Abstract
As China’s urbanization process continues to accelerate and the price of traditional commercial property continues to rise, a number of small property rights houses without construction permits and approvals have appeared on rural land. Although small property rights housing does not have the validity of property rights or the legal attributes of ordinary commercial housing, and the Chinese government has repeatedly introduced corresponding laws and regulations to regulate its purchase and sale, small property right housing is still purchased by many consumers because of its price advantage, and the number of disputes arising from its purchase and sale is on the rise every year. In addition, the phenomenon of developers building on rural land in violation of the law and real estate agents guaranteeing property without authorization has led to a waste of judicial resources and the infringement of property rights. This paper analyzes the actual situation and the main problems surrounding the governance of small property rights housing and constructs a quadrilateral evolutionary game model with the government, consumers, developers, and real estate agents as the main players. By analyzing various equilibrium points corresponding to different stages of small property rights housing governance, a simulation analysis is conducted using Matlab2016a software to examine the strategic choices of each stakeholder. By adjusting and simulating various parameters, this study investigates the key factors influencing the governance of small property rights housing. This study revealed the following points: (1) at different stages in the governance of small property rights housing, the choice of a strategy by each subject is affected by the expected benefits and costs; (2) the relevant government fines will regulate the strategic choices of developers and real estate agents; (3) consumers’ purchasing tendency is affected by the price of small property rights housing and the risk estimation; (4) the governance of small property rights housing needs a long-term standardization of practice, and the government not only needs to improve the reward and punishment mechanism but also needs to provide positive guidance to the consumers. Through numerical simulation, we explore the impact of the main parameters of the current small property rights housing governance process on the strategic selections made by the game players, which is of great significance for the current policy and future governance of small property rights housing. This paper contributes additional insights to the existing body of theoretical literature through quantitative analysis. Nonetheless, there is a need for the further refinement of the parameter settings used in the study. Additionally, while the simulation analysis provides valuable perspectives, it is somewhat subjective and possesses certain limitations.
1. Introduction
Rural housing represents a global challenge that is linked to sustainable development, social justice, and quality of life. The construction of relevant basic public facilities and the suitability of the environment remain issues that need resolution. Sustainable development in rural areas is of great importance to all countries [1,2]. China implements a dual land system, comprising state land ownership and rural collective land ownership, with traditional commercial housing required to be built on state-owned land after approval [3]. With the acceleration of urbanization and the blurring of urban–rural boundaries, the rapid increase in the urban population has led to a significant rise in housing demand. This demand has exceeded the supply capacity of traditional commercial housing in some cities [4], leading to the emergence of small property rights housing on rural land, which are built without approval and do not conform to planning and construction norms. Jiang et al. [5] concluded that consumers’ purchases of small property rights housing are mainly driven by five factors: monetary value influence, basic housing improvement, environment, work–life needs, and perceived interest realization. Due to their price advantage and simplified purchasing procedures, as well as a low level of consumer awareness about the legal risks [6], the transaction volume of these houses has continually increased. The construction area of small property rights in China was about 7.3 billion square meters in 2020, accounting for 24% of the total housing area [7]. However, it is challenging to achieve equal market access and pricing for collectively owned rural land compared to state-owned land. The property rights and legal status of small property rights housing have always been ambiguous. The governance policy for small property rights housing is mostly in the form of normative documents. For example, the 2009 Decision of the Standing Committee of the Shenzhen Municipal People’s Congress on the Handling of Illegal Buildings Remaining from the History of Rural Urbanization provides guidelines for the categorization of small property rights housing to differentiate the degree of illegality, on the basis of which the right to ownership or demolition will be established. There are currently no specialized laws and regulations. Courts have varied in their rulings regarding the recognition, utilization, and protection of rights in disputes involving small property rights housing transactions [8]. There has been continuous controversy in legislative and judicial recognition, leading to a lack of a unified opinion and often resulting in damage to consumers’ property rights.
In contrast to the traditional 70-year property rights commodity housing, small property rights housing is a type of illegally constructed housing on collective land, without designated property rights [9]. Legally, the concept of small property rights housing does not exist [10]. It is a term conventionally used in specific trading activities and judicial practices, based on the sale and purchase agreements between the parties involved regarding the housing in question. Small property rights housing is generally built by developers illegally on rural collective land [11]. When purchasing such housing, the transaction includes the house and the attached land use rights, and the house is owned by the rural collective land. Furthermore, these houses cannot have property rights set; land certificates and property ownership certificates in China are issued for commodity houses developed under the national unified land planning [12]. Small property rights houses are unable to pay land transfer fees and cannot undergo legal procedures for property rights such as transfer or mortgage. Due to the lack of a building permit and formal property rights, transactions for such houses are not conducted through the official real estate registration and transaction systems. The method of transaction is often through advertising or direct transactions between individuals, with the handover of the house being completed simply by signing a purchase contract. Although formal land registration cannot be carried out, there are practices where some notary offices notarize transaction contracts. Additionally, some local governments have adopted a tolerant attitude toward this situation. In handling related cases, courts sometimes recognize these houses as property under the “Civil Code” to ensure the ownership rights of the parties involved. Although some houses are issued property rights certificates by village committees, these cannot replace the property rights certificates issued by housing management departments and, thus, cannot be recorded for land and housing [13]. Houses illegally built on agricultural or forest land not only face the risk of not receiving compensation in the event of forced demolition but also face economic disputes such as the inability to recover the purchase cost. At the social level, failure to regulate the transaction of small property rights housing will cause confusion in the real estate market, affecting current urban planning and development as well as social stability.
In the governance process of small property rights housing, reliance on the government alone is not sufficient; the strategic choices of various social entities are also crucial. Currently, although the government has implemented strict governance policies, developers continue to build illegally, and real estate agents often conceal the legal risks of small property rights housing from consumers [14]. The effective prevention of the creation and continued transaction of small property rights housing can only be achieved when both parties legally fulfill their obligations. In this context, we propose a four-party evolutionary game model, where the government, consumers, developers, and real estate agents are the four main entities. This model describes the game mechanisms under different strategies to illustrate the impact of the cooperation of various stakeholders on the governance of small property rights housing and to provide relevant recommendations.
2. Literature Reviews
With regard to the definition of property rights in housing He et al. [15] conducted a quantitative study on the pricing mechanism of China’s small property rights housing market, taking Shenzhen’s small property rights housing as the research object. The results of the study show that the characteristics of the developers have a significant impact on the price of small property rights housing, and that adequately addressing the housing needs and preferences of the public can improve the efficiency of the land market. Lai et al. [16] used a boundary fixed-effects approach and a matching strategy to measure the impact of property rights on house prices, and their findings suggest that property rights have a significant impact on house prices in Shenzhen, China, and that the lack of legal property rights significantly reduces house prices. Sun et al. [17] argue that consumers buy small property rights housing mainly due to their affordability and socio-cultural factors. From the perspectives of investment, transaction value, and probability of demolition, the absence of legal property rights does not affect residents’ daily lives. Qiao [18] argues that the functioning of the real estate market often requires houses to have legal titles and accordingly suggests that the power of community organizations and intermediaries can be brought to bear, with village cooperatives as a coordinator to reduce the risk of contracts. Wang et al. [19] estimated the value of legal property rights using data from the Beijing Housing Project and a spatial econometric model, and showed that legal property rights increase the value of a property and that if a house does not have a legal property right, the price decreases by 45–60%. Lai et al. [20] argue that there is currently a lack of regulations around rural collective land transactions, the relevant laws are imperfect, and villagers have a low capacity to invest in land.
