soils. Ecotoxicol. Environ. Saf. 2015, 111, 86–95. [Google Scholar] [CrossRef] [PubMed]
- Campos, V.M.; Merino, I.; Casado, R.; Pacios, L.F.; Gomez, L. Phytoremediation of organic pollutants: A review. Spanish J. Agric. Res. 2008, 6, 38–47. [Google Scholar] [CrossRef]
- Pinto, E.; Aguiar, A.A.R.M.; Ferreira, I.M. Influence of soil Chemistry and plant physiology in the phytoremediation of Cu, Mn, and Zn. CRC Crit. Rev. Plant Sci. 2014, 33, 351–373. [Google Scholar] [CrossRef]
- Hemen, S.; Nava, A.R.; Prasad, M.N.V. Mechanistic understanding and future prospect of microbe-enhanced phytoremediation of polycyclic aromatic hydrocarbons in soil. Environ. Technol. Innov. 2019, 13, 318–330. [Google Scholar]
- Tejeda-Agredano, M.C.; Gallego, S.; Vila, J.; Grifoll, M.; Ortega-Calvo, J.J.; Cantos, M. Influence of the sunflower rhizosphere on the biodegradation of PAHs in soil. Soil Biol. Biochem. 2013, 57, 830–840. [Google Scholar] [CrossRef]
- Liu, R.; Xiao, N.; Wei, S.; Zhao, L.; An, J. Rhizosphere effects of PAH-contaminated soil phytoremediation using a special plant named Fire Phoenix. Sci. Total Environ. 2014, 473–474, 350–358. [Google Scholar] [CrossRef]
- Ukiwe, L.N.; Egereonu, U.U.; Njoku, P.C.; Nwoko, C.I.A.; Allinor, J.I. Polycyclic aromatic hydrocarbons degradation techniques: A review. Int. J. Chem. 2013, 5, 43–55. [Google Scholar] [CrossRef]
- Kudjo Dzantor, E.; Chekol, T.; Vough, L.R. Feasibility of using forage grasses and legumes for phytoremediation of organic pollutants. J. Environ. Sci. Health Part A 2008, 35, 1645–1661. [Google Scholar] [CrossRef]
- Parrish, Z.D.; Banks, M.K.; Schwab, A.P. Effectiveness of phytoremediation as a secondary treatment for polycyclic aromatic hydrocarbons (PAHs) in composted soil. Int. J. Phytoremediation 2010, 6, 119–137. [Google Scholar] [CrossRef] [PubMed]
- Dorantes, A.R.; Dorantes, A.R. Phenoloxidases activity in root system and their importance in the phytoremediation of organic contaminants. J. Environ. Chem. Ecotoxicol. 2012, 4, 35–40. [Google Scholar]
- Kvesitadze, E.; Sadunishvili, T.; Kvesitadze, G. Mechanisms of organic contaminants uptake and degradation in plants. World Acad. Sci. Eng. Technol. 2009, 55, 458–468. [Google Scholar]
- Alagi´c, S.; Maluckov, B.S.; Radojičić, V.B. How can plants manage polycyclic aromatic hydrocarbons? May these effects represent a useful tool for an effective soil remediation? A review. Clean Technol. Environ. Policy 2015, 17, 597–614. [Google Scholar] [CrossRef]
- Gao, Y.; Zhang, Y.; Liu, J.; Kong, H. Metabolism and subcellular distribution of anthracene in tall fescue (Festuca arundinacea Schreb.). Plant Soil 2013, 365, 171–182. [Google Scholar] [CrossRef]
- Ite, A.E.; Ibok, U.J.; Ibok, U.J. Role of plants and microbes in bioremediation of petroleum hydrocarbons contaminated soils. Int. J. Environ. Bioremediation Biodegrad. 2019, 7, 1–19. [Google Scholar]
- Huang, S.; Dai, C.; Zhou, Y.; Peng, H.; Yi, K.; Qin, P.; Luo, S.; Zhang, X. Comparisons of three plant species in accumulating polycyclic aromatic hydrocarbons (PAHs) from the atmosphere: A review. Environ. Sci. Pollut. Res. 2018, 25, 16548–16566. [Google Scholar] [CrossRef] [PubMed]
- Tian, K.; Bao, H.; Liu, X.; Wu, F. Accumulation and distribution of PAHs in winter wheat from areas influenced by coal combustion in China. Environ. Sci. Pollut. Res. 2018, 25, 23780–23790. [Google Scholar] [CrossRef] [PubMed]
