Trade-Off and Coordination between Development and Ecological Protection of Urban Agglomerations along Rivers: A Case Study of Urban Agglomerations in the Shandong Section of the Lower Yellow River
Abstract
1. Introduction
2. Materials and Methods
2.1. Study Area
2.2. Data Source and Processing
2.3. Intensity Analysis
2.4. Ecosystem Service Supply (ESS) Calculation
2.5. Sensitivity Analysis
2.6. Cold and Hot Spot Analysis
2.7. Geographic Detector
3. Results
3.1. Spatiotemporal Evolution of Land Use
3.2. Figures, Tables, and Schemes
3.2.1. Interval Level
3.2.2. Category Level
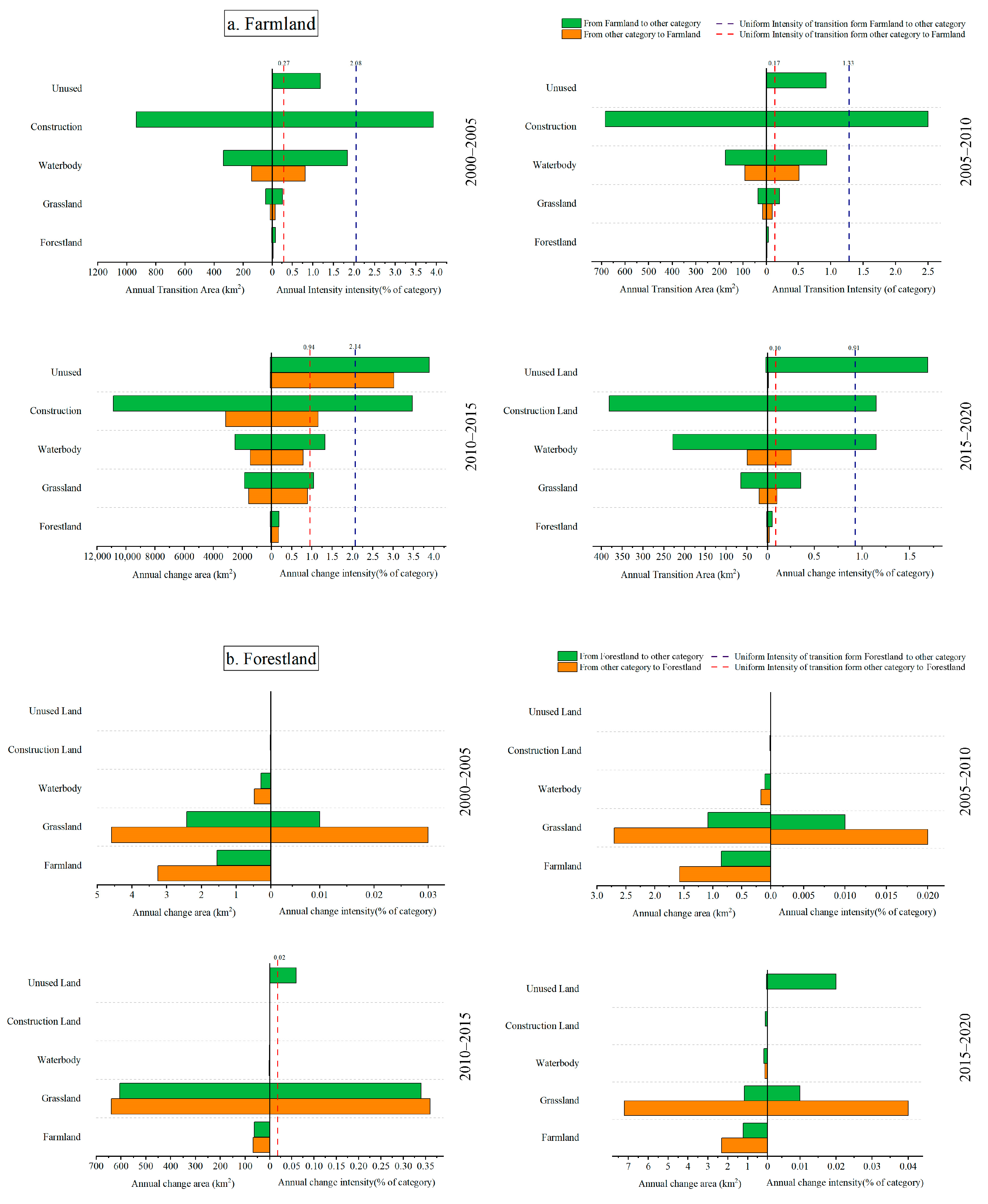
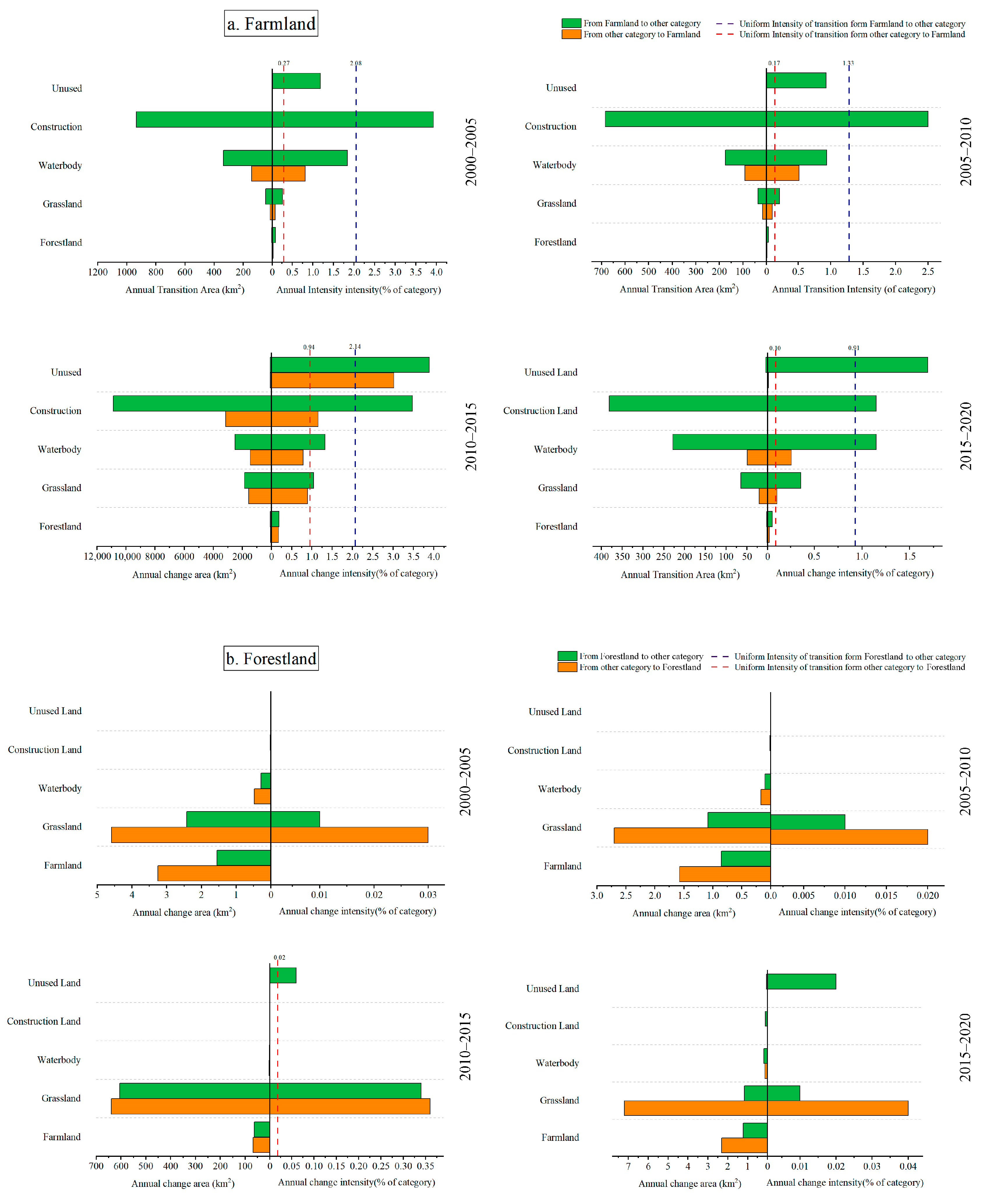
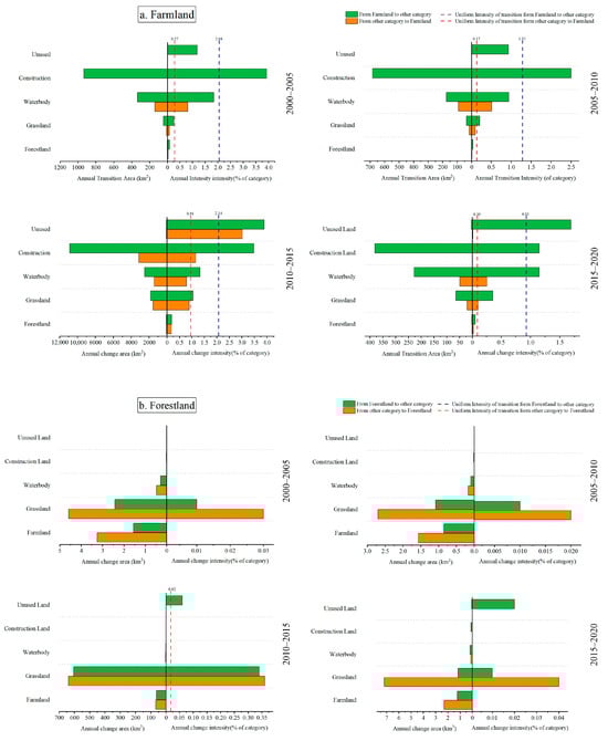
3.2.3. Transformation Level
3.3. Analysis of the Change in ESSV
3.3.1. Spatial and Temporal Patterns of ESSV
3.3.2. Sensitivity Analysis of ESSV
3.3.3. Cold and Hot Spot Analysis of ESSV
3.4. Analysis of Spatial Differentiation of ESSV
3.4.1. Single-Factor Detection Analysis
3.4.2. Detection and Analysis of Factor Interactions
4. Discussion
5. Conclusions
Author Contributions
Funding
Data Availability Statement
Conflicts of Interest
References
- Burkhard, B.; Kroll, F.; Nedkov, S.; Müller, F. Mapping Ecosystem Service Supply, Demand and Budgets. Ecol. Indic. 2012, 21, 17–29. [Google Scholar] [CrossRef]
- Chen, Z.; Zhang, Q.; Li, F.; Shi, J. Comprehensive Evaluation of Land Use Benefit in the Yellow River Basin from 1995 to 2018. Land 2021, 10, 643. [Google Scholar] [CrossRef]
- Krugman, Y. Increasing Returns and Economic Geography. J. Political Econ. 1991, 99, 483–499. [Google Scholar] [CrossRef]
- Wang, B.; Yang, X.; Dou, Y.; Wu, Q.; Wang, G.; Li, Y.; Zhao, X. Spatio-Temporal Dynamics of Economic Density and Vegetation Cover in the Yellow River Basin: Unraveling Interconnections. Land 2024, 13, 475. [Google Scholar] [CrossRef]
