New Method for Hydraulic Characterization of Variably Saturated Zone in Peatland-Dominated Permafrost Mires
Abstract
1. Introduction
2. Materials and Methods
2.1. Study Area
2.2. Soil Freezing Characteristic Curve (SFCC): In Situ Experiment
2.3. Soil Water Characteristic Curves (SWCC): Laboratory Experiment and Inverse Numerical Modeling
2.4. Soil Water and Freezing Characteristic Curve Relationship and Optimization Procedure
3. Results and Discussion
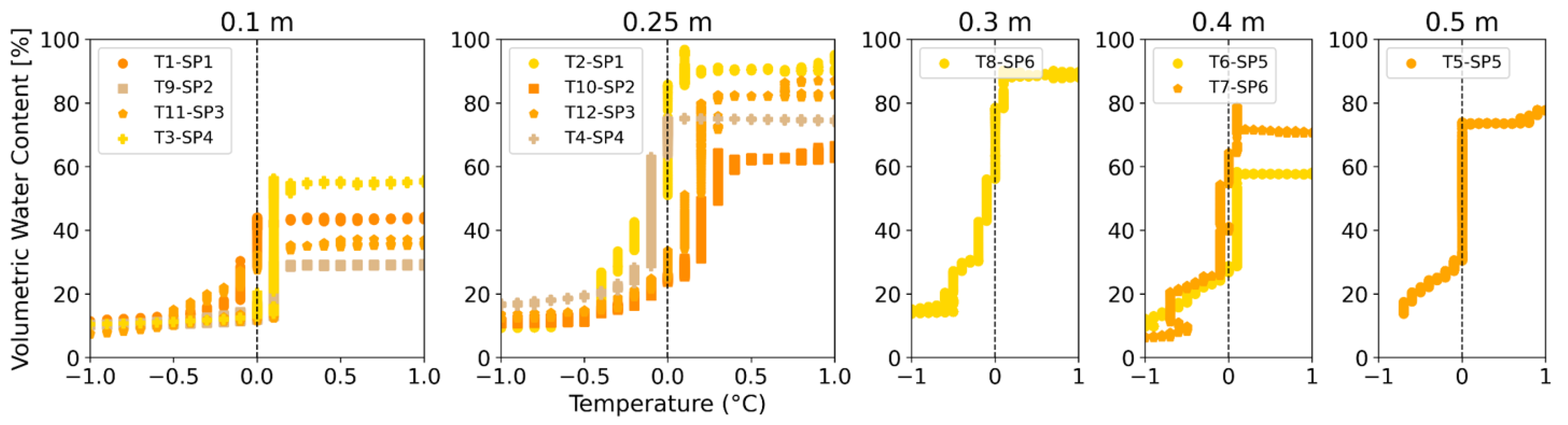
3.1. Soil Freezing Characteristic Curve (SFCC)
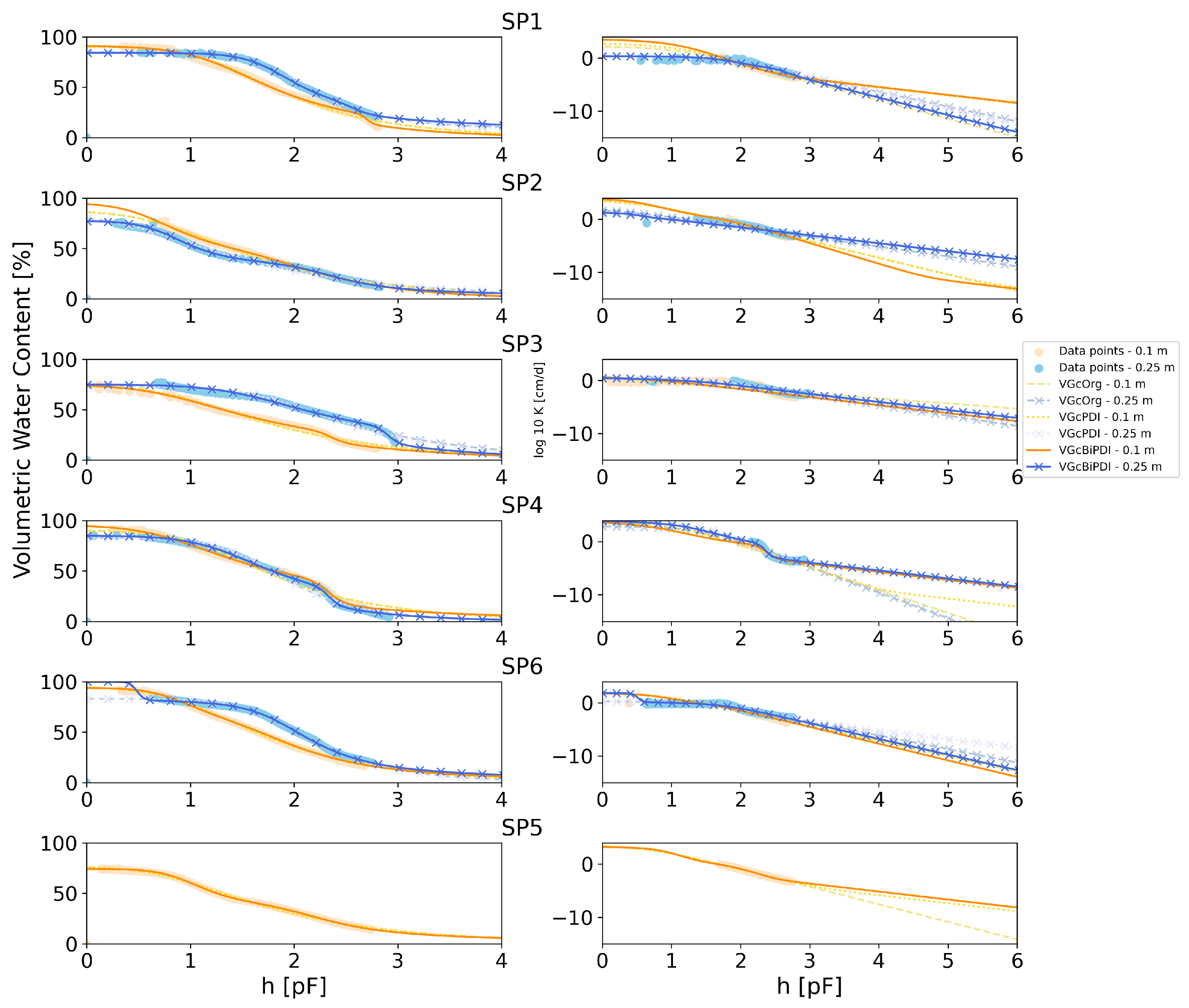
3.2. Soil Water Characteristic Curves (SWCC)
3.3. Soil Water and Freezing Characteristic Curve Model Optimization
4. Conclusions
- The volumetric water content measurements can be divided into four periods: a thawed period from July to September, a freezing transition period from October to December, a frozen period from January to April, and a thawing transition period from May to June.
- The SWCC experiments and comparison between the three SWCC models showed bimodal behavior for most of the near-surface soil samples with a thick sphagnum moss layer. The bimodal behavior was mainly observed in the dry range. Furthermore, the models that considered the contributions from film water showed only a minor improvement in results. Nonetheless, significant differences between SWCC of 0.1 m and 0.25 m were not observed.
- A new bimodal relationship has been developed for bimodal soils and calibrated with in situ SFCC experimental data. The results show excellent agreement between the measured and simulated values. The newly developed relationship can be implemented in numerical models to assess its performance in simulating hydraulic processes in permafrost peatlands.
Author Contributions
Funding
Data Availability Statement
Acknowledgments
Conflicts of Interest
Abbreviations
| C-C | Clausius-Clapeyron | |
| HCC | Unsaturated hydraulic conductivity curve | |
| RC | Richards equation | |
| SFCC | Soil freezing characteristic curves | |
| SWRC | Soil water retention curve | |
| VGcOrg | traditional constrained unimodal van Genuchten–Mualem model. | |
| VGcPDI | PDI-variant constrained unimodal van Genuchten–Mualem model. | |
| VGcBiPDI | PDI-variant Bimodal constrained van Genuchten–Mualem model | |
| Nomenclature | ||
| Symbols | Description | Units |
| Shape parameter for SWRC model | ||
| Effective saturation function | - | |
| Saturation function for oven-dry soil water potential head | - | |
| Volumetric water content | - | |
| Air content of the soil | - | |
| Residual water content | - | |
| Saturated water content | - | |
