Water-Town Settlement Landscape Atlas in the East River Delta, China
Abstract
1. Introduction
2. Materials and Methods
2.1. Study Area and Samples
2.2. Methodology
2.2.1. Extraction of Remote Sensing Data for Water Networks and Settlement Points
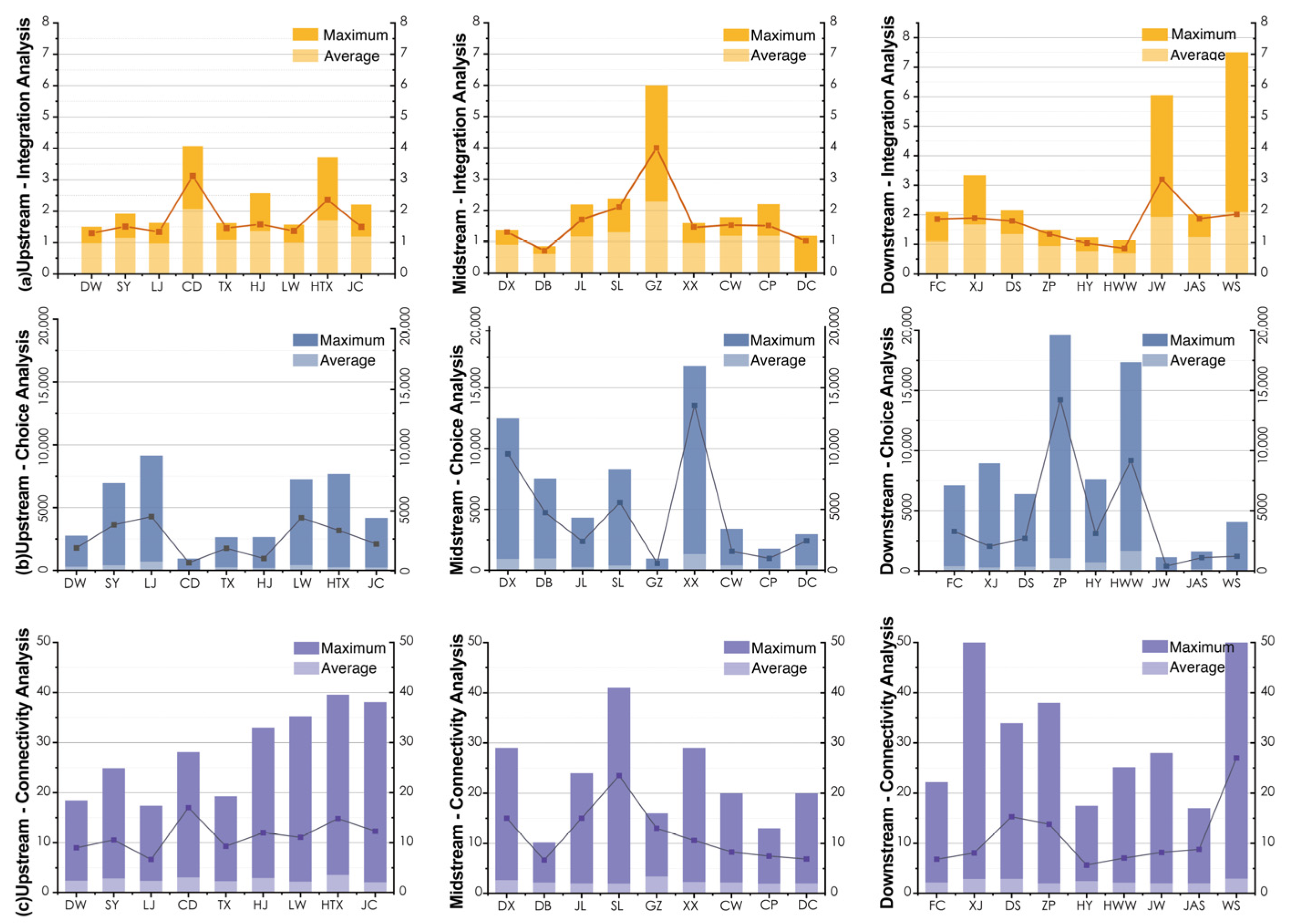
2.2.2. Quantitative Calculation of Water Settlement Landscape Spatial Features
2.2.3. Construction of a Clustered Map for Water-Town Settlement Landscape Spatial Characteristics
3. Water-Town Settlement Landscape Spatial Feature Quantification
3.1. Characteristics of Settlement Spatial Distribution
3.2. Settlement Morphological Characteristics
3.3. Settlement Composition Characteristics
4. Water-Town Settlement Landscape Clustering Analysis and Map Construction
4.1. Water-Town Settlement System Clustering Analysis
4.2. Encoding of Landscape Factors
4.3. Construction and Prototype Extraction of Water-Town Settlement Landscape Spatial Atlas
5. Discussion and Conclusions
5.1. Discussion
5.2. Conclusions
Author Contributions
Funding
Data Availability Statement
Acknowledgments
Conflicts of Interest
| 1 | Ecological Civilization in Rural Area: In order to improve the environmental quality of rural areas and protect the ecological systems in the countryside, the Chinese government has set the goal of ecological civilization in rural development. |
| 2 | Water-town settlement: It is a special type of settlement, generally referring to communities in delta plain regions where water channels, specifically rivers, serve as transportation arteries, and boats are the primary mode of transport. These settlements preserve a well-maintained landscape and architectural style. |
References
- Wu, J. Agriculture and Environment in the Ming Dynasty Pearl River Delta: Focusing on Technological Choices Under Environmental Pressure. J. South China Agric. Univ. (Soc. Sci. Ed.) 2006, 5, 127–134. [Google Scholar]
- Kuei-Hsien, L.; Anh, L.T.; Nguyen, K.V. Urban design principles for flood resilience: Learning from the ecological wisdom of living with floods in the Vietnamese Mekong Delta. Landsc. Urban Plan. 2016, 155, 69–78. [Google Scholar]
- DongGe, N.; Yan, J.; Liu, P.; Van den Toorn, M.; Fekete, A. Historical Water Management Strategies—Case Study of Traditional Villages in Southern China, Hunan Province. Land 2022, 11, 2107. [Google Scholar] [CrossRef]
- Li, Y.; Li, Y.; Fan, P.; Long, H. Impacts of land consolidation on rural human–environment system in typical watershed of the Loess Plateau and implications for rural development policy. Land Use Policy 2019, 86, 339–350. [Google Scholar]
- Scown, M.W.; Thoms, M.C. The discontinum of river networks: The importance of geomorphic boundaries. Landsc. Ecol. 2023, 38, 1307–1319. [Google Scholar] [CrossRef]
- Wu, J. The Ecological Environment of the Pearl River Delta Plain during the Ming and Qing Dynasties—A Discussion on Research Methods for Marine Ecological Environmental History. Marit. Hist. Res. 2015, 2, 217–236. [Google Scholar]
- Xu, Z.; Huang, D. Living Water: Study on Regional Characteristics of of Landscape of Water System in Pearl River Delta. South Archit. 2015, 03, 84–89. [Google Scholar]
- Chen, J.; Liu, Y. Coupled natural and human systems: A landscape ecology perspective. Landsc. Ecol. 2014, 29, 1641–1644. [Google Scholar] [CrossRef][Green Version]
