The Disparity of Greenness Accessibility across Major Metropolitan Areas in the United States from 2013 to 2022
Abstract
1. Introduction
2. Materials and Methods
2.1. Study Area
2.2. Urban Greenness Space Indicator
2.3. Exposure Disparity Index
3. Results
3.1. Greenness Exposure over Time
3.2. Greenness Exposure Disparity over Time
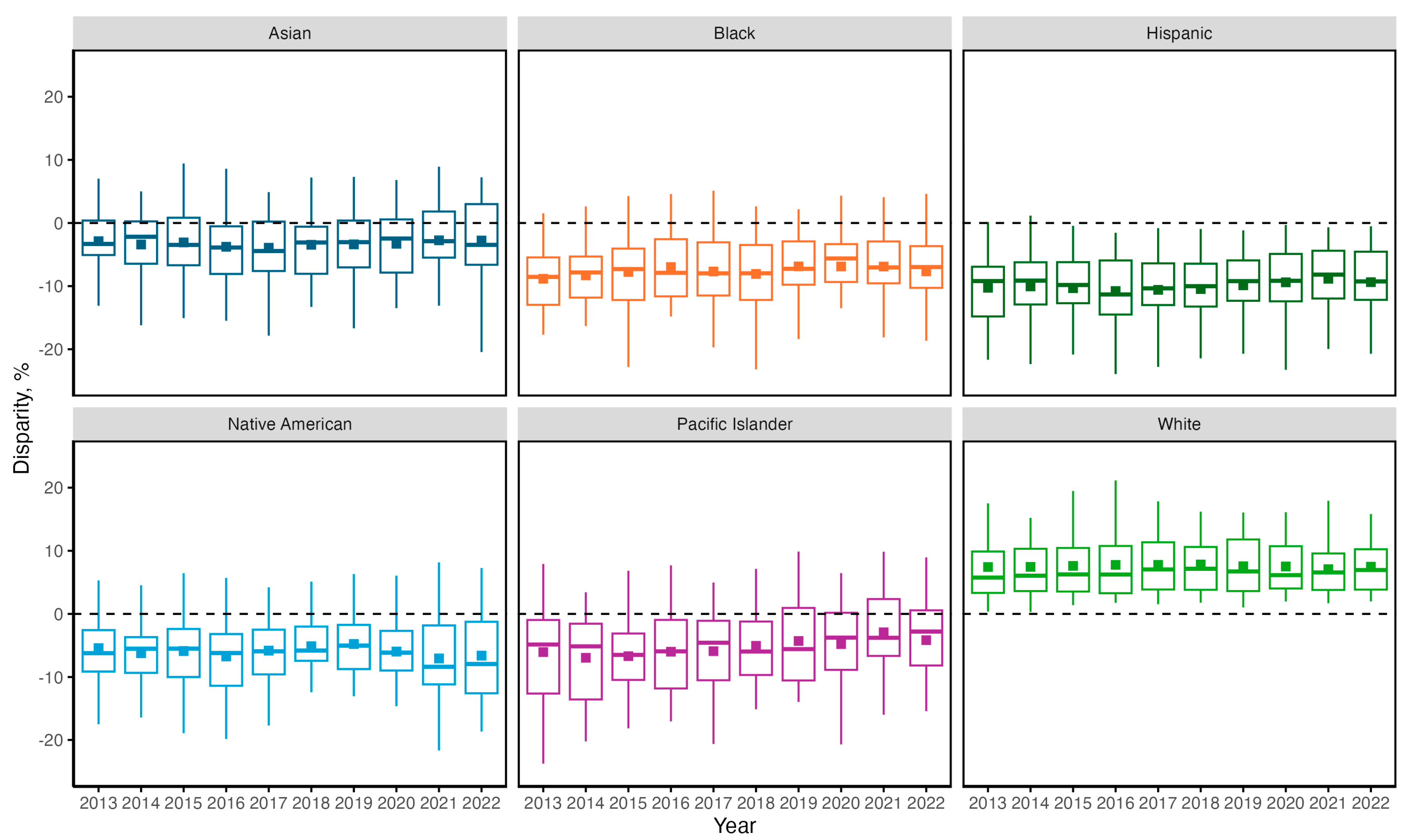
3.3. Racial Disparities of Greenness Exposure
4. Discussion
5. Conclusions
Supplementary Materials
Author Contributions
Funding
Data Availability Statement
Conflicts of Interest
References
- Abdmouleh, M.A.; Dahech, S. Spatio-temporal variation of noise pollution in South Paris during and outside the COVID-19 lockdowns. Sci. Rep. 2024, 14, 1487. [Google Scholar] [CrossRef] [PubMed]
- Amoatey, P.; Al-Harthy, I.; Al-Jabri, K.; Al-Mamun, A.; Baawain, M.S.; Al-Mayahi, A. Impact of COVID-19 pandemic on aircraft noise levels, annoyance, and health effects in an urban area in Oman. Environ. Sci. Pollut. Res. 2022, 29, 23407–23418. [Google Scholar] [CrossRef] [PubMed]
- Tang, M.; Acharya, T.D.; Niemeier, D.A. Black Carbon Concentration Estimation with Mobile-Based Measurements in a Complex Urban Environment. ISPRS Int. J. Geo Inf. 2023, 12, 290. [Google Scholar] [CrossRef]
- Mueller, N.; Rojas-Rueda, D.; Basagaña, X.; Cirach, M.; Hunter, T.C.; Dadvand, P.; Donaire-Gonzalez, D.; Foraster, M.; Gascon, M.; Martinez, D.; et al. Urban and transport planning related exposures and mortality: A health impact assessment for cities. Environ. Health Perspect. 2017, 125, 89–96. [Google Scholar] [CrossRef] [PubMed]
- Zhong, J.; Liu, W.; Niu, B.; Lin, X.; Deng, Y. Role of Built Environments on Physical Activity and Health Promotion: A Review and Policy Insights. Front. Public Health 2022, 10, 950348. [Google Scholar] [CrossRef]
- Benedict, M.A.; McMahon, E.T. Green infrastructure: Smart conservation for the 21st century. Renew. Resour. J. 2002, 20, 12–17. [Google Scholar]
- Mell, I.C. Green infrastructure: Reflections on past, present and future praxis. Landsc. Res. 2017, 42, 135–145. [Google Scholar] [CrossRef]
- Gupta, A.; De, B. A systematic review on urban blue-green infrastructure in the south Asian region: Recent advancements, applications, and challenges Uncorrected Proof. Water Sci. Technol. 2024, 89, 382–403. [Google Scholar] [CrossRef]
- Hamel, P.; Tan, L. Blue–Green Infrastructure for Flood and Water Quality Management in Southeast Asia: Evidence and Knowledge Gaps. Environ. Manag. 2022, 69, 699–718. [Google Scholar] [CrossRef] [PubMed]
