Next Article in Journal
Quantifying and Mapping the Cooling Effect and Equity of Urban Parks during Extreme Heat Events in Coastal Cities
Next Article in Special Issue
Analysis of Surface Urban Heat Island in the Guangzhou-Foshan Metropolitan Area Based on Local Climate Zones
Previous Article in Journal
Contributions to a Theoretical Framework for Evaluating the Supply–Demand Matching of Medical Care Facilities in Mega-Cities: Incorporating Location, Scale, and Quality Factors
Previous Article in Special Issue
Numerical Study on the Summer High-Temperature Climate Adaptation of Traditional Dwellings in the Western Plains of Sichuan, China
 
 
Font Type:
Arial Georgia Verdana
Font Size:
Aa Aa Aa
Line Spacing:
Column Width:
Background:
Article

Commuting Pattern Recognition of Industrial Parks Using Mobile Phone Signaling Data: A Case Study of Nanjing, China

1
School of Architecture, Southeast University, Nanjing 210096, China
2
Jiangsu Provincial Planning and Design Group, Nanjing 210019, China
3
College of Geography and Planning, Chengdu University of Technology, Chengdu 610059, China
*
Author to whom correspondence should be addressed.
Land 2024, 13(10), 1605; https://doi.org/10.3390/land13101605
Submission received: 30 August 2024 / Revised: 27 September 2024 / Accepted: 1 October 2024 / Published: 3 October 2024
(This article belongs to the Special Issue Planning for Sustainable Urban and Land Development)

Abstract

As a novel industrial space to cope with global competition, industrial parks have gradually become important growth poles to promote regional development and provide a large number of employment opportunities. This study utilizes mobile phone signaling data to identify the commuting origins and destinations (OD) of different industrial parks in Nanjing while comparing the distribution of the working population, residential population, and commuting patterns across varying types and levels of industrial parks. The level of coordination of the employment–residential system in each park is quantified by calculating the resident commuting index (HSCi), employee commuting index (WSCi), and their coupling coordination degree. Additionally, geographic detectors are employed to identify the influencing factors and interaction effects that impact the employment–residential balance in industrial parks. Results show that industrial parks located in the central urban area attract more residential and working populations. The commuting volume of national and municipal as well as high-tech industrial parks is higher than other types of industrial parks. Most industrial parks experience more inward than outward commuting, and there is an uneven distribution of commuting flows, resulting in a network-like pattern of “central dense, peripheral sparse”. Various industrial parks exhibit a highly coupled job–housing system, and those with high HSCi tend to have high WSCi as well. The coupling coordination of industrial parks ranged from 0.16 to 0.93, with 13 being primary coordination or above and 3 being disordered. Industrial parks are classified into three types: employment-oriented, residential-oriented, and employment–residential balanced, with the residential-oriented type being predominant. The density of public transportation stops, park area, and land use mix are the primary factors affecting the employment–residential balance. Industrial parks with larger scale, better land allocation, and higher service facility levels are more likely to achieve coordination in the employment–residential system. Our work utilizes mobile signaling data to characterize the commuting patterns of industrial parks, providing insights for industrial park planning and promoting the integration of industry and city.