| Saturated vapor density | M | |
| Density of liquid water | M | |
| Shape parameter for pore tortuosity and connectivity | - | |
| Porosity | - | |
| Parameter describing water flow in films and corners | - | |
| Akaike Information Criterion | - | |
| a | Shape parameter for | - |
| b | Shape parameter of saturation function for non-capillary water | - |
| Diffusivity of water vapor in the air | ||
| g | Acceleration due to gravity | L |
| h | Soil water potential head | L |
| Soil water potential head at residual water content | L | |
| K | Unsaturated hydraulic conductivity | L |
| Saturated hydraulic conductivity | L | |
| Volume flux of liquid water | L | |
| Isothermal flux of water vapor | L | |
| Relative hydraulic conductivity in completely filled capillaries | - | |
| Relative hydraulic conductivity in films and corners | - | |
| Latent heat of fusion | ||
| M | Molecular weight of water | M |
| Shape parameter for SWRC model | - | |
| Shape parameter for SWRC model | - | |
| Number of parameters in | - | |
| Soil water potential | M | |
| Soil water potential head at oven dryness | L | |
| q | Total number of observations in | - |
| RAW volumetric water content sensor output | - | |
| R | Universal gas constant | |
| Saturation function of completely filled capillaries | - | |
| Saturation function of non-capillary or adsorbed water | - | |
| T | Temperature | |
| Transition temperature | K | |
| t | Time | day |
| v | Specific volume | |
| Volume of water in the soil | ||
| Total volume of the soil | ||
| Positive weights for SWRC model which sum to unity | - | |
| z | Vertical space coordinate (positive upwards) | L |
Appendix A. Methodology
Appendix A.1. Installation of Volumetric Water Content Sensors


| TEROS 12 | Soil Samples Number (Depth) | Soil Profile Number | Latitude (°N) | Longitude (°E) | Mean Sea Level (m) | Measured Depth (m) |
|---|---|---|---|---|---|---|
| T1 | SR1 (10 cm) | SP1 | 68.34654189° N | 18.97138583° E | 381.90 | 0.10 |
| T2 | SR2 (25 cm) | 0.25 | ||||
| T3 | SR10 (10 cm) | SP4 | 68.34653223° N | 18.97145605° E | 381.84 | 0.10 |
| T4 | SR11 (25 cm) | 0.25 | ||||
| T5 | SR12 (10 cm) | SP5 | 68.34658900° N | 18.97146969° E | 381.93 | 0.50 |
| T6 | SR13 (25 cm) | 0.40 | ||||
| T7 | SR14 (10 cm) | SP6 | 68.34649929° N | 18.97137513° E | 381.86 | 0.40 |
| T8 | SR15 (25 cm) | 0.30 | ||||
| T9 | SR3 (10 cm) | SP2 | 68.34655665° N | 18.97126332° E | 382.05 | 0.10 |
| T10 | SR4 (25 cm) | 0.25 | ||||
| T11 | SR8 (10 cm) | SP3 | 68.34657068° N | 18.97116002° E | 381.96 | 0.10 |
| T12 | SR9 (25 cm) | 0.25 |
Appendix A.2. Traditional Van Genuchten–Maulem Model