- Rahman, K.M.; Zhang, D. Analyzing the Level of Accessibility of Public Urban Green Spaces to Different Socially Vulnerable Groups of People. Sustainability 2018, 10, 3917. [Google Scholar] [CrossRef]
- Khan, S.A.; Fatima, K.; Hussain, S.; Ali, M.M.; Mannan, A.; Butt, N.I. Mitigation of Noise Pollution in Urban Areas by Strategically Planting Trees and Shrubs. J. CleanWAS 2023, 7, 41–47. [Google Scholar] [CrossRef]
- Selmi, W.; Weber, C.; Rivière, E.; Blond, N.; Mehdi, L.; Nowak, D. Air pollution removal by trees in public green spaces in Strasbourg. Urban For. Urban Green. 2016, 17, 192–201. [Google Scholar] [CrossRef]
- Nowak, D.J.; Crane, D.E.; Stevens, J.C. Air pollution removal by urban trees and shrubs in the United States. Urban For. Urban Green. 2006, 4, 115–123. [Google Scholar] [CrossRef]
- Rundle, A.; Quinn, J.; Lovasi, G.; Bader, M.D.M.; Yousefzadeh, P.; Weiss, C.; Neckerman, K. Associations between Body Mass Index and Park Proximity, Size, Cleanliness, and Recreational Facilities. Am. J. Health Promot. 2013, 27, 262–269. [Google Scholar] [CrossRef] [PubMed]
- Astell-Burt, T.; Feng, X. Urban green space, tree canopy and prevention of cardiometabolic diseases: A multilevel longitudinal study of 46,786 Australians. Int. J. Epidemiol. 2020, 49, 926–933. [Google Scholar] [CrossRef] [PubMed]
- Astell-Burt, T.; Feng, X. Urban green space, tree canopy, and prevention of heart disease, hypertension, and diabetes: A longitudinal study. Lancet Planet. Health 2019, 3, S16. [Google Scholar] [CrossRef]
- Seo, S.; Choi, S.; Kim, K.; Kim, S.M.; Park, S.M. Association between urban green space and the risk of cardiovascular disease: A longitudinal study in seven Korean metropolitan areas. Environ. Int. 2019, 125, 51–57. [Google Scholar] [CrossRef]
- Twohig-Bennett, C.; Jones, A. The health benefits of the great outdoors: A systematic review and meta-analysis of greenspace exposure and health outcomes. Environ. Res. 2018, 166, 628–637. [Google Scholar] [CrossRef]
- Fong, K.C.; Hart, J.E.; James, P. A review of epidemiologic studies on greenness and health: Updated literature through 2017. Curr. Environ. Health Rep. 2018, 5, 77–87. [Google Scholar] [CrossRef]
- Lee, K.O.; Mai, K.M.; Park, S. Green space accessibility helps buffer declined mental health during the COVID-19 pandemic: Evidence from big data in the United Kingdom. Nat. Ment. Health 2023, 1, 124–134. [Google Scholar] [CrossRef]
- Lai, K.Y.; Kumari, S.; Gallacher, J.; Webster, C.; Sarkar, C. Nexus between residential air pollution and physiological stress is moderated by greenness. Nat. Cities 2024, 1, 225–237. [Google Scholar] [CrossRef]
