Corticolous Lichen Communities and Their Bioindication Potential in an Urban and Peri-Urban Ecosystem in the Central Region of Colombia
Abstract
1. Introduction
2. Materials and Methods
2.1. Study Area
2.2. Sampling
2.3. Taxonomy Determination
2.4. Statistical Analysis
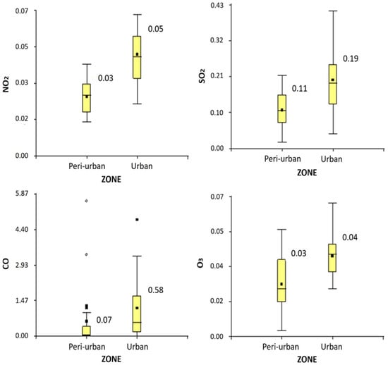
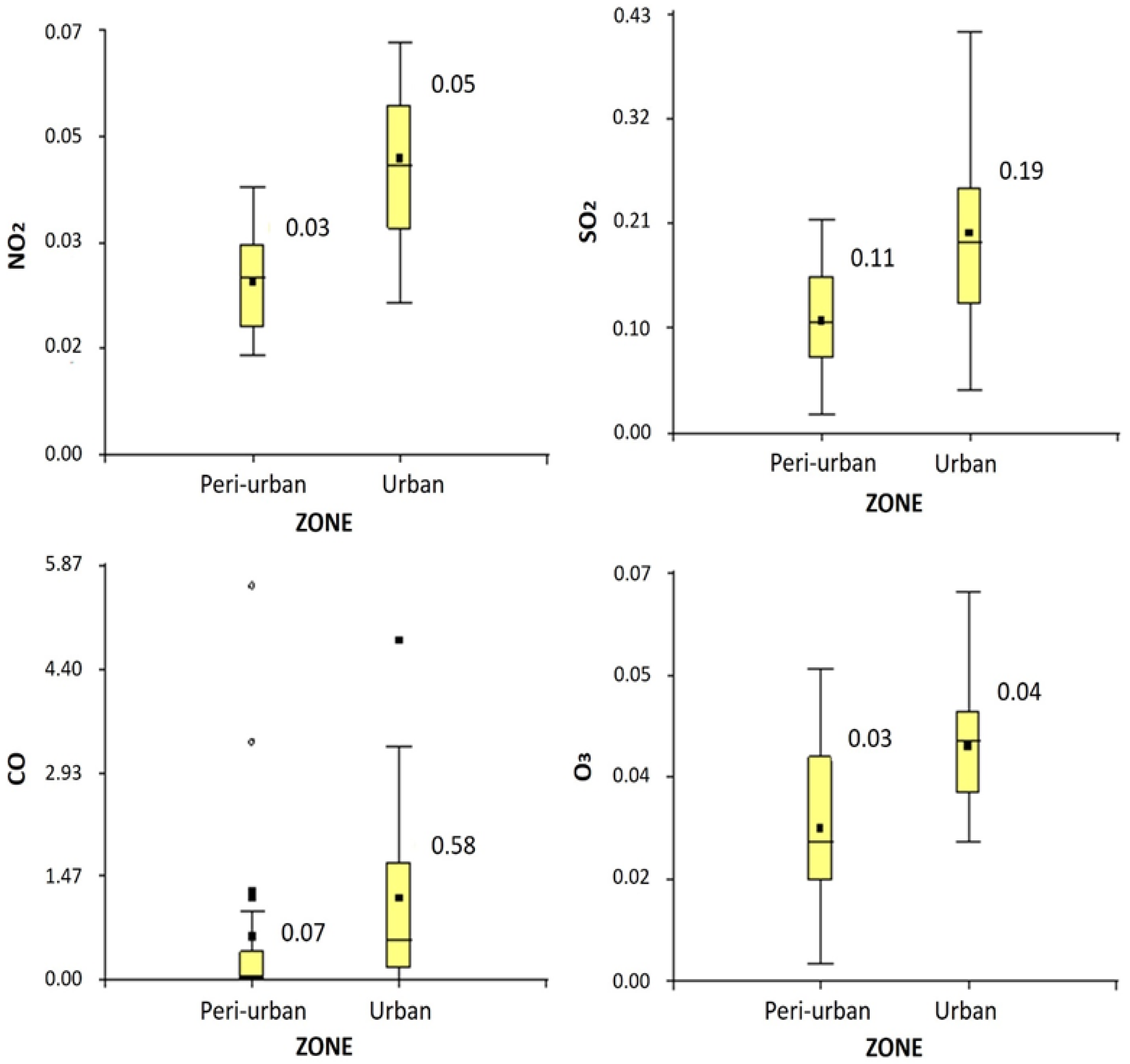
3. Results
4. Discussion
5. Conclusions
Author Contributions
Funding
Data Availability Statement
Acknowledgments
Conflicts of Interest
References
- Spribille, T.; Tuovinen, V.; Resl, P.; Vanderpool, D.; Wolinski, H.; Aime, M.C.; Schneider, K.; Stabentheiner, E.; Toome-Heller, M.; Thor, G.; et al. Basidiomycete yeasts in the cortex of ascomycete macrolichens. Science 2016, 353, 488–492. [Google Scholar] [CrossRef] [PubMed]
- Hawksworth, D.; Grube, M. Lichens redefined as complex ecosystems. New Phytol. 2020, 227, 1281–1283. [Google Scholar] [PubMed]
- Gasulla, F.; Del Campo, E.M.; Casano, L.M.; Guéra, A. Advances in understanding of desiccation tolerance of lichens and lichen-forming algae. Plants 2021, 10, 807. [Google Scholar] [CrossRef] [PubMed]
- Grimm, M.; Grube, M.; Schiefelbein, U.; Zühlke, D.; Bernhardt, J.; Riedel, K. The lichens’ microbiota, still a mystery? Front. Microbiol. 2021, 12, 623839. [Google Scholar]
- Nash, T. Lichen Biology, 2nd ed.; Cambridge University Press: Cambridge, UK, 2008; 477p. [Google Scholar]
- Chaparro, M.; Aguirre, J. Lichenized Fungi; Universidad Nacional de Colombia: Bogotá, Colombia, 2002; 220p. [Google Scholar]
- Jaramillo, M.M.; Botero, L.R. Lichen communities as bioindicators of the Aburrá Valley air quality. Gestión Ambiente 2010, 13, 97–110. [Google Scholar]
- Singh, G. Linking lichen metabolites to genes: Emerging concepts and lessons from molecular biology and metagenomics. J. Fungi 2023, 9, 160. [Google Scholar] [CrossRef] [PubMed]
- Sipman, H. The lichen zonation in the Parque Los Nevados transect. In Studies on Tropical Andean Ecosystems; van der Hammen, T., Díaz, S., Álvarez, J., Eds.; Cramer Berlin and Stuttgart: Berlin, Germany, 1989; Volume 3, pp. 461–483. [Google Scholar]
- Herrera, M.; Lücking, R.; Pérez, R.E.; Miranda, R.; Sánchez, N.; Barcenas, A.; Carrizosa, A.; Zambrano, A.; Ryan, B.; Nash, T. Biodiversity of lichens in Mexico. Rev. Mex. Biodivers. 2014, 85, S82–S99. [Google Scholar]
- Simijaca-Salcedo, D.F.; Vargas-Rojas, D.L.; Morales-Puentes, M.E. Use of non vascular plant organisms as indicators of urban air pollution (Tunja, Boyacá, Colombia). Acta Biológica Colomb. 2014, 19, 221–232. [Google Scholar]
