Next Article in Journal
Vegetation Dynamics Studies Based on Ellenberg and Landolt Indicator Values: A Review
Next Article in Special Issue
Spatial Optimization and Sustainable Development of Land Use
Previous Article in Journal
Is LCZ Enough? Physical Properties, Thermal Environments and Cooling Effects of Green Roofs in High-Density Urban Industrial Blocks
Previous Article in Special Issue
Dynamics of the Oasis–Desert–Impervious Surface System and Its Mechanisms in the Northern Region of Egypt
 
 
Font Type:
Arial Georgia Verdana
Font Size:
Aa Aa Aa
Line Spacing:
Column Width:
Background:
Article

The Gains and Losses of Cultivated Land Requisition–Compensation Balance: Analysis of the Spatiotemporal Trade-Offs and Synergies in Ecosystem Services Using Hubei Province as a Case Study

1
College of Public Administration, Huazhong University of Science & Technology, Wuhan 430074, China
2
School of Urban Economics and Public Administration, Capital University of Economic and Business, Beijing 100000, China
*
Author to whom correspondence should be addressed.
Land 2024, 13(10), 1641; https://doi.org/10.3390/land13101641
Submission received: 14 September 2024 / Revised: 6 October 2024 / Accepted: 8 October 2024 / Published: 9 October 2024
(This article belongs to the Special Issue Spatial Optimization and Sustainable Development of Land Use)

Abstract

The cultivated land requisition–compensation balance (CLRCB) policy is an important policy implemented by China to address the reduction in cultivated land and ensure food security. Although this policy has alleviated the loss of cultivated land quantity, it has had complex and diverse impacts on ecosystem services. Taking Hubei Province as the study area, this research explores the impact of the implementation of the CLRCB on ecosystem services and simulates the changes in ecosystem services in the study area in 2030 and the impact of CLRCB on the interactions among various services. The results show the following: (1) from 2000 to 2020, Hubei Province achieved a balance in the quantity of cultivated land through excessive compensation but failed to reach the goals of balancing cultivated land yield and productivity. (2) During the requisition–compensation process, habitat quality decreased by 501,862, and carbon storage lost 1.3 × 107 t, indicating negative ecological impacts; soil conservation services increased by 184.2 × 106 t, and water production increased by 21.29 × 108 m3. Within the cultivated land requisition–compensation area, habitat quality and carbon storage, as well as soil conservation and water production, exhibited synergistic relationships, while the remaining pairs of ecosystem services showed trade-off relationships. (3) The simulation of ecosystem services in 2030 indicates that soil conservation and water production are highest under the natural development scenario, while habitat quality and carbon storage are highest under the ecological protection scenario, both of which are superior to the urban development scenario. Under the natural development scenario, the trade-off and synergistic relationships among various ecosystem services in the cultivated land requisition–compensation area remain unchanged, while these relationships change significantly under the other two scenarios. This study emphasizes that future CLRCB should not only focus on maintaining the quantity of cultivated land but also consider the comprehensive benefits of ecosystem services, in order to achieve sustainable land-use management and ecological conservation.

1. Introduction

China has experienced rapid urbanization and industrialization over the past few decades, leading to the occupation of a large amount of cultivated land [1,2]. According to statistics, from 1957 to 1996, China’s net annual reduction in cultivated land exceeded 6 million mu (1 mu = 666.66 m2); from 1996 to 2008, the net annual reduction exceeded 10 million mu; from 2009 to 2019, the net annual reduction exceeded 11 million mu. About 80% of the lost cultivated land was occupied by construction land, driven by population growth and the expansion of built-up areas [3]. Cultivated land is the foundation of grain production and a cornerstone for ensuring national food security as well as economic and social stability. China is the world’s largest producer and consumer of grain, and food security has long been a critical issue of high concern for both the government and society. The reduction in arable land leads to a decline in food production potential and increases dependence on external supplies, posing a long-term threat to national food security. In recent decades, climate disasters such as droughts and floods have resulted in decreased food production, causing uncertainty and price volatility in global food markets. In the context of globalization and climate change, the protection of cultivated land is of significant practical importance for enhancing agricultural sustainability, mitigating the impacts of extreme weather on crops, and ensuring the stability of the food supply. To address the conflict between urban expansion and cultivated land protection, and to ensure national food security, the Chinese government began implementing the cultivated land requisition–compensation balance policy in 1997 [4]. This policy requires that when cultivated land is occupied by construction projects, an equivalent area and quality of cultivated land must be added through reclamation, rehabilitation, or improvement to maintain the dynamic balance of the total amount of cultivated land [5,6]. The core concept of the CLRCB policy is “occupy one, supplement one”, meaning that for every mu of cultivated land occupied, one mu of cultivated land must be supplemented [7]. In the early stages of policy implementation, the balance was mainly achieved by increasing the area of cultivated land in agriculturally suitable regions. As the policy advanced, more places began to supplement cultivated land through land consolidation and reclamation projects. Despite the CLRCB achieving some success in maintaining the total amount of cultivated land, it has also gradually revealed some shortcomings. For instance, both the government and farmers show limited enthusiasm for enhancing the productivity of newly compensated land; newly added cultivated land often suffers from severe soil pollution and a relative decline in biodiversity; the use of ecological land to compensate for cultivated land has led to the degradation of ecosystem services.
Ecosystem services refer to the various direct or indirect benefits provided to humans by ecosystems and their components, including food provision, water regulation, soil conservation, and biodiversity maintenance [8]. Westman published a paper in Science entitled ‘How Much Are Nature’s Services Worth?’, marking the modern historical origin of the concept of ESs [9]. In 1997, Daily proposed that ecosystem services refer to the conditions and processes provided by natural ecosystems and their species to supply and maintain human existence, as well as the products or services directly or indirectly obtained by the functions of ecosystems, and classified ecosystem services into 13 categories, including food production, biodiversity, and climate regulation [10]. In 2005, the Millennium Ecosystem Assessment reported that 15 out of 24 ecosystem services, or about 60 percent, were in decline [11]. Research shows that changes in land-use patterns have caused the degradation or disappearance of ecosystem services worldwide [12,13]. In Austria, the intensification of agricultural land use and urban sprawl have primarily led to declining ecosystem services in the lowlands [14]. In the Upper Blue Nile Basin, the transformation of bare land, cropland, and grassland to forest and shrubland improved habitat quality, carbon storage, and soil conservation, but decreased water yield [15]. Land-use change is considered one of the major drivers of changes in ecosystem services [16,17]. The conversion between different land-use types can significantly alter ecosystem structure and processes, thereby affecting the supply of ecosystem services [18]. Cultivated land, as an important component of land use, significantly impacts regional ecosystem services through its quantity and spatial distribution changes [19].
Since the implementation of the CLRCB, China has maintained a dynamic balance in its cultivated land reserves. However, while compensatory cultivated land improves the reserve of cultivated land resources, it also has a series of impacts on the ecological environment [20,21]. During the policy implementation, because the supplementary cultivated land is often located in marginal or ecologically fragile areas, it may lead to the weakening or loss of ecosystem service functions [22]. According to previous studies, the CLRCB may lead to a weakening of water regulation functions. The occupied cultivated land is usually located in plains and lowlands rich in water resources, while the supplementary cultivated land is often in marginal or arid and semi-arid regions, which have poorer water supply capacity. This regional disparity leads to uneven water resource utilization, further exacerbating water shortage problems [23,24]. Secondly, soil conservation functions may also be affected [25]. Extensive land consolidation activities, such as leveling land and constructing terraces, often destroy the original soil structure, increasing the risk of soil erosion. Especially in sloped and mountainous areas, excessive development and consolidation can easily trigger soil and water loss, leading to soil degradation and reduced productivity [26]. During the reclamation and occupation of cultivated land, a large amount of vegetation is cleared, and soil organic matter is destroyed, leading to a reduction in carbon storage and increased greenhouse gas emissions, which is detrimental to climate change mitigation [27]. Studies have shown that under the scenario of cultivated land requisition-compensation balance, the carbon storage loss caused by cultivated land expansion is almost equal to that caused by urban expansion. The main reason for carbon storage loss due to cultivated land expansion is the massive loss of forests and wetlands [28]. Furthermore, the CLRCB also significantly impacts biodiversity [29,30,31]. Many occupied cultivated lands are located in ecologically sensitive areas with high biodiversity, while newly reclaimed or rehabilitated cultivated lands often lack diverse vegetation cover. This loss of biodiversity not only affects the stability of ecosystems but also has long-term negative impacts on local agricultural production and the ecological environment [22].
A significant amount of research has explored the impact of the cultivated land requisition–compensation balance policy on ecosystem services [5,32,33]. The coordination and conflict between cultivated land protection and ecosystem services have been a focal point of study, revealing complex trade-offs and synergies among ecosystem services. This means that enhancing one type of service function may come at the expense of another, or multiple service functions may improve simultaneously [34,35]. For instance, there is often a trade-off between food production and carbon sequestration services, as farmland expansion leads to a reduction in natural vegetation, thereby decreasing regional carbon sequestration capacity [36]. Conversely, there is a synergy between water source conservation and biodiversity protection; increasing forest cover promotes soil and water conservation and maintains biodiversity [37]. However, most studies have focused on the assessment of single ecosystem services, lacking an in-depth analysis of the comprehensive trade-offs and synergies among multiple ecosystem services [38,39]. Additionally, existing research often employs static analysis methods, lacking systematic evaluation of the dynamic changes and long-term effects during the implementation of the CLRCB. The impact of this policy on ecosystem services is complex and multidimensional. As China is currently in a critical period of ecological civilization construction, scientifically evaluating the impact of the CLRCB on ecosystem services is crucial for guiding policy adjustments, reforms, and innovations.
Given the aforementioned issues, this study aims to systematically evaluate the impact of the CLRCB on ecosystem services in Hubei Province. Located in central China, Hubei is an important agricultural production and ecological function area, making the implementation of its cultivated land requisition–compensation balance policy both representative and typical. This study will employ remote sensing image analysis and ecosystem service assessment models to investigate the changes in the area and quality of cultivated land in Hubei Province before and after the policy implementation, and the specific impacts of these changes on ecosystem services (habitat quality, carbon storage, soil conservation, and water yield). The main objectives of this study include the following: (1) Analyzing the spatiotemporal changes in the quantity and quality of cultivated land during the implementation of the cultivated land requisition–compensation balance policy in Hubei Province. (2) Assessing the impact of these changes on ecosystem service functions. (3) Conducting a spatiotemporal quantitative evaluation of the trade-off and synergy strength of ecosystem services in the requisition–compensation areas. (4) Evaluating the changes and interactions of ecosystem services under future climate scenarios in the study area and identifying issues in the policy implementation. It is hoped that this study will provide valuable references for policymakers, promote the coordinated development of cultivated land protection and ecological environment protection, and drive regional sustainable development.

2. Study Area

Hubei Province is located in the central heartland of China, in the middle reaches of the Yangtze River. The province’s terrain is generally mountainous to the east, west, and north, with low plains in the middle, forming an incomplete basin that opens slightly to the south (as shown in Figure 1a). Of the province’s total area, mountains account for 56%, hills for 24%, and plains and lake areas for 20%. Surrounding the central plains are the Dabie Mountains, Qinba Mountains, Wuling Mountains, and Mufu Mountains. The central plains have fertile cultivated land and diverse resources, with a dense network of rivers and lakes.
Hubei Province is predominantly covered by forest land and cultivated land, with significant areas of urban and rural construction land and water bodies. According to the third national land survey of Hubei Province, the province has 4.7686 million hectares of cultivated land, mainly distributed in the plain and low hill areas. Forest land covers 9.2801 million hectares, grassland covers 0.0894 million hectares, urban and rural land and industrial and mining land covers 1.4115 million hectares, and water bodies and water conservancy facilities cover 1.9837 million hectares (spatial distribution is shown in Figure 1b). The overall land-use pattern of the province can be summarized as “five parts forest land, three parts farmland, one part urban and rural, and one part water”.

