Identifying the Complexity of the Food-Energy-Water Nexus Based on Emergy Analysis in Crop Production Systems of China
Abstract
1. Introduction
2. Materials and Methods
2.1. Framework
2.2. Methods
2.2.1. Ecological Flow of CPSs and Emergy Accounting of CPSs
2.2.2. Comprehensive Evaluation of CPSs Based on Emergy
2.2.3. Blue and Green Water Footprints
2.2.4. Quantifying the Interaction of the FEW Nexus
2.3. Data Sources
3. Results
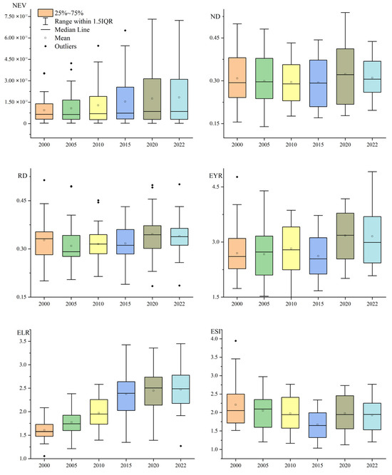
3.1. Stability-Development-Sustainability of Food Grains in the CPSs
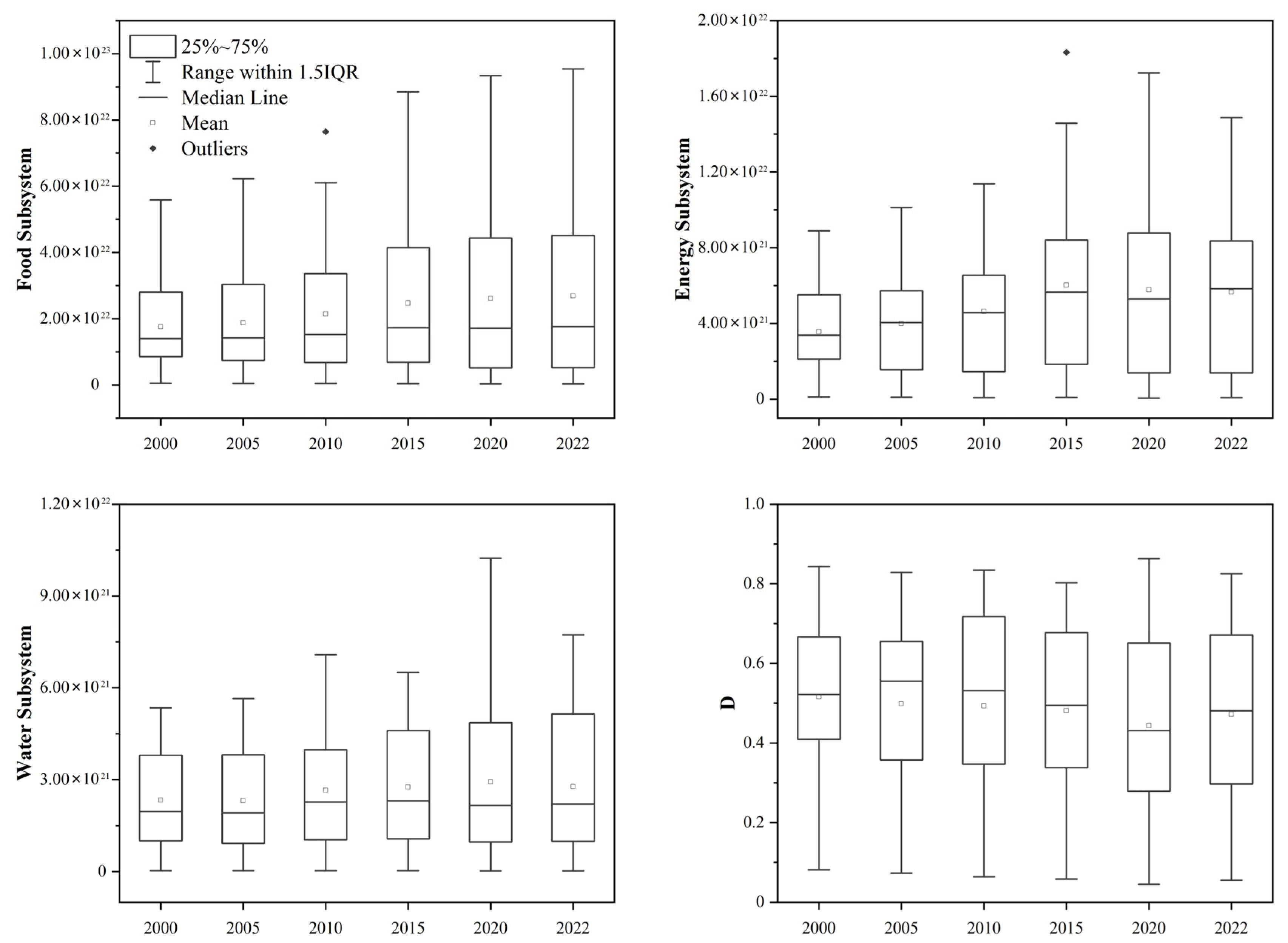
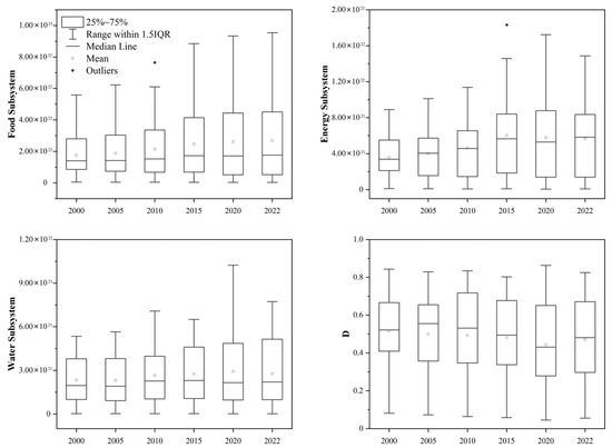
3.2. FEW Resources Emergy Accounting
3.2.1. Food Resources
3.2.2. Purchased Energy Resources
3.2.3. Green and Blue Water Resources
3.3. Coupling Coordination of FEW Nexus
4. Discussion
4.1. Interaction of FEW Resources
4.2. Food-Purchased Energy-Blue Water Systems and Subsystems
4.3. Regional FEW Nexus
4.4. Development Insights and Policy Implication
5. Conclusions
Supplementary Materials
Author Contributions
Funding
Data Availability Statement
Acknowledgments
Conflicts of Interest
References
- Viana, C.M.; Freire, D.; Abrantes, P.; Rocha, J.; Pereira, P. Agricultural land systems importance for supporting food security and sustainable development goals: A systematic review. Sci. Total Environ. 2022, 806, 150718. [Google Scholar] [CrossRef] [PubMed]
- Mondal, K.; Chatterjee, C.; Singh, R. Examining the coupling and coordination of water-energy-food nexus at a sub-national scale in India—Insights from the perspective of Sustainable Development Goals. Sustain. Prod. Consump. 2023, 43, 140–154. [Google Scholar] [CrossRef]
- Agrawal, A.; Bakshi, B.R.; Kodamana, H.; Ramteke, M. Multi-objective optimization of food-energy-water nexus via crops land allocation. Comput. Chem. Eng. 2024, 183, 183. [Google Scholar] [CrossRef]
- Di Martino, M.; Linke, P.; Pistikopoulos, E.N. A comprehensive classification of food-energy-water nexus optimization studies: State of the art. J. Clean. Prod. 2023, 420, 138293. [Google Scholar] [CrossRef]
- Ravilla, A.; Shirkey, G.; Chen, J.; Jarchow, M.; Stary, O.; Celik, I. Techno-economic and life cycle assessment of agrivoltaic system (AVS) designs. Sci. Total Environ. 2024, 912, 169274. [Google Scholar] [CrossRef]
- Voeroesmarty, C.J.; Campana, P.E.; Jewitt, G.; Lawford, R.; Wuebbles, D. Editorial: Food-energy-water systems: Achieving climate resilience and sustainable development in the 21st century. Front. Environ. Sci. 2024, 11, 1334892. [Google Scholar] [CrossRef]
- Meena, R.S.; Pradhan, G.; Kumar, S.; Lal, R. Using industrial wastes for rice-wheat cropping and food-energy-carbon-water-economic nexus to the sustainable food system. Renew. Sust. Energ. Rev. 2023, 187, 113756. [Google Scholar] [CrossRef]
- Ogbolumani, O.A.; Nwulu, N. Environmental impact assessment for a meta-model-based food-energy-water-nexus system. Energy Rep. 2024, 11, 218–232. [Google Scholar] [CrossRef]
- Tilt, J.; Babbar-Sebens, M.; Ramadas, M.; Kolagani, N.; Naren, U.S. Participatory Framing of a Conceptual Decision Model for a Hyperlocalized Food, Energy, and Water Nexus: A Case Study in Adaptive Management of Rural Water Systems in India. J. Water Resour. Plan. Manag.-ASCE 2024, 150, 05024001. [Google Scholar] [CrossRef]
