Ecological Status Assessment of Permafrost-Affected Soils in the Nadym Region, Yamalo-Nenets Autonomous District, Russian Arctic
Abstract
1. Introduction
2. Materials and Methods
2.1. Study Area
2.2. Soil Sampling
2.3. Laboratory Experiments
2.4. Data Analysis
3. Results
3.1. Physicochemical Properties of Permafrost-Affected Soils in the Nadym Region
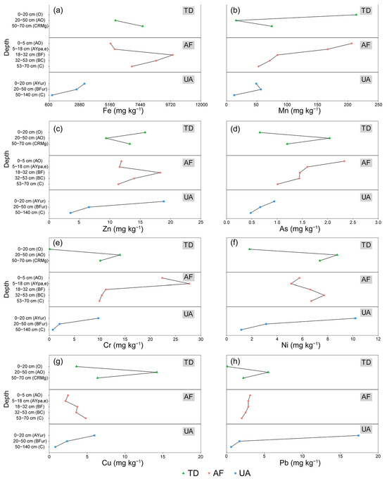
3.2. Concentrations of Metal Elements in Permafrost-Affected Soils in the Nadym Region
3.3. Sources of Metal Elements in Permafrost Affected Soils of the Nadym Region
3.4. Ecological Status Assessment in the Nadym Region
4. Discussion
5. Conclusions
Author Contributions
Funding
Data Availability Statement
Acknowledgments
Conflicts of Interest
References
- Ji, X.; Abakumov, E.; Antcibor, I.; Tomashunas, V.; Knoblauch, C.; Zubzycki, S.; Pfeiffer, E.M. Influence of anthropogenic activities on metals in arctic permafrost: A characterization of benchmark soils on the Yamal and Gydan peninsulas in Russia. Arch. Environ. Contam. Toxicol. 2019, 76, 540–553. [Google Scholar] [CrossRef] [PubMed]
- Kazanin, A.; Kazanina, M.; Andreev, A. Energy complex of Russian Arctic. In Energy of the Russian Arctic: Ideals and Realities; Salygin, V.I., Ed.; Palgrave Macmillan: Singapore, 2022; pp. 63–86. [Google Scholar] [CrossRef]
- Lifshits, S.; Glyaznetsova, Y.; Erofeevskaya, L.; Chalaya, O.; Zueva, I. Effect of oil pollution on the ecological condition of soils and bottom sediments of the arctic region (Yakutia). Environ. Pollut. 2021, 288, 117680. [Google Scholar] [CrossRef] [PubMed]
- Walker, T.R.; Crittenden, P.D.; Young, S.D.; Prystina, T. An assessment of pollution impacts due to the oil and gas industries in the Pechora basin, north-eastern European Russia. Ecol. Indic. 2006, 6, 369–387. [Google Scholar] [CrossRef]
- Moskovchenko, D.; Shamilishvilly, G.; Abakumov, E. Soil Biogeochemical Features of Nadym-Purovskiy Province (Western Siberia), Russia. Ecol. Balk. 2019, 11, 113–126. Available online: https://openurl.ebsco.com/EPDB%3Agcd%3A6%3A16295014/detailv2?sid=ebsco%3Aplink%3Ascholar&id=ebsco%3Agcd%3A141284531&crl=c (accessed on 27 August 2024).