With regard to the governance of small property rights housing, Li [21] considers that small property rights housing not only violates the relevant provisions of the law on rural land ownership but also disrupts the order of the real estate market and poses a greater risk to consumers. The laws and regulations on small property rights housing should be improved as soon as possible, and the existing small property rights housing should be removed reasonably. Li [22] argues that small property rights housing lacks legal protection, in terms of jurisprudence, that the illegality of small property rights housing does not mean that the sale and purchase agreement is invalid, and that the legality of small property rights housing should be progressively recognized and allowed to circulate freely. Chen et al. [23] believe that the sale of small property rights housing involves a large number of interested subjects, and such sale contracts should not be invalidated but rather should be classified through the establishment of a legal leasehold system to solve the problem of not being able to handle the registration of the right of property. Hu et al. [24] suggested changing government functions, establishing basic principles for the transfer of rural land-use rights, and improving property intermediaries to control small property rights. In the application of evolutionary game models, Dong [25] investigated the synergistic mechanism of the multi-bodies of guaranteed rental housing by constructing a three-party evolutionary game model and put forward suggestions to strengthen the government’s supervision efforts. Yin [26] explored the development and construction process of intelligent buildings by constructing a tripartite evolutionary game model of the government, developers, and construction companies, and makes suggestions for developers’ decision-making behavior. Xiong et al. [27] analyzed land development and allocation by constructing an evolutionary game model with governments at all levels as the main body, and their findings suggest that government financial incentives can enhance governance.
After reviewing the literature, we find that most of the studies on small property rights housing and its governance in China are theoretical, and the quantitative analyses focus on the factors influencing the price of small property rights housing from the index system. Its governance recommendations are mostly from the perspective of government functions, and there is insufficient research on the synergistic governance of various social actors. There are gaps in the application of game theory and evolutionary game modeling, and the roles of the various stakeholders are not widely articulated. In this paper, we study the role of each social subject in the development and governance of small property rights housing and construct an evolutionary game model for the governance of small property rights housing with consumers, government, developers, and real estate agents as the four main stakeholders. The simulation of the main parameters to draw conclusions adds to the current literature on mechanisms for cooperation among social subjects, which is of great significance for the further governance of small property rights housing in China.
3. Methods
3.1. Model Descriptions
In the governance of small property rights housing, each stakeholder should assume corresponding social responsibility and fulfill their relative obligations. The government, consumers, developers, and real estate agents are the main stakeholders in the governance of small property rights housing [14]. They maintain the rational planning and construction of rural land and promote the healthy development of the real estate industry. For the government, adopting a strict governance policy then builds up the government’s image and improves its credibility. Developers and real estate agents are subject to fines from the government for non-compliance in development and sales. Consumers choose whether to buy or not on the basis of weighing the price difference and the risk of loss. Through the application of evolutionary game theory, the selection of evolutionary strategies for the four subjects is established in the following manner:
The Government’s strategies are strict governance and no governance. Under the strategy of strict governance, the government is the dominant player in the governance of small property rights housing, responsible for formulating and enforcing relevant laws and regulations, and ensuring that land use and housing construction are in line with planning. It also plays a coordinating role among stakeholders, balancing the interests of developers and consumers as well as the needs of urban development. In addition, the government increases consumer awareness about the problem of small property rights through publicity and education campaigns and guides the conduct of legal housing transactions. The government does not take any action under the no-governance strategy.
Consumer strategies are to buy and not to buy. Under the strategy of buying, consumers chooses to actively purchase small property rights housing, which may benefit from the low price of small property rights housing, but at the same time, this choice also bears the risk of purchasing illegally titled properties [28]. When choosing a small property rights housing, due to the lack of clarity surrounding its legal status and related risks, the repossession of the housing may occur, causing economic disputes and property losses. Consumers do not act under the no-buy strategy.
The strategies of developers are illegal building and non-building. Under the strategy of illegal building, developers do not comply with the relevant laws and regulations on land use and housing construction, illegally build small property rights housing on collective land in rural areas without approval, and sell them for profit without sales authorization [29]. Under the strategy of non-construction, developers comply with relevant laws and regulations and do not take any action to build illegally.
The strategies of real estate agents are to sell and not to sell. Under the strategy of selling, real estate agents provide market information and help buyers and sellers in small property rights housing transactions. In this case, the real estate agent may conceal the legal risks of the small property rights housing from the client and receive a commission if the transaction is successful. Under the non-selling strategy, the real estate agent complies with the relevant laws and regulations and does not take action to sell the small property rights housing.
3.2. Model Assumptions
In order to comprehensively analyze the strategic decisions made by each stakeholder in the governance process of small property rights housing, under the premise that the four parties are limited in rationality, the relevant parameters are set as shown in Table 1.
Table 1.
Symbols and descriptions.
- (1)
- The main stakeholders in the governance of small property rights housing, the government, consumers, developers, and real estate agents, are four limited rational subjects, who will be affected by information asymmetry, randomness, and other factors. Quadratic subjects evolve and learn to achieve optimal strategy selection.
- (2)
- The probability that the government chooses a strict governance strategy is x, while the probability of choosing not to govern is 1 − x, where x ∈ (0, 1). Under the strategy of the strict governance of small property rights housing, the government’s governance cost and benefit are Cg and Rg, respectively. The fine imposed on the developer for illegal construction is denoted as K, and the fine imposed on the real estate agent for illegal selling is denoted as G.
- (3)
- The probability that consumers choose to buy is y, while the probability of choosing not to buy is 1 − y, where y ∈ (0, 1). Under the strategy of purchasing small property rights housing, the additional cost of its purchase is denoted as Cc, the risk of loss assumed is denoted as I, a reduction in the loss may occur under the coordination of the government, and the risk probability factor is denoted as n, where n ∈ (0, 1). The market price difference between commercial and small property rights housing is denoted as P.
- (4)
- The probability that a developer chooses to build illegally is z, and the probability that he chooses not to build is 1 − z, where z ∈ (0, 1). Under the strategy of illegal construction of small property rights housing, its benefits and costs are denoted as Rd and Cd, respectively, where Rd > Cd. The probability that the real estate agent chooses to sell is m, and the probability not to sell is 1 − m, where m ∈ (0, 1). The benefits and costs under the strategy of selling small property rights housing in violation of the law are denoted as Rr and Cr, where Rr > Cr. In the case where a developer builds in violation of the law and chooses not to sell, they are rewarded by the government with a parameter denoted as L.
4. Model Establishment and Solution
4.1. Model Establishment
From the above, there are 16 groups of quadrilateral evolutionary game strategy combinations consisting of the government, the consumer, the developer, and the real estate agent: (x,y,z,m), (x,y,z,1 − m), (x,y,1 − z,m), (x,y,1 − z,1 − m), (x,1 − y,z,1 − m), (x,1 − y,z,1 − m), (x,1 − y,1 − z,m), (x,1 − y,1 − z,1 − m), (1 − x,y,z,m), (1 − x,y,z,1 − m), (1 − x,y,z,1 − m), (1 − x,y,1 − z,m), (1 − x,y,1 − z,1 − m), (1 − x,1 − y,z,1 − m), and (1 − x,1 − y,1 − z,1 − m). The case (1 − x,1 − y,1 − z,1 − m) implies that there is neither benefit nor loss for the quadrilateral subject; therefore, this point represents the situation when small property rights housing is not present. The case (x,y,z,m) implies that the government pays the cost of governance and obtains the corresponding fines, the developers and real estate agents obtain the benefits but need to pay the fines, and the consumers obtain the corresponding difference in price but take the risk of loss and pay the costs; this point represents the current state of small property rights housing governance. Using these two points as a basis, combined with the model assumptions in Section 3, Table 2 shows the strategy choices of quadratic subjects under different strategies.
Table 2.
Strategy and return matrix.
4.2. Replication Dynamic Equation
Assume that V11 and V12 are the expected returns for the government if it chooses to strictly govern and not to govern small property rights housing, respectively, and V1 represents the average return. Given the return matrix mentioned above, the replication dynamic equation F(x) for the government is depicted as follows.