- Liu, M.; Xiong, Y.; Zhang, A. Multi-scale telecoupling effects of land use change on ecosystem services in urban agglomera-tions—A case study in the middle reaches of Yangtze River urban agglomerations. J. Clean. Prod. 2023, 415, 13787. [Google Scholar] [CrossRef]
- Gyurkovich, M.; Dudzic-Gyurkovich, K.; Matusik, A.; Racoń-Leja, K. Vistula River Valley in Cracow: From an Urban Barrier to a New Axis of Culture in the Scale of the City. ACE Archit. City Environ. 2021, 15, 9913. [Google Scholar] [CrossRef]
- Chang, L.; Shuheng, Z.; Rong, Z.; Xinhan, Q.; Guanglong, D. Land Space Dynamic Changes and Cross-Sensitivity of Ecological Service Function in the Lower Yellow River Reaches. J. Agric. Resour. Environ. 2023, 40, 976–992. [Google Scholar] [CrossRef]
- Cui, J.; Zhu, M.; Liang, Y.; Qin, G.; Li, J.; Liu, Y. Land Use/Land Cover Change and Their Driving Factors in the Yellow River Basin of Shandong Province Based on Google Earth Engine from 2000 to 2020. ISPRS Int. J. Geo-Inf. 2022, 11, 163. [Google Scholar] [CrossRef]
- Costanza, R.; d’Arge, R.; De Groot, R.; Farber, S.; Grasso, M.; Hannon, B.; Limburg, K.; Naeem, S.; O’Neill, R.V.; Paruelo, J.; et al. The Value of the World’s Ecosystem Services and Natural Capital. Nature 1997, 387, 253–260. [Google Scholar] [CrossRef]
- Bateman, I.J.; Harwood, A.R.; Mace, G.M.; Watson, R.T.; Abson, D.J.; Andrews, B.; Binner, A.; Crowe, A.; Day, B.H.; Dugdale, S.; et al. Bringing Ecosystem Services into Economic Decision-Making: Land Use in the United Kingdom. Science 2013, 341, 45–50. [Google Scholar] [CrossRef]
- Hasan, S.S.; Zhen, L.; Miah, M.G.; Ahamed, T.; Samie, A. Impact of Land Use Change on Ecosystem Services: A Review. Environ. Dev. 2020, 34, 100527. [Google Scholar] [CrossRef]
- Zhang, C.; Zhao, L.; Zhang, H.; Chen, M.; Fang, R.; Yao, Y.; Zhang, Q.; Wang, Q. Spatial-Temporal Characteristics of Carbon Emissions from Land Use Change in Yellow River Delta Region, China. Ecol. Indic. 2022, 136, 108623. [Google Scholar] [CrossRef]