1. Introduction

An industrial park is a defined area with designated geographical boundaries established by governments or enterprises to drive industrial development and promote regional growth [1]. Before the 1930s, in a market economy with perfect competition and no government intervention in business investment and operations, entrepreneurs typically placed factories in locations with lower costs. With the role of agglomeration economies, industrial zones formed spontaneously and spread from the birthplace of the Industrial Revolution in late 18th-century England to various parts of the world after the revolution. [2]. Starting from the mid-1930s, many countries implemented industrial regional development policies that reinforced government intervention and regulation in economic affairs. In developed countries, it has become customary to construct new industrial parks on the periphery of urban centers, as well as to revive dilapidated or declining industrial and inner-city locales [3]. Export processing zones emerged in some developing countries and regions towards the end of the 1950s, and industrial parks were widely adopted as a means of development. As developed countries like Europe and the United States upgraded their industrial structures, certain labor-intensive and technology-intensive industries in their mature stages were gradually transferred to developing countries. This further catalyzed the construction of industrial parks in these countries, enabling some developing countries to transform into emerging industrialized countries. Since the 1980s, emerging industrial areas have become a popular strategy for urban development and growth, as countries worldwide adopt new strategies to cope with global competition and promote capital accumulation and urbanization [4].
To adapt to both domestic and international changes, China has implemented development zones as a targeted approach to promote emerging industries by creating economic spaces that benefit from special preferential policies. These industrial parks emerged alongside the country’s gradual opening up and were established through government-led industrial agglomeration. Throughout their development, China’s industrial parks have thrived under government support, leveraging integrated resources such as land, capital, and labor. Consequently, they are larger in scale compared to those in other countries [5]. Throughout their development, China’s industrial parks have benefited from the government’s special preferential policies, which have integrated and utilized related resources such as land, capital, and labor. As a result, they are larger in scale than those in other countries [5]. Against the background of industrial transformation and upgrading, industrial parks are gradually shifting from industrial economy to service economy, and the form of parks is constantly evolving to adapt to the current economic development environment. Industrial parks rely on independent innovation to drive economic development and engage in multi-level collaborative innovation with enterprises, universities, research institutions, governments, and other innovative entities, thereby promoting the emergence of various new urban spaces such as new districts, science and technology parks, and university towns, gradually assuming the role of an economic engine in regional development [6]. However, these industrial parks often lack necessary supporting facilities, and their functional and industrial structures are too singular, leading to the formation of “island economies” and hindering their sustainable development and integration with surrounding cities [7]. In response, China’s “National New Urbanization Plan (2014–2020)” proposes the integration of industry and city to coordinate the planning and construction of production, office, residential, and commercial areas. This measure aims to strengthen the urban functional transformation of existing industrial parks and promote the transformation from single production function to urban comprehensive function. The integration of industry and city is regarded as an important driving force to accelerate the development of industrial parks at the present stage and a powerful means to promote high-quality development in China.
Commuting is typically influenced by the spatial separation between residential and employment areas [8]. During the initial stage of industrial park development, these parks were often situated in suburban areas far from city centers, serving only as emerging industrial spaces in the suburbs of major cities, creating suburban “islands” that relied on the central city for their existence [9]. Although industrial parks provided public service facilities for employee residence and daily life, their primary focus continued to be on the construction of economic spaces, leading to an obvious imbalance between work and residence. In the later stages of development, industrial parks gradually transformed from single economic spaces to industrial communities that integrated social spaces, allocating significant amounts of housing and infrastructure for employees. However, the construction of urban functions still lagged behind [10], resulting in the phenomenon of pendulum commuting. Against the backdrop of integrated development of industry and city, the construction of industrial parks has shifted from separation to integration of industry and city. With the transformation and upgrading of industry, this process typically manifests as a shift from traditional manufacturing to productive service sectors, such as finance and technological innovation, resulting in the displacement of a large number of employees and triggering a reorganization of the social structure [11]. This, in turn, results in changes in job demand, causing drastic changes in the number and types of employment and affecting personal choices of work and residence. This is accompanied by a series of commuting problems, such as spatial mismatch and separation of work and residence [12]. Commuting, as one of the most critical activities in the daily lives of urban residents, plays a vital role in realizing personal labor value, cultivating social networks, and ensuring the smooth operation of the city’s economy [13,14]. Therefore, it is particularly important to clarify the commuting mode of industrial parks and its influencing factors. Especially in the context of advocating for the integration of industry and city, clarifying the commuting patterns of industrial parks can help make better planning decisions, leading to the optimization of park spatial structure, reduction in excessive commuting, and promotion of job–housing balance in industrial parks.
Scholars have extensively researched commuter behavior, traditionally relying on data from population censuses and travel survey questionnaires. These data provide detailed socio-demographic attributes of individuals, enabling comparisons of commuting characteristics across income levels, genders, and occupations [15,16], spatial analysis of the relationship between work and residential locations [17], and the study of the impact of urban form, land use, and other factors on commuting patterns [18]. For example, Wang et al. (2010) [19] analyzed the commuting time and direction characteristics of Beijing residents through a questionnaire survey and found that there was a serious residency–workplace separation phenomenon. However, these data sources have several limitations, including low update frequency, small sample sizes, and limited spatial resolution, which hinder their ability to accurately capture individual mobility behaviors related to residential, work, and commuting activities [20,21]. Moreover, sample size limitations make it challenging to represent comprehensive population mobility behaviors, especially when examining the spatial structure characteristics of large-scale urban commuting [22]. However, with the rapid development of information and communication technology, location-aware devices, such as mobile phone signaling data [23], taxi GPS trajectory data [24], and smart card data [25], make it possible to collect extensive human space–time movement trajectory data. Among them, mobile phone signaling data are communication data between mobile phone users and base stations, which are real-time, accurate, and have a wide coverage. In recent years, it has been commonly used in research on urban commuting issues. Supported by various big data sources, scholars have conducted research on commuting problems at different scales, ranging from streets [26], cities [27], and larger metropolitan areas [28,29], to the analysis of job–residence space characteristics [30], commuting characteristics analysis [31], jobs–housing balance measurement [32], and commuting impact factor analysis [33]. Analytical methods, such as job–housing ratio [34,35], spatial mismatch index [36], self-sufficiency (internal employment ratio) [37,38,39], and excess commuting [39,40], have been established. With the help of geographical weighted regression model (GWR) [41], random forest (RF) and gradient boosting decision tree (GBDT) [42], geographical detector model (GDM) [33], and other methods, the factors influencing employment–housing relationship or commuting characteristics, such as urban built environment, residents’ socio-economic attributes, and relevant policies and systems for housing and employment, have been explored. However, research on commuting patterns within specific areas, such as industrial parks, is still relatively rare.
China’s industrial parks can be classified according to their functions, including economic and technological development zones (ETDZ), high-tech industrial development zones (HTID), export processing zones, bonded zones, border economic cooperation zones, and free trade zones. They can also be categorized by administrative level, such as national, provincial, and municipal industrial parks. National industrial parks, especially ETDZs and HTIDs, have made remarkable contributions to China’s sustainable development over the past four decades since the launch of the reform and opening-up policy. As of the end of June 2021, the GDP created by only 230 national economic development zones and 169 national high-tech zones in China exceeded one-fifth of China’s GDP during the same period, and the total tax revenue was close to one-fourth of China’s total tax revenue during the same period [43]. Obviously, industrial parks, especially national economic development zones and high-tech zones, have become the main platform for China’s industrial development and an important growth pole for regional development [44]. These industrial parks have high economic output and provide a large number of job opportunities, but during their development there is often a mismatch between employment and housing, resulting in a spatial mismatch between work, residence, and excessive commuting.
Therefore, this article utilizes mobile signaling data to investigate the commuting patterns and factors affecting industrial park workers in Nanjing, China. This study aims to provide scientific support for planning decisions that optimize the spatial structure of industrial parks to reduce excessive commuting. The article is structured as follows: Section 2 introduces the study area and research methods, including the process of identifying commuting origin–destination (OD) pairs, measuring commuting indicators for industrial parks, identifying influencing factors, and selecting variables. In Section 3, a case study of Nanjing City is presented, which explores the commuting characteristics of various industrial parks and the level of jobs–housing balance and analyzes the main factors that impact industrial park commuting. Section 4 discusses the commuting patterns and influencing factors of industrial parks, as well as thoughts on future industrial park planning and construction. Finally, Section 5 summarizes the main conclusions and limitations of this study.

