Pursuing Urban Sustainability in Dynamic Balance Based on the DPSIR Framework: Evidence from Six Chinese Cities
Abstract
1. Introduction
2. Literature Review
2.1. Sustainable Cities
2.2. Measuring Urban Sustainability
3. Materials and Methods
3.1. Study Areas
3.2. Indicator Selection for the DPSIR Framework
3.3. Data Collection and Processing
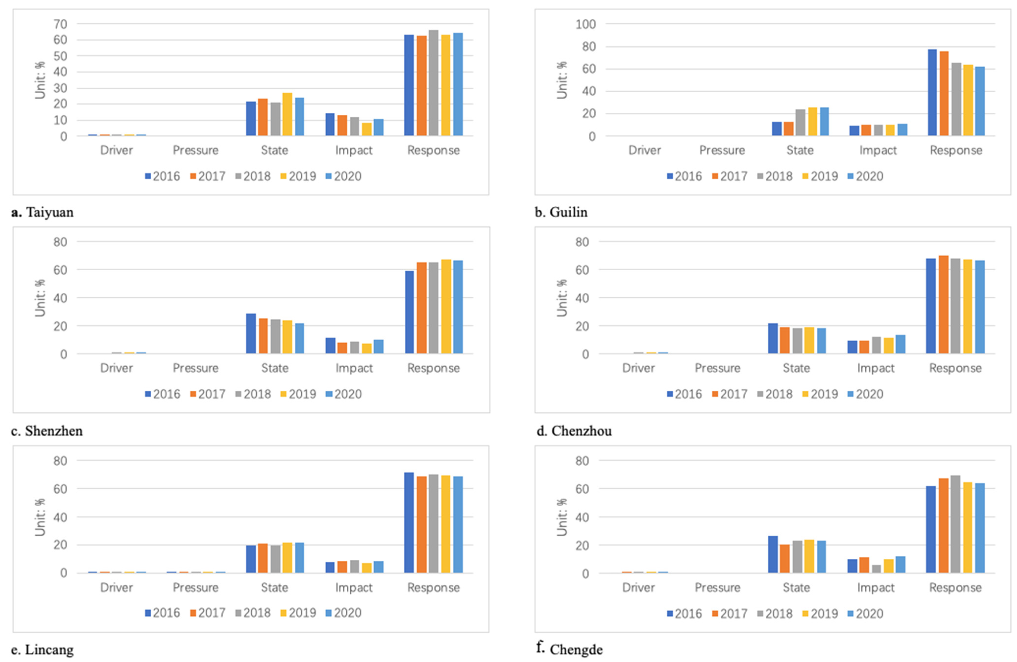
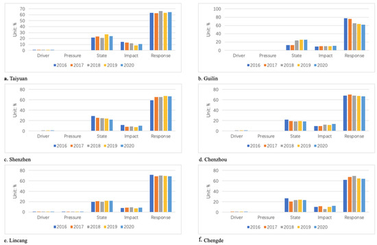
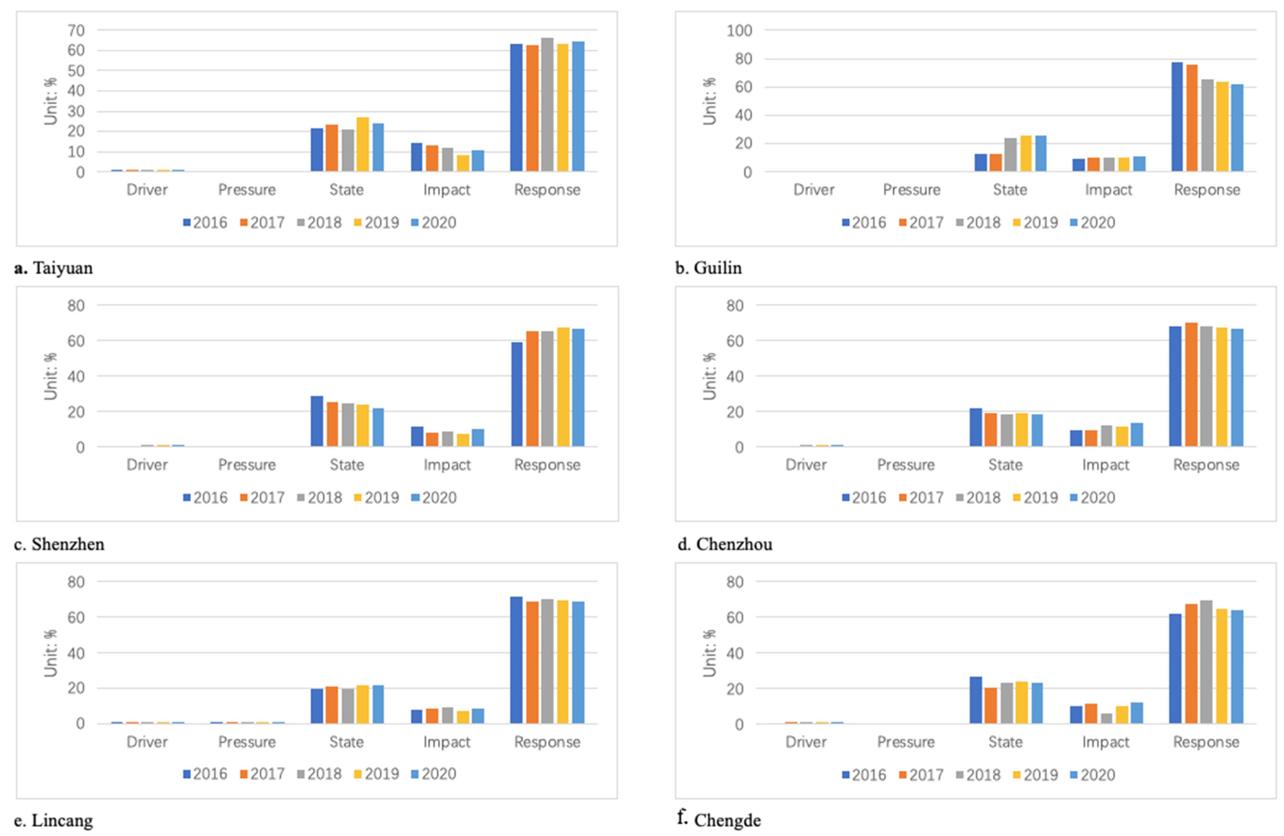
4. Results
4.1. Urban Sustainability Measurement
4.2. Obstacles to Urban Sustainability
5. Discussion
6. Conclusions
Author Contributions
Funding
Data Availability Statement
Conflicts of Interest
References
- Kumi, E.; Arhin, A.; Yeboah, T. Can post-2015 sustainable development goals survive neoliberalism? A critical examination of the sustainable developmenteneo liberalism nexus in developing countries. Environ. Dev. Sustain. 2014, 16, 53–54. [Google Scholar] [CrossRef]
- Arico, S. The contribution of the sciences, technology and innovation to sustainable development: The application of sustainability science from the perspective of UNESCO’s experience. Sustain. Sci. 2014, 9, 453–462. [Google Scholar] [CrossRef]
- Elmqvist, T.; Andersson, E.; Frantzeskaki, N.; McPhearson, T.; Olsson, P.; Gaffney, O.; Takeuchi, K.; Folke, C. Sustainability and resilience for transformation in the urban century. Nat. Sustain. 2019, 2, 267–273. [Google Scholar] [CrossRef]
- UN. The 2030 Agenda for Sustainable Development, Commission on Sustainable Development; United Nations: New York, NY, USA, 2016. [Google Scholar]
- Chinese State Council. China’s Efforts for 2030 Agenda for Sustainable Development; The State Council of the People´s Republic of China: Beijing, China, 2016.
