Assessment and Management Zoning of Ecosystem Service Trade-Off/Synergy Based on the Social–Ecological Balance: A Case of the Chang-Zhu-Tan Metropolitan Area
Abstract
1. Introduction
2. Materials and Methods
2.1. Study Area
2.2. Data Sources
2.3. Methods
2.3.1. Land Use Multi-Scenario Simulation Atlas Construction
- (1)
- Obtain the land use transfer probability matrix. The Markov module in IDRISI17.0 software was used to derive the land use transfer area matrix and transfer probability matrix for the study area from 2010 to 2020, with the following formulas:
- (2)
- Create a suitability atlas, using the Decision Wizard module in the IDRISI 17.0 software for the land use transfer adaptability atlas of the study area. Considering the study area’s natural geographical features and socio-economic development status, factors such as elevation, slope, distance to roads, and distance to water bodies were comprehensively assessed and quantified as suitability factors. Water bodies, nature reserves, and the Chang-Zhu-Tan Green Heart Ecological Core Area were considered as restrictive factors in the production of the suitability atlas.
- (3)
- Simulation Accuracy Verification. The CROSSTAB module in IDRISI 17.0 software was employed for simulation accuracy verification. A comparison was made between the actual land use types in 2020 and the predicted land use types for the same year, and the Kappa value was computed. The resulting Kappa coefficient was 0.9116 (greater than 0.8), meeting the accuracy requirements.
- (4)
- Simulation of conversion scenarios and rule sets. Considering the research objectives of achieving future ecosystem and economic coordination, the patterns of land use changes in metropolitan area, and the future development plans for metropolitan area [44], this study has formulated the three most representative land use simulation scenarios. The conversion principles for each scenario are as follows (Table 3):
2.3.2. Estimation of the ESV
- where is the food ES per unit of farmland area (yuan/hm2), is the number of crops (n = 3), k is the type of crop, is the national minimum purchase price (yuan/kg), is the yield (yuan/hm2), and is the sown area of the k-th crop (hm2).
- where is the modified value equivalent coefficient; and are the average grain yield per unit (kg/hm2) in the CZTMA and the whole country, respectively.
2.3.3. Analysis of Trade-Off/Synergy
- Trade-off/synergy degree of paired ESs
- where is the change in the ESV of the i-th species; and are the value of ES of the i-th species at the time of and , respectively.
- where represents the collaborative degree of balancing between the i-th and j-th ESs. Its value indicates the strength and direction of interaction between the two ESs. A value greater than 0 indicates a collaborative relationship, whereas a value less than 0 indicates a balancing relationship.
- 2.
- Identify trade-off/synergies across multiple ESs-ESB
2.3.4. Methodology for the Delineation of Ecosystem Management Zone (EMZ)
2.3.5. Other Statistical Analysis Methods
3. Results
3.1. Changes in Spatial and Temporal Patterns of Land Use
- (1)
- Regarding proportion, the dominant land use type in the study area was woodland, accounting for approximately 60%. Cropland was the second largest, accounting for about 28%. Construction land, grassland, water, and unused land have relatively small proportions.
- (2)
- Regarding the trend, from 2000 to 2020, the proportion of cropland, woodland, and grassland in the CZTMA decreased. Cropland experienced the most significant decline, by 8.48%, whereas woodland and grassland decreased by 3.33% and 2.5%, respectively. Construction land increased significantly, mainly converted from cropland and woodland, with an increase of 169.87%. According to the ECS, compared to 2020, the decline in cropland and woodland slowed significantly by 3.15% and 0.9%, respectively, whereas the proportion of construction land will increase by 22.94%. According to the NDS, compared to 2020, the proportion of cropland and woodland is projected to decrease by 3.17% and 1.84%, respectively, whereas the proportion of construction land will increase by 33.23%. Under the EPS, cropland and woodland will experience significant declines, by 4.0% and 2.39%, respectively, whereas grassland and unused land will decrease by 6.9% and 9.48%, respectively. In this scenario, the probability of other land types converting to construction land is the highest, resulting in a 34.86% increase in construction land (Figure 4).
- (3)
- Regarding spatial distribution, cropland in the CZTMA is mainly located in the northern and southwestern parts of the study area. In contrast, woodland will mainly increase in the eastern, northern, and southern parts. Construction land is mainly distributed along the banks of the Xiang River, forming three agglomeration centers: Changsha, Zhuzhou, and Xiangtan. It expands through external transportation and gradually encroaches on surrounding ecological lands such as cropland and woodland (Figure 5).
