The Temporal Variation and Spatial Scale Dependence of the Trade-Offs and Synergies among Multiple Ecosystem Services in the World Heritage Site of South China Karst
Abstract
1. Introduction
2. Materials and Methods
2.1. Study Area
2.2. Data Sources
2.3. Research Methodology
2.3.1. Cellular Automata (CA)-Markov Model
2.3.2. Water Conservation (WC)
2.3.3. Soil Conservation (SC)
2.3.4. Habitat Quality (HQ)
2.3.5. Carbon Storage (CS)
2.3.6. Spearman Correlation Coefficient
2.3.7. Bivariate Spatial Autocorrelation Model
3. Results
3.1. Characteristics of Land Use Conversion
3.2. Spatiotemporal Heterogeneity of ESs
3.2.1. Spatiotemporal Variations in ESs
3.2.2. Changes in ESs Dynamics of Different Land Use Types
3.3. ESs Trade-Offs/Synergies
3.3.1. Spearman Correlation Coefficients between ESs
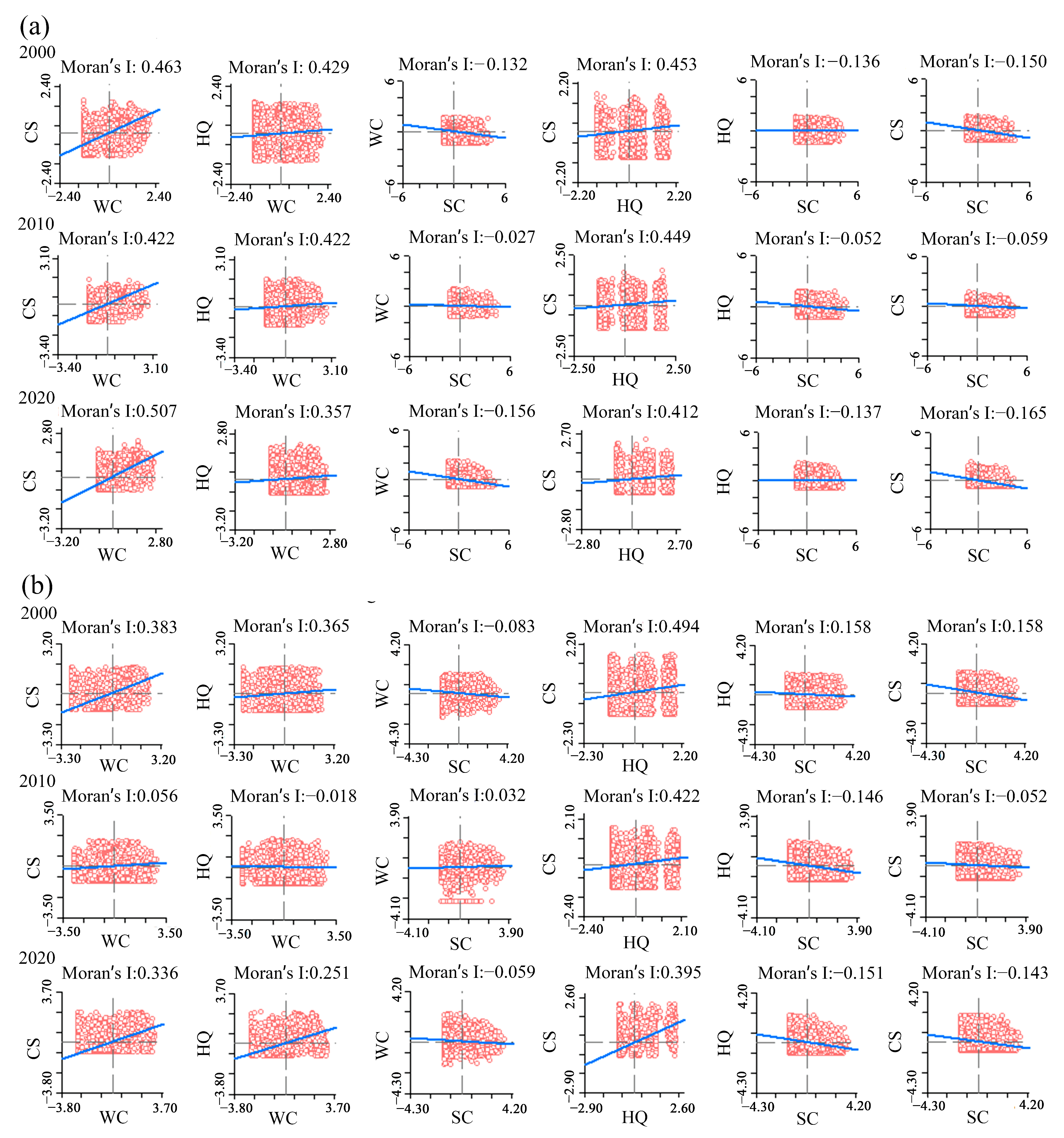
3.3.2. Moran’s Index between ESs
3.3.3. Spatial Representation of Trade-Offs and Synergistic Relationships for ESs
4. Discussion
4.1. Spatial and Temporal Changes in Land Use and ESs
4.2. Trade-Offs/Synergies of ESs
4.3. Limitations and Prospects
- (1)
- Rationalize the planning of land use types; continue to implement ecological conservation projects, for example restoring farmland to woodland and grasslands; and relocate some of the arable and building land to the townships around the buffer zone, with the objective of enhancing the overall ecological suitability of the heritage site and improving the sustainability of its ecosystem;
- (2)
- The objective is to optimize zoning management, to manage the existing heritage sites and buffer zones in a zoning pattern, and to integrate them with the space–time distribution of ESs and the spatial pattern of global trade-offs and synergies, as assessed in the present study. Furthermore, targeted zoning management and protection of the ecological service areas that require upgrading and the areas of the main trade-offs and relationships will be carried out. This will facilitate the ecological protection of the Karst Natural WNHS, while also contributing to global sustainable development.
5. Conclusions
Supplementary Materials
Author Contributions
Funding
Data Availability Statement
Acknowledgments
Conflicts of Interest
References
- Costanza, R.; d’Arge, R.; De Groot, R.; Farber, S.; Grasso, M.; Hannon, B.; Limburg, K.; Naeem, S.; O’neill, R.V.; Paruelo, J. The value of the world’s ecosystem services and natural capital. Nature 1997, 387, 253–260. [Google Scholar] [CrossRef]
- Wong, C.P.; Jiang, B.; Kinzig, A.P.; Lee, K.N.; Ouyang, Z. Linking ecosystem characteristics to final ecosystem services for public policy. Ecol. Lett. 2015, 18, 108–118. [Google Scholar] [CrossRef]
- Bennett, E.M.; Peterson, G.D.; Gordon, L.J. Understanding relationships among multiple ecosystem services. Ecol. Lett. 2009, 12, 1394–1404. [Google Scholar] [CrossRef]
- Costanza, R.; de Groot, R.; Sutton, P.; van der Ploeg, S.; Anderson, S.J.; Kubiszewski, I.; Farber, S.; Turner, R.K. Changes in the global value of ecosystem services. Glob. Environ. Change 2014, 26, 152–158. [Google Scholar] [CrossRef]