V11 = (Cg − Rg)(m − 1)(y − 1)(z − 1) − z(m − 1)(y − 1)(Cg − K + L) + myz(G − Cg + K) + my(Cg − G)(z − 1) − mz(y − 1)(G − Cg + K) + yz(m − 1)(Cg − K + L) − m(Cg − G)(y − 1)(z − 1) − y(Cg − Rg)(m − 1)(z − 1)
V12 = 0
V1 = x(Rg − Cg + Gm − Rgm + Kz − Lz − Rgz + Lmz + Rgmz)
F(x) = dx/dt = x(1 − x)(Rg − Cg + Gm − Rgm + Kz − Lz − Rgz + Lmz + Rgmz)
V12 = 0
V1 = x(Rg − Cg + Gm − Rgm + Kz − Lz − Rgz + Lmz + Rgmz)
F(x) = dx/dt = x(1 − x)(Rg − Cg + Gm − Rgm + Kz − Lz − Rgz + Lmz + Rgmz)
Assume that V21 and V22 are the expected returns for the consumers if they choose to buy and not to buy small property rights housing, respectively, and V2 represents the average return. Similarly, F(y) can be derived.
V21 = Cc(m − 1)(x − 1)(z − 1) − mxz(Cc − P + In) + mx(z − 1)(Cc − P + In) + mz(x − 1)(Cc − P + In) + xz(m − 1)(Cc − P + In) − Ccx(m − 1)(z − 1) − m(x − 1)(z − 1)(Cc − P + In) − z(m − 1)(x − 1)(Cc − P + In)
V22 = 0
V2 = −y(Cc − Pm − Pz + Imn + Inz + Pmz − Imnz)
F(y) = dy/dt = y(y − 1)(Cc − Pm − Pz + Imn + Inz + Pmz − Imnz)
V22 = 0
V2 = −y(Cc − Pm − Pz + Imn + Inz + Pmz − Imnz)
F(y) = dy/dt = y(y − 1)(Cc − Pm − Pz + Imn + Inz + Pmz − Imnz)
Assume that V31 and V32 are the expected returns for the developers if they choose to illegally build small property rights housing and not to build, respectively, and V3 represents the average return. Similarly, F(z) can be derived.
V31 = mx(y − 1)(Cd + K) + Cd(m − 1)(x − 1)(y − 1) − mxy(Cd + K − Rd) − x(m − 1)(y − 1)(Cd + K) + my(Cd − Rd)(x − 1) + xy(m − 1)(Cd + K − Rd) − Cdm(x − 1)(y − 1) − y(Cd − Rd)(m − 1)(x − 1)
V32 = 0
V3 = −z(Cd + Kx − Rdy)
F(z) = dz/dt = z(z − 1)(Cd + Kx − Rdy)
V32 = 0
V3 = −z(Cd + Kx − Rdy)
F(z) = dz/dt = z(z − 1)(Cd + Kx − Rdy)
Assume that V41 and V42 are the expected returns for the real estate agents if they choose to sell small property rights housing and not to sell, respectively, and V4 represents the average return. Similarly, F(m) can be derived.
V41 = xz(y − 1)(Cr + G) + Cr(x − 1)(y − 1)(z − 1) − xyz(Cr + G − Rr) − x(y − 1)(z − 1)(Cr + G) + yz(Cr − Rr)(x − 1) + xy(z − 1)(Cr + G − Rr) − Crz(x − 1)(y − 1) − y(Cr − Rr)(x − 1)(z − 1)
V42 = Lxyz − Lxz(y − 1)
V4 = Rrmy − Gmx − Crm + Lxz − Lmxz
F(m) = dm/dt = m(m − 1)(Cr + Gx − Rry + Lxz)
V42 = Lxyz − Lxz(y − 1)
V4 = Rrmy − Gmx − Crm + Lxz − Lmxz
F(m) = dm/dt = m(m − 1)(Cr + Gx − Rry + Lxz)
4.3. Analysis of Equilibrium Points
In evolutionary game theory, the replication dynamic equation equaling zero signifies that the system has reached a state of dynamic equilibrium. Let f(x) = 0, f(y) = 0, f(z) = 0, and f(m) = 0. In the governance of small property rights housing, each stakeholder’s strategic choices are unique, leading to 0 or 1 as the ultimate decision for all involved parties. Each equilibrium point is shown in Table 3 and Table 4. According to Friedman’s theorem, the Jacobian matrix is stable when all the eigenvalues are negative, and it is unstable if at least one positive real value appears. The Jacobian matrices of the four-party game are as follows:
dF(x)/dx = −(x − 1)*(Rg − Cg + G*m − Rg*m + K*z − L*z − Rg*z + L*m*z + Rg*m*z) − x*(Rg − Cg + G*m − Rg*m + K*z − L*z − Rg*z + L*m*z + Rg*m*z)
dF(x)/dy = 0
dF(x)/dz = −x*(x − 1)*(K − L − Rg + L*m + Rg*m)
dF(x)/dm = −x*(x − 1)*(G − Rg + L*z + Rg*z)
dF(y)/dx = 0
dF(y)/dy = y*(Cc − P*m − P*z + I*m*n + I*n*z + P*m*z − I*m*n*z) + (y − 1)*(Cc − P*m − P*z + I*m*n + I*n*z + P*m*z − I*m*n*z)
dF(y)/dz = y*(1 − y)*(P − I*n − P*m + I*m*n)
dF(y)/dm = −y*(y − 1)*(P − I*n − P*z + I*n*z)
dF(z)/dx = K*z*(z − 1)
dF(z)/dy = −Rd*z*(z − 1)
dF(z)/dz = (z − 1)*(Cd + K*x − Rd*y) + z*(Cd + K*x − Rd*y)
dF(z)/dm = 0
dF(m)/dx = m*(G + L*z)*(m − 1)
dF(m)/dy = -Rr*m*(m − 1)
dF(m)/dz = L*m*x*(m − 1)
dF(m)/dm = m*(Cr + G*x − Rr*y + L*x*z) + (m − 1)*(Cr + G*x − Rr*y + L*x*z)
dF(x)/dy = 0
dF(x)/dz = −x*(x − 1)*(K − L − Rg + L*m + Rg*m)
dF(x)/dm = −x*(x − 1)*(G − Rg + L*z + Rg*z)
dF(y)/dx = 0
dF(y)/dy = y*(Cc − P*m − P*z + I*m*n + I*n*z + P*m*z − I*m*n*z) + (y − 1)*(Cc − P*m − P*z + I*m*n + I*n*z + P*m*z − I*m*n*z)
dF(y)/dz = y*(1 − y)*(P − I*n − P*m + I*m*n)
dF(y)/dm = −y*(y − 1)*(P − I*n − P*z + I*n*z)
dF(z)/dx = K*z*(z − 1)
dF(z)/dy = −Rd*z*(z − 1)
dF(z)/dz = (z − 1)*(Cd + K*x − Rd*y) + z*(Cd + K*x − Rd*y)
dF(z)/dm = 0
dF(m)/dx = m*(G + L*z)*(m − 1)
dF(m)/dy = -Rr*m*(m − 1)
dF(m)/dz = L*m*x*(m − 1)
dF(m)/dm = m*(Cr + G*x − Rr*y + L*x*z) + (m − 1)*(Cr + G*x − Rr*y + L*x*z)
Table 3.
Eigenvalues corresponding to each equilibrium (x = 1).
Table 4.
Eigenvalues corresponding to each equilibrium (x = 0).
5. Numerical Simulation Analysis
5.1. Stability Point Analysis
The subsequent parameters were modeled under different conditions for the equilibrium point. In Figure 1, Figure 2, Figure 3, Figure 4, Figure 5, Figure 6, Figure 7, Figure 8, Figure 9, Figure 10, Figure 11 and Figure 12, each line illustrates the strategic choices and changes by various stakeholders involved in the governance of small property rights housing, including the government (x), the consumer (y), developers (z), and real estate agents (m), in different states. In the first set of diagrams (Figure 1, Figure 3, Figure 5, Figure 7, Figure 9 and Figure 11), the y-, z-, and m-coordinate axes represent the strategic choices of the three remaining parties, under the assumption of varying initial probabilities for government strategy selection. The second set of diagrams (Figure 2, Figure 4, Figure 6, Figure 8, Figure 10 and Figure 12) features time change on the horizontal axis (t) and the strategic choices of the four parties on the vertical axis. The shorter the time span (t), the more pronounced the short-term strategic shifts of each participant will be. In this context, we utilize Matlab software to conduct simulation analysis.
Figure 1.
Numerical simulation: (a) x = 0.3; (b) x = 0.9.
