Spatiotemporal Pattern and Drivers of Ecological Quality in Inner Mongolia
Abstract
1. Introduction
2. Study Area and Data Sources
2.1. Study Area
2.2. Data Sources and Pre-Processing
3. Methods
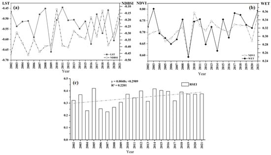
3.1. Ecological Quality Calculation by the RSEI
3.2. Land Use Transition Matrix
3.3. Spatial Auto-Correlation
3.4. Geodetector
4. Results
4.1. Ecological Quality Visualization by RSEI
4.2. Spatial Autocorrelation Analysis of Ecological Quality
4.3. Ecological Quality Visualization by Land Use Transformation
4.4. Natural and Socioeconomic Impact Factors of Ecological Quality
5. Discussion
6. Conclusions and Recommendations
6.1. Conclusions
6.2. Recommendations
Author Contributions
Funding
Data Availability Statement
Conflicts of Interest
References
- Gauquelin, T.; Michon, G.; Joffre, R.; Duponnois, R.; Génin, D.; Fady, B.; Bou Dagher-Kharrat, M.; Derridj, A.; Slimani, S.; Badri, W.; et al. Mediterranean Forests, Land Use and Climate Change: A Social-Ecological Perspective. Reg. Environ. Chang. 2018, 18, 623–636. [Google Scholar] [CrossRef]
- Wang, C.; Wang, Q.; Liu, N.; Sun, Y.; Guo, H.; Song, X. The Impact of LUCC on the Spatial Pattern of Ecological Network during Urbanization: A Case Study of Jinan City. Ecol. Indic. 2023, 155, 111004. [Google Scholar] [CrossRef]
- Zhang, R.; Tian, D.; Wang, J.; Niu, S. Critical Role of Multidimensional Biodiversity in Contributing to Ecosystem Sustainability under Global Change. Geogr. Sustain. 2023, 4, 232–243. [Google Scholar] [CrossRef]
- Madin, E.M.P.; Dill, L.M.; Ridlon, A.D.; Heithaus, M.R.; Warner, R.R. Human Activities Change Marine Ecosystems by Altering Predation Risk. Glob. Chang. Biol. 2016, 22, 44–60. [Google Scholar] [CrossRef] [PubMed]
- Cramer, W.; Bondeau, A.; Woodward, F.I.; Prentice, I.C.; Betts, R.A.; Brovkin, V.; Cox, P.M.; Fisher, V.; Foley, J.A.; Friend, A.D.; et al. Global Response of Terrestrial Ecosystem Structure and Function to CO2 and Climate Change: Results from Six Dynamic Global Vegetation Models. Glob. Chang. Biol. 2001, 7, 357–373. [Google Scholar] [CrossRef]
- Nguyen, K.A.; Liou, Y.A. Mapping Global Eco-Environment Vulnerability Due to Human and Nature Disturbances. MethodsX 2019, 6, 862–875. [Google Scholar] [CrossRef] [PubMed]
- Montgomery, D.R. Soil Erosion and Agricultural Sustainability. Proc. Natl. Acad. Sci. USA 2007, 104, 13268–13272. [Google Scholar] [CrossRef] [PubMed]
- Balvanera, P.; Siddique, I.; Dee, L.; Paquette, A.; Isbell, F.; Gonzalez, A.; Byrnes, J.; O’Connor, M.I.; Hungate, B.A.; Griffin, J.N. Linking Biodiversity and Ecosystem Services: Current Uncertainties and the Necessary next Steps. Bioscience 2014, 64, 49–57. [Google Scholar] [CrossRef]
- Qiu, J.; Huang, T.; Yu, D. Evaluation and Optimization of Ecosystem Services under Different Land Use Scenarios in a Semiarid Landscape Mosaic. Ecol. Indic. 2022, 135, 108516. [Google Scholar] [CrossRef]