- Chen, K.; Liu, X.; Chen, X.; Guo, Y.; Dong, Y. Spatial characteristics and driving forces of the morphological evolution of East Lake, Wuhan. J. Geogr. Sci. 2020, 30, 583–600. [Google Scholar] [CrossRef]
- Wu, L. Introduction to Human Settlements; China Construction Industry Press: Beijing, China, 2001. [Google Scholar]
- Ma, R.; Wang, T.; Zhang, W.; Yu, J.; Wang, D.; Chen, L.; Jiang, Y.; Feng, G. Overview and progress of Chinese geographical human settlement research. Sci. Geogr. Sin. 2016, 26, 1159–1175. [Google Scholar] [CrossRef]
- Zeng, Z. Geomorphic Development of the Pearl River Delta; Jinan University Press: Guangzhou, China, 2012. [Google Scholar]
- Zhao, H. Evolution of the Pearl River Estuary; Ocean Press: Flagler Beach, FL, USA, 1990. [Google Scholar]
- Li, P. Environmental Changes in the Pearl River Delta over Ten Thousand Years; Ocean Press: Flagler Beach, FL, USA, 1991. [Google Scholar]
- Wu, H. Research on the Interaction between Urban Development and Ecological Environmental Changes in the Ming and Qing Dynasties in the Pearl River Delta; Changjiang Publishing House: Wuhan, China, 2014. [Google Scholar]
- Wei, C.; Zhong, Z.; Liao, H. The Last Waterfront in Pearl River Delta”: Space Generation and Cultural Ecological Characteristics of Traditional Village in Gulao Waterfront. South Archit. 2021, 4, 97–104. [Google Scholar]
- Liu, J.; Zhang, M.; Xia, Y.; Zheng, H.; Chen, C. Using agent-based modeling to assess multiple strategy options and trade-offs for the sustainable urbanization of cultural landscapes: A case in Nansha, China. Landsc. Urban Plan. 2022, 228, 104555. [Google Scholar] [CrossRef]
- Wu, J. Water environment of cities and towns in the pearl river delta during the ming and qing dynasties. J. South China Agric. Univ. (Soc. Sci. Ed.) 2006, 2, 133–141. [Google Scholar]
- Pan, Y.; Duan, J.; Shi, Y. A Study on Traditional Disaster-Resistant Landscape Patterns in Traditional Han Chinese Settlements in Guangdong. South Archit. 2021, 3, 130–136. [Google Scholar]
- Zhang, Z. Analyzing the Morphology of Traditional Lingnan Water Villages under Flood Pressure—A Case Study of Four Villages in the Pearl River Delta. J. Archit. 2017, 1, 102–107. [Google Scholar]
- Liu, T.; Wang, X. Agricultural Landscape-Oriented Study of Regional Landscape in the Taihu Lake Basin Water Network Plain Area. Landsc. Archit. 2015, 8, 6. [Google Scholar]
- Chen, C.; Huang, G.; Ye, Y.; Zhao, L.; Jin, L.; Liu, X. Evolution of the Pearl River Delta Pond System and Ecological Restoration Strategies: A Case Study of 4 Villages in Foshan. Resour. Sci. 2021, 43, 13. [Google Scholar]
- Wang, C.; Huang, S.; Miao, J.; Wang, X. Study on the evolution characteristics and driving factors of the landscape pattern of the foundation pond in the Pearl River Delta—A case study of Shunde District, Foshan. Chin. Landsc. Archit. 2022, 38, 75–80. [Google Scholar]
- Zhang, S.; Zhu, X.; Wu, D.; Lu, Q. Reconstruction and Comparative Study of Historical Sections of the Shatian Culture Landscape in the Pearl River Delta. Chin. Landsc. Archit. 2021, 37, 6. [Google Scholar]
- Zhao, S.; Yang, Z. History of Embankment Water Conservancy and Agricultural Development in the Pearl River Delta; Guangdong People’s Publishing House: Guangzhou, China, 2011. [Google Scholar]
- Tu, Y.; Chen, B.; Yu, L.; Song, Y.; Wu, S.; Li, M.; Wei, H.; Chen, T.; Lang, W.; Gong, P.; et al. Raveling the nexus between urban expansion and cropland loss in China. Landsc. Ecol. 2023, 38, 1869–1884. [Google Scholar] [CrossRef]
