Abstract
Urban parks are important components of the urban green space system, providing residents with a variety of leisure options. The design’s focal point is the spatial layout of the different use scenarios within these parks. Previous studies have largely concentrated on the scene and macro layout of urban public spaces but have not thoroughly investigated the digital characteristics and corresponding parametric methods for the layout of different internal use scenes in urban green spaces. This research selected 18 urban parks from various global regions as case samples and categorized eight typical park scene space types based on common activity scene requirements in park design using AutoCAD to identify vector boundaries in each sample. To examine the digital characteristics of these scene space types, a quantitative index system was established, including spatial density and scale indicators, spatial connection relationship indicators, and spatial unit morphology indicators. The analysis of these indicators across the samples shows that the number of scene spaces is positively correlated with the total park area, while natural experience scenes constitute the largest proportion of urban parks. Different scene types exhibit distinct spatial layouts; for example, circulation spaces demonstrate high connectivity due to their role in directing visitor flow. Some spaces exhibit a more fixed scale and size, while others vary considerably. Finally, this research develops a parametric design framework using the Grasshopper platform. By taking a park in Nanjing as a case study, this paper illustrates how to utilize digital layout features to generate scene space layouts, offering insights into intelligent generative design. This approach provides a structured method to enhance urban park design through the application of digital and parametric tools, contributing to the broader field of urban park design.
1. Introduction
Urban parks are important components of the urban green infrastructure, offering residents varied settings for activities such as relaxation, leisure, and entertainment. These activities and events in the space create the “scene”, and the areas that can host such activities are referred to as “scene spaces”. The term “scene” holds academic significance in fields such as sociology, film and television studies, and communication studies, where it generally refers to the portrayal of visual settings in drama or reality [1]. In urban design, scene theory, developed by the New Chicago School, serves as a pioneering framework for analyzing how urban cultural styles and aesthetic characteristics influence urban development [2]. This theory constructs a comprehensive framework to examine the interactive relationship between urban space and residents’ lifestyles from both cultural and sociological perspectives [3]. It emphasizes the synergy between physical infrastructure and socio-cultural elements—including buildings, populations, cultural activities, and public spaces—within a specific environment.
Numerous scholars have applied scene theory to various aspects of urban design. For instance, Li et al. employed the theory to evaluate the spatial quality of traditional village culture and tourism [4,5]. Ying et al. explored its practical value in guiding the transformation of industrial heritage sites into cultural tourism destinations [6]. Silver et al. argued that each scene can be deconstructed into multi-dimensional symbolic contours, which can be used to analyze the types of experiences offered by particular places [7]. Ren et al. demonstrated how scene construction can enhance the attractiveness and social functions of traditional spaces [8]. Wei et al., based on the five core elements of scene theory, developed a theoretical framework for the cultural landscape reproduction of “node–neighborhood–city” configurations [9].
These studies have reached a consensus: Urban parks offer users public spaces that accommodate a wide range of activities, with people’s activities within these spaces collectively shaping unique scenes [10]. While some scholars have explored scene-related studies at the urban scale, research focused on the spatial characteristics and compositional patterns of scenes within urban parks remains largely unexplored. This research aims to introduce the concept of scene spaces into park design research to fill this gap. In the process, a research approach based on quantitative indicators was employed, comprising three categories: spatial density and scale indicators, spatial connection relationship indicators, and spatial unit morphology indicators.
In recent years, with the development of digital technology, quantitative indicators have been increasingly introduced to characterize the digital composition of space [11] and to conduct quantitative design evaluation [12] as well as to assist design [13]. Although these indicators typically analyze space at the factor level or from a localized perspective, there remains a scarcity of quantitative analyses regarding the planar configuration of scene spaces in parks. Two- and three-dimensional spatial data have increasingly been applied to analyze and evaluate landscape characteristics and quality [14]. Recent research has expanded from global form indicators—such as spatial scale, density, compactness, and openness [15]—to the development of quantification technologies for specific morphological indicators, such as Sky View Factor (SVF) and spatial compactness [16]. Analyzing morphological characteristics and spatial information identifies practical value ranges, enabling precise mathematical representation and continuous optimization of indicators [17].
For example, many authors have utilized various digital analysis platforms, employing Green View (GV) and morphological component units as indicators to quantitatively analyze landscape spatial form, thus deepening the understanding of landscape characteristics and site conditions [18,19,20]. Additionally, human perception data have been incorporated into urban space design evaluations [21,22,23]. Cheng et al. developed a two-way prediction model based on the aspects of “view” and “viewing experience” to integrate people’s perceptual responses to space [24]. Zhang et al. emphasized the positive effects of high-quality urban green spaces on outdoor activities, while Zhang et al. explored the influence of visual attribute interactions within spatial form on landscape preference [25]. These studies enhance our understanding of the interactive relationship between landscape form and human perception, providing a scientific basis for urban and landscape space design.
The plan of a park is the most direct reflection of a program’s functional partition settings and overall spatial layout of scene spaces. Although research on spatial element form indicators is abundant, these indicators are typically analyzed at the element level or from a localized perspective, leaving a significant gap in the quantitative analysis of the planar configuration of park scene spaces. This research aims to fill these gaps by answering the question, “What are the digital characteristics of scene space layouts in urban parks?” Based on this, we can utilize generative design methods in landscape architecture to assist design processes according to the digital characteristics of park scenes.
Current research explores various methods of parametric regulation and artificial intelligence, revealing the clear advantages of generative design [26,27,28]. Its efficiency and ability to surpass human intuition make it a key scientific field with significant potential. The generative design approach in landscape architecture can be achieved through goal-setting, constraint definition, and input parameterization, offering a highly efficient, diversified, and automated process. Artificial intelligence algorithms in this context focus on technological optimization [28,29], machine learning [30], cross-disciplinary collaboration [31,32], and other areas. Optimization algorithms enhance design efficiency [33,34], while joint analysis supports evaluation improvement. Furthermore, scientific frameworks and methodologies foster better integration of human–environment relationships and refine decision-making processes [35,36]. Generative design, which leverages artificial intelligence, is categorized into artificial life, intelligent random optimization, and machine learning. Key technologies include Deep Neural Networks (DNNs), Convolutional Neural Networks (CNNs), and generative adversarial networks (GANs) [37,38,39]. GANs, for example, contribute to intelligent system construction in specific scenarios by generating and optimizing design outputs.
The application of generative design models in architectural planning highlights both advantages and limitations [40,41], underscoring the irreplaceable role of designers, who remain central to decision-making in landscape design. Presently, artificial intelligence in landscape architecture faces challenges, particularly due to its reliance on image-based design logic, which limits the design process’s depth. Platforms like Rhino and Grasshopper are extensively used in parametric design [42], enabling real-time parameter control and genetic algorithm-assisted optimization for efficient goal realization.
The ultimate goal of this study is to build a parametric design framework based on the digital characteristics of park scene layouts derived from computational analysis. By comprehensively comparing various generative design methods, this study aims to develop a framework utilizing Rhino and Grasshopper. This framework can assist landscape designers in formulating design schemes by using input parameters to generate preliminary layout proposals for scene spaces, thereby facilitating the design of specific spatial structures such as pathways, terrain, and vegetation.
2. Materials and Methods
2.1. Workflow
We developed a comprehensive four-stage workflow comprising the following steps (Figure 1):
- Collection of plan data from 18 parks, followed by classification and identification of spatial scenes within these case studies.
- Construction of a quantitative indicator system for the spatial layout, resulting in a total of six indicators.
- Calculation of these indicators based on the 18 completed park samples.
- Establishment of a digital parametric design framework on Rhino 7’s Grasshopper platform. Referring to spatial indicator value ranges, this program enables the generation of spatial scene layouts for unbuilt park projects.
Figure 1.
Research workflow.
Figure 1.
Research workflow.

2.2. Classification of Park Scene Space and Identification of Corresponding Space
2.2.1. Selection of Park Samples
To elucidate the characteristics and inter-relationships of various scene spaces in urban parks, 18 urban parks from China, Denmark, and the United States were selected for analysis (Figure 2). These urban parks, intended to provide residents with spaces for daily outdoor leisure activities, cover areas ranging from 2 to 12 square kilometers and exhibit diversity in scale, form, and landscape design. To ensure the cases hold practical relevance for analysis and discussion, the following criteria were applied during site selection:
- The selected parks are fully constructed, with healthy vegetation and high-quality landscape imagery.