- Fang, Y.; Meng, F.; Luo, M.; Sa, C.; Lei, J.; Bao, Y.; Chao, L. Disentangling the Natural and Anthropogenic Contributions to the Balance of Ecosystem Services in the Beijing-Tianjin-Hebei-Inner Mongolia Region. Ecol. Indic. 2024, 158, 111372. [Google Scholar] [CrossRef]
- Li, T.; Zhang, Q.; Wang, G.; Singh, V.P.; Zhao, J.; Sun, S.; Wang, D.; Liu, T.; Duan, L. Ecological Degradation in the Inner Mongolia Reach of the Yellow River Basin, China: Spatiotemporal Patterns and Driving Factors. Ecol. Indic. 2023, 154, 110498. [Google Scholar] [CrossRef]
- Tian, Y. Issues and Systematic Governance Strategies Facing the Construction of China’s Important Ecological Security Barrier in the North. Inn. Mong. Soc. Sci. 2023, 44, 43–49+213. [Google Scholar] [CrossRef]
- Sun, G.; Wang, M. Study on Relation and Distribution Between Vegetative Coverage and Land Degradation in Inner Mongolia. J. Arid Land Resour. Environ. 2008, 22, 5. [Google Scholar]
- Jia, Z.; Zhang, Z.; Cheng, Y.; Buhebaoyin; Borjigin, S.; Quan, Z. Grassland Biomass Spatiotemporal Patterns and Response to Climate Change in Eastern Inner Mongolia Based on XGBoost Model Estimates. Ecol. Indic. 2024, 158, 111554. [Google Scholar] [CrossRef]
- Zhao, Y.; Yang, S.; Liu, L.; Jia, X.; Han, L.; Yuan, X.; Zhao, M.; Zhang, P. Variations and Driving Mechanisms of Desertification in the Southeast Section of the China-Mongolia-Russia Economic Zone. Sci. Total Environ. 2023, 887, 164004. [Google Scholar] [CrossRef] [PubMed]
- Qiu, B.; Chen, G.; Tang, Z.; Lu, D.; Wang, Z.; Chen, C. Assessing the Three-North Shelter Forest Program in China by a Novel Framework for Characterizing Vegetation Changes. ISPRS J. Photogramm. Remote Sens. 2017, 133, 75–88. [Google Scholar] [CrossRef]
- Song, X.; Peng, C.; Zhou, G.; Jiang, H.; Wang, W. Chinese Grain for Green Program Led to Highly Increased Soil Organic Carbon Levels: A Meta-Analysis. Sci. Rep. 2014, 4, 4460. [Google Scholar] [CrossRef] [PubMed]
- Yin, H.; Pflugmacher, D.; Li, A.; Li, Z.; Hostert, P. Land Use and Land Cover Change in Inner Mongolia—Understanding the Effects of China’s Re-Vegetation Programs. Remote Sens. Environ. 2018, 204, 918–930. [Google Scholar] [CrossRef]
- Li, Z.; Bagan, H.; Yamagata, Y. Analysis of Spatiotemporal Land Cover Changes in Inner Mongolia Using Self-Organizing Map Neural Network and Grid Cells Method. Sci. Total Environ. 2018, 636, 1180–1191. [Google Scholar] [CrossRef]
- Xu, Y.; Gun, Z.; Zhao, J.; Cheng, X. Variations in Lake Water Storage over Inner Mongolia during Recent Three Decades Based on Multi-Mission Satellites. J. Hydrol. 2022, 609, 127719. [Google Scholar] [CrossRef]
- Zhang, Z.; Huisingh, D. Combating Desertification in China: Monitoring, Control, Management and Revegetation. J. Clean. Prod. 2018, 182, 765–775. [Google Scholar] [CrossRef]
- Su, R.; Yu, T.; Dayananda, B.; Bu, R.; Su, J.; Fan, Q. Impact of Climate Change on Primary Production of Inner Mongolian Grasslands. Glob. Ecol. Conserv. 2020, 22, e00928. [Google Scholar] [CrossRef]