- He, Y.; Xie, H. Exploring the spatiotemporal changes of ecological carrying capacity for regional sustainable development based on GIS: A case study of Nanchang City. Technol. Forecast. Soc. Chang. 2019, 148, 119720. [Google Scholar] [CrossRef]
- United Nations Centre for Human Settlements. Regional Development Planning and Management of Urbanization: Experiences from Developing Countries; UN-HABITAT: Nairobi, Kenya, 1997. [Google Scholar]
- Huang, S.-L.; Yeh, C.-T.; Budd, W.W.; Chen, L.-L. A Sensitivity Model (SM) approach to analyze urban development in Taiwan based on sustainability indicators. Environ. Impact Assess. Rev. 2009, 29, 116–125. [Google Scholar] [CrossRef]
- Yi, P.; Dong, Q.; Li, W. Evaluation of city sustainability using the deviation maximization method. Sustain. Cities Soc. 2019, 50, 101–109. [Google Scholar] [CrossRef]
- Xiang, X.; Li, Q.; Khan, S.; Khalaf, O.I. Urban water resource management for sustainable environment planning using artificial intelligence techniques. Environ. Impact Assess. Rev. 2021, 86, 106–114. [Google Scholar] [CrossRef]
- Zhang, S.; Zhong, Q.; Cheng, D.; Xu, C.; Chang, Y.; Lin, Y.; Li, B. Landscape ecological risk projection based on the PLUS model under the localized shared socioeconomic pathways in the Fujian Delta region. Ecol. Indic. 2022, 136, 108–116. [Google Scholar] [CrossRef]
- Fang, Z.; Ding, T.; Chen, J.; Xue, S.; Zhou, Q.; Wang, Y.; Wang, Y.; Huang, Z.; Yang, S. Impacts of land use/land cover changes on ecosystem services in ecologically fragile regions. Sci. Total Environ. 2022, 831, 154–162. [Google Scholar] [CrossRef]
- Fu, J.; Xiao, G.; Wu, C. Urban green transformation in Northeast China: A comparative study with Jiangsu, Zhejiang and Guangdong provinces. J. Clean. Prod. 2020, 273, 122551. [Google Scholar] [CrossRef]
- Mikelsone, E.; Atstaja, D.; Koval, V.; Uvarova, I.; Mavlutova, I.; Kuzmina, J. Exploring Sustainable Urban Transformation Concepts for Economic Development. Stud. Appl. Econ. 2021, 39, 106–115. [Google Scholar] [CrossRef]
- Tan, F.; Yang, L.; Lu, Z.; Niu, Z. Impact of urban innovation on urban green development in China’s Yangtze River Economic Belt: Perspectives of scale and network. Environ. Sci. Pollut. Res. 2022, 29, 73878–73895. [Google Scholar] [CrossRef] [PubMed]
- Zhang, H.; Sun, Z.; Elahi, E.; Zhang, Y. Internet Development, Level of Industrial Synergy, and Urban Innovation. Sustainability 2021, 13, 12410. [Google Scholar] [CrossRef]
- Chang, X.; Su, J.; Yang, Z. The Effect of Digital Economy on Urban Green Transformation—An Empirical Study Based on the Yangtze River Delta City Cluster in China. Sustainability 2022, 14, 13770. [Google Scholar] [CrossRef]
- Nadler, M.; Nadler, C. Promoting investment in sustainable urban development with JESSICA: Outcomes of a new EU policy initiative. Urban Stud. 2018, 55, 1839–1858. [Google Scholar] [CrossRef]
- De Jong, M.; Joss, S.; Schraven, D.; Zhan, C.; Weijnen, M. Sustainable–smart–resilient–low carbon–eco–knowledge cities; making sense of a multitude of concepts promoting sustainable urbanization. J. Clean. Prod. 2015, 109, 25–38. [Google Scholar] [CrossRef]
- Feleki, E.; Vlachokostas, C.; Moussiopoulos, N. Characterization of sustainability in urban areas: An analysis of assessment tools with emphasis on European cities. Sustain. Cities Soc. 2018, 43, 563–577. [Google Scholar] [CrossRef]
