Impact of Hillslope Agriculture on Soil Compaction and Seasonal Water Dynamics in a Temperate Vineyard
Abstract
1. Introduction
2. Materials and Methods
2.1. Study Location and Soil Properties
2.2. Soil Hydraulic Parameters’ Estimation
2.3. Infiltration Measurements
2.4. Determination of the Water Flow Using Lysimeters and Sensors
3. Results
3.1. Physical and Chemical Characteristics
3.2. Soil Hydraulic Parameters’ Estimation
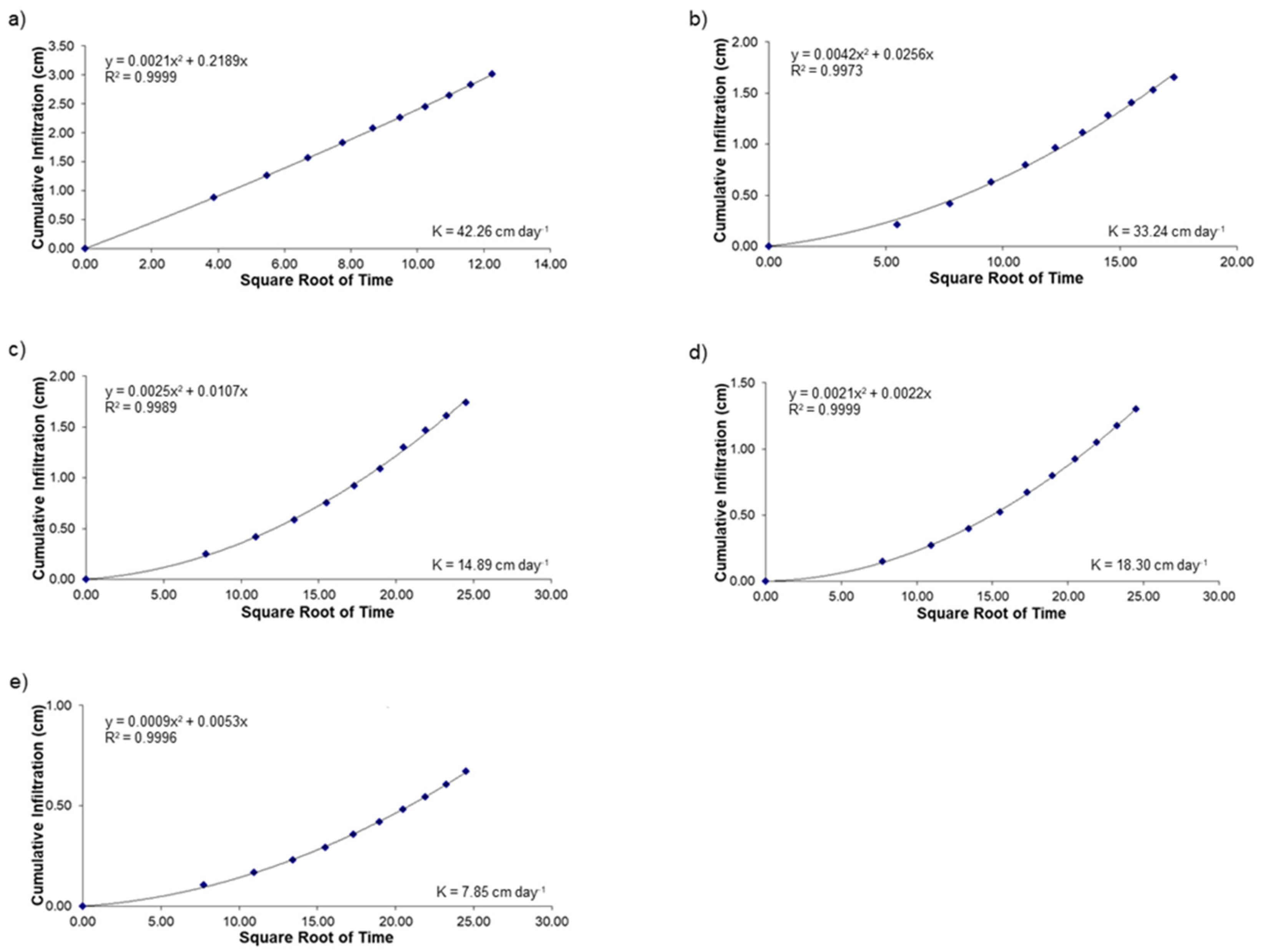
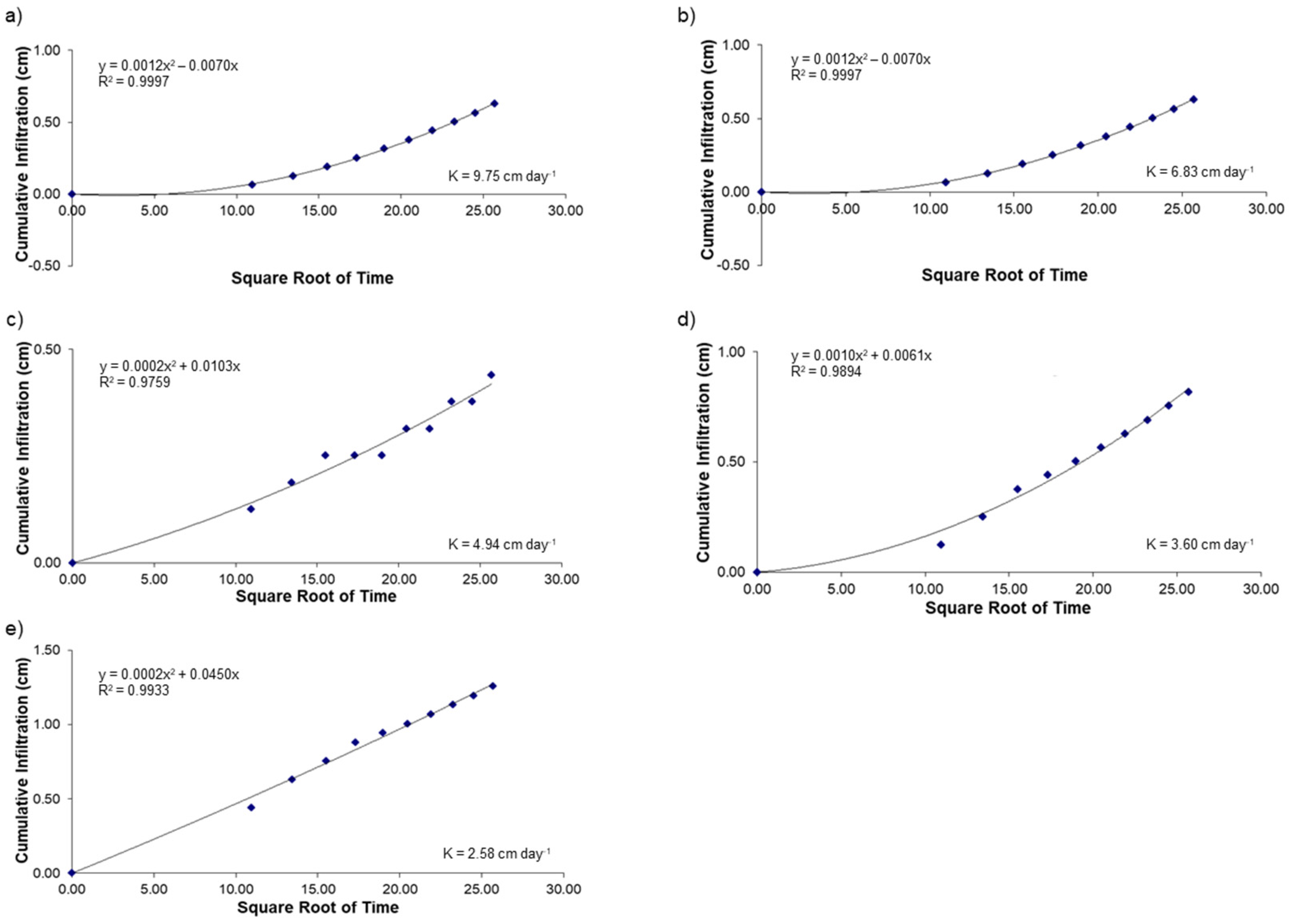
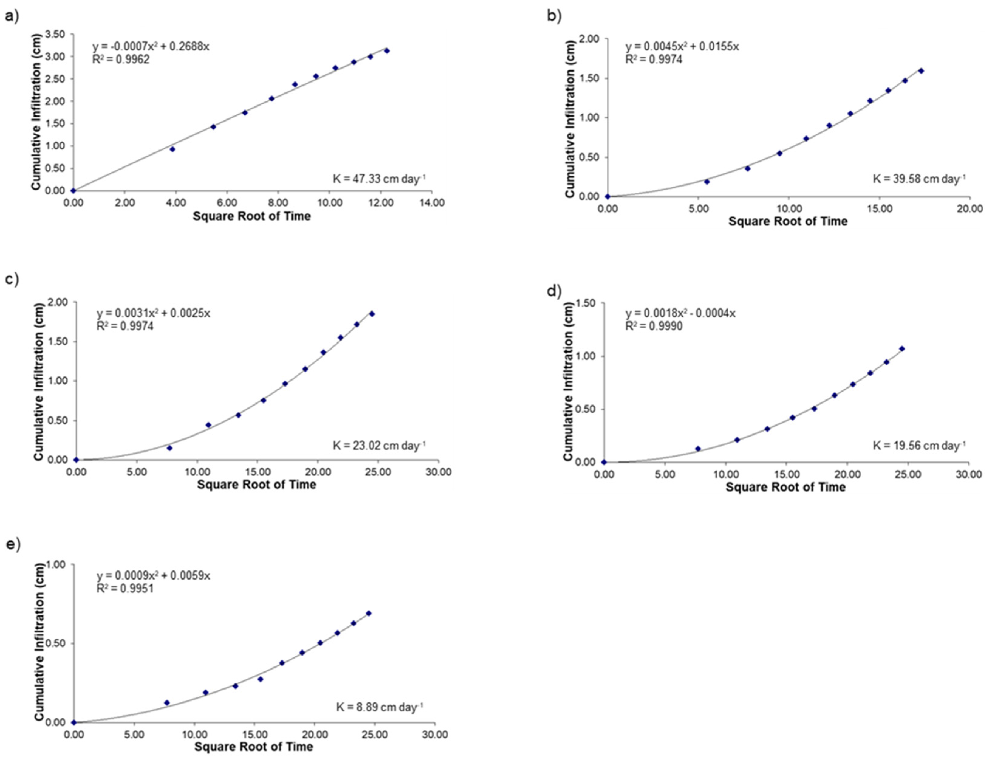
3.3. Infiltration Measurements
3.4. Determination of the Water Flow Using Lysimeters and Sensors
4. Discussion
4.1. Physical, Chemical, and Hydraulic Characteristics
4.2. Infiltration Measurements
4.3. Determination of the Water Flow Using Lysimeters and Sensors
5. Conclusions
Author Contributions
Funding
Data Availability Statement
Acknowledgments
Conflicts of Interest
Appendix A




References
- Apollonio, C.; Petroselli, A.; Tauro, F.; Cecconi, M.; Biscarini, C.; Zarotti, C.; Grimaldi, S. Hillslope Erosion Mitigation: An Experimental Proof of a Nature-based Solution. Sustainability 2021, 13, 6058. [Google Scholar] [CrossRef]
- Cai, J.S.; Yan, E.C.; Yeh TC, J.; Zha, Y.Y. Effects of Heterogeneity Distribution on Hillslope Stability during Rainfalls. Water Sci. Eng. 2016, 9, 134–144. [Google Scholar] [CrossRef]