- Zhao, Q.; Wen, Z.; Chen, S.; Ding, S.; Zhang, M. Quantifying Land Use/Land Cover and Landscape Pattern Changes and Impacts on Ecosystem Services. Int. J. Environ. Res. Public Health 2020, 17, 126. [Google Scholar] [CrossRef]
- Qiao, W.; Sheng, Y.; Fang, B.; Wang, Y. Land use evolution information mining in highly urbanized areas based on transfer matrix: A case study of Suzhou, Jiangsu Province. Geogr. Res. 2013, 32, 1497–1507. [Google Scholar]
- Aldwaik, S.Z.; Pontius, R.G., Jr. Intensity Analysis to Unify Measurements of Size and Stationarity of Land Changes by Interval, Category, and Transition. Landsc. Urban Plan. 2012, 106, 103–114. [Google Scholar] [CrossRef]
- Gaodi, X.; Lin, Z.; Chunxia, L.; Yu, X.; Wenhua, L.I. Applying Value Transfer Method for Eco-Service Valuation in China. J. Resour. Ecol. 2010, 1, 51–59. [Google Scholar] [CrossRef]
- Xie, G.; Zhang, C.; Zhang, L.; Chen, W.; Li, S. Improvement of the Evaluation Method for Ecosystem Service Value Based on per Unit Area. J. Nat. Resour. 2015, 30, 1243–1254. [Google Scholar] [CrossRef]
- Song, W.; Deng, X. Land-Use/Land-Cover Change and Ecosystem Service Provision in China. Sci. Total Environ. 2017, 576, 705–719. [Google Scholar] [CrossRef]
- Wu, C.X.; Feng, Y.Z.; Zhao, H.; Bao, Q.; Lei, Y.Q.; Feng, J. Study on Ecosystem Service Value of the Yellow River Basin in Gansu Province Based on Land Use Change. J. Desert Res. 2022, 42, 304–316. [Google Scholar]
- Li, Y.; Feng, Y.; Guo, X.; Peng, F. Changes in Coastal City Ecosystem Service Values Based on Land Use—A Case Study of Yingkou, China. Land Use Policy 2017, 65, 287–293. [Google Scholar] [CrossRef]
- Huang, J.; Hou, L.; Kang, N.; Liu, H.; Lv, X.; Zhang, Y.; Qiu, H.; Gong, Y.; Nan, Z. Research on evaluation of economic value of grassland ecosystem services. Chin. Eng. Sci. 2023, 25, 198–206. [Google Scholar] [CrossRef]
- Wang, Y.; Gu, X.; Yu, H. Spatiotemporal Variation in the Yangtze River Delta Urban Agglomeration from 1980 to 2020 and Future Trends in Ecosystem Services. Land 2023, 12, 929. [Google Scholar] [CrossRef]
