Identifying the Optimal Area Threshold of Mapping Units for Cultural Ecosystem Services in a River Basin
Abstract
1. Introduction
2. Materials and Methods
2.1. Study Area
2.2. Research Framework
2.3. Data Sources and Preprocessing
2.4. Alternatives for ATMUs
2.5. Indicator Framework
2.5.1. Geo-Hydrological Indicator
2.5.2. Economy Indicator
2.5.3. Social Management Indicator
2.6. Identification of the OATMU
2.7. Validation of the OATMU for CES
3. Results
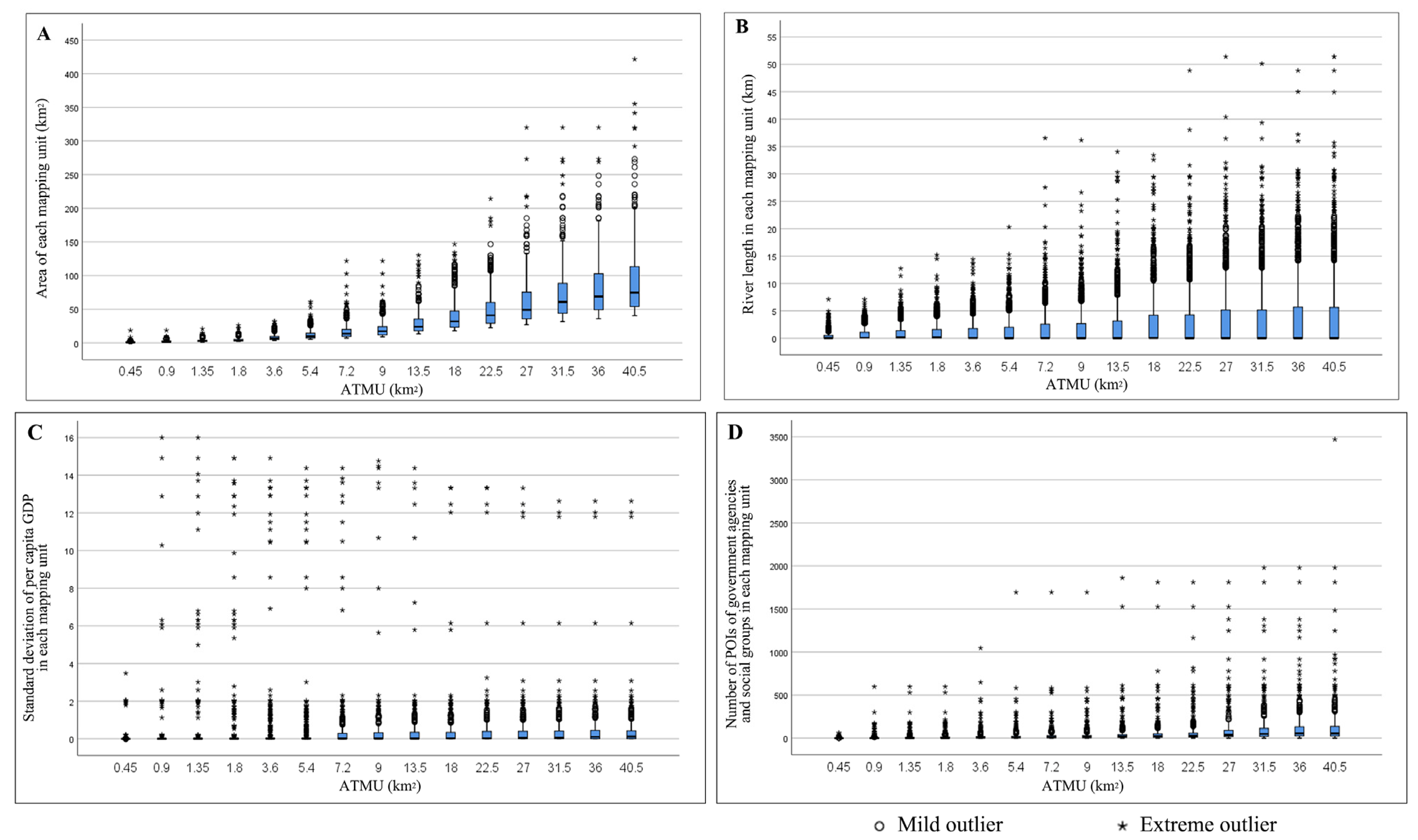
3.1. Characteristics of the Indicators
3.2. Evaluation of the OATMU for CES
3.3. Validation of ATMUs Groups and Administrative Village Group
4. Discussion
4.1. Applicability of the Multi-Dimensional Indicators and Calculation Methods
4.2. Identification and Comparison of the OATMUs for Each Indicator
4.3. Limitations
5. Conclusions
Author Contributions
Funding
Data Availability Statement
Conflicts of Interest
References
- Bachi, L.; Ribeiro, S.C.; Hermes, J.; Saadi, A. Cultural Ecosystem Services (CES) in landscapes with a tourist vocation: Mapping and modeling the physical landscape components that bring benefits to people in a mountain tourist destination in southeastern Brazil. Tour. Manag. 2020, 77, 104017. [Google Scholar] [CrossRef]
- MEA. Ecosystems and Human Well-Being; Island Press: Washington, DC, USA, 2005. [Google Scholar]
- Scholte, S.S.K.; van Teeffelen, A.J.A.; Verburg, P.H. Integrating socio-cultural perspectives into ecosystem service valuation: A review of concepts and methods. Ecol. Econ. 2015, 114, 67–78. [Google Scholar] [CrossRef]
- Breyne, J.; Dufrêne, M.; Maréchal, K. How integrating ‘socio-cultural values’ into ecosystem services evaluations can give meaning to value indicators. Ecosyst. Serv. 2021, 49, 101278. [Google Scholar] [CrossRef]
- Liu, Z.; Liu, Z.; Zhou, Y.; Huang, Q. Distinguishing the Impacts of Rapid Urbanization on Ecosystem Service Trade-Offs and Synergies: A Case Study of Shenzhen, China. Remote Sens. 2022, 14, 4604. [Google Scholar] [CrossRef]
- Kalinauskas, M.; Bogdzevič, K.; Gomes, E.; Inácio, M.; Barcelo, D.; Zhao, W.; Pereira, P. Mapping and assessment of recreational cultural ecosystem services supply and demand in Vilnius (Lithuania). Sci. Total Environ. 2023, 855, 158590. [Google Scholar] [CrossRef]
- Nie, X.; Xie, Y.; Xie, X.; Zheng, L. The characteristics and influencing factors of the spatial distribution of intangible cultural heritage in the Yellow River Basin of China. Herit. Sci. 2022, 10, 121. [Google Scholar] [CrossRef]
- Thiele, J.; Albert, C.; Hermes, J.; von Haaren, C. Assessing and quantifying offered cultural ecosystem services of German river landscapes. Ecosyst. Serv. 2020, 42, 101080. [Google Scholar] [CrossRef]
- Meng, S.; Huang, Q.; Zhang, L.; He, C.; Inostroza, L.; Bai, Y.; Yin, D. Matches and mismatches between the supply of and demand for cultural ecosystem services in rapidly urbanizing watersheds: A case study in the Guanting Reservoir basin, China. Ecosyst. Serv. 2020, 45, 101156. [Google Scholar] [CrossRef]