3.2. Spatial and Temporal Variations in ESV
3.2.1. Characterization of Spatial and Temporal Variations in Total ESV
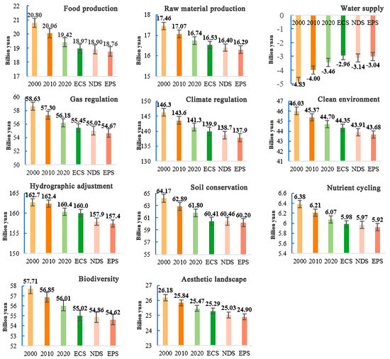
3.2.2. Characterization of Changes in Individual ESV
3.3. Trade-Off/Synergy of ES
3.3.1. ESTD between ESs
3.3.2. Spatial and Temporal Changes in ESB
3.4. Identification of EMZ
3.4.1. Tests of Significance
3.4.2. Ecological Management Zone Pattern Characteristics and Development Decisions
4. Discussion
4.1. The Response of Ecosystem Service Trade-Offs/Synergies to Land Use Changes
4.2. A Multi-Scenario Simulation Zoning Framework Guided by Socio-Ecology Balance Orientation
4.3. Limitations and Prospects
5. Conclusions
Author Contributions
Funding
Data Availability Statement
Acknowledgments
Conflicts of Interest
References
- Scott, A.J. Globalization and the rise of city-regions. Eur. Plan. Stud. 2001, 9, 813–826. [Google Scholar] [CrossRef]
- Fang, C.L.; Liu, H.M.; Wang, S.J. The coupling curve between urbanization and the eco-environment: China’s urban agglomeration as a case study. Ecol. Indic. 2021, 130, 108107. [Google Scholar] [CrossRef]
- Reid, W.; Mooney, H.; Cropper, A.; Capistrano, D.; Carpenter, S.; Chopra, K. Millennium Ecosystem Assessment. Ecosystems and Human Well-Being: Synthesis; Island Press: Washington, DC, USA, 2005. [Google Scholar]
- Xiao, R.; Lin, M.; Fei, X.F.; Li, Y.S.; Zhang, Z.H.; Meng, Q.X. Exploring the interactive coercing relationship between urbanization and ecosystem service value in the Shanghai–Hangzhou Bay Metropolitan Region. J. Clean. Prod. 2020, 253, 119803. [Google Scholar] [CrossRef]
- Xing, L.; Xue, M.G.; Hu, M.S. Dynamic simulation and assessment of the coupling coordination degree of the economy–resource–environment system: Case of Wuhan City in China. J. Environ. Manag. 2019, 230, 474–487. [Google Scholar] [CrossRef]
- Costanza, R.; d’Arge, R.; de Groot, R.; Farber, S.; Grasso, M.; Hannon, B.; Limburg, K.; Naeem, S.; O’Neill, R.V.; Paruelo, J.; et al. The value of the world’s ecosystem services and natural capital. Nature 1997, 387, 253–260. [Google Scholar] [CrossRef]
- Bennett, E.M.; Peterson, G.D.; Gordon, L.J. Understanding relationships among multiple ecosystem services. Ecol. Lett. 2009, 12, 1394–1404. [Google Scholar] [CrossRef] [PubMed]
- De Groot, R.S.; Alkemade, R.; Braat, L.; Hein, L.; Willemen, L. Challenges in integrating the concept of ecosystem services and values in landscape planning, management and decision making. Ecol. Complex. 2010, 7, 260–272. [Google Scholar] [CrossRef]
- Haase, D.; Schwarz, N.; Strohbach, M.; Kroll, F.; Seppelt, R. Synergies, Trade-offs, and Losses of Ecosystem Services in Urban Regions: An Integrated Multiscale Framework Applied to the Leipzig-Halle Region, Germany. Ecol. Soc. 2012, 17, 170322. [Google Scholar] [CrossRef]
- Hao, J.-Y.; Zhi, L.; Li, X.; Dong, S.-K.; Li, W. Temporal and spatial variations and the relationships of land use pattern and ecosystem services in Qinghai-Tibet Plateau, China. Ying Yong Sheng Tai Xue Bao J. Appl. Ecol. 2023, 34, 3053–3063. [Google Scholar] [CrossRef]
- Liu, J.; Pei, X.; Zhu, W.; Jiao, J. Understanding the intricate tradeoffs among ecosystem services in the Beijing-Tianjin-Hebei urban agglomeration across spatiotemporal features. Sci. Total Environ. 2023, 898, 165453. [Google Scholar] [CrossRef]
- Austrheim, G.; Speed, J.D.M.; Evju, M.; Hester, A.; Holand, O.; Loe, L.E.; Martinsen, V.; Mobæk, R.; Mulder, J.; Steen, H.; et al. Synergies and trade-offs between ecosystem services in an alpine ecosystem grazed by sheep—An experimental approach. Basic Appl. Ecol. 2016, 17, 596–608. [Google Scholar] [CrossRef]