- Díaz, D.; Soto, E.; Lücking, R.; Silverstone, P.A. Corticolous lichens as environmental indicators of natural sulphur emissions near the sulphur mine El Vinagre (Cauca, Colombia). Lichenologist 2016, 48, 147–159. [Google Scholar] [CrossRef]
- Le Blanc, F.; De Sloover, J. Relation between industrialization and the distribution and growth of epiphytic lichens and mosses in Montreal. Can. J. Bot. 1970, 48, 1486–1496. [Google Scholar]
- Méndez-Estrada, V.H.; Monge-Najera, J. The use of lichens as biomonitors to assess the state of air pollution worldwide. Biocenosis 2011, 25, 51–67. [Google Scholar]
- Llop, E.; Pinho, P.; Matos, P.; Pereira, M.J.; Branquinho, C. The use of lichen functional groups as indicators of air quality in a Mediterranean urban environment. Ecol. Indic. 2012, 13, 215–221. [Google Scholar] [CrossRef]
- Asta, J.; Erhardt, W.; Ferretti, M.; Fornasier, F.; Kirschbaum, U.; Nimis, P.L.; Purvis, O.W.; Pirintsos, S.; Scheidegger, C.; Van Haluwyn, C.; et al. European Guideline for Mapping Lichen Diversity as an Indicator of Environmental Stress; The British Lichen Society: London, UK, 2002. [Google Scholar]
- Jovan, S. Lichen Bioindication of Biodiversity, Air Quality, and Climate: Baseline Results from Monitoring in Washington, Oregon, and California; United States Department of Agriculture, Forest Service, Pacific Northwest Research Station: Portland, OR, USA, 2008. [Google Scholar]
- García, L.; Rubiano, O. Lichen communities as indicators of air quality levels in Colombia. Contam. Ambient. 1984, 8, 73–90. [Google Scholar]
- Rubiano, L.J. Lichens as indicators of contamination in the industrial complex of Betania and the Zipaquirá Thermoelectric Plant, Cundinamarca. Acta Biológica Colomb. 1988, 1, 95–125. [Google Scholar]
- Canseco, A.; Anze, R.; Franken, M. Lichen communities: Indicators of air quality in the city of La Paz, Bolivia. Acta Nova 2006, 3, 286–307. [Google Scholar]
- Hawksworth, D.L.; Iturriaga, T.; Crespo, A. Lichens as rapid bioindicators of pollution and habitat disturbances in the tropics. Rev Iberoam Micol. 2005, 22, 71–82. [Google Scholar] [PubMed]
- van Dobben, H.F.; Wolterbeek, H.T.; Wamelink, G.W.; Ter Braak, C.J. Relationship between epiphytic lichens, trace elements and gaseous atmospheric pollutants. Environ Pollut. 2001, 112, 163–169. [Google Scholar] [PubMed]
- Attanayaka, A.N.P.N.; Wijeyaratne, S. Corticolous lichen diversity, a potential indicator for monitoring air pollution in tropics. J. Natl. Sci. Found. Sri Lanka 2013, 41, 131–140. [Google Scholar]
- Jayalal, U.; Oh, S.O.; Park, J.S.; Sung, J.H.; Kim, S.H.; Hur, J.S. Evaluation of air quality using lichens in three different types of forest in Korea. For. Sci. Technol. 2016, 12, 1–8. [Google Scholar]