- Xiong, L.; Li, R. Assessing and decoupling ecosystem services evolution in karst areas: A multi-model approach to support land management decision-making. J. Environ. Manag. 2024, 350, 119632. [Google Scholar] [CrossRef]
- Shen, J.; Chen, C.; Wang, Y. What are the appropriate mapping units for ecosystem service assessments? A systematic review. Ecosyst. Health Sust. 2021, 7, 1888655. [Google Scholar] [CrossRef]
- Campos-Campos, O.; Cruz-Cárdenas, G.; Aquino, R.J.C.; Moncayo-Estrada, R.; Machuca, M.A.V.; Meléndez, L.A.Á. Historical Delineation of Landscape Units Using Physical Geographic Characteristics and Land Use/Cover Change. Open Geosci. 2018, 10, 45–57. [Google Scholar] [CrossRef]
- Alvioli, M.; Marchesini, I.; Pokharel, B.; Gnyawali, K.; Lim, S. Geomorphological slope units of the Himalayas. J. Maps 2022, 18, 300–313. [Google Scholar] [CrossRef]
- Ocelli Pinheiro, R.; Triest, L.; Lopes, P.F.M. Cultural ecosystem services: Linking landscape and social attributes to ecotourism in protected areas. Ecosyst. Serv. 2021, 50, 101340. [Google Scholar] [CrossRef]
- Zhang, S.; Muñoz Ramírez, F. Assessing and mapping ecosystem services to support urban green infrastructure: The case of Barcelona, Spain. Cities 2019, 92, 59–70. [Google Scholar] [CrossRef]
- Aalders, I.; Stanik, N. Spatial units and scales for cultural ecosystem services: A comparison illustrated by cultural heritage and entertainment services in Scotland. Landsc. Ecol. 2019, 34, 1635–1651. [Google Scholar] [CrossRef]
- Wu, M.; Che, Y.; Lv, Y.; Yang, K. Neighbourhood-scale urban riparian ecosystem classification. Ecol. Indic. 2017, 72, 330–339. [Google Scholar] [CrossRef]
- Sun, R.; Jin, X.; Han, B.; Liang, X.; Zhang, X.; Zhou, Y. Does scale matter? Analysis and measurement of ecosystem service supply and demand status based on ecological unit. Environ. Impact Asses 2022, 95, 106785. [Google Scholar] [CrossRef]
- Wu, J.; Guo, X.; Zhu, Q.; Guo, J.; Han, Y.; Zhong, L.; Liu, S. Threshold effects and supply-demand ratios should be considered in the mechanisms driving ecosystem services. Ecol. Indic. 2022, 142, 109281. [Google Scholar] [CrossRef]
- Chen, M.; Cui, Y.; Gassman, P.; Srinivasan, R. Effect of Watershed Delineation and Climate Datasets Density on Runoff Predictions for the Upper Mississippi River Basin Using SWAT within HAWQS. Water 2021, 13, 422. [Google Scholar] [CrossRef]
- Yuan, J.; Li, R.; Huang, K. Driving factors of the variation of ecosystem service and the trade-off and synergistic relationships in typical karst basin. Ecol. Indic. 2022, 142, 109253. [Google Scholar] [CrossRef]
- Wu, H.; Liu, X.; Li, Q.; Hu, X.; Li, H. The Effect of Multi-Source DEM Accuracy on the Optimal Catchment Area Threshold. Water 2023, 15, 209. [Google Scholar] [CrossRef]