- Kumar, P.; Esen, S.E.; Yashiro, M. Linking ecosystem services to strategic environmental assessment in development policies. Environ. Impact Assess. Rev. 2013, 40, 75–81. [Google Scholar] [CrossRef]
- Harmáčková, Z.V.; Vačkář, D. Modelling regulating ecosystem services trade-offs across landscape scenarios in Třeboňsko Wetlands Biosphere Reserve, Czech Republic. Ecol. Model. 2015, 295, 207–215. [Google Scholar] [CrossRef]
- Agudelo, C.A.R.; Bustos, S.L.H.; Moreno, C.A.P. Modeling interactions among multiple ecosystem services. A critical review. Ecol. Model. 2020, 429, 109103. [Google Scholar] [CrossRef]
- Tian, P.; Liu, Y.C.; Li, J.L.; Pu, R.L.; Cao, L.D.; Zhang, H.T. Spatiotemporal patterns of urban expansion and trade-offs and synergies among ecosystem services in urban agglomerations of China. Ecol. Indic. 2023, 148, 110057. [Google Scholar] [CrossRef]
- Jin, M.; Han, X.L.; Li, M.Y. Trade-offs of multiple urban ecosystem services based on land-use scenarios in the Tumen River cross-border area. Ecol. Model. 2023, 482, 110368. [Google Scholar] [CrossRef]
- Mo, W.; Zhao, Y.; Yang, N.; Xu, Z. Ecological function zoning based on ecosystem service bundles and trade-offs: A study of Dongjiang Lake Basin, China. Environ. Sci. Pollut. Res. 2023, 30, 40388–40404. [Google Scholar] [CrossRef]
- Zheng, H.; Wang, L.J.; Wu, T. Coordinating ecosystem service trade-offs to achieve win–win outcomes: A review of the approaches. J. Environ. Sci. 2019, 82, 103–112. [Google Scholar] [CrossRef]
- Feng, Q.; Zhao, W.W.; Duan, B.L.; Hu, X.P.; Cherubini, F. Coupling trade-offs and supply-demand of ecosystem services (ES): A new opportunity for ES management. Geogr. Sustain. 2021, 2, 275–280. [Google Scholar] [CrossRef]
- Pan, N.H.; Guan, Q.Y.; Wang, Q.Z.; Sun, Y.F.; Li, H.C.; Ma, Y.R. Spatial Differentiation and Driving Mechanisms in Ecosystem Service Value of Arid Region: A case study in the middle and lower reaches of Shule River Basin, NW China. J. Clean. Prod. 2021, 319, 128718. [Google Scholar] [CrossRef]
- Wang, L.J.; Zheng, H.; Wen, Z.; Liu, L.; Robinson, B.E.; Li, R.N.; Li, C.; Kong, L.Q. Ecosystem service synergies/trade-offs informing the supply-demand match of ecosystem services: Framework and application. Ecosyst. Serv. 2019, 37, 100939. [Google Scholar] [CrossRef]
- Wu, J.X.; Zhao, Y.; Yu, C.Q.; Luo, L.M.; Pan, Y. Land management influences trade-offs and the total supply of ecosystem services in alpine grassland in Tibet, China. J. Environ. Manag. 2017, 193, 70–78. [Google Scholar] [CrossRef] [PubMed]
- Zhao, Y.N.; Wang, M.; Lan, T.H.; Xu, Z.H.; Wu, J.S.; Liu, Q.Y.; Peng, J. Distinguishing the effects of land use policies on ecosystem services and their trade-offs based on multi-scenario simulations. Appl. Geogr. 2023, 151, 102864. [Google Scholar] [CrossRef]
- Yang, S.; Zhang, L.; Zhu, G. Effects of transport infrastructures and climate change on ecosystem services in the integrated transport corridor region of the Qinghai-Tibet Plateau. Sci. Total Environ. 2023, 885, 163961. [Google Scholar] [CrossRef] [PubMed]
- Liu, Y.X.; Liu, S.L.; Sun, Y.X.; Sun, J.; Wang, F.F.; Li, M.Q. Effect of grazing exclusion on ecosystem services dynamics, trade-offs and synergies in Northern Tibet. Ecol. Eng. 2022, 179, 106638. [Google Scholar] [CrossRef]
- Vallet, A.; Locatelli, B.; Levrel, H.; Wunder, S.; Seppelt, R.; Scholes, R.J.; Oszwald, J. Relationships Between Ecosystem Services: Comparing Methods for Assessing Tradeoffs and Synergies. Ecol. Econ. 2018, 150, 96–106. [Google Scholar] [CrossRef]
- Jopke, C.; Kreyling, J.; Maes, J.; Koellner, T. Interactions among ecosystem services across Europe: Bagplots and cumulative correlation coefficients reveal synergies, trade-offs, and regional patterns. Ecol. Indic. 2015, 53, 295–296. [Google Scholar] [CrossRef]