3. Methods and Data

3.1. Research Framework

Figure 2 illustrates the technical route of this study. The research is divided into several key sections:
Implementation effects analysis: The initial phase involves analyzing the effects of the CLRCB by overlaying land-use maps from 2000, 2010, and 2020, the land-use transfer matrix is calculated to determine the quantity and spatial distribution of cultivated land requisition and compensation for the periods 2000–2010, 2010–2020, and 2000–2020. Subsequently, the cultivated land production potential model is utilized to assess the quality changes in requisitioned and compensated cultivated land.
Impact on ecosystem services: this phrase evaluates the policy’s impact on ecosystem services and the trade-offs and synergies between various services. The InVEST model’s habitat quality, carbon storage, soil retention, and water yield modules are employed to assess the quantity changes and spatial distribution of four ecosystem services in the study area [40,41]. Changes in ecosystem services on the requisitioned and compensated cultivated land plots are extracted and visualized spatially at the county level. The Spearman correlation coefficients among the ecosystem services in the requisition–compensation areas are calculated to analyze their trade-off and synergy strength. Bivariate spatial autocorrelation is used to calculate the spatial distribution of ecosystem service trade-offs and synergies.
Land-use scenario simulation: the following section simulates the land-use scenarios in the study area for 2030. Three scenarios are set: natural development, ecological protection, and urban development. The Markov model is applied to calculate future land-use demand, and the PLUS model is employed to simulate the spatial distribution of land use [42].
Future impact assessment: the final phase calculates the changes in ecosystem services under future land-use and climate scenarios, along with the changes in trade-offs and synergies in the cultivated land requisition–compensation areas.

3.2. Methods

3.2.1. Measurement of Cultivated Land Requisition and Compensation Quantity and Quality

1.
Measurement of cultivated land quantity.
Land-use type maps of the study area from different periods are intersected to obtain the land-use transfer matrix. This matrix reveals the changes in the quantity of cultivated land requisition and compensation in Hubei Province for the periods 2000–2010, 2010–2020, and 2000–2020. The balance of cultivated land quantity is measured by calculating the cultivated land quantity balance index, using the following formula:
Q C = A s u p A o c c
where Q C is the cultivated land quantity balance index, A s u p is the amount of compensated cultivated land, representing the area of forest land, grassland, water bodies, construction land, and unused land converted to cultivated land during the study period; and A o c c is the amount of requisitioned cultivated land, representing the area of cultivated land occupied by urban construction land during the study period. If Q C ≥ 1, it indicates that the study area has achieved a balance in the quantity of cultivated land requisition and compensation; otherwise, it has not achieved quantity balance.
2.
Measurement of cultivated land quality.
The quality of cultivated land directly relates to its production potential, which refers to the biological yield or harvestable yield per unit area determined by natural factors such as light, temperature, water, soil, and nutrients. This study represents the quality change in requisitioned and compensated cultivated land by calculating the changes in their production potential. To minimize the impact of climate change, the average production potential over four years is used to focus on the impact of changes in requisition and compensation on the total productivity of cultivated land. The formula is as follows:
A P i = P j , i m
R w = P A w P B w
R U w = U A w U B w
where A P i (kg/hm2) represents the average production potential of grid cell i , P j , i (kg/hm2) represents the farmland production potential of grid cell i in the years j . The data are sourced from the Crop Potential Yield dataset of the Resource and Environment Science and Data Center, Chinese Academy of Sciences. P A w (kg) and P B w (kg) represent the total productivity of compensated and requisitioned cultivated land during period w , respectively, obtained by multiplying the area of compensated or requisitioned land plots by the farmland production potential of those plots. U A w (kg/hm2) and U B w (kg/hm2) represent the average potential yield of compensated and requisitioned cultivated land during period w , respectively. R w and R U w can be used to represent the cultivated land productivity balance index and the potential yield balance index for a specific period. If R w 1 , it indicates that the productivity balance of CLRCB is achieved; otherwise, it is not met. If R U w 1 , it indicates that the yield balance of CLRCB is achieved; otherwise, the yield balance is not met.

3.2.2. Measurement of Ecosystem Services before and after Cultivated Land Requisition and Compensation

There are numerous types of ecosystem services. Based on the specific conditions of Hubei Province, this study focuses on ecosystem services related to cultivated land, including habitat quality, carbon storage, soil retention, and water yield. The values of these ecosystem services are calculated using four corresponding modules of the InVEST model [43,44].
  • Habitat quality (HQ).
The InVEST habitat quality module estimates habitat quality by comprehensively considering factors such as the impact distance and intensity of threats and the sensitivity of different habitat types to these threats. This estimation reflects the state of biodiversity and the potential of the ecosystem to provide conditions for species survival and reproduction. The formula for calculating habitat quality is as follows:
H Q x j = H j × 1 D x j z D x j z + k z
where H Q x j is the habitat quality of grid cell x with land-use type j, ranging from [0,1]; higher values indicate better habitat quality. H j is the habitat suitability of land-use type j . D x j z is the habitat stress level of grid cell x . k is the half-saturation constant. z is the scale constant.
2.
Carbon storage (CS).
The basic assumption for calculating carbon storage in the InVEST model is that each land cover type corresponds to a total carbon density composed of belowground biomass carbon density, aboveground biomass carbon density, dead organic matter carbon density, and soil organic matter carbon density. Belowground biomass carbon density and aboveground biomass carbon density are collectively referred to as biomass carbon density. Due to the relative insignificance and difficulty of measuring dead organic matter carbon density, this form of carbon density is not considered in this study. The formula for calculating carbon storage is as follows:
C i = C i a b o v e + C i b e l o w + C i s o i l
C i t o t a l = C i × A i
where C i is the total carbon density of land cover type i (t/hm2). C i a b o v e is the aboveground biomass carbon density of land cover type i (t/hm2). C i b e l o w is the belowground biomass carbon density of land cover type i (t/hm2). C i s o i l is the soil organic matter carbon density of land cover type i (t/hm2). C i t o t a l is the total carbon storage of land cover type i (t). A i is the area of land cover type i (hm2). The carbon density values in this study are defined based on the referenced literature [31,45].
3.
Soil retention (SR).
Soil retention (SR) describes the ability of different ecosystems to control soil erosion and prevent soil loss. The soil retention module in the InVEST model is based on the Universal Soil Loss Equation (USLE). It calculates the soil retention amount by determining the difference between potential and actual soil erosion, which reflects the amount of soil erosion increased or decreased due to vegetation cover or soil conservation measures. The calculation formulas are as follows:
R K L S i = R i × K i × L S i
U L S E i = R i × K i × L S i × C i × P i
where R K L S i represents the potential soil erosion amount of the i-th grid cell (t). U L S E i represents the actual soil erosion amount of the i-th grid cell (t). R i , K i , L S i , C i , and P i are the rainfall erosivity factor (MJ mm hm−2 h−1 a−1), soil erodibility factor (t h MJ−1 mm−1), slope length and steepness factor, vegetation cover factor, and support practice factor of the i-th grid cell, respectively. The K i factor is calculated using the method from the EPIC model, and the biophysical attribute table refers to Wang et al., 2020 [46].
4.
Water yield (WY).
The calculation of water yield in the InVEST model is based on a simplified hydrological cycle model that uses a water balance approach. The water yield for each grid cell is calculated as the amount of rainfall minus the actual evapotranspiration. The more water yield, the greater the water provisioning service. The annual water yield Y(x) for different land-use type grid cells is calculated as follows:
Y x = 1 A E T x P x × P x
where Y x is the annual water yield of grid cell x (mm). A E T x is the annual actual evapotranspiration of grid cell x (mm). P x is the annual precipitation of grid cell x (mm). Model parameters are referenced from the InVEST user guide.

3.2.3. Identification of Ecosystem Service Trade-Offs and Synergies

Trade-offs and synergies represent the interactions between different ecosystem services. Trade-offs occur when there is an inverse relationship between services, while synergies occur when services change in the same direction. If there is no apparent response relationship, the services are considered uncorrelated. This study uses the Spearman correlation coefficient method in SPSS 27 software to identify the trade-offs and synergies between ecosystem services resulting from CLRCB on a regional scale. Using a 5 × 5 km grid as the unit, the correlation coefficients of changes in ecosystem services caused by CLRCB during 2000–2010, 2010–2020, and 2000–2020 are calculated, followed by significance testing. If the correlation coefficient between two ecosystem services is negative and passes the significance test at the 0.05 confidence level, a significant trade-off relationship is considered to exist. Conversely, if the correlation is positive and significant, a significant synergy relationship is considered to exist. Bivariate spatial autocorrelation analysis is used to characterize the spatial clustering and differentiation of ecosystem services. The bivariate local Moran’s I index is used to analyze the spatial distribution of trade-offs and synergies between pairs of ecosystem services at the county scale [47,48,49,50]. The bivariate local Moran’s I index is calculated as follows:
I i M N = X i M X ¯ M σ M j = 1 n W i j X i N X ¯ N σ N
where I i M N is the bivariate local Moran’s I index. X i M is the value of ecosystem service M in unit i. X i N is the value of ecosystem service N in unit j. X ¯ M and X ¯ N and σ M and σ N are the average and standard deviation of ecosystem service M and N. n is the number of units in the study area. W i j is the weight matrix. The local spatial association patterns were divided into 5 types, including a high–high synergistic zone, low–low synergistic zone, high–low trade-offs zone, low–high trade-offs zone, and no significant zone (p < 0.05).

3.2.4. Simulation of Ecosystem Services under Future Climate Change Scenarios

This study simulates changes in ecosystem services in Hubei Province under different climate scenarios for the year 2030. Land-use types are categorized into seven types: cultivated land, forest land, grassland, water bodies, urban construction land, rural construction land, and unused land. First, the land-use changes for 2020 are simulated and validated for accuracy. Following this, the land-use changes and ecosystem services for Hubei Province in 2030 are simulated.
The sixth phase of the Coupled Model Intercomparison Project (CMIP6) provides richer global climate model data for climate change assessment. CMIP6 scenarios emphasize the impact of different socio-economic development patterns on climate change. This study selects three climate change scenarios from CMIP6 (SSP119, SSP245, and SSP585) to simulate future ecosystem services. SSP119 represents a sustainable development path with low greenhouse gas emissions; SSP245 represents a middle-path socio-economic development with moderate emissions; SSP585 represents a high-speed development path with extensive fossil fuel use and high emissions.
Three scenarios are set for this study: baseline development, ecological protection, and urban development.
Baseline development scenario: assumes land-use change is not influenced by human policies and evolves according to historical land-use transition characteristics, with no restrictions in the simulation. Climate data follow the SSP245 pathway.
Ecological protection scenario: emphasizes the protection of ecological land, assuming a 20% reduction in the probability of conversion from forest land, grassland, and water bodies to other land types and a 10% increase in the probability of conversion from cultivated land, rural construction land, and unused land to forest land, grassland, and water bodies. Climate data follow the SSP119 pathway.
Urban development scenario: assumes a 20% increase in the probability of converting cultivated land, forest land, grassland, and water bodies to construction land, and a 30% decrease in the probability of converting construction land to other land types. Climate data follow the SSP585 pathway.
Land-use demand is simulated using the Markov model, and the spatial distribution of land use is simulated using the PLUS model [51]. After simulating the land-use quantity and layout for 2030, the InVEST model is used to calculate changes in ecosystem services in Hubei Province under different future scenarios.