2. Data and Methods

2.1. Study Area

Nanjing is an important central city in eastern China, located in the lower reaches of the Yangtze River between 31°14′ N and 32°37′ N and 118°22′ E to 119°14′ E, and is the capital of Jiangsu Province. It has 11 districts (Xuanwu, Qinhuai, Jianye, Gulou, Pukou, Qixia, Yuhuatai, Jiangning, Liuhe, Lishui, and Gao chun) and one national new district (Jiangbei New District), covering a total area of 6587 km2, as depicted in Figure 1a. The central urban area, with a total area of 804 km2, is highly urbanized. By the end of 2023, the permanent population of Nanjing is expected to reach 9.547 million, with a GDP of CNY 1.742 trillion.
Nanjing, one of the most important cities for modern industrial development in China, was quick to establish the Nanjing High-tech Industrial Development Zone in 1988, leveraging its strategic location and advantages in high-level universities and research institutions. The zone received national recognition as a high-tech industrial development zone by the State Council in 1991, followed by the establishment of the Nanjing Economic and Technological Development Zone and Jiangning Development Zone in 1992. According to incomplete statistics, presently, Nanjing boasts a total of 102 parks across economic and technological development zones, high-tech industrial development zones, science and technology innovation platforms, scenic tourist areas, modern service industry clusters, new cities, and other types, including 17 national, 12 provincial, and 73 municipal parks. For this study, we selected 16 industrial parks with a focus on manufacturing, high-tech industries, and 2.5 industries, based on clear boundaries, appropriate scale, and spatial separation. We excluded parks with overlapping boundaries, small areas, inclusion within other parks, and with only scattered residential populations. Table 1 provides information on the level, type, area, development orientation, and dominant industries of each selected industrial park. The development of industrial parks in Nanjing has been rapid and is gradually maturing, and the development process has undergone a transformation from traditional industries to modern service and high-tech industries, followed by the emergence of specialty industries like “data + AI”, special robots, new energy, and so on. Moreover, with a large number and diverse types of industrial parks covering different levels and categories, Nanjing provides ideal conditions for studying the commuting patterns in industrial parks. Thus, the study of industrial parks in Nanjing as a case area is representative.

2.2. Data Processing

This article focuses primarily on mobile phone signaling data as the main data source, which records the spatial and temporal information of mobile phone users’ activities in the power-on state. China Mobile, the largest telecommunications service provider in China, provided the mobile signaling data, which were collected on 12 June 2019. According to the “China Mobile Limited 2023 Annual Report”, China Mobile had a user base of 991 million as of December 2023, accounting for approximately 70% of China’s population and holding a market share of over 50%. Its wide coverage allows for the characterization of population features that are similar to those of the entire region. The data are provided by operators and has been cleaned and integrated to include fields such as phone identification code (ID), timestamps (start_time and end_time), base station number (base), base station longitude (lng), and base station latitude (lat). Figure 1b illustrates the spatial distribution of mobile base stations in Nanjing. The signal data undergo preprocessing to derive daily effective trajectory data for each user. This process involves removing duplicate and missing entries and merging drift and ping-pong data to extract individual activity sequences, which include fields such as ID, timestamps, base, lng, lat, and dwell time. Additionally, this article includes data on Nanjing industrial parks, land use, POI, and road network, obtained from official websites of various industrial parks, land use change investigation, Gaode Map, and Open Street Map, respectively. Considering data availability and the consistency of collection timing, all these data were gathered in 2020. These data sources are used to reflect the characteristics of industrial park attributes, land use, public service facilities, and transportation facilities in Nanjing. The detailed information of the data is shown in Table 2.

2.3. Methods

2.3.1. Jobs–Housing Community Identification

The recognized process of commuting OD is shown in Figure 2. The first step is to identify stopping points. Initially, the trajectory points are assessed based on the time difference and speed between adjacent points. If the time difference exceeds 40 min, the point is classified as a definite stopping point; if it falls between 10 and 40 min, it is considered a possible stopping point; otherwise, it is labeled a displacement point. Additionally, a new field called “stay type” is added to each trajectory point to indicate its type. Next, it is determined whether adjacent continuous stopping points should be merged. All points are categorized as definite stopping points, possible stopping points, or displacement points. If two consecutive trajectory points are identified as stopping points and the distance between them is less than 800 m, they are merged. This process is repeated for all continuous stopping points until no points in Pi meet the merging conditions. The third step involves checking whether definite stopping points need to be merged. If fewer than two definite stopping points remain after the second step, the process proceeds to step four. If there are more than two stopping points, the spatial relationship between adjacent definite stopping points is evaluated. If the spatial constraint is satisfied, the two stopping points are merged; otherwise, no action is taken. In the fourth step, the final determination is based on the distance between each possible stopping point and the preceding and following definite stopping points. For each possible stopping point, its distance from the previous definite stopping point is calculated to determine if it satisfies the spatial constraint dqi. If it does, the point is identified as a stopping point; otherwise, it is classified as a displacement point. Finally, the commuting origin (O) and destination (D) points are obtained.
Next, the user’s residence and work locations are identified. Firstly, data during working days are selected based on the analysis of the user’s spatio-temporal travel map and the residential characteristics of residents. To determine the user’s place of residence, we look for the base station where the user has the longest stay time between 0:00 and 7:00 with an average daily stay time of exceeding two hours. For work location identification, we only consider the most common 8-hour work system and employment centers formed by employed people with fixed workplaces, accounting for differences in employment and travel patterns. Data are processed according to this rule, selecting 9:00–11:00 and 14:00–16:30 on working days to identify the point with the maximum daily stay time and a daily average stay time of more than two hours at a base station. To eliminate the possibility of mistaking a permanent residence for a work location, we exclude any base station within 400 m of the mobile phone user’s home during the day and night. Commuting patterns non-routine commuting patterns, such as cases where the residence and work locations are the same or the work location is not fixed, are excluded from consideration.
Finally, commuting origins and destinations (OD) are identified by calculating the distance between the user’s residence base station and work base station, along with the potential origins (O) and destinations (D) for each trip. A distance threshold of 800 m is established; if the distance between the user’s residence base station and O, as well as the distance between the work base station and D, both satisfy the condition of being less than 800 m, this trip is classified as a commuting OD. Otherwise, it is classified as a non-commuting OD.