- Neumann, A.; Kim, D.; Perhar, G.; Arhonditsis, G.B. Integrative analysis of the Lake Simcoe watershed (Ontario, Canada) as a socio-ecological system. J. Environ. Manag. 2017, 188, 308–321. [Google Scholar] [CrossRef]
- García-Álvarez, D.; Camacho Olmedo, M.T.; Paegelow, M. Sensitivity of a common Land Use Cover Change (LUCC) model to the Minimum Mapping Unit (MMU) and Minimum Mapping Width (MMW) of input maps. Comput. Environ. Urban Syst. 2019, 78, 101389. [Google Scholar] [CrossRef]
- Syrbe, R.; Walz, U. Spatial indicators for the assessment of ecosystem services: Providing, benefiting and connecting areas and landscape metrics. Ecol. Indic. 2012, 21, 80–88. [Google Scholar] [CrossRef]
- Zhang, H.; Loáiciga, H.A.; Feng, L.; He, J.; Du, Q. Setting the Flow Accumulation Threshold Based on Environmental and Morphologic Features to Extract River Networks from Digital Elevation Models. ISPRS Int. J. Geo-Inf. 2021, 10, 186. [Google Scholar] [CrossRef]
- Kong, F.B.; Cao, L.D.; Xu, C.Y. Measurement of Carbon Budget and Type Partition of Carbon Comprehensive: Compensation in the Qiantang River Basin. Econ. Geogr. 2023, 43, 150–161. [Google Scholar]
- Zhang, Y.; Zeng, M.; Zhang, Q.; Ye, D.; Yang, C.; Xu, P.; Ren, X.; Jiang, R.; Li, F. Holocene Spatiotemporal Distribution of Sites and Its Response to Environmental Changes in Qiantang River Basin. Resour. Environ. Yangtze Basin 2022, 31, 2022–2034. [Google Scholar]
- Hale, R.L.; Cook, E.M.; Beltrán, B.J. Cultural ecosystem services provided by rivers across diverse social-ecological landscapes: A social media analysis. Ecol. Indic. 2019, 107, 105580. [Google Scholar] [CrossRef]
- Lin, P.; Pan, M.; Wood, E.F.; Yamazaki, D.; Allen, G.H. A new vector-based global river network dataset accounting for variable drainage density. Sci. Data 2021, 8, 28. [Google Scholar] [CrossRef]
- Yang, K.; Smith, L.C. Internally drained catchments dominate supraglacial hydrology of the southwest Greenland Ice Sheet. J. Geophys. Res. Earth Surf. 2016, 121, 1891–1910. [Google Scholar] [CrossRef]
- Zhang, J.X.; Tang, L.; Xie, T.; Peng, Q. Determination of catchment area threshold for extraction of digital river-network. Water Resour. Hydropower Eng. 2016, 47, 1–4. [Google Scholar] [CrossRef]
- Olsen, N.R.; Tavakoly, A.A.; McCormack, K.A.; Levin, H.K. Effect of User Decision and Environmental Factors on Computationally Derived River Networks. J. Geophys. Res. Earth Surf. 2023, 128, e2022JF006873. [Google Scholar] [CrossRef]
- Chen, J.M.; Lin, G.F.; Yang, Z.H.; Chen, H.Y. The Relationship between DEM Resolution, Accumulation Area Threshold and Drainage Network Indices. In Proceedings of the 2010 18th International Conference on Geoinformatics, Beijing, China, 18–20 June 2010. [Google Scholar]
- Kim, S.; Yoon, S.; Choi, N. Evaluating the Drainage Density Characteristics on Climate and Drainage Area Using LiDAR Data. Appl. Sci. 2023, 13, 700. [Google Scholar] [CrossRef]