- Aguirre, J. Diversity and richness of lichens in the natural Andean region or Cordilleran System. In Colombia Biotic Diversity VI Richness and Diversity of Mosses and Lichens in Colombia; Rangel, J.O., Ed.; Publisher Universidad Nacional de Colombia: Bogotá, Colombia, 2008; pp. 337–382. [Google Scholar]
- Aguirre, J. Lichens of the Caribbean Region. In Colombia Biotic Diversity VI Richness and Diversity of Mosses and Lichens in Colombia; Rangel, J.O., Ed.; Publisher Universidad Nacional de Colombia: Bogotá, Colombia, 2008; pp. 383–387. [Google Scholar]
- Aguirre, J. Lichens of the Amazon Region. In Colombia Biotic Diversity VI Richness and Diversity of Mosses and Lichens in Colombia; Rangel, J.O., Ed.; Publisher Universidad Nacional de Colombia: Bogotá, Colombia, 2008; pp. 389–391. [Google Scholar]
- Aguirre, J. Lichens of the Chocó Biogeográfico. In Colombia Biotic Diversity VI Richness and Diversity of Mosses and Lichens in Colombia; Rangel, J.O., Ed.; Publisher Universidad Nacional de Colombia: Bogotá, Colombia, 2008; pp. 393–399. [Google Scholar]
- Soto, E.; Bolaños, A. Diversity of corticolous lichens in the sub-Andean forest of the Zíngara farm (Cali, Valle del Cauca). Rev. Cienc. 2010, 14, 35–44. [Google Scholar]
- Rubiano, L.J.; Chaparro, M. Delimitation of atmospheric iso-contamination areas in the Universidad Nacional de Colombia campus by analysis of bioindicators (epiphytic lichens). Acta Biológica Colomb. 2006, 11, 82–102. [Google Scholar]
- Rincón-Espitia, A.; Aguirre, J.; Lücking, R. Corticolous lichens in the Caribbean region of Colombia. Caldasia 2011, 32, 331–347. [Google Scholar]
- Soto, E.; Bolaños, A. Xylariaceae in a cloud forest of Valle del Cauca (Colombia). Rev. Acad. Colomb. Cienc. Exactas Físicas Nat. 2013, 37, 343–351. [Google Scholar] [CrossRef]
- Moncada, B.; Aguirre, J.; Lücking, R. Ecogeography of the genus Sticta (lichenized Ascomycota: Lobariaceae) in Colombia. Rev. Biol. Trop. 2014, 62, 257–272. [Google Scholar] [PubMed]
- Soto, E.; Lücking, R.; Torres, A.M. New lichen records (Family Graphidaceae) for Colombia. Biota Colomb. 2018, 18, 30–41. [Google Scholar]
- Soto, E.; Lücking, R.; Silverstone-Sopkin, P.A.; Torres, A.M. Changes in functional and taxonomic diversity and composition of corticolous lichens in an altitudinal gradient in Colombia. Cryptogam. Mycol. 2019, 40, 97–115. [Google Scholar] [CrossRef]
- Soto, E.; Díaz, D.; Montaño, J. Biogeography and richness of lichens in Colombia. Rev. Acad. Colomb. Cienc. Exactas Físicas Nat. 2021, 45, 122–135. [Google Scholar]