2.3.2. Jobs–Housing Balance Evaluation

A well-balanced community should strive to be “self-contained”, where residents work within the same area to minimize long-distance travel and car usage and to promote regional sustainability [45]. However, in reality, residents and workers in a region do not always overlap completely. A single evaluation perspective may overlook important residential or occupational characteristics that are relevant to the region. As a result, Home-based Self-Containment (HSC) and Work-based Self-Containment (WSC) were developed to assess the employment–residential relationship of both sides within the designated evaluation unit [46]. Therefore, based on relevant research, this paper uses two indicators, HSCi (resident commuting index) and WSCi (employee commuting index), to measure the job–housing balance of industrial parks from both the perspectives of employment and residence [26,39]. The formula for calculation is as follows:
H S C i = 1 O u t w a r d   c o m m u t i n g T o t a l   n u m b e r   o f   r e s i d e n t s   l o c a l l y
W S C i = 1 I n w a r d   c o m m u t i n g T o t a l   n u m b e r   o f   w o r k e r s   l o c a l l y
The formula includes two indicators: HSCi and WSCi. HSCi represents the contribution of the residential population in industrial parks to non-outward commuting, while WSCi represents the contribution of the employed population in industrial parks to non-inward commuting. These indicators aim to investigate whether the residential or employed population in the industrial park chooses to work or live outside the park. A higher HSCi indicates that more residential population in the industrial park works inside the park, while a higher WSCi reflects that more employed population in the industrial park lives inside the park. These indicators demonstrate the industrial park’s ability to provide job opportunities and living facilities, as well as the convenience of commuting for the residential and employed population in the local area. A region’s employment and residential relationships can only be considered balanced when both HSCi and WSCi are relatively high.
Coupling coordination models are commonly used to examine the interactions and coordination among multiple systems. The extent of interaction between these systems is quantified by the “coupling degree” [47]. The closer the relationship between systems, the higher the coupling degree, leading to greater mutual influence. The “coordination degree” measures the consistency and cooperation among subsystems or components within a system. A higher coordination degree indicates a more harmonious internal operation and greater alignment of goals. The “coupling coordination degree” assesses the quality of coupling in the interactions between systems, reflecting the overall effectiveness of their coordination [48,49]. In this study, we will utilize the coupling coordination model to assess the relationship between employment and residence in industrial parks. The model is structured as follows [50]:
D = C × T
The coupling coordination degree, denoted as D, ranges from 0 to 1. A D value of 1 signifies that the systems have achieved the highest degree of coupling, while a value of 0 indicates the lowest degree of coupling. The coupling degree, represented by C, is calculated using the following formula [51]:
C = 2 U 1 × U 2 U 1 + U 2 2
The values of HSCi and WSCi are denoted by U1 and U2, respectively, and the correlation coefficient C ranges between 0 and 1. The coordination index, T, is calculated using the formula T = aU1 + bU2, where a and b are the contribution coefficients of HSCi and WSCi, respectively. As both subsystems are equally significant, a and b are both set to 0.5. Based on previous studies [52,53,54], the coupling coordination degree is classified into 10 levels (Table 3).

2.3.3. Exploring the Factors Influencing Commuting

The geographical detector model (GDM) is a spatial statistical analysis method that enables the exploration of correlations and degrees of influence between geographic phenomena [55]. GDM is primarily employed to comprehend complex relationships in spatial data and to identify the interactions between spatial variables [56]. The outcomes of GDM are quantified using q-values, as demonstrated in the formula [57]:
q x = 1 h = 1 L N h σ 2 h N σ 2
The spatial correlation between X and Y is measured using qx, while h ranges from 1 to L, where L denotes the layer of factor X (sub-region or sub-category). N and Nh represent the sample size of the study area and each layer h, respectively. Additionally, σ 2 and σ 2h represent the variance of Y in the entire area and each layer (h), respectively. The qx value ranges from 0 to 1, indicating the degree of influence of X on Y. A higher q-value indicates greater consistency between the coupling coordination of the industrial park and the corresponding factor’s spatial distribution, suggesting that Xn has a more significant impact on the coupling coordination. This study takes the dependent variable (Y) as the coupling and coordination results and selects eleven independent variables (X) from four aspects: park attributes, land use, public service facilities, and transportation facilities, combined with previous research on commuting impact factors (Table 4) [33,58]. GDM was utilized to explore the factors influencing commuting within industrial parks in Nanjing [59].
The interaction detector is a tool utilized to identify and evaluate the interaction effect between distinct explanatory variables. It assesses whether the joint effect of two factors increases or weakens the explanatory power of the dependent variable, or whether these factors possess independent effects on the dependent variable.