- Heasley, E.L.; Clifford, N.J.; Millington, J.D.A. Integrating network topology metrics into studies of catchment-level effects on river characteristics. Hydrol. Earth Syst. Sci. 2019, 23, 2305–2319. [Google Scholar] [CrossRef]
- Valente, D.; Pasimeni, M.R.; Petrosillo, I. The role of green infrastructures in Italian cities by linking natural and social capital. Ecol. Indic. 2020, 108, 105694. [Google Scholar] [CrossRef]
- Montana, C.G.; Winemiller, K.O.; Sutton, A. Intercontinental comparison of fish ecomorphology: Null model tests of community assembly at the patch scale in rivers. Ecol. Monogr. 2014, 84, 91–107. [Google Scholar] [CrossRef]
- Deng, D.C. Composite Politics: Governance Logic of Natural Unit and Administrative Unit. Southeast Acad. Res. 2017, 6, 25–37. [Google Scholar]
- Lan, F.; Lin, Z.Y.; Huang, X. Evolution characteristics of multi-center spatial structure in Xi’an city anddriving factors: A POI data-based analysis. J. Arid. Land Resour. Environ. 2023, 37, 57–66. [Google Scholar] [CrossRef]
- Barnes, R.S.K.; Hamylton, S.M. Isometric scaling of faunal patchiness: Seagrass macrobenthic abundance across small spatial scales. Mar. Environ. Res. 2019, 146, 89–100. [Google Scholar] [CrossRef]
- Militino, A.; Moradi, M.; Ugarte, M. On the Performances of Trend and Change-Point Detection Methods for Remote Sensing Data. Remote Sens. 2020, 12, 1008. [Google Scholar] [CrossRef]
- Colombo, R.; Vogt, J.V.; Soille, P.; Paracchini, M.L.; de Jager, A. Deriving river networks and catchments at the European scale from medium resolution digital elevation data. Catena 2007, 70, 296–305. [Google Scholar] [CrossRef]
- Yang, G.; Deng, F.; Wang, Y.; Xiang, X. Digital Paradox: Platform Economy and High-Quality Economic Development—New Evidence from Provincial Panel Data in China. Sustainability 2022, 14, 2225. [Google Scholar] [CrossRef]
- Villez, K.; Rosén, C.; Anctil, F.; Duchesne, C.; Vanrolleghem, P.A. Qualitative Representation of Trends (QRT): Extended method for identification of consecutive inflection points. Comput. Chem. Eng. 2013, 48, 187–199. [Google Scholar] [CrossRef]
- Zhang, X.J.; Jiao, Y.F.; Liu, J.; Li, W.L.; Li, C.Z. Study on Method of Sub-Basin Partition of Daqing River Based on DEM. Yellow River 2020, 42, 13–17. [Google Scholar]
- Zhang, W.; Li, W.; Loaiciga, H.A.; Liu, X.; Liu, S.; Zheng, S.; Zhang, H. Adaptive Determination of the Flow Accumulation Threshold for Extracting Drainage Networks from DEMs. Remote Sens. 2021, 13, 2024. [Google Scholar] [CrossRef]
- Martín-López, B.; Palomo, I.; García-Llorente, M.; Iniesta-Arandia, I.; Castro, A.J.; García Del Amo, D.; Gómez-Baggethun, E.; Montes, C. Delineating boundaries of social-ecological systems for landscape planning: A comprehensive spatial approach. Land Use Policy 2017, 66, 90–104. [Google Scholar] [CrossRef]
- Per, A.; Laine, B.; Grzegorz, M.; Ulf, S.; Anders, W. Assessing Village Authenticity with Satellite Images: A Method to Identify Intact Cultural Landscapes in Europe. AMBIO J. Hum. Environ. 2003, 32, 594–604. [Google Scholar] [CrossRef]