Figure 2.
Evolution and selection of strategies (0,0,0,0): (a) The government; (b) consumers; (c) developers; (d) real estate agents.
Figure 3.
Numerical simulation: (a) x = 0.2; (b) x = 0.8.
Figure 4.
Evolution and selection of strategies (0,1,1,1): (a) the government; (b) consumers; (c) developers; (d) real estate agents.
Figure 5.
Numerical simulation: (a) x = 0.3; (b) x = 0.9.
Figure 6.
Evolution and selection of strategies (1,1,1,1): (a) the government; (b) consumers; (c) developers; (d) real estate agents.
Figure 7.
Numerical simulation: (a) x = 0.1; (b) x = 0.9.
Figure 8.
Evolution and selection of strategies (1,1,0,1): (a) the government; (b) consumers; (c) developers; (d) real estate agents.
Figure 9.
Numerical simulation: (a) x = 0.3; (b) x = 0.7.
Figure 10.
Evolution and selection of strategies (1,1,1,0): (a) the government; (b) consumers; (c) developers; (d) real estate agents.
Figure 11.
Numerical simulation: (a) x = 0.1; (b) x = 0.8.
Figure 12.
Evolution and selection of strategies (1,0,0,0): (a) the government; (b) consumers; (c) developers; (d) real estate agents.
In order to make the simulation results more scientific, a high probability group and a low probability group were set for one of the subjects to compare the strategy changes in the other three parties. From Table 3 and Table 4, it can be seen that some equilibrium points exist with eigenvalues greater than 0. Therefore, ESS points can only exist in the following cases:
The point (0,0,0,0) represents when small property rights housing was not available; for the point (0,0,0,0) to be considered a stable point in the evolutionary game, the condition Rg – Cg < 0 must be fulfilled. Let Rg = 10, Cg = 12, K = 3, G = 2, P = 3, Cc = 2, n = 0.6, I = 4, Rd = 5, Cd = 7, Rr = 4, Cr = 6, and L = 1. Figure 1 and Figure 2 present the simulation outcomes depicting the evolution of strategy choices among the four parties over time, where all four main strategies converge to 0. The reason for this is that developers do not build small property rights housing, and consumers have nowhere to buy it, at which point there is no need for governance. There was little difference between the high and low probability groups.
The point (0,1,1,1) represents the early days of small property rights housing, when it started to become popular. For this point to be recognized as a stable point in the evolutionary game, the conditi–ns G − Cg + K < –, Cc − P + In < –, Cd − Rd < 0, a–d Cr − Rr < 0 must be fulfilled. Let Rg = 10, Cg = 12, K = 3, G = 2, P = 5, Cc = 1, n = 0.2, I = 4, Rd = 7, Cd = 2, Rr = 6, Cr = 2, and L = 1. Figure 3 and Figure 4 present the simulation outcomes depicting the evolution of strategy choices among the four parties over time, where the government’s strategic choice tends toward 0, while the remaining three subjects tend toward 1. The main reason for this is that with urbanization, the supply of traditional commercial housing exceeds the demand. Some developers are illegally building and selling small property rights housing on rural land for profit. Real estate agents have begun to take advantage of legal gaps in the sale and purchase of small property rights housing, which consumers will buy as housing or investment due to a lack of awareness of small property rights housing. At this point, due to the lagging nature of laws and regulations, the government is unable to govern in a timely manner and needs to conduct market research to determine the direction of governance. There was little difference between the high and low probability groups.
As the number of transactions of small property rights housing increased dramatically, the government began to strictly control them, as represented by the point (1,1,1,1). For this point to be recognized as a stable point in the evolutionary game, the conditions Cg − G − K < 0, Cc − P + In < 0, Cd + K − Rd < 0, and Cr + G + L − Rr < 0 must be fulfilled. Let Rg = 9, Cg = 4, K = 3, G = 2, P = 5, Cc = 1, n = 0.1, I = 6, Rd = 16, Cd = 3, Rr = 10, Cr = 2, and L = 1. Figure 5 and Figure 6 present the simulation outcomes depicting the evolution of strategy choices among the four parties over time, where quadratic subject strategy choices all tend toward 1, and the low probability group tends to have a more pronounced strategy choice of 1. The main reason for this is the increase in the volume of consumer purchases and the increase in revenue for developers and real estate agents. In response to this phenomenon, the government has strengthened the formulation and improvement of laws and regulations to clarify the legal status of small property rights housing and the principles for dealing with it. Strict regulatory measures are enforced, such as investigating and dealing with illegal construction, strengthening market monitoring, and providing information on legitimate housing stock. Fines were also imposed on real estate agents and developers for violations of the law.
With the government’s stringent control, and its effects beginning to bear fruit, developers have begun to stop building small property rights housing, as represented by the point (1,1,0,1). For this point to be recognized as a stable point in the evolutionary game, the conditions Cg − G < 0, Cc − P + In < 0, Rd − K − Cd < 0, and Cr + G − Rr < 0 must be fulfilled. Let Rg = 9, Cg = 1, K = 3, G = 2, P = 5, Cc = 1, n = 0.1, I = 6, Rd = 6, Cd = 5, Rr = 10, Cr = 2, and L = 1. Figure 7 and Figure 8 present the simulation outcomes depicting the evolution of strategy choices among the four parties over time, where the developer’s strategy choice tends toward 0 and the other three parties’ strategy choices tend toward 1, and there is little difference in strategy choice between the high and low probability groups. The main reason for this is the implementation of corrective measures by the government, including the demolition of unauthorized buildings, improvement of planning, and provision of resettlement programs, together with education and legal awareness. By increasing the fines imposed on developers in this context, developers’ expected returns are significantly reduced, and in the face of government governance and regulation, developers will avoid getting involved in the small property rights housing market.
With the government’s stringent control, real estate agents are also gradually stopping the sale of small property rights housing, as represented by the point (1,1,1,0). For this point to be recognized as a stable point in the evolutionary game, the conditions Cg − K + L < 0, Cc − P + In < 0, Cd + K − Rd < 0, and Rr − G − L − Cr < 0 must be fulfilled. Let Rg = 9, Cg = 1, K = 3, G = 3, P = 7, Cc = 1, n = 0.1, I = 6, Rd = 16, Cd = 5, Rr = 4, Cr = 2, and L = 1. Figure 9 and Figure 10 present the simulation outcomes depicting the evolution of strategy choices among the four parties over time, where the real estate agent’s strategy choice tends toward 0, while the other three subjects tend toward 1, and there is little difference in strategy choice between the high and low probability groups. The main reason for this is that with a series of stringent government policies on governance, real estate agents have become more prudent in handling transactions of small property rights housing and refrain from selling them. At this point in time, the government fines increase and the expected revenue of real estate agents decreases significantly.
With the government’s further stringent control, the problem of small property rights housing has achieved certain results, as represented by the point (1,0,0,0). For this point to be recognized as a stable point in the evolutionary game, the conditions Cg − Rg < 0 must be fulfilled. Let Rg = 9, Cg = 1, K = 3, G = 2, P = 5, Cc = 2, n = 0.6, I = 4, Rd = 5, Cd = 6, Rr = 4, Cr = 4, and L = 1. Figure 11 and Figure 12 present the simulation outcomes depicting the evolution of strategy choices among the four parties over time, where the government tends to strictly govern small property rights housing, while the remaining three parties tend toward 0, and there is little difference in strategy choice between the high and low probability groups. The main reason for this is that the Government’s stringent governance policy has yielded better results, with developers and real estate agents experiencing lower expected returns and higher fines. Both parties complied with government regulations and market rules, avoiding illegal construction and small property rights housing transactions, and shifted to legal real estate development projects and legally permissible property businesses. Consumers are also unable to purchase at this time.