- Shi, Y.; Pan, Y. Comparison of Traditional Settlement Forms between Jiangnan Water Town and Lingnan water town. South Archit. 2011, 3, 70–78. [Google Scholar]
- Tang, X.; Tao, Y. The Traditional Settlement Form of Foshan Songtang Village. South Archit. 2014, 6, 52–55. [Google Scholar]
- Gou, S.; Li, Z.; Zhao, Q.; Nik, M.V.; Scartezzini, J.L. Climate responsive strategies of traditional dwellings located in an ancient village in hot summer and cold winter region of China. Build. Environ. 2015, 86, 151–165. [Google Scholar] [CrossRef]
- Hu, X.; Li, H.; Zhang, X.; Chen, X.; Yuan, Y. Multi-dimensionality and the totality of rural spatial restructuring from the perspective of the rural space system: A case study of traditional villages in the ancient Huizhou region, China. Habitat Int. 2019, 94, 102062. [Google Scholar] [CrossRef]
- Pan, J.-f.; Qiu, L. The Analysis and Construction of Landscape Space in Lingnan Waterfront Settlement. Chin. Landsc. Archit. 2011, 27, 55–59. [Google Scholar]
- Feng, J. Cultivation, Lineage Settlements and Transition of Ancestral Halls in Canton Prefecture during Ming and Qing Dynasty. Ph.D. Thesis, South China University of Technology, Guangzhou, China, 2012. [Google Scholar]
- Fu, J.; Tang, X. Humanistic Landscape Types and Cultural Connotations in the Mulberry Orchard Area of the Pearl River Delta in the Ming and Qing Dynasties. Landsc. Archit. 2020, 27, 115–120. [Google Scholar]
- Wang, J.; Chen, J.; Xie, C. Landscape Evolution and Construction of Coastal Township in Lingnan Taking Nanlang Town of Zhongshan as an Example. Chin. Landsc. Archit. 2022, 4, 56–61. [Google Scholar]
- Tang, X.-x.; Wang, X.; Yang, D.-h. Study on Natural Adaptability of Coastal Rural Settlement Landscape—A Case Study of Hainan. South Archit. 2021, 5, 138–143. [Google Scholar]
- Nie, Z.; Li, N.; Pan, W.; Yang, Y.; Chen, W.; Hong, C. Quantitative Research on the Form of Traditional Villages Based on the Space Gene-A Case Study of Shibadong Village in Western Hunan, China. Sustainability 2022, 14, 8965. [Google Scholar] [CrossRef]
- Li, X.; Yang, Q.; Lyu, X.; Ye, Y.; Zhang, B. Multidimensional framework for analyzing the distribution patterns of traditional villages in the karst landscape regions of China. Ecol. Inform. 2023, 77, 102184. [Google Scholar] [CrossRef]
- Fu, J.; Zhou, J.; Deng, Y. Heritage values of ancient vernacular residences in traditional villages in Western Hunan, China: Spatial patterns and influencing factors. Build. Environ. 2021, 188, 107473. [Google Scholar] [CrossRef]
- Li, Y.; Zhu, Y.; Zhou, Y. Quantitative Research on Village Spatial Morphological Characteristics Based on Fractal Theory: A Case Study of Villages in Nanning. South. Archit. 2020, 5, 64–69. [Google Scholar]
- Zhang, Y.; Baimu, S.; Tong, J.; Wang, W. Geometric spatial structure of traditional Tibetan settlements of Degger County, China: A case study of four villages. Front. Archit. Res. 2018, 7, 304–316. [Google Scholar] [CrossRef]
- Ma, H.; Tong, Y. Spatial differentiation of traditional villages using ArcGIS and GeoDa: A case study of Southwest China. Ecol. Inform. 2022, 68, 101416. [Google Scholar] [CrossRef]
- Fan, M.; Wang, X.; Yang, G. Spatial characteristics of vegetation habitat suitability and mountainous settlements and their quantitative relationships in upstream of Min River, southwestern of China. Ecol. Inform. 2022, 68, 101541. [Google Scholar] [CrossRef]