- Zhou, Y.C.; Qi, Q.W.; Feng, C.F. Characteristics of dynamic variation of the inter-provincial economic difference in China in recent ten years. Geogr. Res. 2002, 21, 781–790. [Google Scholar]
- González Del Tánago, M.; Gurnell, A.M.; Belletti, B.; García De Jalón, D. Indicators of river system hydromorphological character and dynamics: Understanding current conditions and guiding sustainable river management. Aquat. Sci. 2016, 78, 35–55. [Google Scholar] [CrossRef]
- Cheng, Z.Y.; Zhang, X.N.; Fang, Y.H. Application and comparison of identification methods for critical catchment area threshold in Jialing River Basin. Yangtze River 2017, 48, 25–29. [Google Scholar] [CrossRef]
- Zheng, Y.; Yu, C.; Zhou, H.; Xiao, J. Spatial Variations and Influencing Factors of River Networks in River Basins of China. Int. J. Environ. Res. Public Health 2021, 18, 11910. [Google Scholar] [CrossRef]
- Liang, H.; Guo, Z.; Wu, J.; Chen, Z. GDP spatialization in Ningbo City based on NPP/VIIRS night-time light and auxiliary data using random forest regression. Adv. Space Res. 2020, 65, 481–493. [Google Scholar] [CrossRef]
- Zhou, M.; Deng, J.; Lin, Y.; Zhang, L.; He, S.; Yang, W. Evaluating combined effects of socio-economic development and ecological conservation policies on sediment retention service in the Qiantang River Basin, China. J. Clean. Prod. 2021, 286, 124961. [Google Scholar] [CrossRef]
- Wang, D.; Xie, H.M. Study on the Kuznets Effect of County Ecosystem Service Value within the Basin: Taking Qiantang River Basin as an Example. Ecol. Econ. 2021, 37, 147–152. [Google Scholar]
- Zhen, Z.; Lei, T.; Ke, N. Ecological welfare performance and its convergence under the evolution of Qiantang River Basin ecological protection policies. China Popul. Resour. Environ. 2022, 32, 198–207. [Google Scholar]
- Li, F.M. Study on the Path and Effects of Hangzhou’s Strategy of “Embracing the River”. China Collect. Econ. 2018, 7, 34–35. [Google Scholar]
- Tang, J.; Cheng, Q.M.; Chen, Y. Determination Method of Optimal Catchment Area Threshold Based on ArcGIS-Matlab. Water Resour. Power 2021, 39, 46–48. [Google Scholar]
- Shen, J.; Guo, X.; Wang, Y. Identifying and setting the natural spaces priority based on the multi-ecosystem services capacity index. Ecol. Indic. 2021, 125, 107473. [Google Scholar] [CrossRef]






| Data | Time | Scale/Format/Resolution | Source |
|---|---|---|---|
| Digital elevation Model (DEM) | 2022 | The Qiantang River Basin, grid, 30 m | Geospatial Data Cloud (https://www.gscloud.cn/, accessed on 26 May 2023) |
| China population spatial distribution data | 2019 | China, gird, 1 km | Resource and Environmental Science and Data Center of the Chinese Academy of Sciences (https://www.resdc.cn/, accessed on 29 May 2023) |