Appendix A.3. Hydraulic Conductivity Curve Function for Peter–Durner–Iden Model
Appendix B. Results and Discussion
Appendix B.1. Volumetric Water Content from the Second Data Logger

Appendix B.2. SWCC Experiments

| Soil Sample | Soil Profile | Depth (m) | Model Name | |||
|---|---|---|---|---|---|---|
| SR1 | SP1 | 0.1 | VGcOrg | 0.0924 | 0.1104 | −1254 |
| SR1 | SP1 | 0.1 | VGcPDI | 0.0924 | 0.0561 | −1255 |
| SR1 | SP1 | 0.1 | VGcBiPDI | 0.0911 | 0.0567 | −1471 |
| SR4 | SP2 | 0.1 | VGcOrg | 0.0867 | 0.2003 | −1124 |
| SR4 | SP2 | 0.1 | VGcPDI | 0.0869 | 0.2065 | −1124 |
| SR4 | SP2 | 0.1 | VGcBiPDI | 0.0924 | 0.1326 | −1296 |
| SR8 | SP3 | 0.1 | VGcOrg | 0.0771 | 0.6769 | −1450 |
| SR8 | SP3 | 0.1 | VGcPDI | 0.0769 | 0.7213 | −1438 |
| SR8 | SP3 | 0.1 | VGcBiPDI | 0.0742 | 0.783 | −1508 |
| SR10 | SP4 | 0.1 | VGcOrg | 0.097 | 0.3567 | −1003 |
| SR10 | SP4 | 0.1 | VGcPDI | 0.097 | 0.3585 | −1001 |
| SR10 | SP4 | 0.1 | VGcBiPDI | 0.0938 | 0.0708 | −1505 |
| SR12 | SP5 | 0.1 | VGcOrg | 0.0767 | 0.053 | −1245 |
| SR12 | SP5 | 0.1 | VGcPDI | 0.0767 | 0.0456 | −1245 |
| SR12 | SP5 | 0.1 | VGcBiPDI | 0.074 | 0.0506 | −1646 |
| SR14 | SP6 | 0.1 | VGcOrg | 0.0937 | 0.3484 | −1305 |
| SR14 | SP6 | 0.1 | VGcPDI | 0.0941 | 0.3499 | −1309 |
| SR14 | SP6 | 0.1 | VGcBiPDI | 0.0934 | 0.3193 | −1435 |
| SR2 | SP1 | 0.25 | VGcOrg | 0.0852 | 0.3629 | −1550 |
| SR2 | SP1 | 0.25 | VGcPDI | 0.0851 | 0.3432 | −1514 |
| SR2 | SP1 | 0.25 | VGcBiPDI | 0.0842 | 0.3353 | −1574 |
| SR3 | SP2 | 0.25 | VGcOrg | 0.0815 | 0.4697 | −1130 |
| SR3 | SP2 | 0.25 | VGcPDI | 0.0816 | 0.5002 | −1125 |
| SR3 | SP2 | 0.25 | VGcBiPDI | 0.077 | 0.5074 | −1235 |
| SR9 | SP3 | 0.25 | VGcOrg | 0.0779 | 0.3001 | −1200 |
| SR9 | SP3 | 0.25 | VGcPDI | 0.0788 | 0.291 | −1159 |
| SR9 | SP3 | 0.25 | VGcBiPDI | 0.0766 | 0.3321 | −1301 |
| SR11 | SP4 | 0.25 | VGcOrg | 0.0873 | 0.4984 | −1089 |
| SR11 | SP4 | 0.25 | VGcPDI | 0.0872 | 0.3687 | −1096 |
| SR11 | SP4 | 0.25 | VGcBiPDI | 0.0852 | 0.136 | −1433 |
| SR15 | SP6 | 0.25 | VGcOrg | 0.0838 | 0.2793 | −1805 |
| SR15 | SP6 | 0.25 | VGcPDI | 0.0838 | 0.2802 | −1803 |
| SR15 | SP6 | 0.25 | VGcBiPDI | 0.0985 | 0.2388 | −1917 |
| [1/cm] | n | [cm/Day] | |||||
|---|---|---|---|---|---|---|---|
| 10 cms | mean | 0.105 | 1.414 | 0 | 0.859 | 4932.265 | 0.305 |
| std | 0.043 | 0.0540 | 0 | 0.079 | 5244.123 | 2.718 | |
| min | 0.049 | 1.364 | 0 | 0.747 | 4.99 | −4.853 | |
| max | 0.164 | 1.491 | 0 | 0.948 | 10,000 | 3.023 | |
| 25 cms | mean | 0.081 | 1.578 | 0.019 | 0.817 | 259.832 | −0.976 |
| std | 0.138 | 0.212 | 0.040 | 0.044 | 384.084 | 1.705 | |
| min | 0.015 | 1.316 | 0 | 0.74 | 2.22 | −2.443 | |