- Filipović, V.; Gerke, H.H.; Filipović, L.; Sommer, M. Quantifying Subsurface Lateral Flow along Sloping Horizon Boundaries in Soil Profiles of a Hummocky Ground Moraine. Vadose Zone J. 2018, 17, 1–12. [Google Scholar] [CrossRef]
- Nikodem, A.; Kodešová, R.; Fér, M.; Klement, A. Using Scaling Factors for Characterizing Spatial and Temporal Variability of Soil Hydraulic Properties of Topsoils in Areas Heavily Affected by Soil Erosion. J. Hydrol. 2021, 593. [Google Scholar] [CrossRef]
- Laker, M.C.; Nortjé, G.P. Review of Existing Knowledge on Subsurface Soil Compaction in South Africa. Adv. Agron. 2020, 162, 143–197. [Google Scholar] [CrossRef]
- Raper, R.L. Agricultural Traffic Impacts on Soil. J. Terramechan. 2005, 42, 259–280. [Google Scholar] [CrossRef]
- Mohammed, S.; Abdo, H.G.; Szabo, S.; Pham, Q.B.; Holb, I.J.; Linh, N.T.T.; Anh, D.T.; Alsafadi, K.; Mokhtar, A.; Kbibo, I.; et al. Estimating Human Impacts on Soil Erosion Considering Different Hillslope Inclinations and Land Uses in the Coastal Region of Syria. Water 2020, 12, 2786. [Google Scholar] [CrossRef]
- Patil, M.D.; Das, B.S. Assessing the Effect of Puddling on Preferential Flow Processes through under Bund Area of Lowland Rice Field. Soil Tillage Res. 2013, 134, 61–71. [Google Scholar] [CrossRef]
- Sørbotten, L.E.; Stolte, J.; Wang, Y.; Mulder, J. Hydrological Responses and Flow Pathways in an Acrisol on a Forested Hillslope with a Monsoonal Subtropical Climate. Pedosphere 2017, 27, 1037–1048. [Google Scholar] [CrossRef]