- Rodríguez, J.P.; Beard, T.D.; Bennett, E.M.; Cumming, G.S.; Cork, S.J.; Agard, J.; Dobson, A.P.; Peterson, G.D. Trade-offs across Space, Time, and Ecosystem Services. Ecol. Soc. 2006, 11, 110128. [Google Scholar] [CrossRef]
- Adeyemi, O.; Chirwa, P.W.; Babalola, F.D.; Chaikaew, P. Detecting trade-offs, synergies and bundles among ecosystem services demand using sociodemographic data in Omo Biosphere Reserve, Nigeria. Environ. Dev. Sustain. 2021, 23, 7310–7325. [Google Scholar] [CrossRef]
- Foley, J.A.; DeFries, R.; Asner, G.P.; Barford, C.; Bonan, G.; Carpenter, S.R.; Chapin, F.S.; Coe, M.T.; Daily, G.C.; Gibbs, H.K.; et al. Global Consequences of Land Use. Science 2005, 309, 570–574. [Google Scholar] [CrossRef] [PubMed]
- Liu, Q.; Qiao, J.; Li, M.; Huang, M. Spatiotemporal heterogeneity of ecosystem service interactions and their drivers at different spatial scales in the Yellow River Basin. Sci. Total Environ. 2024, 908, 168486. [Google Scholar] [CrossRef]
- Howe, C.; Suich, H.; Vira, B.; Mace, G.M. Creating win-wins from trade-offs? Ecosystem services for human well-being: A meta-analysis of ecosystem service trade-offs and synergies in the real world. Glob. Environ. Change 2014, 28, 263–275. [Google Scholar] [CrossRef]
- Qiao, X.; Gu, Y.; Zou, C.; Xu, D.; Wang, L.; Ye, X.; Yang, Y.; Huang, X. Temporal variation and spatial scale dependency of the trade-offs and synergies among multiple ecosystem services in the Taihu Lake Basin of China. Sci. Total Environ. 2019, 651, 218–229. [Google Scholar] [CrossRef]
- Lang, Y.; Song, W. Trade-off Analysis of Ecosystem Services in a Mountainous Karst Area, China. Water 2018, 10, 300. [Google Scholar] [CrossRef]
- Qiao, Y.; Zhang, H.; Han, X.; Liu, Q.; Liu, K.; Hu, M.; Pei, W. Exploring drivers of water conservation function variation in Heilongjiang Province from a geospatial perspective. Acta Ecol. Sin. 2023, 43, 2711–2721. [Google Scholar] [CrossRef]
- Li, Y.; Luo, H. Trade-off/synergistic changes in ecosystem services and geographical detection of its driving factors in typical karst areas in southern China. Ecol. Indic. 2023, 154, 110811. [Google Scholar] [CrossRef]
- Naidoo, R.; Balmford, A.; Costanza, R.; Fisher, B.; Green, R.E.; Lehner, B.; Malcolm, T.; Ricketts, T.H. Global mapping of ecosystem services and conservation priorities. Proc. Natl. Acad. Sci. USA 2008, 105, 9495–9500. [Google Scholar] [CrossRef]
- Wang, K.; Zhang, C.; Chen, H.; Yue, Y.; Zhang, W.; Zhang, M.; Qi, X.; Fu, Z. Karst landscapes of China: Patterns, ecosystem processes and services. Landsc. Ecol. 2019, 34, 2743–2763. [Google Scholar] [CrossRef]
- Xiao, B.; Bai, X.; Zhao, C.; Tan, Q.; Li, Y.; Luo, G.; Wu, L.; Chen, F.; Li, C.; Ran, C.; et al. Responses of carbon and water use efficiencies to climate and land use changes in China’s karst areas. J. Hydrol. 2023, 617, 128968. [Google Scholar] [CrossRef]
- Xiong, K.; Chen, D.; Zhang, J.; Gu, X.; Zhang, N. Synergy and regulation of the South China Karst WH site integrity protection and the buffer zone agroforestry development. Herit. Sci. 2023, 11, 218. [Google Scholar] [CrossRef]
- Zhang, S.; Xiong, K.; Fei, G.; Zhang, H.; Chen, Y. Aesthetic value protection and tourism development of the world natural heritage sites: A literature review and implications for the world heritage karst sites. Herit. Sci. 2023, 11, 30. [Google Scholar] [CrossRef]
