Dynamic Changes of Air Particle Pollutants and Scale Regulation of Forest Landscape in a Typical High-Latitude City
Abstract
1. Introduction
2. Materials and Methods
2.1. Study Area
2.2. Data Sources
2.3. Methods
2.3.1. Extraction of Urban Forest Areas and Establishment of Landscape Scale Buffer Zone
2.3.2. Selection of Landscape Pattern Indexes
2.3.3. Data Analysis
3. Results
3.1. Differences in PM2.5 and PM10 Concentrations
3.2. Characteristics of Urban Forest Landscape Parameters at Different Landscape Scales
3.3. Correlation Between Landscape Pattern Indexes and Particulate Pollutants
3.3.1. Correlation Between Landscape Pattern Indexes and PM2.5 and PM10 Concentrations
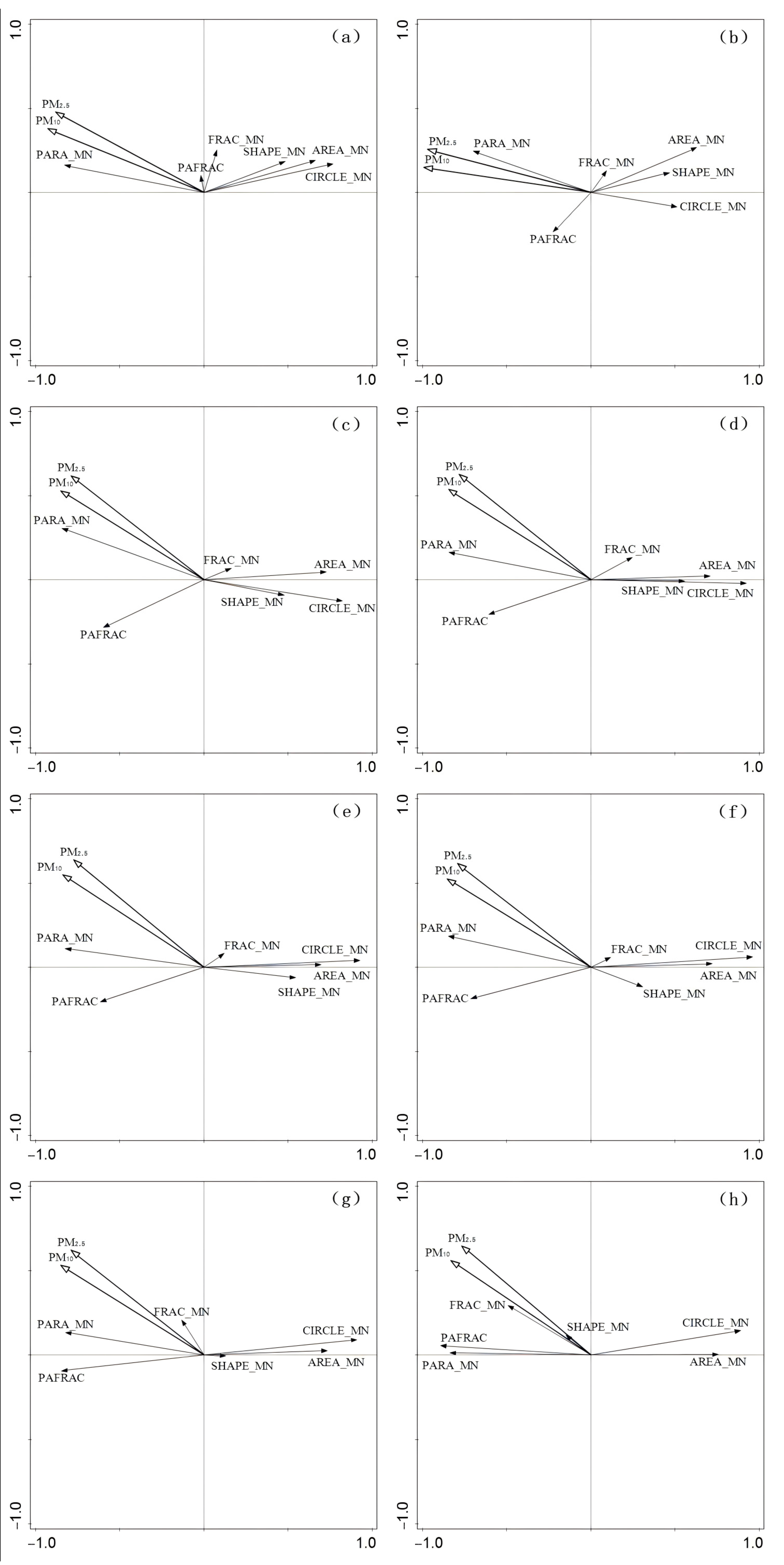
3.3.2. Redundancy Analysis of Particulate Matter Concentrations and Landscape Pattern Indexes
4. Discussion
4.1. Seasonal and Monthly Differences in Particle Pollutant Concentrations and Influencing Factors
4.2. Optimization Measures for Regulating Air Particle Pollutants in Forest Landscapes at Different Scales
5. Conclusions
Author Contributions
Funding
Data Availability Statement
Conflicts of Interest
Appendix A
| Landscape Index | Eqaution (Unit) |
| Class Area (CA) | |
| Patch Area (AREA) | |
| Shape Index (SHAPE) | |
| Fractal Dimension Index (FRAC) | |
| Perimeter–Area Ratio (PARA) | |
| Related Circumscribing Circle (CIRCLE) | |
| Perimeter–Area Fractal Dimension (PAFRAC) |
References
- Li, J.; Lei, J.; Li, S.; Yang, Z.; Tong, Y.; Zhang, S.; Duan, Z. Spatiotemporal analysis of the relationship between urbanization and the eco-environment in the Kashgar metropolitan area, China. Ecol. Indic. 2022, 135, 108524. [Google Scholar] [CrossRef]
- Zhong, X.; Wei, K.; Shang, D.M. An improved azimuth-dependent Holland model for typhoons along the Zhejiang coast prior to landfall based on WRF–ARW simulations. Nat. Hazards 2023, 117, 2325–2346. [Google Scholar] [CrossRef]
- Myhre, G.; Alterskjær, K.; Stjern, C.W.; Hodnebrog, Ø.; Marelle, L.; Samset, B.H.; Sillmann, J.; Schaller, N.; Fischer, E.; Schulz, M.; et al. Frequency of extreme precipitation increases extensively with event rareness under global warming. Sci. Rep. 2019, 9, 16063. [Google Scholar] [CrossRef] [PubMed]
- Chiang, F.; Mazdiyasni, O.; AghaKouchak, A. Evidence of anthropogenic impacts on global drought frequency, duration, and intensity. Nat. Commun. 2021, 12, 2754. [Google Scholar] [CrossRef]
- Sharma, P.; Yadav, P.; Ghosh, C.; Singh, B. Heavy metal capture from the suspended particulate matter by Morus alba and evidence of foliar uptake and translocation of PM associated zinc using radiotracer (65Zn). Chemosphere 2020, 254, 126863. [Google Scholar] [CrossRef]
- Peng, Z.R.; Wang, D.S.; Wang, Z.Y.; Gao, Y.; Lu, S.J. A study of vertical distribution patterns of PM2.5 concentrations based on ambient monitoring with unmanned aerial vehicles: A case in Hangzhou, China. Atmos. Environ. 2015, 123, 357–369. [Google Scholar] [CrossRef]
- Zhai, C.; Bao, G.D.; Zhang, D.; Sha, Y.H. Urban Forest Locations and Patch Characteristics Regulate PM2.5 Mitigation Capacity. Forests 2022, 13, 1408. [Google Scholar] [CrossRef]
- Gao, G.; Sun, F.; Thao, N.T.T.; Lun, X.X.; Yu, X.X. Different Concentrations of TSP, PM10, PM2.5, and PM1 of Several Urban Forest Types in Different Seasons. Pol. J. Environ. Stud. 2015, 24, 2387–2395. [Google Scholar] [CrossRef]