5.2. Effect of Parameters
At present, the transaction volume of small property rights housing in China is still high, and the developers and real estate agents still have irregular behavioral patterns. At this time, small property rights housing needs further strict governance by the government in order to better realize the rational planning of rural land and the good development of the real estate market. Therefore, the point of (1,1,1,1) is the most critical. In order to make the results more objective, taking the initial probability median value 0.5 of the four parties’ main strategy selection as the standard, four values are randomly set. Those with initial probability values higher than 0.5 are high probability groups, and those with initial probability values lower than 0.5 are low probability groups. This paper sets up a high probability group (0.8,0.6,0.7,0.9) and a low probability group (0.2,0.3,0.1,0.4) to conduct sensitivity analysis on the main parameters, in order to explore the main factors affecting the governance strategy at this stage.
As depicted in Figure 13, the government’s expected benefits Rg of governing small property rights housing takes the values of 6, 9, and 12. As expected benefits increase, the government tends to favor the strategy of strict governance. There is a positive correlation between the two sides, with the difference in strategy change more pronounced in the low probability group. The effective management of small property rights housing can demonstrate the government’s determination to uphold laws and regulations and promote social justice and enhance public trust in the government. As the expected benefits increase, the government is more likely to invest the necessary financial and administrative resources to address the small property rights housing problem, thereby enhancing the government’s image and credibility.
Figure 13.
The effect of Rg in the evolutionary game. (a) x = 0.2; (b) x = 0.8.
In Figure 14, it can be seen that the government’s cost Cg of governing small property rights housing takes the values of 2, 4, and 6. When costs increase, governments tend not to govern. There is a negative correlation between the two sides, with less difference in strategy choice between the high and low probability groups. The management of small property rights housing involves complex legal procedures, including land expropriation, the adjustment of property rights, compensation, and resettlement. These procedures require a large investment of administrative resources and professional staff, resulting in increased governance costs. This has weakened or slowed down the governance process.
Figure 14.
The effect of Cg in the evolutionary game. (a) x = 0.2; (b) x = 0.8.
In Figure 15, it can be seen that risk probability factor n takes the values of 0.1, 0.5, and 0.9. When n increases, the consumer’s intention to choose to buy a small property rights housing gradually decreases. There is a negative correlation between the two sides; the lower the risk, the higher the purchase intention. When n is in the middle probability, its strategy change is more obvious in the low probability group. Consumers tend to weigh the potential benefits against the risks when making a purchase decision, and higher risks often mean greater potential negative impacts, which naturally inhibits purchase intentions. To avoid risk, consumers may choose more stable and secure real estate investment options.
Figure 15.
The effect of n in the evolutionary game. (a) y = 0.3; (b) x = 0.6.
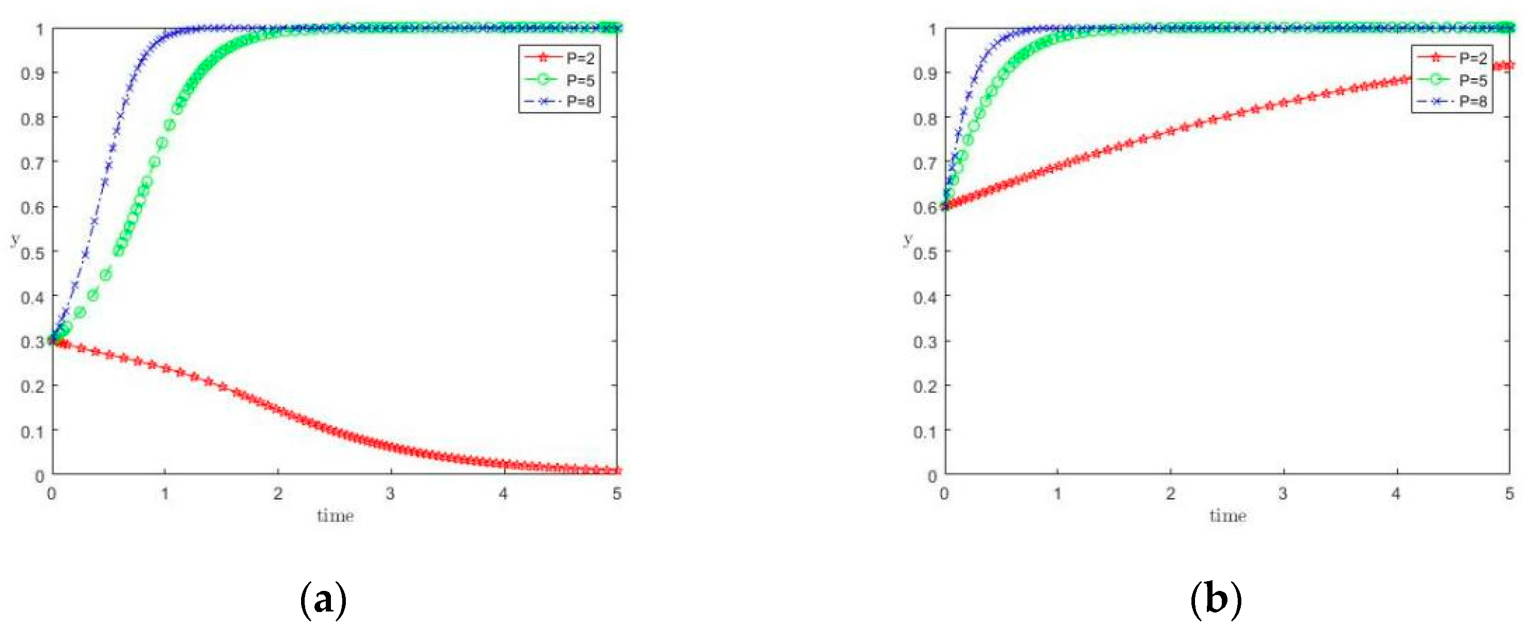
In Figure 16, it can be seen that the price difference between small property rights housing and commercial housing P takes the values of 2, 5, and 8. As the price difference continues to increase, so does the consumer’s intent to buy. There is a positive correlation between the two sides; the lower the price of small property rights housing, the higher the purchasing power of consumers. The change in strategy is more obvious in the low probability group. Even though there are certain legal risks and market limitations associated with small property rights housing, consumers may perceive this type of property as cost-effective, especially at a time when housing demand is high.
Figure 16.
The effect of P in the evolutionary game. (a) y = 0.3; (b) x = 0.6.
As depicted in Figure 17, the expected benefits for developers building small property rights housing Rd takes the values of 2, 8, and 16. With a decrease in the expected benefits, more developers tend to not build. There is a positive correlation between the two sides, with little difference in strategy choice between the high and low probability groups. This decision is consistent with the developer’s strategy of maximizing profit and minimizing risk.
Figure 17.
The effect of Rd in the evolutionary game. (a) z = 0.1; (b) z = 0.7.
In Figure 18, it can be seen that the cost to the developer of building a small property rights housing Cd takes the values of 3, 6, and 9. The higher the cost of building, the more developers tend to favor the strategic choice of not building. This is due to the fact that the construction of small property rights housing reduces the return on investment of the project and increases the financial risk. There is a negative correlation between the two sides, with little difference in strategy choice between the high and low probability groups.
Figure 18.
The effect of Cd in the evolutionary game. (a) z = 0.1; (b) z = 0.7.
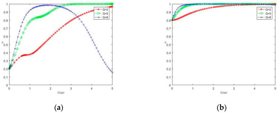
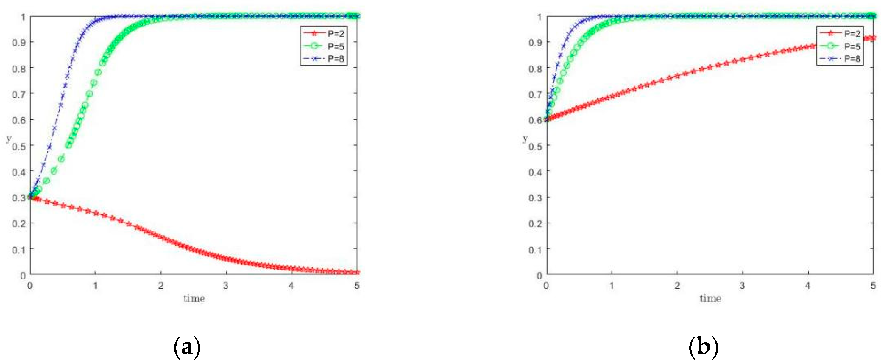
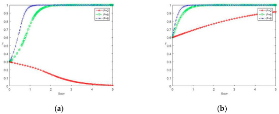
As depicted in Figure 19, the expected benefits for real estate agents selling small property rights housing Rr takes the values of 2, 6, and 10. As the expected benefits decrease, more real estate agents tend not to sell. This leads to lower house prices or more difficult transactions, which reduces the commission that agents receive from each transaction and affects their overall income. There is a positive correlation between the two sides, with little difference in strategy choice between the high and low probability groups.