- He, L.; Zhang, J.; Yu, B.; Hu, M.; Zhang, Z. Assessment of ecosystem health and driving forces in response to landscape pattern dynamics: The Shibing Karst world natural heritage site case study. Herit. Sci. 2024, 12, 182. [Google Scholar] [CrossRef]
- Zhang, J.; Xiong, K.; Liu, Z.; He, L. Research progress on world natural heritage conservation: Its buffer zones and the implications. Herit. Sci. 2022, 10, 102. [Google Scholar] [CrossRef]
- Xiong, K.; Deng, X.; Zhang, S.; Zhang, Y.; Kong, L. Forest Ecosystem Service Trade-Offs/Synergies and System Function Optimization in Karst Desertification Control. Plants 2023, 12, 2376. [Google Scholar] [CrossRef] [PubMed]
- Liu, Q.; Wang, J.; Xiong, K.; Gong, L.; Chen, Y.; Yang, J.; Xiao, H.; Bai, J. Quantitative assessment of ecological assets in the world heritage karst sites based on remote sensing: With a special reference to South China Karst. Herit. Sci. 2024, 12, 129. [Google Scholar] [CrossRef]
- Bai, Y.; He, Q.; Liu, Z.; Wu, Z.; Xie, S. Soil nutrient variation impacted by ecological restoration in the different lithological karst area, Shibing, China. Glob. Ecol. Conserv. 2021, 25, e01399. [Google Scholar] [CrossRef]
- Liu, Q.; Gu, Z.; Lu, Y.; Xiao, S.; Li, G. Weathering processes of the dolomite in Shibing (Guizhou) and formation of collapse and stone peaks. Environ. Earth Sci. 2015, 74, 1823–1831. [Google Scholar] [CrossRef]
- Zhang, N.; Xiong, K.; Zhang, J.; Xiao, H. Evaluation and prediction of ecological environment of karst world heritage sites based on google earth engine: A case study of Libo–Huanjiang karst. Environ. Res. Lett. 2023, 18, 034033. [Google Scholar] [CrossRef]
- Xiong, K.; Zhang, S.; Fei, G.; Jin, A.; Zhang, H. Conservation and Sustainable Tourism Development of the Natural World Heritage Site Based on Aesthetic Value Identification: A Case Study of the Libo Karst. Forests 2023, 14, 755. [Google Scholar] [CrossRef]
- Gao, Y.; Wang, J.; Zhang, M.; Li, S. Measurement and prediction of land use conflict in an opencast mining area. Resour. Policy 2021, 71, 101999. [Google Scholar] [CrossRef]
- Wang, H.; Stephenson, S.R.; Qu, S. Modeling spatially non-stationary land use/cover change in the lower Connecticut River Basin by combining geographically weighted logistic regression and the CA-Markov model. Int. J. Geogr. Inf. Sci. 2019, 33, 1313–1334. [Google Scholar] [CrossRef]
- Zhao, Y.; Jia, X.; Liu, J.; Liu, G. Analysis and forecast of landscape pattern in Xi’an from 2000 to 2011. Acta Ecol. Sin. 2013, 33, 2556–2564. [Google Scholar] [CrossRef]
- Zhou, L.; Dang, X.; Sun, Q.; Wang, S. Multi-scenario simulation of urban land change in Shanghai by random forest and CA-Markov model. Sustain. Cities Soc. 2020, 55, 102045. [Google Scholar] [CrossRef]
- Guo, R.; Wu, T.; Liu, M.; Huang, M.; Stendardo, L.; Zhang, Y. The Construction and Optimization of Ecological Security Pattern in the Harbin-Changchun Urban Agglomeration, China. Int. J. Environ. Res. Public Health 2019, 16, 1190. [Google Scholar] [CrossRef] [PubMed]