- Freer-Smith, P.H.; Beckett, K.P.; Taylor, G. Deposition velocities to Sorbus aria, Acer campestre, Populus deltoides X trichocarpa ‘Beaupré’, Pinus nigra and X Cupressocyparis leylandii for coarse, fine and ultra-fine particles in the urban environment. Environ. Pollut. 2005, 133, 157–167. [Google Scholar] [CrossRef]
- Annette, P. Ambient particulate matter and the risk for cardiovascular disease. Prog. Cardiovasc. Dis. 2011, 53, 327–333. [Google Scholar]
- Lavigne, E.; Yasseen, A.S.; Stieb, D.M.; Hystad, P.; van Donkelaar, A.; Martin, R.V.; Brook, J.R.; Crouse, D.L.; Burnett, R.T.; Chen, H.; et al. Ambient air pollution and adverse birth outcomes: Differences by maternal comorbidities. Env. Res. 2016, 148, 457–466. [Google Scholar] [CrossRef] [PubMed]
- Pope, C.A.; Burnett, R.T.; Thurston, G.D.; Thun, M.J.; Calle, E.E.; Krewski, D.; Godleski, J.J. Cardiovascular mortality and long-term exposure to particulate air pollution: Epidemiological evidence of general pathophysiological pathways of disease. Circulation 2004, 109, 71–77. [Google Scholar] [CrossRef] [PubMed]
- Morelli, X.; Rieux, C.; Cyrys, J.; Forsberg, B.; Slama, R. Air pollution, health and social deprivation: A fine-scale risk assessment. Environ. Res. 2016, 147, 59–70. [Google Scholar] [CrossRef] [PubMed]
- Gehring, U.; Tamburic, L.; Sbihi, H.; Davies, H.W.; Brauer, M. Impact of noise and air pollution on pregnancy outcomes. Epidemiology 2014, 25, 351–358. [Google Scholar] [CrossRef] [PubMed]
- Wang, H.; Gao, Z.; Ren, J.; Liu, Y.; Chang, L.T.-C.; Cheung, K.; Feng, Y.; Li, Y. An urban-rural and sex differences in cancer incidence and mortality and the relationship with PM2.5 exposure: An ecological study in the southeastern side of Hu line. Chemosphere 2019, 216, 766–773. [Google Scholar] [CrossRef]
- Liu, T.; Wei, H.Y.; Yang, W.Y.; Zhao, L.; Geng, H. Oxidative damage effects of PM2.5 in haze on alveolar macrophages. Acta Sci. Circumstantiae. 2015, 35, 890–896. [Google Scholar]
- Liao, Y.; Xu, L.; Lin, X.; Hao, Y.T. Temporal Trend in Lung Cancer Burden Attributed to Ambient Fine Particulate Matter in Guangzhou, China. Biomed Env. Sci 2017, 30, 708–717. [Google Scholar]
- Contini, D.; Gambaro, A.; Belosi, F.; Pieri, S.D.; Cairns, W.R.L.; Donateo, A.; Zanotto, E.; Citron, M. The direct influence of ship traffic on atmospheric PM2.5, PM10 and PAH in Venice. J. Environ. Manag. 2011, 929, 2119–2129. [Google Scholar] [CrossRef]
- Yadav, R.; Sahu, L.K.; Jaaffrey, S.N.A.; Beig, G. Temporal Variation of Particulate Matter (PM) and Potential Sources at an Urban Site of Udaipur in Western India. Aerosol Air Qual. Res. 2014, 14, 1613–1629. [Google Scholar] [CrossRef]
- Pearce, J.L.; Rathbun, S.L.; Aguilar-Villalobos, M.; Naeher, L.P. Characterizing the spatiotemporal variability of PM2.5 in Cusco, Peru using kriging with external drift. Atmos. Environ. 2009, 43, 2060–2069. [Google Scholar] [CrossRef]
- Yang, P.; Ren, G.Y.; Liu, W.D. Spatial and Temporal Characteristics of Beijing Urban Heat Island Intensity. J. Appl. Meteorol. Climatol. 2013, 52, 1803–1816. [Google Scholar] [CrossRef]
- Ren, G.Y.; Zhou, Y.Q. Urbanization Effect on Trends of Extreme Temperature Indices of National Stations over Mainland China, 1961–2008. J. Clim. 2014, 27, 2340–2360. [Google Scholar] [CrossRef]
- Zhang, W.K.; Wang, B.; Niu, X. Relationship between Leaf Surface Characteristics and Particle Capturing Capacities of Different Tree Species in Beijing. Forests 2017, 8, 92. [Google Scholar] [CrossRef]