- Maynard, R.; Burkhardt, J.; Quinn, J.C. Sustainability of lettuce production: A comparison of local and centralized food production. J. Clean. Prod. 2023, 428, 139224. [Google Scholar] [CrossRef]
- Hanes, R.J.; Gopalakrishnan, V.; Bakshi, B.R. Including nature in the food-energy-water nexus can improve sustainability across multiple ecosystem services. Resour. Conserv. Recycl. 2018, 137, 214–228. [Google Scholar] [CrossRef]
- Li, M.; Chen, Y.; Liu, D.; Xue, M.; Wang, Y.; Fu, Q. Synergetic management of the water-energy-food nexus for cropland ecosystems under climate change: Toward a multistakeholder-based systematic optimization approach. Renew. Energy 2024, 220, 119597. [Google Scholar] [CrossRef]
- Yuan, M.; Lo, S. Ecosystem services and sustainable development: Perspectives from the food-energy-water Nexus. Ecosyst. Serv. 2020, 46, 101217. [Google Scholar] [CrossRef]
- Fasel, M.; Brethaut, C.; Rouholahnejad, E.; Lacayo-Emery, M.A.; Lehmann, A. Blue water scarcity in the Black Sea catchment: Identifying key actors in the water-ecosystem-energy-food nexus. Environ. Sci. Policy 2016, 66, 140–150. [Google Scholar] [CrossRef]
- Karabulut, A.; Egoh, B.N.; Lanzanova, D.; Grizzetti, B.; Bidoglio, G.; Pagliero, L.; Bouraoui, F.; Aloe, A.; Reynaud, A.; Maes, J.; et al. Mapping water provisioning services to support the ecosystem -water-food-energy nexus in the Danube river basin. Ecosyst. Serv. 2016, 17, 278–292. [Google Scholar] [CrossRef]
- Nika, C.E.; Vasilaki, V.; Renfrew, D.; Danishvar, M.; Echchelh, A.; Katsou, E. Assessing circularity of multi -sectoral systems under the Water-Energy-Food-Ecosystems (WEFE) nexus. Water Res. 2022, 221, 118842. [Google Scholar] [CrossRef]
- Sanchez-Zarco, X.G.; Ponce-Ortega, J.M. Water-energy-food-ecosystem nexus: An optimization approach incorporating life cycle, security and sustainability assessment. J. Clean. Prod. 2023, 414, 137534. [Google Scholar] [CrossRef]
- Karabulut, A.A.; Crenna, E.; Sala, S.; Udias, A. A proposal for integration of the ecosystem-water-food-land-energy (EWFLE) nexus concept into life cycle assessment: A synthesis matrix system for food security. J. Clean. Prod. 2018, 172, 3874–3889. [Google Scholar] [CrossRef]
- Garcia, D.J.; Lovett, B.M.; You, F. Considering agricultural wastes and ecosystem services in Food-Energy-Water-Waste Nexus system design. J. Clean. Prod. 2019, 228, 941–955. [Google Scholar] [CrossRef]
- Van den Heuvel, L.; Blicharska, M.; Masia, S.; Susnik, J.; Teutschbein, C. Ecosystem services in the Swedish water -energy-food-land-climate nexus: Anthropogenic pressures and physical interactions. Ecosyst. Serv. 2020, 44, 101141. [Google Scholar] [CrossRef]
- Karabulut, A.A.; Udias, A.; Vigiak, O. Assessing the policy scenarios for the Ecosystem Water Food Energy (EWFE) nexus in the Mediterranean region. Ecosyst. Serv. 2019, 35, 231–240. [Google Scholar] [CrossRef]
- Markantonis, V.; Reynaud, A.; Karabulut, A.; Hajj, R.E.; Altinbilek, D.; Awad, I.M.; Bruggeman, A.; Constantianos, V.; Mysiak, J.; Lamaddalena, N.; et al. Can the Implementation of the Water-Energy-Food Nexus Support Economic Growth in the Mediterranean Region? The Current Status and the Way Forward. Front. Environ. Sci. 2019, 7, 84. [Google Scholar] [CrossRef]