- Pithan, F.; Mauritsen, T. Arctic amplification dominated by temperature feedbacks in contemporary climate models. Nat. Geosci. 2014, 7, 181–184. [Google Scholar] [CrossRef]
- Chen, X.; Kang, S.; Hu, Y.; Yang, J. Temporal and spatial analysis of vegetation fire activity in the circum-Arctic during 2001–2020. Res. Cold Arid. Reg. 2023, 15, 48–56. [Google Scholar] [CrossRef]
- Zhang, M.; Zhou, Z.; Wen, Z.; Zhou, F.; Ma, Z.; Lei, B. Thermal-moisture dynamics and thermal stability of active layer in response to wet/dry conditions in the central region of the Qinghai-Tibet Plateau, China. Res. Cold Arid. Reg. 2023, 15, 27–38. [Google Scholar] [CrossRef]
- Mu, C.; Schuster, P.F.; Abbott, B.W.; Kang, S.; Guo, J.; Sun, S.; Wu, Q.; Zhang, T. Permafrost degradation enhances the risk of mercury release on Qinghai-Tibetan Plateau. Sci. Total Environ. 2020, 708, 135127. [Google Scholar] [CrossRef]
- Turetsky, M.R.; Abbott, B.W.; Jones, M.C.; Walter Anthony, K.; Olefeldt, D.; Schuur, E.A.; Koven, C.; McGuire, A.D.; Grosse, G.; Kuhry, P.; et al. Permafrost collapse is accelerating carbon release. Nature 2019, 569, 32–34. [Google Scholar] [CrossRef]
- Mao, C.; Kou, D.; Wang, G.; Peng, Y.; Yang, G.; Liu, F.; Zhang, J.; Yang, Y. Trajectory of Topsoil Nitrogen Transformations Along a Thermo-Erosion Gully on the Tibetan Plateau. J. Geophys. Res. Biogeosciences 2019, 124, 1342–1354. [Google Scholar] [CrossRef]
- Khan, M.S.; Zaidi, A.; Goel, R.; Musarrat, J. Biomanagement of Metal-Contaminated Soils; Springer Science & Business Media: Berlin/Heidelberg, Germany, 2011; Volume 20, p. 518. [Google Scholar]
- Rudnicka-Kepa, P.; Zaborska, A. Sources, fate and distribution of inorganic contaminants in the Svalbard area, representative of a typical Arctic critical environment-a review. Environ. Monit. Assess. 2021, 193, 724. [Google Scholar] [CrossRef] [PubMed]
- Grotti, M.; Ardini, F.; Vecchio, M.A.; Mataloni, M.; Bertinetti, S.; Bruschi, F.; Moroni, B.; Cappelletti, D.; Hobin, K.; Vanhaecke, F. New insights into the sources of atmospheric lead reaching the Arctic by isotopic analysis of PM10 atmospheric particles and resuspended soils. Atmos. Environ. 2024, 330, 120541. [Google Scholar] [CrossRef]
- Shevchenko, V.; Lisitzin, A.; Vinogradova, A.; Stein, R. Heavy metals in aerosols over the seas of the Russian Arctic. Sci. Total Environ. 2003, 306, 11–25. [Google Scholar] [CrossRef] [PubMed]
- Zaborska, A.; Beszczynska-Moller, A.; Wlodarska-Kowalczuk, M. History of heavy metal accumulation in the Svalbard area: Distribution, origin and transport pathways. Environ. Pollut. 2017, 231, 437–450. [Google Scholar] [CrossRef] [PubMed]
- Barinova, S.; Gabyshev, V.; Gabysheva, O. Phytoplankton in the Ecological Assessment of the Mining Facilities Influence on the Anabar River in the Permafrost Zone of the Arctic, Eastern Siberia, Russia. Land 2023, 12, 1775. [Google Scholar] [CrossRef]
- Rajaram, R.; Ganeshkumar, A.; Emmanuel Charles, P. Ecological risk assessment of metals in the Arctic environment with emphasis on Kongsfjorden Fjord and freshwater lakes of Ny-Alesund, Svalbard. Chemosphere 2023, 310, 136737. [Google Scholar] [CrossRef]
- McConnell, J.R.; Edwards, R. Coal burning leaves toxic heavy metal legacy in the Arctic. Proc. Natl. Acad. Sci. USA 2008, 105, 12140–12144. [Google Scholar] [CrossRef]
- Yakimov, A.S. New book about cryogenic soils of Western Siberia. Soil Sci. 2012, 812–813. Available online: https://elibrary.ru/item.asp?id=17745652 (accessed on 25 October 2011). (In Russian).