- Gholampour, A.; Nabizadeh, R.; Naseri, S.; Yunesian, M.; Taghipour, H.; Rastkari, N.; Nazmara, S.; Faridi, S.; Mahvi, A.H. Exposure and health impacts of outdoor particulate matter in two urban and industrialized area of Tabriz, Iran. J. Environ. Health Sci. Eng. 2014, 12, 27. [Google Scholar] [CrossRef] [PubMed]
- Liu, Q.Y.; Baumgartner, J.; Zhang, Y.X.; Schauer, J.J. Source apportionment of Beijing air pollution during a severe winter haze event and associated pro-inflammatory responses in lung epithelial cells. Atmos. Environ. 2016, 126, 28–35. [Google Scholar] [CrossRef]
- Yu, L.D.; Wang, G.F.; Zhang, R.J.; Zhang, L.M.; Song, Y.; Wu, B.; Li, X.; An, K.; Chu, J.H. Characterization and Source Apportionment of PM2.5 in an Urban Environment in Beijing. Aerosol Air Qual. Res. 2013, 13, 574–583. [Google Scholar] [CrossRef]
- Tao, Y.; Mi, S.Q.; Zhou, S.H.; Wang, S.G.; Xie, X.Y. Air pollution and hospital admissions for respiratory diseases in Lanzhou, China. Environ. Pollut. 2014, 185, 196–201. [Google Scholar] [CrossRef]
- Lippmann, M. Particulate matter (PM) air pollution and health: Regulatory and policy implications. Air Qual. Atmos. Health 2012, 5, 237–241. [Google Scholar] [CrossRef]
- Pope, C.A.; Ezzati, M.; Dockery, D.W. Tradeoffs between income, air pollution and life expectancy: Brief report on the US experience, 1980–2000. Environ. Res. 2015, 142, 591–593. [Google Scholar] [CrossRef]
- Pryor, S.C.; Barthelmie, R.J. REVEAL II: Seasonality and spatial variability of particle and visibility conditions in the Fraser Valley. Sci. Total Environ. 2000, 257, 95–110. [Google Scholar] [CrossRef]
- Wang, J.F.; Qiu, Y.; He, S.; Liu, N.; Xiao, C.Y.; Liu, L.X. Investigating the driving forces of NOx generation from energy consumption in China. J. Clean. Prod. 2018, 184, 836–846. [Google Scholar] [CrossRef]
- Qiao, B.Q.; Chen, Y.; Tian, M.; Wang, H.B.; Yang, F.M.; Shi, G.M.; Zhang, L.M.; Peng, C.; Luo, Q.; Ding, S.M. Characterization of water soluble inorganic ions and their evolution processes during PM2.5 pollution episodes in a small city in southwest China. Sci. Total Environ. 2019, 650, 2605–2613. [Google Scholar] [CrossRef] [PubMed]
- Jacobson, M.Z. Global direct radiative forcing due to multicomponent anthropogenic and natural aerosols. J. Geophys. Res. Atmos. 2001, 106, 1551–1568. [Google Scholar] [CrossRef]
- Auger, F.; Gendron, M.C.; Chamot, C.; Marano, F.; Dazy, A.C. Responses of well-differentiated nasal epithelial cells exposed to particles: Role of the epithelium in airway inflammation. Toxicol. Appl. Pharmacol. 2006, 215, 285–294. [Google Scholar] [CrossRef]
- Zhao, B.; Wu, W.J.; Wang, S.X.; Xing, J.; Chang, X.; Liou, K.N.; Jiang, J.H.; Gu, Y.; Jang, C.; Fu, J.S.; et al. A modeling study of the nonlinear response of fine particles to air pollutant emissions in the Beijing–Tianjin–Hebei region. Atmos. Chem. Phys. 2017, 17, 12031–12050. [Google Scholar] [CrossRef]
- Hofman, J.; Bartholomeus, H.; Janssen, S.; Calders, K.; Wuyts, K.; Wittenberghe, S.V.; Samson, R. Influence of tree crown characteristics on the local PM10 distribution inside an urban street canyon in Antwerp (Belgium): A model and experimental approach. Urban For. Urban Green. 2016, 20, 265–276. [Google Scholar] [CrossRef]
- Guo, Y.Q.; Zhang, J.Y.; Yong, C.Z.; Wang, S.L.; Jiang, C.; Zheng, C.G. Chemical agglomeration of fine particles in coal combustion flue gas: Experimental evaluation. Fuel 2017, 203, 557–569. [Google Scholar] [CrossRef]