- Each park has comprehensive functions, capable of meeting the everyday leisure and recreational needs of local residents.
- The parks exhibit a clear thematic orientation or cultural connotation.
- The sites experience high foot traffic and host a wide variety of activities.
- Sufficient data are available for analysis, including public plans, renderings, and online discussions about the parks.
- The parks possess significant landscape value, having been recognized within the industry or awarded relevant design honors.
Figure 2.
Geographical location of 18 selected park samples.
Figure 2.
Geographical location of 18 selected park samples.

2.2.2. Classification of Scene Space and Type Identification of Corresponding Park Samples
Considering that these park samples provide a diverse urban demographic, this research identified eight typical park scenes based on the common types of activity scenes that need to be carried in the design of the parks, which are as follows: circulation scene, natural experience scene, rest and activity scene space, social interaction and performance scene space, parent–child play scene, sports and fitness scene, science and technology exhibition scene, and culture and art scene.
To accurately identify the area and boundaries of park use scenarios on floor plans, we first located the floor plans with design legends on the official design websites of each park case. These plans were used to clarify the design function of each landscape space, the target user groups, the characteristics of the sub-surfaces, and the iconic landmarks, enabling us to determine the specific use scenarios (Table 1). For example, park entrances and exits are typically located at the edges of the site and feature hard pavements with well-defined boundaries. In this research, these were classified as circulation scene spaces. In general, each scenario space is clearly delineated by roads, plazas, water systems, or plant groupings, which spatially separate them. Most scenario spaces also exhibit distinct underlayment characteristics and have landmarks, making them relatively easy to identify with minimal ambiguity.
Table 1.
Identification criteria of scene space (This Table provides some scene space identification criteria and examples for reference).
To ensure the accuracy of scene space identification, we cross-referenced the assigned zones with real-life photos of the parks after their construction. This allowed us to verify whether the activities within each zone corresponded to the designated scene space type. Based on these considerations, we mapped the scene space zoning of the 18 selected parks (Sample A to R, Figure 3) and vectorized the boundaries of these spaces in AutoCAD 2018, adhering to the actual scale proportions. Subsequently, we further extracted the spatial center points of these scene spaces as the “nodes” in the subsequent analysis of spatial connection relationship indicators.
Figure 3.
Scene space identification of 18 park samples. (The focus of this research, “scene space in urban parks”, highlights user activities within these spaces. In the park examined, the extensive water areas primarily provide ornamental and ecological regulation functions rather than serving as venues for activities. Consequently, these areas are labeled “water space” in the diagrams. However, this portion of the water space is not considered part of the scene space and is thus excluded from specific scene classifications.)
Building on the classification and boundary definitions of these park scenes, this study further delineated the spatial partitions of scenes across 18 selected parks. These partitions are presented as landscape unit spaces, forming the foundation for linking individual units and constructing an integrated structural network model. This framework offers a basis for a deeper understanding of the interrelationships between different park scenes and supports the design of cohesive, user-centered green spaces.
2.3. Key Indicators and Calculation of Park Scene Space
2.3.1. Spatial Density and Scale Indicators
- Single-class spatial density (ind./ha).
Single-class spatial density (Di) refers to the number of spatial units associated with a specific class of scene within a unit area of an urban park [43]. To evaluate this, the ratio between the number of scenes in urban parks and the total area of the parks is calculated and analyzed. The formula is as follows:
In Formula (1), Di represents the single-class spatial density for scene class i and Ni is the total number of spatial units corresponding to scene class i. (Given the presence of multiple distinct scenes within each park, this research aims to calculate the structural extension of each scene. The symbol “i” is employed to designate the identifier of a specific scene within a given park sample, where “i” can take on values such as 1, 2, 3… The same comments apply to Formulas (2) and (4).) Sp denotes the total area of the park (the subscript “p” is an abbreviation for “park”, highlighting that this notation is also applied in the following text; the same comments apply to Formula (2)). It is important to note that this metric does not refer to generalized spatial density but rather the number of scene-specific spatial units per unit area. The significance of studying single-class spatial density lies in optimizing the allocation of specific space, ensuring an appropriate number without leading to the inefficient use of spatial resources.
- Space scale of single class.
The single-class space scale (AIi) refers to the spatial extent occupied by a specific class of scene within an urban park [44]. In this research, the area indicator was employed to represent the scale of a single-type space [45], defined as the ratio of the total area of specific scene space to the total area of the urban park. The formula is as follows:
In Formula (2), AIi represents the spatial area indicator for scene type i, Si is the total area of the space corresponding to scene type i, and Sp is the total area of the park. The significance of calculating the scale of a single type of space lies in the rational allocation of spatial resources and the emphasis on spatial themes.
2.3.2. Spatial Connection Relationship Indicators
Different spatial scenes in urban parks form an organic and unified whole through diverse connections and associations. Analyzing the topological or structural relationships between these spaces clarifies the patterns of their interconnections. If two scenes are adjacent in physical space or if their boundaries visually overlap, they can be considered connected. For instance, in the park of Sample A (Figure 4), the circulation scene space C1 and the social interaction and performance scene space SP1 are delineated into separate systems through variations in ground materials and elevation differences. However, they are closely integrated, with overlapping interfaces and shared spatial functions, indicating a connection in terms of user activity. Similarly, in Sample L, parent–child play scene spaces QZ1 and QZ2, though separated by buffer zones and vegetation, are nearby and functionally complementary, thereby also maintaining a connectivity relationship.
Figure 4.
Example spatial connection relationships. (a) Example of spatial the connection relationship for Sample A. (b) Example of the spatial connection relationship for Sample L.
This research utilized the network analysis tools of Cytoscape 3.9 [46], an open-source software primarily employed for network data visualization and analysis in bioinformatics, which is also applicable to other fields such as analyzing the relationships between landscape scene spaces. This research calculated the degree and betweenness centrality of each node to reflect the spatial configuration. Ultimately, based on the varying strengths of attraction between scenes (with spaces having stronger connectivity deemed to have a stronger attraction, and vice versa), this research laid the groundwork for developing a parametric generative design program based on the Grasshopper platform.
- Degree.
According to complex network theory [47], the degree of a node refers to the total number of connections it has with other nodes in the network [48]. A higher degree indicates greater degree centrality, signifying the node’s increased importance within the network. In this research, the degree served as an intuitive measure of the connectivity between a given scene space and the surrounding scene spaces.
- Betweenness centrality.
Betweenness centrality, also referred to as correlation degree, is calculated as the ratio of the number of shortest paths passing through a given node to the total number of shortest paths between all other nodes (excluding the node itself). This metric indicates the node’s level as a “mediator” or “middleman”, reflecting its significance in facilitating the flow of services and activities within the network [49,50]. The formula for betweenness centrality is as follows:
In Formula (3), B(u) represents the betweenness centrality of network node u, which is the node being evaluated. p denotes the total number of shortest paths between nodes s and t, while p(u) refers to the number of those shortest paths that pass through node u. A high betweenness centrality indicates that the scene space plays a critical role in connecting other scene spaces within the network, serving as a key facilitator of overall connectivity.
2.3.3. Spatial Unit Morphology Indicators
- Extension.
Extension refers to the degree of spatial form expansion for a given scene, which describes the spread of a spatial unit. A higher extension degree indicates greater spatial elongation and spread [51]. This is typically quantified by the ratio of the long axis to the short axis of the space.
Extension is an indicator that describes the extent to which a spatial unit extends, serving as one of the measures of spatial shape. This research defined the degree of extension as the extent to which the spatial form of a scene spreads. A greater degree of extension indicates a higher level of spatial expansion, typically quantified by the ratio of the long axis to the short axis of the space.
The formula is as follows:
In Formula (4), Ei represents the structural extension degree of space i, D(i)max is the length of the long axis of space i, and D(i)min is the short axis of space i.
- Coefficient of Variation (CV).