| max | 0.327 | 1.78 | 0.092 | 0.848 | 865.4 | 1.869 |
| [1/cm] | n | [cm/Day] | |||||||
|---|---|---|---|---|---|---|---|---|---|
| 10 cms | mean | 0.106 | 1.409 | 0 | 0.860 | 5177.05 | 3.044 | 6.8 | 0.016 |
| std | 0.045 | 0.054 | 0 | 0.082 | 5289.866 | 3.572 | 0 | 0.041 | |
| min | 0.049 | 1.358 | 0 | 0.744 | 10.4 | −0.029 | 6.8 | ||
| max | 0.169 | 1.488 | 0 | 0.953 | 10,000 | 10 | 6.8 | 0.1 | |
| 25 cms | mean | 0.083 | 1.588 | 0.028 | 0.817 | 2014.066 | 2.202 | 6.8 | 0.024 |
| std | 0.143 | 0.219 | 0.063 | 0.045 | 4464.337 | 4.836 | 0 | 0.042 | |
| min | 0.0152 | 1.306 | 0 | 0.737 | 2.27 | −1 | 6.8 | ||
| max | 0.339 | 1.815 | 0.141 | 0.848 | 10,000 | 10 | 6.8 | 0.1 |
| [cm/Day] | [1/cm] | [1/cm] | ||||||||||
|---|---|---|---|---|---|---|---|---|---|---|---|---|
| 10 cms | mean | 0.051 | 0.876 | 4430.65 | 3.278 | 0.075 | 3.328 | 6.8 | 0.082 | 3.629 | 0.508 | 0.016 |
| std | 0.055 | 0.100 | 4653.126 | 3.669 | 0.096 | 2.178 | 0 | 0.080 | 4.643 | 0.273 | 0.041 | |
| min | 0 | 0.743 | 15.3 | −0.271 | 0.005 | 1.532 | 6.8 | 0.002 | 1.35 | 0.1 | ||
| max | 0.11 | 0.956 | 10,000 | 10 | 0.2523 | 6.574 | 6.8 | 0.167 | 13.077 | 0.876 | 0.1 | |
| 25 cms | mean | 0.100 | 0.843 | 2018.672 | 2.445 | 0.047 | 3.3184 | 6.8 | 0.078 | 6.031 | 0.353 | 0.040 |
| std | 0.100 | 0.098 | 4461.772 | 4.589 | 0.069 | 2.972 | 0 | 0.143 | 4.7035 | 0.269 | 0.055 | |
| min | 0 | 0.75 | 2.2 | −1 | 0.005 | 1.395 | 6.8 | 0.001 | 1.613 | 0.137 | ||
| max | 0.227 | 0.96 | 10,000 | 10 | 0.169 | 8.589 | 6.8 | 0.331 | 12.95 | 0.804 | 0.1 |
References
- Santoyo, S.F.; Baser, T. A review of the existing data on soil-freezing experiments and assessment of soil-freezing curves derived from soil–water retention curves. J. Cold Reg. Eng. 2022, 36, 04021020. [Google Scholar] [CrossRef]
- Hugelius, G.; Strauss, J.; Zubrzycki, S.; Harden, J.W.; Schuur, E.A.G.; Ping, C.L.; Schirrmeister, L.; Grosse, G.; Michaelson, G.J.; Koven, C.D.; et al. Estimated stocks of circumpolar permafrost carbon with quantified uncertainty ranges and identified data gaps. Biogeosciences 2014, 11, 6573–6593. [Google Scholar] [CrossRef]
- Ping, C.L.; Michaelson, G.J.; Jorgenson, M.T.; Kimble, J.M.; Epstein, H.; Romanovsky, V.E.; Walker, D.A. High stocks of soil organic carbon in the North American Arctic region. Nat. Geosci. 2008, 1, 615–619. [Google Scholar] [CrossRef]
- Schuur, E.A.; Bockheim, J.; Canadell, J.G.; Euskirchen, E.; Field, C.B.; Goryachkin, S.V.; Hagemann, S.; Kuhry, P.; Lafleur, P.M.; Lee, H.; et al. Vulnerability of permafrost carbon to climate change: Implications for the global carbon cycle. BioScience 2008, 58, 701–714. [Google Scholar] [CrossRef]