- Dobrovodská, M.; Kanka, R.; David, S.; Kollár, J.; Špulerová, J.; Štefunková, D.; Mojses, M.; Petrovič, F.; Krištín, A.; Stašiov, S.; et al. Assessment of the biocultural value of traditional agricultural landscape on a plot-by-plot level: Case studies from Slovakia. Biodivers. Conserv. 2019, 28, 2615–2645. [Google Scholar] [CrossRef]
- Chen, L.; Zhong, Q.; Li, Z. Analysis of spatial characteristics and influence mechanism of human settlement suitability in traditional villages based on multi-scale geographically weighted regression model: A case study of Hunan province. Ecol. Indic. 2023, 154, 110828. [Google Scholar] [CrossRef]
- Hu, Z.; Liu, P.; Deng, Y. Research on Identification and Extraction Methods of Traditional Settlement Landscape Genes. Sci. Geogr. Sin. 2015, 35, 1518–1524. [Google Scholar]
- Chen, X.; Xie, W.; Li, H. The spatial evolution process, characteristics and driving factors of traditional villages from the perspective of the cultural ecosystem: A case study of Chengkan Village. Habitat Int. 2020, 104, 102250. [Google Scholar] [CrossRef]
- Liu, P.; Zeng, C.; Liu, R. Environmental adaptation of traditional Chinese settlement patterns and its landscape gene mapping. Habitat Int. 2023, 135, 102808. [Google Scholar] [CrossRef]
- Tang, X.; Zhang, J.; Xu, S. Scale-Level Representation of the East River Delta Water-town Landscape. South. Archit. 2023, 4, 89–95. [Google Scholar]
- Pu, X. Research on Quantitative Methods for Two-Dimensional Overall Morphology of Traditional Rural Settlements. Ph.D. Thesis, Zhejiang University, Hangzhou, China, 2013. [Google Scholar]
- Shen, J.; Wong, K.-y.; Feng, Z. State-Sponsored and Spontaneous Urbanization in the Pearl River Delta of South China, 1980–1998. Urban Geogr. 2002, 23, 674–694. [Google Scholar] [CrossRef]
- Kılıc, D.; Yagci, C.; Iscan, F. A GIS-based multi-criteria decision analysis approach using AHP for rural settlement site selection and eco-village design in Erzincan, Turkey. Socio Econ. Plan. Sci. 2023, 86, 101478. [Google Scholar] [CrossRef]
- Amos, S.; Mengistu, S.; Kleinschroth, F. Three decades of pastoralist settlement dynamics in the Ethiopian Omo Delta based on remote sensing data. Hum. Ecol. 2021, 49, 525–537. [Google Scholar] [CrossRef]
- Sun, Y.; Zhai, B.; Saierjiang, H.; Chang, H. Disaster adaptation evolution and resilience mechanisms of traditional rural settlement landscape in Xinjiang, China. Int. J. Disaster Risk Reduct. 2022, 73, 102869. [Google Scholar] [CrossRef]
- Liu, H.; Li, X.; Guan, Y.; Li, S.; Sun, H. Comprehensive Evaluation and Analysis of Human Settlements’ Suitability in the Yangtze River Delta Based on Multi-Source Data. Int. J. Environ. Res. Public Health 2023, 20, 1354. [Google Scholar] [CrossRef]
- Xi, J.; Wang, X.; Kong, Q.; Zhang, N. Spatial morphology evolution of rural settlements induced by tourism. J. Geogr. Sci. 2015, 25, 497–511. [Google Scholar] [CrossRef]
- He, Y.; Chen, C.-P.; Chou, R.-J.; Luo, H.; Hou, J.-S. Exploring the Transformation in the ‘Spirit of Place’ by Considering the Changed and Unchanged Defensive Spaces of Settlements: A Case Study of the Wugoushui Hakka Settlement. Land 2021, 10, 490. [Google Scholar] [CrossRef]