In the field of statistics and probability theory [52], the coefficient of variation (CV), also referred to as the relative standard deviation or unit risk, is denoted by Vσ. Generally, a smaller coefficient of variation indicates lower data volatility, while a larger CV suggests higher volatility. In the context of a park, spaces corresponding to similar scenes may be evenly distributed, similar in size, serve identical or comparable functions, and exhibit lower variability [53]. In this research, the coefficient of variation of scene area was employed to quantify spatial heterogeneity, which serves as an important indicator of spatial morphological differences across scenes. The formula is as follows:
In Formula (5), Vσ represents the CV, σ is the standard deviation of the areas of the same scene spaces within the park, and μ is the mathematical expectation or mean of the areas of those scene spaces.
2.4. Construction of Grasshopper Parametric Design Framework
This research employed Rhino as the primary digital design platform, completing spatial modeling of the site base before constructing the digital scene space generation procedure using Rhino’s Grasshopper parametric platform. The parametric design framework developed includes the following steps:
- Model conversion. The park intended for design is converted into a mesh model for recognition by Grasshopper.
- Initial condition input. Basic data such as the total number of scene spaces and the cumulative area of these spaces are entered, based on the calculation results from spatial density and scale indicators.
- Data processing. The populate geometry tool is utilized to generate some random points on the park site model plane. These points, intended as potential centers for scene spaces, are refined through a cyclic iterative process to identify suitable center points. Input parameters are flattened, grouped, and processed to align with the required data structure for subsequent calculations.
- Input gravitational and repulsive relationships between scenes. This research modeled interactions between scene spaces using gravitational and repulsive forces. The “gravitational force” symbolizes the attraction between spaces, while the “repulsive force” represents the opposite. The gravitational and repulsive forces between scenarios are quantified to the interval [−1, 1], with reference to the calculations results of the spatial connection relationship indicators, where values from [−1, 0] signify gravitational forces and [0, 1] indicate repulsive forces. A preliminary spatial layout is derived through mechanical simulation and computation.
- Iterative loop. Leveraging the simulation results from step (4), an iterative loop algorithm from the Anemone tool performs calculations to refine the center point positions suitable for the scene’s spatial layout. The number of iterations is adjustable to ensure stable outcomes.
- Finalization and output. Upon achieving the desired results as per step (5), a rectangle with a fixed aspect ratio and actual area is drawn at each scene’s center. The rectangle’s aspect ratio and orientation are determined with reference to the extension from the spatial unit morphology indicators and adjusted according to the park’s boundaries and those of adjacent scene spaces. This process helps finalize the area and boundaries of each scene. The reasonableness of the output results is validated against the calculation results of the indicator CV, with the final model outputted into Rhino.
3. Results
3.1. Quantitative Results of the Overall Scale Indicator
Through fitting the total area of scene space for 18 park samples with the corresponding number of scenes (Figure 5), a significant positive correlation between the number of scenes and the total park area is observed, following the linear equation y = 2891x − 15,305. This finding suggests that in the layout of urban park scenes, priority is often given to functional comprehensiveness. For parks with larger areas, the number of scenes tends to increase, allowing for a more flexible spatial configuration within each scene.
Figure 5.
The fitted plot of the total scene space area and the number of scenes for 18 park samples.
3.2. Quantitative Results of Scene Space Indicators
3.2.1. Value Range and Analysis of Spatial Density and Scale Indicators
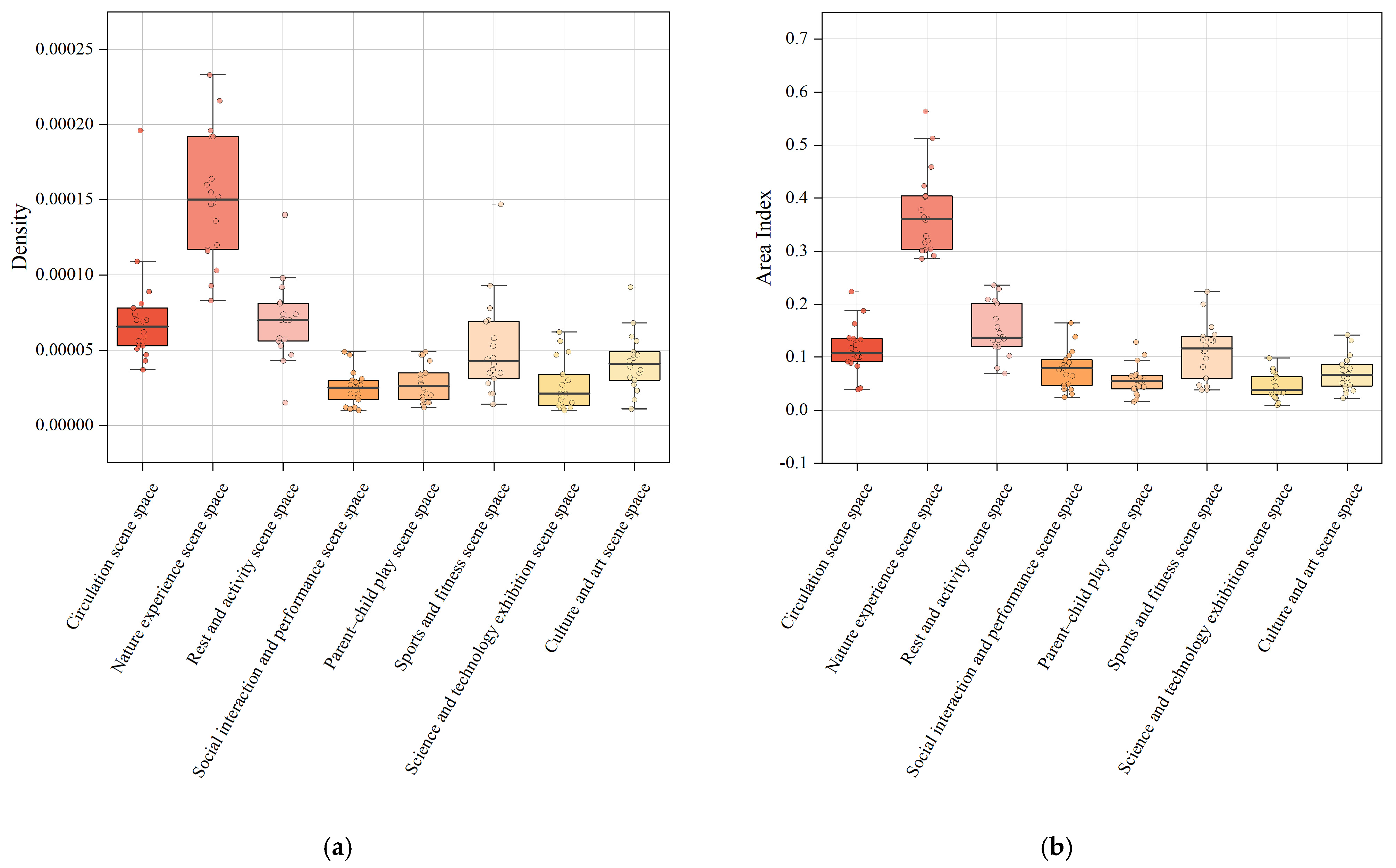
An analysis of the average number of scenes per hectare across 18 park samples reveals that nature experience scenes represent the largest proportion in each park, followed by scenes for circulation and rest and activity (Figure 6). Together, these three types form the foundational components of urban parks; social interaction and performance and parent–child play scenes occupy similar and stable proportions across all parks, indicating they are relatively fixed scene types (Figure 7, Table 2).
Figure 6.
Average scale of each scene space.
Figure 7.
Box plot of spatial density and scale indicators for each scene space in park samples. (a) Box plot of single-class spatial density. (b) Space scale of a single class.
Table 2.
Indicator value ranges of spatial density and scale indicators.