- Yang, Z.D.; Zheng, C.H.; Zhang, X.F.; Li, C.J.; Wang, Y.; Weng, W.G.; Gao, X. Sulfuric Acid Aerosol Formation and Collection by Corona Discharge in a Wet Electrostatic Precipitator. Energy Fuels 2017, 31, 8400–8406. [Google Scholar] [CrossRef]
- Gajbhiye, T.; Pandey, S.K.; Lee, S.S.; Kim, K.H. Size fractionated phytomonitoring of airborne particulate matter (PM) and speciation of PM bound toxic metals pollution through Calotropis procera in an urban environment. Ecol. Indic. 2019, 104, 32–40. [Google Scholar] [CrossRef]
- Kim, S.; Lee, S.; Hwang, K.; An, K. Exploring Sustainable Street Tree Planting Patterns to Be Resistant against Fine Particles (PM2.5). Sustainability 2017, 9, 1709. [Google Scholar] [CrossRef]
- Chen, A.; Yao, L.; Sun, R.H.; Chen, L.D. How many metrics are required to identify the effects of the landscape pattern on land surface temperature? Ecol. Indic. 2014, 45, 424–433. [Google Scholar] [CrossRef]
- Luo, X.S.; Bing, H.J.; Luo, Z.X.; Wang, Y.J.; Jin, L. Impacts of atmospheric particulate matter pollution on environmental biogeochemistry of trace metals in soil-plant system: A review. Environ. Pollut. 2019, 255, 113138. [Google Scholar] [CrossRef] [PubMed]
- Liu, X.H.; Yu, X.X.; Zhang, Z.M. PM2.5 Concentration Differences between Various Forest Types and Its Correlation with Forest Structure. Atmosphere 2015, 6, 1801–1815. [Google Scholar] [CrossRef]
- Wu, J.S.; Xie, W.D.; Li, W.F.; Li, J.F. Effects of Urban Landscape Pattern on PM2.5 Pollution-A Beijing Case Study. PloS ONE 2015, 10, e0142449. [Google Scholar] [CrossRef] [PubMed]
- Zhang, W.-K.; Wang, B.; Niu, X. Study on the Adsorption Capacities for Airborne Particulates of Landscape Plants in Different Polluted Regions in Beijing (China). Int. J. Environ. Res. Public Health 2015, 12, 9623–9638. [Google Scholar] [CrossRef] [PubMed]
- Lei, Y.K.; Duan, Y.B.; He, D.; Zhang, X.W.; Chen, L.Q.; Li, Y.H.; Gao, Y.G.; Tian, G.H.; Zheng, J.B. Effects of Urban Greenspace Patterns on Particulate Matter Pollution in Metropolitan Zhengzhou in Henan, China. Atmosphere 2018, 9, 199. [Google Scholar] [CrossRef]
- Buccolieri, R.; Santiago, J.L.; Rivas, E.; Sáanchez, B. Reprint of: Review on urban tree modelling in CFD simulations: Aerodynamic, deposition and thermal effects. Urban For. Urban Green. 2018, 37, 56–64. [Google Scholar] [CrossRef]
- Pugh, T.A.M.; Robert, M.A.; Duncan, W.J.; Nicholas, H.C. Effectiveness of green infrastructure for improvement of air quality in urban street canyons. Environ. Sci. Technol. 2012, 46, 7692–7699. [Google Scholar] [CrossRef]
- Vos, P.E.J.; Maiheu, B.; Vankerkom, J.; Janssen, S. Improving local air quality in cities: To tree or not to tree? Environ. Pollut. 2013, 183, 113–122. [Google Scholar] [CrossRef]
- Chen, J.G.; Yu, X.X.; Sun, F.B.; Lun, X.X.; Fu, Y.L.; Jia, G.D.; Zhang, Z.M.; Liu, X.H.; Mo, L.; Bi, H.X. The Concentrations and Reduction of Airborne Particulate Matter (PM10, PM2.5, PM1) at Shelterbelt Site in Beijing. Atmosphere 2015, 6, 650–676. [Google Scholar] [CrossRef]
- Gromke, C.; Jamarkattel, N.; Ruck, B. Influence of roadside hedgerows on air quality in urban street canyons. Atmos. Environ. 2016, 139, 75–86. [Google Scholar] [CrossRef]
- Salmond, J.A.; Marc, T.; Sotiris, V.; Katherine, A.; Andrew, C.; Matthias, D.; Dirks, D.K.; Clare, H.; Shanon, L.; Helen, M.; et al. Health and climate related ecosystem services provided by street trees in the urban environment. Environ. Health 2016, 15, 36. [Google Scholar] [CrossRef] [PubMed]