- Wang, H.; Huang, W.; Gong, Y.; Chen, C.; Zhang, T.; Diao, X. Occurrence and potential health risks assessment of polycyclic aromatic hydrocarbons (PAHs) in different tissues of bivalves from Hainan Island, China. Food Chem. Toxicol. 2020, 136, 111108. [Google Scholar] [CrossRef]
- Leigh, M.B.; Prouzová, P.; Macková, M.; Macek, T.; Nagle, D.P.; Fletcher, J.S. Polychlorinated biphenyl (PCB)-degrading bacteria associated with trees in a PCBcontaminated site. Appl. Environ. Microbiol. 2006, 72, 2331–2342. [Google Scholar] [CrossRef]
- Kang, F.; Chen, D.; Gao, Y.; Zhang, Y. Distribution of polycyclic aromatic hydrocarbons in subcellular root tissues of ryegrass (Lolium multiflorum Lam.). BMC Plant Biol. 2010, 10, 210. [Google Scholar]
- Tao, S.; Jiao, X.C.; Chen, S.H.; Liu, W.X.; Coveney, R.M.; Zhu, L.Z.; Luo, Y.M. Accumulation and distribution of polycyclic aromatic hydrocarbons in rice (Oryza sativa). Environ. Pollut. 2006, 140, 406–415. [Google Scholar] [CrossRef] [PubMed]
- Mohan, S.V.; Kisa, T.; Ohkuma, T.; Kanaly, R.A.; Shimizu, Y. Bioremediation technologies for treatment of PAH-contaminated soil and strategies to enhance process efficiency. Rev. Environ. Sci. Bio/Technol. 2006, 54, 347–374. [Google Scholar] [CrossRef]
- Olson, P.E.; Castro, A.; Joern, M.; DuTeau, N.M.; Pilon-Smits, E.A.H.; Reardon, K.F. Comparison of plant families in a greenhouse phytoremediation study on an aged polycyclic aromatic hydrocarbon–contaminated soil. J. Environ. Qual. 2007, 36, 1461–1469. [Google Scholar] [CrossRef] [PubMed]
- Hussein, Z.S.; Hamido, N.; Hegazy, A.K.; El-Dessouky, M.A.; Mohamed, N.H.; Safwat, G.; Ouf, S.A. Phytoremediation of crude petroleum oil pollution: A review. Egypt. J. Bot. 2022, 62, 611–640. [Google Scholar] [CrossRef]
- Xiao, N.; Liu, R.; Jin, C.; Dai, Y. Efficiency of five ornamental plant species in the phytoremediation of polycyclic aromatic hydrocarbon (PAH)-contaminated soil. Ecol. Eng. 2015, 75, 384–391. [Google Scholar] [CrossRef]
- Somtrakoon, K.; Chouychai, W.; Lee, H. Phytoremediation of anthracene and fluoranthene contaminated soil by Luffa acutangula. Maejo Int. J. Sci. Technol. 2014, 8, 221–231. [Google Scholar]
- Gajic, G.; Djurdjević, L.; Kostić, O.; Jarić, S.; Mitrović, M.; Pavlović, P. Ecological Potential of Plants for Phytoremediation and Ecorestoration of Fly Ash Deposits and Mine Wastes. Front. Environ. Sci. 2018, 6, 124. [Google Scholar] [CrossRef]
- Zhang, Z.; Rengel, Z.; Chang, H.; Meney, K.; Pantelic, L.; Tomanovic, R. Phytoremediation potential of Juncus subsecundus in soils contaminated with cadmium and polynuclear aromatic hydrocarbons (PAHs). Geoderma 2012, 175–176, 1–8. [Google Scholar] [CrossRef]
- Chen, J.; Zhou, H.C.; Wang, C.; Zhu, C.Q.; Tam, N.F.Y. Short-term enhancement effect of nitrogen addition on microbial degradation and plant uptake of polybrominated diphenyl ethers (PBDEs) in contaminated mangrove soil. J. Hazard. Mater. 2015, 300, 84–92. [Google Scholar] [CrossRef] [PubMed]
- Gregorio, S.D.; Gentini, A.; Siracusa, G.; Becarelli, S.; Azaizeh, H.; Lorenzi, R. Phytomediated biostimulation of the autochthonous bacterial community for the acceleration of the depletion of polycyclic aromatic hydrocarbons in contaminated sediments. BioMed Res. Int. 2014, 2014, 891630. [Google Scholar] [CrossRef]