- Soto, E.; Castaño, A.; Granobles, J.; Aptroot, A. A new species and new records of lichens for South America and Colombia from the tropical dry forest in the middle basin of the Cauca River. Rev. Acad. Colomb. Cienc. Exactas Físicas Nat. 2021, 45, 415–420. [Google Scholar]
- Soto, E. New records and a key for species of Synarthonia (lichenized Ascomycota: Arthoniaceae) in Colombia. Rev. Acad. Colomb. Cienc. Exactas Físicas Nat. 2022, 46, 165–168. [Google Scholar] [CrossRef]
- Soto, E.; Aptroot, A.; Lücking, R. New records of lichen genera and species for Colombia. Rev. Acad. Colomb. Cienc. Exactas Físicas Nat. 2022, 46, 751–757. [Google Scholar] [CrossRef]
- Soto, E.; Aptroot, A.; Lücking, R. New species of lichen for Colombia tropical dry forest. Cryptogam. Mycol. 2023, 44, 103–107. [Google Scholar]
- Soto, E.; Lücking, R.; Bolaños, A. Phorophyte specificity and microenvironmental preferences of corticolous lichens in five phorophytes of the premontane forest of Finca Zíngara, Cali, Colombia. Rev. Biol. Trop. 2012, 60, 843–856. [Google Scholar]
- Soto, E.; Londoño, V.; Díaz, D. Epiphytes from a forest type transition zone in the Choco Biogeographic región, Valle del Cauca, Colombia. Rev. Biol. Trop. 2015, 63, 915–926. [Google Scholar] [CrossRef]
- Ramírez, N.A.; León, M.; Lücking, R. Use of lichen biotypes as bioindicators of perturbation in fragments of high Andean forest (“Encenillo” Biological Reserve, Colombia). Caldasia 2016, 38, 31–52. [Google Scholar]
- Lücking, R.; Moncada, B.; Soto-Medina, E.; Simijaca, D.; Sipman, H.J. Nomenclatural and taxonomic update to the Catálogo de Liqúenes de Colombia. Rev. Acad. Colomb. Cienc. Exactas Físicas Nat. 2021, 45, 147–189. [Google Scholar]
- Restrepo, R.; Esquivel, H.E. Taxonomic Study and Ecological Importance of the Lichens of the Alejandro von Humboldt Bota-nical Garden of the University of Tolima. Bachelor’s Thesis, Universidad del Tolima, Ibagué, Colombia, 1996. [Google Scholar]
- Esquivel, H.E.; Nieto, A. Floristic Diversity of the Upper Combeima River Basin; León Gráficas: Ibagué, Colombia, 2022; 190p. [Google Scholar]
- Rivera, M.; Sierra, E. Study of the Diversity of Lichens and Liverworts in the Páramo of Anaime—Cajamarca Tolima. Bachelor’s Thesis, Universidad del Tolima, Ibagué, Colombia, 2015. [Google Scholar]
- Zárate-Arias, N.; Moreno-Palacios, M.; Torres-Benítez, A. Diversity, phorophyte specificity and microenvironmental preferences of corticolous lichens in a sub-Andean forest in the Centro region of Colombia. Rev. Acad. Colomb. Cienc. Exactas Físicas Nat. 2019, 43, 737–745. [Google Scholar]