- Li, M.; Liang, D.; Xia, J.; Song, J.; Cheng, D.; Wu, J.; Cao, Y.; Sun, H.; Li, Q. Evaluation of water conservation function of Danjiang River Basin in Qinling Mountains, China based on InVEST model. J. Environ. Manag. 2021, 286, 112212. [Google Scholar] [CrossRef] [PubMed]
- Yan, X.; Cao, G.; Cao, S.; Yuan, J.; Zhao, M.; Tong, S.; Li, H. Spatiotemporal variations of water conservation and its influencing factors in the Qinghai Plateau, China. Ecol. Indic. 2023, 155, 111047. [Google Scholar] [CrossRef]
- Han, H.; Yin, C.; Zhang, C.; Gao, H.; Bai, Y. Response of trade-offs and synergies between ecosystem services and land use change in the Karst area. Trop. Ecol. 2019, 60, 230–237. [Google Scholar] [CrossRef]
- Sun, X.; Jiang, Z.; Liu, F.; Zhang, D. Monitoring spatio-temporal dynamics of habitat quality in Nansihu Lake basin, eastern China, from 1980 to 2015. Ecol. Indic. 2019, 102, 716–723. [Google Scholar] [CrossRef]
- Dai, L.; Li, S.; Lewis, B.J.; Wu, J.; Yu, D.; Zhou, W.; Zhou, L.; Wu, S. The influence of land use change on the spatial–temporal variability of habitat quality between 1990 and 2010 in Northeast China. J. For. Res. 2019, 30, 2227–2236. [Google Scholar] [CrossRef]
- Qu, Y.; Kong, Y.; Li, Z.; Zhu, E. Pursue the coordinated development of port-city economic construction and ecological environment: A case of the eight major ports in China. Ocean Coast. Manag. 2023, 242, 106694. [Google Scholar] [CrossRef]
- Pechanec, V.; Purkyt, J.; Benc, A.; Nwaogu, C.; Štěrbová, L.; Cudlín, P. Modelling of the carbon sequestration and its prediction under climate change. Ecol. Inform. 2018, 47, 50–54. [Google Scholar] [CrossRef]
- Kulaixi, Z.; Chen, Y.; Li, Y.; Wang, C. Dynamic Evolution and Scenario Simulation of Ecosystem Services under the Impact of Land-Use Change in an Arid Inland River Basin in Xinjiang, China. Remote Sens. 2023, 15, 2476. [Google Scholar] [CrossRef]
- Meng, J.; Cheng, H.; Li, F.; Han, Z.; Wei, C.; Wu, Y.; You, N.W.; Zhu, L. Spatial-temporal trade-offs of land multi-functionality and function zoning at finer township scale in the middle reaches of the Heihe River. Land Use Policy 2022, 115, 106019. [Google Scholar] [CrossRef]
- Ren, J.; Ma, R.; Huang, Y.; Wang, Q.; Guo, J.; Li, C.; Zhou, W. Identifying the trade-offs and synergies of land use functions and their influencing factors of Lanzhou-Xining urban agglomeration in the upper reaches of Yellow River Basin, China. Ecol. Indic. 2024, 158, 111279. [Google Scholar] [CrossRef]
- Zhao, T.; Pan, J. Ecosystem service trade-offs and spatial non-stationary responses to influencing factors in the Loess hilly-gully region: Lanzhou City, China. Sci. Total Environ. 2022, 846, 157422. [Google Scholar] [CrossRef] [PubMed]
- Li, G.; Fang, C.; Wang, S. Exploring spatiotemporal changes in ecosystem-service values and hotspots in China. Sci. Total Environ. 2016, 545–546, 609–620. [Google Scholar] [CrossRef]
- Conradin, K.; Wiesmann, U. Does World Natural Heritage status trigger sustainable regional development efforts? J. Prot. Mt. Areas Res. 2014, 6, 5–12. [Google Scholar] [CrossRef]
- Anselin, L. Local indicators of spatial association—LISA. Geogr. Anal. 1995, 27, 93–115. [Google Scholar] [CrossRef]