- Gregorio, S.D.; Azaizeh, H.; Lorenzi, R. Biostimulation of the autochthonous microbial community for the depletion of polychlorinated biphenyls (PCBs) in contaminated sediments. Environ. Sci. Pollut. Res. 2013, 20, 3989–3999. [Google Scholar] [CrossRef] [PubMed]
- Mench, M.; Schwitzguebel, J.P.; Schroeder, P.; Bert, V.; Gawronski, S.; Gupta, S. Assessment of successful experiments and limitations of phytotechnologies: Contaminant uptake, detoxification and sequestration, and consequences for food safety. Environ. Sci. Pollut. Res. Int. 2009, 16, 876–900. [Google Scholar] [CrossRef]
- Ali, H.; Khan, E.; Sajad, M.A. Phytoremediation of heavy metals—Concepts and applications. Chemosphere 2013, 91, 869–881. [Google Scholar] [CrossRef] [PubMed]
- Ghany, A.; Al Abboud, M.A.; Negm, M.E.; Shater, A.-R.M. Rhizosphere microorganisms as inducers for phytoremediation a review. Int. J. Bioinforma. Biomed. Eng. 2015, 1, 7–15. [Google Scholar]
- Shukla, K.P.; Sharma, S.; Singh, N.K.; Singh, V.; Bisht, S.; Kumar, V. Rhizoremediation: A promising rhizosphere technology. Appl. Bioremediation-Act. Passiv. Approaches 2013, 8, 23–27. [Google Scholar]
- Gan, S.; Lau, E.V.; Ng, H.K. Remediation of soils contaminated with polycyclic aromatic hydrocarbons (PAHs). J. Hazard. Mater. 2009, 172, 532–549. [Google Scholar] [CrossRef]
- Dzantor, E.K. Phytoremediation: The state of rhizosphere “engineering” for accelerated rhizodegradation of xenobiotic contaminants. J. Chem. Technol. Biotechnol. 2007, 82, 228–232. [Google Scholar] [CrossRef]
- Bisht, S.; Pandey, P.; Bhargava, B.; Sharma, S.; Kumar, V.; Krishan, D. Bioremediation of polyaromatic hydrocarbons (PAHs) using rhizosphere technology. Braz. J. Microbiol. 2015, 46, 7–21. [Google Scholar] [CrossRef] [PubMed]
- Lefevre, G.H.; Hozalski, R.M.; Novak, P.J. Root exudate enhanced contaminant desorption: An abiotic contribution to the rhizosphere effect. Environ. Sci. Technol. 2013, 47, 11545–11553. [Google Scholar] [CrossRef] [PubMed]
- Rohrbacher, F.; St-Arnaud, M.; Weston, L.A.; Zhu, X. Root exudation: The ecological driver of hydrocarbon rhizoremediation. Agronomy 2016, 6, 19. [Google Scholar] [CrossRef]
- Balasubramaniyam, A. The influence of plants in the remediation of petroleum hydrocarbon- contaminated sites. Pharm. Anal. Chem. 2015, 1, 105. [Google Scholar] [CrossRef]
- Sivaram, A.K.; Logeshwaran, P.; Lockington, R.; Naidu, R.; Megharaj, M. Impact of plant photosystems in the remediation of benzo[a]pyrene and pyrene spiked soils. Chemosphere 2018, 193, 625–634. [Google Scholar] [CrossRef] [PubMed]
- Babu, A.G.; Reja, S.I.; Akhtar, N.; Sultana, M.; Deore, P.S.; Ali, F.I. Bioremediation of Polycyclic Aromatic Hydrocarbons (PAHs): Current Practices and Outlook; Springer: Singapore, 2019. [Google Scholar]
- Kuiper, I.; Lagendijk, E.L.; Bloemberg, G.V.; Lugtenberg, B.J.J. Rhizoremediation: A beneficial plant-microbe interaction. Mol. Plant Microbe Interact. 2004, 17, 6–15. [Google Scholar] [CrossRef] [PubMed]
- Dietz, S.; Herz, K.; Döll, S.; Haider, S.; Jandt, U.; Bruelheide, H.; Scheel, D. Semipolar root exudates in natural grassland communities. Ecol. Evol. 2019, 9, 5526–5541. [Google Scholar] [CrossRef] [PubMed]
- Tican, A.M.; Istrate, I.A. Electro-oxidation treatment used for the remediation of organic polluted soils. U.P.B. Sci. Bull. Ser. D 2014, 76, 4. [Google Scholar]