- Barreto, D.; Esquivel, E. Lichen diversity, distribution and richness in green areas of Ibagué city. Boletín Científico Cent. Mus. 2020, 24, 25–39. [Google Scholar]
- Holdridge, L. Ecology Based on Life Zones; Centro Agronómico Tropical de Investigación y Enseñanza (CATIE): Provincia de Cartago, Costa Rica, 1979. [Google Scholar]
- Alcaldía de Ibagué. Land Management Plan of the Municipality of Ibagué; Departamento Administrativo de Planeación: Ibagué, Colombia, 2014. [Google Scholar]
- Méndez, O.I.; Fournier, L.A. Lichens as indicators of atmospheric pollution in the metropolitan area of San José, Costa Rica. Rev. Biol. Trop. 1980, 28, 31–39. [Google Scholar]
- Sipman, H. Lichen Determination Keys. Botanisher Garten und Botanisches Museum, Berlin. Available online: http://www.bgbm.org/Sipman/keys/default.htm (accessed on 30 June 2022).
- Campos, L.V.; Uribe, J.; Aguirre, J. Santa Maria, Lichens, Liverworts and Mosses; Universidad Nacional de Colombia: Bogotá, Colombia, 2008; 146p. [Google Scholar]
- Moberg, R. The lichen genus Physcia in Central and South America. Nord. J. Bot. 1990, 10, 319–342. [Google Scholar] [CrossRef]
- Käffer, M.I.; de Azevedo Martins, S.M.; Alves, C.; Camejo Pereira, V.; Fachel, J.; Ferrão Vargas, V.M. Corticolous lichens as environmental indicators in urban areas in southern Brazil. Ecol. Indic. 2011, 11, 1319–1332. [Google Scholar]
- Soto, E.; Díaz, D.; David, J. Catalog of lichens of the city of Cali-Colombia. Rev. Cienc. 2021, 24, 1–27. [Google Scholar]
- Soto, E.; Díaz, D.; Zuluaga, A. List of lichens of Valle del Cauca (Colombia). Rev. Cienc. 2023, 26, 1–42. [Google Scholar]
- Colwell, R.K. EstimateS 8.2.0. Statistical Estimation of Species Richness and Shared Species from Samples. User’s Guide and Application; Department of Ecology and Evolutionary Biology, University of Connecticut: Storrs, CT, USA, 2009. [Google Scholar]
- McCune, B.; Mefford, M. PC-ORD. Multivariate Analysis of Ecological Data, Version 5; MjM Software Design: Gleneden Beach, OR, USA, 2006. [Google Scholar]
- Casanoves, F.; Balzarini, M.G.; Di Rienzo, J.A.; González, L.; Tablada, E.; Robledo, C.W. InfoStat; Brujas, Universidad Nacional de Córdoba: Córdoba, Argentina, 2012. [Google Scholar]
- Benavides, J. Lichens and Bryophytes of the Metropolitan Area of Bucaramanga. Bachelor’s Thesis, Universidad Industrial de Santander, Bucaramanga, Colombia, 2004. [Google Scholar]
- Bernal, R.; Gradstein, R.S.; Celis, M. Catalog of Plants and Lichens of Colombia. Instituto de Ciencias Naturales, Universidad Nacional de Colombia, Colombia. Available online: https://www.gbif.org/es/dataset/5c0b1470-8884-4914-ae76-70a7c81d6d08 (accessed on 12 December 2022).