- Opekunova, M.G.; Opekunov, A.Y.; Kukushkin, S.Y.; Ganul, A.G. Background element concentrations in soils and bottom sediments of the North of Western Siberia. Soil Sci. 2019, 422–439, (In Russian with English abstract). [Google Scholar] [CrossRef]
- Sizov, O.; Fedorov, R.; Pechkina, Y.; Kuklina, V.; Michugin, M.; Soromotin, A. Urban Trees in the Arctic City: Case of Nadym. Land 2022, 11, 531. [Google Scholar] [CrossRef]
- Kukkonen, I.T.; Suhonen, E.; Ezhova, E.; Lappalainen, H.; Gennadinik, V.; Ponomareva, O.; Gravis, A.; Miles, V.; Kulmala, M.; Melnikov, V.; et al. Observations and modelling of ground temperature evolution in the discontinuous permafrost zone in Nadym, north-west Siberia. Permafr. Periglac. Process. 2020, 31, 264–280. [Google Scholar] [CrossRef]
- Nizamutdinov, T.; Suleymanov, A.; Morgun, E.; Yakkonen, K.; Abakumov, E. Soils and olericultural practices in circumpolar region of Russia at present and in the past. Front. Sustain. Food Syst. 2022, 6, 1032058. [Google Scholar] [CrossRef]
- Fedorov, R.; Kuklina, V.; Sizov, O.; Soromotin, A.; Prihodko, N.; Pechkin, A.; Krasnenko, A.; Lobanov, A.; Esau, I. Zooming in on Arctic urban nature: Green and blue space in Nadym, Siberia. Environ. Res. Lett. 2021, 16, 075009. [Google Scholar] [CrossRef]
- Moskovchenko, D.V.; Pozhitkov, R.Y.; Soromotin, A.V. Snow Contamination by Metals and Metalloids in a Polar Town: A Case Study of Nadym, Russia. Arch. Environ. Contam. Toxicol. 2024, 86, 304–324. [Google Scholar] [CrossRef] [PubMed]
- WRB. World Reference Base for Soil Resources. International Soil Classification System for Naming Soils and Creating Legends for Soil Maps, 4th ed.; International Union of Soil Sciences (IUSS): Vienna, Austria, 2022; Available online: https://wrb.isric.org/files/WRB_fourth_edition_2022-12-18.pdf (accessed on 27 August 2024).
- Rastvorova, O.G.; Andreev, D.P.; Gagarina, E.I.; Kasatkina, G.A.; Fedorova, N.N. Chemical Analysis of Soils; St. Petersburg University Publishers: St. Petersburg, Russia, 1995; p. 264. (In Russian) [Google Scholar]
- Shein, E.V. Soil Physics Course; Moscow University Publishers: Moscow, Russia, 2005; p. 432. (In Russian) [Google Scholar]
- Norris, G.; Duvall, R.; Brown, S.; Bai, S. EPA Positive Matrix Factorization (PMF) 5.0. Fundamentals and User Guide; Environmental Protection Agency Office of Research and Development: Washington, DC, USA, 2014; p. 136. Available online: https://www.epa.gov/sites/default/files/2015-02/documents/pmf_5.0_user_guide.pdf (accessed on 27 August 2024).
- Zhang, J.; Zhou, X.; Wang, Z.; Yang, L.; Wang, J.; Wang, W. Trace elements in PM(2.5) in Shandong Province: Source identification and health risk assessment. Sci. Total Environ. 2018, 621, 558–577. [Google Scholar] [CrossRef] [PubMed]
- Arruti, A.; Fernandez-Olmo, I.; Irabien, A. Impact of the global economic crisis on metal levels in particulate matter (PM) at an urban area in the Cantabria Region (Northern Spain). Environ. Pollut. 2011, 159, 1129–1135. [Google Scholar] [CrossRef]
- Wang, W.; Abakumov, E.; Wu, X.; Ji, X.; Mu, C.; Zhu, X.; Li, G. Accumulation pattern and risk assessment of metal elements in permafrost-affected soils on the Qinghai-Tibet Plateau. CATENA 2023, 220, 106665. [Google Scholar] [CrossRef]
- Kabata-Pendias, A. Trace Elements in Soils and Plants, 3rd ed.; CRC Press: Boca Raton, FL, USA, 2000; p. 403. [Google Scholar]
- Shamilishvili, G.A.; Abakumov, E.V.; Pechkin, A.S.; Kobelev, V.O. Soil organic carbon and total nitrogen stock alteration under the influence of linear construction in the conditions of permafrost insular distribution on the example of Nadym region of the Yamal-Nenets Autonomous District. Sci. Bull. Yamal-Nenets Auton. Dist. 2017, 1, 87–91. Available online: https://elibrary.ru/item.asp?id=34904243 (accessed on 27 August 2024). (In Russian).