3. Results

3.1. Characteristics of Commuting

3.1.1. Distribution of Employment and Residential Population

Referring to Figure 3, the ranking of the residential population in different industrial parks corresponds with that of the working population, indicating a positive correlation between the two. The top six industrial parks, each with a population exceeding 100,000, significantly outperform other parks. NHTZ leads with a residential population of over 500,000, while NJNAITRIP has the smallest residential population, with fewer than 10,000 residents. JDZ and NHTZ also have the largest working populations, both surpassing 300,000, whereas BHTZ has the smallest working population at 13,402.
JDZ, NHTZ, CNSV, and NJHTIDZ, which are situated in the heart of Nanjing, have a larger residential and working population compared to industrial parks located further from the central urban area. The primary reason for this is that the central urban area is highly urbanized, with a high population density and advanced economic and industrial functions. The built environment is more developed, and land development is more intensive, making it a crucial area for carrying out urban core functions. Therefore, industrial parks situated in the central urban area have better industrial development and urban functions, thus attracting more residential and working populations.

3.1.2. Commuting Disparities across Different Industry Parks

The amount of outward and inward commuting in industrial parks is shown in Figure 4. NHTZ stands out with the largest outward commuting volume, exceeding 20,000 commuting trips, while NCIP has the smallest outward commuting volume, with only 177 commuting trips. JDZ has the largest inward commuting volume, with over 20,000 commuting trips, and BDZ has the smallest inward commuting volume, with 1367 commuting trips. Interestingly, thirteen industrial parks have larger inward commuting numbers than outward commuting numbers, while only three industrial parks, namely NHTZ, NJHTIDZ, and CLTIP, have larger outward commuting numbers. This pattern is mainly due to the weak degree of employment self-sufficiency in most industrial parks, resulting in a mismatch between jobs and housing. As a result, they are unable to fulfill their internal employment needs and must seek job opportunities in other industrial parks.
Generally, national and municipal industrial parks experience higher volumes of both outward and inward commuting, while provincial industrial parks tend to have lower commuting volumes. As depicted in Figure 4, commuting volumes in most national and municipal industrial parks surpass those of provincial industrial parks. This is largely attributed to their larger scale and the more favorable policy conditions and development opportunities that higher-level parks enjoy. Additionally, the type of industrial park influences people’s employment choices. High-tech industrial development zones have the highest commuting volume, with high numbers of both outward and inward commuting, followed by economic development zones, whereas chemical industrial parks have the lowest volume. Moreover, there are disparities in the gap between outward and inward commuting due to the different dominant industries and functional types in different types of industrial parks. For example, high-tech industrial development zones are primarily innovation centers and bases for high-tech research and development, while economic development zones are mainly new urban areas that balance production and living functions. Chemical parks focus primarily on production functions, resulting in different functional needs and employment opportunities that affect commuting in industrial parks. Therefore, compared to others, the living function of high-tech industrial parks is weaker, leading to a higher volume of outward commuting than inward commuting in NHTZ, NJHTIDZ, and CLTIP.

3.1.3. Spatial Distribution of Commuting Flow Disparities across Different Industry Parks

Figure 5 provides a clear visualization of the outward and inward commuting flows in each industrial park. The scale distribution of outward and inward commuting flows is uneven, with a higher proportion of small-scale commuters and a lower proportion of large-scale commuters. Short-distance commuting remains dominant, and large-scale commuting flows are mostly concentrated on the shortest straight-line distance between industrial parks that are far apart. Commuting flows of different scales are intertwined between industrial parks and are highly concentrated in the central urban area, with an overall spatial distribution that resembles a network shape of “dense in the center and sparse on the periphery”. Regarding outward commuting flows, NETDZ, JDZ, CNSV, NJHTIDZ, CLTIP, and NNTSTP are the main destinations for outward commuting populations, and most of them involve large-scale commuting flows due to their favorable geographical location. Inward commuting flows are primarily attracted to JD Z, CNSV, NNTSTP, NCIP, NETDZ, and NJHTIDZ, again due to their central location and complete residential and employment functions. It is worth noting that JGEDZ, which is located far from the center, has fewer outward commuting flows, and residents in the industrial park tend to commute less to work outside the park. Nonetheless, some workers still choose to commute long distances to work in the park, although short-distance commuting remains dominant, providing employment opportunities for the residents near the industrial park and covering a large area of Gaochun District.