- Anderson, A.E.; Weiler, M.; Alila, Y.; Hudson, R.O. Subsurface Flow Velocities in a Hillslope with Lateral Preferential Flow. Water Resour. Res. 2009, 45, W11407. [Google Scholar] [CrossRef]
- Nimmo, J.R. The Processes of Preferential Flow in the Unsaturated Zone. Soil Sci. Soc. Am. J. 2021, 85, 1–27. [Google Scholar] [CrossRef]
- Rieckh, H.; Gerke, H.H.; Sommer, M. Hydraulic Properties of Characteristic Horizons Depending on Relief Position and Structure in a Hummocky Glacial Soil Landscape. Soil Tillage Res. 2012, 125, 123–131. [Google Scholar] [CrossRef]
- Cheremisinoff, N.P. Principles of Hydrogeology. In Groundwater Remediation and Treatment Technologies; William Andrew Publishing: Norwich, NY, USA, 1997; pp. 85–126. [Google Scholar] [CrossRef]
- Franzluebbers, A.J. Water Infiltration and Soil Structure Related to Organic Matter and Its Stratification with Depth. Soil Tillage Res. 2002, 66, 197–205. [Google Scholar] [CrossRef]
- Morbidelli, R.; Saltalippi, C.; Flammini, A.; Govindaraju, R.S. Role of Slope on Infiltration: A Review. J. Hydrol. 2018, 557, 878–886. [Google Scholar] [CrossRef]
- Decagon Devices Inc. Mini Disc Infiltrometer; Decagon Devices Inc.: Pullman, WA, USA, 2016; pp. 1–20. [Google Scholar]
- Naik, A.P.; Ghosh, B.; Pekkat, S. Estimating Soil Hydraulic Properties Using Mini Disk Infiltrometer. ISH J. Hydraul. Eng. 2019, 25, 62–70. [Google Scholar] [CrossRef]