- Santamouris, M.; Osmond, P. Increasing Green Infrastructure in Cities: Impact on Ambient Temperature, Air Quality and Heat-Related Mortality and Morbidity. Buildings 2020, 10, 233. [Google Scholar] [CrossRef]
- Choi, H.M.; Lee, W.; Roye, D.; Heo, S.; Orru, H.; Kim, H.; Kysel, J.; Madueira, J.; Schwartz, J.; Jaakkola, J.J.K.; et al. Effect modification of greenness on the association between heat and mortality: A multi-city multi-country study. Lancet 2022, 84, 104251. [Google Scholar] [CrossRef]
- Wu, L.; Kim, S.K. Exploring the equality of accessing urban green spaces: A comparative study of 341 Chinese cities. Ecol. Indic. 2021, 121, 107080. [Google Scholar] [CrossRef]
- Li, X.; Zhang, C.; Li, W.; Kuzovkina, Y.A. Urban Forestry & Urban Greening Environmental inequities in terms of different types of urban greenery in Hartford, Connecticut. Urban For. Urban Green. 2016, 18, 163–172. [Google Scholar] [CrossRef]
- LU, Y.; CHEN, R.; CHEN, B.; WU, J. Inclusive green environment for all? An investigation of spatial access equity of urban green space and associated socioeconomic drivers in China. Landsc. Urban Plan. 2024, 241, 104926. [Google Scholar] [CrossRef]
- Wüstemann, H.; Kalisch, D.; Kolbe, J. Access to urban green space and environmental inequalities in Germany. Landsc. Urban Plan. 2017, 164, 124–131. [Google Scholar] [CrossRef]
- You, H. Characterizing the inequalities in urban public green space provision in Shenzhen, China. Habitat Int. 2016, 56, 176–180. [Google Scholar] [CrossRef]
- Dai, D. Racial/ethnic and socioeconomic disparities in urban green space accessibility: Where to intervene? Landsc. Urban Plan. 2011, 102, 234–244. [Google Scholar] [CrossRef]
- Jesdale, B.M.; Morello-Frosch, R.; Cushing, L. The Racial/Ethnic Distribution of Heat Risk–Related Land Cover in Relation to Residential Segregation. Environ. Health Perspect. 2013, 121, 811–817. [Google Scholar] [CrossRef]
- Zhou, X.; Kim, J. Social disparities in tree canopy and park accessibility: A case study of six cities in Illinois using GIS and remote sensing. Urban For. Urban Green. 2013, 12, 88–97. [Google Scholar] [CrossRef]
- Watkins, S.L.; Gerrish, E. The relationship between urban forests and race: A meta-analysis. J. Environ. Manag. 2018, 209, 152–168. [Google Scholar] [CrossRef] [PubMed]
- Park, Y.; Guldmann, J.M. Understanding disparities in community green accessibility under alternative green measures: A metropolitan-wide analysis of Columbus, Ohio, and Atlanta, Georgia. Landsc. Urban Plan. 2020, 200, 103806. [Google Scholar] [CrossRef]