- Sun, F.B.; Yin, Z.; Lun, X.X.; Zhao, Y.; Li, R.N.; Shi, F.T.; Yu, X.X. Deposition velocity of PM2.5 in the winter and spring above deciduous and coniferous forests in Beijing, China. PLoS ONE 2017, 9, e97723. [Google Scholar] [CrossRef] [PubMed]
- Matsuda, K.; Fujimura, Y.; Hayashi, K.; Takahashi, A.; Nakaya, K. Deposition velocity of PM2.5 sulfate in the summer above a deciduous forest in central Japan. Atmos. Environ. 2010, 44, 4582–4587. [Google Scholar] [CrossRef]
- Cheng, M.T.; Horng, C.L.; Lin, Y.C. Characteristics of Atmospheric Aerosol and Acidic Gases from Urban and Forest Sites in Central Taiwan. Bull. Environ. Contam. Toxicol. 2007, 79, 674–677. [Google Scholar] [CrossRef]
- Bi, S.B.; Chen, M.; Dai, F. The impact of urban green space morphology on PM2.5 pollution in Wuhan, China: A novel multiscale spatiotemporal analytical framework. Build. Environ. 2022, 221, 109340. [Google Scholar] [CrossRef]
- Chen, M.; Dai, F.; Yang, B.; Zhu, S.W. Effects of neighborhood green space on PM2.5 mitigation: Evidence from five megacities in China. Build. Environ. 2019, 156, 33–45. [Google Scholar] [CrossRef]
- 2022 Jilin Statistical Yearbook; Statistic Bureau of Jilin: Changchun, China, 2023.
- 2022 Changchun Statistical Yearbook; Changchun Bureau of Statistics: Changchun, China, 2023.
- 2022 China Statistical Yearbook; China Statistics Press: Beijing, China, 2023.
- Islam, M.N.; Rahman, K.-S.; Bahar, M.M.; Habib, M.A.; Ando, K.; Hattori, N. Pollution attenuation by roadside greenbelt in and around urban areas. Urban For. Urban Green. 2012, 11, 460–464. [Google Scholar] [CrossRef]
- Zhou, W.Q.; Gan, L.H.; Cadenasso, M.L. Does spatial configuration matter? Understanding the effects of land cover pattern on land surface temperature in urban landscapes. Landsc. Urban Plan. 2011, 102, 54–63. [Google Scholar] [CrossRef]
- Zhou, W.Q.; Wang, J.; Cadenasso, M.L. Effects of the spatial configuration of trees on urban heat mitigation: A comparative study. Remote Sens. Environ. 2017, 195, 1–12. [Google Scholar] [CrossRef]
- Azevedo Vieira, L.T.; Polisel, R.T.; Ivanauskas, N.M.; Shepherd, G.J.; Waechter, J.L.; Yamamoto, K.; Martins, F.R. Geographical patterns of terrestrial herbs: A new component in planning the conservation of the Brazilian Atlantic Forest. Biodivers. Conserv. 2015, 24, 2181–2198. [Google Scholar] [CrossRef]
- Liu, Z.R.; Hu, B.; Wang, L.L.; Wu, F.K.; Gao, W.K.; Wang, Y.S. Seasonal and diurnal variation in particulate matter (PM10 and PM2.5) at an urban site of Beijing: Analyses from a 9-year study. Environ. Sci. Pollut. Res. 2015, 22, 627–642. [Google Scholar] [CrossRef] [PubMed]
- Hua, S.Y.; Cai, X.; Sun, F.B.; Yu, X.X. Effect of roadside forest belts on particles including TSP, PM10, PM2.5, and PM1 under different seasons in Beijing, China. Nat. Environ. Polution Technol. 2016, 15, 1389–1394. [Google Scholar]
- Hansen, M.C.; Potapov, P.V.; Moore, R.M.; Hancher, M.; Turubanova, S.; Tyukavina, A.; Thau, D.; Stehman, S.; Goetz, S.; Loveland, T.R.; et al. High-Resolution Global Maps of 21st-Century Forest Cover Change. Science 2013, 342, 850–853. [Google Scholar] [CrossRef]
- Nyale, S.M.; Eze, C.P.; Akinyeye, R.O.; Gitari, W.M.; Akinyemi, S.A.; Fatoba, O.O.; Petrik, L.F. The leaching behaviour and geochemical fractionation of trace elements in hydraulically disposed weathered coal fly ash. J. Environ. Sci. Health A Tox. Hazard Subst. Environ. Eng. 2014, 49, 233–242. [Google Scholar] [CrossRef]