3.2.2. Value Range and Analysis of Spatial Connection Relationship Indicators
The quantified values of degree and betweenness centrality for different scene spaces highlight distinct functional and spatial layout differences (Figure 8 and Figure 9; Table 3). The analysis shows that circulation scene space, primarily functioning to connect the flow of people within and outside the park, demonstrates high connectivity due to its strong directional and dynamic characteristics. However, because it is typically situated near the park’s edge, its degree and centrality values are moderate. Nature experience scene space exhibits both low degree and betweenness centrality, generally located at the site’s periphery, where it maintains strong ecological associations and high flexibility, supporting a diverse range of activities. Rest and activity scene space often serves as a supportive or transitional space, with flexible positioning that facilitates close linkage with adjacent scenes, resulting in moderate degree and centrality values. Social interaction and performance scene space, with high degree and betweenness centrality, supports essential social and entertainment functions, centrally located within the park to ensure accessibility and strong connectivity, thus meeting various social interaction needs. Parent–child play scene space, ranking high in both degree and centrality, functions as an active spatial node in the central area, prioritizing visibility, accessibility, and activity. Sports and fitness scene space data display higher variance, reflecting the functional requirements’ close dependence on site conditions, with typically lower connectivity to surrounding spaces. Science and technology exhibition scene space ranks lower in connectivity indicators, attributable to its relative independence, making it suitable for spaces dedicated to centralized displays or independent functions. Culture and art scene space exhibits mid-to-high levels of degree and centrality, and in some parks, it may be centrally located, where its spatial layout emphasizes the integration of artistic displays with core functions.
Figure 8.
Box plot of degree quantification for each scene space in the park samples. (a) Degree of circulation scene space. (b) Degree of nature experience scene space. (c) Degree of rest and activity scene space. (d) Degree of social interaction and performance scene space. (e) Degree of parent–child play scene space. (f) Degree of sports and fitness scene space. (g) Degree of science and technology scene space. (h) Degree of culture and art scene space.
Figure 9.
Box plot of betweenness centrality quantification for each scene space in park samples. (a) Betweenness centrality of circulation scene space. (b) Betweenness centrality of nature experience scene space. (c) Betweenness centrality of rest and activity scene space. (d) Betweenness centrality of social interaction and performance scene space. (e) Betweenness centrality of parent–child play scene space. (f) Betweenness centrality of sports and fitness scene space. (g) Betweenness centrality of science and technology scene space. (h) Betweenness centrality of culture and art scene space.
Table 3.
Indicator value range of spatial connection relationship indicators.
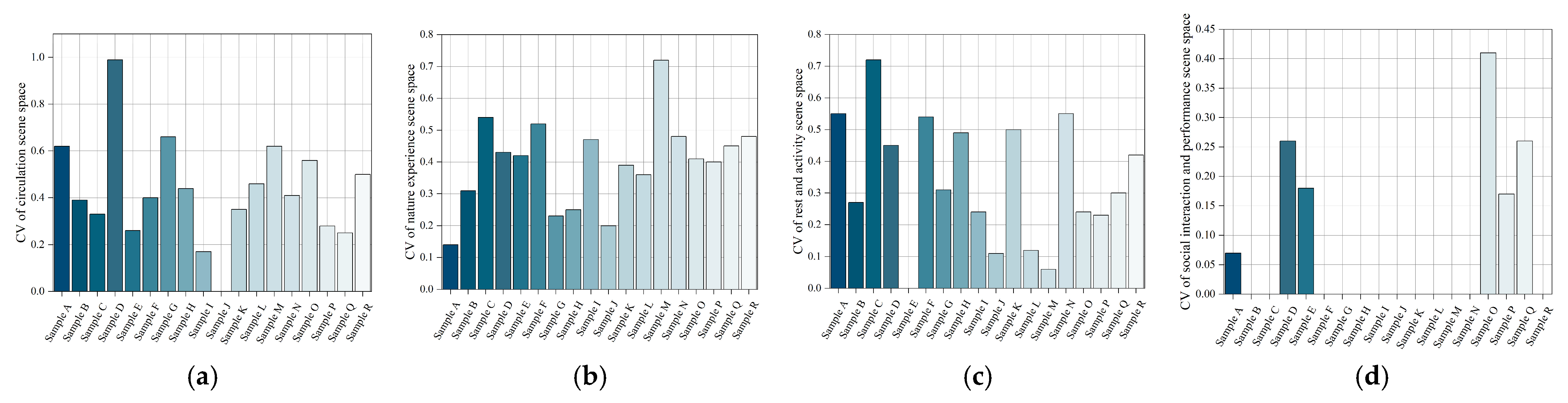
3.2.3. Value Range and Analysis of Spatial Unit Morphology Indicators
Based on statistical and visual analyses of the extension degree and CV data (Figure 10 and Figure 11; Table 4), circulation scene space exhibits a relatively high extension degree with diverse shapes, indicating flexible and predominantly elongated entrance and exit spaces within the park. Nature experience scene space demonstrates a high degree of dispersion in extension data, with shapes that vary widely and adapt flexibly to terrain and function, resulting in free-form and elongated spaces. Rest and activity scene space also displays varied scales and sizes, adopting a flexible spatial form. In contrast, social interaction and performance scene space and parent–child play scene space show extension data characterized by more symmetrical morphologies and relatively stable scales. For sports and fitness scene space, a portion of the data reflects symmetrical plane shapes, primarily due to specific sports site requirements; however, the diversity of activities contributes to significant fluctuations in other areas. Science and technology exhibition scene space has strong stability, with an overall regular, approximately square form. Lastly, the culture and art scene space data indicate a high degree of dispersion, integrating both square, aggregative, and centripetal spaces with elongated forms, showcasing considerable morphological diversity.
Figure 10.
Box plot of extension quantification for each scene space in park samples. (a) Extension of circulation scene space. (b) Extension of nature experience scene space. (c) Extension of rest and activity scene space. (d) Extension of social interaction and performance scene space. (e) Extension of parent–child play scene space. (f) Extension of sports and fitness scene space. (g) Extension Degree of science and technology exhibition scene space. (h) Extension of culture and art scene space.

Figure 11.
Bar chart of CV quantification for each scene space in park samples. (a) CV of circulation scene space. (b) CV of nature experience scene space. (c) CV of rest and activity scene space. (d) CV of social interaction and performance scene space. (e) CV of parent–child play scene space. (f) CV of sports and fitness scene space. (g) CV of science and technology exhibition scene space. (h) CV of culture and art scene space.
Table 4.
Indicator value range of spatial unit morphology.
3.3. Analysis of the Topological Relationships Between Scene Spaces
A network connectivity analysis was conducted across 484 individual nodes using Cytoscape 3.9 software within eight types of scene spaces across the 18 selected parks. The analysis covered the distribution of connections across various scene spaces, with 244, 448, 264, 114, 107, 117, 85, and 165 connections recorded for spaces related to circulation, natural experience, rest and activity, social interaction and performance, parent–child play, sports and fitness, science and technology exhibition, and culture and art, respectively (Figure 12). The results reveal a significant connection preference for circulation and science and technology exhibition spaces, which often form a sequentially integrated entryway, merging landscape and technological exhibition. Spaces with similar functional orientations exhibited fewer internal connections within the same distribution scene category.
Figure 12.
Urban park spatial structure model using Cytoscape 3.9 software.
Notably, the natural experience scene space demonstrated extensive connectivity across all other spaces, with particularly high interactivity with social interaction and performance scene spaces. Additionally, social interaction and performance spaces, together with adjacent nature experience spaces, often form a centripetally oriented display area. Rest and activity spaces also showed notable connectivity with social interaction and performance spaces, suggesting a complementary matching relationship. Meanwhile, other scene spaces demonstrated a degree of exclusivity when interacting with their own type, but they exhibited relatively higher connectivity with culture and art spaces.
These results reinforces the finding that social performance spaces and cultural/artistic spaces form the core of the topological structure. It also delves into the connectivity between various spatial scenes, examining common connections, co-location patterns, and exclusion relationships. These insights are of significant importance for the construction of generative dynamic models of spatial scenes.
3.4. Design Applications
3.4.1. Parameter Settings for Scene Spaces
In this research, three types of indicator systems were used to quantitatively describe different types of scene spaces, and it was ultimately found that indicators within the same type of scene tend to reach a balanced state. This suggests that the spatial indicators obtained from this research can serve as reference values to guide a more scientifically informed layout for urban park scenes. Based on the Grasshopper parametric generative design program built in Section 2.4, the key parameters, including the quantity and area of each scene space, were initially established based on the reference value range (Table 5).