Figure 19.
The effect of Rr in the evolutionary game. (a) m = 0.4; (b) m = 0.9.
In Figure 20, it can be seen that the cost Cr for real estate agents to sell small property rights housing takes the values of 2, 4, and 6. The higher the cost of sales, the more real estate agents tend to favor the strategic choice of not selling. This is due to the fact that a higher cost of sale reduces the net profit that the intermediary receives from the transaction. There is a negative correlation between the two sides; in the low probability group, the change in strategy choice is more pronounced.
Figure 20.
The effect of Cr in the evolutionary game. (a) m = 0.4; (b) m = 0.9.
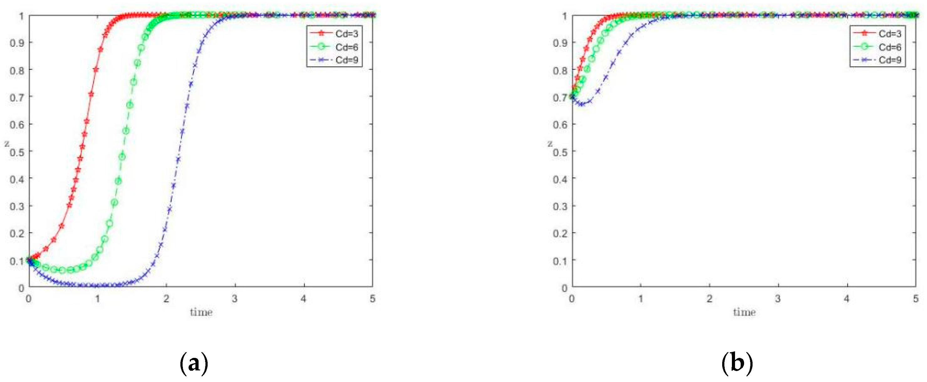
In Figure 21, the government fines for developers K takes the values of 3, 5, 7, 9, and 15. The higher the fine, the higher the tendency of the government to choose a strict governance strategy, and the two sides are positively correlated. The lower the fine, the higher the tendency of developers to build small property rights housing, and the two sides are negatively correlated. When the fines are substantially higher, the developers’ strategy choices show an unstable state, with little difference in strategy choice between the high and low probability groups. High fines establish a significant financial cost for non-compliance and have a deterrent effect on developers. When developers realize that the cost of non-compliance is higher than the cost of compliance, they are more likely to choose to develop real estate in a legally compliant manner.
Figure 21.
The effect of K in the evolutionary game. (a) x = 0.2; (b) x = 0.8; (c) z = 0.1; (d) z = 0.7.
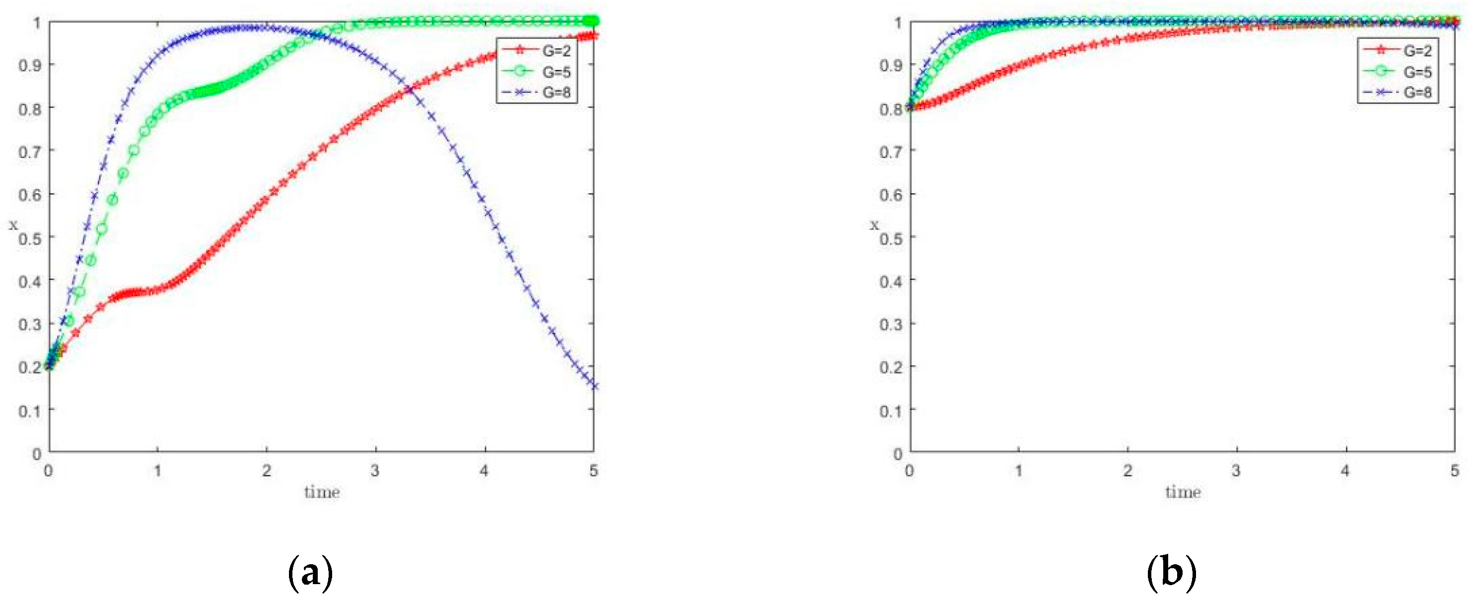
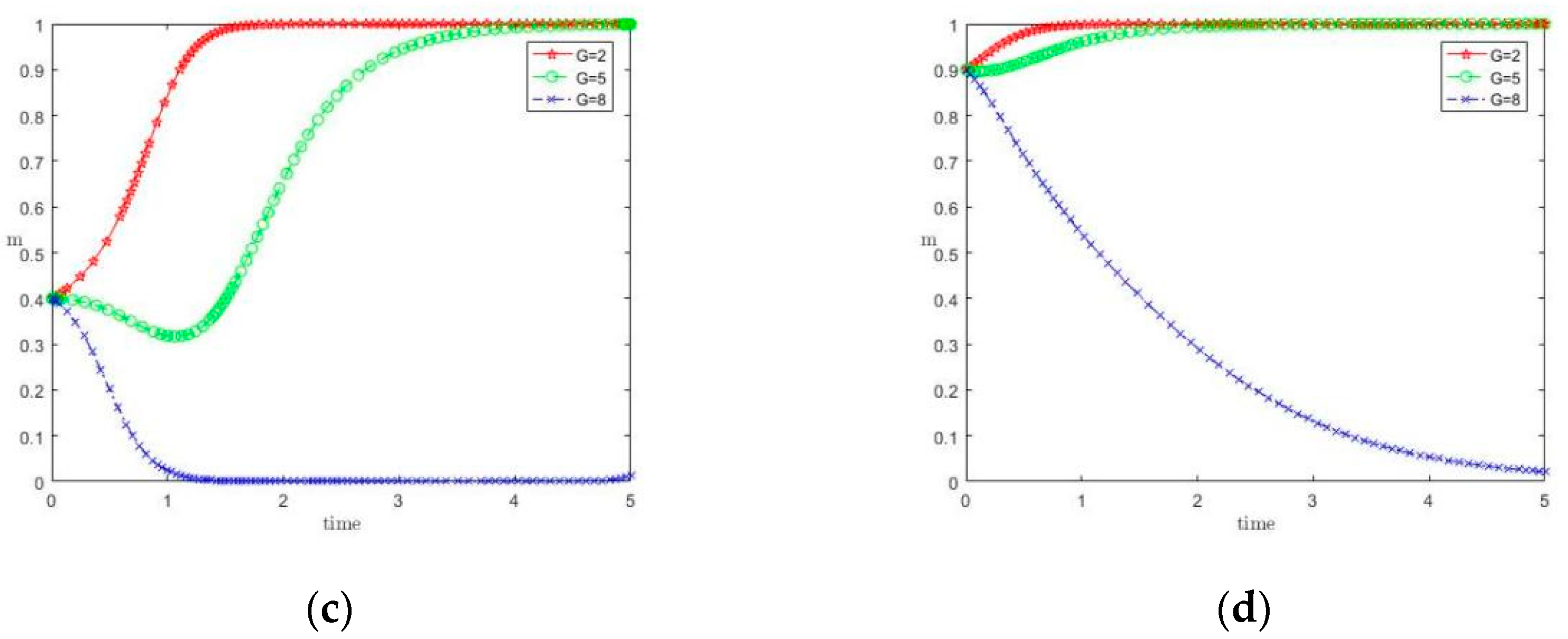
In Figure 22, the government fines for real estate agents G takes the values of 2, 5, and 8. The higher the fine, the higher the tendency of the government to choose a strict governance strategy, and the two sides are positively correlated. The lower the fine, the higher the tendency of real estate agents to sell small property rights housing, and the two sides are negatively correlated. In the low probability group, the change in strategy choice is more pronounced. Fines reduce illegal transactions of small property rights housing through direct financial penalties, reduce irregularities in the market, and reduce the risks and losses suffered by consumers as a result of irregular transactions.