- Ameen, R.F.M.; Mourshed, M. Urban sustainability assessment framework development: The ranking and weighting of sustainability indicators using analytic hierarchy process. Sustain. Cities Soc. 2019, 44, 356–366. [Google Scholar] [CrossRef]
- Lu, W.; Xu, C.; Wu, J.; Cheng, S. Ecological effect assessment based on the DPSIR model of a polluted urban river during restoration: A case study of the Nanfei River, China. Ecol. Indic. 2019, 96, 146–152. [Google Scholar] [CrossRef]
- Ali, G.; Abbas, S.; Pan, Y.; Chen, Z.; Hussain, J.; Sajjad, M.; Ashraf, A. Urban environment dynamics and low carbon society: Multicriteria decision analysis modeling for policy makers. Sustain. Cities Soc. 2019, 51, 101–109. [Google Scholar] [CrossRef]
- Liu, Y.; Song, W.; Deng, X. Understanding the spatiotemporal variation of urban land expansion in oasis cities by integrating remote sensing and multidimensional DPSIR-based indicators. Ecol. Indic. 2019, 96, 23–37. [Google Scholar] [CrossRef]
- Gupta, N.; Gupta, R. Solid waste management and sustainable cities in India: The case of Chandigarh. Environ. Urban. 2015, 27, 573–588. [Google Scholar] [CrossRef]
- OECD. OECD Core Set of Indicators for Environmental Performance Reviews; Organization for Economic Cooperation and Development: Paris, France, 1993. [Google Scholar]
- Gari, S.R.; Newton, A.; Icely, J.D. A review of the application and evolution of the DPSIR framework with an emphasis on coastal social-ecological systems. Ocean. Coast. Manag. 2015, 103, 63–77. [Google Scholar] [CrossRef]
- Barrett, M.; Watene, K.; McNicholas, P. Legal personality in Aotearoa New Zealand: An example of integrated thinking on sustainable development. Account. Audit. Account. J. 2020, 33, 1705–1730. [Google Scholar] [CrossRef]
- UN. Final List of Proposed Sustainable Development Goal Indicators; United Nations: New York, NY, USA, 2016. [Google Scholar]
- Liu, B.; Yang, Z.; Xue, B.; Sun, X. Policy Effects Assessment of Urban Sustainable Development in China—Quasi-Experimental Evidence Based on the National Sustainable Development Experimental Zones. J. Public Manag. 2023, 20, 69–83, 172. [Google Scholar]
- Papagiannis, F.; Gazzola, P.; Burak, O.; Pokutsa, I. A European household waste management approach: Intelligently clean Ukraine. J. Environ. Manag. 2021, 294, 113015. [Google Scholar] [CrossRef]
- Xue, B.; Liu, B.; Yang, Q.; Sun, X.; Wang, W.; Li, L. Formalizing an evaluation-prediction based roadmap toward urban sustainability: A case study of Chenzhou, China. Habitat Int. 2021, 112, 102–113. [Google Scholar] [CrossRef]
- Song, X.; Feng, Q.; Xia, F.; Li, X.; Scheffran, J. Impacts of changing urban land-use structure on sustainable city growth in China: A population-density dynamics perspective. Habitat Int. 2021, 107, 102296. [Google Scholar] [CrossRef]
- Chang, D.-S.; Wang, W.-S.; Wang, R. Identifying Critical Factors of Sustainable Healthcare Institutions’ Indicators Under Taiwan’s National Health Insurance System. Soc. Indic. Res. 2018, 140, 287–307. [Google Scholar] [CrossRef]
- Chafer, M.; Tan, C.L.; Cureau, R.J.; Hien, W.N.; Pisello, A.L.; Cabeza, L.F. Mobile measurements of microclimatic variables through the central area of Singapore: An analysis from the pedestrian perspective. Sustain. Cities Soc. 2022, 83, 103986. [Google Scholar] [CrossRef]
- MSTPRC. Measures for the Administration of National Sustainable Development Experimental Zones; Ministry of Science and Technology of the People´s Republic of China: Beijing, China, 2007.
