Relative Pollen Productivity Estimates for Mediterranean Plant Taxa: A New Study Region in Turkey
Abstract
1. Introduction
2. Materials and Methods
2.1. The Study Area
2.2. Site Selection
2.3. Pollen Data
2.4. Vegetation Data
2.5. ERV Model Runs
3. Results
3.1. Pollen Assemblages
3.2. Vegetation Data
3.3. Relevant Source Area of Pollen
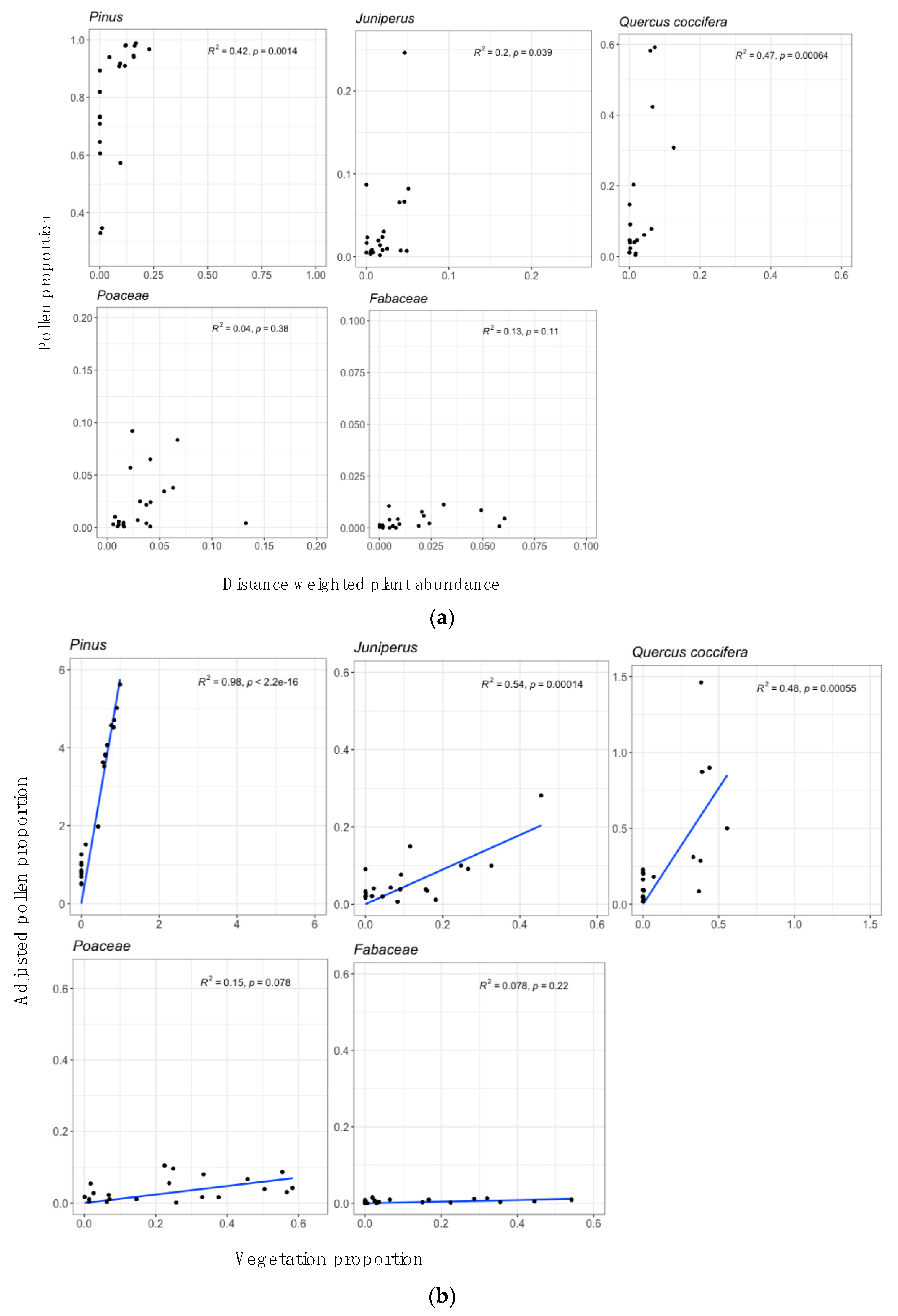
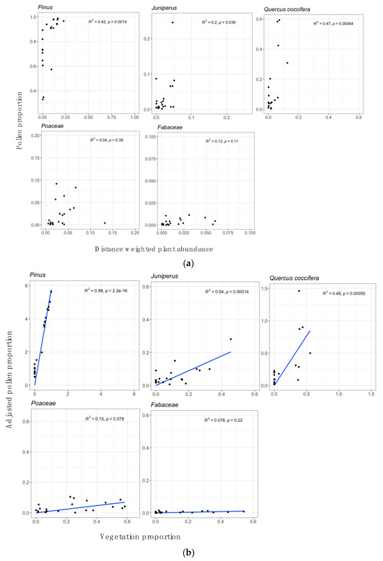
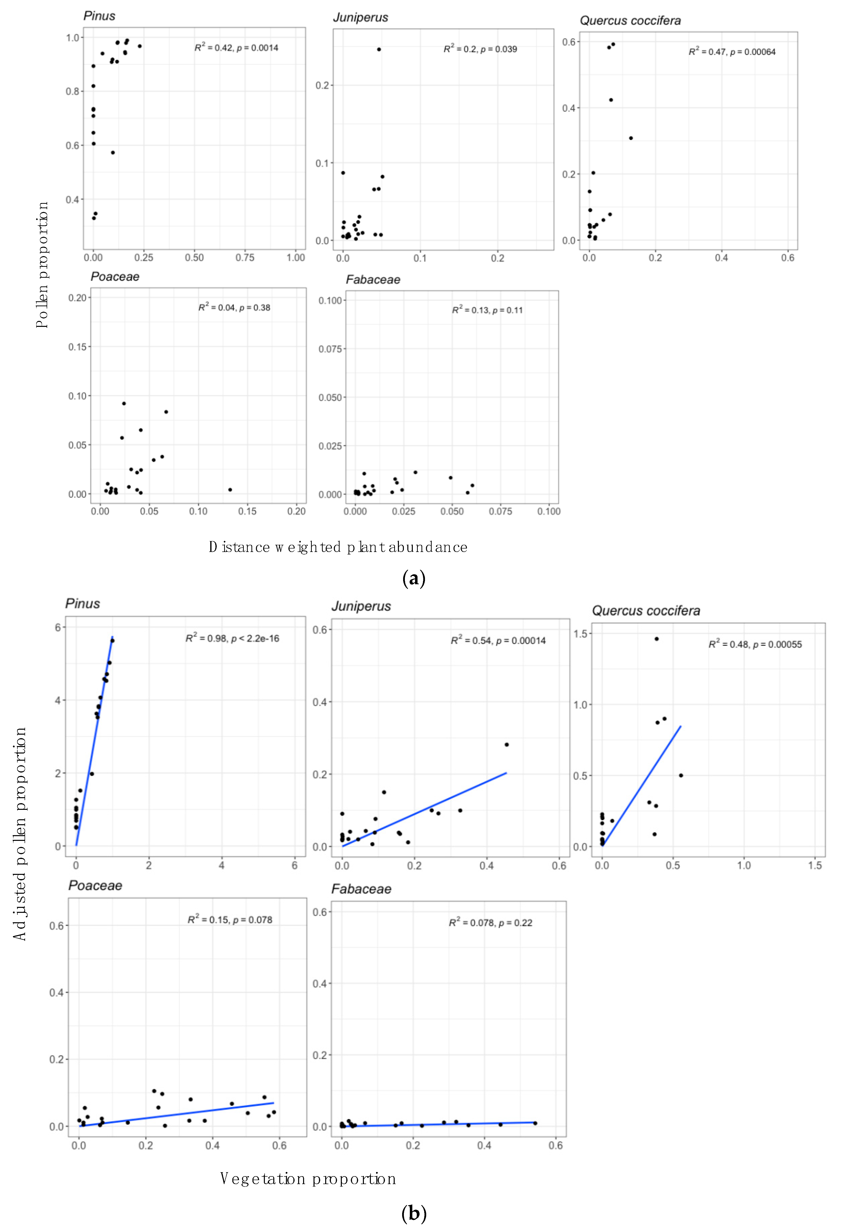
3.4. Pollen–Vegetation Relationships
3.5. Relative Pollen Productivity Estimates
4. Discussion
4.1. Challenges of Fieldwork in the Mediterranean Region
4.2. Reliable RPPs for Southwestern Turkey
4.3. Relevant Source Area of Pollen (RSAP)
4.4. Relative Pollen Productivity (RPP) Estimates
5. Conclusions
Author Contributions
Funding
Data Availability Statement
Acknowledgments
Conflicts of Interest
References
- Woodbridge, J.; Roberts, C.N.; Palmisano, A.; Bevan, A.; Shennan, S.; Fyfe, R.; Eastwood, W.J.; Izdebski, A.; Çakırlar, C.; Woldring, H.; et al. Pollen-Inferred Regional Vegetation Patterns and Demographic Change in Southern Anatolia through the Holocene. Holocene 2019, 29, 728–741. [Google Scholar] [CrossRef]
- Bottema, S.; Woldring, H. Late Quaternary Vegetation and Climate of Southwestern Turkey Part II. Palaeohistoria 1984, 26, 123–149. [Google Scholar]
- van Zeist, W.; Woldring, H.; Stapert, D. Late Quaternary Vegetation and Climate of Southwestern Turkey. Palaeohistoria 1975, 17, 55–143. [Google Scholar]
- Eastwood, W.J.; Roberts, N.; Lamb, H.F. Palaeoecological and Archaeological Evidence for Human Occupance in Southwest Turkey: The Beyşehir Occupation Phase. Anatollian Stududies 1998, 48, 69–86. [Google Scholar] [CrossRef]
- Kaniewski, D.; De Laet, V.; Paulissen, E.; Waelkens, M. Long-term Effects of Human Impact on Mountainous Ecosystems, Western Taurus Mountains, Turkey. J. Biogeogr. 2007, 34, 1975–1997. [Google Scholar] [CrossRef]
- Kaniewski, D.; Paulissen, E.; De Laet, V.; Dossche, K.; Waelkens, M. A High-Resolution Late Holocene Landscape Ecological History Inferred from an Intramontane Basin in the Western Taurus Mountains, Turkey. Quat. Sci. Rev. 2007, 26, 2201–2218. [Google Scholar] [CrossRef]
- Kaniewski, D.; Paulissen, E.; De Laet, V.; Waelkens, M. Late Holocene Fire Impact and Post-Fire Regeneration from the Bereket Basin, Taurus Mountains, Southwest Turkey. Quat. Res. 2008, 70, 228–239. [Google Scholar] [CrossRef]