- Pinzón, M.; Linares, E.L. Diversity of lichens and bryophytes in the subxerofitic region of La Herrera, Mosquera (Cundinamarca-Colombia). I. Richness and structure. Caldasia 2006, 28, 243–257. [Google Scholar]
- Cáceres, M.; Lücking, R.; Rambold, G. Phorophyte specificity and environmental parameters versus stochasticity as determinants for species composition of corticolous crustose lichen communities in the Atlantic rain forest of northeastern Brazil. Mycol. Prog. 2007, 6, 117–136. [Google Scholar] [CrossRef]
- Rosabal, D.; Burgaz, A.R.; Reyes, O.J. Substrate preferences and phorophyte specificity of corticolous lichens on five tree species of the montane rainforest of Gran Piedra, Santiago de Cuba. Bryologist 2013, 116, 113–121. [Google Scholar] [CrossRef]
- Quispe, K. Lichens as bioindicators of air quality in the city of Tingo Maria, Peru. Investig. Amaz. 2013, 3, 99–104. [Google Scholar]
- Koch, N.M.; Branquinho, C.; Matos, P.; Pinho, P.; Lucheta, F.; Martins, S.M.; Vargas, V.M. The application of lichens as ecological surrogates of air pollution in the subtropics: A case study in South Brazil. Environ. Sci. Pollut. Res. Int. 2016, 23, 20819–20834. [Google Scholar] [CrossRef]
- Yatawara, M.; Dayananda, N. Use of corticolous lichens for the assessment of ambient air quality along rural-urban ecosystems of tropics: A study in Sri Lanka. Environ. Monit. Assess. 2019, 191, 179. [Google Scholar] [CrossRef]
- Herzig, R.; Schindler, C.; Urech, M.; Rihm, B.; Lötscher, H.; Thomann, G. Recalibration and validation of the Swiss lichen bioindication methods for air quality assessment. Environ. Sci. Pollut. Res. Int. 2020, 27, 28795–28810. [Google Scholar] [CrossRef]
- Sebald, V.; Goss, A.; Ramm, E.; Gerasimova, J.V.; Werth, S. NO2 air pollution drives species composition, but tree traits drive species diversity of urban epiphytic lichen communities. Environ. Pollut. 2022, 308, 119678. [Google Scholar] [CrossRef]
- Delves, J.; Lewis, J.E.J.; Ali, N.; Asad, S.A.; Chatterjee, S.; Crittenden, P.D.; Jones, M.; Kiran, A.; Prasad Pandey, B.; Reay, D.; et al. Lichens as spatially transferable bioindicators for monitoring nitrogen pollution. Environ. Pollut. 2023, 328, 121575. [Google Scholar] [CrossRef] [PubMed]
- Lawal, O.; Ogugbue, C.J.; Imam, T.S. Mining association rules between lichens and air quality to support urban air quality monitoring in Nigeria. Heliyon 2023, 9, e13073. [Google Scholar] [CrossRef] [PubMed]
- Ellegård, H.M.; Steen, E.; Nord-Larsen, T.; Rasmussen, H.N. Deciduous trees as lichen phorophytes: Biodiversity and colonization patterns under common garden conditions. Lichenologist 2020, 52, 221–232. [Google Scholar] [CrossRef]
- Barrero, E.; Pérez, S. Lichens of the Integral Natural Reserve of Muniellos, Asturias; Consejería de Medio Ambiente, Ordenación del Territorio e Infraestructuras del Principado de Asturias: Asturias, Spain, 2003. [Google Scholar]
- Weerakoon, G.; Wolseley, P.; Will-Wolf, S.; Wijeyaratne, C. Corticolous lichen species as indicators of disturbed/undisturbed vegetation types in the central mountain of Sri Lanka. Lichenologist 2020, 52, 233–245. [Google Scholar] [CrossRef]
- Rasmussen, H.N.; Nord-Larsen, T.; Steen, E.; Hoareau, G. Estimation of life history in corticolous lichens by zonation. Lichenologist 2018, 50, 697–704. [Google Scholar] [CrossRef]