| China GDP spatial distribution data | 2019 | China, gird, 1 km | Resource and Environmental Science and Data Center of the Chinese Academy of Sciences (https://www.resdc.cn/, accessed on 29 May 2023) |
| China administrative boundary data | 2021 | The Qiantang River Basin, shape, shape | Resource and Environmental Science and Data Center of the Chinese Academy of Sciences (https://www.resdc.cn/, accessed on 5 May 2023) |
| Point of interest (POI) | 2022 | The Qiantang River Basin, point, point | Amap Company (https://www.amap.com/, accessed on 26 May 2023) |
| Study Area (km2) | Range of Alternative (km2) | Number of Alternatives | Optimal Catchment Area Threshold (km2) | Identification Method |
|---|---|---|---|---|
| 1350 | 0.45~40.5 | 15 | 7.2 | Drainage density method [32] |
| 772.6 | 0.0081~6.4800 | 10 | 4.05 | Box dimension method [22] |
| Multi-basins | 0.5~10 | 6 | 5 | Coefficient of line correspondence [33] |
| 1700.61 | 0.9~18 | 7 | 7.2 | Drainage density method [34] |
| 95,400 | 0.078~3.125 | 7 | 1.5625 | Box-Counting Method [26] |
| 95,400 | 0.1562~3.90625 | 13 | 1.40625 | Multifractal Method [26] |
| Administrative Village Group | Left-OATMU Group | OATMU Group | Right-OATMU Group | |
|---|---|---|---|---|
| Mean area | 6.29 | 4.19 | 8.23 | 12.63 |
| Range | 63.42 | 24.84 | 53.24 | 62.72 |
| Minimum | 0.34 | 1.80 | 3.60 | 5.40 |
| Maximum | 63.75 | 26.64 | 56.84 | 68.12 |
| Lower quartile | 2.25 | 2.42 | 4.79 | 7.28 |
| Median | 4.13 | 3.41 | 6.66 | 10.14 |
| Upper quartile | 6.93 | 5.06 | 9.95 | 15.47 |
| Boxplot | ![]() | |||
Disclaimer/Publisher’s Note: The statements, opinions and data contained in all publications are solely those of the individual author(s) and contributor(s) and not of MDPI and/or the editor(s). MDPI and/or the editor(s) disclaim responsibility for any injury to people or property resulting from any ideas, methods, instructions or products referred to in the content. |
© 2024 by the authors. Licensee MDPI, Basel, Switzerland. This article is an open access article distributed under the terms and conditions of the Creative Commons Attribution (CC BY) license (https://creativecommons.org/licenses/by/4.0/).
Share and Cite
Li, Y.; Huang, J.; Wang, Y. Identifying the Optimal Area Threshold of Mapping Units for Cultural Ecosystem Services in a River Basin. Land 2024, 13, 346. https://doi.org/10.3390/land13030346
Li Y, Huang J, Wang Y. Identifying the Optimal Area Threshold of Mapping Units for Cultural Ecosystem Services in a River Basin. Land. 2024; 13(3):346. https://doi.org/10.3390/land13030346
Chicago/Turabian StyleLi, Ye, Junda Huang, and Yuncai Wang. 2024. "Identifying the Optimal Area Threshold of Mapping Units for Cultural Ecosystem Services in a River Basin" Land 13, no. 3: 346. https://doi.org/10.3390/land13030346
APA StyleLi, Y., Huang, J., & Wang, Y. (2024). Identifying the Optimal Area Threshold of Mapping Units for Cultural Ecosystem Services in a River Basin. Land, 13(3), 346. https://doi.org/10.3390/land13030346