- Radinja, M.; Vidmar, I.; Atanasova, N.; Mikoš, M.; Šraj, M. Determination of Spatial and Temporal Variability of Soil Hydraulic Conductivity for Urban Runoff Modelling. Water 2019, 11, 941. [Google Scholar] [CrossRef]
- Bátková, K.; Miháliková, M.; Matula, S. Hydraulic Properties of a Cultivated Soil in Temperate Continental Climate Determined by Mini Disk Infiltrometer. Water 2020, 12, 843. [Google Scholar] [CrossRef]
- Li, X.Y.; González, A.; Solé-Benet, A. Laboratory Methods for the Estimation of Infiltration Rate of Soil Crusts in the Tabernas Desert Badlands. Catena 2005, 60, 255–266. [Google Scholar] [CrossRef]
- Soracco, C.G.; Villarreal, R.; Melani, E.M.; Oderiz, J.A.; Salazar, M.P.; Otero, M.F.; Irizar, A.B.; Lozano, L.A. Hydraulic Conductivity and Pore Connectivity. Effects of Conventional and No-till Systems Determined Using a Simple Laboratory Device. Geoderma 2019, 337, 1236–1244. [Google Scholar] [CrossRef]
- International Union of Soil Sciences (IUSS) Working Group WRB. International Soil Classification System for Naming Soils and Creating Legends for Soil Maps, 4th ed.; IUSS: Vienna, Austria, 2022; ISBN 9798986245119. [Google Scholar]
- ISO 11464:1994; Soil Quality—Pretreatment of Samples for Physico-Chemical Analyses. ISO: Geneva, Switzerland, 1994. Available online: https://www.iso.org/standard/19415.html (accessed on 29 June 2022).