- Yuan, M.H.; Chiueh, P.T.; Lo, S.L. Measuring urban food-energy-water nexus sustainability: Finding solutions for cities. Sci. Total Environ. 2020, 752, 141954. [Google Scholar] [CrossRef] [PubMed]
- Kibler, K.M.; Reinhart, D.; Hawkins, C.; Motlagh, A.M.; Wright, J. Food waste and the food-energy-water nexus: A review of food waste management alternatives. Waste Manag. 2018, 74, 52–62. [Google Scholar] [CrossRef] [PubMed]
- Mekonnen, M.M.; Hoekstra, A.Y. Blue water footprint linked to national consumption and international trade is unsustainable. Nat. Food. 2020, 1, 792–800. [Google Scholar] [CrossRef]
- Shahmohammadi, A.; Khoshbakht, K.; Veisi, H.; Nazari, M.R. Exploring Dynamics of Water, Energy, and Food Systems in Agricultural Landscapes Using Mental Modeling: A Case of Varamin Plain, Iran. Environ. Manag. 2024, 73, 34–50. [Google Scholar] [CrossRef]
- Simpson, G.B.; Jewitt, G.P.W.; Mabhaudhi, T.; Taguta, C.; Badenhorst, J. An African perspective on the Water-Energy-Food nexus. Sci. Rep. 2023, 13, 16842. [Google Scholar] [CrossRef]
- Variani, H.A.; Afshar, A.; Vahabzadeh, M.; Molajou, A.; Varyani, M.M.A. Development of a novel framework for agriculture simulation model for food-energy-water nexus analysis in watershed-scale. J. Clean. Prod. 2023, 429, 139492. [Google Scholar] [CrossRef]
- Long, H.; Ma, L.; Zhang, Y.; Qu, L. Multifunctional rural development in China: Pattern, process and mechanism. Habitat Int. 2022, 121, 102530. [Google Scholar] [CrossRef]
- Rodias, E.; Berruto, R.; Bochtis, D.; Busato, P.; Sopegno, A. A Computational Tool for Comparative Energy Cost Analysis of Multiple-Crop Production Systems. Energies 2017, 10, 831. [Google Scholar] [CrossRef]
- Tao, J.; Fu, M.; Sun, J.; Zheng, X.; Zhang, J.; Zhang, D. Multifunctional assessment and zoning of crop production system based on set pair analysis—A comparative study of 31 provincial regions in mainland China. Commun. Nonlinear Sci. Numer. Simul. 2014, 19, 1400–1416. [Google Scholar] [CrossRef]
- Guo, B.; Jin, X.; Yang, X.; Guan, X.; Lin, Y.; Zhou, Y. Determining the effects of land consolidation on the multifunctionlity of the cropland production system in China using a SPA-fuzzy assessment model. Eur. J. Agron. 2015, 63, 12–26. [Google Scholar] [CrossRef]
- Zampieri, M.; Weissteiner, C.J.; Grizzetti, B.; Toreti, A.; van den Berg, M.; Dentener, F. Estimating resilience of crop production systems: From theory to practice. Sci. Total Environ. 2020, 735, 139378. [Google Scholar] [CrossRef] [PubMed]
- Kumar, S.; Sieverding, H.; Lai, L.; Thandiwe, N.; Wienhold, B.; Redfearn, D.; Archer, D.; Ussiri, D.; Faust, D.; Landblom, D.; et al. Facilitating Crop-Livestock Reintegration in the Northern Great Plains. Agron. J. 2019, 111, 2141–2156. [Google Scholar] [CrossRef]
- Sulc, R.M.; Franzluebbers, A.J. Exploring integrated crop-livestock systems in different ecoregions of the United States. Eur. J. Agron. 2014, 57, 21–30. [Google Scholar] [CrossRef]
- Xing, J.; Song, J.; Liu, C.; Yang, W.; Duan, H.; Yabar, H.; Ren, J. Integrated crop-livestock-bioenergy system brings co-benefits and trade-offs in mitigating the environmental impacts of Chinese agriculture. Nat. Food. 2022, 3, 1052–1064. [Google Scholar] [CrossRef]
- Asiwe, J.A.N. Needs assessment of cowpea production practices, constraints and utilization in South Africa. Afr. J. Biotechnol. 2009, 8, 5383–5388. [Google Scholar]