3.3. Data Sources

The data required for this study primarily include land-use data, soil data, meteorological data, watershed data, remote sensing data, and socio-economic data. Detailed information on data sources is provided in Table 1. The original land-use data are classified into 6 primary categories and 25 secondary categories. In this study, the definition of cultivated land requisition is the expansion of urban construction land occupying cultivated land. Therefore, for ease of data processing, construction land is subdivided into urban construction land and rural construction land. Thus, the land-use data are categorized into seven major types: cultivated land, forest land, grassland, water bodies, urban construction land, rural construction land, and unused land.

4. Results and Analysis

4.1. Spatial and Temporal Patterns of Cultivated Land Requisition and Compensation in Hubei Province

From 2000 to 2010, the amount of cultivated land requisitioned and supplemented in Hubei Province was basically balanced, with the amount of supplemented cultivated land slightly higher than the requisitioned land. The cultivated land balance index was 1.09. From 2010 to 2020, the amount of requisitioned cultivated land increased compared to the previous period, but the amount of supplemented cultivated land increased even more, resulting in a balance index of 2.97 (Table 2). Overall, from 2000 to 2020, urban construction land requisitioned 1553.87 km2 of cultivated land, accounting for 33.13% of the total cultivated land loss, with 62.89% of new construction land coming from cultivated land. The area of supplemented cultivated land was 1971.86 km2, with 67.93% of it coming from forest land, leading to a balance index of 1.27. In terms of quantity, the requisition and supplementation of cultivated land were balanced in all three periods, with forest land being the primary source of supplemented land, followed by water bodies and reclaimed construction land.
The potential yield balance index for cultivated land was less than 1 in the periods 2000–2010, 2010–2020, and 2000–2020, indicating that the potential yield of supplemented cultivated land was lower than that of the requisitioned land, reflecting a phenomenon of “replacing high-quality land with lower-quality land” in Hubei Province. However, the productivity balance index for 2010–2020 was greater than 1, due to the excess compensation of cultivated land (i.e., the balance index being greater than 1), which drove up the productivity balance index. This explains why the productivity balance index for 2010–2020 was lower than the corresponding quantity balance index. In contrast, for the periods 2000–2010 and 2000–2020, although the quantity balance index was greater than 1, it did not offset the yield losses caused by the quality differences between requisitioned and supplemented land, resulting in an imbalance in productivity.
Spatially, cultivated land in Hubei Province is mainly concentrated in the Jianghan Plain, Northern Hubei Hills, and Southeastern Hubei River Plains, with a high degree of concentration. However, these areas face high non-agricultural and non-grain risks due to flat terrain, dense population, and rapid economic development, leading to high demand for urban construction land. From 2000 to 2020, cultivated land requisition mainly occurred in the central and southern Jianghan Plain, particularly around Wuhan, Xiantao, and Ezhou, as well as along the Yangtze and Han Rivers, where social and economic development is rapid. Supplemented cultivated land was more dispersed, found in both the western mountainous areas and the central and eastern plain and hilly areas (as shown in Figure 3a). At the city level, from 2000 to 2020, 11 out of 17 cities in Hubei Province achieved a balance in the quantity of requisitioned and supplemented cultivated land. However, southeastern cities like Wuhan and Ezhou did not achieve this balance, with Wuhan having the lowest balance index of 0.24. Five cities reached a balance in potential yield of requisitioned and supplemented land, located in the western part of the province and central cities like Xiantao and Tianmen, where forest land or wetlands were used to supplement cultivated land, resulting in a higher potential yield for supplemented land. Only Tianmen achieved a balance in both the quantity, potential yield, and productivity of requisitioned and supplemented cultivated land (as shown in Figure 3b).

4.2. Impact of CLRCB on Ecosystem Services

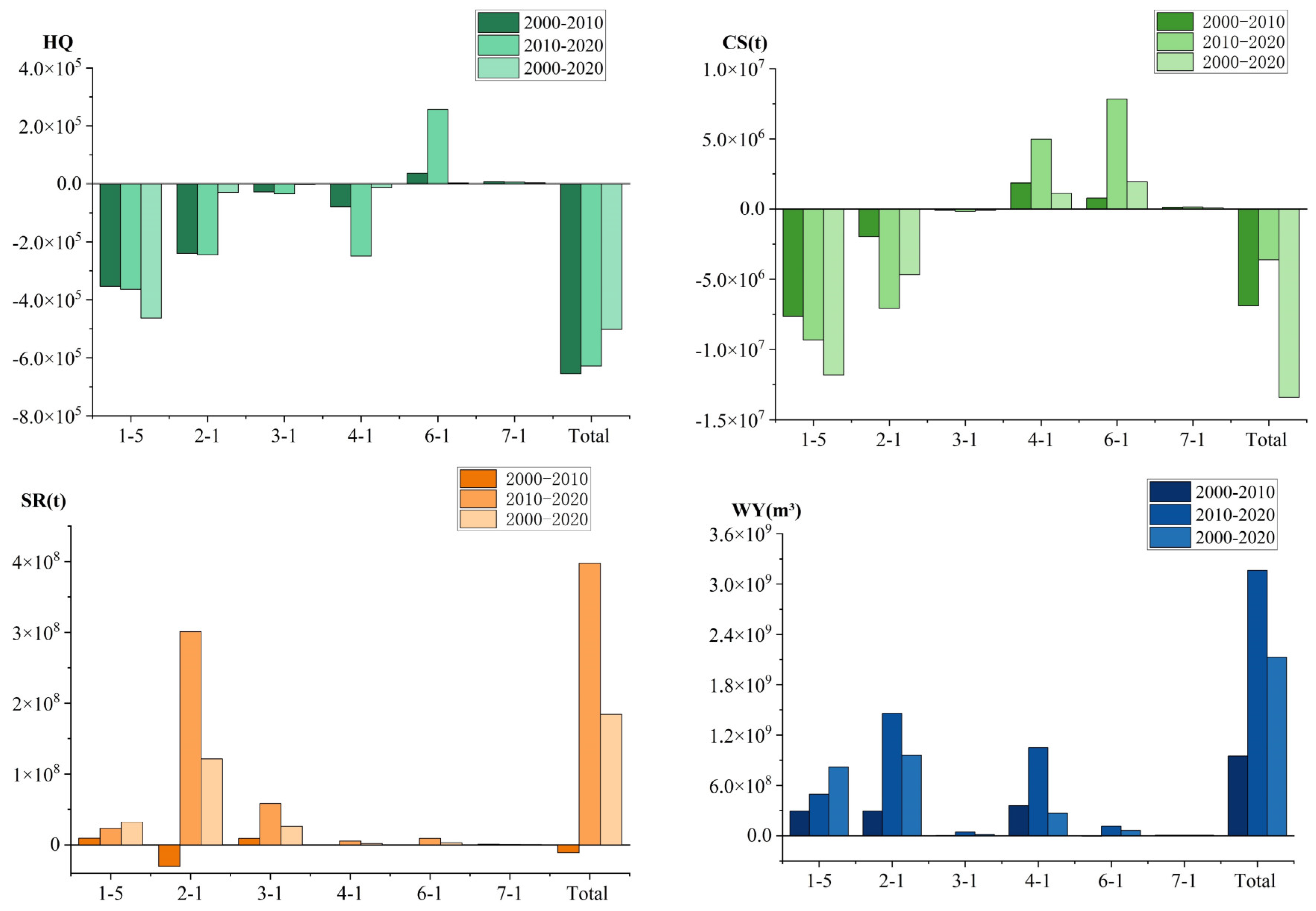
The balance policy of CLRCB has driven land-use changes, thereby impacting ecosystem services. The changes in four ecosystem services—habitat quality, carbon storage, soil retention, and water yield were—calculated for the balance areas, as well as their proportions of the total changes in the study area.
As shown in Figure 4 and Figure 5, the balance of CLRCB negatively affected habitat quality. Habitat quality decreased in all three periods within the balance areas, with the most significant decline occurring from 2000 to 2010, reaching 60.66%. During this period, the change in habitat quality accounted for 123.74% of the total change in the study area, indicating the significant impact of CLRCB on habitat quality. In the subsequent two periods, the impact of habitat quality changes due to cultivated land requisition and compensation on the overall habitat quality of the study area gradually diminished. The balance of cultivated land requisition and compensation also negatively impacted carbon storage. From 2000 to 2020, carbon storage in the balance areas decreased by 31.19%, the most significant reduction among the three periods. The change in carbon storage accounted for between 39.16% and 63.77% of the total change in the study area. Soil retention in the balance areas slightly decreased from 2000 to 2010 but increased in both 2010–2020 and 2000–2020. The proportions of soil retention changes in the balance areas relative to the total changes in the study area were low in all three periods, indicating limited impact of CLRCB on the soil retention function of the study area. Water yield increased due to CLRCB, with an increase of 99.80% from 2000 to 2020. However, the proportion of water yield changes in the balance areas relative to the total changes in the study area was not as significant as that of habitat quality and carbon storage, ranging from 5.01% to 14.88%.