- Song, Y.; Chen, B.; Ho, H.C.; Kwan, M.P.; Liu, D.; Wang, F.; Wang, J.; Cai, J.; Li, X.; Xu, Y.; et al. Observed inequality in urban greenspace exposure in China. Environ. Int. 2021, 156, 106778. [Google Scholar] [CrossRef]
- Chen, B.; Wu, S.; Song, Y.; Webster, C.; Xu, B.; Gong, P. Contrasting inequality in human exposure to greenspace between cities of Global North and Global South. Nat. Commun. 2022, 13, 4636. [Google Scholar] [CrossRef]
- US Census Bureau. TIGER/Line Shapefile, 2020, Nation, U.S., Metropolitan Divisions. Available online: https://catalog.data.gov/dataset/tiger-line-shapefile-2020-nation-u-s-metropolitan-divisions (accessed on 9 February 2024).
- Chuang, W.-C.; Boone, C.G.; Locke, D.H.; Grove, J.M.; Whitmer, A.; Buckley, G.; Zhang, S. Tree canopy change and neighborhood stability: A comparative analysis of Washington, D.C. and Baltimore, MD. Urban For. Urban Green. 2017, 27, 363–372. [Google Scholar] [CrossRef]
- Fan, C.; Johnston, M.; Darling, L.; Scott, L.; Liao, F.H. Land use and socio-economic determinants of urban forest structure and diversity. Landsc. Urban Plan. 2019, 181, 10–21. [Google Scholar] [CrossRef]
- Xiao, Y.; Wang, Z.; Li, Z.; Tang, Z. An assessment of urban park access in Shanghai—Implications for the social equity in urban China. Landsc. Urban Plan. 2017, 157, 383–393. [Google Scholar] [CrossRef]
- Nesbitt, L.; Meitner, M.J.; Girling, C.; Sheppard, S.R.J.; Lu, Y. Who has access to urban vegetation? A spatial analysis of distributional green equity in 10 US cities. Landsc. Urban Plan. 2019, 181, 51–79. [Google Scholar] [CrossRef]
- Shanahan, D.F.; Lin, B.B.; Gaston, K.J.; Bush, R.; Fuller, R.A. Socio-economic inequalities in access to nature on public and private lands: A case study from Brisbane, Australia. Landsc. Urban Plan. 2014, 130, 14–23. [Google Scholar] [CrossRef]
- Pham, T.-T.-H.; Apparicio, P.; Landry, S.; Séguin, A.-M.; Gagnon, M. Predictors of the distribution of street and backyard vegetation in Montreal, Canada. Urban For. Urban Green. 2013, 12, 18–27. [Google Scholar] [CrossRef]
- Mao, Q.; Wang, L.; Guo, Q.; Li, Y.; Liu, M.; Xu, G. Evaluating cultural ecosystem services of urban residential green spaces from the perspective of residents’ satisfaction with green space. Front. Public Health 2020, 8, 226. [Google Scholar] [CrossRef] [PubMed]
- Wu, C.; Li, J.; Wang, C.; Song, C.; Haase, D.; Breuste, J.; Finka, M. Estimating the cooling effect of pocket green space in high density urban areas in Shanghai, China. Front. Environ. Sci. 2021, 9, 657969. [Google Scholar] [CrossRef]