- Karlıoğlu Kılıç, N.; Şenkul, Ç.; Memiş, T.; Doğan, M. Salurtepe Dağı (Elmalı-Antalya) Ardıç Ormanında Güncel Polen Dağılımının İncelenmesi. J. Geogr. 2019, 8, 11–22. [Google Scholar] [CrossRef]
- Şenkul, Ç. Abies cilicica Ormanının (Karlık Dağı/Burdur-Bucak) Güncel Polen Dağılımı: Polen Tuzakları, Kara Yosunu Örnekleri ve Yüzey Sediman Örneği Arasındaki İlişkiler. Süleyman Demirel Üniversitesi Fen-Edeb. Fakültesi Sos. Bilim. Dergisi. 2018, 1, 205–226. [Google Scholar]
- Şenkul, Ç.; Karlioğlu Kiliç, N.; Doğan, M.; Eastwood, W.J. Modern Pollen Distribution of the Teke Peninsula Forests: The Case of the Ördübek Highland. Eurasian J. For. Sci. 2018, 6, 58–75. [Google Scholar] [CrossRef]
- Vermoere, M.; Vanhecke, L.; Waelkens, M.; Smets, E. Modern Pollen Studies in the Territory of Sagalassos (Southwest Turkey) and Their Use in the Interpretation of a Late Holocene Pollen Diagram. Rev. Palaeobot. Palynol. 2001, 114, 29–56. [Google Scholar] [CrossRef]
- Woodbridge, J.; Roberts, N.; Fyfe, R. Pan-Mediterranean Holocene Vegetation and Land-cover Dynamics from Synthesized Pollen Data. J. Biogeogr. 2018, 45, 2159–2174. [Google Scholar] [CrossRef]
- Smith, T.J. Highland Gods: Rock-Cut Votive Reliefs from the Pisidian Survey. Anatol. Stud. 2011, 61, 133–150. [Google Scholar] [CrossRef]
- Eastwood, W.J.; Roberts, N.; Lamb, H.F.; Tibby, J.C. Holocene Environmental Change in Southwest Turkey: A Palaeoecological Record of Lake and Catchment-Related Changes. Quat. Sci. Rev. 1999, 18, 671–695. [Google Scholar] [CrossRef]
- Prentice, I.C.; Webb, T. Pollen Percentages, Tree Abundances and the Fagerlind Effect. J. Quat. Sci. 1986, 1, 35–43. [Google Scholar] [CrossRef]
- Sugita, S. Theory of Quantitative Reconstruction of Vegetation I: Pollen from Large Sites REVEALS Regional Vegetation Composition. Holocene 2007, 17, 229–241. [Google Scholar] [CrossRef]
- Sugita, S. Theory of Quantitative Reconstruction of Vegetation II: All You Need Is LOVE. Holocene 2007, 17, 243–257. [Google Scholar] [CrossRef]
- Sugita, S. Pollen Representation of Vegetation in Quaternary Sediments: Theory and Method in Patchy Vegetation. J. Ecol. 1994, 82, 881. [Google Scholar] [CrossRef]