- Tao, J.; Fu, M.; Zheng, X.; Zhang, J.; Zhang, D. Provincial level-based emergy evaluation of crop production system and development modes in China. Ecol. Indic. 2013, 29, 325–338. [Google Scholar] [CrossRef]
- Tripathy, S.K.; Mohapatra, S. Research and development of sabai grass (Eulaliopsis binata) in India. Range Manag. Agrofor. 2017, 38, 1–9. [Google Scholar]
- Farias, G.D.; Dubeux, J.C.B.; Savian, J.V.; Duarte, L.P.; Martins, A.P.; Tiecher, T.; Alves, L.A.; de Faccio Carvalho, P.C.; Bremm, C. Integrated crop-livestock system with system fertilization approach improves food production and resource-use efficiency in agricultural lands. Agron. Sustain. Dev. 2020, 40, 39. [Google Scholar] [CrossRef]
- Coulter, J.A. Sustainable Cropping Systems. Agronomy 2020, 10, 494. [Google Scholar] [CrossRef]
- Xu, E. Assessing the Feasibility of Regionalizing Grain Production in the State of New York Using Integrated Geo Spacial Technology. In Proceedings of the 2014 Second International Conference on Enterprise Systems (Es), Shanghai, China, 2–3 August 2014; pp. 3–6. [Google Scholar]
- Nilahyane, A.; Ghimire, R.; Acharya, B.S.; Schipanski, M.E.; West, C.P.; Obour, A.K. Overcoming agricultural sustainability challenges in water-limited environments through soil health and water conservation: Insights from the Ogallala Aquifer Region, USA. Int. J. Agric. Sustain. 2023, 21, 2211484. [Google Scholar] [CrossRef]
- Ariza-Flores, R.; Trujillo-Garcia, D.; Otero-Sanchez, M.A.; Sosa, E.C.; Avendano-Arrazate, C.H.; Galvez-Marroquin, L.A.; Iniguez, P.C. CO2 Assimilation Rate in Production Systems for Papaya Crops. Phyton-Int. J. Exp. Bot. 2021, 90, 933–947. [Google Scholar] [CrossRef]
- Reidsma, P.; Jeuffroy, M. Farming systems analysis and design for sustainable intensification: New methods and assessments. Eur. J. Agron. 2017, 82, 203–205. [Google Scholar] [CrossRef]
- Ozturk, I. The dynamic relationship between agricultural sustainability and food-energy-water poverty in a panel of selected Sub-Saharan African Countries. Energy Policy 2017, 107, 289–299. [Google Scholar] [CrossRef]
- Kliskey, A.A.; Williams, P.; Trammell, E.J.; Cronan, D.; Griffith, D.; Alessa, L.; Lammers, R.; de Haro-Marti, M.E.; Oxarango-Ingram, J. Building trust, building futures: Knowledge co-production as relationship, design, and process in transdisciplinary science. Front. Environ. Sci. 2023, 11, 1007105. [Google Scholar]
- Simonovic, S.P.; Breach, P.A. System Context: Global Change and the Food-Energy-Water Nexus. J. Water Resour. Plan. Manag.-ASCE 2023, 149, 04023064. [Google Scholar] [CrossRef]
- Tennenbaum, S.E. Odum-Tennenbaum-Brown calculus vs emergy and co-emergy analysis: A reply. Ecol. Model. 2015, 313, 333–340. [Google Scholar] [CrossRef]
- Nair, K.A.; Anand, K.B. Sustainability of alternative concretes: Emergy and life-cycle analysis. Proc. Inst. Civ. Eng.-Eng. Sustain. 2023, 177, 217–229. [Google Scholar] [CrossRef]
- Modiri, M.; Hasan, A.H.; Koloukhi, H.Z.; Rostami, F.; Tafazzoli, S.M.; Avami, A. Assessment of water-energy-emissions nexus in wastewater treatment plants using emergy analysis. Environ. Dev. Sustain. 2023, 25, 11905–11929. [Google Scholar] [CrossRef]