- Langner, A.; Irauschek, F.; Perez, S.; Pardos, M.; Zlatanov, T.; Öhman, K.; Nordström, E.M.; Lexer, M.J. Value-based ecosystem service trade-offs in multi-objective management in European mountain forests. Ecosyst. Serv. 2017, 26, 245–257. [Google Scholar] [CrossRef]
- Zhang, Y.N.; Long, H.L.; Tu, S.S.; Ge, D.Z.; Ma, L.; Wang, L.Z. Spatial identification of land use functions and their tradeoffs/synergies in China: Implications for sustainable land management. Ecol. Indic. 2019, 107, 105550. [Google Scholar] [CrossRef]
- Landuyt, D.; Broekx, S.; Goethals, P.L.M. Bayesian belief networks to analyse trade-offs among ecosystem services at the regional scale. Ecol. Indic. 2016, 71, 327–335. [Google Scholar] [CrossRef]
- Clec’h, S.L.; Oszwald, J.; Decaens, T.; Desjardins, T.; Dufour, S.; Grimaldi, M.; Jegou, N.; Lavelle, P. Mapping multiple ecosystem services indicators: Toward an objective-oriented approach. Ecol. Indic. 2016, 69, 508–521. [Google Scholar] [CrossRef]
- Qiu, J.; Turner, M.G. Spatial interactions among ecosystem services in an urbanizing agricultural watershed. Proc. Natl. Acad. Sci. USA 2013, 110, 12149–12154. [Google Scholar] [CrossRef] [PubMed]
- Saidi, N.; Spray, C. Ecosystem services bundles: Challenges and opportunities for implementation and further research. Environ. Res. Lett. 2018, 13, 113001. [Google Scholar] [CrossRef]
- Jiang, Y.; Chen, M.; Zhang, J.; Sun, Z.; Sun, Z. The improved coupling coordination analysis on the relationship between climate, eco-environment, and socio-economy. Environ. Ecol. Stat. 2022, 29, 77–100. [Google Scholar] [CrossRef]
- Zhang, Y.; Chang, X.; Liu, Y.; Lu, Y.; Wang, Y.; Liu, Y. Urban expansion simulation under constraint of multiple ecosystem services (MESs) based on cellular automata (CA)-Markov model: Scenario analysis and policy implications. Land Use Policy 2021, 108, 105667. [Google Scholar] [CrossRef]
- Fu, F.; Deng, S.; Wu, D.; Liu, W.; Bai, Z. Research on the spatiotemporal evolution of land use landscape pattern in a county area based on CA-Markov model. Sustain. Cities Soc. 2022, 80, 103760. [Google Scholar] [CrossRef]
- Zhao, X.; Miao, C. Spatial-Temporal Changes and Simulation of Land Use in Metropolitan Areas: A Case of the Zhengzhou Metropolitan Area, China. Int. J. Environ. Res. Public Health 2022, 19, 14089. [Google Scholar] [CrossRef]
- Arsanjani, J.J.; Kainz, W.; Mousivand, A.J. Tracking dynamic land-use change using spatially explicit Markov Chain based on cellular automata: The case of Tehran. Int. J. Image Data Fusion 2011, 2, 329–345. [Google Scholar] [CrossRef]
- Cui, X.; Huang, L. Integrating ecosystem services and ecological risks for urban ecological zoning: A case study of Wuhan City, China. Hum. Ecol. Risk Assess. 2023, 29, 1299–1317. [Google Scholar] [CrossRef]
- Masalvad, S.S.; Patil, C.; Pravalika, A.; Katageri, B.; Bekal, P.; Patil, P.; Hegde, N.; Sahoo, U.K.; Sakare, P.K. Application of geospatial technology for the land use/land cover change assessment and future change predictions using CA Markov chain model. Environ. Dev. Sustain. 2023. [Google Scholar] [CrossRef]
- Favis-Mortlock, D. Non-Linear Dynamics, Self-Organization, and Cellular Automata Models. In Environmental Modelling: Finding Simplicity in Complexity; Wiley: Hoboken, NJ, USA, 2013; pp. 349–369. [Google Scholar] [CrossRef]
- Kamusoko, C.; Aniya, M.; Adi, B.; Manjoro, M. Rural sustainability under threat in Zimbabwe—Simulation of future land use/cover changes in the Bindura district based on the Markov-cellular automata model. Appl. Geogr. 2009, 29, 435–447. [Google Scholar] [CrossRef]
- Zhang, C.Y.; Bai, Y.P.; Yang, X.D.; Gao, Z.Q.; Liang, J.S.; Chen, Z.J. Scenario analysis of the relationship among ecosystem service values—A case study of Yinchuan Plain in northwestern China. Ecol. Indic. 2022, 143, 109320. [Google Scholar] [CrossRef]