- Gaillard, M.J.; Sugita, S.; Mazier, F.; Trondman, A.K.; Broström, A.; Hickler, T.; Kaplan, J.O.; Kjellström, E.; Kokfelt, U.; Kuneš, P.; et al. Holocene Land-Cover Reconstructions for Studies on Land Cover-Climate Feedbacks. Clim. Past 2010, 6, 483–499. [Google Scholar] [CrossRef]
- Marquer, L.; Gaillard, M.J.; Sugita, S.; Trondman, A.K.; Mazier, F.; Nielsen, A.B.; Fyfe, R.M.; Odgaard, B.V.; Alenius, T.; Birks, H.J.B.; et al. Holocene Changes in Vegetation Composition in Northern Europe: Why Quantitative Pollen-Based Vegetation Reconstructions Matter. Quat. Sci. Rev. 2014, 90, 199–216. [Google Scholar] [CrossRef]
- Trondman, A.K.; Gaillard, M.J.; Mazier, F.; Sugita, S.; Fyfe, R.; Nielsen, A.B.; Twiddle, C.; Barratt, P.; Birks, H.J.B.; Bjune, A.E.; et al. Pollen-Based Quantitative Reconstructions of Holocene Regional Vegetation Cover (Plant-Functional Types and Land-Cover Types) in Europe Suitable for Climate Modelling. Glob. Chang. Biol. 2015, 21, 676–697. [Google Scholar] [CrossRef]
- Antoine, E.; Marquer, L.; Muigg, B.; Tegel, W.; Bisson, U.; Bolliger, M.; Herzig, F.; Heussner, K.-U.; Hofmann, J.; Kontic, R.; et al. Legacy of Last Millennium Timber Use on Plant Cover in Central Europe: Insights from Tree Rings and Pollen. Sci. Total Environ. 2024, 922, 171157. [Google Scholar] [CrossRef] [PubMed]
- Githumbi, E.; Fyfe, R.; Gaillard, M.-J.; Trondman, A.-K.; Mazier, F.; Nielsen, A.-B.; Poska, A.; Sugita, S.; Woodbridge, J.; Azuara, J.; et al. European Pollen-Based REVEALS Land-Cover Reconstructions for the Holocene: Methodology, Mapping and Potentials. Earth Syst. Sci. Data 2022, 14, 1581–1619. [Google Scholar] [CrossRef]
- Serge, M.A.; Mazier, F.; Fyfe, R.; Gaillard, M.J.; Klein, T.; Lagnoux, A.; Galop, D.; Githumbi, E.; Mindrescu, M.; Nielsen, A.B.; et al. Testing the Effect of Relative Pollen Productivity on the REVEALS Model: A Validated Reconstruction of Europe-Wide Holocene Vegetation. Land 2023, 12, 986. [Google Scholar] [CrossRef]
- Grindean, R.; Nielsen, A.B.; Tanţău, I.; Feurdean, A. Relative Pollen Productivity Estimates in the Forest Steppe Landscape of Southeastern Romania. Rev. Palaeobot. Palynol. 2019, 264, 54–63. [Google Scholar] [CrossRef]
- Paul Ozenda Sur Les Étages de Végétation Dans Les Montagnes Du Bassin Méditerranéen. Available online: http://ecologie-alpine.ujf-grenoble.fr/item/95/ (accessed on 6 December 2023).