| Family | Taxa | Zone | |||
|---|---|---|---|---|---|
| P (cm2) | % | U (cm2) | % | ||
| Arthoniaceae | Crypthotecia sp. | 6 | 0.02 | 41 | 0.16 |
| Herpothallon sp. | 29 | 0.12 | 0 | 0 | |
| Candelariaceae | Candelaria concolor (Dicks.) Stein | 973 | 3.97 | 4704 | 18.19 |
| Candelaria sp. | 1545 | 6.30 | 2868 | 11.09 | |
| Chrysothricaceae | Chrysothrix chlorina (Ach.) J.R. Laundon | 0 | 0 | 90 | 0.35 |
| Chrysothrix sp. | 67 | 0.27 | 0 | 0 | |
| Collemataceae | Leptogium isidiosellum (Riddle) Sierk | 127 | 0.52 | 85 | 0.33 |
| Leptogium sp. | 34 | 0.14 | 304 | 1.18 | |
| Graphidaceae | Fissurina sp. | 16 | 0.07 | 0 | 0 |
| Haematommataceae | Haematomma leprarioides (Vain.) Vain. | 0 | 0 | 100 | 0.39 |
| Lecanoraceae | Lecanora alba Lumbsch | 40 | 0.16 | 47 | 0.18 |
| Lecanora helva Stizenb. | 400 | 1.63 | 6 | 0.02 | |
| Lecanora tropica Zahlbr. | 4 | 0.02 | 1 | <0.01 | |
| Parmeliaceae | Parmotrema sp. | 4 | 0.02 | 0 | 0 |
| Canoparmelia sp. | 4273 | 17.42 | 1369 | 5.30 | |
| Pertusariaceae | Pertusaria sp. | 176 | 0.72 | 49 | 0.19 |
| Physciaceae | Phaeophyscia pusilloides (Zahlbr.) Essl. | 0 | 0 | 6 | 0.02 |
| Physcia alba (Fée) Müll.Arg. | 410 | 1.67 | 40 | 0.15 | |
| Physcia krogiae Moberg | 0 | 0 | 11 | 0.04 | |
| Physcia lacinulata Müll.Arg. | 5184 | 21.14 | 13,227 | 51.16 | |
| Physcia manuelii Moberg | 15 | 0.06 | 220 | 0.85 | |
| Physcia sp.1 | 0 | 0 | 3 | 0.01 | |
| Physcia sp.2 | 0 | 0 | 112 | 0.43 | |
| Pyxine cocoes (Sw.) Nyl. | 382 | 1.56 | 191 | 0.74 | |
| Pyxine pyxinoides (Müll.Arg.) Kalb | 10,030 | 40.90 | 1792 | 6.93 | |
| Pyxine sp. | 530 | 2.16 | 509 | 1.97 | |
| Porinaceae | Porina sp. | 144 | 0.59 | 76 | 0.29 |
| Ramalinaceae | Ramalina celastri (Spreng.) Krog & Swinscow | 136 | 0.55 | 3 | 0.01 |
| Thelotremataceae | Chapsa albida (Nyl.) Lücking & Sipman | 1 | <0.01 | 0 | 0 |
| Total | 24,526 | 100 | 25,854 | 100 | |
| Family | Coverage (cm2) | Relative Coverage (%) |
|---|---|---|
| Physciaceae | 32,662 | 64.8 |
| Candelariaceae | 10,090 | 20.0 |
| Parmeliaceae | 5646 | 11.2 |
| Collemataceae | 550 | 1.1 |
| Lecanoraceae | 498 | 1.0 |
| Pertusariaceae | 225 | 0.4 |
| Porinaceae | 220 | 0.4 |
| Chrysothricaceae | 157 | 0.3 |
| Ramalinaceae | 139 | 0.3 |
| Haematommataceae | 100 | 0.2 |
| Arthoniaceae | 76 | 0.2 |
| Graphidaceae | 16 | <0.1 |
| Thelotremataceae | 1 | <0.1 |
| Total | 50,380 | 100 |
| Parameter | Jacaranda caucana | Mangifera indica | Senna spectabilis | Tabebuia rosea |
|---|---|---|---|---|
| Richness | 18 | 17 | 12 | 17 |
| Coverage | 10886 | 11,451 | 12,768 | 15,275 |
| Dominance_D | 0.187 | 0.199 | 0.293 | 0.301 |
| Simpson_1-D | 0.813 | 0.801 | 0.707 | 0.699 |
| Shannon_H | 1.894 | 1.96 | 1.558 | 1.545 |
| Evenness_e^H/S | 0.369 | 0.418 | 0.396 | 0.276 |
| Source | Observed F | Mean F | SD | P |
|---|---|---|---|---|
| Phorophyte | 7.31 | 1.00 | 0.00 | 0.00 * |
| Zone | 48.67 | 1.01 | 0.00 | 0.00 * |
| Interaction | 2.11 | 1.00 | 0.01 | 0.02 |
| Comparison | t | P | ||
| JC | vs. | MI | 15,866.00 | 0.02 |
| JC | vs. | SS | 18,651.00 | 0.01 * |
| JC | vs. | TR | 27,707.00 | 0.00 * |
| MI | vs. | SS | 26,917.00 | 0.00 * |
| MI | vs. | TR | 35,092.00 | 0.00 * |