3.2. Level of Jobs–Housing Balance

3.2.1. HSCi and WSCi Value

Overall, the HSCi and WSCi values for the 16 industrial parks were relatively high, with both exceeding 0.80, indicating that these parks can better satisfy the needs of local residents for work and housing (Figure 6). HSCi values range from 0.91 to 0.99, with the highest values of HSCi being observed in NETDZ, NCIP, BDZ, PEDZ, JGEDZ, LEDZ, and NJNAITRIP. Among these, seven parks, including two national, four provincial, and one municipal industrial park, all scored above 0.96, indicating strong employment self-sufficiency. This means that a larger population residing in these industrial parks can find work within the park. The smallest HSCi values were observed in BHTZ, XHTDZ, and NNTSTP, all below 0.93, indicating that the majority of the population residing in these three industrial parks work outside the area, with weak employment self-sufficiency.
The WSCi results range from 0.82 to 0.97, with high values distributed in NHTZ, BDZ, NJHTIDZ, and CLTIP. Of these, one national industrial park, one provincial industrial park, and two municipal industrial parks, all scoring above 0.93. This indicates that these four industrial parks have strong self-sufficiency in terms of residence, meaning that a large proportion of the population working in these parks can settle within the parks. Conversely, the WSCi in BHTZ, XHTDZ, and NNTSTP are still the smallest, consistent with HSCi, all below 0.85. This suggests that the self-sufficiency of residents in these four industrial parks is weak, meaning that the population working in these parks mostly comes from outside the area. Additionally, their small size greatly influences this trend.
As depicted in Figure 7, the areas with high HSCi and WSCi values do not entirely overlap, but they are adjacent in space. Industrial parks with higher HSCi and WSCi values are mainly situated on the periphery or outskirts of the central urban area. Furthermore, low-value areas are often adjacent to high-value areas, which could be industrial parks with superior living and working conditions. These parks have similar or comparable industrial distribution to smaller industrial parks in the surrounding region, but due to more comprehensive functions, better infrastructure, and more favorable development conditions, workers tend to congregate in these industrial parks, resulting in a relatively unbalanced between job and housing in smaller industrial parks. However, it is important to note that although NJNAITRIP has a small area, it is situated in the central urban region on the north bank of the Yangtze River and is not adjacent to any larger industrial parks. Consequently, the park’s inhabitants naturally prefer convenient commuting, which contributes to its designation as a high-value area for HSCi.

3.2.2. Coupling Coordination Degree of Jobs–Housing

As shown in Figure 8, except for NCIP, BHTZ, and NNTSTP, C values of other industrial parks exceed 0.8, indicating a high level of coupling and strong interaction between systems in Nanjing’s industrial parks. The distribution of the system’s D value in each park ranges from 0.16 to 0.93, with an average of 0.68. The T value between each park varies significantly, and the overall curve is below the C and D value curves, with a maximum of 0.87 and a minimum of 0.04. Coordination levels range from severe disorder to excellent coordination, with 13 industrial parks having a coordination level of 5 (borderline imbalance) or above, including BDZ, PEDZ, and LEDZ, with BDZ scoring the highest coupling coordination degree of 0.93. These industrial parks often have higher coordination indices, indicating better coordination between systems and more harmonious internal operations. Three industrial parks are below level 5, indicating an imbalanced state, with BHTZ having the lowest coupling coordination degree of only 0.16. National industrial parks have a relatively higher coupling coordination degree, while the coupling coordination degree of provincial and municipal industrial parks varies greatly.

3.3. Factors Affecting Commuting

3.3.1. Divergence and Factor Detection

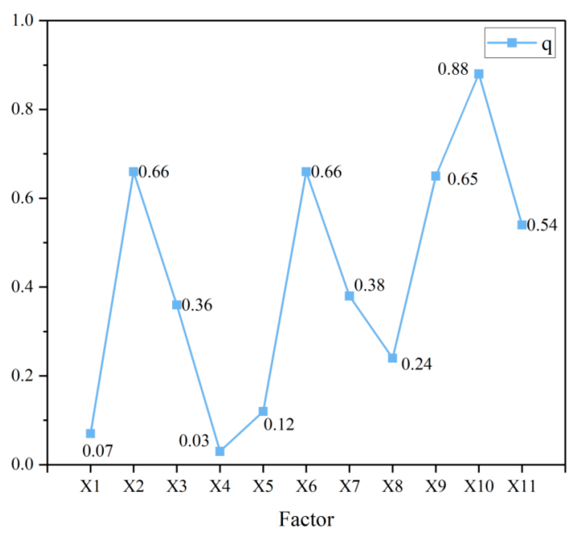
After running the GDM, we obtained the factor detection results shown in Figure 9. The factors with the highest q values are X10 (density of public transportation stations), X2 (park area), and X6 (land use mix). These three factors have the strongest spatial correlation with the coupling coordination degree of work and residence in industrial parks. The density of public transportation stations and park area are good indicators of the development level and current scale of the industrial park, while the land use mix can reduce the commuting needs of employees by obtaining the land value within the same size range. X9 (density of junior high schools and below) follows closely, as schools are essential residential supporting facilities that can attract more families to settle down. They are also a major consideration for people choosing to work and live in the industrial park. Furthermore, X11 (density of road network) also has a significant q value, as the density of road network is an important factor in measuring transportation convenience, which has a significant impact on the coupling coordination degree of work and residence in industrial parks. The three factors with the lowest q values are X5 (resident population), X1 (park level), and X4 (number of companies and research institutions), indicating that these factors have a relatively small impact on the coupling coordination degree of work and residence in industrial parks.

3.3.2. Interaction Detection

The results of the interaction detector reveal that the impact of each factor is not independent. Instead, they exhibit a dual-factor or nonlinear enhancement, wherein the interaction between any two factors is greater than the explanatory power of a single factor. This suggests that the work–residence relationship in Nanjing’s industrial parks is formed by the interplay of multiple factors. To visualize this, we used a heat map in Origin to reflect the interaction detection effect of the impact factors on the coordination degree of work–residence coupling in Nanjing’s industrial parks. Figure 10 illustrates that the darker the red, the stronger the interaction effect, with the strongest being X1 (park grade)∩X10 (density of public transportation stations), reaching 0.95. Additionally, X3 (compatibility between dominant industries and residence)∩X10 (density of public transportation stations) reached 0.934, and X2 (park area)∩X9 (density of secondary schools and below), X2 (park area)∩X7 (residential land use ratio), and X6 (land use mix)∩X7 (residential land use ratio) also reached 0.926. In the factor detection results, the interaction between the significant factors X10 (density of public transportation stations), X2 (park area), X6 (land use mix), and other factors is relatively strong, and the interaction between X10 (density of public transportation stations) and all factors is the most frequent. This further indicates that the coherence of the employment and residential systems is the result of the synergy of employment units, transportation convenience, park size, and housing conditions, and the explanatory power after interaction is higher.