- Swindles, G.T.; Morris, P.J.; Mullan, D.; Watson, E.J.; Turner, T.E.; Roland, T.P.; Amesbury, M.J.; Kokfelt, U.; Schoning, K.; Pratte, S.; et al. The long-term fate of permafrost peatlands under rapid climate warming. Sci. Rep. 2015, 5, 17951. [Google Scholar] [CrossRef]
- Åkerman, H.J.; Johansson, M. Thawing permafrost and thicker active layers in sub-arctic Sweden. Permafr. Periglac. Process. 2008, 19, 279–292. [Google Scholar] [CrossRef]
- Seppälä, M. Synthesis of studies of palsa formation underlining the importance of local environmental and physical characteristics. Quat. Res. 2011, 75, 366–370. [Google Scholar] [CrossRef]
- Johansson, M.; Akerman, J.; Keuper, F.; Christensen, T.R.; Lantuit, H.; Callaghan, T.V. Past and present permafrost temperatures in the Abisko area: Redrilling of boreholes. Ambio 2011, 40, 558–565. [Google Scholar] [CrossRef]
- Hinzman, L.; Kane, D.; Gieck, R.; Everett, K. Hydrologic and thermal properties of the active layer in the Alaskan Arctic. Cold Reg. Sci. Technol. 1991, 19, 95–110. [Google Scholar] [CrossRef]
- Overduin, P.P.; Kane, D.L.; van Loon, W. Measuring thermal conductivity in freezing and thawing soil using the soil temperature response to heating. Cold Reg. Sci. Technol. 2006, 45, 8–22. [Google Scholar] [CrossRef]
- Ebel, B.A.; Koch, J.C.; Walvoord, M.A. Soil Physical, Hydraulic, and Thermal Properties in Interior Alaska, USA: Implications for Hydrologic Response to Thawing Permafrost Conditions. Water Resour. Res. 2019, 55, 4427–4447. [Google Scholar] [CrossRef]
- Zipper, S.C.; Lamontagne-Hallé, P.; McKenzie, J.M.; Rocha, A.V. Groundwater controls on postfire permafrost thaw: Water and energy balance effects. J. Geophys. Res. Earth Surf. 2018, 123, 2677–2694. [Google Scholar] [CrossRef]
- McKenzie, J.M.; Voss, C.I.; Siegel, D.I. Groundwater flow with energy transport and water–ice phase change: Numerical simulations, benchmarks, and application to freezing in peat bogs. Adv. Water Resour. 2007, 30, 966–983. [Google Scholar] [CrossRef]
- Stone, L.E.; Fang, X.; Haynes, K.M.; Helbig, M.; Pomeroy, J.W.; Sonnentag, O.; Quinton, W.L. Modelling the effects of permafrost loss on discharge from a wetland-dominated, discontinuous permafrost basin. Hydrol. Process. 2019, 33, 2607–2626. [Google Scholar] [CrossRef]
- Chaudhary, N.; Westermann, S.; Lamba, S.; Shurpali, N.; Sannel, A.B.K.; Schurgers, G.; Miller, P.A.; Smith, B. Modelling past and future peatland carbon dynamics across the pan-Arctic. Glob. Chang. Biol. 2020, 26, 4119–4133. [Google Scholar] [CrossRef]