- Suuri, B.; Baatargal, O.; Badamdorj, B.; Reading, R.P. Assessing Wildlife Biodiversity Using Camera Trap Data on the Mongolian Marmot (Marmota Sibirica) Colonies. J. Arid Environ. 2021, 188, 104409. [Google Scholar] [CrossRef]
- Liu, Y.; Du, J.; Ding, B.; Liu, Y.; Liu, W.; Xia, A.; Huo, R.; Ran, Q.; Hao, Y.; Cui, X.; et al. Water Resource Conservation Promotes Synergy between Economy and Environment in China’s Northern Drylands. Front. Environ. Sci. Eng. 2022, 16, 28. [Google Scholar] [CrossRef]
- Gao, Z.; Hu, X.; Li, X.Y. Changes in Soil Water Retention and Content during Shrub Encroachment Process in Inner Mongolia, Northern China. Catena 2021, 206, 105528. [Google Scholar] [CrossRef]
- Bai, X.; Zhao, W.; Wang, J.; Ferreira, C.S.S. Precipitation Drives the Floristic Composition and Diversity of Temperate Grasslands in China. Glob. Ecol. Conserv. 2021, 32, e01933. [Google Scholar] [CrossRef]
- Yuan, B.; Fu, L.; Zou, Y.; Zhang, S.; Chen, X.; Li, F.; Deng, Z.; Xie, Y. Spatiotemporal Change Detection of Ecological Quality and the Associated Affecting Factors in Dongting Lake Basin, Based on RSEI. J. Clean. Prod. 2021, 302, 126995. [Google Scholar] [CrossRef]
- Xu, B.; Qi, B.; Ji, K.; Liu, Z.; Deng, L.; Jiang, L. Emerging Hot Spot Analysis and the Spatial–Temporal Trends of NDVI in the Jing River Basin of China. Environ. Earth Sci. 2022, 81, 55. [Google Scholar] [CrossRef]
- Zhang, J.; Feng, L.; Yao, F. Improved Maize Cultivated Area Estimation over a Large Scale Combining MODIS-EVI Time Series Data and Crop Phenological Information. ISPRS J. Photogramm. Remote Sens. 2014, 94, 102–113. [Google Scholar] [CrossRef]
- Chen, X.; Yu, L.; Du, Z.; Xu, Y.; Zhao, J.; Zhao, H.; Zhang, G.; Peng, D.; Gong, P. Distribution of Ecological Restoration Projects Associated with Land Use and Land Cover Change in China and Their Ecological Impacts. Sci. Total Environ. 2022, 825, 153938. [Google Scholar] [CrossRef]
- Xu, H.; Wang, Y.; Guan, H.; Shi, T.; Hu, X. Detecting Ecological Changes with a Remote Sensing Based Ecological Index (RSEI) Produced Time Series and Change Vector Analysis. Remote Sens. 2019, 11, 2345. [Google Scholar] [CrossRef]
- An, M.; Xie, P.; He, W.; Wang, B.; Huang, J.; Khanal, R. Spatiotemporal Change of Ecologic Environment Quality and Human Interaction Factors in Three Gorges Ecologic Economic Corridor, Based on RSEI. Ecol. Indic. 2022, 141, 109090. [Google Scholar] [CrossRef]
- Gong, C.; Lyu, F.; Wang, Y. Spatiotemporal Change and Drivers of Ecosystem Quality in the Loess Plateau Based on RSEI: A Case Study of Shanxi, China. Ecol. Indic. 2023, 155, 111060. [Google Scholar] [CrossRef]
- Huang, H.; Chen, W.; Zhang, Y.; Qiao, L.; Du, Y. Analysis of Ecological Quality in Lhasa Metropolitan Area during 1990–2017 Based on Remote Sensing and Google Earth Engine Platform. J. Geogr. Sci. 2021, 31, 265–280. [Google Scholar] [CrossRef]