4. Discussion

4.1. Commuting Pattern of Industry Parks in Nanjing

Based on the HSCi and WSCi values of Nanjing’s industrial parks and by considering the relative size of the two and the results of coupling coordination, these parks can be classified into three categories based on commuting patterns: employment-oriented, residence-oriented, and employment–residential balanced industrial parks (Figure 11).
The employment-oriented park is the NHTZ. Its WSCi is higher than the HSCi, suggesting that many employees in the park do not live in this region and that “residence” is scarcer than “employment”. Employment-oriented parks primarily serve workers from outside the park, offering more job opportunities and attracting more commuters, making them more employment-focused. The coupling coordination between employment and residence is well coordinated, indicating a high degree of balance between the two.
The residential-oriented industrial parks include JDZ, NETDZ, NCIP, XHTDZ, BHTZ, BDZ, PEDZ, JGEDZ, NLEDZ, LEDZ, NJNAITRIP, CNSV, and NNTSTP. These parks exhibit a higher HSCi than WSCi, suggesting that the job opportunities within them are inadequate to meet the demands of local residents, who must therefore look for employment outside the parks. “Employment” is scarcer than “residence” in these areas. Residential-oriented industrial parks primarily cater to the needs of park employees and, compared to other parks, offer fewer job opportunities and have fewer commuters, making them more geared towards residential purposes. Among them, three are national, all provincial, and three municipal industrial parks. The overall coordination of employment and residential functions in industrial parks is relatively balanced, with ten parks at a primary coordination level or above, but three are in a state of disorder.
The employment–residential balanced industrial parks are CLTIP and NJHTIDZ. Their HSCi and WSCi are similar and at a medium level, indicating that the residents within the park can basically find employment opportunities within the park itself. Employment–residential balanced industrial parks have a strong level of self-sufficiency, with a relatively balanced population of working and living residents. Both of them are municipal industrial parks with intermediate and good coordination degrees, respectively. The coupling coordination degree of employment and residence is generally good.

4.2. Factors Influencing the Jobs–Housing Balance

Based on the findings of geographic detectors, the factors that impact the employment–residential balance in industrial parks can be classified into three categories: park size, land allocation, and level of service facilities. Among these factors, park size has an impact on both work and residential commuting within the industrial park. On one hand, larger industrial parks can accommodate more enterprises, thus providing more job opportunities and reducing external commuting, leading to improved commuting indices for the residents and addressing employment issues within the park. On the other hand, larger industrial parks can incorporate multiple functions, including production and living, effectively addressing the housing needs of the working population within the park.
The impact of land allocation is primarily reflected in factors such as land use mix and the proportion of residential land use. Both of these factors are the combined results of industrial park construction and related land use policies. Land use mix indicates the allocation status within industrial parks, and the richer the types of land use, the more comprehensive the functional types of industrial parks. This improves the quality of life for residents in the industrial park, attracts more workers, and helps to promote the balance between work and residence. Additionally, a higher proportion of residential land use signifies a greater allocation of housing within the industrial park. This allows the park to offer more housing options, accommodate a larger population, and effectively improve the commuting index, thereby reducing long-distance commutes.
The level of service facilities is primarily indicated by the density of public transportation stops, schools, road networks, and comprehensive medical facilities. The density of public transportation stops and road networks significantly affects the transportation conditions of industrial parks. Conversely, the density of schools and comprehensive medical facilities impacts the overall service level of these parks, thereby influencing commuting distances and times. Improved transportation conditions and service facilities within industrial parks will attract a larger working and residential population, promoting a better balance between employment and living conditions.
The results of the interactive detector indicate that the combined effect of two or more factors significantly influences the employment–residential relationship in industrial parks, more so than any single factor alone. The interactions of various influencing factors reveal that the relationship between work and residence in industrial parks is complex and intertwined. This complexity arises from the direct impact of these individual factors on the employment–residential relationship, which in turn enhances the influence of other factors. The interrelatedness of these factors can indirectly affect the employment–residential relationship, ultimately amplifying their overall impact. For example, the q value of the interaction between park grade and the density of public transportation stops is as high as 0.95, underscoring the significant effect of this interaction on the employment–residential relationship. Higher park grades, greater development, and more robust infrastructure can attract larger residential and employment populations, effectively alleviating commuting issues, reducing long-distance travel, and promoting a better balance between employment and residence in industrial parks.