Figure 22.
The effect of G in the evolutionary game. (a) x = 0.2; (b) x = 0.8; (c) m = 0.4; (d) m = 0.9.
6. Discussion
6.1. Conclusions
Based on the current situation of small property rights housing governance in China, this study constructs an evolutionary game model featuring the government, consumers, developers, and real estate agents as key participants. Various stages of small property rights house governance are simulated, and sensitivity analysis is carried out for the current stage, to ascertain the impact of pertinent significant parameters on the selection of strategies. The following conclusions are drawn:
- The strategic decisions of the four parties are shaped by the anticipated benefits and costs for each stakeholder. The government’s fines on developers and real estate agents for non-compliance have a greater impact on the strategies of both parties. When the initial probability of each party’s strategy choice is low, the change in their final strategy choice is more obvious. Illegal construction practices by developers are the main cause of the small property rights housing problems.
- The various stages of the governance of small property rights housing have different strategic choices for each stakeholder, and China is still in the stage of strict governmental governance, where the volume of transactions of small property rights housing is still relatively high. Successful governance requires not only that developers and real estate agents fulfil their obligations legally but also that consumers make the choice not to buy small property rights housing. Government incentives can provide an external driving force for the standardization of the real estate market, while the improvement of consumer awareness is an internal supporting force. The combination of the two can effectively promote the standardization of the real estate transaction market. The healthy development of the real estate market cannot be separated from the cooperation of all social subjects.
- Consumers’ purchase intention is not only affected by the price factor but also the probability of the occurrence of risky losses in the sale and purchase of small property rights housing. Consumers awareness of the relevant laws still needs to improve. By refusing to buy small property rights housing, consumers can avoid damage to their personal property, while at the same time safeguarding the public interests of society and the stability of the real estate market. When consumers are more inclined to choose legal real estate products, the market will naturally eliminate those non-compliant products and services, promoting the market’s self-purification.
6.2. Recommendations
To enhance control over the real estate transaction market, minimize consumer purchase risks, and boost government governance efficiency, the following recommendations for the governance of small property rights housing in China are proposed, based on the research findings and from the perspective of stakeholders:
- Due to the large number and variety of small property rights housing in China’s rural land, it is not possible to generalize on the issue of determining the legality of small property rights housing. It should be based on the type of land it belongs to in order to clarify its legality [30]. One type of small property rights housing is that which occupies forest land or arable land, and such housing not only fails to obtain a property rights certificate but also fails to obtain a planning permit for the construction project, which should be deemed illegal or dismantled to return the land to cultivation and reforestation [11]. If the small property rights housing was constructed on rural construction land but did not pay the land premium and did not obtain the certificate of property rights, then it should be recognized as legal property. This is not only to protect the legitimate rights and interests of both parties involved in the transaction but also to clarify the ownership of farmers’ land and promote the transfer of legitimate property, thus further promoting the free transfer of rural collective land use rights [13]. From a legislative perspective, a legal basis for the governance of small property rights housing can be provided through the formulation of laws or policies that specifically address the issue of small property rights housing, clarifying the definition of small property rights housing, construction standards, trading restrictions, and legal consequences.
- From the perspective of protecting the legitimate interests of both parties involved in the transaction, the transaction should be deemed valid, and the legalization of the transaction of small property rights housing in China should proceed in a gradual and orderly manner. If the legitimization of collective construction land housing contracts into residential housing contracts becomes valid, the normal order of the real estate market will be disrupted, as this will trigger a large number of urban residents to buy rural collective construction land housing so as to obtain the rights and interests of demolition and the relocation compensation package. However, if small property rights housing is directly legalized, the possibility of a whole-society class-action lawsuit case arises. The method of implementing shared ownership shares can convert small property rights housing into legal commercial housing [31]. Therefore, regulating the transaction behavior of the problem balances the interests of all parties by protecting the legitimacy of small property rights housing transactions for people in vulnerable positions while also avoiding the contradictions arising from transaction disputes [32]. On one hand, the government should register and differentiate property rights according to the situation on the ground [33]; on the other hand, the court should balance the interests in the judicial process and form a unified judicial standard, such as guiding cases.
- It is important to harmonize the principles for dealing with a contract of sale after it has become invalid. In small property rights housing transactions, often the seller should be mainly responsible; if the seller sells the house after a breach of contract for the return of the house, the only basis for unnecessary return is the number of residence years and the degree of use of the house. Although the contract of sale is invalid, both sides should lose compensation in order to better protect the interest of both parties involved in the transaction [33]. On the contrary, if the buyer defaults on the situation, the compensation should be based on the degree of fault from both sides of the transaction, the seller should return the purchase price to the buyer, and they should return to their house. Second, we should regulate the real estate market and regulate the commission collected by intermediaries, and the government should strengthen the corresponding legislation to prohibit developers from conducting illegal construction and real estate agents from conducting illegal sales, in addition to strengthening the awareness of risk prevention for consumers.
6.3. Research Prospects
In this study, numerical simulation is carried out through evolutionary games, and corresponding conclusions are drawn to provide suggestions for the governance of small property rights. There is consistency with the current literature in terms of government functions and governance policies, based on which we explore the roles of other social actors through the evolutionary game model, which fills the gaps in the current literature in this area. However, there are still some limitations. In the parameter setting, we mainly start from the cost and benefit, and the parameter setting still needs to be further refined, such as through the further study of government incentive mechanisms. The potential impacts of the strategies of various stakeholders and consumer psychology have not been discussed in depth. The evolutionary game model is subjective, and the simulation analysis is used in the parameter setting due to the lack of relevant data. Therefore, the empirical analysis of each parameter will be the direction of our future research.
Author Contributions
Methodology, X.Q. and H.L.; resources, Y.L. and Q.S.; data curation and analysis, X.Q. and Y.L.; writing—original draft, X.Q., H.L., Q.S. and Y.L.; writing—review and editing, H.L., X.Q. and Q.S.; final checks, H.L., X.Q., Q.S. and Y.L.; supervision, X.Q. and H.L. All authors have read and agreed to the published version of the manuscript.
Funding
This work was supported by a research grant from Pai Chai University in 2023. (2023A0189).
Data Availability Statement
The original contributions presented in the study are included in the article, further inquiries can be directed to the corresponding author.
Acknowledgments
We extend particular thanks to the editor and the anonymous reviewers for their valuable comments that helped in greatly improving the quality of this paper.