- Liu, W.; Zhan, J.; Zhao, F.; Yan, H.; Zhang, F.; Wei, X. Impacts of Urbanization-Induced Land-Use Changes on Ecosystem Services: A Case Study of the Pearl River Delta Metropolitan Region, China. Ecol. Indic. 2019, 98, 228–238. [Google Scholar] [CrossRef]
- Cai, Z.; Zhang, Z.; Zhao, F.; Guo, X.; Zhao, J.; Xu, Y.; Liu, X. Assessment of Eco-Environmental Quality Changes and Spatial Heterogeneity in the Yellow River Delta Based on the Remote Sensing Ecological Index and Geo-Detector Model. Ecol. Inform. 2023, 77, 102203. [Google Scholar] [CrossRef]
- Zhang, Y.; Geng, W.; Yang, D.; Li, Y.; Zhang, Y.; Qin, M. Spatiotemporal evolution of land use and ecosystem service value in the lower Yellow River region. Trans. Chin. Soc. Agric. Eng. 2020, 36, 277–288. [Google Scholar] [CrossRef]
- Ou, Y.; Wang, X.; Miao, H. Ecological environmental sensitivity and its regional differences in China. Acta Ecol. Sin. 2000, 20, 9–12. [Google Scholar]
- Wang, J.; Xu, C. Geodetectors: Principles and prospects. Acta Geogr. Sin. 2017, 72, 116–134. [Google Scholar] [CrossRef]
- Li, X.; Chen, D.; Zhang, B.; Cao, J. Spatio-temporal Evolution and Trade-off/Synergy Analysis of Ecosystem Services in Regions of Rapid Urbanization: A Case Study of the Lower Yellow River Region. Environ. Sci. 2024, 11, 1895–1911. [Google Scholar] [CrossRef]
- Yu, F.; Fang, L. Issues Regarding the Ecological Protection and High-quality Development of Yellow River Basin. China Soft Sci. 2020, 6, 85–95. [Google Scholar]
- Ding, X.; Zhao, W.; Yan, T.; Wang, L. Response of Ecosystem Service Value to Spatio-Temporal Pattern Evolution of Land Use in Typical Heavy Industry Cities: A Case Study of Taiyuan City, China. Land 2022, 11, 2035. [Google Scholar] [CrossRef]