- ISO 11277:1998; Soil Quality—Determination of Particle Size Distribution in Mineral Soil Material—Method by Sieving and Sedimentation. ISO: Geneva, Switzerland, 1998. Available online: https://www.iso.org/standard/19255.html (accessed on 29 June 2022).
- ISO 10390:2005; Soil Quality—Determination of PH. ISO: Geneva, Switzerland, 2005. Available online: https://www.iso.org/standard/40879.html (accessed on 29 June 2022).
- ISO 11265:1994/Cor 1:1996; Soil Quality—Determination of the Specific Electrical Conductivity—Technical Corrigendum 1. ISO: Geneva, Switzerland, 1996. Available online: https://www.iso.org/standard/26684.html (accessed on 29 June 2022).
- ISO 14235:1998; Soil Quality—Determination of Organic Carbon by Sulfochromic Oxidation. ISO: Geneva, Switzerland, 1998. Available online: https://www.iso.org/standard/23140.html (accessed on 29 June 2022).
- Schindler, U.G.; Müller, L. Soil Hydraulic Functions of International Soils Measured with the Extended Evaporation Method (EEM) and the HYPROP Device. Open Data J. Agric. Res. 2017, 3, 1–7. [Google Scholar] [CrossRef]
- Haghverdi, A.; Öztürk, H.S.; Durner, W. Measurement and Estimation of the Soil Water Retention Curve Using the Evaporation Method and the Pseudo Continuous Pedotransfer Function. J. Hydrol. 2018, 563, 251–259. [Google Scholar] [CrossRef]
- Campbell, G.; Campbell, C.; Cobos, D.; Crawford, L.B.; Rivera, L.; Chambers, C. Operation Manual for HYPROP; UMS: Munich, Germany, 2015. [Google Scholar]
- Pertassek, T.; Peters, A.; Durner, W.; Data, H.; Software, E.; Durner, W. HYPROP Data Evaluation Software; UMS: Munich, Germany, 2011; pp. 1–47. [Google Scholar]
- van Genuchten, M.T. A Closed-Form Equation for Predicting the Hydraulic Conductivity of Unsaturated Soils. Soil Sci. Soc. Am. J. 1980, 44, 892–898. [Google Scholar] [CrossRef]
- Mualem, Y. A New Model for Predicting the Hydraulic Conduc. Water Resour. Res. 1976, 12, 513–522. [Google Scholar] [CrossRef]
- Zhang, R. Determination of Soil Sorptivity and Hydraulic Conductivity from the Disk Infiltrometer. Soil Sci. Soc. Am. J. 1997, 61, 1024–1030. [Google Scholar] [CrossRef]
- Defterdarović, J.; Filipović, L.; Kranjčec, F.; Ondrašek, G.; Kikić, D.; Novosel, A.; Mustać, I.; Krevh, V.; Magdić, I.; Rubinić, V.; et al. Determination of Soil Hydraulic Parameters and Evaluation of Water Dynamics and Nitrate Leaching in the Unsaturated Layered Zone: A Modeling Case Study in Central Croatia. Sustainability 2021, 13, 6688. [Google Scholar] [CrossRef]
- Shahgholi, G.; Jnatkhah, J. Investigation of the Effects of Organic Matter Application on Soil Compaction. Yuz. Yil Univ. J. Agric. Sci. 2018, 28, 175–185. [Google Scholar] [CrossRef]
- Nawaz, M.F.; Bourrié, G.; Trolard, F. Soil Compaction Impact and Modelling. A Review. Agron. Sustain. Dev. 2013, 33, 291–309. [Google Scholar] [CrossRef]
- Liu, Y.; Cui, Z.; Huang, Z.; López-Vicente, M.; Wu, G.L. Influence of Soil Moisture and Plant Roots on the Soil Infiltration Capacity at Different Stages in Arid Grasslands of China. Catena 2019, 182, 104147. [Google Scholar] [CrossRef]
- Vereecken, H.; Weihermüller, L.; Assouline, S.; Šimůnek, J.; Verhoef, A.; Herbst, M.; Archer, N.; Mohanty, B.; Montzka, C.; Vanderborght, J.; et al. Infiltration from the Pedon to Global Grid Scales: An Overview and Outlook for Land Surface Modeling. Vadose Zone J. 2019, 18, 1–53. [Google Scholar] [CrossRef]