Table 5.
Reference parameters for an undeveloped park case as the object of scene space generation.
Based on the spatial correlation analysis between different scenes, this research used Grasshopper modeling to characterize the gravitational and repulsive interactions between scene spaces (Table 6). Gravitational forces represent attraction between scenes, as in the adjacency relationship formed between circulation spaces and science and technology exhibition areas. In contrast, repulsive forces denote the need to maintain an appropriate distance to prevent functional conflicts, such as the buffering required between sports fitness areas and static cultural and art spaces, as well as a degree of separation between spaces of similar scene types.
Table 6.
The gravitational and repulsive interactions between scene spaces.
3.4.2. Results of Spatial Scene Layout Generation
First, by inputting fundamental spatial parameters such as the number and area of each type of scene, a range of initial layout configurations can be generated by adjusting the Seed value, producing various randomized initial positions. Next, these initial configurations are calculated using a spatial generation dynamic model, where the number of iterations is adjusted to yield diverse results. As the iteration count increases, the effects of gravitational and repulsive forces become more pronounced, resulting in layouts that more closely resemble the intended composite spatial effect. Our study presents the results of nine randomized initial configurations after 6000 iterations (Figure 13). At this stage, the layout outcomes demonstrate both reference value and rationality. These configurations are overlaid to create the composite diagram shown in Figure 14, illustrating possible connections of spatial functions.
Figure 13.
The results of 9 randomized initial configurations after 6000 iterations based on the Grasshopper program.
Figure 14.
A stack of iterative results.
We selected the layout scheme shown in the right panel of Figure 13 for further in-depth analysis. We first validated the connectivity degrees of various scene spaces: the average degrees for circulation, natural experience, rest and activity, social interaction and performance, parent–child play, sports and fitness, science and technology exhibition, and culture and art spaces are 3.6, 2.86, 3.67, 5, 5, 4, 3.3, and 4.3, respectively. The CV for the above scenarios is 0.45, 0.4, 0.36, 0.23, 0.27, 0.32, 0.29, and 0.38, respectively, consistent with previously obtained conclusions. This confirms the feasibility of this generative approach. Then, specific area and aspect ratio parameters were input to define spatial forms with fixed sizes and boundaries. By adjusting boundary relationships, we derived the final layout scheme for the scene spaces, as shown in Figure 15.
Figure 15.
Final layout scheme for the scene spaces.
4. Discussion
4.1. Digital and Parametric Methods Enhance the Interpretability of Park Layout Studies
Based on completed and relatively excellent urban park design cases, this research explores the spatial composition laws of internal scene plane layouts, obtains the value ranges of the corresponding digital features, and constructs a parametric design process using these results as a reference, thereby filling the research gap in the overall spatial layout of urban parks.
When landscape designers create urban parks, using qualitative design methods to develop the overall layout plan is still the mainstream approach. With the continuous development of the industry, some scholars are also trying to explore quantifiable design bases. Some studies have made feasible suggestions for park design by investigating user preferences [54], involving different user groups such as the elderly [55], children [56], and teenagers [57]. There are also studies on the planning, design, and layout of different types of parks, such as off-road vehicle parks [58]. These studies may be based on different design populations or specific design objectives and can provide some references for park design. This paper aims to explore how to derive universal laws that can be used in the design of most urban parks and serve multiple populations. In research about spatial layout schemes, more work is carried out on the planning and location of parks in a city [59,60]; however, from a more microscopic perspective, how to scientifically and rationally carry out the internal layout is unknown. Currently, most current designs for green space zoning focus on national parks [61,62]. Some scholars have also studied the layout of park green space elements, such as public car parks [63]. However, the current research has not been able to reveal how all types of use scenario spaces are laid out and the spatial location relationships between them. In contrast, this research explores the digital characteristics of the layout of these scene spaces and their relationships with each other as a whole in urban parks by vectorizing different types of scene spaces, on the basis of which quantitative analysis metrics were established.
Digital design is currently a popular area of exploration for planning, architectural, and landscape designers, and it is important for improving design efficiency as well as for more informed design. Some scholars have used GANs to generate graphic design solutions for parks [64], which are based on learning from a large number of floor plans and ultimately result in spaces that still need to be redefined in terms of functional zoning. For example, Zhou et al. discussed the rationality and limitations of GANs, addressing the gap between current AI-assisted design methods and evidence-based approaches [65], thus extending new applications of GANs in landscape design analysis and mapping [39]. In contrast, the originality of the methodology proposed in this paper is based on searching for laws in parametric design, characterized by explaining the laws that govern the spatial layout of scenes and then guiding the design by these essential laws rather than simply conducting a figure-to-figure study.
4.2. Layout Characteristics of Park Spaces and Comparison with Previous Studies
Based on the comprehensive quantitative analysis of scene space indicators across 18 urban parks, several key insights emerge that inform urban park design and planning.
Nature experience scenes consistently constitute the largest proportion of scenes per hectare, emphasizing their foundational role in providing ecological value and diverse recreational opportunities. This is consistent with the importance of natural open green spaces in parks summarized by previous scholars [66]. Circulation spaces, along with rest and activity areas, also significantly contribute to the core structural framework of parks by facilitating movement and offering flexible spaces for various activities. In contrast, scenes dedicated to science and technology exhibitions, sports and fitness, and culture and art exhibit significant variability, reflecting their alignment with the unique thematic focuses of individual parks. Relevant studies also indicate that the spatial layout of theme parks is closely related to their themes [67]. The findings of this study demonstrate that flexible scene space arrangements can be made during the design phase based on the themes of different parks.
The analysis of spatial connection relationship indicators reveals distinct functional and spatial layout differences among the scene types. Circulation spaces demonstrate high connectivity due to their role in directing visitor flow, yet their peripheral location results in moderate degree and centrality values. Nature experience spaces, typically situated at the periphery, have low connectivity but offer high flexibility and support a wide range of activities. Social interaction and performance spaces, centrally located, exhibit a high degree and betweenness centrality, enhancing accessibility and fulfilling essential social and entertainment functions. Parent–child play areas also rank high in connectivity indicators, underscoring the importance of visibility and accessibility for active engagement. Relevant studies have shown that a pleasant green environment positively impacts the time spent in recreational spaces [68]. Connecting parent–child play areas with other spaces featuring higher greenery coverage tends to attract higher visitation rates.
Morphological analysis indicates that circulation and nature experience spaces have high extension degrees with diverse shapes, adapting flexibly to terrain and functional requirements. Social interaction and performance spaces, along with parent–child play areas, tend to have more symmetrical morphologies and stable scales, facilitating their central roles within the parks. Sports and fitness scene spaces show variability due to specific site requirements and the diversity of activities they support. Some sports and fitness scene spaces may also serve social and relaxation purposes. As a result, their design often allows for diverse spatial forms [69] and incorporates specific facilities tailored to various needs [70]. Science and technology exhibition spaces maintain a regular, approximately square form, indicating strong stability and suitability for dedicated functions. Culture and art spaces display considerable morphological diversity, integrating both aggregative and elongated forms to enhance artistic expression within the park context.
The network connectivity analysis underscores the integral role of natural experience scenes, which exhibit extensive connectivity with other spaces, particularly social interaction and performance areas. This connectivity fosters the formation of centripetal display zones that enhance visitor engagement. Compared to other related studies, social interaction and performance scene spaces, such as amphitheaters, hold strong appeal for users. One reason for their preference is the connection to nature [71], highlighting the rationale behind the significant integration of social and natural spaces. Circulation spaces and science and technology exhibition areas show a significant connection preference, often merging to create sequentially integrated entryways that blend landscape and technological features. Rest and activity spaces complement social interaction zones, suggesting a synergistic relationship that enhances user experience. Other scene types demonstrate higher connectivity with culture and art spaces, indicating a tendency toward integration with creative and expressive functions.
4.3. Limitations
This research has filled the gap in previous research regarding the planar layout of park scene spaces, but it still has the following limitations:
- Limitations on the number of research samples. The cases selected in this paper try to cover countries and regions with different backgrounds and per capita incomes as much as possible, thus constructing a case dataset. However, the generalization of indicators depends on a sufficient number of sample studies, and there are still limitations in the choice of sample number.