- Peng, S. 1-km Monthly Mean Temperature Dataset for China (1901–2022); National Tibetan Plateau/Third Pole Environment Data Center: Golmud City, China, 2019. [Google Scholar] [CrossRef]
- Peng, S. 1-km Monthly Precipitation Dataset for China (1901–2022); National Tibetan Plateau/Third Pole Environment Data Center: Golmud City, China, 2020. [Google Scholar] [CrossRef]
- Tang, G. Digital Elevation Model of China (1KM); National Tibetan Plateau/Third Pole Environment Data Center: Golmud City, China, 2019. [Google Scholar]
- Xu, X. China GDP Spatial Distribution Kilometer Grid Data Set. Resources and Environmental Science Data Registration and Publishing System; The National Tibetan Plateau Data Center (TPDC): Beijing, China, 2017. [Google Scholar] [CrossRef]
- Xu, X. China Population Spatial Distribution Kilometer Grid Data Set. Resources and Environmental Science Data Registration and Publishing System; The National Tibetan Plateau Data Center (TPDC): Beijing, China, 2017. [Google Scholar] [CrossRef]
- Xu, X. Annual Data Set of Night Lighting in China. Data Registration and Publication System of Resources and Environmental Science; The National Tibetan Plateau Data Center (TPDC): Beijing, China, 2022. [Google Scholar] [CrossRef]
- Xu, H. A Remote Sensing Urban Ecological Index and Its Application. Acta Ecol. Sin. 2013, 33, 7853–7862. [Google Scholar]
- Hu, X.; Xu, H. A New Remote Sensing Index for Assessing the Spatial Heterogeneity in Urban Ecological Quality: A Case from Fuzhou City, China. Ecol. Indic. 2018, 89, 11–21. [Google Scholar] [CrossRef]
- Wei, X.; Yang, J.; Luo, P.; Lin, L.; Lin, K.; Guan, J. Assessment of the Variation and Influencing Factors of Vegetation NPP and Carbon Sink Capacity under Different Natural Conditions. Ecol. Indic. 2022, 138, 108834. [Google Scholar] [CrossRef]
- Gupta, K.; Kumar, P.; Pathan, S.K.; Sharma, K.P. Urban Neighborhood Green Index—A Measure of Green Spaces in Urban Areas. Landsc. Urban Plan. 2012, 105, 325–335. [Google Scholar] [CrossRef]
- Xiong, Y.; Xu, W.; Lu, N.; Huang, S.; Wu, C.; Wang, L.; Dai, F.; Kou, W. Assessment of Spatial–Temporal Changes of Ecological Environment Quality Based on RSEI and GEE: A Case Study in Erhai Lake Basin, Yunnan Province, China. Ecol. Indic. 2021, 125, 107518. [Google Scholar] [CrossRef]
- Liu, D.; Zhu, R. Methods for Detecting Land Use Changes Based on the Land Use Transition Matrix. Resour. Sci. 2010, 32, 1544–1550. [Google Scholar]
- Tobler, W.R. A Computer Movie Simulating Urban Growth in the Detroit Region. Econ. Geogr. 1970, 46, 234–240. [Google Scholar] [CrossRef]
- Jing, Y.; Zhang, F.; He, Y.; Kung, H.; Johnson, V.C.; Arikena, M. Assessment of Spatial and Temporal Variation of Ecological Environment Quality in Ebinur Lake Wetland National Nature Reserve, Xinjiang, China. Ecol. Indic. 2020, 110, 105874. [Google Scholar] [CrossRef]