4.3. Trade-Off/Synergy Relationships of Ecosystem Services in Cultivated Land Requisition and Compensation Areas

Using the administrative divisions of Hubei Province as a basis, a 5 km × 5 km grid dataset was established in ArcGIS 10.8. Spatial statistical tools were then used to calculate the changes in ecosystem services caused by cultivated land requisition and compensation for each grid over different time periods. The number of grids obtained was 5718 for the period from 2000 to 2010 and 7721 for the periods from 2010 to 2020 and from 2000 to 2020.
Using SPSS 27 software, a Spearman correlation analysis was conducted on the changes in four ecosystem services—habitat quality, carbon storage, soil retention, and water yield at the grid level. The correlations between these ecosystem services are shown in Figure 6. For the periods 2000–2010, 2010–2020, and 2000–2020, all ecosystem services passed the significance test at the 0.05 level, indicating varying degrees of correlation between them. From 2000 to 2010, habitat quality and carbon storage had a positive correlation coefficient, indicating a significant strong synergy. Habitat quality and water yield had a negative correlation coefficient, showing a significant strong trade-off, while habitat quality and soil retention had a significant weak trade-off relationship. Carbon storage and water yield exhibited a significant trade-off relationship, and carbon storage and soil retention had a significant weak trade-off relationship. Water yield and soil retention showed a significant synergy. From 2010 to 2020, the trade-off and synergy relationships between ecosystem services did not change. However, the synergy between habitat quality and carbon storage and the trade-off between habitat quality and water yield both weakened, while the trade-off relationships between soil retention and both carbon storage and habitat quality strengthened. Over the entire period from 2000 to 2020, the synergy between habitat quality and carbon storage and the trade-off relationships between water yield and both carbon storage and habitat quality were all strong. The trade-off relationship between soil retention and carbon storage, as well as the synergy between soil retention and water yield, were moderately strong, while the trade-off relationship between soil retention and habitat quality was relatively weak.
To understand the spatial trade-offs and synergies of various ecosystem services due to the CLRCB policy, this research used bivariate spatial autocorrelation to examine the spatial clustering and differentiation of these services. This research calculated the changes in ecosystem services from 2000 to 2020 for each county and city in Hubei Province using GeoDa 1.20 software and produced maps using bivariate Moran’s I. High–high and low–low clusters indicate synergies, while high–low and low–high clusters indicate trade-offs.
As shown in Figure 7, between 2000 and 2020, the synergy between carbon storage and habitat quality was primarily found in the western Enshi Prefecture, eastern Yichang City, northern Xianning City, Wuhan City, and the Shennongjia Forest District. Trade-offs were mainly located in Xianfeng County, Enshi City, Yiling District of Yichang, Hannan District of Wuhan, and Liangzihu District of Ezhou, with other areas showing non-significant patterns. The synergy between carbon storage and soil retention appeared in central and southern Huanggang City, most of Shiyan City excluding Maojian and Zhangwan Districts, western Yichang City, and eastern Enshi Prefecture. Trade-offs were observed in the western and eastern parts of Enshi Prefecture and the Maojian and Zhangwan Districts of Shiyan City. Synergy between carbon storage and water yield was noted in Fang County of Shiyan City, Yiling District of Yichang City, Xiangzhou and Fancheng Districts of Xiangyang City, and parts of northeastern and southern Huanggang City. Trade-offs were evident in northern Xianning City, central Wuhan City, and Hong’an County. The synergy between habitat quality and soil retention was prevalent in southwestern Hubei, including Enshi Prefecture, western Yichang City, Yunyang District of Shiyan City, and parts of northeastern and southern Huanggang City. Trade-offs were found in most of Shiyan City, excluding Yunyang District, and in Xishui County. The spatial distribution of trade-offs and synergies between habitat quality and water yield was similar to that of carbon storage and water yield, but Fang County of Shiyan City and Yiling District of Yichang City shifted from synergy to trade-off. Finally, the synergy between water yield and soil retention was observed in most of Enshi Prefecture except for Laifeng and Hefeng Counties, northern and western Shiyan City, and central Huanggang City. Trade-offs were evident in Fang and Zhushan Counties of Shiyan City, Zigui, Xingshan, and Wufeng Counties of Yichang City, Laifeng and Hefeng Counties of Enshi Prefecture, and Tuanfeng County and Wuxue City of Huanggang City.

4.4. Simulation of Ecosystem Services and Trade-Offs/Synergies under Future Climate Scenarios in Hubei Province

Based on the land-use data from 2000, this research simulated the land-use changes for 2020. Comparing the simulated data with the actual data for 2020, the model showed an overall accuracy of 0.94 and a Kappa coefficient of 0.90, which is greater than 0.75. This indicates that the model’s simulation performance is good and can be used to simulate land-use changes for 2030. Table 3 presents the simulated results of land-use changes in Hubei Province. In 2020, the primary land-use type in Hubei Province was forest land, covering 49.61% of the total area, followed by cultivated land (36.02%) and water bodies (6.26%). Under all three future scenarios, forest land remains the dominant land-use type.
Natural development scenario: both forest land and cultivated land slightly decrease, while water bodies and construction land increase. Grassland and unused land remain relatively stable, with minor changes. The majority of the increased construction land comes from converted cultivated land, followed by forest land.
Ecological protection scenario: there is a slight increase in forest land and grassland areas, along with an increase in construction land, though to the smallest extent among the three scenarios. Water body areas remain virtually unchanged. Cultivated land decreases the most in this scenario, with the converted land primarily becoming forest land, followed by urban construction land.
Urban development scenario: urban construction land sees the largest increase, while cultivated land, forest land, and water bodies decrease. Other land types show little change. The reduction in cultivated land primarily converts to urban construction land, and the reduction in forest land and water bodies is mainly used to supplement cultivated land.
Forest land and cultivated land are the most important land-use types in the study area. Changes in their areas directly affect the structure and function of ecosystem services. As population growth and economic development continue, urban construction land expands, often at the expense of cultivated land. This change not only reduces agricultural space but also leads to a decline in ecosystem services. Under three different future scenarios, the area changes for various land types differ, and varying climate conditions result in different trends in ecosystem services. The quantities and spatial distributions of four ecosystem service functions were calculated, as shown in Table 4 and Figure 8.
Each ecosystem service demonstrates different trends under various scenarios. Habitat quality and carbon storage show minimal changes, while soil retention and water yield experience significant variations. Habitat quality and carbon storage both decline in 2030 across all three scenarios, with the lowest values under the urban development scenario, followed by the natural development scenario, and the highest values under the ecological protection scenario. In the ecological protection scenario, although the areas of forest land and grassland increase compared to 2020, urban construction land also expands by 334 km2, which is more than the combined increase in forest and grassland areas (47 km2). This expansion of construction land negatively impacts habitat quality and carbon storage, causing them to decline even in the ecological protection scenario. Soil retention services increase by 3.39% under the natural development scenario but decrease by 14.82% under the ecological protection scenario and by 13.41% under the urban development scenario. Water yield increases by 8.39% under the natural development scenario but decreases by 32.58% under the ecological protection scenario and by 20.90% under the urban development scenario. Soil retention and water yield services are significantly influenced by climate conditions. In 2020, the annual precipitation in Hubei Province was 1439 mm. For 2030, under the natural development scenario using SSP245 climate data, the annual precipitation is projected to be 1547 mm. The ecological protection scenario, using SSP119 climate data, projects an annual precipitation of 1293 mm, while the urban development scenario, using SSP585 climate data, projects an annual precipitation of 1323 mm. These differences in precipitation under different climate pathways lead to corresponding increases or decreases in ecosystem service quantities.
Figure 8 shows the spatial distribution of four future ecosystem services, each exhibiting different spatial patterns. Under future scenarios, the distribution of habitat quality and carbon storage is mainly influenced by land-use changes, with both showing lower values in the central region and higher values in the eastern and western regions. This pattern is related to the topography of Hubei Province, where the mountainous areas in the east and west are dominated by forests and grasslands, while the central plains are dominated by cultivated and construction land. Mountainous regions usually have higher ecosystem service values and biodiversity, whereas plains are more suitable for agricultural development. Agricultural activities and urban construction cause environmental pollution, which directly threatens habitat quality and carbon storage. For example, discharging wastewater into rivers can exceed a threshold, leading to eutrophication and a decline in aquatic species richness, thus threatening water ecological safety. The spatial distribution of soil retention services is relatively uniform, generally showing higher values in the west and lower values in the east. Under the natural development scenario in 2030, soil retention services increase in most areas except for the junction of Yichang, Xiangyang, and Shennongjia Forest District, where a decline is observed. In the ecological protection scenario, soil retention services decrease in most areas except for the northwestern parts of Shiyan City and Enshi Prefecture. Under the urban development scenario, soil retention services decrease in most areas except for the northern part of Shiyan City and the southwestern part of Jingzhou City. The spatial distribution of water yield contrasts with the other three ecosystem services, showing higher values in the central region and lower values around the periphery. Under the natural development scenario, water yield increases in most areas except for the junction of Yichang, Xiangyang, Jingmen, and Shennongjia Forest District, as well as central Suizhou. In the ecological protection scenario, water yield decreases in most areas except for the northwestern part of Shiyan City. Under the urban development scenario, water yield increases in the northern part of Shiyan City, southern Jingzhou City, and central Wuhan City, while it decreases in other regions.
The changes in ecosystem services in the cultivated land requisition and compensation areas under three future scenarios for 2030 were extracted, and correlation coefficients were further calculated to analyze the trade-offs and synergies of ecosystem services under different climate scenarios. The results are shown in Figure 9. Under the natural development scenario, the trade-offs and synergies of ecosystem services remained unchanged compared to the period from 2000 to 2020, and all passed the significance test at the 0.05 level. The synergy between habitat quality and carbon storage weakened, while the trade-offs between habitat quality and both soil retention and water yield strengthened. The trade-offs between carbon storage and both soil retention and water yield weakened, and the synergy between soil retention and water yield also weakened. In the ecological protection scenario, there were significant changes in the trade-offs and synergies of ecosystem services. The synergy between habitat quality and carbon storage significantly strengthened, increasing from 0.63 to 0.86. The trade-off between habitat quality and water yield weakened from −0.7 to −0.16, and the relationship between habitat quality and soil retention changed from a significant weak trade-off to a significant strong synergy. The relationship between carbon storage and soil retention changed from a trade-off to a synergy, and the relationship between carbon storage and water yield changed from a significant strong trade-off to an insignificant weak synergy. The relationship between soil retention and water yield changed from a synergy to a trade-off. Under the urban development scenario, the synergy between habitat quality and carbon storage weakened, as did the trade-off between habitat quality and water yield. The relationship between habitat quality and soil retention changed from a trade-off to a synergy. The relationship between carbon storage and soil retention also changed from a trade-off to a synergy, and the relationship between carbon storage and water yield changed from a significant strong trade-off to a significant weak synergy. The relationship between soil retention and water yield changed from a synergy to a trade-off.

5. Discussion

5.1. Validation of Ecosystem Service

In this study, ecosystem services are composed of four aspects. This research recognizes that the accuracy of model parameters is crucial for the credibility of the calculation results. Due to the large geographic scope of Hubei Province, it is challenging to verify the calculation results through field surveys, and the ecosystem services calculated via the InVEST model are based on empirical values. Therefore, this research chose to validate soil retention and water yield because existing datasets or observational values are available for these services (Figure 10). However, there are no calculated data available for habitat quality and carbon storage for validation.
To validate the soil retention data, this study employed a comparative analysis method, comparing the results with the “China Soil Erosion Conservation Dataset.” This research established a 20 km fishnet in ArcGIS and used the “Extract Multi Values to Points” tool to extract grid values from both models for linear fitting. The results showed an R2 of 0.85, indicating that the study results are reliable. To verify the accuracy of the water yield assessment, this study used the total water resources of each prefecture-level city in the “Hubei Water Resources Bulletin” as a reference, compared with the water yield calculated via the InVEST model, and calculated the coefficient of determination and the slope of the fitted least-squares regression line to evaluate the goodness of fit between the study results and the observational data. The results showed a high correlation, with an R2 of 0.82, indicating that the simulation results can be used for water yield service analysis.
Through the above validation process, this research can conclude that the soil retention and water yield data calculated using the InVEST model in this study are reliable and accurate and can be used for further ecosystem service analysis and evaluation.