- Limitations of scene space recognition. In this paper, 18 park samples from all over the world are selected for the calculation of quantitative indexes, and the manual method is used to determine the type of scene space through the design plan and actual photographs of the scenes. However, for multi-sample studies, this method still has some limitations because manual identification is time-consuming.
- Limitations of considerations for qualitative research. While our primary focus is on the quantitative aspects of urban park scene spaces, it is important to integrate a holistic framework that considers qualitative, perceptual, and relational elements.
5. Conclusions
5.1. Contribution to Existing Knowledge in the Landscape Design Field
In the field of urban public green space planning and design, previous studies have largely focused on the macro-scale layout of urban parks, with limited research addressing the specific usage scenarios within park spaces. This research explores the use of scene space and its layout in urban parks, drawing from a sample of excellently designed park cases. The main contributions of the findings to the field of landscape garden design are summarized as follows:
- The concept of “scene space”, derived from architecture and urban design, has been introduced to the study of landscape architecture and urban parks, thereby broadening the research context.
- A quantitative index system has been developed to effectively characterize the digital representation of spatial scenes and establish standards for scene space identification. This system allows for the precise determination of the number and area of scene spaces in parks of various scales through the calculation of spatial density and scale indicators. Spatial connection relationship indicators facilitate the understanding of the connections and combinations between different scene spaces. Spatial unit morphology indicators yield insights into the shape characteristics of each type of scene space.
- Calculations have yielded digital features that inform parametric design, exploring the layout rules of different scene spaces on a plane. Based on this, a set of parametric design processes has been formed. A significant positive correlation was observed between the number of scene spaces and the total area of the park, with natural experience spaces accounting for the largest proportion in each park. Due to their distinct functions, the spatial layouts of different scene spaces vary accordingly. The morphological characteristics of each scene space exhibit certain patterns. For instance, the shape of natural experience spaces varies considerably, demonstrating flexible adaptability to terrain and functional requirements. Certain scene spaces display clear connectivity patterns in spatial distribution. For example, there is a strong connectivity preference between circulation spaces and science and technology exhibition spaces.
5.2. Practical Implications for Landscape Architects and Urban Planners
This research has significant practical implications for planning because it derives a set of parametric programs that can be applied to the design of parks yet to be constructed through the digital characteristics of scene space layout. The main practical implications for landscape architects and urban planners include the following points:
- The discovery of digitized laws governing planar scene space, derived from excellent cases, has provided a quantitative and effective foundation for landscape architecture designers. It addresses the arrangement of exemplary use cases within planar spaces. Designers can deduce the laws of functional zoning for urban park design from this research’s findings and incorporate them into their designs, thereby laying a foundation for further detailed design work.
- A quantitative index system that effectively characterizes the digital representation of spatial scenes has been constructed. Through calculations, digital features that can guide parametric design have been obtained, and the layout laws of different scene spaces on the plane have been explored. This provides an effective design basis for landscape architecture designers and urban planners.
- The parametric design framework is versatile, allowing for the modification of parameters and the addition of constraints as needed. The program proposed in this study offers a fundamental framework for designing parks with varying functional attributes within the city. If landscape architecture designers need to consider factors, such as the distribution of blue and green spaces in the spatial layout of park scenes, they can introduce specific constraints to achieve uniquely tailored designs.
5.3. Considerations About Future Research
This study explores the digital layout characteristics of park scene spaces and applies them to the design of parks. Future research can be enhanced in the following directions:
- Increasing the number of samples and specializing studies for different types of urban parks. In the future, the number and types of urban park cases can be further increased while broadening the data sources, which can improve the reliability of the conclusions regarding the range of indicator values. Different categories of parks may also have a certain gap in the layout of their internal scene spaces. Future research could build on the research in this paper to further investigate more types of parks, such as theme parks.
- Machine learning and other technologies can be applied to the recognition of scenes. In the future, it is expected that more accurate and automated algorithms will be developed to recognize scene spaces in floor plans and provide technical support for automated recognition after increasing the number of samples.
- Integrating user perceptions into park scene space analysis. Future research will aim to incorporate a mixed-methods approach, combining physical measurements with user perceptions and interactions. By adopting this multi-dimensional perspective, more information derived from user perceptions will be captured to identify the different use scenarios in the park.
Author Contributions
Conceptualization, B.F. and J.G.; methodology, B.F.; software, J.G.; validation, B.F. and J.G.; formal analysis, B.F. and J.G.; investigation, B.F.; resources, S.A. and S.D.; data curation, X.C.; writing—original draft preparation, B.F. and J.G.; writing—review and editing, B.F.; visualization, B.F., S.A. and X.C.; supervision, Y.C.; project administration, Y.C. All authors have read and agreed to the published version of the manuscript.
Funding
This research received no external funding.
Data Availability Statement
The datasets included in this article are not immediately available as they are part of an ongoing study. Requests for access to the datasets should be directed to the corresponding author.
Conflicts of Interest
The authors declare no conflicts of interest.
References
- Meyrowitz, J. No Sense of Place: The Impact of Electronic Media on Social Behavior; Oxford University Press: Oxford, UK, 1986; ISBN 978-0-19-802057-8. [Google Scholar]
- Silver, D.A.; Clark, T.N. Scenescapes: How Qualities of Place Shape Social Life; University of Chicago Press: Chicago, IL, USA, 2016; ISBN 978-0-226-35699-0. [Google Scholar]
- Wang, W.; Watanabe, M.; Ono, K.; Zhou, D. Exploring Visualisation Methodology of Landscape Design on Rural Tourism in China. Buildings 2022, 12, 64. [Google Scholar] [CrossRef]