- Liu, B.; Yang, Z.; Xue, B.; Zhao, D.; Sun, X.; Wang, W. Formalizing an integrated metric system measuring performance of urban sustainability: Evidence from China. Sustain. Cities Soc. 2022, 79, 103702. [Google Scholar] [CrossRef]
- Azad, H.; Zeenat, K. A Framework for Measuring Urban Sustainability in an Emerging Region: The City of Duhok as a Case Study. Sustainability 2019, 11, 5402. [Google Scholar] [CrossRef]
- Adedoyin, F.F.; Alola, A.A.; Bekun, F.V. An assessment of environmental sustainability corridor: The role of economic expansion and research and development in EU countries. Sci. Total Environ. 2020, 713, 136726. [Google Scholar] [CrossRef]
- Ravšelj, D.; Aristovnik, A. The Impact of Private Research and Development Expenditures and Tax Incentives on Sustainable Corporate Growth in Selected OECD Countries. Sustainability 2018, 10, 2304. [Google Scholar] [CrossRef]
- Shi, Y.; Ge, X.; Yuan, X.; Wang, Q.; Kellett, J.; Li, F.; Ba, K. An Integrated Indicator System and Evaluation Model for Regional Sustainable Development. Sustainability 2019, 11, 2183. [Google Scholar] [CrossRef]
- Liu, Y.; Xie, Y.; Zhong, K. Impact of Digital Economy on Urban Sustainable Development: Evidence from Chinese Cities. Sustain. Dev. 2024, 32, 307–324. [Google Scholar] [CrossRef]
- Kim Jeong, E.; Jong Ha, L. Macroeconomic Performance Analysis of R&D Investment. Macroecon. Perform. Anal. RD Invest. 2012, 14, 3–31. [Google Scholar]
- Fujii, H.; Managi, S. Decomposition analysis of sustainable green technology inventions in China. Technol. Forecast. Soc. Chang. 2019, 139, 10–16. [Google Scholar] [CrossRef]
- Konca, M.; Yildirim, H.H. How can Turkey create fiscal space for its health care system? A qualitative approach. Int. J. Healthc. Manag. 2021, 14, 940–947. [Google Scholar] [CrossRef]
- Sonoda, R. The stabilizing effect of fiscal policies on the dynamics of effective demand and income distribution in Japan. Evol. Institutional Econ. Rev. 2021, 18, 385–405. [Google Scholar] [CrossRef]
- Veta, O.D. Challenges and Enhancement of Medical Social Workers in Public Health Facilities in Nigeria. Soc. Work. Public Health 2023, 38, 1–10. [Google Scholar] [CrossRef] [PubMed]
- Choi, H.-S. Reinventing Sustainable Neighborhood Planning: A Case Study of Le Rheu, France. Buildings 2024, 14, 536. [Google Scholar] [CrossRef]
- Zhang, Y.; Zhou, C.; Du, J.; Wang, M.; Wu, W.; Liu, G. Material flow analysis and characteristics of multiple-source organic solid wastes from a perspective of ecological network analysis: A case study in Hefei, China. Waste Manag. Res. J. A Sustain. Circ. Econ. 2023, 41, 987–996. [Google Scholar] [CrossRef]
- Du, X.; Zhou, J.; Xiao, C. Spatial Effects and Influencing Factors of Urban Sustainable Development: An Analysis of Urban Agglomerations in China. Econ. Anal. Policy 2024, 81, 556–575. [Google Scholar] [CrossRef]
- Torrens, J.; Westman, L.; Wolfram, M.; Vogel, N.; Wangel, J.; Von Wirth, T. Advancing urban transitions and transformations research. Environ. Innov. Soc. Transit. 2021, 4, 102–105. [Google Scholar] [CrossRef]
- Feng, J.; Hou, H. Review of Research on Urban Social Space and Sustainable Development. Sustainability 2023, 15, 16130. [Google Scholar] [CrossRef]
- Luo, X.; Yan, Z.; Ma, C.; Xie, J. Urban Sustainable Development: Inner Logic and Exploration in Guangzhou. Front. Built Environ. 2024, 10, 127–145. [Google Scholar] [CrossRef]
- Li, W.; Yi, P.; Yu, H.; Lin, W.; Wu, X. Assessment on sustainable development of three major urban agglomerations in China based on sustainability-differentiation-combined weighting method. Sustain. Dev. 2023, 5, 67. [Google Scholar] [CrossRef]
- Wang, Z.; Li, L.; Zhang, B.; Xu, H.; Xue, J.; Fu, Y.; Zeng, Y.; Li, F. Sustainable Urban Development Based on an Adaptive Cycle Model: A Coupled Social and Ecological Land Use Development Model. Ecol. Indic. 2023, 15, 11–26. [Google Scholar] [CrossRef]