- Asif, M.; Kazmi, J.H.; Tariq, A.; Zhao, N.; Guluzade, R.; Soufan, W.; Almutairi, K.F.; Sabagh, A.E.; Aslam, M. Modelling of land use and land cover changes and prediction using CA-Markov and Random Forest. Geocarto Int. 2023, 38, 2210532. [Google Scholar] [CrossRef]
- Megersa, W.; Deribew, K.T.; Abreha, G.; Liqa, T.; Moisa, M.B.; Hailu, S.; Worku, K. Stochastic modeling of urban growth using the CA-Markov chain and multi-scenario prospects in the tropical humid region of Ethiopia: Mettu. Geocarto Int. 2023, 38, 2240285. [Google Scholar] [CrossRef]
- Xiong, N.; Yu, R.; Yan, F.; Wang, J.; Feng, Z. Land Use and Land Cover Changes and Prediction Based on Multi-Scenario Simulation: A Case Study of Qishan County, China. Remote Sens. 2022, 14, 4041. [Google Scholar] [CrossRef]
- Gao-di, X.; Cai-xia, Z.; Lei-ming, Z.; Wen-hui, C.; Shi-mei, L. Improvement of the Evaluation Method for Ecosystem Service Value Based on Per Unit Area. J. Nat. Resour. 2015, 30, 1243–1254. [Google Scholar] [CrossRef]
- Enping, Y.; Hui, L.; Guangxing, W.; Chaozong, X. Analysis of evolution and driving force of ecosystem service values in the Three Gorges Reservoir region during 1990–2011. Acta Ecol. Sin. 2014, 34, 5962–5973. [Google Scholar] [CrossRef]
- Gong, J.; Liu, D.Q.; Zhang, J.X.; Xie, Y.C.; Cao, E.J.; Li, H.Y. Tradeoffs/synergies of multiple ecosystem services based on land use simulation in a mountain-basin area, western China. Ecol. Indic. 2019, 99, 283–293. [Google Scholar] [CrossRef]
- Endreny, T.; Santagata, R.; Perna, A.; Stefano, C.D.; Rallo, R.F.; Ulgiati, S. Implementing and managing urban forests: A much needed conservation strategy to increase ecosystem services and urban wellbeing. Ecol. Model. 2017, 360, 328–335. [Google Scholar] [CrossRef]
- Huang, F.; Zuo, L.; Gao, J.; Jiang, Y.; Du, F.; Zhang, Y. Exploring the driving factors of trade-offs and synergies among ecological functional zones based on ecosystem service bundles. Ecol. Indic. 2023, 146, 109827. [Google Scholar] [CrossRef]
- Li, Y.; Luo, H. Trade-off/synergistic changes in ecosystem services and geographical detection of its driving factors in typical karst areas in southern China. Ecol. Indic. 2023, 154, 110811. [Google Scholar] [CrossRef]
- Feng, Z.; Jin, X.R.; Chen, T.Q.; Wu, J.S. Understanding trade-offs and synergies of ecosystem services to support the decision-making in the Beijing—Tianjin—Hebei region. Land Use Policy 2021, 106, 105446. [Google Scholar] [CrossRef]
- Huang, Y.T.; Wu, J.Y. Spatial and temporal driving mechanisms of ecosystem service trade-off/synergy in national key urban agglomerations: A case study of the Yangtze River Delta urban agglomeration in China. Ecol. Indic. 2023, 154, 110800. [Google Scholar] [CrossRef]
- Zhou, Z.; Robinson, G.M.; Song, B. Experimental research on trade-offs in ecosystem services: The agro-ecosystem functional spectrum. Ecol. Indic. 2019, 106, 105536. [Google Scholar] [CrossRef]
- Li, B.; Yang, Z.; Cai, Y.; Xie, Y.; Guo, H.; Wang, Y.; Zhang, P.; Li, B.; Jia, Q.; Huang, Y.; et al. Prediction and valuation of ecosystem service based on land use/land cover change: A case study of the Pearl River Delta. Ecol. Eng. 2022, 179, 106612. [Google Scholar] [CrossRef]
- Xiao, O.; Qingyun, H.; Xiang, Z. Simulation of lmpacts of Urban Agglomeration Land Use Change on EcosystemServices Value under Multi-Scenarios: Case study in Changsha-Zhuzhou-Xiangtan urban agglomeration. Econ. Geogr. 2020, 40, 93–102. [Google Scholar] [CrossRef]
- Baró, F.; Gómez-Baggethun, E.; Haase, D. Ecosystem service bundles along the urban-rural gradient: Insights for landscape planning and management. Ecosyst. Serv. 2017, 24, 147–159. [Google Scholar] [CrossRef]