- Dagenais, S.; Molson, J.; Lemieux, J.M.; Fortier, R.; Therrien, R. Coupled cryo-hydrogeological modelling of permafrost dynamics near Umiujaq (Nunavik, Canada). Hydrogeol. J. 2020, 28, 887–904. [Google Scholar] [CrossRef]
- Lamontagne-Hallé, P.; McKenzie, J.M.; Kurylyk, B.L.; Zipper, S.C. Changing groundwater discharge dynamics in permafrost regions. Environ. Res. Lett. 2018, 13, 084017. [Google Scholar] [CrossRef]
- O’Connor, M.T.; Cardenas, M.B.; Ferencz, S.B.; Wu, Y.; Neilson, B.T.; Chen, J.; Kling, G.W. Empirical Models for Predicting Water and Heat Flow Properties of Permafrost Soils. Geophys. Res. Lett. 2020, 47, e2020GL087646. [Google Scholar] [CrossRef]
- Devoie, É.G.; Gruber, S.; McKenzie, J.M. A repository of measured soil freezing characteristic curves: 1921 to 2021. Earth Syst. Sci. Data 2022, 14, 3365–3377. [Google Scholar] [CrossRef]
- Pardo Lara, R.; Berg, A.A.; Warland, J.; Tetlock, E. In Situ Estimates of Freezing/Melting Point Depression in Agricultural Soils Using Permittivity and Temperature Measurements. Water Resour. Res. 2020, 56, e2019WR026020. [Google Scholar] [CrossRef]
- Kurylyk, B.L.; Watanabe, K. The mathematical representation of freezing and thawing processes in variably-saturated, non-deformable soils. Adv. Water Resour. 2013, 60, 160–177. [Google Scholar] [CrossRef]
- Mualem, Y. A new model for predicting the hydraulic conductivity of unsaturated porous media. Water Resour. Res. 1976, 12, 513–522. [Google Scholar] [CrossRef]
- Van Genuchten, M.T. A closed-form equation for predicting the hydraulic conductivity of unsaturated soils. Soil Sci. Soc. Am. J. 1980, 44, 892–898. [Google Scholar] [CrossRef]
- Wu, Y.; Blodau, C. PEATBOG: A biogeochemical model for analyzing coupled carbon and nitrogen dynamics in northern peatlands. Geosci. Model Dev. 2013, 6, 1173–1207. [Google Scholar] [CrossRef]
- Mezbahuddin, M.; Grant, R.F.; Flanagan, L.B. Modeling hydrological controls on variations in peat water content, water table depth, and surface energy exchange of a boreal western Canadian fen peatland. J. Geophys. Res. Biogeosci. 2016, 121, 2216–2242. [Google Scholar] [CrossRef]
- Dettmann, U.; Bechtold, M.; Viohl, T.; Piayda, A.; Sokolowsky, L.; Tiemeyer, B. Evaporation experiments for the determination of hydraulic properties of peat and other organic soils: An evaluation of methods based on a large dataset. J. Hydrol. 2019, 575, 933–944. [Google Scholar] [CrossRef]
- Quinton, W.L.; Hayashi, M.; Carey, S.K. Peat hydraulic conductivity in cold regions and its relation to pore size and geometry. Hydrol. Process. 2008, 22, 2829–2837. [Google Scholar] [CrossRef]
- Weber, T.K.D.; Iden, S.C.; Durner, W. Unsaturated hydraulic properties of Sphagnum moss and peat reveal trimodal pore-size distributions. Water Resour. Res. 2017, 53, 415–434. [Google Scholar] [CrossRef]