- Li, H.Y.; Zhang, Q.; Zhang, Q.; Chen, C.R.; Wang, L.T.; Wei, Z.; Zhou, S.; Parworth, C.; Zheng, B.; Canonaco, F.; et al. Wintertime aerosol chemistry and haze evolution in an extremely polluted city of the North China Plain: Significant contribution from coal and biomass combustion. Atmos. Chem. Phys. 2017, 17, 4751–4768. [Google Scholar] [CrossRef]
- Ding, A.Q.; Cenci, J.; Zhang, J.Z. Links between the pandemic and urban green spaces, a perspective on spatial indices of landscape garden cities in China. Sustain. Cities Soc. 2022, 85, 104046. [Google Scholar] [CrossRef]
- Jin, X.C.; Xiao, C.J.; Li, J.; Huang, D.H.; Yuan, G.J.; Yao, Y.G.; Wang, X.H.; Hua, L.; Zhang, G.Y.; Cao, L.; et al. Source apportionment of PM2.5 in Beijing using positive matrix factorization. J. Radioanal. Nucl. Chem. 2016, 307, 2147–2154. [Google Scholar] [CrossRef]
- Lou, C.R.; Liu, H.Y.; Li, Y.F.; Peng, Y.; Wang, J.; Dai, L.J. Relationships of relative humidity with PM2.5 and PM10 in the Yangtze River Delta, China. Environ. Monit. Assess. 2017, 189, 582. [Google Scholar] [CrossRef]
- Cheng, Y.; He, K.B.; Du, Z.Y.; Zheng, M.; Duan, F.K.; Ma, Y.L. Humidity plays an important role in the PM2.5 pollution in Beijing. Environ. Pollut. 2015, 197, 68–75. [Google Scholar] [CrossRef]
- Lima de Albuquerque, Y.; Berger, E.; Li, C.L.; Pardo, M.; George, C.; Rudich, Y.; Géloën, A. The Toxic Effect of Water-Soluble Particulate Pollutants from Biomass Burning on Alveolar Lung Cells. Atmosphere 2021, 12, 1023. [Google Scholar] [CrossRef]
- Bi, X.H.; Dai, Q.L.; Wu, J.H.; Zhang, Q.; Zhang, W.H.; Luo, R.X.; Cheng, Y.; Zhang, J.Y.; Wang, L.; Yu, Z.J.; et al. Characteristics of the main primary source profiles of particulate matter across China from 1987 to 2017. Atmos. Chem. Phys. 2019, 19, 3223–3243. [Google Scholar] [CrossRef]
- Cheng, Y.G.; Engling, G.; He, K.B.; Duan, F.K.; Ma, Y.L.; Du, Z.Y.; Liu, J.M.; Zheng, M.; Weber, R.J. Biomass burning contribution to Beijing aerosol. Atmos. Chem. Phys. 2013, 13, 8387–8434. [Google Scholar] [CrossRef]
- He, L.Y.; Lin, Y.; Huang, X.F.; Guo, S.; Xue, L.; Su, Q.; Hu, M.; Luan, S.J.; Zhang, Y.H. Characterization of high-resolution aerosol mass spectra of primary organic aerosol emissions from Chinese cooking and biomass burning. Atmos. Chem. Phys. 2010, 10, 11535–11543. [Google Scholar] [CrossRef]
- Li, W.J.; Shao, L.Y.; Buseck, P.R. Haze types in Beijing and the influence of agricultural biomass burning. Atmos. Chem. Phys. 2010, 10, 8119–8130. [Google Scholar] [CrossRef]
- Zhang, T.R.; Wooster, M.J.; Green, D.C.; Main, B. New field-based agricultural biomass burning trace gas, PM2.5, and black carbon emission ratios and factors measured in situ at crop residue fires in Eastern China. Atmos. Environ. 2015, 121, 22–34. [Google Scholar] [CrossRef]
- Shou, Y.K.; Huang, Y.L.; Zhu, X.Z.; Liu, C.Q.; Hu, Y.; Wang, H.H. A review of the possible associations between ambient PM2.5 exposures and the development of Alzheimer′s disease. Ecotoxicol. Environ. Saf. 2019, 174, 344–352. [Google Scholar] [CrossRef]
- Yáñez, M.A.; Baettig, R.; Cornejo, J.; Zamudio, F.; Guajardo, J.; Fica, R. Urban airborne matter in central and southern Chile: Effects of meteorological conditions on fine and coarse particulate matter. Atmos. Environ. 2017, 161, 221–234. [Google Scholar] [CrossRef]