- Yang, Y.Y.; Zheng, H.; Kong, L.Q.; Huang, B.B.; Xu, W.H.; Ouyang, Z.Y. Mapping ecosystem services bundles to detect high- and low-value ecosystem services areas for land use management. J. Clean. Prod. 2019, 225, 11–17. [Google Scholar] [CrossRef]
- Yang, G.F.; Ge, Y.; Xue, H.; Yang, W.; Shi, Y.; Peng, C.H.; Du, Y.Y.; Fan, X.; Ren, Y.; Chang, J. Using ecosystem service bundles to detect trade-offs and synergies across urban-rural complexes. Landsc. Urban Plan. 2015, 136, 110–121. [Google Scholar] [CrossRef]
- Li, K.; Hou, Y.; Andersen, P.S.; Xin, R.; Rong, Y.; Skov-Petersen, H. An ecological perspective for understanding regional integration based on ecosystem service budgets, bundles, and flows: A case study of the Jinan metropolitan area in China. J. Environ. Manag. 2022, 305, 114371. [Google Scholar] [CrossRef]
- Liu, Y.; Jing, Y.; Han, S. Ecological function zoning of Nansi Lake Basin in China based on ecosystem service bundles. Environ. Sci. Pollut. Res. 2023, 30, 77343–77357. [Google Scholar] [CrossRef] [PubMed]
- Huang, H.; Xue, J.; Feng, X.; Zhao, J.; Sun, H.; Hu, Y.; Ma, Y. Thriving arid oasis urban agglomerations: Optimizing ecosystem services pattern under future climate change scenarios using dynamic Bayesian network. J. Environ. Manag. 2024, 350, 119612. [Google Scholar] [CrossRef] [PubMed]
- Bai, Y.; Ochuodho, T.O.; Yang, J.; Agyeman, D.A. Bundles and Hotspots of Multiple Ecosystem Services for Optimized Land Management in Kentucky, United States. Land 2021, 10, 69. [Google Scholar] [CrossRef]
- Karimi, J.D.; Corstanje, R.; Harris, J.A. Bundling ecosystem services at a high resolution in the UK: Trade-offs and synergies in urban landscapes. Landsc. Ecol. 2021, 36, 1817–1835. [Google Scholar] [CrossRef]
- Jia, C.; Fan, Y.; Wei, C.; Luo, K.; Li, S.; Song, Y. Identifying Internal Distributions and Multi-Scenario Simulation of Ecosystem Service Value in Liaohe Basin Based on Geodetector and PLUS Model. Wetlands 2024, 44, 7. [Google Scholar] [CrossRef]
- Liu, Q.; Qiao, J.; Li, M.; Huang, M. Spatiotemporal heterogeneity of ecosystem service interactions and their drivers at different spatial scales in the Yellow River Basin. Sci. Total Environ. 2024, 908, 168486. [Google Scholar] [CrossRef]
- Shen, J.S.; Li, S.C.; Wang, H.; Wu, S.Y.; Liang, Z.; Zhang, Y.T.; Wei, F.L.; Li, S.; Ma, L.; Wang, Y.Y.; et al. Understanding the spatial relationships and drivers of ecosystem service supply-demand mismatches towards spatially-targeted management of social-ecological system. J. Clean. Prod. 2023, 406, 136882. [Google Scholar] [CrossRef]
- Deng, Y.-Y.; Wang, D.; Xu, H. Trade-offs and synergies relationships of ecosystem services and their socio-ecological driving factors under different spatial scales in Shaoguan City, Guangdong, China. Ying Yong Sheng Tai Xue Bao J. Appl. Ecol. 2023, 34, 3073–3084. [Google Scholar] [CrossRef]











| Data Categories | Specifications | Data Sources |
|---|---|---|
| Land Use Data (2000–2020) | Raster, 30 m × 30 m | Chinese Academy of Sciences Resource and Environmental Science Data (RESDC) “http://www.resdc.cn” accessed on 15 June 2023 |
| DEM Data | Raster, 30 m × 30 m | Geospatial Data Cloud (https://www.gscloud.cn/) accessed on 15 June 2023 |
| Railways (2020) | Vector, Line | OpenStreetMap (https://www.openstreetmap.org/) accessed on 15 June 2023 |
| Major Roads (2020) | Vector, Line | |
| Administrative Division Data | Vector, Polygon | Chinese Academy of Sciences Resource and Environmental Science Data (RESDC) “http://www.resdc.cn” accessed on 15 June 2023 |
| Nature Reserve Data | Vector, Polygon | Nature Reserve Specimen Resource Sharing Platform http://www.papc.cn/ accessed on 16 June 2023 |