- Atalay, I.; Efe, R.; Öztürk, M. Effects of Topography and Climate on the Ecology of Taurus Mountains in the Mediterranean Region of Turkey. Procedia Soc. Behav. Sci. 2014, 120, 142–156. [Google Scholar] [CrossRef]
- Mazier, F.; Gaillard, M.-J.; Kuneš, P.; Sugita, S.; Trondman, A.-K.; Broström, A. Testing the Effect of Site Selection and Parameter Setting on REVEALS-Model Estimates of Plant Abundance Using the Czech Quaternary Palynological Database. Rev. Palaeobot. Palynol. 2012, 187, 38–49. [Google Scholar] [CrossRef]
- Broström, A.; Nielsen, A.B.; Gaillard, M.-J.; Hjelle, K.; Mazier, F.; Binney, H.; Bunting, J.; Fyfe, R.; Meltsov, V.; Poska, A.; et al. Pollen Productivity Estimates of Key European Plant Taxa for Quantitative Reconstruction of Past Vegetation: A Review. Veg. Hist. Archaeobotany 2008, 17, 461–478. [Google Scholar] [CrossRef]
- Bunting, M.J.; Hjelle, K.L. Effect of Vegetation Data Collection Strategies on Estimates of Relevant Source Area of Pollen (RSAP) and Relative Pollen Productivity Estimates (Relative PPE) for Non-Arboreal Taxa. Veg. Hist. Archaeobotany 2010, 19, 365–374. [Google Scholar] [CrossRef]
- Atalay, I. Vegetation BT—The Soils of Turkey; Kapur, S., Akça, E., Günal, H., Eds.; Springer International Publishing: Cham, Switzerland, 2018; pp. 15–24. ISBN 978-3-319-64392-2. [Google Scholar]
- Atalay, I. Vegetation Formations of Turkey. Trav. Inst. Geogr. Reims 1986, 65–66, 17–30. [Google Scholar] [CrossRef]
- Özçelik, H.; Çinbilgel, İ.; Belkıs, M.; Ahmet, K.; Tavuç, İ.; Bebekli, Ö. Burdur Ili Karasal ve Iç Su Ekosistem Çeşitliliği, Koruma ve Izleme Çalışmaları. Süleyman Demirel Üniversitesi Fen Edeb. Fakültesi Fen Derg. 2014, 9, 12–43. [Google Scholar]
- Ketenoğlu, A.; Vural, M.; Kurt, L.; Körüklü, S. Vejetasyon. In Resimli Türkiye Florası; Güner, A., ve Ekim, T., Vakfi, A.N.G., Dernegi, F.A., Eds.; Turkiye Is Bankasi Kultur Yayinlari: Istanbul, Turkey, 2014; Volume 1, pp. 172–182. ISBN 978-605-332-220-7. [Google Scholar]
- Atalay, I.; Altunbaş, S.; Khan, A.A.; Coşkun, M. The Mountain Ecology of the Taurus Mountains and Its Effects on Nomadism. In Proceedings of the International Geography Symposium on the 30th Anniversary of TUCAUM, Ankara, Turkey, 3–6 October 2018; pp. 623–640. [Google Scholar]
- Bunting, M.J.; Farrell, M.; Broström, A.; Hjelle, K.L.; Mazier, F.; Middleton, R.; Nielsen, A.B.; Rushton, E.; Shaw, H.; Twiddle, C.L. Palynological Perspectives on Vegetation Survey: A Critical Step for Model-Based Reconstruction of Quaternary Land Cover. Quat. Sci. Rev. 2013, 82, 41–55. [Google Scholar] [CrossRef]
- Bradshaw, R.H.W. Modern Pollen-Representation Factors for Woods in South-East England. J. Ecol. 1981, 69, 45. [Google Scholar] [CrossRef]
- Räsänen, S.; Hicks, S.; Odgaard, B.V. Pollen Deposition in Mosses and in a Modified ‘Tauber Trap’ from Hailuoto, Finland: What Exactly Do the Mosses Record? Rev. Palaeobot. Palynol. 2004, 129, 103–116. [Google Scholar] [CrossRef]
- Farrell, M.; Bunting, M.J.; Middleton, R. Replicability of Data Collected for Empirical Estimation of Relative Pollen Productivity. Rev. Palaeobot. Palynol. 2016, 232, 1–13. [Google Scholar] [CrossRef][Green Version]
- Faegri, K.; Iversen, J. Textbook of Pollen Analysis. Kew Bull. 1976, 31, 192. [Google Scholar] [CrossRef]
- Moore, P.D.; Webb, J.A.C.M. Pollen Analysis; Blackwell: London, UK, 1991; pp. 1–216. [Google Scholar]
- Reille, M. Pollen et Spores d’Europe et d’Afrique Du Nord. France: Laboratoire de Botanique Historique et Palynologie, 2nd ed.; Boite 451: Marseille, France, 1999; pp. 1–535. [Google Scholar]