- Chander, G.; Markham, B.L.; Helder, D.L. Summary of current radiometric calibration coefficients for Landsat MSS, TM, ETM+, and EO-1 ALI sensors. Remote Sens. Environ. 2009, 113, 893–903. [Google Scholar] [CrossRef]
- Dixon, P.M.; Weiner, J.; Mitchell-Olds, T.; Woodley, R. Bootstrapping the Gini coefficient of inequality. Ecology 1987, 68, 1548–1551. [Google Scholar] [CrossRef]
- Firebaugh, G. Empirics of world income inequality. Am. J. Sociol. 1999, 104, 1597–1630. [Google Scholar] [CrossRef]
- Deininger, K.; Squire, L. A new data set measuring income inequality. World Bank Econ. Rev. 1996, 10, 565–591. [Google Scholar] [CrossRef]
- R Core Team. R: A Language and Environment for Statistical Computing; R Core Team: Vienna, Austria, 2021; Available online: https://www.r-project.org/ (accessed on 1 May 2024).
- Wójcik, S.; Giemza, A.; Machowska, K.; Napora, J. wINEQ: Inequality Measures for Weighted Data. 2023. Available online: https://cran.r-project.org/web/packages/wINEQ/wINEQ.pdf (accessed on 1 May 2024).
- Tessum, C.W.; Paolella, D.A.; Chambliss, S.E.; Apte, J.S.; Hill, J.D.; Marshall, J.D. PM2.5 polluters disproportionately and systemically affect people of color in the United States. Sci. Adv. 2021, 7, eabf4491. [Google Scholar] [CrossRef]





Disclaimer/Publisher’s Note: The statements, opinions and data contained in all publications are solely those of the individual author(s) and contributor(s) and not of MDPI and/or the editor(s). MDPI and/or the editor(s) disclaim responsibility for any injury to people or property resulting from any ideas, methods, instructions or products referred to in the content. |
© 2024 by the authors. Licensee MDPI, Basel, Switzerland. This article is an open access article distributed under the terms and conditions of the Creative Commons Attribution (CC BY) license (https://creativecommons.org/licenses/by/4.0/).
Share and Cite
Tang, M.; Li, X. The Disparity of Greenness Accessibility across Major Metropolitan Areas in the United States from 2013 to 2022. Land 2024, 13, 1182. https://doi.org/10.3390/land13081182
Tang M, Li X. The Disparity of Greenness Accessibility across Major Metropolitan Areas in the United States from 2013 to 2022. Land. 2024; 13(8):1182. https://doi.org/10.3390/land13081182
Chicago/Turabian StyleTang, Minmeng, and Xinwei Li. 2024. "The Disparity of Greenness Accessibility across Major Metropolitan Areas in the United States from 2013 to 2022" Land 13, no. 8: 1182. https://doi.org/10.3390/land13081182
APA StyleTang, M., & Li, X. (2024). The Disparity of Greenness Accessibility across Major Metropolitan Areas in the United States from 2013 to 2022. Land, 13(8), 1182. https://doi.org/10.3390/land13081182