- Li, Q.; Lv, S.; Chen, Z.; Cui, J.; Li, W.; Liu, Y. Traditional Villages’ Cultural Tourism Spatial Quality Evaluation. Sustainability 2024, 16, 7752. [Google Scholar] [CrossRef]
- Xu, Y.; Wang, T.; Liu, W.; Zhang, R.; Hu, Y.; Gao, W.; Chen, Y. Rural System Sustainability Evaluation Based on Emergy Analysis: An Empirical Study of 321 Villages in China. J. Clean. Prod. 2023, 389, 136088. [Google Scholar] [CrossRef]
- Dong, Y. Preservation and Utilization of Industrial Heritage from the Perspective of Scene Theory: A Case Study of the North Area of Shougang High-End Industry Comprehensive Service Zone; Atlantis Press: Dordrecht, The Netherlands, 2023; pp. 347–361. [Google Scholar]
- Silver, D.; Nichols Clark, T. The Power of Scenes. Cult. Stud. 2015, 29, 425–449. [Google Scholar] [CrossRef]
- Ren, X.; Ren, H.; Hao, W.; Zhao, Y. Comparative Study on the Vitality of Typical Historical Districts in Beijing from the Perspective of Scene Theory. Acad. J. Archit. Geotech. Eng. 2024, 6, 1–7. [Google Scholar] [CrossRef]
- Mao, W.; Hong, S.; Chai, T.; Shen, J.; Shen, J. Cultural Landscape Reproduction of Typical Religious Architecture in Qingjiangpu Based on Scene Theory. Appl. Sci. 2023, 13, 82. [Google Scholar] [CrossRef]
- Silver, D. The American Scenescape: Amenities, Scenes and the Qualities of Local Life. Camb. J. Reg. Econ. Soc. 2012, 5, 97–114. [Google Scholar] [CrossRef]
- Wang, Y.; Cheng, Y.; Zlatanova, S.; Cheng, S. Quantitative Analysis Method of the Organizational Characteristics and Typical Types of Landscape Spatial Sequences Applied with a 3D Point Cloud Model. Land 2024, 13, 770. [Google Scholar] [CrossRef]
- Luo, S.; Shi, J.; Lu, T.; Furuya, K. Sit down and Rest: Use of Virtual Reality to Evaluate Preferences and Mental Restoration in Urban Park Pavilions. Landsc. Urban Plan. 2022, 220, 104336. [Google Scholar] [CrossRef]
- Gholami, M.; Torreggiani, D.; Tassinari, P.; Barbaresi, A. Developing a 3D City Digital Twin: Enhancing Walkability through a Green Pedestrian Network (GPN) in the City of Imola, Italy. Land 2022, 11, 1917. [Google Scholar] [CrossRef]
- Qi, J.; Lin, E.S.; Yok Tan, P.; Chun Man Ho, R.; Sia, A.; Olszewska-Guizzo, A.; Zhang, X.; Waykool, R. Development and Application of 3D Spatial Metrics Using Point Clouds for Landscape Visual Quality Assessment. Landsc. Urban Plan. 2022, 228, 104585. [Google Scholar] [CrossRef]
- Shirowzhan, S.; Sepasgozar, S.M.E.; Li, H.; Trinder, J. Spatial Compactness Metrics and Constrained Voxel Automata Development for Analyzing 3D Densification and Applying to Point Clouds: A Synthetic Review. Autom. Constr. 2018, 96, 236–249. [Google Scholar] [CrossRef]
- Jang, G.; Kim, S.; Lee, J.S. Planning Scenarios and Microclimatic Effects: The Case of High-Density Riverside Residential Districts in Seoul, South Korea. Build. Environ. 2022, 223, 109517. [Google Scholar] [CrossRef]
- Li, Z.; Lu, X.; Han, X.; Wang, L.; Tang, X.; Lin, X. Quantitative Morphology of Polder Landscape Based on SOM Identification Model: Case Study of Typical Polders in the South of Yangtze River. Comput. Intell. Neurosci. 2022, 2022, 1362272. [Google Scholar] [CrossRef] [PubMed]
- Chen, J.; Zhou, C.; Li, F. Quantifying the Green View Indicator for Assessing Urban Greening Quality: An Analysis Based on Internet-Crawling Street View Data. Ecol. Indic. 2020, 113, 106192. [Google Scholar] [CrossRef]
- Tveit, M.; Ode, Å.; Fry, G. Key Concepts in a Framework for Analysing Visual Landscape Character. Landsc. Res. 2006, 31, 229–255. [Google Scholar] [CrossRef]
- Cheng, S.; Zhang, G.; Zhang, X.; Liu, Y. Research on the Quantitative Analysis Method of “Green Viewing Ratio” of Landscape Spatial Form Based on Three-Dimensional LiDAR Point Cloud Data. Landsc. Arch 2022, 38, 12–19. [Google Scholar]
- Luo, J.; Zhao, T.; Cao, L.; Biljecki, F. Water View Imagery: Perception and Evaluation of Urban Waterscapes Worldwide. Ecol. Indic. 2022, 145, 109615. [Google Scholar] [CrossRef]
- Luo, J.; Liu, P.; Xu, W.; Zhao, T.; Biljecki, F. A Perception-Powered Urban Digital Twin to Support Human-Centered Urban Planning and Sustainable City Development. Cities 2025, 156, 105473. [Google Scholar] [CrossRef]
- Luo, J.; Zhao, T.; Cao, L.; Biljecki, F. Semantic Riverscapes: Perception and Evaluation of Linear Landscapes from Oblique Imagery Using Computer Vision. Landsc. Urban Plan. 2022, 228, 104569. [Google Scholar] [CrossRef]
- Cheng, S.; Wang, J. Visual Landscape Research on Dynamic Viewing Evaluation: A Case Study of Nanjing Riverside Public Viewing Space. Chin. Landsc. Archit. 2021, 37, 57–62. [Google Scholar]
- Zhang, G.; Yang, J.; Wu, G.; Hu, X. Exploring the Interactive Influence on Landscape Preference from Multiple Visual Attributes: Openness, Richness, Order, and Depth. Urban For. Urban Green. 2021, 65, 127363. [Google Scholar] [CrossRef]
- Hazbei, M.; Cucuzzella, C. Revealing a Gap in Parametric Architecture’s Address of “Context. ” Buildings 2023, 13, 3136. [Google Scholar] [CrossRef]
- Guo, S.; Tang, J.; Liu, H.; Gu, X. Study on Landscape Architecture Model Design Based on Big Data Intelligence. Big Data Res. 2021, 25, 100219. [Google Scholar] [CrossRef]
- Pepe, M.; Garofalo, A.R.; Costantino, D.; Tana, F.F.; Palumbo, D.; Alfio, V.S.; Spacone, E. From Point Cloud to BIM: A New Method Based on Efficient Point Cloud Simplification by Geometric Feature Analysis and Building Parametric Objects in Rhinoceros/Grasshopper Software. Remote Sens. 2024, 16, 1630. [Google Scholar] [CrossRef]
- Jiang, F.; Ma, J.; Webster, C.J.; Chiaradia, A.J.F.; Zhou, Y.; Zhao, Z.; Zhang, X. Generative Urban Design: A Systematic Review on Problem Formulation, Design Generation, and Decision-Making. Prog. Plan. 2024, 180, 100795. [Google Scholar] [CrossRef]
- Pereira, G.G.; Howard, D.; Lahur, P.; Breedon, M.; Kilby, P.; Hornung, C.H. Freeform Generative Design of Complex Functional Structures. Sci. Rep. 2024, 14, 11918. [Google Scholar] [CrossRef]
- Zou, Y.; Sun, Z.; Pan, H.; Tu, W.; Dong, D. Parametric Automated Design and Virtual Simulation of Building Machine Using BIM. Buildings 2023, 13, 3011. [Google Scholar] [CrossRef]
- Pan, Y.; Zhang, L. Integrating BIM and AI for Smart Construction Management: Current Status and Future Directions. Arch. Comput. Methods Eng. 2023, 30, 1081–1110. [Google Scholar] [CrossRef]
- Cai, K.; Huang, W.; Lin, G. Bridging Landscape Preference and Landscape Design: A Study on the Preference and Optimal Combination of Landscape Elements Based on Conjoint Analysis. Urban For. Urban Green. 2022, 73, 127615. [Google Scholar] [CrossRef]
- Zhang, Y.; Yang, G. Optimization of the Virtual Scene Layout Based on the Optimal 3D Viewpoint. IEEE Access 2022, 10, 110426–110443. [Google Scholar] [CrossRef]
- Yang, X.; Sitharan, R.; Sharji, E.A.; Feng, H. Exploring the Integration of Big Data Analytics in Landscape Visualization and Interaction Design. Soft Comput 2024, 28, 1971–1988. [Google Scholar] [CrossRef]
- Huang, S.-Y.; Wang, Y.; Llabres-Valls, E.; Jiang, M.; Chen, F. Meta-Connectivity in Urban Morphology: A Deep Generative Approach for Integrating Human–Wildlife Landscape Connectivity in Urban Design. Land 2024, 13, 1397. [Google Scholar] [CrossRef]
- Zhao, J.; Cao, Y. Review of Artificial Intelligence Methods in Landscape Architecture. Chin. Landsc. Arch. 2020, 36, 82–87. [Google Scholar]
- Chen, R.; Zhao, J.; Yao, X.; Jiang, S.; He, Y.; Bao, B.; Luo, X.; Xu, S.; Wang, C. Generative Design of Outdoor Green Spaces Based on Generative Adversarial Networks. Buildings 2023, 13, 1083. [Google Scholar] [CrossRef]