- Liu, C.; Tan, Z.; Zhang, X.; Sun, X.; Qie, Y.; Chen, S.; Liu, L. Ecosystem service value and carbon storage of the riparian zone in the lower Yellow River from 2000 to 2020. J. Water Resour. Water Eng. 2024, 35, 90–100. [Google Scholar]
- Li, S.; Wang, P. The impact of land use change on the value of ecosystem services in the Shandong section of the Yellow River basin. Ecol. Sci. 2023, 42, 144–155. [Google Scholar] [CrossRef]












| Primary Type | Secondary Type | Farm | Forest | Grassland | Wetlands, Rivers, and Lakes | Desserts |
|---|---|---|---|---|---|---|
| Land Use | Farmland | Forestland | Grassland | Waterbody | Unused Land | |
| Supply services | Food production | 209.07 | 47.77 | 44.15 | 123.93 | 0.95 |
| Raw material production | 46.36 | 109.74 | 64.96 | 69.06 | 2.84 | |
| Water resources supply | −246.91 | 56.76 | 35.95 | 1029.28 | 1.89 | |
| Regulatory services | Gas regulation | 168.39 | 360.91 | 228.31 | 252.59 | 12.30 |
| Climate regulation | 87.98 | 1079.90 | 603.57 | 557.21 | 9.46 | |
| Environment purification | 25.54 | 316.45 | 199.30 | 865.62 | 38.79 | |
| Hydrological regulation | 282.86 | 706.69 | 442.11 | 11,964.47 | 22.70 | |
| Support services | Soil conservation | 98.39 | 439.43 | 278.13 | 306.51 | 14.19 |
| Nutrient cycle maintenance | 29.33 | 33.58 | 21.44 | 23.65 | 0.95 | |
| Protection of biodiversity | 32.17 | 400.17 | 252.91 | 985.77 | 13.24 | |
| Cultural services | Provision of aesthetic landscape | 14.19 | 175.49 | 111.63 | 626.27 | 5.68 |
| Total | 747.37 | 3726.89 | 2282.46 | 16,804.37 | 122.98 |
| Ecosystem | VC | 2000 | 2005 | 2010 | 2015 | 2020 | 2000–2020 |
|---|---|---|---|---|---|---|---|
| Framland | VC ± 50% | 0.255 | 0.244 | 0.238 | 0.232 | 0.223 | −0.032 |
| Forestland | VC ± 50% | 0.019 | 0.018 | 0.018 | 0.018 | 0.018 | −0.001 |
| Grassland | VC ± 50% | 0.057 | 0.057 | 0.057 | 0.057 | 0.056 | −0.002 |
| Waterbody | VC ± 50% | 0.419 | 0.431 | 0.437 | 0.443 | 0.453 | 0.034 |
| Unused Land | VC ± 50% | 0.000 | 0.000 | 0.000 | 0.000 | 0.000 | 0.000 |