- Budantseva, N.A.; Chizhova, J.N.; Bludushkina, L.B.; Vasilchuk, Y.K. Stable isotopes of oxygen, hydrogen and carbon and the age of pals near the village of Eletsky, northeast of the Bolshezemelskaya tundra. Arct. Antarct. 2017, 4, 38–56. (In Russian) [Google Scholar] [CrossRef]
- Nizamutdinov, T.; Morgun, E.; Pechkin, A.; Kostecki, J.; Greinert, A.; Abakumov, E. Differentiation of Trace Metal Contamination Level between Different Urban Functional Zones in Permafrost Affected Soils (the Example of Several Cities in the Yamal Region, Russian Arctic). Minerals 2021, 11, 668. [Google Scholar] [CrossRef]
- Kukushkin, S.Y. Indicators of Anthropogenic Load on Natural-Territorial Complexes during the Development of Oil and Gas Condensate Fields in the North of Western Siberia. Ph.D. Thesis, Russian State Hydrometeorological University, St. Petersburg, Russia, 2017. (In Russian). [Google Scholar]
- Romanenko, E.A.; Moskovchenko, D.V.; Kudryavtsev, A.A.; Shigabaeva, G.N. Mobile Forms of Metals in Soils in the Nadym-Pur Interfluve (Western Siberia). Bull. Nizhnevartovsk State Univ. 2020, 2, 136–145. (In Russian) [Google Scholar] [CrossRef]
- Moskovchenko, D.V.; Romanenko, E.A. Biogeochemical Features of Landscapes of the Nadym Region of YANAO. Bull. Nizhnevartovsk State Univ. 2022, 4, 122–136, (In Russian with English abstract). [Google Scholar] [CrossRef]
- Allen-Gil, S.M.; Ford, J.; Lasorsa, B.K.; Monetti, M.; Vlasova, T.; Landers, D.H. Heavy metal contamination in the Taimyr peninsula, Siberian Arctic. Sci. Total Environ. 2003, 301, 119–138. [Google Scholar] [CrossRef] [PubMed]
- Bachelder, J.; Cadieux, M.; Liu-Kang, C.; Lambert, P.; Filoche, A.; Galhardi, J.A.; Hadioui, M.; Chaput, A.; Bastien-Thibault, M.-P.; Wilkinson, K.J.; et al. Chemical and microphysical properties of wind-blown dust near an actively retreating glacier in Yukon, Canada. Aerosol Sci. Technol. 2020, 54, 2–20. [Google Scholar] [CrossRef]
- Halbach, K.; Mikkelsen, O.; Berg, T.; Steinnes, E. The presence of mercury and other trace metals in surface soils in the Norwegian Arctic. Chemosphere 2017, 188, 567–574. [Google Scholar] [CrossRef] [PubMed]
- Reimann, C.; Ayras, M.; Chekushin, V.; Bogatyrev, I.; Boyd, R.; Caritat, P.; Dutter, R.; Finne, T.E.; Halleraker, J.H.; Jager, O.; et al. Environmental Geochemical Atlas of the Central Barents Region: Special Publication of the Central Kola Expedition, Geological Survey of Finland and Geological Survey of Norway; Schweizerbart Science Publishers: Stuttgart, Germany, 1998; p. 743. [Google Scholar]
- Suleymanov, A.; Nizamutdinov, T.; Morgun, E.; Abakumov, E. Assessing and geostatistical mapping of metal contamination in the polar arable plot (Yamal-Nenets Autonomous District, Russia). Int. J. Environ. Sci. Technol. 2024, 21, 2575–2584. [Google Scholar] [CrossRef]
- Weil, R.R.; Brady, N.C. The Nature and Properties of Soils, 15th ed.; Pearson Education: London, UK, 2017; p. 1105. [Google Scholar]
- Aftabtalab, A.; Rinklebe, J.; Shaheen, S.M.; Niazi, N.K.; Moreno-Jimenez, E.; Schaller, J.; Knorr, K.H. Review on the interactions of arsenic, iron (oxy)(hydr)oxides, and dissolved organic matter in soils, sediments, and groundwater in a ternary system. Chemosphere 2022, 286, 131790. [Google Scholar] [CrossRef]