- Watanabe, K.; Kito, T.; Wake, T.; Sakai, M. Freezing experiments on unsaturated sand, loam and silt loam. Ann. Glaciol. 2011, 52, 37–43. [Google Scholar] [CrossRef]
- Ren, J.; Vanapalli, S.K. Comparison of soil-freezing and soil-water characteristic curves of two Canadian soils. Vadose Zone J. 2019, 18, 1–14. [Google Scholar] [CrossRef]
- Spaans, E.J.; Baker, J.M. The soil freezing characteristic: Its measurement and similarity to the soil moisture characteristic. Soil Sci. Soc. Am. J. 1996, 60, 13–19. [Google Scholar] [CrossRef]
- OpenStreetMap. OpenStreetMap Contributions. 2023. Available online: www.openstreetmap.org (accessed on 5 June 2023).
- Carey, S.K.; Quinton, W.L.; Goeller, N.T. Field and laboratory estimates of pore size properties and hydraulic characteristics for subarctic organic soils. Hydrol. Process. 2007, 21, 2560–2571. [Google Scholar] [CrossRef]
- Gnatowski, T.; Szatyłowicz, J.; Brandyk, T.; Kechavarzi, C. Hydraulic properties of fen peat soils in Poland. Geoderma 2010, 154, 188–195. [Google Scholar] [CrossRef]
- Alewell, C.; Giesler, R.; Klaminder, J.; Leifeld, J.; Rollog, M. Stable carbon isotopes as indicators for environmental change in palsa peats. Biogeosciences 2011, 8, 1769–1778. [Google Scholar] [CrossRef]
- Dobiński, W. Geophysical characteristics of permafrost in the Abisko area, northern Sweden. Pol. Polar Res. 2010, 31, 141–158. [Google Scholar] [CrossRef]
- Shokrana, M.S.B.; Ghane, E. Measurement of soil water characteristic curve using HYPROP2. MethodsX 2020, 7, 100840. [Google Scholar] [CrossRef]
- Meter Group GmbH. HYPROP Manual; Meter Group GmbH: Munich, Germany, 2023. [Google Scholar]
- Šimůnek, J.; van Genuchten, M.T. Modeling nonequilibrium flow and transport processes using HYDRUS. Vadose Zone J. 2008, 7, 782–797. [Google Scholar] [CrossRef]
- Šimůnek, J.; Van Genuchten, M.T.; Šejna, M. Recent developments and applications of the HYDRUS computer software packages. Vadose Zone J. 2016, 15, vzj2016-04. [Google Scholar] [CrossRef]
- Peters, A.; Durner, W. Simplified evaporation method for determining soil hydraulic properties. J. Hydrol. 2008, 356, 147–162. [Google Scholar] [CrossRef]
- Iden, S.C.; Durner, W. Comment on “Simple consistent models for water retention and hydraulic conductivity in the complete moisture range” by A. Peters. Water Resour. Res. 2014, 50, 7530–7534. [Google Scholar] [CrossRef]
- SciPy. Scipy.Optimize.Least_Squares. Available online: https://docs.scipy.org/doc/scipy/reference/generated/scipy.optimize.least_squares.html (accessed on 8 November 2023).