- Guo, X.; Fu, Q.; Hang, Y.; Lu, H.; Gao, F.; Si, J. Spatial Variability of Soil Moisture in Relation to Land Use Types and Topographic Features on Hillslopes in the Black Soil (Mollisols) Area of Northeast China. Sustainability 2020, 12, 3552. [Google Scholar] [CrossRef]
- Magdić, I.; Safner, T.; Rubinić, V.; Rutić, F.; Husnjak, S.; Filipović, V. Effect of Slope Position on Soil Properties and Soil Moisture Regime of Stagnosol in the Vineyard. J. Hydrol. Hydromech. 2022, 70, 62–73. [Google Scholar] [CrossRef]
- Weninger, T.; Filipović, V.; Mešić, M.; Clothier, B.; Filipović, L. Estimating the Extent of Fire Induced Soil Water Repellency in Mediterranean Environment. Geoderma 2019, 338, 187–196. [Google Scholar] [CrossRef]
- Cleophas, F.; Isidore, F.; Musta, B.; Mohd Ali, B.N.; Mahali, M.; Zahari, N.Z.; Bidin, K. Effect of Soil Physical Properties on Soil Infiltration Rates. J. Phys. Conf. Ser. 2022, 2314, 012020. [Google Scholar] [CrossRef]
- Dos Santos, K.F.; Barbosa, F.T.; Bertol, I.; De Souza Werner, R.; Wolschick, N.H.; Mota, J.M. Study of Soil Physical Properties and Water Infiltration Rates in Different Types of Land Use. Semin. Agrar. 2018, 39, 87–98. [Google Scholar] [CrossRef]
- Bayad, M.; Chau, H.W.; Trolove, S.; Moir, J.; Condron, L.; Bouray, M. The Relationship between Soil Moisture and Soil Water Repellency Persistence in Hydrophobic Soils. Water 2020, 12, 2322. [Google Scholar] [CrossRef]
- Bu, C.F.; Wu, S.F.; Yang, K.B. Effects of Physical Soil Crusts on Infiltration and Splash Erosion in Three Typical Chinese Soils. Int. J. Sediment Res. 2014, 29, 491–501. [Google Scholar] [CrossRef]
- Güntner, A.; Bronstert, A. Representation of Landscape Variability and Lateral Redistribution Processes for Large-Scale Hydrological Modelling in Semi-Arid Areas. J. Hydrol. 2004, 297, 136–161. [Google Scholar] [CrossRef]
- Scaini, A.; Audebert, M.; Hissler, C.; Fenicia, F.; Gourdol, L.; Pfister, L.; Beven, K.J. Velocity and Celerity Dynamics at Plot Scale Inferred from Artificial Tracing Experiments and Time-Lapse ERT. J. Hydrol. 2017, 546, 28–43. [Google Scholar] [CrossRef]
- Goebel, M.O.; Bachmann, J.; Reichstein, M.; Janssens, I.A.; Guggenberger, G. Soil Water Repellency and Its Implications for Organic Matter Decomposition—Is There a Link to Extreme Climatic Events? Glob. Change Biol. 2011, 17, 2640–2656. [Google Scholar] [CrossRef]
- Jiang, Z.Y.; Li, X.Y.; Wei, J.Q.; Chen, H.Y.; Li, Z.C.; Liu, L.; Hu, X. Contrasting Surface Soil Hydrology Regulated by Biological and Physical Soil Crusts for Patchy Grass in the High-Altitude Alpine Steppe Ecosystem. Geoderma 2018, 326, 201–209. [Google Scholar] [CrossRef]
- Zhang, Y.; Zhang, Z.; Ma, Z.; Chen, J.; Akbar, J.; Zhang, S.; Che, C.; Zhang, M.; Cerdà, A. A Review of Preferential Water Flow in Soil Science. Can. J. Soil Sci. 2018, 98, 604–618. [Google Scholar] [CrossRef]










| Position | Depth (cm) | Soil Particle Size Distribution (%) | Texture Classes (USDA) | pH (H2O) | E.C. (dS m−3) | Corg (g kg−1) | ||
|---|---|---|---|---|---|---|---|---|
| Sand | Silt | Clay | ||||||
| Hilltop | 0–15 | 12 | 69 | 19 | Silt loam | 6.56 | 0.054 | 17.29 |