- Parsons, R.W.; Prentice, I.C. Statistical Approaches to R-Values and the Pollen—Vegetation Relationship. Rev. Palaeobot. Palynol. 1981, 32, 127–152. [Google Scholar] [CrossRef]
- Prentice, I.C. Pollen Representation, Source Area, and Basin Size: Toward a Unified Theory of Pollen Analysis. Quat. Res. 1985, 23, 76–86. [Google Scholar] [CrossRef]
- Kuparinen, A.; Markkanen, T.; Riikonen, H.; Vesala, T. Modeling Air-Mediated Dispersal of Spores, Pollen and Seeds in Forested Areas. Ecol. Model. 2007, 208, 177–188. [Google Scholar] [CrossRef]
- Borrell, J.S. Rapid Assessment Protocol for Pollen Settling Velocity: Implications for Habitat Fragmentation. Biosci. Horiz. 2012, 5, hzs002. [Google Scholar] [CrossRef]
- Gregory, P.H. The Microbiology of the Atmosphere; Leonard Hill: Aylesbury, UK, 1973. [Google Scholar]
- Li, F.; Gaillard, M.J.; Sugita, S.; Mazier, F.; Xu, Q.; Zhou, Z.; Zhang, Y.; Li, Y.; Laffly, D. Relative Pollen Productivity Estimates for Major Plant Taxa of Cultural Landscapes in Central Eastern China. Veg. Hist. Archaeobotany 2017, 26, 587–605. [Google Scholar] [CrossRef]
- Mazier, F.; Broström, A.; Gaillard, M.J.; Sugita, S.; Vittoz, P.; Buttler, A. Pollen Productivity Estimates and Relevant Source Area of Pollen for Selected Plant Taxa in a Pasture Woodland Landscape of the Jura Mountains (Switzerland). Veg. Hist. Archaeobotany 2008, 17, 479–495. [Google Scholar] [CrossRef]
- Bunting, M.J.; Schofield, J.E.; Edwards, K.J. Estimates of Relative Pollen Productivity (RPP) for Selected Taxa from Southern Greenland: A Pragmatic Solution. Rev. Palaeobot. Palynol. 2013, 190, 66–74. [Google Scholar] [CrossRef]
- Shumilovskikh, L.S.; Abdulmanova, I.F.; Efimik, E.G. Does Season Matter for Moss Surface Sample Collection? A Case Study from Kungur Forest-Steppe, Pre-Urals, Russia. Palynology 2021, 45, 191–199. [Google Scholar] [CrossRef]
- Vermoere, M.; Vanhecke, L.; Waelkens, M.; Smets, E. A Comparison between Modern Pollen Spectra of Moss Cushions and Cundill Pollen Traps: Implications for the Interpretation of Fossil Pollen Data from Southwest Turkey. Grana 2000, 39, 146–158. [Google Scholar] [CrossRef][Green Version]
- Baker, A.G.; Zimny, M.; Keczyński, A.; Bhagwat, S.A.; Willis, K.J.; Latałowa, M. Pollen Productivity Estimates from Old-Growth Forest Strongly Differ from Those Obtained in Cultural Landscapes: Evidence from the Białowieża National Park, Poland. Holocene 2016, 26, 80–92. [Google Scholar] [CrossRef]
- Clymo, R.S.; Mackay, D. Upwash and Downwash of Pollen and Spores in the Unsaturated Surface Layer of Sphagnum-Dominated Peat. New Phytol. 1987, 105, 175–183. [Google Scholar] [CrossRef]
- Joosten, H.; De Klerk, P. In Search of Finiteness: The Limits of Fine-Resolution Palynology of Sphagnum Peat. Holocene 2007, 17, 1023–1031. [Google Scholar] [CrossRef]
- Sjögren, P.; Van Leeuwen, J.F.N.; Van Der Knaap, W.O.; Van Der Borg, K. The Effect of Climate Variability on Pollen Productivity, AD 1975-2000, Recorded in a Sphagnum Peat Hummock. Holocene 2006, 16, 277–286. [Google Scholar] [CrossRef]
- Broström, A.; Sugita, S.; Gaillard, M.J.; Pilesjö, P. Estimating the Spatial Scale of Pollen Dispersal in the Cultural Landscape of Southern Sweden. Holocene 2005, 15, 252–262. [Google Scholar] [CrossRef]
- Nielsen, A.B.; Sugita, S. Estimating Relevant Source Area of Pollen for Small Danish Lakes around AD 1800. Holocene 2005, 7, 1006–1020. [Google Scholar] [CrossRef]
- Twiddle, C.L. Pollen Analysis: Not Just a Qualitative Tool. In Geomorphological Techniques; British Society for Geomorphology: London, UK, 2012; Chapter 4, Section 1.4; pp. 1–11. [Google Scholar]