5.2. Impact of CLRCB on Ecosystem Services and Contribution

The average values of various ecosystem services for different land-use types in 2000, 2010, and 2020 were calculated, as shown in Figure 11. The changes in ecosystem services caused by the requisition and compensation of cultivated land were then calculated separately, as shown in Figure 12.
From Figure 11, it is evident that habitat quality is highest in forest land and grassland, followed by water bodies and cultivated land, with the lowest values in unused land and construction land. Forest land, grassland, and water bodies have complete ecosystems, making them ideal habitats for plant and animal communities, thus resulting in higher habitat quality [52]. In contrast, cultivated and construction lands have poorer habitat quality. Cultivated land, due to prolonged farming and fertilizer use, not only reduces soil quality but also causes agricultural non-point source pollution. Construction land, on the other hand, is threatened by production and domestic sewage discharge, resulting in lower habitat quality. Changes in the proportion, structure, and intensity of land use fundamentally alter the composition and configuration of ecosystems, ultimately affecting energy flow and material cycling between habitat patches [53]. Land-use changes can have positive or negative impacts on habitat quality. Generally, the outward conversion of forest land, grassland, and water bodies negatively impacts habitat quality, while the outward conversion of cultivated and construction land positively impacts habitat quality. This is consistent with the results of previous studies [15,33]. In the context of land-use changes due to cultivated land requisition and compensation, only the supplementation of cultivated land with construction and unused land positively impacts habitat quality, increasing it by 2851 and 3263 units from 2000 to 2020. However, due to the small area of these land-use changes, they are insufficient to offset the degradation in habitat quality caused by the conversion of other land types, leading to an overall decline in habitat quality in the study area by 501,862 units.
From Figure 11, it is also clear that carbon storage is highest in forest land and grassland, followed by cultivated land and water bodies, with the lowest values in unused land and construction land. Land-use changes have a profound impact on carbon storage in terrestrial ecosystems by altering the carbon sequestration capacity of soil and vegetation, affecting regional carbon budgets [27]. This study indicates that urban expansion into cultivated land is a major cause of carbon storage decline. To achieve a balance in cultivated land requisition and compensation, the supplementation of cultivated land with forest land, grassland, and other ecological lands further reduces carbon storage. Although the supplementation of cultivated land with water bodies, construction land, and unused land mitigates some carbon storage loss, the overall effect of the balance policy from 2000 to 2020 results in a loss of 13 million tons (1.3 × 107 t) of carbon storage in Hubei Province. This is consistent with the research results of some scholars. Tang et al. showed that cultivated land expansion in Hubei Province from 2000 to 2010 resulted in 1.76 Tg of carbon loss, and the loss of carbon storage caused by encroachment of forest land accounted for 81% of the total loss of cultivated land expansion [28]. Gao et al. showed that the loss of carbon storage in the compensation of cultivated land from 2010 to 2015 was mainly due to the inappropriate way of supplementing cultivated land with forest land. Although the area of supplementing cultivated land with forest land only accounted for 19.4% of the total amount of cultivated land, the resulting carbon storage loss even exceeded the carbon storage loss of cultivated land occupied by construction land [54].
Figure 11 shows that soil retention capacity is strongest in grassland and forest land, followed by cultivated land and water bodies, with the lowest values in construction land and unused land. Vegetation cover on grassland can reduce the impact of rainfall on the ground, slow down runoff, and decrease the likelihood of soil particles being carried away by water [55]. Forest land, with its complex vegetation structure and rich litter layer, can improve soil structure and increase soil porosity, thereby enhancing soil water retention capacity [56]. Unused land, with poorer soil physical and chemical properties and high surface runoff coefficients, is prone to soil erosion during heavy rainfall, resulting in the lowest soil retention capacity. Theoretically, without considering other factors, the outward conversion of grassland and forest land and the occupation of cultivated land by construction land would lead to a decrease in regional soil retention capacity [57].For example, converting forest to cropland could change the distribution of soil properties and compact deep soils, further resulting in a reduction in water infiltration and increases in surface runoff and the risk of soil erosion in top soils [58,59]. However, previous studies have shown that soil retention function is more sensitive to precipitation than to land-use types, with changes in soil retention function being more strongly controlled by climate change [60]. The study of Li et al. showed that the spatial and temporal variation of rainfall erosivity was basically consistent with the variation of soil erosion rate in western Hubei Province, and rainfall was the main factor leading to soil loss in western Hubei Province [61]. Therefore, the soil retention function within the cultivated land requisition and compensation areas in Hubei Province from 2000 to 2020 do not strictly follow the above change patterns. The average soil retention values for Hubei Province in 2000, 2010, and 2020 were 6778 t/hm2, 6616 t/hm2, and 8154 t/hm2, respectively, showing a trend of initial decrease followed by an increase. This is consistent with the results of Li et al. [62,63]. Therefore, the soil retention function in the cultivated land requisition and compensation areas are affected by the combined effects of climate change and land-use changes, which are consistent with the overall change trend of Hubei Province.
Figure 11 also indicates significant differences in water yield across different land-use types, with the highest water yield in construction land, followed by grassland and cultivated land, then unused land, and the lowest in forest land and water bodies. The surfaces of construction land, typically composed of concrete, asphalt, and cement, form impermeable surfaces with almost zero infiltration, resulting in rainfall easily forming runoff and reducing soil water content, thus resulting in the highest water yield [64]. Grassland and cultivated land, with shallower root systems, have weaker rainfall interception capabilities, and crop growth on cultivated land consumes water, resulting in lower water yields compared to construction land [65]. Forest land, with deeper root systems, can absorb water from deep soil layers and has strong rainfall interception capabilities, while its dense canopy has significant transpiration [66]. Water bodies, being the most prone to runoff formation, have the lowest water yield when rainfall reaches the water surface, as evaporation directly forms runoff. Under unchanged climate conditions, the conversion of cultivated land to construction land, and the conversion of forest land, water bodies, and unused land to cultivated land increase water yield, while the conversion of grassland and construction land to cultivated land decreases water yield. However, previous studies have shown that climate change can significantly impact water yield by directly altering surface runoff, with precipitation having a more pronounced effect on regional water yield than land-use changes [63]. The average precipitation in Hubei Province was 1199.1 mm in 2000, 1279.3 mm in 2010, and 1439.6 mm in 2020. The increasing precipitation trend led to higher average water yields in cultivated land in 2020 compared to construction land in 2000 and 2010. Therefore, the conversion of construction land to cultivated land increased water yield from 2010 to 2020 and from 2000 to 2020. Similarly, due to the impact of precipitation, the average water yield in cultivated land in 2010 and 2020 was higher than that in grassland in 2000 and 2010, resulting in increased water yield from the conversion of grassland to cultivated land over the three time periods. Overall, the areas of construction land occupying cultivated land and forest land and water bodies supplementing cultivated land far exceed the changes in other land-use types. Since these three land type changes all lead to increased water yield, the cultivated land requisition and compensation balance policy results in an overall increase in regional water yield.

5.3. Trade-Off/Synergy Relationships of Ecosystem Services in Cultivated Land Requisition and Compensation Areas

This study investigates how ecosystem services—including habitat quality, carbon storage, soil retention, and water yield—have evolved over time in response to the trade-offs and synergies caused by land-use changes driven by cultivated land compensation policies. By employing Spearman correlation analysis across multiple time periods (2000–2010, 2010–2020, and 2000–2020), we identified significant correlations among these ESs, highlighting the intricate relationships between different ecosystem functions.
This research demonstrates that between 2000 and 2010, the relationship between habitat quality and carbon storage was strongly synergistic, suggesting that improvements in habitat conditions were closely linked to increases in carbon sequestration. This synergy aligns with prior research [67], which emphasizes that land-use practices promoting biodiversity conservation often enhance carbon storage due to increased vegetative cover and biomass. However, habitat quality exhibited a strong trade-off with water yield. This may be due to the increased reforestation or land restoration efforts enhancing habitat quality while reducing runoff, thus lowering water yield [68]. The weak trade-off between habitat quality and soil retention indicates that while some conservation actions may improve habitat conditions, they may not always benefit soil preservation. Carbon storage and water yield also displayed a notable trade-off, mirroring patterns observed in other studies where carbon sequestration efforts, such as reforestation, can lead to reduced water availability due to higher evapotranspiration rates [69]. A weak trade-off was also observed between carbon storage and soil retention, indicating that while these services can conflict, the interaction is not as significant as with water yield. Interestingly, water yield and soil retention were found to be strongly synergistic, suggesting that strategies promoting soil conservation, such as terracing or cover cropping, also enhance water regulation, corroborating findings from previous studies [70].
During the period 2010–2020, the fundamental trade-offs and synergies among ecosystem services remained consistent, but the intensity of these relationships shifted. The synergy between habitat quality and carbon storage weakened, as did the trade-off between habitat quality and water yield. This could be attributed to adjustments in land-use policies or changes in ecosystem management practices, where the marginal benefits of enhancing carbon storage or biodiversity may have decreased. On the other hand, the trade-offs between soil retention and both carbon storage and habitat quality became more pronounced, suggesting that in recent years, the actions taken to preserve soil may have come at a greater cost to biodiversity and carbon sequestration.
Looking at the entire period from 2000 to 2020, the strong synergy between habitat quality and carbon storage persisted, while the trade-off between carbon storage and water yield, as well as habitat quality and water yield, remained robust. These enduring patterns suggest that long-term land-use changes, such as forest expansion or changes in agricultural practices, consistently drive these ES dynamics. Moderate correlations between soil retention and other services—especially its trade-off with carbon storage and synergy with water yield—underscore the multifunctionality of land-use strategies that seek to balance soil conservation with other ESs. The relatively weak trade-off between habitat quality and soil retention also reflects the nuanced interactions among ESs that are shaped by localized environmental and policy contexts.
The results show that the effects of CLRCB on ecosystem services are complex and diverse, and multiple objectives need to be balanced in land management. For example, while enhancing biodiversity and carbon storage can reinforce each other, they may affect water availability. Weakening synergies and changing trade-offs over time suggest that policy needs to be flexible to avoid long-term negative effects. In future land-use planning, it is necessary to comprehensively consider water resources, soil conservation, and other factors to achieve balanced development of multiple services.

5.4. Limitations and Uncertainties

This study examines the effects of the cultivated land requisition–compensation balance (CLRCB) policy on ecosystem services in Hubei Province and projects future changes under different land-use scenarios for 2030. Despite its valuable insights, this study has several limitations and uncertainties that warrant attention.
First, the InVEST model, though widely used, simplifies complex ecological dynamics [71]. For instance, its habitat quality model assumes uniform distribution of threats, ignoring local variations in land-use intensity, while the carbon storage module overlooks nuanced impacts of land-use changes on soil and vegetation carbon fluxes. These simplifications may lead to inaccurate estimations of ecosystem services [72]. Additionally, the dynamic interactions among ecosystem services, such as trade-offs and synergies, are context dependent and could shift due to external factors like climate change or policy adjustments [37]. For example, while synergies between soil conservation and water production were observed, future climate extremes or policy shifts could alter these relationships, highlighting the need for continuous monitoring and adaptive management. The future land-use simulations, based on the Markov and PLUS models, also face uncertainties [51]. These models assume future patterns follow historical trends, which may not account for rapid urbanization or unanticipated changes. Moreover, the climate data used may not fully capture extreme events, complicating predictions of ecosystem service outcomes.
To address these limitations, future research should focus on improving modeling accuracy by integrating more advanced tools. For instance, combining InVEST with other models like SWAT could offer more detailed assessments, especially for hydrological services [73]. Incorporating more comprehensive climate change scenarios, including extreme events, would provide better insights into potential ecosystem responses [74]. Furthermore, future studies should explore the socio-economic dimensions of CLRCB, as land-use decisions driven by policy or economic incentives significantly influence ecosystem services outcomes. In conclusion, while this study offers important findings on the ecological impacts of CLRCB, significant uncertainties remain. Advancing modeling techniques, integrating climate projections, and addressing socio-economic drivers will be crucial for balancing food security with sustainable ecosystem management.