- Wang, Y.; Li, M.; Jin, G. Optimizing spatial patterns of ecosystem services in the Chang-Ji-Tu region (China) through Bayesian Belief Network and multi-scenario land use simulation. Sci. Total Environ. 2024, 917, 170424. [Google Scholar] [CrossRef] [PubMed]
- Ren, Y.; Zhang, L.; Wei, X.; Song, Y.; Wu, S.; Wang, H.; Chen, X.; Qiao, Y.; Liang, T. Evaluating and simulating the impact of afforestation policy on land use and ecosystem services trade-offs in Linyi, China. Ecol. Indic. 2024, 160, 111898. [Google Scholar] [CrossRef]
- Chen, H.-P.; Lee, M.; Chiueh, P.-T. Creating ecosystem services assessment models incorporating land use impacts based on soil quality. Sci. Total Environ. 2021, 773, 145018. [Google Scholar] [CrossRef]
- Arowolo, A.O.; Deng, X.; Olatunji, O.A.; Obayelu, A.E. Assessing changes in the value of ecosystem services in response to land-use/land-cover dynamics in Nigeria. Sci. Total Environ. 2018, 636, 597–609. [Google Scholar] [CrossRef]
- Chen, W.; Chi, G.; Li, J. The spatial association of ecosystem services with land use and land cover change at the county level in China, 1995–2015. Sci. Total Environ. 2019, 669, 459–470. [Google Scholar] [CrossRef]
- Chen, H. Land use trade-offs associated with protected areas in China: Current state, existing evaluation methods, and future application of ecosystem service valuation. Sci. Total Environ. 2020, 711, 134688. [Google Scholar] [CrossRef] [PubMed]
- Yuan, Z.; Liang, Y.; Zhao, H.; Wei, D.; Wang, X. Trade-offs and synergies between ecosystem services on the Tibetan Plateau. Ecol. Indic. 2024, 158, 111384. [Google Scholar] [CrossRef]
- Yang, Y. Evolution of habitat quality and association with land-use changes in mountainous areas: A case study of the Taihang Mountains in Hebei Province, China. Ecol. Indic. 2021, 129, 107967. [Google Scholar] [CrossRef]
- Lin, Y.-P.; Lin, W.-C.; Wang, Y.-C.; Lien, W.-Y.; Huang, T.; Hsu, C.-C.; Schmeller, D.S.; Crossman, N.D. Systematically designating conservation areas for protecting habitat quality and multiple ecosystem services. Environ. Model. Softw. 2017, 90, 126–146. [Google Scholar] [CrossRef]
- Cui, F.; Tang, H.; Zhang, Q.; Wang, B.; Dai, L. Integrating ecosystem services supply and demand into optimized management at different scales: A case study in Hulunbuir, China. Ecosyst. Serv. 2019, 39, 100984. [Google Scholar] [CrossRef]
- Song, W.; Deng, X. Land-use/land-cover change and ecosystem service provision in China. Sci. Total Environ. 2017, 576, 705–719. [Google Scholar] [CrossRef] [PubMed]
- Wang, Y.; Dai, E. Spatial-temporal changes in ecosystem services and the trade-off relationship in mountain regions: A case study of Hengduan Mountain region in Southwest China. J. Clean. Prod. 2020, 264, 121573. [Google Scholar] [CrossRef]
- Chang, R.; Fu, B.; Liu, G.; Wang, S.; Yao, X. The effects of afforestation on soil organic and inorganic carbon: A case study of the Loess Plateau of China. Catena 2012, 95, 145–152. [Google Scholar] [CrossRef]
- Tian, Y.; Wang, S.; Bai, X.; Luo, G.; Xu, Y. Trade-offs among ecosystem services in a typical Karst watershed, SW China. Sci. Total Environ. 2016, 566–567, 1297–1308. [Google Scholar] [CrossRef]