- Nimmanterdwong, P.; Chalermsinsuwan, B.; Piumsomboon, P. Optimizing utilization pathways for biomass to chemicals and energy by integrating emergy analysis and particle swarm optimization (PSO). Renew. Energy 2023, 202, 1448–1459. [Google Scholar] [CrossRef]
- Wang, J.; Su, D.; Wu, Q.; Li, G.; Cao, Y. Study on eco-efficiency of cultivated land utilization based on the improvement of ecosystem services and emergy analysis. Sci. Total Environ. 2023, 882, 163489. [Google Scholar] [CrossRef] [PubMed]
- Ghisellini, P.; Zucaro, A.; Viglia, S.; Ulgiati, S. Monitoring and evaluating the sustainability of Italian agricultural system. An emergy decomposition analysis. Ecol. Model. 2014, 271, 132–148. [Google Scholar] [CrossRef]
- Yao, X.; Chen, W.; Song, C.; Gao, S. Sustainability and efficiency of water-land-energy-food nexus based on emergy -ecological footprint and data envelopment analysis: Case of an important agriculture and ecological region in Northeast China. J. Clean. Prod. 2022, 379, 134854. [Google Scholar] [CrossRef]
- Fouladi, J.; Al-Ansari, T. Conceptualising multi-scale thermodynamics within the energy-water-food nexus: Progress towards resource and waste management. Comput. Chem. Eng. 2021, 152, 107375. [Google Scholar] [CrossRef]
- Sulis, F.; Agostinho, F.; Almeida, C.M.V.B.; Giannetti, B.F. Assessing the food recovery hierarchy concept from an eMergy accounting perspective: Validation and theoretical insights. Waste Manag. 2024, 190, 131–140. [Google Scholar] [CrossRef]
- Smith, G.; Block, L.B.; Ajami, N.; Pombo, A.; Velasco-Aulcy, L. Trade-offs across the water-energy-food nexus: A triple bottom line sustainability assessment of desalination for agriculture in the San quintin Valley, Mexico. Environ. Sci. Policy 2020, 114, 445–452. [Google Scholar] [CrossRef]
- Yu, L.; Liu, S.; Wang, F.; Liu, Y.; Li, M.; Wang, Q.; Dong, S.; Zhao, W.; Tran, L.P.; Sun, Y.; et al. Effects of agricultural activities on energy-carbon-water nexus of the Qinghai-Tibet Plateau. J. Clean. Prod. 2022, 331, 129995. [Google Scholar] [CrossRef]
- Bongaarts, J. The State of Food Security and Nutrition in the World 2020. Transforming food systems for affordable healthy diets. Popul. Dev. Rev. 2021, 47, 558. [Google Scholar] [CrossRef]
- Burki, T. Food security and nutrition in the world. Lancet Diabetes Endocrinol. 2022, 10, 622. [Google Scholar] [CrossRef]
- Guo, H.D.; Liu, Z.; Zhu, L.W. Digital Earth: Decadal experiences and some thoughts. Int. J. Digit. Earth 2010, 3, 31–46. [Google Scholar] [CrossRef]
- Malhi, Y.; Franklin, J.; Seddon, N.; Solan, M.; Turner, M.G.; Field, C.B.; Knowlton, N. Climate change and ecosystems: Threats, opportunities and solutions. Philos. Trans. R. Soc. B-Biol. Sci. 2020, 375, 20190104. [Google Scholar] [CrossRef] [PubMed]
- Xie, Y.; Ying, J.; Zou, J.; Li, R.; Zhang, H.; Shi, Q.; Li, Y. Habitat Protection in Urban-Rural Fringes through Coordinated Ecological Network Construction and Territorial Planning. Land 2024, 13, 935. [Google Scholar] [CrossRef]
- Chen, Z.; Zhang, M.; Dong, R.K.; Wang, S. Building Resilient Food Security Against Global Crisis: New Evidence from China. Food Energy Secur. 2024, 13, e70008. [Google Scholar] [CrossRef]
- FAO. CropWat, Model Item, OpenGMS. 2020. Available online: http://www.fao.org/land-water/databases-and-software/cropwat/en/ (accessed on 11 December 2023).