- Vieira, S.; Sikorski, J.; Dietz, S.; Herz, K.; Schrumpf, M.; Bruelheide, H.; Scheel, D.; Friedrich, M.W.; Overmann, J. Drivers of the composition of active rhizosphere bacterial communities in temperate grasslands. ISME J. 2019, 142, 463–475. [Google Scholar] [CrossRef]
- Hussain, I.; Puschenreiter, M.; Gerhard, S.; Schöftner, P.; Yousaf, S.; Wang, A.; Syed, J.H.; Reichenauer, T.G. Rhizoremediation of petroleum hydrocarbon-contaminated soils: Improvement opportunities and field applications. Environ. Exp. Bot. 2018, 147, 202–219. [Google Scholar] [CrossRef]
- Nour, H.E. Distribution of hydrocarbons and heavy metals pollutants in groundwater and sediments from northwestern Libya. Indian J. Geo-Mar. Sci. 2015, 44, 993–999. [Google Scholar]
- Anyika, C.; Abdul Majid, Z.; Ibrahim, Z.; Zakaria, M.P.; Yahya, A. The impact of biochars on sorption and biodegradation of polycyclic aromatic hydrocarbons in soils—A review. Environ. Sci. Pollut. Res. 2015, 22, 3314–3341. [Google Scholar] [CrossRef] [PubMed]
- Liu, L.; Chen, P.; Sun, M.; Shen, G.; Shang, G. Effect of biochar amendment on PAH dissipation and indigenous degradation bacteria in contaminated soil. J. Soils Sediments 2015, 15, 313–322. [Google Scholar] [CrossRef]
- Benson, A.; Ram, G.; John, A.; Melvin Joe, M. Inoculation of 1-aminocyclopropane-1-carboxylate deaminase–producing bacteria along with biosurfactant application enhances the phytoremediation efficiency of Medicago sativa in hydrocarbon-contaminated soils. Ann. Finance 2017, 21, 20–29. [Google Scholar]
- Gill, R.T.; Harbottle, M.J.; Smith, J.W.N.; Thornton, S.F. Electrokinetic-enhanced bioremediation of organic contaminants: A review of processes and environmental applications. Chemosphere 2014, 107, 31–42. [Google Scholar] [CrossRef]
- Upadhyay, P.; Chakma, S. Remedial technologies for future waste management. In Hazardous Waste Management; Elsevier: Amsterdam, The Netherlands, 2022; pp. 305–322. [Google Scholar]
- Dada, E.O.; Akinola, M.O.; Owa, S.O.; Dedeke, G.A.; Aladesida, A.A.; Owagboriaye, F.O.; Oludipe, E.O. Efficacy of vermiremediation to remove contaminants from soil. Health Pollut. 2021, 11, 210302. [Google Scholar] [CrossRef] [PubMed]
- Shi, Z.; Liu, J.; Tang, Z.; Zhao, Y.; Wang, C. Vermiremediation of organically contaminated soils: Concepts, current status, and future perspectives. Appl. Soil Ecol. 2020, 147, 103377. [Google Scholar] [CrossRef]
- Kotoky, R.; Rajkumari, J.; Pandey, P. The Rhizosphere Microbiome: Significance in Rhizoremediation of Polyaromatic Hydrocarbon Contaminated Soil. J. Environ. Manag. 2018, 217, 858–870. [Google Scholar] [CrossRef]
- Zhuang, X.; Chen, J.; Shim, H.; Bai, Z. New advances in plant growth-promoting rhizobacteria for bioremediation. Environ. Int. 2007, 33, 406–413. [Google Scholar] [CrossRef]
Disclaimer/Publisher’s Note: The statements, opinions and data contained in all publications are solely those of the individual author(s) and contributor(s) and not of MDPI and/or the editor(s). MDPI and/or the editor(s) disclaim responsibility for any injury to people or property resulting from any ideas, methods, instructions or products referred to in the content. |
© 2024 by the authors. Licensee MDPI, Basel, Switzerland. This article is an open access article distributed under the terms and conditions of the Creative Commons Attribution (CC BY) license (https://creativecommons.org/licenses/by/4.0/).


