- Niu, J.; Liu, C.; Huang, M.; Liu, K.; Yan, D. Effects of Foliar Fertilization: A Review of Current Status and Future Perspectives. J. Soil Sci. Plant Nutr. 2020, 21, 104–118. [Google Scholar] [CrossRef]
- Jiao, W.; Chen, W.; Chang, A.C.; Page, A.L. Environmental risks of trace elements associated with long-term phosphate fertilizers applications: A review. Environ. Pollut. 2012, 168, 44–53. [Google Scholar] [CrossRef]
- Kitilyuk, L.I. Hygienic Significance of Heavy Metals in Assessing the Health Status of the Population of the Far North. Ph.D. Thesis, Institute of Medical Problems of the Extreme North Krasnoyarsk, Krasnoyarsk, Russia, 2006. (In Russian). [Google Scholar]







| Sites | Latitude (°N) | Longitude (°E) | Elevation (m) | Land Cover Types |
|---|---|---|---|---|
| TD | 65.59 | 72.07 | 38 | Tundra |
| AF | 65.34 | 72.98 | 20 | Abandoned farmland |
| UA | 65.53 | 72.56 | 10 | Urban area |
| Sites | Horizon | Depth (cm) | Description |
|---|---|---|---|
| TD | Soil type: Histic Cryosols | ||
| O | 0–20 | Moss, ledum, lingonberry, cranberry, and lichen | |
| AO | 20–50 | Coarse humification, black, moist, loose, and rich roots | |
| CRMg | 50–70 | Thixotropic, cryometamorphic, sticky, fluid, and gleyic | |
| TT⊥@ | >70 | Permafrost | |
| AF | Soil types: Plaggic Podzols (Arenic, Gelic, and Turbic) | ||
| AO | 0–5 | Fresh, coarsely decomposed, opal, many roots, boundary of slight wavy and gradual transition | |
| AYpa,e | 5–18 | Black with gray spots, podzolic process in the lower part, compacted, fresh, light loam, roots, smooth boundary, and sharp transition | |
| BF | 18–32 | Illuvial-ferruginous, compacted, fresh, light gray color with pale ocher spots, slightly wavy boundary, sharp transition in color, and roots | |
| BC | 32–53 | Fresh, compacted sandy loam, pale gray with ochre spots, slightly wavy boundary, and gradual transition | |
| C | 53–70 | Turbo-charge, dense, gray with ocher spots, streaks, fresh, sand, and permafrost below | |
| UA | Soil type: Ekranic Technosols (Umbric) | ||
| AYur | 0–20 | Gray-humus, containing inclusions of anthropogenic artifacts, compacted, possibly previously covered with a layer of asphalt or concrete | |
| BFur | 20–50 | Illuvial-ferruginous, fresh, and compacted | |
| C | 50–140 | Sand with ribbons of ferruginous color (possibly infiltrations along tree roots) | |
| Soil Physicochemical Properties | TD | AF | UA | Mean (Min–Max) |
|---|---|---|---|---|
| SOC (%) | 8.59 ± 8.27 (0.32–16.85) | 2.28 ± 2.51 (0.03–6.07) | 1.32 ± 1.62 (0.09–3.61) | 3.25 ± 4.99 (0.03–16.85) |
| TN (%) | 0.27 ± 0.28 (0.07–0.66) | 0.16 ± 0.11 (0.01–0.33) | 0.09 ± 0.04 (0.05–0.14) | 0.17 ± 0.18 (0.01–0.66) |
| C/N | 14.94 ± 10.45 (4.49–25.38) | 10.75 ± 10.36 (2.86–29.90) | 10.78 ± 11.23 (0.99–26.51) | 11.60 ± 10.78 (0.99–29.90) |
| pH | 6.13 ± 0.66 (5.20–6.70) | 6.08 ± 0.47 (5.30–6.60) | 5.97 ± 0.05 (5.90–6.00) | 6.06 ± 0.47 (5.20–6.70) |
| Clay (%, <0.002 mm) | 25.70 ± 9.73 (15.97–35.43) | 15.28 ± 3.37 (9.85–18.41) | 6.36 ± 0.86 (5.30–7.41) | 14.62 ± 8.75 (5.30–35.43) |
| Silt (%, 0.002–0.05 mm) | 37.54 ± 2.42 (35.12–39.95) | 24.73 ± 5.00 (18.43–30.41) | 3.70 ± 2.41 (0.66–6.56) | 20.56 ± 13.45 (0.66–39.95) |
| Sand (%, >0.05 mm) | 36.77 ± 7.32 (29.45–44.08) | 59.99 ± 7.70 (51.86–68.85) | 89.94 ± 3.28 (86.03–94.05) | 64.81 ± 20.92 (29.45–94.05) |