- Allen, R.G. Crop Evapotranspiration-Guidelines for Computing Crop Water Requirements; FAO Irrigation and Drainage Paper 56; FAO: Rome, Italy, 1998; p. 56. [Google Scholar]
- Sarkar, S.; Ganapathysubramanian, B.; Singh, A.; Fotouhi, F.; Kar, S.; Nagasubramanian, K.; Chowdhary, G.; Das, S.K.; Kantor, G.; Krishnamurthy, A.; et al. Cyber-agricultural systems for crop breeding and sustainable production. Trends Plant Sci. 2024, 29, 130–149. [Google Scholar] [CrossRef]
- Brouwer, F.; Vamvakeridou-Lyroudia, L.; Alexandri, E.; Bremere, I.; Griffey, M.; Linderhof, V. The Nexus Concept Integrating Energy and Resource Efficiency for Policy Assessments: A Comparative Approach from Three Cases. Sustainability 2018, 10, 4860. [Google Scholar] [CrossRef]
- Rehman, A.; Farooq, M.; Lee, D.; Siddique, K.H.M. Sustainable agricultural practices for food security and ecosystem services. Environ. Sci. Pollut. Res. 2022, 29, 84076–84095. [Google Scholar] [CrossRef]
- He, J.; Wan, Y.; Feng, L.; Ai, J.; Wang, Y. An integrated data envelopment analysis and emergy-based ecological footprint methodology in evaluating sustainable development, a case study of Jiangsu Province, China. Ecol. Indic. 2016, 70, 23–34. [Google Scholar] [CrossRef]
- Yang, Z.; Cheng, Q.; Liao, Q.; Fu, H.; Zhang, J.; Zhu, Y.; Lv, T.; Sun, Y.; Ma, J.; Li, N. Can reduced-input direct seeding improve resource use efficiencies and profitability of hybrid rice in China? Sci. Total Environ. 2022, 833, 155186. [Google Scholar] [CrossRef]
- Fess, T.L.; Benedito, V.A. Organic versus Conventional Cropping Sustainability: A Comparative System Analysis. Sustainability 2018, 10, 272. [Google Scholar] [CrossRef]
- Odum, H.T. Environmental Accounting: Emergy and Environmental Decision Making; Wiley: New York, NY, USA, 1996. [Google Scholar]
- Odum, H.T. Handbook of Emergy Evaluation; Center for Environmental Policy Environmental Engineering Sciences, University of Florida: Gainesville, FL, USA, 2000. [Google Scholar]
- Mekonnen, M.M.; Hoekstra, A.Y. Water footprint benchmarks for crop production: A first global assessment. Ecol. Indic. 2014, 46, 214–223. [Google Scholar] [CrossRef]
- Lovarelli, D.; Bacenetti, J.; Fiala, M. Water Footprint of crop productions: A review. Sci. Total Environ. 2016, 548, 236–251. [Google Scholar] [CrossRef] [PubMed]
- Xing, L.; Xue, M.; Hu, M. Dynamic simulation and assessment of the coupling coordination degree of the economy–resource–environment system: Case of Wuhan City in China. J. Environ. Manag. 2019, 230, 474–487. [Google Scholar] [CrossRef] [PubMed]
- Wei, X.; Zhang, Z.; Wang, P.; Tao, F. Recent patterns of production for the main cereal grains: Implications for food security in China. Reg. Environ. Chang. 2017, 17, 105–116. [Google Scholar] [CrossRef]
- Bai, X. Introduction to China’s Third National Agricultural Census. Available online: https://www.stats.gov.cn/english/pdf/202010/P020201012324332948860.pdf (accessed on 6 August 2024).