- Li, F.; Gaillard, M.J.; Xu, Q.; Bunting, M.J.; Li, Y.; Li, J.; Mu, H.; Lu, J.; Zhang, P.; Zhang, S.; et al. A Review of Relative Pollen Productivity Estimates from Temperate China for Pollen-Based Quantitative Reconstruction of Past Plant Cover. Front. Plant Sci. 2018, 9, 1214. [Google Scholar] [CrossRef] [PubMed]
- Von Stedingk, H.; Fyfe, R.M.; Allard, A. Pollen Productivity Estimates from the Forest-Tundra Ecotone in West-Central Sweden: Implications for Vegetation Reconstruction at the Limits of the Boreal Forest. Holocene 2008, 18, 323–332. [Google Scholar] [CrossRef]
- Eastwood, W.J.; Pearce, N.J.G.; Westgate, J.A.; Perkins, W.T. Recognition of Santorini (Minoan) Tephra in Lake Sediments from Gollhisar Golu, Southwest Turkey by Laser Ablation ICP-MS. J. Archaeol. Sci. 1998, 25, 677–687. [Google Scholar] [CrossRef]









| Site Name | Latitude (°) | Longitude (°) | Elevation (m) | Major Vegetation Communities within 100 m |
|---|---|---|---|---|
| 2 | 37.211267 | 29.322083 | 1071 | Juniperus excelsa-Quercus coccifera forest. |
| 3 | 37.24175 | 29.606567 | 1089 | Pinus nigra mixed forest with Quercus coccifera and Juniperus oxcycedrus shrubs |
| 6 | 37.085783 | 29.394033 | 1296 | Quercus coccifera vegetation with Juniperus oxycedrus and openland area with Astragalus and other herbs |
| 9 | 37.120183 | 29.701317 | 1072 | Quercus coccifera shrubland with Juniperus oxycedrus and rocky area with herbaceous plants |
| 13 | 36.721983 | 29.4128 | 668 | Mediterranean Pinus brutia mixed forest with Quercus coccifera, Olea europea, and Phillyrea latifolia |
| 14 | 36.87645 | 29.706967 | 1666 | Juniperus foetidissima semi-forest and rocky area with herbaceous plants |
| 16 | 37.050083 | 29.26105 | 1278 | Pinus nigra forest |
| 19 | 36.97755 | 29.42375 | 1226 | Pinus nigra mixed forest with Quercus coccifera and Juniperus oxcycedrus shrubs |
| 22 | 36.958167 | 29.989683 | 1773 | High mountain steppe |
| 23 | 36.9177 | 29.580933 | 1842 | Cedrus libani and Juniperus foetidissima semi-forest–High Mountain steppe |
| 29 | 36.9462 | 29.639617 | 1412 | Pinus nigra-Juniperus oxycedrus semi forest |
| 31 | 37.115417 | 29.26975 | 1330 | Pinus nigra-Juniperus oxycedrus forest |
| 32 | 37.475983 | 29.680567 | 1718 | Pinus nigra forest |
| 33 | 36.826467 | 29.6375 | 1315 | Quercus coccifera vegetation with Juniperus foetidissima |
| 34 | 36.855267 | 29.898133 | 1468 | Steppe area with a few Juniperus and Quercus coccifera |
| 35 | 37.11585 | 29.3625 | 1822 | Pinus nigra—Juniperus foetidissima semi-forest–High Mountain steppe |
| 41 | 37.511467 | 29.671767 | 1251 | Pinus nigra-Quercus pubescens mixed forest |
| 45 | 37.0691 | 29.46775 | 1183 | Pinus nigra mixed forest with Platanus orientalis |
| 47 | 36.967183 | 29.270633 | 1220 | Pinus nigra mixed forest with Quercus coccifera and Juniperus oxcycedrus shrubs |
| 49 | 36.94305 | 29.822433 | 1788 | High mountain steppe |
| 50 | 36.842283 | 29.282167 | 1105 | Pinus brutia mixed forest with deciduous Quercus |
| Land Cover Types | Arable Land | Cedrus libani-Juniperus sp. Forest | Pinus brutia Forest | Pinus sp. Forest | Juniperus sp. Forest | Quercus coccifera Maquis | Pinus sp.—Deciduous Forest | Pinus sp.—Juniperus sp. Forest | Quercus Deciduous Forest | Maquis | Steppe | Transitional Woodland | Settlement | Bare Soil-Bare Rock | Moor | Water |
|---|---|---|---|---|---|---|---|---|---|---|---|---|---|---|---|---|
| Apiaceae | 1 | |||||||||||||||
| Asparagus | 1 | |||||||||||||||
| Asteraceae | 1 | 1 | 1 | 1 | 1 | 1 | 2 | 1 | ||||||||
| Berberis | 1 | 1 | ||||||||||||||
| Boraginaceae | 1 | 1 | ||||||||||||||
| Brassicaceae | 1 | 1 | 1 | 1 | 1 | |||||||||||
| Caprifoliaceae | 1 | |||||||||||||||
| Cyperaceae | 9 | 1 | 1 | 1 | ||||||||||||