| Landscape Index | Definition | Ecological Meaning | Data Range |
|---|---|---|---|
| Class Area (CA) | The area of the plaque type. | CA is the basis for measuring landscape components and calculating other indexes, and its value restricts the species abundance, quantity, food chain, and reproduction of secondary species, with a certain landscape type patch as the gathering place. | CA > 0 |
| Patch Area (AREA) | The extent of urban forest patch. | AREA is an ‘area and edge metric’ that summarizes the landscape as the mean of all patches in the landscape. It is a simple way to describe the composition of the landscape. | AREA > 0 |
| Shape Index (SHAPE) | Degree of regularity of patch shape. | The larger the value, the more complex the patch shape. When the value approaches 1, it indicates that the patches are aggregated to the maximum extent (such as square or near square). | SHAPE ≥ 1 |
| Fractal Dimension Index (FRAC) | The complexity of patch shape on a spatial scale. | The larger the value, the more complex the shape and the greater the ecological complexity. | 1 ≤ FRAC ≤ 2 |
| Perimeter–Area Ratio (PARA) | Average circumference-to-area ratio. | PARA is used to indicate the complexity of plaque shape | PARA > 0 |
| Related Circumscribing Circle (CIRCLE) | The degree of near-circular or near-strip shape of the forest patch. | A smaller value means the shape tends to be round, while a larger value indicates the patch tends to be strip-shaped. | 0 < CIRCLE < 1 |
| Perimeter–Area Fractal Dimension (PAFRAC) | The number of dimensions of the perimeter area. | The closer the value is to 1, the more regular the shape of the plaque or the simpler the plaque, indicating a greater degree of human disturbance. | 1 < PAFRAC < 2 |
| Scale (km) | Parameter | Max. | Min. | Mean | SD |
|---|---|---|---|---|---|
| 0.5 | CA (ha) | 23.49 | 10.33 | 17.47 | 6.34 |
| AREA | 1.48 | 0.13 | 0.42 | 0.41 | |
| SHAPE | 2.03 | 1.35 | 1.64 | 0.18 | |
| FRAC | 1.16 | 1.09 | 1.13 | 0.02 | |
| PARA | 3513.36 | 1688.23 | 2696.44 | 606.76 | |
| CIRCLE | 0.76 | 0.62 | 0.69 | 0.04 | |
| PAFRAC | 1.41 | 1.18 | 1.34 | 0.07 | |
| 1 | CA (ha) | 92.75 | 25.87 | 69.13 | 23.27 |
| AREA | 0.99 | 0.16 | 0.39 | 0.24 | |
| SHAPE | 2.04 | 1.49 | 1.66 | 0.17 | |
| FRAC | 1.16 | 1.11 | 1.13 | 0.02 | |
| PARA | 3595.56 | 2174.32 | 2752.07 | 450.92 | |
| CIRCLE | 0.73 | 0.64 | 0.68 | 0.03 | |
| PAFRAC | 1.41 | 1.24 | 1.35 | 0.06 | |
| 1.5 | CA (ha) | 210.69 | 99.39 | 151.09 | 34.65 |
| AREA | 3.59 | 0.18 | 0.70 | 1.09 | |
| SHAPE | 2.01 | 1.52 | 1.67 | 0.15 | |
| FRAC | 1.15 | 1.12 | 1.13 | 0.01 | |
| PARA | 3486.94 | 2035.08 | 2733.69 | 416.84 | |
| CIRCLE | 0.75 | 0.65 | 0.69 | 0.03 | |
| PAFRAC | 1.42 | 1.20 | 1.35 | 0.07 | |
| 2 | CA (ha) | 372.41 | 155.10 | 269.44 | 68.49 |
| AREA | 5.83 | 0.21 | 0.99 | 1.83 | |
| SHAPE | 2.13 | 1.54 | 1.71 | 0.17 | |
| FRAC | 1.15 | 1.13 | 1.14 | 0.01 | |
| PARA | 3375.29 | 1706.59 | 2713.96 | 454.14 | |
| CIRCLE | 0.75 | 0.67 | 0.69 | 0.03 | |
| PAFRAC | 1.42 | 1.20 | 1.36 | 0.07 | |
| 2.5 | CA (ha) | 589.43 | 207.79 | 423.88 | 127.70 |
| AREA | 5.61 | 0.22 | 0.99 | 1.74 | |
| SHAPE | 2.04 | 1.58 | 1.72 | 0.13 | |
| FRAC | 1.15 | 1.13 | 1.14 | 0.01 | |
| PARA | 3351.15 | 1722.03 | 2751.48 | 437.68 | |
| CIRCLE | 0.73 | 0.67 | 0.69 | 0.02 | |
| PAFRAC | 1.41 | 1.20 | 1.36 | 0.07 | |
| 3 | CA (ha) | 880.11 | 313.73 | 624.08 | 196.02 |