- OMDIA. How loT is building safe, resilient, and sustainable smart cities during COVID-19. Telecommun. Eng. Technol. Stand. 2021, 34, 9–14. [Google Scholar]
- Salati, M.; Bragança, L.; Mateus, R. Sustainability Assessment on an Urban Scale: Context, Challenges, and Most Relevant Indicators. Appl. Syst. Innov. 2022, 5, 41. [Google Scholar] [CrossRef]








| Approved Time | City | Theme |
|---|---|---|
| 13 February 2018 | Taiyuan | Transformation and upgrading of resource-based cities |
| 13 February 2018 | Guilin | Sustainable utilization of landscape resources |
| 13 February 2018 | Shenzhen | Innovation leading for sustainable development of megacities |
| 6 May 2019 | Chenzhou | Sustainable utilization of water resources and green development |
| 6 May 2019 | Lincang | Innovation-driven development in underdeveloped border multiethnic area |
| 6 May 2019 | Chengde | Sustainable development of water conservation functional areas of urban agglomerations |
| 10 July 2022 | Ordos | Desertification control and green development |
| 10 July 2022 | Xuzhou | Innovation leading for high-quality development of resource-based regional central cities |
| 10 July 2022 | Huzhou | Green innovation leading for the sustainable development of ecologically resource-rich regions |
| 10 July 2022 | Zaozhuang | Innovation leading for sustainable rural development |
| 10 July 2022 | Hainan | Ecological protection and high-quality development of river source areas |
| Component | Indicator | Measurement | Unit | ID | Property | References |
|---|---|---|---|---|---|---|
| Driver | Legal entities | Number of legal entities per 10,000 people | number of legal entities | D1 | + | [28] |
| Primary industry | The total output value of agriculture, forestry, animal husbandry and fishery | hundred million Chinese yuan (CNY) | D2 | + | [29,41] | |
| GDP | GDP growth rate per capita | % | D3 | + | [29] | |
| Land yield | Land yield = GDP/land area of administrative region | % | D4 | + | [30,42] | |
| Foreign investment | The actual amount of foreign investment | ten thousand US dollar (USD) | D5 | + | [30] | |
| Labor productivity | Labor productivity = GDP/(number of employees in urban units + urban private and self-employed persons) | Chinese yuan (CNY)/people | D6 | + | [30,38] | |
| Pressure | Household waste | Amount of household waste generated | ten thousand ton | P1 | − | [31] |
| Industrial solid waste | Amount of industrial solid waste generated | ten thousand ton | P2 | − | [12,29] | |
| population | population density | people/km2 | P3 | − | [33] | |
| State | Internet | Internet penetration | % | S1 | + | [30] |
| Road network | Road network density = area of paved roads at the end of the year/land area of administrative area | % | S2 | + | [30] | |
| Green coverage | Build a green coverage rate | % | S3 | + | [35] | |
| Medical insurance | Basic medical insurance participation rate | % | S4 | + | [34] | |
| Green area | Green space area per capita | km2/people | S5 | + | [35] | |
| Impact | Secondary industry | The added value of the secondary industry accounts for the proportion of GDP | % | I1 | − | [36,42] |
| Tertiary industry | The added value of the tertiary industry accounts for the proportion of GDP | % | I2 | + | [36] | |
| Unemployment | Registered unemployment rate in towns | % | I3 | − | [29,37] | |
| Response | Health facilities | Number of health facilities per 10,000 people | Number of health facilities | R1 | + | [25,29] |
| Industrial solid waste utilization | Comprehensive utilization rate of general industrial solid waste | % | R2 | + | [25,36] | |
| Household waste treatment | Harmless treatment rate of household waste | % | R3 | + | [31] | |