| Caryophyllaceae | 2 | 2 | 2 | 2 | 1 | 1 | ||||||||||
| Cedrus | 34 | 1 | ||||||||||||||
| Chenopodiaceae | 1 | 1 | 1 | 1 | ||||||||||||
| Cistaceae | 1 | 1 | 1 | |||||||||||||
| Cornaceae | 1 | |||||||||||||||
| Cotinus | 12 | |||||||||||||||
| Crassula | 1 | |||||||||||||||
| Cupressaceae | 26 | 0 | 4 | 30 | 20 | 14 | 7 | 7 | 5 | 2 | ||||||
| Daphne | 5 | |||||||||||||||
| Ephedra | 1 | |||||||||||||||
| Ericaceae | 5 | |||||||||||||||
| Euphorbia | 1 | |||||||||||||||
| Fabaceae | 7 | 1 | 12 | 5 | 3 | 10 | 15 | 1 | 2 | 1 | ||||||
| Jasminum | 0 | 1 | 2 | |||||||||||||
| Lamiaceae | 1 | 5 | 4 | 2 | 3 | 4 | 4 | 1 | 1 | |||||||
| Olea | 1 | 5 | ||||||||||||||
| Phillyrea | 1 | 5 | ||||||||||||||
| Pinus | 88 | 53 | 63 | 36 | 6 | 1 | ||||||||||
| Plumbaginaceae | 2 | 2 | 1 | |||||||||||||
| Poaceae | 9 | 7 | 51 | 6 | 14 | 17 | 5 | 7 | 13 | 12 | 15 | 5 | 9 | 1 | 2 | |
| Potentilla | 1 | |||||||||||||||
| Decidious Quercus t. | 3 | 5 | 55 | 3 | ||||||||||||
| Evergreen Quercus t. | 1 | 14 | 37 | 30 | 2 | |||||||||||
| Rhamnus | 1 | 1 | ||||||||||||||
| Rosaceae | 4 | 1 | 1 | 3 | 1 | 4 | ||||||||||
| Rubiaceae | 2 | |||||||||||||||
| Salix | 1 | |||||||||||||||
| Sanguisorba | 1 | 1 | ||||||||||||||
| Saxifraga | 1 | |||||||||||||||
| Smilax | 1 | |||||||||||||||
| Styrax | 3 | 11 | ||||||||||||||
| Verbascum | 1 |
| Pollen Morphological Type | Corresponding Plant Taxa in Vegetation | Fall Speed (m/s) |
|---|---|---|
| Asteraceae | Centaurea, Anthemis, Carduus, | 0.051 |
| Amaranthaceae/Chenopodiaceae | Atriplex | 0.019 |
| Cedrus | Cedrus libani | 0.097 |
| Juniperus | Juniperus excelsa, J. foetidissima, J. oxycedrus | 0.016 |
| Fabaceae | Astragalus, Calicotome, Dorycnium, Trifolium | 0.021 |
| Olea | Olea europaea | 0.011 |
| Phillyrea | Phillyrea latifolia | 0.015 |
| Pinus | Pinus brutia, Pinus nigra | 0.031 |
| Poaceae | Poaceae | 0.035 |
| Deciduous Quercus t | Quercus cerris, Q. ithaburensis, Q. pubescens | 0.035 |
| Evergreen Quercus t. | Quercus coccifera | 0.016 |
| Sub-Model 1 | Sub-Model 2 | Sub-Model 3 | Sub-Model 1 | Sub-Model 2 | Sub-Model 3 | Sub-Model 1 | Sub-Model 2 | Sub-Model 3 | ||||||||||
|---|---|---|---|---|---|---|---|---|---|---|---|---|---|---|---|---|---|---|
| Dispersal Model | GPM (Prentice) | GPM (Prentice) | GPM (Prentice) | 1D | 1D | 1D | LSM | LSM | LSM | |||||||||
| RSAP | 182 | 102 | 66 | 184 | 106 | 67 | 145 | 59 | 57 | |||||||||
| Taxon | alpha | s.d. | alpha | s.d. | alpha | s.d. | alpha | s.d. | alpha | s.d. | alpha | s.d. | alpha | s.d. | alpha | s.d. | alpha | s.d. |
| Q.coccifera | 1 | 0 | 1 | 0 | 1 | 0 | 1 | 0 | 1 | 0 | 1 | 0 | 1 | 0 | 1 | 0 | 1 | 0 |
| Juniperus | 0.112 | 0.000 | 0.279 | 0.001 | 0.253 | 0.001 | 0.120 | 0.000 | 0.301 | 0.001 | 0.275 | 0.001 | 0.095 | 3302.44 | 0.257 | 7695.08 | 0.239 | 0.001 |
| Fabaceae | 0.005 | 0.000 | 0.008 | 0.000 | 0.004 | 0.000 | 0.005 | 0.000 | 0.008 | 0.000 | 0.004 | 0.000 | 0.007 | 0.000 | 0.010 | 0.000 | 0.006 | 0.000 |
| Pinus | 1.424 | 0.001 | 5.782 | 0.011 | 5.589 | 0.007 | 1.438 | 0.001 | 5.919 | 0.013 | 5.782 | 0.007 | 1.450 | 0.000 | 6.066 | 0.003 | 6.255 | 0.009 |
| Poaceae | 0.060 | 0.000 | 0.112 | 0.001 | 0.057 | 0.000 | 0.059 | 0.000 | 0.116 | 0.001 | 0.061 | 0.000 | 0.059 | 0.000 | 0.119 | 0.000 | 0.084 | 0.000 |
| Region | France, Medit. (ERV3) | Romania (ERV3) | Turkey, Medit. (ERV2) | Mediterranean Region | ||||||||
|---|---|---|---|---|---|---|---|---|---|---|---|---|
| Study reference | Githumbi et al. (2022) [23] | Grindean et al. (2019) [25] | This paper | This paper | ||||||||
| RPP | SD | FSP | RPP | SD | FSP | RPP | SD | FSP | RPP | SD | FSP | |
| Herb taxa | ||||||||||||