| Chang-Zhu-Tan Green Heart Zone Data | Vector, Polygon | Hunan Provincial People’s Government website (http://www.hunan.gov.cn) accessed on 16 June 2023 |
| Grain Production Data | Statistical, County | China Statistical Yearbook https://www.stats.gov.cn/sj/ndsj/2023/indexch.htm accessed on 16 June 2023 |
| Land Use | Cropland | Woodland | Grassland | Water | Construction | Unused |
|---|---|---|---|---|---|---|
| Actual area in 2020 | 5690.00 | 11,275.33 | 158.47 | 427.78 | 1426.63 | 6.92 |
| Simulated area in 2020 | 5721.25 | 11,325.27 | 157.53 | 430.94 | 1343.41 | 6.72 |
| Error/% | 0.55 | 0.44 | −0.59 | 0.74 | −5.83 | −2.95 |
| Scenario Type | Conversion Rules |
|---|---|
| Ecological Conservation Scenario (ECS) | Water, nature reserve, and part of the Green Heart area are considered constraint; conversion from high ecological value land to low ecological value land is to be limited: conversion from cropland to woodland is increased by 30%, whereas transformation from cropland, unused land, woodland, and grassland to construction land is reduced by 40% and 50%, respectively [45]. |
| Natural Development Scenario (NDS) | Based on the land use change patterns from 2000 to 2020, there are no restrictions on the conversion between land types. It serves as the reference scenario for the forecast. |
| Economic Priority Scenario (EPS) | According to the land use planning texts of various cities in the CZTMA, the maximum increase in construction land is set at 50%, and nature reserve is considered a constraint. Land conversions with high economic benefits are increased: conversion from grassland, water, unused land, cropland, and woodland to construction land are increased by 30%, 40%, and 60%, respectively [46,47]. |
| Scenario Setting | Cropland | Woodland | Grassland | Water | Construction | Unused | |
|---|---|---|---|---|---|---|---|
| ECS | Cropland | 0.7837 | 0.1418 | 0.0009 | 0.0093 | 0.0642 | 0.0001 |
| Woodland | 0.1003 | 0.8513 | 0.0026 | 0.0045 | 0.0411 | 0.0002 | |
| Grassland | 0.0410 | 0.1377 | 0.8106 | 0.0026 | 0.0078 | 0.0003 | |
| Water | 0.0350 | 0.0243 | 0.0005 | 0.9184 | 0.0214 | 0.0004 | |
| Construction | 0.0305 | 0.0233 | 0.0001 | 0.0025 | 0.9435 | 0.0000 | |
| Unused | 0.0273 | 0.2535 | 0.0000 | 0.0281 | 0.0352 | 0.6559 | |
| NDS | Cropland | 0.7738 | 0.1091 | 0.0009 | 0.0092 | 0.1069 | 0.0001 |
| Woodland | 0.0960 | 0.8148 | 0.0025 | 0.0043 | 0.0822 | 0.0001 | |
| Grassland | 0.0407 | 0.1366 | 0.8043 | 0.0026 | 0.0156 | 0.0003 | |
| Water | 0.0940 | 0.0654 | 0.0013 | 0.7806 | 0.0576 | 0.0011 | |
| Construction | 0.1069 | 0.0817 | 0.0005 | 0.0089 | 0.8019 | 0.0000 | |
| Unused | 0.0266 | 0.2473 | 0.0000 | 0.0274 | 0.0586 | 0.6400 | |
| EPS | Cropland | 0.7367 | 0.1039 | 0.0008 | 0.0088 | 0.1497 | 0.0001 |
| Woodland | 0.0908 | 0.7711 | 0.0024 | 0.0041 | 0.1315 | 0.0001 | |
| Grassland | 0.0405 | 0.1359 | 0.8004 | 0.0026 | 0.0203 | 0.0003 | |
| Water | 0.0922 | 0.0642 | 0.0013 | 0.7663 | 0.0749 | 0.0011 | |
| Construction | 0.1069 | 0.0817 | 0.0005 | 0.0089 | 0.8019 | 0.0000 | |
| Unused | 0.0261 | 0.2427 | 0.0000 | 0.0269 | 0.0762 | 0.6280 |
| ES | Cropland | Woodland | Grassland | Water | Unused | |
|---|---|---|---|---|---|---|
| Supply Service | FP * | 2270.942 | 518.926 | 479.535 | 1346.124 | 10.276 |
| RM * | 503.512 | 1191.988 | 705.602 | 750.130 | 30.827 | |
| WS * | −2681.972 | 616.545 | 390.479 | 11,180.023 | 20.552 | |
| Regulating Service | GR * | 1829.085 | 3920.201 | 2479.883 | 2743.627 | 133.585 |
| CR * | 955.645 | 11729.776 | 6555.933 | 6052.421 | 102.758 | |
| CE * | 277.445 | 3437.241 | 2164.759 | 9402.317 | 421.306 | |
| HA * | 3072.451 | 7675.990 | 4802.204 | 129,957.492 | 246.618 | |
| Support Service | SC * | 1068.679 | 4773.089 | 3021.072 | 3329.345 | 154.136 |