| Finance budget expenditure | Local public finance budget expenditure | hundred million Chinese yuan (CNY) | R4 | + | [24,29] | |
| Sewage treatment | Centralized treatment rate of sewage treatment plants | % | R5 | + | [36] | |
| Beds in medical institutions | Number of beds in medical institutions per 10,000 = number of beds in hospitals and health centers/total population at the end of the year | sheet/ten thousand people | R6 | + | [11,30] | |
| R&D internal expenditures | R&D internal expenditures | ten thousand Chinese yuan (CNY) | R7 | + | [39] | |
| R&D personnel input | Full-time equivalent of R&D personnel | people year | R8 | + | [39] |
| Component | Component Weight | Indicator | ID | Indicator Weight |
|---|---|---|---|---|
| Driver | 0.0454857 | Legal entities | D1 | 0.0064596 |
| Primary industry | D2 | 0.0069081 | ||
| GDP | D3 | 0.0073567 | ||
| Land yield | D4 | 0.0078052 | ||
| Foreign investment | D5 | 0.0082538 | ||
| Labor productivity | D6 | 0.0087023 | ||
| Pressure | 0.0287982 | Household waste | P1 | 0.0091509 |
| Industrial solid waste | P2 | 0.0095994 | ||
| population | P3 | 0.0100479 | ||
| State | 0.2588131 | Internet | S1 | 0.0508655 |
| Road network | S2 | 0.0513141 | ||
| Green coverage | S3 | 0.0517626 | ||
| Medical insurance | S4 | 0.0522112 | ||
| Green area | S5 | 0.0526597 | ||
| Impact | 0.1606704 | Secondary industry | I1 | 0.0531083 |
| Tertiary industry | I2 | 0.0535568 | ||
| Unemployment | I3 | 0.0540053 | ||
| Response | 0.4517787 | Health facilities | R1 | 0.0549024 |
| Industrial solid waste utilization | R2 | 0.0553510 | ||
| Household waste treatment | R3 | 0.0557995 | ||
| Finance budget expenditure | R4 | 0.0562481 | ||
| Sewage treatment | R5 | 0.0566966 | ||
| Beds in medical institutions | R6 | 0.0571452 | ||
| R&D internal expenditures | R7 | 0.0575937 | ||
| R&D personnel input | R8 | 0.0580422 |
| City | 2016 | 2017 | 2018 | 2019 | 2020 |
|---|---|---|---|---|---|
| Lincang | 0.22843 | 0.21974 | 0.30057 | 0.31481 | 0.33166 |
| Taiyuan | 0.27227 | 0.26872 | 0.36123 | 0.36116 | 0.38634 |
| Chengde | 0.23038 | 0.31908 | 0.37161 | 0.33067 | 0.35081 |
| Guilin | 0.30457 | 0.40382 | 0.42626 | 0.45697 | 0.43904 |
| Shenzhen | 0.40617 | 0.44296 | 0.36942 | 0.37362 | 0.37816 |
| Chenzhou | 0.30352 | 0.30899 | 0.32941 | 0.36605 | 0.38702 |
Disclaimer/Publisher’s Note: The statements, opinions and data contained in all publications are solely those of the individual author(s) and contributor(s) and not of MDPI and/or the editor(s). MDPI and/or the editor(s) disclaim responsibility for any injury to people or property resulting from any ideas, methods, instructions or products referred to in the content. |
© 2024 by the authors. Licensee MDPI, Basel, Switzerland. This article is an open access article distributed under the terms and conditions of the Creative Commons Attribution (CC BY) license (https://creativecommons.org/licenses/by/4.0/).
Share and Cite
Yang, X.; Yang, Z.; Quan, L.; Xue, B. Pursuing Urban Sustainability in Dynamic Balance Based on the DPSIR Framework: Evidence from Six Chinese Cities. Land 2024, 13, 1334. https://doi.org/10.3390/land13081334
Yang X, Yang Z, Quan L, Xue B. Pursuing Urban Sustainability in Dynamic Balance Based on the DPSIR Framework: Evidence from Six Chinese Cities. Land. 2024; 13(8):1334. https://doi.org/10.3390/land13081334
Chicago/Turabian StyleYang, Xueying, Zhongqi Yang, Lili Quan, and Bin Xue. 2024. "Pursuing Urban Sustainability in Dynamic Balance Based on the DPSIR Framework: Evidence from Six Chinese Cities" Land 13, no. 8: 1334. https://doi.org/10.3390/land13081334
APA StyleYang, X., Yang, Z., Quan, L., & Xue, B. (2024). Pursuing Urban Sustainability in Dynamic Balance Based on the DPSIR Framework: Evidence from Six Chinese Cities. Land, 13(8), 1334. https://doi.org/10.3390/land13081334