Disclaimer/Publisher’s Note: The statements, opinions and data contained in all publications are solely those of the individual author(s) and contributor(s) and not of MDPI and/or the editor(s). MDPI and/or the editor(s) disclaim responsibility for any injury to people or property resulting from any ideas, methods, instructions or products referred to in the content. |
© 2024 by the authors. Licensee MDPI, Basel, Switzerland. This article is an open access article distributed under the terms and conditions of the Creative Commons Attribution (CC BY) license (https://creativecommons.org/licenses/by/4.0/).
Share and Cite
Liu, A.; Yan, T.; Shi, S.; Zhao, W.; Ke, S.; Zhang, F. Trade-Off and Coordination between Development and Ecological Protection of Urban Agglomerations along Rivers: A Case Study of Urban Agglomerations in the Shandong Section of the Lower Yellow River. Land 2024, 13, 1368. https://doi.org/10.3390/land13091368
Liu A, Yan T, Shi S, Zhao W, Ke S, Zhang F. Trade-Off and Coordination between Development and Ecological Protection of Urban Agglomerations along Rivers: A Case Study of Urban Agglomerations in the Shandong Section of the Lower Yellow River. Land. 2024; 13(9):1368. https://doi.org/10.3390/land13091368
Chicago/Turabian StyleLiu, Anbei, Tingting Yan, Shengxiang Shi, Weijun Zhao, Sihang Ke, and Fangshu Zhang. 2024. "Trade-Off and Coordination between Development and Ecological Protection of Urban Agglomerations along Rivers: A Case Study of Urban Agglomerations in the Shandong Section of the Lower Yellow River" Land 13, no. 9: 1368. https://doi.org/10.3390/land13091368
APA StyleLiu, A., Yan, T., Shi, S., Zhao, W., Ke, S., & Zhang, F. (2024). Trade-Off and Coordination between Development and Ecological Protection of Urban Agglomerations along Rivers: A Case Study of Urban Agglomerations in the Shandong Section of the Lower Yellow River. Land, 13(9), 1368. https://doi.org/10.3390/land13091368