| NC * | 318.548 | 364.789 | 232.917 | 256.894 | 10.276 | |
| BD * | 349.376 | 4346.645 | 2747.052 | 10,707.338 | 143.861 | |
| Cultural Service | AL * | 154.136 | 1906.153 | 1212.539 | 6802.551 | 61.655 |
| Type | Method and Description | |
|---|---|---|
| Land use transfer chord map | Origin 2021 Chord Diagram Module | Represents the transfer from one component to another or depicts the proportion of each component. |
| Unilateral ESV Bar Chart | Excel Bar Chart | Summarizes the product of the value equivalent coefficient of various Ecosystem Services (ES) and the corresponding land use area. |
| trade-off/synergy Heatmap | Origin 2021 Heatmap Module | Provides an intuitive understanding of the correlation between variables, revealing potential relationships among them. |
| Ecosystem Services Bundle Radar Chart | Excel Radar Chart | Quantifies the importance of various ES in different types of Ecosystem Service Bundles |
| Ecosystem Service Bundle Area Ratio Chart | Excel Line Chart | Quantifies the dominance of various ESB in different regions |
| Description | Year | Land Use | Total | ||||
|---|---|---|---|---|---|---|---|
| Cropland | Woodland | Grassland | Water | Construction | |||
| ESV/billion yuan | 2000 | 50.47 | 472.17 | 4.03 | 74.90 | 0.00 | 601.57 |
| 2010 | 48.12 | 463.57 | 3.92 | 77.94 | 0.01 | 593.56 | |
| 2020 | 46.19 | 456.44 | 3.93 | 78.08 | 0.01 | 584.65 | |
| 2030 ECS | 44.73 | 452.32 | 3.69 | 79.46 | 0.01 | 580.21 | |
| 2030 NDS | 44.73 | 448.06 | 3.82 | 77.59 | 0.01 | 574.20 | |
| 2030 EPS | 44.34 | 445.53 | 3.66 | 77.88 | 0.01 | 571.42 | |
| Rate of change/% | 00–10 | −4.87 | −1.85 | −2.76 | 3.90 | 66.35 | −1.35 |
| 10–20 | −4.19 | −1.56 | 0.19 | 0.18 | −18.96 | −1.52 | |
| 00–20 | −8.48 | −3.33 | −2.50 | 4.25 | 149.78 | −2.81 | |
| 20–30 ECS | −3.26 | −0.91 | −6.59 | 1.73 | −8.51 | −0.76 | |
| 20–30 NDS | −3.17 | −1.84 | −2.84 | −0.63 | 1.16 | −1.79 | |
| 20–30 EPS | −4.01 | −2.39 | −6.90 | −0.26 | −9.53 | −2.26 | |
Disclaimer/Publisher’s Note: The statements, opinions and data contained in all publications are solely those of the individual author(s) and contributor(s) and not of MDPI and/or the editor(s). MDPI and/or the editor(s) disclaim responsibility for any injury to people or property resulting from any ideas, methods, instructions or products referred to in the content. |
© 2024 by the authors. Licensee MDPI, Basel, Switzerland. This article is an open access article distributed under the terms and conditions of the Creative Commons Attribution (CC BY) license (https://creativecommons.org/licenses/by/4.0/).
Share and Cite
Liang, S.; Yang, F.; Zhang, J.; Xiong, S.; Xu, Z. Assessment and Management Zoning of Ecosystem Service Trade-Off/Synergy Based on the Social–Ecological Balance: A Case of the Chang-Zhu-Tan Metropolitan Area. Land 2024, 13, 127. https://doi.org/10.3390/land13020127
Liang S, Yang F, Zhang J, Xiong S, Xu Z. Assessment and Management Zoning of Ecosystem Service Trade-Off/Synergy Based on the Social–Ecological Balance: A Case of the Chang-Zhu-Tan Metropolitan Area. Land. 2024; 13(2):127. https://doi.org/10.3390/land13020127
Chicago/Turabian StyleLiang, Shuhua, Fan Yang, Jingyi Zhang, Suwen Xiong, and Zhenni Xu. 2024. "Assessment and Management Zoning of Ecosystem Service Trade-Off/Synergy Based on the Social–Ecological Balance: A Case of the Chang-Zhu-Tan Metropolitan Area" Land 13, no. 2: 127. https://doi.org/10.3390/land13020127
APA StyleLiang, S., Yang, F., Zhang, J., Xiong, S., & Xu, Z. (2024). Assessment and Management Zoning of Ecosystem Service Trade-Off/Synergy Based on the Social–Ecological Balance: A Case of the Chang-Zhu-Tan Metropolitan Area. Land, 13(2), 127. https://doi.org/10.3390/land13020127