- Han, D.; Yu, D.; Cao, Q. Assessment on the features of coupling interaction of the food-energy-water nexus in China. J. Clean. Prod. 2020, 249, 119379. [Google Scholar] [CrossRef]
- Zhang, J.; Zang, C. Coupling coordinated development of the food-energy-water nexus and its relationship with landscape ecological security in China from a regional perspective. Energy Ecol. Environ. 2022, 7, 546–562. [Google Scholar] [CrossRef]
- Feng, Y.; Wang, J.; Ren, X.; Zhu, A.; Xia, K.; Zhang, H.; Wang, H. Impact of water utilization changes on the water-land-energy-carbon nexus in watersheds: A case study of Yellow River Basin, China. J. Clean. Prod. 2024, 443, 141148. [Google Scholar] [CrossRef]
- Fry, J.P.; Scroggins, R.E.; Garlock, T.M.; Love, D.C.; Asche, F.; Brown, M.T.; Nussbaumer, E.M.; Nguyen, L.; Jenkins, L.D.; Anderson, J.; et al. Application of the food-energy-water nexus to six seafood supply chains: Hearing from wild and farmed seafood supply chain actors in the United States, Norway, and Vietnam. Front. Sustain. Food Syst. 2024, 7, 1269026. [Google Scholar] [CrossRef]
- Li, H.; Jin, X.; Shan, W.; Han, B.; Zhou, Y.; Tittonell, P. Optimizing agricultural management in China for soil greenhouse gas emissions and yield balance: A regional heterogeneity perspective. J. Clean. Prod. 2024, 452, 142255. [Google Scholar] [CrossRef]
- Zhang, S.; Chen, W. China’s Energy Transition Pathway in a Carbon Neutral Vision. Engineering 2022, 14, 64–76. [Google Scholar] [CrossRef]
- Yuan, M.H.; Lo, S.L. Principles of food-energy-water nexus governance. Renew. Sustain. Energy Rev. 2022, 155, 111937. [Google Scholar] [CrossRef]
- Zhao, H. Chapter Fourteen—“Beautiful China”: “Chinese Dream” of Green Development. In The Economics and Politics of China’s Energy Security Transition; Zhao, H., Ed.; Academic Press: Cambridge, MA, USA, 2019; pp. 331–361. [Google Scholar]
- Xie, P.; La, Z.; Yang, X.; Huang, H.; Gao, X.; Wu, P. Spatial-temporal variations in blue and green water resources, water footprints and water scarcities in a large river basin: A case for the Yellow River basin. J. Hydrol. 2020, 590, 125222. [Google Scholar] [CrossRef]
- Deng, C.; Xu, T.; Zhang, L.; Yang, S.; Yin, H.; Guo, J.; Si, L.; Kang, R.; Kaufmann, H.J. Review of the Water-Land-Food- Carbon Nexus Focused on Regional Low-Carbon and High-Quality Agricultural Development. Water 2024, 16, 1770. [Google Scholar] [CrossRef]
- Yu, B.H.; Lu, C.H. Change of Cultivated Land and Its Implications on Food Security in China. Chin. Geogr. Sci. 2006, 16, 299–305. [Google Scholar] [CrossRef]
- Campbell, D.E.; Erban, L.E. A Reexamination of the Emergy Input to a System from the Wind. Emergy Synth. 2017, 9, 13–20. [Google Scholar]
- Brown, M.T.; Ulgiati, S. Emergy assessment of global renewable sources. Ecol. Model. 2016, 339, 148–156. [Google Scholar] [CrossRef]
- Brandt-Williams, S.L. Folio #4 (2nd printing) Emergy of Florida Agriculture. 2002. Available online: https://archive.epa.gov/aed/html/collaboration/web/pdf/folio4.pdf (accessed on 11 December 2023).
- Xiong, L.; Shah, F.; Zhao, Y.; Li, Z.; Zha, X.; Ye, M.; Wu, W. Sustainability analysis of irrigated and rainfed wheat production systems under varying levels of nitrogen fertilizer through coupling of emergy accounting and life cycle assessment. J. Clean. Prod. 2024, 447, 141423. [Google Scholar] [CrossRef]
- Lyu, Y.; Yang, X.; Pan, H.; Zhang, X.; Cao, H.; Ulgiati, S.; Wu, J.; Zhang, Y.; Wang, G.; Xiao, Y. Impact of ferti-lization schemes with different ratios of urea to controlled release nitrogen fertilizer on environmental sus-tainability, nitrogen use efficiency and economic benefit of rice production: A study case from Southwest China. J. Clean. Prod. 2021, 293, 126198. [Google Scholar] [CrossRef]
- Coppola, F.; Bastianoni, S.; Ostergard, H. Sustainability of bioethanol production from wheat with recycled residues as evaluated by Emergy assessment. Biomass Bioenerg. 2009, 33, 1626–1642. [Google Scholar] [CrossRef]
- Brown, M.T.; Viglia, S.; Love, D.; Asche, F.; Nussbaumer, E.; Fry, J.; Hilborn, R.; Neff, R. Quantifying the en-vironmental support to wild catch Alaskan sockeye salmon and farmed Norwegian Atlantic Salmon: An emergy approach. J. Clean. Prod. 2022, 369, 133379. [Google Scholar] [CrossRef]