- Hinojosa-Balino, I. Urban Fluctuations in the North-Central Region of the Nile Delta: 4000 Years of River and Urban Development in Egypt. Ph.D. Thesis, University of Durham, Durham, UK, 2022. [Google Scholar]
- Liu, Z.; Wu, J. Landscape-based solutions are needed for meeting water challenges of China’s expanding and thirsty cities. Landsc. Ecol. 2022, 37, 2729–2733. [Google Scholar] [CrossRef]
- Liu, Z.; He, C.; Zhou, Y.; Wu, J. How much of the world’s land has been urbanized, really? A hierarchical framework for avoiding confusion. Landsc. Ecol. 2014, 29, 763–771. [Google Scholar] [CrossRef]











| Location | Sub-Watershed | Settlement Name | Location | Sub-Watershed | Settlement Name |
|---|---|---|---|---|---|
| Upstream | East River Main Channel | Dan Wu (DW), Sha Yao (SY), Liang jia (LJ), Cao dun (CD), Tang Xia (TX) | Downstream | South Branch of the East River | Fu Chong (FC) |
| South Branch of the East River | Heng Jiao (HJ), Liu Wu (LW), He Tian-Xia (HTX), Jiang Cheng (JC) | Ma Chong River, Dao Yunhai Waterway | Xin ji (XJ) | ||
| East River Main Channel | Da sheng (DS) | ||||
| Midstream | Zhong Tang Waterway, Heng Chong | Dong Xiang (DX), Dong Bo (DB) | Danshui River, Shi Ziyang Waterway | Zhang Peng (ZP) | |
| Zhong Tang Waterway | Jiao li (JL), San Lian (SL), Guo Zhou (GZ) | Ma Chong River, East River Main Channel | Hua yang (HY) | ||
| South Branch of the East River | Xiao Xiang (XX), Cai Wu (CW), Chang ping (CP) | East Sea of Tai Yangzhou, West Sea of Tai Yangzhou | Hong Wu-wo (HWW), Jin wo (JW) | ||
| South Branch of the East River, East Sea of Tai Yangzhou | Dan Chong (DC) | East Sea of Tai Yangzhou, South Branch of the East River | Jin Ao-sha (JAS), Wu sha (WS) |
| Spatial Scale | Computational Approaches | Formula |
|---|---|---|
| Spatial Distribution | Multi-ring buffer analysis: establish buffers at different distances, connect them with the spatial distribution of settlements, and analyze the relationship between settlements and water systems spatially. | Let B be the buffer zone, m be a point within the buffer zone, N be the settlement, d be the distance from m to N, and r be the radius. |
| Kernel Density Analysis: A higher kernel density value indicates a denser distribution of water-town settlements in the area. | where f(x) is the kernel density value, n is the sample size, and k(x) is the kernel function. | |
| Settlement Layout | Aspect ratio: utilizing the aspect ratio to calculate the ratio of the long and short axes under boundary conditions of 100 m, 30 m, and 12 m for settlement, aiming to classify the settlement morphology. | “” represents the aspect ratio of the water-town settlement boundaries, with “a” being the long axis of a water-town settlement boundary and “b” being the short axis of a water-town settlement boundary. |
| Shape index: utilizing data on the aspect ratio, area, and perimeter, the shape index of settlements is categorized for the classification of settlement forms. | S = “S” represents the shape index, “P” is the perimeter, and “A” denotes the area. | |
| Street and Alley Types | Integration: Reflecting the concentration and dispersion degree of settlements, a higher integration degree indicates stronger spatial accessibility and centrality. It is used to assess the accessibility and centrality of waterfront streets in settlements. | “I” represents integration; “n” represents the total number of axes or nodes in the spatial system. |