| TR | vs. | SS | 14,432.00 | 0.08 |
| Taxa | Group | (IV) Observed Indicator | Mean from Randomized Groups | p | Concept |
|---|---|---|---|---|---|
| Physcia lacinulata | Tabebuia rosea | 35.1 | 21.4 | 0.0002 | Indicator |
| Physcia manuelii | Mangifera indica | 11.9 | 3.6 | 0.0006 | Indicator |
| Parmotrema sp. | Tabebuia rosea | 33.1 | 18.8 | 0.001 | Indicator |
| Pyxine pyxinoides | Mangifera indica | 24.7 | 18.3 | 0.018 | Indicator |
| Canoparmelia sp. | Mangifera indica | 24.9 | 19.3 | 0.0364 | Indicator |
| Leptogium sp. | Mangifera indica | 6.8 | 3.4 | 0.0562 | Marginally indicative |
| Lecanora helva | Senna spectabilis | 6 | 2.8 | 0.0586 | Marginally indicative |
| Candelaria concolor | Tabebuia rosea | 28.5 | 23.1 | 0.064 | Marginally indicative |
| Physcia alba | Jacaranda caucana | 6.8 | 3.8 | 0.0732 | Marginally indicative |
| Canoparmelia sp. | Peri-urban | 60.6 | 32.4 | 0.0002 | Indicator |
| Pyxine pyxinoides | Peri-urban | 70.4 | 30.9 | 0.0002 | Indicator |
| Ramalina celastri | Peri-urban | 7.8 | 3.8 | 0.0094 | Indicator |
| Physcia lacinulata | Urban | 66.1 | 37 | 0.0002 | Indicator |
| Candelaria concolor | Urban | 67.9 | 38.4 | 0.0002 | Indicator |
| Physcia manuelii | Urban | 7.5 | 3.7 | 0.0136 | Indicator |
| Parmotrema sp. | Urban | 39 | 30.7 | 0.018 | Indicator |
Disclaimer/Publisher’s Note: The statements, opinions and data contained in all publications are solely those of the individual author(s) and contributor(s) and not of MDPI and/or the editor(s). MDPI and/or the editor(s) disclaim responsibility for any injury to people or property resulting from any ideas, methods, instructions or products referred to in the content. |
© 2024 by the authors. Licensee MDPI, Basel, Switzerland. This article is an open access article distributed under the terms and conditions of the Creative Commons Attribution (CC BY) license (https://creativecommons.org/licenses/by/4.0/).
Share and Cite
Moreno-Palacios, M.; Torres-Benítez, A.; Soto-Medina, E.; Sánchez, M.; Divakar, P.K.; Pereira, I.; Gómez-Serranillos, M.P. Corticolous Lichen Communities and Their Bioindication Potential in an Urban and Peri-Urban Ecosystem in the Central Region of Colombia. Land 2024, 13, 932. https://doi.org/10.3390/land13070932
Moreno-Palacios M, Torres-Benítez A, Soto-Medina E, Sánchez M, Divakar PK, Pereira I, Gómez-Serranillos MP. Corticolous Lichen Communities and Their Bioindication Potential in an Urban and Peri-Urban Ecosystem in the Central Region of Colombia. Land. 2024; 13(7):932. https://doi.org/10.3390/land13070932
Chicago/Turabian StyleMoreno-Palacios, Miguel, Alfredo Torres-Benítez, Edier Soto-Medina, Marta Sánchez, Pradeep K. Divakar, Iris Pereira, and María Pilar Gómez-Serranillos. 2024. "Corticolous Lichen Communities and Their Bioindication Potential in an Urban and Peri-Urban Ecosystem in the Central Region of Colombia" Land 13, no. 7: 932. https://doi.org/10.3390/land13070932
APA StyleMoreno-Palacios, M., Torres-Benítez, A., Soto-Medina, E., Sánchez, M., Divakar, P. K., Pereira, I., & Gómez-Serranillos, M. P. (2024). Corticolous Lichen Communities and Their Bioindication Potential in an Urban and Peri-Urban Ecosystem in the Central Region of Colombia. Land, 13(7), 932. https://doi.org/10.3390/land13070932