- Zhang, J.; Wang, Y.; Sun, J.; Zhang, Y.; Wang, D.; Chen, J.; Liang, E. Trade-offs and synergies of ecosystem services and their threshold effects in the largest tableland of the Loess Plateau. Glob. Ecol. Conserv. 2023, 48, e02706. [Google Scholar] [CrossRef]
- Cui, X.; Zeng, J.; Wu, J.; Chen, W. The nexus between urbanization and ecosystem services balance in China: A coupling perspective. Environ. Monit. Assess. 2024, 196, 638. [Google Scholar] [CrossRef]









| Data Type | Data Name | Data Sources |
|---|---|---|
| Meteorological data | Precipitation | The National Weather Science Data Center (https://data.cma.cn/metadata/#/layerType, accessed on 20 April 2024) |
| Temperatures | The National Weather Science Data Center (https://data.cma.cn/metadata/#/layerType, accessed on 20 April 2024) | |
| Potential Evapotranspiration | The National Earth System Science Data Center (https://www.geodata.cn/main/, accessed on 20 April 2024) | |
| Topography | The World Soil Database | The China Soil Dataset (v1.1) is derived from the World Soil Database (HWSD) (https://www.fao.org/soils-portal, accessed on 8 May 2024). |
| DEM | NASA (https://www.nasa.gov/, accessed on 26 April 2024) | |
| Land use | Land Cover | The Geospatial Data Cloud (https://www.gscloud.cn/#page1/1, accessed on 10 April 2024) |
| Socio-economic Statistics Data | Population Density | Statistical Yearbook Sharing Platform (https://www.guizhou.gov.cn/, accessed on 24 June 2024) |
| GDP |
Disclaimer/Publisher’s Note: The statements, opinions and data contained in all publications are solely those of the individual author(s) and contributor(s) and not of MDPI and/or the editor(s). MDPI and/or the editor(s) disclaim responsibility for any injury to people or property resulting from any ideas, methods, instructions or products referred to in the content. |
© 2024 by the authors. Licensee MDPI, Basel, Switzerland. This article is an open access article distributed under the terms and conditions of the Creative Commons Attribution (CC BY) license (https://creativecommons.org/licenses/by/4.0/).
Share and Cite
Feng, M.; Xiong, K.; Chen, Y.; Zhang, W.; Xu, M. The Temporal Variation and Spatial Scale Dependence of the Trade-Offs and Synergies among Multiple Ecosystem Services in the World Heritage Site of South China Karst. Land 2024, 13, 1391. https://doi.org/10.3390/land13091391
Feng M, Xiong K, Chen Y, Zhang W, Xu M. The Temporal Variation and Spatial Scale Dependence of the Trade-Offs and Synergies among Multiple Ecosystem Services in the World Heritage Site of South China Karst. Land. 2024; 13(9):1391. https://doi.org/10.3390/land13091391
Chicago/Turabian StyleFeng, Mingjun, Kangning Xiong, Yue Chen, Wenfang Zhang, and Meirong Xu. 2024. "The Temporal Variation and Spatial Scale Dependence of the Trade-Offs and Synergies among Multiple Ecosystem Services in the World Heritage Site of South China Karst" Land 13, no. 9: 1391. https://doi.org/10.3390/land13091391
APA StyleFeng, M., Xiong, K., Chen, Y., Zhang, W., & Xu, M. (2024). The Temporal Variation and Spatial Scale Dependence of the Trade-Offs and Synergies among Multiple Ecosystem Services in the World Heritage Site of South China Karst. Land, 13(9), 1391. https://doi.org/10.3390/land13091391