- Zhou, H.; Liu, H. Artificial Intelligence Aided Design: Landscape Plan Recongnition and Rendering Based on Deep Learning. Chin. Landsc. Arch. 2021, 37, 56–61. [Google Scholar]
- Park, K.; Ergan, S.; Feng, C. Quality Assessment of Residential Layout Designs Generated by Relational Generative Adversarial Networks (GANs). Autom. Constr. 2024, 158, 105243. [Google Scholar] [CrossRef]
- Gradišar, L.; Dolenc, M.; Klinc, R. Towards Machine Learned Generative Design. Autom. Constr. 2024, 159, 105284. [Google Scholar] [CrossRef]
- Wu, J.; Wang, X.; Huang, L.; Wang, Z.; Wan, D.; Li, P. Parameterized Site Selection Approach of Park Entrance Based on Crowd Simulation and Design Requirement. Appl. Sci. 2023, 13, 6280. [Google Scholar] [CrossRef]
- Itani, S.; Lecron, F.; Fortemps, P. A One-Class Classification Decision Tree Based on Kernel Density Estimation. Appl. Soft Comput. 2020, 91, 106250. [Google Scholar] [CrossRef]
- Lindeberg, T. Scale-Space Theory: A Basic Tool for Analyzing Structures at Different Scales. J. Appl. Stat. 1994, 21, 225–270. [Google Scholar] [CrossRef]
- Perona, P.; Malik, J. Scale-Space and Edge Detection Using Anisotropic Diffusion. IEEE Trans. Pattern Anal. Mach. Intell. 1990, 12, 629–639. [Google Scholar] [CrossRef]
- Killcoyne, S.; Carter, G.W.; Smith, J.; Boyle, J. Cytoscape: A Community-Based Framework for Network Modeling. In Protein Networks and Pathway Analysis; Nikolsky, Y., Bryant, J., Eds.; Humana Press: Totowa, NJ, USA, 2009; pp. 219–239. ISBN 978-1-60761-175-2. [Google Scholar]
- Zang, T.; Gao, S.; Huang, T.; Wei, X.; Wang, T. Complex Network-Based Transmission Network Vulnerability Assessment Using Adjacent Graphs. IEEE Syst. J. 2020, 14, 572–581. [Google Scholar] [CrossRef]
- Dunne, J.A.; Williams, R.J.; Martinez, N.D. Food-Web Structure and Network Theory: The Role of Connectance and Size. Proc. Natl. Acad. Sci. USA 2002, 99, 12917–12922. [Google Scholar] [CrossRef] [PubMed]
- Brandes, U. A Faster Algorithm for Betweenness Centrality*. J. Math. Sociol. 2001, 25, 163–177. [Google Scholar] [CrossRef]
- Barthélemy, M. Betweenness Centrality in Large Complex Networks. Eur. Phys. J. B 2004, 38, 163–168. [Google Scholar] [CrossRef]
- Pili, S.; Grigoriadis, E.; Carlucci, M.; Clemente, M.; Salvati, L. Towards Sustainable Growth? A Multi-Criteria Assessment of (Changing) Urban Forms. Ecol. Indic. 2017, 76, 71–80. [Google Scholar] [CrossRef]
- Bedeian, A.G.; Mossholder, K.W. On the Use of the Coefficient of Variation as a Measure of Diversity. Organ. Res. Methods 2000, 3, 285–297. [Google Scholar] [CrossRef]
- Reed, G.F.; Lynn, F.; Meade, B.D. Use of Coefficient of Variation in Assessing Variability of Quantitative Assays. Clin. Vaccine Immunol. 2002, 9, 1235–1239. [Google Scholar] [CrossRef] [PubMed]
- Huai, S.; Van de Voorde, T. Which Environmental Features Contribute to Positive and Negative Perceptions of Urban Parks? A Cross-Cultural Comparison Using Online Reviews and Natural Language Processing Methods. Landscape and Urban Planning 2022, 218, 104307. [Google Scholar] [CrossRef]
- Loukaitou-Sideris, A.; Levy-Storms, L.; Chen, L.; Brozen, M. Parks for an Aging Population: Needs and Preferences of Low-Income Seniors in Los Angeles. J. Am. Plan. Assoc. 2016, 82, 236–251. [Google Scholar] [CrossRef]
- Xu, J.; Chen, L.; Liu, T.; Wang, T.; Li, M.; Wu, Z. Multi-Sensory Experience and Preferences for Children in an Urban Forest Park: A Case Study of Maofeng Mountain Forest Park in Guangzhou, China. Forests 2022, 13, 1435. [Google Scholar] [CrossRef]
- Nosrati, A.; Pazhouhanfar, M.; Chen, C.; Grahn, P. Designing Stress-Relieving Small Inner-City Park Environments for Teenagers. Land 2024, 13, 1633. [Google Scholar] [CrossRef]
- McCole, D.; Iretskaia, T.A.; Perry, E.E.; Suh, J.; Noyes, J. Park Design Informed by Stated Preference Choice: Integrating User Perspectives into the Development of an Off-Road Vehicle Park in Michigan. Land 2022, 11, 1950. [Google Scholar] [CrossRef]
- Tang, X.; Zou, C.; Shu, C.; Zhang, M.; Feng, H. Research on Site Selection Planning of Urban Parks Based on POI and Machine Learning—Taking Guangzhou City as an Example. Land 2024, 13, 1362. [Google Scholar] [CrossRef]
- Fan, Y.; Cheng, Y. A Layout Optimization Approach to Urban Park Green Spaces Based on Accessibility Evaluation: A Case Study of the Central Area in Wuxi City. Local Environ. 2022, 27, 1479–1498. [Google Scholar] [CrossRef]
- Zhao, L.; Du, M.; Zhang, W.; Li, C.; Liu, Q.; Kang, X.; Zhou, D. Functional Zoning in National Parks under Multifactor Trade-off Guidance: A Case Study of Qinghai Lake National Park in China. J. Geogr. Sci. 2022, 32, 1969–1997. [Google Scholar] [CrossRef]
- Liu, J.; Huang, X.; Guo, H.; Zhang, Z.; Li, X.; Ge, M. Study on Functional Zoning Method of National Park Based on MCDA: The Case of the Proposed “Ailaoshan-Wuliangshan” National Park. Land 2022, 11, 1882. [Google Scholar] [CrossRef]
- Wang, Y.; Peng, Z.; Chen, Q. Model for Public Car Park Layout Based on Dynamic Multiperiodic Parking Demands. J. Urban Plann. Dev. 2018, 144, 04018031. [Google Scholar] [CrossRef]
- Chen, R.; Zhao, J.; Yao, X.; He, Y.; Li, Y.; Lian, Z.; Han, Z.; Yi, X.; Li, H. Enhancing Urban Landscape Design: A GAN-Based Approach for Rapid Color Rendering of Park Sketches. Land 2024, 13, 254. [Google Scholar] [CrossRef]
- Zhou, H.; Xiang, S. Applicability Evaluation and Reflection on Artificial Intelligence-Based “Image to Image” Generation of Landscape Architecture Masterplans. Landsc. Archit. Front. 2024, 12, 58–67. [Google Scholar] [CrossRef]
- Baljon, L. Designing Parks: An Examination of Contemporary Approaches to Design in Landscape Architecture, Based on a Comparative Design Analysis of Entries for the Concours International: Parc de La Villette, Paris, 1982-3; Wageningen University and Research: Wageningen, The Netherlands, 1992. [Google Scholar]
- Entertainment Space Design Based on Behavior Scene Theory: Taking Theme Park Space as an Example. Available online: https://ascelibrary.org/doi/epdf/10.1061/9780784484562.089 (accessed on 10 December 2024).
- Refshauge, A.D.; Stigsdotter, U.K.; Cosco, N.G. Adults’ Motivation for Bringing Their Children to Park Playgrounds. Urban For. Urban Green. 2012, 11, 396–405. [Google Scholar] [CrossRef]
- Rivera, E.; Timperio, A.; Loh, V.H.Y.; Deforche, B.; Veitch, J. Critical Factors Influencing Adolescents’ Active and Social Park Use: A Qualitative Study Using Walk-along Interviews. Urban For. Urban Green. 2021, 58, 126948. [Google Scholar] [CrossRef]
- Lindberg, M.; Schipperijn, J. Active Use of Urban Park Facilities–Expectations versus Reality. Urban For. Urban Green. 2015, 14, 909–918. [Google Scholar] [CrossRef]
- Beebe, K.F. An Evaluation of Three Urban Riverfront Parks: Lessons for Designers (waterfront Assessment, Environmental); University of Michigan: Ann Arbor, MI, USA, 1984. [Google Scholar]
Disclaimer/Publisher’s Note: The statements, opinions and data contained in all publications are solely those of the individual author(s) and contributor(s) and not of MDPI and/or the editor(s). MDPI and/or the editor(s) disclaim responsibility for any injury to people or property resulting from any ideas, methods, instructions or products referred to in the content. |
© 2024 by the authors. Licensee MDPI, Basel, Switzerland. This article is an open access article distributed under the terms and conditions of the Creative Commons Attribution (CC BY) license (https://creativecommons.org/licenses/by/4.0/).