- Byrd, R.H.; Schnabel, R.B.; Shultz, G.A. Approximate solution of the trust region problem by minimization over two-dimensional subspaces. Math. Program. 1988, 40, 247–263. [Google Scholar] [CrossRef]
- Jiang, Y.; Zhuang, Q.; O’Donnell, J.A. Modeling thermal dynamics of active layer soils and near–surface permafrost using a fully coupled water and heat transport model. J. Geophys. Res. Atmos. 2012, 117, D11110. [Google Scholar] [CrossRef]
- Kujala, K.; Seppälä, M.; Holappa, T. Physical properties of peat and palsa formation. Cold Reg. Sci. Technol. 2008, 52, 408–414. [Google Scholar] [CrossRef]
- Weber, T.K.D.; Iden, S.C.; Durner, W. A pore-size classification for peat bogs derived from unsaturated hydraulic properties. Hydrol. Earth Syst. Sci. 2017, 21, 6185–6200. [Google Scholar] [CrossRef]
- Peters, A. Simple consistent models for water retention and hydraulic conductivity in the complete moisture range. Water Resour. Res. 2013, 49, 6765–6780. [Google Scholar] [CrossRef]
- Lakshmiprasad, R.; Graf, T.; Rakos, N. Soil Moisture, Soil Temperature, and Electric Conductivity Data from Storflaket Mire; 30 June 2022–26 October 2023; Abisko Scientific Research Station: Abisko, Sweden, 2024. [Google Scholar] [CrossRef]
- Durner, W. Hydraulic conductivity estimation for soils with heterogeneous pore structure. Water Resour. Res. 1994, 30, 211–223. [Google Scholar] [CrossRef]
- Priesack, E.; Durner, W. Closed-form expression for the multi-modal unsaturated conductivity function. Vadose Zone J. 2006, 5, 121–124. [Google Scholar] [CrossRef]
- Saito, H.; Simunek, J.; Mohanty, B.P. Numerical analysis of coupled water, vapor, and heat transport in the vadose zone. Vadose Zone J. 2006, 5, 784–800. [Google Scholar] [CrossRef]
- Tokunaga, T.K. Hydraulic properties of adsorbed water films in unsaturated porous media. Water Resour. Res. 2009, 45, W06415. [Google Scholar] [CrossRef]










| Parameters | Lower Bound | Upper Bound | Unit | Models |
|---|---|---|---|---|
| , | 0.5 | (i), (ii), (iii) | ||
| n, | 1.01 | 15 | - | (i), (ii), (iii) |
| 0 | 0.4 | - | (i), (ii), (iii) | |
| 0.1 | 1 | - | (i), (ii), (iii) | |
| 0.5 | (iii) | |||
| 1.01 | 15 | - | (iii) | |
| 0 | 1 | - | (iii) | |
| 0.01 | 10,000 | (i), (ii), (iii) | ||
| −1 | 10 | - | (i), (ii), (iii) | |
| 0.1 | - | (ii), (iii) | ||
| a | −5 | 0 | - | (ii), (iii) |
| Parameters | Lower Bound | Upper Bound | Unit |
|---|---|---|---|
| 0.92 | 0.98 | - | |
| 0.002 | 0.2 | ||
| 1 | 14 | - | |
| 0 | 0.4 | - | |
| 0.6 | 0.98 | - | |
| 0.0001 | 0.08 | ||
| 1 | 14 | - | |
| 0 | 0.9 | - | |
| 270 | 275 | K |
Disclaimer/Publisher’s Note: The statements, opinions and data contained in all publications are solely those of the individual author(s) and contributor(s) and not of MDPI and/or the editor(s). MDPI and/or the editor(s) disclaim responsibility for any injury to people or property resulting from any ideas, methods, instructions or products referred to in the content. |
© 2024 by the authors. Licensee MDPI, Basel, Switzerland. This article is an open access article distributed under the terms and conditions of the Creative Commons Attribution (CC BY) license (https://creativecommons.org/licenses/by/4.0/).
Share and Cite
Lakshmiprasad, R.B.; Peth, S.; Woche, S.K.; Graf, T. New Method for Hydraulic Characterization of Variably Saturated Zone in Peatland-Dominated Permafrost Mires. Land 2024, 13, 1990. https://doi.org/10.3390/land13121990
Lakshmiprasad RB, Peth S, Woche SK, Graf T. New Method for Hydraulic Characterization of Variably Saturated Zone in Peatland-Dominated Permafrost Mires. Land. 2024; 13(12):1990. https://doi.org/10.3390/land13121990
Chicago/Turabian StyleLakshmiprasad, Radhakrishna Bangalore, Stephan Peth, Susanne K. Woche, and Thomas Graf. 2024. "New Method for Hydraulic Characterization of Variably Saturated Zone in Peatland-Dominated Permafrost Mires" Land 13, no. 12: 1990. https://doi.org/10.3390/land13121990
APA StyleLakshmiprasad, R. B., Peth, S., Woche, S. K., & Graf, T. (2024). New Method for Hydraulic Characterization of Variably Saturated Zone in Peatland-Dominated Permafrost Mires. Land, 13(12), 1990. https://doi.org/10.3390/land13121990