- Lu, H.; Bai, Y.; Ren, H.; Campbell, D.E. Integrated emergy, energy and economic evaluation of rice and vegeta-ble production systems in alluvial paddy fields: Implications for agricultural policy in China. J. Environ. Manag. 2010, 91, 2727–2735. [Google Scholar] [CrossRef]
- Shang, K.; La, Z.; Yang, X.; Yue, Z.; Zhao, D.; Wu, P. Emergy analysis of the blue and green water resources in crop production systems. J. Clean. Prod. 2021, 319, 128666. [Google Scholar] [CrossRef]
- Wang, X.; Chen, Y.; Sui, P.; Gao, W.; Qin, F.; Zhang, J.; Wu, X. Emergy analysis of grain production systems on large-scale farms in the North China Plain based on LCA. Agric. Syst. 2014, 128, 66–78. [Google Scholar] [CrossRef]
- Garratt, J.R. The Atmospheric Boundary Layer; Cambridge University Press: Cambridge, UK, 1992. [Google Scholar]
- Lou, B.; Ulgiati, S. Identifying the environmental support and constraints to the Chinese economic growth-An application of the Emergy Accounting method. Energy Policy. 2013, 55, 217–233. [Google Scholar] [CrossRef]
- Yang, F.; Xu, Y.; Cui, Y.; Meng, Y.; Dong, Y.; Li, R.; Ma, Y. Changes in soil organic matter content in the plough layer of Chinese farmland in the last 30 years. J. Soil Sci. 2017, 54, 1047–1056. (In Chinese) [Google Scholar]









| Item | Indicators | Equation | Description |
|---|---|---|---|
| Stability | Net ecological value | NEV = Y − I | Ecological benefits |
| Natural resource dependency | ND = Nr/I = (AN + ON)/(AN + ON + AP + OP) | Reliance of the CPSs | |
| Development | Renewable resource dependency | RD = Rr/I | System capacity |
| Investment ratio | EYR = Y/P | Enhanced competitiveness | |
| Sustainability | Ecological carrying capacity | ELR = Nr/Rr | Competitiveness |
| Ecological sustainability | ESI = EYR/ELR | Resilient and stable |
| Stage | D | Classification | Level |
|---|---|---|---|
| Extreme Dissonance | 0 ≤ D < 0.1 | Extreme dysfunctional recession | I |
| 0.1 ≤ D < 0.2 | Severe dysfunctional recession | II | |
| Basic Dissonance | 0.2 ≤ D < 0.3 | Moderate dysfunctional recession | III |
| 0.3 ≤ D < 0.4 | Mild dysfunctional recession | IV | |
| Co-ordinated | 0.4 ≤ D < 0.5 | On the verge of a dysfunctional recession | V |
| 0.5 ≤ D < 0.6 | Barely coordinated development | VI | |
| Medium Co-ordination | 0.6 ≤ D < 0.7 | Primary coordinated development | VII |
| 0.7 ≤ D < 0.8 | Intermediate coordinated development | VIII | |
| Highly Coordinated | 0.8 ≤ D < 0.9 | Well-coordinated development | IX |
| 0.9 ≤ D ≤ 1.0 | Quality coordinated development | X |
Disclaimer/Publisher’s Note: The statements, opinions and data contained in all publications are solely those of the individual author(s) and contributor(s) and not of MDPI and/or the editor(s). MDPI and/or the editor(s) disclaim responsibility for any injury to people or property resulting from any ideas, methods, instructions or products referred to in the content. |
© 2024 by the authors. Licensee MDPI, Basel, Switzerland. This article is an open access article distributed under the terms and conditions of the Creative Commons Attribution (CC BY) license (https://creativecommons.org/licenses/by/4.0/).
Share and Cite
Guo, B.; Cheng, T.; Sun, T.; Tong, Y.; Nian, S. Identifying the Complexity of the Food-Energy-Water Nexus Based on Emergy Analysis in Crop Production Systems of China. Land 2024, 13, 1756. https://doi.org/10.3390/land13111756
Guo B, Cheng T, Sun T, Tong Y, Nian S. Identifying the Complexity of the Food-Energy-Water Nexus Based on Emergy Analysis in Crop Production Systems of China. Land. 2024; 13(11):1756. https://doi.org/10.3390/land13111756
Chicago/Turabian StyleGuo, Beibei, Tingting Cheng, Tingting Sun, Yi Tong, and Sifeng Nian. 2024. "Identifying the Complexity of the Food-Energy-Water Nexus Based on Emergy Analysis in Crop Production Systems of China" Land 13, no. 11: 1756. https://doi.org/10.3390/land13111756
APA StyleGuo, B., Cheng, T., Sun, T., Tong, Y., & Nian, S. (2024). Identifying the Complexity of the Food-Energy-Water Nexus Based on Emergy Analysis in Crop Production Systems of China. Land, 13(11), 1756. https://doi.org/10.3390/land13111756