| Metal Elements (mg kg−1) | Mean | Max | Min | CV | SD |
|---|---|---|---|---|---|
| Fe | 5598.86 | 9884.30 | 811.50 | 47.38 | 2652.94 |
| Mn | 91.25 | 213.90 | 12.70 | 74.66 | 68.13 |
| Zn | 12.24 | 18.90 | 3.51 | 36.22 | 4.43 |
| As | 1.26 | 2.33 | 0.48 | 44.42 | 0.56 |
| Cr | ~11.82 | 27.68 | <0.10 | ~65.52 | ~7.74 |
| Ni | 5.85 | 10.20 | 1.17 | 46.26 | 2.71 |
| Cu | 4.54 | 14.20 | 0.81 | 75.64 | 3.44 |
| Pb | ~4.08 | 17.40 | <0.10 | ~112.49 | ~4.59 |
| Sites | PLI | mCd |
|---|---|---|
| Tundra | 0.38 ± 0.23 | 0.51 ± 0.23 |
| Abandoned farmland | 0.42 ± 0.03 | 0.48 ± 0.02 |
| Urban area | 0.30 ± 0.24 | 0.39 ± 0.33 |
| mean ± SD | 0.38 ± 0.18 | 0.46 ± 0.21 |
| MEs | Bacground Value a | This Study | Salekhard bc | Gydan Peninsula d | Taimyr Peninsula e | Yukon f | Spitsbergen g | Barents Region h |
|---|---|---|---|---|---|---|---|---|
| Fe | 22,300 | 5599 | 23,100 | 23,494 | 19,400 | 26,200 | 10,900/25,800 | 1970/38,817 |
| Mn | 339 | 91.25 | 399 | 533 | - | 487.10 | 239/420 | 126/465 |
| Zn | 31 | 12.24 | 43/19.44 | 44.30 | 86.80 | - | 66/55 | 46/25.50 |
| As | 4.04 | 1.26 | 11.50/8 | 4.04 | 2.10 | - | 3.47/6.60 | - |
| Cr | 42 | 11.82 | 90.70/92.80 | - | - | - | 18.40/42.10 | 2.91/35.20 |
| Ni | 6.34/13 | 5.85 | 21.50/15.80 | - | 29 | 40.11 | 12/21.20 | 9.18/16.10 |
| Cu | 8.70 | 4.54 | 9.10 | - | 26.70 | 40.21 | 10.20/15.10 | 9.69/10.50 |
| Pb | 9.90 | 4.08 | 15.40/17.90 | 8.24 | 6.20 | 6.50 | 11.09/11.40 | 18.80/3.05 |
Disclaimer/Publisher’s Note: The statements, opinions and data contained in all publications are solely those of the individual author(s) and contributor(s) and not of MDPI and/or the editor(s). MDPI and/or the editor(s) disclaim responsibility for any injury to people or property resulting from any ideas, methods, instructions or products referred to in the content. |
© 2024 by the authors. Licensee MDPI, Basel, Switzerland. This article is an open access article distributed under the terms and conditions of the Creative Commons Attribution (CC BY) license (https://creativecommons.org/licenses/by/4.0/).
Share and Cite
Wang, W.; Nizamutdinov, T.; Pechkin, A.; Morgun, E.; Li, G.; Wu, X.; Yang, S.; Abakumov, E. Ecological Status Assessment of Permafrost-Affected Soils in the Nadym Region, Yamalo-Nenets Autonomous District, Russian Arctic. Land 2024, 13, 1406. https://doi.org/10.3390/land13091406
Wang W, Nizamutdinov T, Pechkin A, Morgun E, Li G, Wu X, Yang S, Abakumov E. Ecological Status Assessment of Permafrost-Affected Soils in the Nadym Region, Yamalo-Nenets Autonomous District, Russian Arctic. Land. 2024; 13(9):1406. https://doi.org/10.3390/land13091406
Chicago/Turabian StyleWang, Wenjuan, Timur Nizamutdinov, Aleksander Pechkin, Eugeniya Morgun, Gensheng Li, Xiaodong Wu, Sizhong Yang, and Evgeny Abakumov. 2024. "Ecological Status Assessment of Permafrost-Affected Soils in the Nadym Region, Yamalo-Nenets Autonomous District, Russian Arctic" Land 13, no. 9: 1406. https://doi.org/10.3390/land13091406
APA StyleWang, W., Nizamutdinov, T., Pechkin, A., Morgun, E., Li, G., Wu, X., Yang, S., & Abakumov, E. (2024). Ecological Status Assessment of Permafrost-Affected Soils in the Nadym Region, Yamalo-Nenets Autonomous District, Russian Arctic. Land, 13(9), 1406. https://doi.org/10.3390/land13091406