6. Conclusions

This study, focusing on Hubei Province, explored the impact of the cultivated land requisition and compensation policy on ecosystem services and simulated the changes in ecosystem services and their interactions for the year 2030. The findings indicate that from 2000 to 2020, the policy achieved a balance in cultivated land quantity through the excessive supplementation of cultivated land, with a balance index of 1.27. However, the prevalent issue of replacing high-quality land with lower-quality land resulted in suboptimal policy implementation, failing to achieve balance in land productivity and yield.
The balance policy negatively impacted habitat quality and carbon storage, leading to a decline in habitat quality by 501,862 and a loss of 13 million tons (1.3 × 107 t) of carbon storage during the study period. On the other hand, soil retention and water yield were more influenced by climate than by land use. The policy led to an increase in water yield by 2.129 billion cubic meters (21.29 × 108 m3) and an increase in soil retention services by 184.2 million tons (184.2 × 106 t). Spatially, the policy caused the most significant decline in habitat quality in the eastern part of Hubei Province and the greatest decrease in carbon storage in the northern part. Soil retention service changes were highest in the southwest and northeast while lowest in the central region. Water yield changes showed a high east and low northwest distribution pattern. Within the cultivated land requisition and compensation areas, habitat quality and carbon storage, as well as soil retention and water yield, exhibited synergistic relationships, whereas trade-offs existed between the other pairs of ecosystem services.
The 2030 ecosystem service simulations indicate that soil retention and water yield are highest under the natural development scenario, while habitat quality and carbon storage are highest under the ecological protection scenario. Both scenarios perform better than the urban development scenario. When formulating policies, trade-off analyses can optimize land resources to maximize the comprehensive benefits of different ecosystem services.
The analysis reveals that while the cultivated land requisition and compensation policy has positive implications for food security, it also poses ecological risks and challenges that need to be addressed and improved in policy design. Future research should further investigate the specific impacts of different cultivated land supplementation models and technical measures on ecosystem services to find more balanced and sustainable solutions.

Author Contributions

Conceptualization, Q.H.; methodology, X.J.; software, X.J.; validation, Y.Z and Q.H.; formal analysis, X.J.; resources, Y.Z.; data curation, X.J.; writing—original draft preparation, Q.H.; writing—review and editing, Y.Z. and Q.H.; supervision, Q.H. All authors have read and agreed to the published version of the manuscript.

Funding

This research was funded by the National Natural Science Foundation of China (No. 42371424), National Natural Science Foundation of Hubei Province (No. 2023AFB630) and Independent Innovation Fund for Young Teachers of Huazhong University of Science and Technology (ID. 2022WKFZZX025).

Data Availability Statement

The data presented in this study are available on request from the corresponding author due to privacy.

Conflicts of Interest

The authors declare no conflicts of interest.