| 15–30 | 10 | 68 | 22 | Silt loam | 6.18 | 0.041 | 11.72 | |
| 30–50 | 11 | 64 | 25 | Silt loam | 5.97 | 0.047 | 8.06 | |
| 50–75 | 12 | 55 | 33 | Silty clay loam | 5.79 | 0.058 | 5.80 | |
| 75–100 | 18 | 42 | 40 | Silty clay | 5.60 | 0.083 | 3.07 | |
| Footslope | 0–15 | 7 | 68 | 25 | Silt loam | 6.94 | 0.049 | 12.18 |
| 15–30 | 9 | 64 | 27 | Silty clay loam | 7.07 | 0.048 | 8.70 | |
| 30–50 | 8 | 69 | 23 | Silt loam | 6.87 | 0.038 | 8.06 | |
| 50–75 | 7 | 70 | 23 | Silt loam | 6.51 | 0.051 | 7.89 | |
| 75–100 | 6 | 69 | 25 | Silt loam | 5.09 | 0.058 | 4.93 | |
| Hillslope Position | Sampling Depth (cm) | (cm3 cm−3) | (cm3 cm−3) | (1 cm−1) | (cm day−1) | RMSE_ | RMSE_K | R2_ | R2_K | |
|---|---|---|---|---|---|---|---|---|---|---|
| Hilltop | 5–10 | 0.000 * | 0.491 | 0.0078 | 1.15 | 1.82 | 0.0379 | 0.6646 | 0.9953 | 0.9994 |
| Footslope | 5–10 | 0.000 * | 0.302 | 0.0061 | 1.22 | 0.457 | 0.0212 | 0.4061 | 0.9924 | 0.9993 |
| Hillslope Position | Depth (cm) | Suction Rate (cm) | ||||
|---|---|---|---|---|---|---|
| −1 | −2 | −3 | −4 | −5 | ||
| Hydraulic Conductivity (cm day−1) | ||||||
| Hilltop | 5 | 42.26 | 33.24 | 14.89 | 18.30 | 7.85 |
| 25 | 9.75 | 6.83 | 4.94 | 3.60 | 2.58 | |
| Footslope | 5 | 47.33 | 39.58 | 23.02 | 19.56 | 8.89 |
| 25 | 18.85 | 13.01 | 9.56 | 8.80 | 4.40 | |
Disclaimer/Publisher’s Note: The statements, opinions and data contained in all publications are solely those of the individual author(s) and contributor(s) and not of MDPI and/or the editor(s). MDPI and/or the editor(s) disclaim responsibility for any injury to people or property resulting from any ideas, methods, instructions or products referred to in the content. |
© 2024 by the authors. Licensee MDPI, Basel, Switzerland. This article is an open access article distributed under the terms and conditions of the Creative Commons Attribution (CC BY) license (https://creativecommons.org/licenses/by/4.0/).
Share and Cite
Defterdarović, J.; Filipović, L.; Ondrašek, G.; Bogunović, I.; Dugan, I.; Phogat, V.; He, H.; Rashti, M.R.; Tavakkoli, E.; Baumgartl, T.; et al. Impact of Hillslope Agriculture on Soil Compaction and Seasonal Water Dynamics in a Temperate Vineyard. Land 2024, 13, 588. https://doi.org/10.3390/land13050588
Defterdarović J, Filipović L, Ondrašek G, Bogunović I, Dugan I, Phogat V, He H, Rashti MR, Tavakkoli E, Baumgartl T, et al. Impact of Hillslope Agriculture on Soil Compaction and Seasonal Water Dynamics in a Temperate Vineyard. Land. 2024; 13(5):588. https://doi.org/10.3390/land13050588
Chicago/Turabian StyleDefterdarović, Jasmina, Lana Filipović, Gabrijel Ondrašek, Igor Bogunović, Ivan Dugan, Vinod Phogat, Hailong He, Mehran Rezaei Rashti, Ehsan Tavakkoli, Thomas Baumgartl, and et al. 2024. "Impact of Hillslope Agriculture on Soil Compaction and Seasonal Water Dynamics in a Temperate Vineyard" Land 13, no. 5: 588. https://doi.org/10.3390/land13050588
APA StyleDefterdarović, J., Filipović, L., Ondrašek, G., Bogunović, I., Dugan, I., Phogat, V., He, H., Rashti, M. R., Tavakkoli, E., Baumgartl, T., Baghbani, A., McLaren, T. I., & Filipović, V. (2024). Impact of Hillslope Agriculture on Soil Compaction and Seasonal Water Dynamics in a Temperate Vineyard. Land, 13(5), 588. https://doi.org/10.3390/land13050588