- Wang, J.; Xu, C. Geodetector: Principle and Prospective. Acta Geogr. Sin. 2017, 72, 116–134. [Google Scholar] [CrossRef]
- Zhang, Y.; Bao, Y.; He, Z. Analysis of changes and trends in remote sensing ecological environment quality in Inner Mongolia from 1990 to 2021: A case study of Chen Barhu Banner, Hulunbuir City. Arid Zone Res. 2023, 40, 326–336. [Google Scholar]
- Ji, R.; Tan, K.; Wang, X.; Xin, L. Spatiotemporal Monitoring of a Grassland Ecosystem and Its Net Primary Production Using Google Earth Engine: A Case Study of Inner Mongolia from 2000 to 2020. Remote Sens. 2021, 13, 4480. [Google Scholar] [CrossRef]
- Wang, J.; Dou, Y.; Xue, Z.; Guo, C.; Chi, W. Remote sensing monitoring and analysis of land spatial evolution in Inner Mongolia Autonomous Region based on the functional zoning of the main body. Bull. Surv. Mapp. 2023, 4, 54–58. [Google Scholar]
- Wu, J.; Zhang, Q.; Li, A.; Liang, C. Historical Landscape Dynamics of Inner Mongolia: Patterns, Drivers, and Impacts. Landsc. Ecol. 2015, 30, 1579–1598. [Google Scholar] [CrossRef]
- Zhao, L.; Jia, K.; Liu, X.; Li, J.; Xia, M. Assessment of land degradation in Inner Mongolia between 2000 and 2020 based on remote sensing data. Geogr. Sustain. 2023, 4, 100–111. [Google Scholar] [CrossRef]
- Wang, Z.; Xu, D.; Peng, D.; Zhang, Y. Quantifying the Influences of Natural and Human Factors on the Water Footprint of Afforestation in Desert Regions of Northern China. Sci. Total Environ. 2021, 780, 146577. [Google Scholar] [CrossRef]
- Geng, J.; Yu, K.; Xie, Z.; Zhao, G.; Ai, J.; Yang, L.; Yang, H.; Liu, J. Analysis of Spatiotemporal Variation and Drivers of Ecological Quality in Fuzhou Based on RSEI. Remote Sens. 2022, 14, 4900. [Google Scholar] [CrossRef]





| Type | Variable | Description | Resolution | Data Resource |
|---|---|---|---|---|
| Natural factors | X1 | Elevation | 1 km (0.008°) | National Tibetan Plateau/Third Pole Environment Data Center [35,36,37]. |
| X2 | Precipitation | 1 km (0.008°) | ||
| X3 | Temperature | 1 km (0.008°) | ||
| Socioeconomic factors | X4 | GDP | 1 km (0.008°) | Resource and Environmental Science Data Registration and Publishing System [38,39,40]. |
| X5 | Population density | 1 km (0.008°) | ||
| X6 | Nighttime light | 1 km (0.008°) |
| Index | Formula | Explanation |
|---|---|---|
| NDVI | Calculated by MOD13A1. | |
| WET | b1, b2, …, b7 is the wave band of MOD09A1. | |
| LST | 2 | DN is the grayscale value of MOD11A2. |
| NDBSI | Calculated by MOD09A1. | |
| Years | 2005 | 2010 | ||||||
| PC1 | PC2 | PC3 | PC4 | PC1 | PC2 | PC3 | PC4 | |
| LST | −0.511 | 0.743 | 0.399 | −0.164 | −0.506 | −0.696 | 0.508 | 0.034 |
| NDBSI | −0.463 | −0.379 | −0.205 | −0.775 | −0.122 | 0.051 | 0.015 | −0.991 |
| NDVI | 0.661 | 0.065 | 0.497 | −0.558 | 0.785 | −0.141 | 0.596 | −0.095 |
| WET | 0.296 | 0.547 | −0.743 | −0.248 | 0.336 | −0.702 | −0.622 | −0.087 |
| Eigenvalues | 0.129 | 0.006 | 0.003 | 0.002 | 0.088 | 0.005 | 0.003 | 0.000 |