| Choice degree: Reflects the shortest topological distance between spatial entities, embodying the potential for spatial traversal. Higher choice values indicate greater potential for spatial flow. | “Dn” represents choice degree. | |
| Intelligibility: Describes the relationship between local space and overall spatial variables. Higher intelligibility indicates that the local spatial structure is more conducive to an understanding of the overall space. | “R2” stands for intelligibility, where “I(3)” and “I′(3)” represent the local integration and average integration for a step size of n = 3, respectively. “I(n)” and “I′(n)” denote the global integration and average global integration, respectively. | |
| Connectivity: representing the number of axes intersecting with any axis in the system, higher connectivity indicates stronger axis accessibility. | “LX” represents connectivity, where “Rxy” denotes the relationship between axis line x and axis line y in the system. | |
| Landscape nodes and typical structures | Measurement data and real-life photos were obtained through field surveys and inspections. | |
| Landscape Factor Indicators | Evaluating Criteria | |||
|---|---|---|---|---|
| Water network density | <20%→E1 | ≥20%→E2 | ||
| Settlement spatial distribution | Riverside→W1 | Creek-side→W2 | Non-water-town→W3 | |
| Settlement density | Low→D1 | Medium→D2 | High→D3 | |
| Settlement layout | Clustered→L1 | Strip-like→L2 | Clustered-strip hybrid→L3 | Linear→L4 |
| Street and alley types | Main Street Along River Type→R1 | Main Street Around River Type→R2 | Main Street Pond Surface Type→R3 | Main Street Scattered Type→R4 |
| Street and alley core areas | Single core→C1 | Multi-core→C2 | ||
| Landscape nodes | Pond→N1 | Farmland→N2 | Fengshui pond→N3 | Ancient trees→N4 |
| Typical structures | Ancestral hall→M1 | Temple→M2 | Pavilion→M3 | Ferry terminal→M4 |
| Boundary composition | Water→B1 | Structure→B2 | Farmland→B3 | Road→B4 |
Disclaimer/Publisher’s Note: The statements, opinions and data contained in all publications are solely those of the individual author(s) and contributor(s) and not of MDPI and/or the editor(s). MDPI and/or the editor(s) disclaim responsibility for any injury to people or property resulting from any ideas, methods, instructions or products referred to in the content. |
© 2024 by the authors. Licensee MDPI, Basel, Switzerland. This article is an open access article distributed under the terms and conditions of the Creative Commons Attribution (CC BY) license (https://creativecommons.org/licenses/by/4.0/).
Share and Cite
Zhang, J.; Tang, X.; Yu, Z.; Xiong, S.; Yang, F. Water-Town Settlement Landscape Atlas in the East River Delta, China. Land 2024, 13, 149. https://doi.org/10.3390/land13020149
Zhang J, Tang X, Yu Z, Xiong S, Yang F. Water-Town Settlement Landscape Atlas in the East River Delta, China. Land. 2024; 13(2):149. https://doi.org/10.3390/land13020149
Chicago/Turabian StyleZhang, Jingyi, Xiaoxiang Tang, Zhao Yu, Suwen Xiong, and Fan Yang. 2024. "Water-Town Settlement Landscape Atlas in the East River Delta, China" Land 13, no. 2: 149. https://doi.org/10.3390/land13020149
APA StyleZhang, J., Tang, X., Yu, Z., Xiong, S., & Yang, F. (2024). Water-Town Settlement Landscape Atlas in the East River Delta, China. Land, 13(2), 149. https://doi.org/10.3390/land13020149