References

  1. Song, W.; Deng, X.; Liu, B.; Li, Z.; Jin, G. Impacts of Grain-for-Green and Grain-for-Blue Policies on Valued Ecosystem Services in Shandong Province, China. Adv. Meteorol. 2015, 2015, 213534. [Google Scholar] [CrossRef]
  2. Wen, X.; Yang, F.; Chen, J.; Tu, Y.; Wang, H.; Chen, Z.; Dong, T.; Xu, G. Spatial patterns of urban expansion and cropland loss during 2017–2022 in Guangdong, China. Heliyon 2024, 10, e30548. [Google Scholar] [CrossRef] [PubMed]
  3. Zhou, Y.; Zhong, Z.; Cheng, G. Cultivated land loss and construction land expansion in China: Evidence from national land surveys in 1996, 2009 and 2019. Land Use Policy 2023, 125, 106496. [Google Scholar] [CrossRef]
  4. Song, W.; Pijanowski, B.C. The effects of China’s cultivated land balance program on potential land productivity at a national scale. Appl. Geogr. 2014, 46, 158–170. [Google Scholar] [CrossRef]
  5. Liu, C.; Song, C.; Ye, S.; Cheng, F.; Zhang, L.; Li, C. Estimate provincial-level effectiveness of the arable land requisition-compensation balance policy in mainland China in the last 20 years. Land Use Policy 2023, 131, 106733. [Google Scholar] [CrossRef]
  6. Qie, L.; Pu, L.; Tang, P.; Liu, R.; Huang, S.; Xu, F.; Zhong, T. Gains and losses of farmland associated with farmland protection policy and urbanization in China: An integrated perspective based on goal orientation. Land Use Policy 2023, 129, 106643. [Google Scholar] [CrossRef]
  7. Wang, C.; Zhang, D. The super-environmental effect of the westward shift of China’s cultivated land patterns. Environ. Earth Sci. 2023, 82, 572. [Google Scholar] [CrossRef]
  8. Costanza, R.; d’Arge, R.; de Groot, R.; Farber, S.; Grasso, M.; Hannon, B.; Limburg, K.; Naeem, S.; O’neill, R.V.; Paruelo, J.; et al. The value of the world’s ecosystem services and natural capital. Nature 1997, 387, 253–260. [Google Scholar] [CrossRef]
  9. Westman, W.E. How Much Are Nature’s Services Worth? Science 1977, 197, 960–964. [Google Scholar] [CrossRef]
  10. Daily, C.G. Nature’s Services. Societal Dependence on Natural Ecosystems; Island Press: Washington, DC, USA, 1997. [Google Scholar]
  11. Millennium ecosystem assessment. Ecosystems and Human Well-Being; Island press: Washington, DC, USA, 2005; Volume 5. [Google Scholar]
  12. Hasan, S.S.; Zhen, L.; Miah, M.G.; Ahamed, T.; Samie, A. Impact of land use change on ecosystem services: A review. Environ. Dev. 2020, 34, 100527. [Google Scholar] [CrossRef]
  13. Potapov, P.; Turubanova, S.; Hansen, M.C.; Tyukavina, A.; Zalles, V.; Khan, A.; Song, X.-P.; Pickens, A.; Shen, Q.; Cortez, J. Global maps of cropland extent and change show accelerated cropland expansion in the twenty-first century. Nat. Food 2022, 3, 19–28. [Google Scholar] [CrossRef] [PubMed]
  14. Schirpke, U.; Tasser, E.; Borsky, S.; Braun, M.; Eitzinger, J.; Gaube, V.; Getzner, M.; Glatzel, S.; Gschwantner, T.; Kirchner, M.; et al. Past and future impacts of land-use changes on ecosystem services in Austria. J. Environ. Manag. 2023, 345, 118728. [Google Scholar] [CrossRef]
  15. Shifaw, E.; Sha, J.; Li, X.; Bao, Z.; Ji, J.; Ji, Z.; Kassaye, A.Y.; Lai, S.; Yang, Y. Ecosystem services dynamics and their influencing factors: Synergies/tradeoffs interactions and implications, the case of upper Blue Nile basin, Ethiopia. Sci. Total Environ. 2024, 938, 173524. [Google Scholar] [CrossRef]
  16. Lawler, J.J.; Lewis, D.J.; Nelson, E.; Plantinga, A.J.; Polasky, S.; Withey, J.C.; Helmers, D.P.; Martinuzzi, S.; Pennington, D.; Radeloff, V.C. Projected land-use change impacts on ecosystem services in the United States. Proc. Natl. Acad. Sci. USA 2014, 111, 7492–7497. [Google Scholar] [CrossRef]
  17. Song, W.; Pijanowski, B.C.; Tayyebi, A. Urban expansion and its consumption of high-quality farmland in Beijing, China. Ecol. Indic. 2015, 54, 60–70. [Google Scholar] [CrossRef]
  18. Tolessa, T.; Senbeta, F.; Kidane, M. The impact of land use/land cover change on ecosystem services in the central highlands of Ethiopia. Ecosyst. Serv. 2017, 23, 47–54. [Google Scholar] [CrossRef]
  19. Liu, Y.; Li, T.; Zhao, W.; Wang, S.; Fu, B. Landscape functional zoning at a county level based on ecosystem services bundle: Methods comparison and management indication. J. Environ. Manag. 2019, 249, 109315. [Google Scholar] [CrossRef]
  20. Chen, W.; Chi, G.; Li, J. The spatial association of ecosystem services with land use and land cover change at the county level in China, 1995–2015. Sci. Total Environ. 2019, 669, 459–470. [Google Scholar] [CrossRef]
  21. Gao, J.; Li, F.; Gao, H.; Zhou, C.; Zhang, X. The impact of land-use change on water-related ecosystem services: A study of the Guishui River Basin, Beijing, China. J. Clean. Prod. 2017, 163, S148–S155. [Google Scholar] [CrossRef]
  22. Foley, J.A.; DeFries, R.; Asner, G.P.; Barford, C.; Bonan, G.; Carpenter, S.R.; Chapin, F.S.; Coe, M.T.; Daily, G.C.; Gibbs, H.K.; et al. Global consequences of land use. Science 2005, 309, 570–574. [Google Scholar] [CrossRef]
  23. Liu, X.; Liu, Y.; Wang, Y.; Liu, Z. Evaluating potential impacts of land use changes on water supply-demand under multiple development scenarios in dryland region. J. Hydrol. 2022, 610, 127811. [Google Scholar] [CrossRef]
  24. Qi, X.; Feng, K.; Sun, L.; Zhao, D.; Huang, X.; Zhang, D.; Liu, Z.; Baiocchi, G. Rising agricultural water scarcity in China is driven by expansion of irrigated cropland in water scarce regions. One Earth 2022, 5, 1139–1152. [Google Scholar] [CrossRef]
  25. Chen, W.; Ye, X.; Li, J.; Fan, X.; Liu, Q.; Dong, W. Analyzing requisition-compensation balance of farmland policy in China through telecoupling: A case study in the middle reaches of Yangtze River Urban Agglomerations. Land Use Policy 2019, 83, 134–146. [Google Scholar] [CrossRef]
  26. Shi, Z.; Ai, L.; Li, X.; Huang, X.; Wu, G.; Liao, W. Partial least-squares regression for linking land-cover patterns to soil erosion and sediment yield in watersheds. J. Hydrol. 2013, 498, 165–176. [Google Scholar] [CrossRef]
  27. Poeplau, C.; Don, A.; Vesterdal, L.; Leifeld, J.; Van Wesemael, B.; Schumacher, J.; Gensior, A. Temporal dynamics of soil organic carbon after land-use change in the temperate zone—Carbon response functions as a model approach. Glob. Chang. Biol. 2011, 17, 2415–2427. [Google Scholar] [CrossRef]
  28. Tang, L.; Ke, X.; Zhou, T.; Zheng, W.; Wang, L. Impacts of cropland expansion on carbon storage: A case study in Hubei, China. J. Environ. Manag. 2020, 265, 110515. [Google Scholar] [CrossRef]
  29. Li, F.; Wu, S.; Liu, H.; Yan, D. Biodiversity loss through cropland displacement for urban expansion in China. Sci. Total Environ. 2024, 907, 167988. [Google Scholar] [CrossRef]
  30. Tang, L.; Ke, X.; Chen, Y.; Wang, L.; Zhou, Q.; Zheng, W.; Xiao, B. Which impacts more seriously on natural habitat loss and degradation? Cropland expansion or urban expansion? Land Degrad. Dev. 2021, 32, 946–964. [Google Scholar] [CrossRef]
  31. Zhang, B.; Li, L.; Xia, Q.; Dong, J. Land use change and its impact on carbon storage under the constraints of “three lines”: A case study of Wuhan City circle. Acta Ecol. Sin. 2022, 42, 2265–2280. [Google Scholar]
  32. Li, X.; Chen, Y. Projecting the future impacts of China’s cropland balance policy on ecosystem services under the shared socioeconomic pathways. J. Clean. Prod. 2020, 250, 119489. [Google Scholar] [CrossRef]
  33. Zheng, W.; Li, S.; Ke, X.; Li, X.; Zhang, B. The impacts of cropland balance policy on habitat quality in China: A multiscale administrative perspective. J. Environ. Manag. 2022, 323, 116182. [Google Scholar] [CrossRef] [PubMed]
  34. Bradford, J.B.; D’Amato, A.W. Recognizing trade-offs in multi-objective land management. Front. Ecol. Environ. 2012, 10, 210–216. [Google Scholar] [CrossRef]
  35. Howe, C.; Suich, H.; Vira, B.; Mace, G.M. Creating win-wins from trade-offs? Ecosystem services for human well-being: A meta-analysis of ecosystem service trade-offs and synergies in the real world. Glob. Environ. Chang. 2014, 28, 263–275. [Google Scholar] [CrossRef]
  36. West, P.C.; Gibbs, H.K.; Monfreda, C.; Wagner, J.; Barford, C.C.; Carpenter, S.R.; Foley, J.A. Trading carbon for food: Global comparison of carbon stocks vs. crop yields on agricultural land. Proc. Natl. Acad. Sci. USA 2010, 107, 19645–19648. [Google Scholar] [CrossRef] [PubMed]
  37. Nelson, E.; Mendoza, G.; Regetz, J.; Polasky, S.; Tallis, H.; Cameron, D.R.; Chan, K.M.A.; Daily, G.C.; Goldstein, J.; Kareiva, P.M.; et al. Modeling multiple ecosystem services, biodiversity conservation, commodity production, and tradeoffs at landscape scales. Front. Ecol. Environ. 2009, 7, 4–11. [Google Scholar] [CrossRef]
  38. Nigussie, S.; Mulatu, T.; Liu, L.; Yeshitela, K. The impact of land use/cover change on the supply, demand, and budgets of ecosystem services in the Little Akaki River catchment, Ethiopia. Environ. Dev. Sustain. 2023, 1–32. [Google Scholar] [CrossRef]
  39. Perschke, M.J.; Harris, L.R.; Sink, K.J.; Lombard, A.T. Using ecological infrastructure to comprehensively map ecosystem service demand, flow and capacity for spatial assessment and planning. Ecosyst. Serv. 2023, 62, 101536. [Google Scholar] [CrossRef]
  40. Adem, E.; Chaabani, A.; Yilmaz, N.; Boteva, S.; Zhang, L.; Elhag, M. Assessing the impacts of precipitation on water yield estimation in arid environments: Case study in the southwestern part of Saudi Arabia. Sustain. Chem. Pharm. 2024, 39, 101539. [Google Scholar] [CrossRef]
  41. Du, J.; Gong, Y.; Xi, X.; Liu, C.; Qian, C.; Ye, B. The study on the spatiotemporal changes in tradeoffs and synergies of ecosystem services and response to land use/land cover changes in the region around Taihu Lake. Heliyon 2024, 10, e33375. [Google Scholar] [CrossRef]
  42. Reheman, R.; Kasimu, A.; Duolaiti, X.; Wei, B.; Zhao, Y. Research on the Change in Prediction of Water Production in Urban Agglomerations on the Northern Slopes of the Tianshan Mountains Based on the InVEST-PLUS Model. Water 2023, 15, 776. [Google Scholar] [CrossRef]
  43. Zhang, X.; Li, Y.; Lyu, C.; Bi, R.; Xia, L.; Guo, Y.; Wang, Y.; Xu, C.; Sun, B. Research progress on application of ecosystem service functions based on InVEST model. Ecol. Sci. 2022, 41, 237–242. [Google Scholar]
  44. Al Kafy, A.; Saha, M.; Fattah, M.A.; Rahman, M.T.; Duti, B.M.; Rahaman, Z.A.; Bakshi, A.; Kalaivani, S.; Rahaman, S.N.; Sattar, G.S. Integrating forest cover change and carbon storage dynamics: Leveraging Google Earth Engine and InVEST model to inform conservation in hilly regions. Ecol. Indic. 2023, 152, 110374. [Google Scholar] [CrossRef]
  45. Yang, H.; Huang, J.; Liu, D. Linking climate change and socioeconomic development to urban land use simulation: Analysis of their concurrent effects on carbon storage. Appl. Geogr. 2020, 115, 102135. [Google Scholar] [CrossRef]
  46. Wang, Y.; Dai, E. Spatial-temporal changes in ecosystem services and the trade-off relationship in mountain regions: A case study of Hengduan Mountain region in Southwest China. J. Clean. Prod. 2020, 264, 121573. [Google Scholar] [CrossRef]
  47. Inacio, M.; Pinto, L.; Baltranaite, E.; Kalinauskas, M.; Burkhard, B.; Barcelo, D.; Pereira, P. Mapping and assessing marine ecosystem services supply in the Baltic Sea. Sci. Total Environ. 2024, 950, 175199. [Google Scholar] [CrossRef]
  48. Roces-Diaz, J.V.; Burkhard, B.; Kruse, M.; Mueller, F.; Diaz-Varela, E.R.; Alvarez-Alvarez, P. Use of ecosystem information derived from forest thematic maps for spatial analysis of ecosystem services in northwestern Spain. Landsc. Ecol. Eng. 2017, 13, 45–57. [Google Scholar] [CrossRef]
  49. Yuan, Y.; Bai, Z.; Zhang, J.; Huang, Y. Investigating the trade-offs between the supply and demand for ecosystem services for regional spatial management. J. Environ. Manag. 2023, 325, 116591. [Google Scholar] [CrossRef]
  50. Ren, J.; Ma, R.; Huang, Y.; Wang, Q.; Guo, J.; Li, C.; Zhou, W. Identifying the trade-offs and synergies of land use functions and their influencing factors of Lanzhou-Xining urban agglomeration in the upper reaches of Yellow River Basin, China. Ecol. Indic. 2024, 158, 111279. [Google Scholar] [CrossRef]
  51. Liang, X.; Guan, Q.; Clarke, K.C.; Liu, S.; Wang, B.; Yao, Y. Understanding the drivers of sustainable land expansion using a patch-generating land use simulation (PLUS) model: A case study in Wuhan, China. Comput. Environ. Urban Syst. 2021, 85, 101569. [Google Scholar] [CrossRef]
  52. Zhang, X.; Song, W.; Lang, Y.; Feng, X.; Yuan, Q.; Wang, J. Land use changes in the coastal zone of China’s Hebei Province and the corresponding impacts on habitat quality. Land Use Policy 2020, 99, 104957. [Google Scholar] [CrossRef]
  53. Aneseyee, A.B.; Noszczyk, T.; Soromessa, T.; Elias, E. The InVEST Habitat Quality Model Associated with Land Use/Cover Changes: A Qualitative Case Study of the Winike Watershed in the Omo-Gibe Basin, Southwest Ethiopia. Remote Sens. 2020, 12, 1103. [Google Scholar] [CrossRef]
  54. Gao, R.; Chuai, X.; Ge, J.; Wen, J.; Zhao, R.; Zuo, T. An integrated tele-coupling analysis for requisition-compensation balance and its influence on carbon storage in China. Land Use Policy 2022, 116, 106057. [Google Scholar] [CrossRef]
  55. Hou, G.R.; Zheng, J.K.; Cui, X.L.; He, F.; Zhang, Y.Q.; Wang, Y.; Li, X.W.; Fan, C.; Tan, B. Suitable coverage and slope guided by soil and water conservation can prevent non-point source pollution diffusion: A case study of grassland. Ecotoxicol. Environ. Saf. 2022, 241, 113804. [Google Scholar] [CrossRef] [PubMed]
  56. Nepstad, D.C.; De Carvalho, C.R.; Davidson, E.A.; Jipp, P.H.; Lefebvre, P.A.; Negreiros, G.H.; Da Silva, E.D.; Stone, T.A.; Trumbore, S.E.; Vieira, S. The role of deep roots in the hydrological and carbon cycles of amazonian forests and pastures. Nature 1994, 372, 666–669. [Google Scholar] [CrossRef]
  57. Tang, Q.; Hua, L.; Cao, Y.; Jiang, L.; Cai, C. Human activities are the key driver of water erosion changes in northeastern China. Land Degrad. Dev. 2024, 35, 62–75. [Google Scholar] [CrossRef]
  58. Jarvis, N.; Larsbo, M.; Koestel, J. Connectivity and percolation of structural pore networks in a cultivated silt loam soil quantified by X-ray tomography. Geoderma 2017, 287, 71–79. [Google Scholar] [CrossRef]
  59. Ferro, N.D.; Sartori, L.; Simonetti, G.; Berti, A.; Morari, F. Soil macro- and microstructure as affected by different tillage systems and their effects on maize root growth. Soil Tillage Res. 2014, 140, 55–65. [Google Scholar] [CrossRef]
  60. Peng, J.; Tian, L.; Zhang, Z.; Zhao, Y.; Green, S.M.; Quine, T.A.; Liu, H.; Meersmans, J. Distinguishing the impacts of land use and climate change on ecosystem services in a karst landscape in China. Ecosyst. Serv. 2020, 46, 101199. [Google Scholar] [CrossRef]
  61. Li, J.; Zhou, Y.; Li, Q.; Yi, S.; Peng, L. Exploring the Effects of Land Use Changes on the Landscape Pattern and Soil Erosion of Western Hubei Province from 2000 to 2020. Int. J. Environ. Res. Public Health 2022, 19, 1571. [Google Scholar] [CrossRef]
  62. Li, Q.; Zhou, Y.; Wang, L.; Zuo, Q.; Yi, S.; Liu, J.; Su, X.; Xu, T.; Jiang, Y. The Link between Landscape Characteristics and Soil Losses Rates over a Range of Spatiotemporal Scales: Hubei Province, China. Int. J. Environ. Res. Public Health 2021, 18, 11044. [Google Scholar] [CrossRef]
  63. López-Moreno, J.I.; Vicente-Serrano, S.M.; Moran-Tejeda, E.; Zabalza, J.; Lorenzo-Lacruz, J.; García-Ruiz, J.M. Impact of climate evolution and land use changes on water yield in the ebro basin. Hydrol. Earth Syst. Sci. 2011, 15, 311–322. [Google Scholar] [CrossRef]
  64. Lee, Y.-C.; Ahern, J.; Yeh, C.-T. Ecosystem services in peri-urban landscapes: The effects of agricultural landscape change on ecosystem services in Taiwan’s western coastal plain. Landsc. Urban Plan. 2015, 139, 137–148. [Google Scholar] [CrossRef]
  65. Yohannes, H.; Soromessa, T.; Argaw, M.; Dewan, A. Impact of landscape pattern changes on hydrological ecosystem services in the Beressa watershed of the Blue Nile Basin in Ethiopia. Sci. Total Environ. 2021, 793, 148559. [Google Scholar] [CrossRef]
  66. Mabuda, M.O.; Shoko, C.; Dube, T.; Mazvimavi, D. An analysis of the effects of changes in land use and land cover on runoff in the Luvuvhu catchment, South Africa. Remote Sens. Appl. Soc. Environ. 2024, 33, 101144. [Google Scholar] [CrossRef]
  67. Deng, Z.-Y.; Cao, J.-S. Incorporating ecosystem services into functional zoning and adaptive management of natural protected areas as case study of the Shennongjia region in China. Sci. Rep. 2023, 13, 18870. [Google Scholar] [CrossRef]
  68. Yan, K.; Zhao, B.; Li, Y.; Wang, X.; Jin, J.; Jiang, J.; Dong, W.; Wang, R.; Yang, H.; Wang, T.; et al. Effects of the Implementation Intensity of Ecological Engineering on Ecosystem Service Tradeoffs in Qinghai Province, China. Land 2024, 13, 848. [Google Scholar] [CrossRef]
  69. Zubaida, M. Trade-offs and synergies between ecosystem services in Yutian County along the Keriya River Basin, Northwest China. J. Arid Land 2024, 16, 943–962. [Google Scholar] [CrossRef]
  70. Han, H.; Gao, H.; Huang, Y.; Chen, X.; Chen, M.; Li, J. Effects of drought on freshwater ecosystem services in poverty-stricken mountain areas. Glob. Ecol. Conserv. 2019, 17, e00537. [Google Scholar] [CrossRef]
  71. Gomes, E.; Inacio, M.; Bogdzevi, K.; Kalinauskas, M.; Karnauskait, D.; Pereira, P. Future land-use changes and its impacts on terrestrial ecosystem services: A review. Sci. Total Environ. 2021, 781, 146716. [Google Scholar] [CrossRef]
  72. Agudelo, C.A.R.; Bustos, S.L.H.; Moreno, C.A.P. Modeling interactions among multiple ecosystem services. A critical review. Ecol. Model. 2020, 429, 109103. [Google Scholar] [CrossRef]
  73. Azimi, M.; Barzali, M.; Abdolhosseini, M.; Lotfi, A. Examining the impact of rangeland condition on water conservation by using an integrated modelling approach. Land Degrad. Dev. 2021, 32, 3711–3719. [Google Scholar] [CrossRef]
  74. Bastos, A.; Sippel, S.; Frank, D.; Mahecha, M.D.; Zaehle, S.; Zscheischler, J.; Reichstein, M. A joint framework for studying compound ecoclimatic events. Nat. Rev. Earth Environ. 2023, 4, 333–350. [Google Scholar] [CrossRef]
Figure 1. Land use and elevation map of Hubei Province.
Figure 1. Land use and elevation map of Hubei Province.
Land 13 01641 g001
Figure 2. Technology roadmap. HQ—habitat quality; CS—carbon storage; SR—soil retention; WY—water yield.
Figure 2. Technology roadmap. HQ—habitat quality; CS—carbon storage; SR—soil retention; WY—water yield.
Land 13 01641 g002
Figure 3. Spatial distribution of CLRCB in Hubei Province (2000–2020). (a) shows the spatial distribution of cultivated land occupation and compensation in Hubei Province, while (b) illustrates the distribution of cultivated land occupation and compensation area, quantity–quality balance index across various cities in Hubei Province.
Figure 3. Spatial distribution of CLRCB in Hubei Province (2000–2020). (a) shows the spatial distribution of cultivated land occupation and compensation in Hubei Province, while (b) illustrates the distribution of cultivated land occupation and compensation area, quantity–quality balance index across various cities in Hubei Province.
Land 13 01641 g003
Figure 4. Changes in various ecosystem services due to CLRCB. HQ—habitat quality; CS—carbon storage; SR—soil retention; WY—water yield.
Figure 4. Changes in various ecosystem services due to CLRCB. HQ—habitat quality; CS—carbon storage; SR—soil retention; WY—water yield.
Land 13 01641 g004
Figure 5. Proportion of ecosystem service changes in CLRCB areas relative to total changes in the study area. HQ—habitat quality; CS—carbon storage; SR—soil retention; WY—water yield.
Figure 5. Proportion of ecosystem service changes in CLRCB areas relative to total changes in the study area. HQ—habitat quality; CS—carbon storage; SR—soil retention; WY—water yield.
Land 13 01641 g005
Figure 6. Correlation analysis of ecosystem service changes in CLRCB areas. HQ—habitat quality; CS—carbon storage; SR—soil retention; WY—water yield.
Figure 6. Correlation analysis of ecosystem service changes in CLRCB areas. HQ—habitat quality; CS—carbon storage; SR—soil retention; WY—water yield.
Land 13 01641 g006
Figure 7. Spatial distribution of trade-offs and synergies of ecosystem services due to cultivated land requisition and compensation at the county level (2000–2020). HQ—habitat quality; CS—carbon storage; SR—soil retention; WY—water yield.
Figure 7. Spatial distribution of trade-offs and synergies of ecosystem services due to cultivated land requisition and compensation at the county level (2000–2020). HQ—habitat quality; CS—carbon storage; SR—soil retention; WY—water yield.
Land 13 01641 g007
Figure 8. Spatial distribution of ecosystem services in Hubei Province under three future scenarios. HQ—habitat quality; CS—carbon storage; SR—soil retention; WY—water yield.
Figure 8. Spatial distribution of ecosystem services in Hubei Province under three future scenarios. HQ—habitat quality; CS—carbon storage; SR—soil retention; WY—water yield.
Land 13 01641 g008
Figure 9. Trade-offs and synergies of ecosystem services due to cultivated land requisition and compensation under three future scenarios. HQ—habitat quality; CS—carbon storage; SR—soil retention; WY—water yield.
Figure 9. Trade-offs and synergies of ecosystem services due to cultivated land requisition and compensation under three future scenarios. HQ—habitat quality; CS—carbon storage; SR—soil retention; WY—water yield.
Land 13 01641 g009
Figure 10. Validation of simulation accuracy for soil retention (a) and water yield (b).
Figure 10. Validation of simulation accuracy for soil retention (a) and water yield (b).
Land 13 01641 g010
Figure 11. Average values of ecosystem services for different land-use types. HQ—habitat quality; CS—carbon storage; SR—soil retention; WY—water yield.
Figure 11. Average values of ecosystem services for different land-use types. HQ—habitat quality; CS—carbon storage; SR—soil retention; WY—water yield.
Land 13 01641 g011
Figure 12. Changes in ecosystem services due to cultivated land requisition and compensation. Nos. 1–7 represent cultivated land, forest land, grassland, water bodies, urban construction land, construction land, and unused land, respectively. Code 1–2 represents cultivated land converted to forest land, and the other codes follow the same rule. HQ—habitat quality; CS—carbon storage; SR—soil retention; WY—water yield.
Figure 12. Changes in ecosystem services due to cultivated land requisition and compensation. Nos. 1–7 represent cultivated land, forest land, grassland, water bodies, urban construction land, construction land, and unused land, respectively. Code 1–2 represents cultivated land converted to forest land, and the other codes follow the same rule. HQ—habitat quality; CS—carbon storage; SR—soil retention; WY—water yield.
Land 13 01641 g012
Table 1. Data source for this study.
Table 1. Data source for this study.
Data TypeDescriptionResolutionSource
Land-use dataLand-use data for the years 2000, 2010, and 202030 mData Center for Resources and Environmental Sciences, Chinese Academy of Sciences (https://www.resdc.cn/)
Soil dataDepth-to-bedrock1 kmhttps://doi.org/10.1038/s41597-019-0345-6
Soil textureWorld Soil Database (https://www.fao.org/soils-portal/en/, accessed on 29 September 2023)
Soil typeData Center for Resources and Environmental Sciences, Chinese Academy of Sciences (https://www.resdc.cn/)
Meteorological dataMonthly potential evapotranspiration for 2000, 2010, and 20201 kmNational Tibetan Plateau Data Center (https://data.tpdc.ac.cn/)
Monthly precipitation for 2000, 2010, and 2020
Precipitation and evapotranspiration of future climate scenario
Watershed dataWatershed and river network data extracted from DEM/Data Center for Resources and Environmental Sciences, Chinese Academy of Sciences (https://www.resdc.cn/)
Topographic dataDEM data30 mGeospatial Data Cloud (https://www.gscloud.cn/)
Slope dataGenerated from elevation
Socio-economic dataGDP, population, roads, county government/Data Center for Resources and Environmental Sciences, Chinese Academy of Sciences (https://www.resdc.cn/)
Farmland Production Potential
Table 2. Area of CLRCB and quantity–quality balance index in Hubei Province (2000–2020).
Table 2. Area of CLRCB and quantity–quality balance index in Hubei Province (2000–2020).
PeriodRequisitioned Cultivated Land Area (km2)Supplemented Cultivated Land Area (km2)Quantity Balance
Index
Potential Yield
Balance
Index
Productivity Balance Index
2000–20101209.061112.411.090.870.95
2010–20204540.301526.482.970.471.58
2000–20201971.861553.871.270.570.66
Table 3. Simulated land use change results for Hubei Province.
Table 3. Simulated land use change results for Hubei Province.
Land-Use ScenarioCultivated LandForest LandGrasslandWater BodiesUrban
Construction Land
Rural
Construction Land
Unused Land
Actual Scenario in 2020Area669.78922.4370.15116.4539.0837.763.82
Percentage36.02%49.61%3.77%6.26%2.10%2.03%0.21%
Natural DevelopmentArea666.78918.0670.17117.6544.5538.443.82
Percentage35.86%49.37%3.77%6.33%2.40%2.07%0.21%
Ecological ProtectionArea665.87922.7670.30116.3442.4238.133.66
Percentage35.81%49.62%3.78%6.26%2.28%2.05%0.20%
Urban DevelopmentArea666.85916.3570.23111.5852.6637.913.89
Percentage35.86%49.28%3.78%6.00%2.83%2.04%0.21%
Table 4. Ecosystem services in Hubei Province under different scenarios.
Table 4. Ecosystem services in Hubei Province under different scenarios.
Ecosystem ServiceActual
Scenario by 2020
Natural
Development Scenario by 2030
Ecological
Protection
Scenario by 2030
Urban
Development Scenario by 2030
Habitat quality0.5520.5420.5430.534
Carbon storage (1 × 109 t)2.3082.3022.3062.298
Soil retention (1 × 1011 t)1.4711.5211.2531.274
Water yield (1 × 1011 m³)1.342 1.4540.9051.061
Disclaimer/Publisher’s Note: The statements, opinions and data contained in all publications are solely those of the individual author(s) and contributor(s) and not of MDPI and/or the editor(s). MDPI and/or the editor(s) disclaim responsibility for any injury to people or property resulting from any ideas, methods, instructions or products referred to in the content.