| AREA | 2.27 | 0.26 | 0.61 | 0.63 | |
| SHAPE | 1.82 | 1.61 | 1.70 | 0.06 | |
| FRAC | 1.15 | 1.13 | 1.14 | 0.01 | |
| PARA | 3285.24 | 2300.10 | 2820.48 | 258.09 | |
| CIRCLE | 0.74 | 0.67 | 0.69 | 0.02 | |
| PAFRAC | 1.42 | 1.22 | 1.36 | 0.06 | |
| 3.5 | CA (ha) | 1180.46 | 418.67 | 839.13 | 256.09 |
| AREA | 1.79 | 0.29 | 0.56 | 0.47 | |
| SHAPE | 1.81 | 1.64 | 1.71 | 0.06 | |
| FRAC | 1.15 | 1.13 | 1.14 | 0.01 | |
| PARA | 3195.88 | 2200.43 | 2837.10 | 266.79 | |
| CIRCLE | 0.74 | 0.67 | 0.69 | 0.02 | |
| PAFRAC | 1.41 | 1.25 | 1.37 | 0.05 | |
| 4 | CA (ha) | 1424.97 | 538.65 | 1031.86 | 298.54 |
| AREA | 1.39 | 0.31 | 0.50 | 0.34 | |
| SHAPE | 1.78 | 1.64 | 1.71 | 0.05 | |
| FRAC | 1.15 | 1.14 | 1.14 | 0.01 | |
| PARA | 3127.27 | 2250.73 | 2851.95 | 245.68 | |
| CIRCLE | 0.73 | 0.68 | 0.69 | 0.02 | |
| PAFRAC | 1.42 | 1.28 | 1.37 | 0.04 |
| Scale (km) | Parameter | Axis 1 | Axis 2 | Total Explanation Rate |
|---|---|---|---|---|
| 0.5 | Eigenvalue | 0.5442 | 0.0314 | 57.56 |
| Cumulative percentage of relevance | 81.31% | 48.35% | ||
| 1 | Eigenvalue | 0.4214 | 0.0622 | 48.36 |
| Cumulative percentage of relevance | 86.15% | 40.59% | ||
| 1.5 | Eigenvalue | 0.5448 | 0.0134 | 55.82 |
| Cumulative percentage of relevance | 76.56% | 47.91% | ||
| 2 | Eigenvalue | 0.5227 | 0.0033 | 52.61 |
| Cumulative percentage of relevance | 73.21% | 40.76% | ||
| 2.5 | Eigenvalue | 0.5047 | 0.0017 | 50.64 |
| Cumulative percentage of relevance | 71.64% | 38.00% | ||
| 3 | Eigenvalue | 0.5364 | 0.0040 | 54.04 |
| Cumulative percentage of relevance | 74.52% | 41.37% | ||
| 3.5 | Eigenvalue | 0.5571 | 0.0035 | 56.06 |
| Cumulative percentage of relevance | 75.37% | 56.28% | ||
| 4 | Eigenvalue | 0.5973 | 0.0003 | 59.75 |
| Cumulative percentage of relevance | 78.20% | 14.06% |
Disclaimer/Publisher’s Note: The statements, opinions and data contained in all publications are solely those of the individual author(s) and contributor(s) and not of MDPI and/or the editor(s). MDPI and/or the editor(s) disclaim responsibility for any injury to people or property resulting from any ideas, methods, instructions or products referred to in the content. |
© 2024 by the authors. Licensee MDPI, Basel, Switzerland. This article is an open access article distributed under the terms and conditions of the Creative Commons Attribution (CC BY) license (https://creativecommons.org/licenses/by/4.0/).
Share and Cite
Zhai, C.; Fang, N.; Xu, X.; Liu, B.; Bao, G.; Ren, Z.; Geng, R. Dynamic Changes of Air Particle Pollutants and Scale Regulation of Forest Landscape in a Typical High-Latitude City. Land 2024, 13, 1947. https://doi.org/10.3390/land13111947
Zhai C, Fang N, Xu X, Liu B, Bao G, Ren Z, Geng R. Dynamic Changes of Air Particle Pollutants and Scale Regulation of Forest Landscape in a Typical High-Latitude City. Land. 2024; 13(11):1947. https://doi.org/10.3390/land13111947
Chicago/Turabian StyleZhai, Chang, Ning Fang, Xuan Xu, Bingyan Liu, Guangdao Bao, Zhibin Ren, and Ruoxuan Geng. 2024. "Dynamic Changes of Air Particle Pollutants and Scale Regulation of Forest Landscape in a Typical High-Latitude City" Land 13, no. 11: 1947. https://doi.org/10.3390/land13111947
APA StyleZhai, C., Fang, N., Xu, X., Liu, B., Bao, G., Ren, Z., & Geng, R. (2024). Dynamic Changes of Air Particle Pollutants and Scale Regulation of Forest Landscape in a Typical High-Latitude City. Land, 13(11), 1947. https://doi.org/10.3390/land13111947