Conflicts of Interest
The authors declare no conflicts of interest.
References
- Agboola, O.P.; Rasidi, M.H.; Said, I.; Abogan, S.O.; Adejuwon, A.S. Morphological and GIS-based land use Analysis: A Critical Exploration of a Rural Neighborhood. J. Contemp. Urban Aff. 2018, 2, 106–121. [Google Scholar] [CrossRef]
- Boyacıoğlu, D.; Göçer, Ö.; Karahan, E.E. Exploring Identity Issues in Development Areas of Vernacular Rural Settlements: A Case Study of Behramkale, Türkiye. J. Contemp. Urban Aff. 2023, 7, 51–68. [Google Scholar] [CrossRef]
- Zhang, X. Nominal Community and Substantive Community: The Nature and Classification of the Community—Based on the Dual Perspective of Land Property and Urban Public Service Supplying Mechanism. J. Huazhong Agric. Univ. 2019, 3, 24–31. [Google Scholar] [CrossRef]
- Qin, B.; Hao, M.; Yang, Y. Devaluation Effect of Truncation of Property Rights: A Study of the Transaction Prices of “Small Property Rights Housing” in Qinhuangdao City. China Land Sci. 2022, 8, 66–74. [Google Scholar]
- Jiang, Q.; Tan, S. Motivation Investigation for the Leaseholders of “Restricted Property House”: A Case of Wuhan City. China Land Sci. 2009, 23, 14–19. [Google Scholar]
- Lin, L.; Zhu, Y. Small property rights housing and settlement intention of the floating population. Northwest Popul. 2023. Available online: https://link.cnki.net/urlid/62.1019.C.20231228.1259.002 (accessed on 1 January 2024).
- Lin, L.; Zhu, Y.; Lin, K. The Effects of Housing with Limited Property Rights on Migration and Rural Urbanization in Suburban Village: A Case Study of Three Villages in Fua’n City. Mod. Urban Res. 2022, 11, 35–42. [Google Scholar]
- Hu, X. Research on the Effectiveness of Contracts of Houses with Limited Property Rights. Master’s Thesis, Hubei University, Wuhan, China, 2020. [Google Scholar]
- Liu, J.; Yang, X. The cause for and solution to the problem of “houses with limited property rights”. Macroecon. Manag. 2019, 2, 73–78. [Google Scholar] [CrossRef]
- Hu, Y.; Zhang, H. The Legalization Mode of “the Small Property House” Problem: From a Perspective of Land Value Capture. Shanghai Econ. 2018, 4, 42–55. [Google Scholar]
- Wu, G.; Li, C. An Analysis of the Problem of “Small Property Right Housing” from the Perspective of Non agriculturalization of Farmland. Agric. Econ. 2020, 12, 82–84. [Google Scholar]
- Zhong, K. The Path of the Type Transfer of “Small Property Right House”—Review of Land Administration Law (Amendment) by the Ministry of land (Draft). Res. Real Estate Law China 2017, 16, 135–149. [Google Scholar]
- Song, C. Research on the Legal Issues of House with Limited Property Rights. Master’s Thesis, Yantai University, Yantai, China, 2019. [Google Scholar]
- Cheng, H. Policy choices for the legalization of small property right housing in Shenzhen. Acad. Res. 2013, 6, 48–53. [Google Scholar]
- He, S.; Wang, D.; Webster, C.; Chau, K.W. Property rights with price tags? Pricing uncertainties in the production, transaction and consumption of China’s small property right housing. Land Use Policy 2019, 81, 424–433. [Google Scholar] [CrossRef]
- Lai, Y.; Zheng, X.; Choy, L.H.; Wang, J. Property rights and housing prices: An empirical study of small property rights housing in Shenzhen, China. Land Use Policy 2017, 68, 429–437. [Google Scholar] [CrossRef]
- Sun, L.; Ho, P. An emerging phenomenon of informal settlement in China: Small Property Rights Housing in urban villages and peri-urban areas. In Proceedings of the 2015 World Bank Conference on Land and Poverty, Washington, DC, USA, 23–27 March 2015. [Google Scholar]
- Qiao, S. Planting Houses in Shenzhen: A Real Estate Market without Legal Titles1. Can. J. Law Soc. La Rev. Can. Droit Et Société 2014, 29, 253–272. [Google Scholar] [CrossRef]
- Wang, L.; Sun, T. Capitalization of legal title: Evidence from small-property-rights houses in Beijing. Habitat Int. 2014, 44, 306–313. [Google Scholar] [CrossRef]
- Lai, Y.; Peng, Y.; Li, B.; Lin, Y. Industrial land development in urban villages in China: A property rights perspective. Habitat Int. 2014, 41, 185–194. [Google Scholar] [CrossRef]
- Li, X. Research on the Problems and Countermeasures of Small Property Right Rooms. Adv. Soc. Sci. 2016, 5, 638–642. [Google Scholar]
- Li, J. The Legal Issues and Reform Path for Informal House Property. Hebei Law Sci. 2009, 27, 130–133. [Google Scholar]
- Chen, Y.; Wu, B. The Law Predicaments in the Saleand Purchase of housing with limited property rights and the Countermeasures against Them. Legal Forum 2010, 25, 49–55. [Google Scholar]
- Hu, G.; Zhu, S. Reflections on Improving the Legal System of Rural Land Use Right Transfers in China—Taking Small Property Right Housing as a Perspective. Social. Stud. 2009, 3, 67–70. [Google Scholar]
- Dong, J. A Study on the Synergistic Mechanism of Multi-agent of Government-subsidized Rental Housing Based on Evolutionary Game. Master’s Thesis, Xi’an University of Architecture and Technology, Xi’an, China, 2023. [Google Scholar]
- Yin, Z. Study on the Evolutionary Game of the Behavior of Each Participating Subject in the Development and Construction of Intelligent Buildings—Take a Real Estate Development Project as an Example. Master’s Thesis, Qingdao University of Technology, Qingdao, China, 2023. [Google Scholar]
- Xiong, Y.; Gong, J.; Li, M. An Evolutionary Game Analysis and Policy Optimization of Central Land Authority of Territorial Space Use Control Based on Land Development Right Allocation. China Land Sci. 2023, 37, 11–22. [Google Scholar]
- Wang, C.; Xu, P.; Yang, H.; Huang, J.; Meng, T. Consumer’s Risk Behavior Model: Modeling and Application to Control the Increase of Limited Property Housing. Mod. Urban Res. 2017, 11, 57–62. [Google Scholar]
- Dong, F.; Zheng, X. The Deviation between the Reality and Policy Requirements of Small Property Right Housing: A Discussion Opinion Based on the Institutional Analysis and Development (IAD) Framework. Academics 2017, 10, 118–130. [Google Scholar]
- Liu, H. Analysis of the Problems and Legalization Approaches of Small Property Right Housing. J. Hubei Univ. Econ. 2020, 7, 65–67. [Google Scholar]
- Duan, L. Rural Homestead System Reform:Key Issues, Property Rights Protection and Key Breakthroughs. Contemp. Econ. Manag. 2019, 4, 11–16. [Google Scholar] [CrossRef]
- Mi, C. On the “foreign villager” buyers of homestead and houses with limited property rights: A perspective of household division tradition. J. Chongqing Univ. 2019, 26, 206–215. [Google Scholar]
- Xiao, D. Judicial Predicament and Probable Alternatives of Houses with Limited Property Rights Cases. Orient. Law 2018, 4, 41–47. [Google Scholar] [CrossRef]
Disclaimer/Publisher’s Note: The statements, opinions and data contained in all publications are solely those of the individual author(s) and contributor(s) and not of MDPI and/or the editor(s). MDPI and/or the editor(s) disclaim responsibility for any injury to people or property resulting from any ideas, methods, instructions or products referred to in the content. |
© 2024 by the authors. Licensee MDPI, Basel, Switzerland. This article is an open access article distributed under the terms and conditions of the Creative Commons Attribution (CC BY) license (https://creativecommons.org/licenses/by/4.0/).






