Share and Cite

MDPI and ACS Style

He, Q.; Jiang, X.; Zhang, Y. The Gains and Losses of Cultivated Land Requisition–Compensation Balance: Analysis of the Spatiotemporal Trade-Offs and Synergies in Ecosystem Services Using Hubei Province as a Case Study. Land 2024, 13, 1641. https://doi.org/10.3390/land13101641

AMA Style

He Q, Jiang X, Zhang Y. The Gains and Losses of Cultivated Land Requisition–Compensation Balance: Analysis of the Spatiotemporal Trade-Offs and Synergies in Ecosystem Services Using Hubei Province as a Case Study. Land. 2024; 13(10):1641. https://doi.org/10.3390/land13101641

Chicago/Turabian Style

He, Qingsong, Xu Jiang, and Yang Zhang. 2024. "The Gains and Losses of Cultivated Land Requisition–Compensation Balance: Analysis of the Spatiotemporal Trade-Offs and Synergies in Ecosystem Services Using Hubei Province as a Case Study" Land 13, no. 10: 1641. https://doi.org/10.3390/land13101641

APA Style

He, Q., Jiang, X., & Zhang, Y. (2024). The Gains and Losses of Cultivated Land Requisition–Compensation Balance: Analysis of the Spatiotemporal Trade-Offs and Synergies in Ecosystem Services Using Hubei Province as a Case Study. Land, 13(10), 1641. https://doi.org/10.3390/land13101641

Note that from the first issue of 2016, this journal uses article numbers instead of page numbers. See further details here.

Article Metrics

Back to TopTop