| Percentage variance | 92.16% | 4.44% | 2.02% | 1.38% | 91.09% | 5.64% | 3.14% | 0.13% |
| Years | 2015 | 2020 | ||||||
| PC1 | PC2 | PC3 | PC4 | PC1 | PC2 | PC3 | PC4 | |
| LST | −0.513 | −0.792 | 0.331 | 0.015 | −0.605 | 0.684 | 0.406 | −0.029 |
| NDBSI | −0.341 | 0.192 | −0.025 | −0.920 | −0.305 | −0.261 | −0.081 | −0.912 |
| NDVI | 0.710 | −0.223 | 0.583 | −0.326 | 0.661 | 0.189 | 0.645 | −0.333 |
| WET | 0.341 | −0.535 | −0.742 | −0.218 | 0.320 | 0.654 | −0.643 | −0.237 |
| Eigenvalues | 0.098 | 0.007 | 0.004 | 0.001 | 0.105 | 0.005 | 0.004 | 0.001 |
| Percentage variance | 88.77% | 6.77% | 3.41% | 1.05% | 91.15% | 4.74% | 3.32% | 0.79% |
| Years | Global Moran’s I | Mean Square | Z Value | p Value |
|---|---|---|---|---|
| 2005 | 0.9818 | 0.0004 | 2402.23 | 0.01 |
| 2010 | 0.9829 | 0.0004 | 2531.15 | 0.01 |
| 2015 | 0.9780 | 0.0004 | 2679.20 | 0.01 |
| 2020 | 0.9814 | 0.0004 | 2721.81 | 0.01 |
| 2005 | 2010 | 2015 | 2020 | |||||
|---|---|---|---|---|---|---|---|---|
| q | p | q | p | q | p | q | p | |
| X1 | 0.365 | 0.000 | 0.318 | 0.000 | 0.330 | 0.000 | 0.753 | 0.174 |
| X2 | 0.706 | 0.000 | 0.570 | 0.000 | 0.536 | 0.000 | 0.805 | 0.000 |
| X3 | 0.705 | 0.000 | 0.747 | 0.000 | 0.559 | 0.000 | 0.724 | 0.000 |
| X4 | 0.001 | 0.994 | 0.001 | 0.994 | 0.003 | 0.497 | 0.054 | 1.000 |
| X5 | 0.002 | 0.891 | 0.000 | 0.990 | 0.009 | 0.993 | 0.098 | 1.000 |
| X6 | 0.005 | 0.906 | 0.004 | 0.996 | 0.003 | 0.497 | 0.001 | 0.710 |
Disclaimer/Publisher’s Note: The statements, opinions and data contained in all publications are solely those of the individual author(s) and contributor(s) and not of MDPI and/or the editor(s). MDPI and/or the editor(s) disclaim responsibility for any injury to people or property resulting from any ideas, methods, instructions or products referred to in the content. |
© 2024 by the authors. Licensee MDPI, Basel, Switzerland. This article is an open access article distributed under the terms and conditions of the Creative Commons Attribution (CC BY) license (https://creativecommons.org/licenses/by/4.0/).
Share and Cite
Li, S.; Qu, S.; Zhang, G.; Zhou, Y.; Sun, X.; Li, J.; Zhang, S. Spatiotemporal Pattern and Drivers of Ecological Quality in Inner Mongolia. Land 2024, 13, 568. https://doi.org/10.3390/land13050568
Li S, Qu S, Zhang G, Zhou Y, Sun X, Li J, Zhang S. Spatiotemporal Pattern and Drivers of Ecological Quality in Inner Mongolia. Land. 2024; 13(5):568. https://doi.org/10.3390/land13050568
Chicago/Turabian StyleLi, Shouwei, Shufeng Qu, Guoming Zhang, Yuantao Zhou, Xuran Sun, Jiaxue Li, and Shanshan Zhang. 2024. "Spatiotemporal Pattern and Drivers of Ecological Quality in Inner Mongolia" Land 13, no. 5: 568. https://doi.org/10.3390/land13050568
APA StyleLi, S., Qu, S., Zhang, G., Zhou, Y., Sun, X., Li, J., & Zhang, S. (2024). Spatiotemporal Pattern and Drivers of Ecological Quality in Inner Mongolia. Land, 13(5), 568. https://doi.org/10.3390/land13050568