| Poaceae (reference taxon) | 1 | 0 | 0.035 | 1 | 0 | 0.035 | 1.00 | 0.00 | 0.04 | 1.00 | 0 | 0.035 |
| Apiaceae | 5.91 | 1.23 | 0.042 | 5.91 | 1.23 | 0.042 | ||||||
| Artemisia | 5.89 | 3.16 | 0.014 | 5.89 | 3.16 | 0.014 | ||||||
| Compositae (Asteroideae + Cichorioideae) | 0.16 | 0.1 | 0.029 | 0.16 | 0.1 | 0.029 | ||||||
| Comp. SF Cichorioideae | 1.162 | 0.675 | 0.061 | 1.162 | 0.675 | 0.061 | ||||||
| Cerealia (Cerealia t. + Triticum t. + Secale + Zea) | 0.22 | 0.12 | 0.06 | 0.22 | 0.12 | 0.06 | ||||||
| Fabaceae | 0.4 | 0.07 | 0.021 | 0.073 | 0.00 | 0.021 | 0.16 | 0.023 | 0.021 | |||
| Plantago lanceolata | 0.58 | 0.32 | 0.029 | 0.58 | 0.32 | 0.029 | ||||||
| Ranunculaceae | 2.038 | 0.335 | 0.02 | 2.038 | 0.335 | 0.02 | ||||||
| Rosaceae (Filipendula, Potentilla t., Sanguisorba) | 0.29 | 0.12 | 0.018 | 0.29 | 0.12 | 0.018 | ||||||
| Rubiaceae | 0.4 | 0.07 | 0.019 | 0.4 | 0.07 | 0.019 | ||||||
| Tree/shrub taxa | ||||||||||||
| Buxus sempervirens | 1.89 | 0.068 | 0.032 | 1.89 | 0.068 | 0.032 | ||||||
| Carpinus orientalis | 0.24 | 0.07 | 0.042 | 0.24 | 0.07 | 0.042 | ||||||
| Castanea sativa | 3.258 | 0.059 | 0.01 | 3.258 | 0.059 | 0.01 | ||||||
| Corylus avellana | 3.44 | 0.89 | 0.025 | 3.44 | 0.89 | 0.025 | ||||||
| Cupressaceae (Juniperus communis, J. phoenicea, J. oxycedrus) | 1.618 | 0.161 | 0.02 | 2.52 | 0.00 | 0.02 | 1.37 | 0.054 | 0.02 | |||
| Ericaceae (Arbutus unedo, Erica arborea, E. cinerea, E. multiflora) | 4.265 | 0.094 | 0.051 | 4.265 | 0.094 | 0.051 | ||||||
| Fraxinus (F. excelsior, F. ornus) | 2.99 | 0.88 | 0.022 | 2.99 | 0.88 | 0.022 | ||||||
| Phillyrea | 0.512 | 0.076 | 0.015 | 0.512 | 0.076 | 0.015 | ||||||
| Pistacia | 0.755 | 0.201 | 0.03 | 0.755 | 0.201 | 0.03 | ||||||
| Evergreen Quercus t. (Q. ilex, Q. coccifera) | 11.043 | 0.261 | 0.015 | 8.97 | 0.00 | 0.015 | 6.67 | 0.087 | 0.015 | |||
| Deciduous Quercus t. (Q. spp., Q. peduncularis dominant) | 1.1 | 0.35 | 0.035 | 1.1 | 0.35 | 0.035 | ||||||
| Pinus (P. sylvestris, P. brutia, P. nigra) | 6.058 | 0.237 | 0.031 | 51.85 | 0.01 | 0.031 | 19.3 | 0.079 | 0.031 | |||
Disclaimer/Publisher’s Note: The statements, opinions and data contained in all publications are solely those of the individual author(s) and contributor(s) and not of MDPI and/or the editor(s). MDPI and/or the editor(s) disclaim responsibility for any injury to people or property resulting from any ideas, methods, instructions or products referred to in the content. |
© 2024 by the authors. Licensee MDPI, Basel, Switzerland. This article is an open access article distributed under the terms and conditions of the Creative Commons Attribution (CC BY) license (https://creativecommons.org/licenses/by/4.0/).
Share and Cite
Ergin, E.; Marquer, L.; Mazier, F.; Bisson, U.; Dalfes, H.N. Relative Pollen Productivity Estimates for Mediterranean Plant Taxa: A New Study Region in Turkey. Land 2024, 13, 591. https://doi.org/10.3390/land13050591
Ergin E, Marquer L, Mazier F, Bisson U, Dalfes HN. Relative Pollen Productivity Estimates for Mediterranean Plant Taxa: A New Study Region in Turkey. Land. 2024; 13(5):591. https://doi.org/10.3390/land13050591
Chicago/Turabian StyleErgin, Esra, Laurent Marquer, Florence Mazier, Ugo Bisson, and Hasan Nüzhet Dalfes. 2024. "Relative Pollen Productivity Estimates for Mediterranean Plant Taxa: A New Study Region in Turkey" Land 13, no. 5: 591. https://doi.org/10.3390/land13050591
APA StyleErgin, E., Marquer, L., Mazier, F., Bisson, U., & Dalfes, H. N. (2024). Relative Pollen Productivity Estimates for Mediterranean Plant Taxa: A New Study Region in Turkey. Land, 13(5), 591. https://doi.org/10.3390/land13050591