4.3. Inspiration for Industrial Park Planning

In many industrial parks, rush hour traffic congestion has become a significant transportation and social issue, posing an important obstacle to achieving sustainable development. The study of commuting patterns in Nanjing’s industrial parks has led to several recommendations for the planning and construction of these parks. Firstly, it is necessary to promote the diversified development of industries in various industrial parks, especially the diversified development of chemical industry parks, to create diverse employment opportunities and meet the differentiated employment needs of the residents. Residential-oriented industrial parks should adopt this strategy to increase job positions and offer more employment options, thereby effectively reducing outward commuting. When employment opportunities within industrial parks can fully meet the needs of the resident population, residents are more likely to choose to work within the parks to reduce commuting costs. Secondly, it is particularly important to improve the overall level of service facilities in industrial parks. While meeting the production and development needs of industrial parks, it is crucial to enrich and improve the functional types of the parks, providing high-quality living environments and public services for both the working population and surrounding residents. For example, meeting the needs of families with children for schooling, reducing commuting time, facilitating medical treatment, etc. This will attract more residential population, and workers in the park will choose to live in the park, reducing the need for long-distance commuting. For employment-oriented industrial parks, it is essential to adopt these strategies to enhance their urban functions, thus making their functional types more comprehensive. This can also improve the quality of life for the residents in these industrial parks and provide more living conveniences for the surrounding communities. Additionally, it is essential to optimize land allocation and improve land layout, increase the degree of land use mix, and enhance the urban functions of industrial parks. By integrating industry with urban development, functional land should be allocated around industrial areas to create comprehensive new cities that combine industrial and residential facilities. Furthermore, the supply of supporting facilities must be tailored to meet industry demands. Strengthening the provision of land that aligns with the spatial preferences of the industrial population is crucial, as is improving the compatibility of land use to satisfy the needs of diverse groups. By implementing these strategies, industrial parks can evolve from purely industrial zones into integrated industrial communities and ultimately into comprehensive new cities.

5. Conclusions

This study utilizes mobile signaling data to identify commuting OD in various industrial parks and compares the distribution of working and residential populations, as well as commuting spatial distribution differences among different types and levels of industrial parks. Two commuting index indicators, HSCi and WSCi, are used to measure the employment–residence balance in industrial parks. Moreover, a coupling coordination degree model is employed to measure the interaction relationship and coordination degree of the employment–residence system in each industrial park. Lastly, using geographic detectors, this study explores the influencing factors of commuting balance in industrial parks and examines the interactive effects of various factors. This study summarizes the commuting patterns of industrial parks in Nanjing, analyzes their main influencing factors, and provides relevant suggestions for the future planning and construction of industrial parks. This study has three main findings: (1) The residential and working populations are primarily concentrated in industrial parks located in the central urban area of Nanjing. Inward commuting is more prevalent than outward commuting in most industrial parks. National and municipal industrial parks exhibit a higher degree of inward and outward commuting as compared to provincial industrial parks. High-tech industrial development zones demonstrate the highest level of commuting, followed by economic development zones, while chemical industrial parks exhibit the least. The distribution of outward and inward commuting flows is uneven, with a larger proportion of small-scale commuters accounting for total commuting, primarily in short-distance commuting. Different scales of commuting flows are intertwined among various industrial parks, with a highly concentrated central urban area generally forming a network-like distribution with a “central dense, peripheral sparse” pattern. (2) The job–housing systems in various industrial parks are in a highly coupled stage, and those with high HSCi are more likely to have high WSCi. Both residents and employees enjoy favorable living and working conditions, with housing and job opportunities better suited to their needs within these industrial parks. The coupling coordination of industrial parks ranges from 0.16 to 0.93, with coordination levels ranging from excellent coordination to severe disorder. Nanjing’s industrial parks are categorized into three types: employment-oriented, residential-oriented, and employment–residential balanced, with the residential-oriented type being predominant. (3) The balance between employment and residential in industrial parks is the outcome of multiple factors interacting in three areas: park size, land allocation, and level of service facilities. Among these factors, the density of public transportation stops, park area, and land use mix have greater explanatory power. Conversely, the impact ranking of industrial park level, number of companies and research institutions, and permanent population is the lowest. Industrial parks with larger scale, more housing opportunities, and higher levels of service facilities are more likely to achieve coordination in the employment–residential system. For different commuting modes, industrial park planning and construction can be strengthened by realizing diversified development of industrial parks, improving the overall level of service facilities, and optimizing land allocation to promote the integration of industry and the city.
This study utilizes mobile phone signaling data to identify commuting patterns, which provides a more precise spatial resolution and larger sample size than traditional small-scale travel surveys. This approach offers detailed commuting flows from home to work, making it more suitable for studying the relationship between work and residential areas. Moreover, examining commuting patterns in specific areas, such as industrial parks, can provide valuable insights into their transformation and upgrading as well as solutions to commuting problems. This will further promote the integration of industry and cities, enhance residents’ well-being, and facilitate the high-quality development of industrial parks. However, this study has some limitations. The mobile base station coverage range selected for this study is between 100 m and 3 km, making it challenging to identify work and residential areas within the same coverage, which could result in lower commuting resolution and possible errors. Therefore, in the next step, multi-source big data, such as Tencent location data, can be combined to further investigate commuting patterns in industrial parks. This will help to gain a deeper understanding of issues like spatial mismatch and separation between work and residential areas, leading to a more comprehensive understanding of commuting patterns in industrial parks.

Author Contributions

X.Y., Y.Z. and X.W. conceived and designed this study. Funding acquisition was led by X.W. and Y.W. J.L., Z.G. and G.Z. contributed to data acquisition. Y.W. and Y.Z. contributed to methodology. J.L. and Y.W. were involved in drafting the initial manuscript. Y.W. contributed to visualization. X.Y. and Y.Z. contributed to the final manuscript revision. All authors have read and agreed to the published version of the manuscript.

Funding

This study was supported by the key projects of the National Social Science Foundation of China (22AZD052).

Data Availability Statement

The data presented in this study are available upon request from the corresponding author.

Conflicts of Interest

The authors declare no conflicts of interest.

References

  1. Porsia, E. Industrial estates in Europe and the Middle East United Nations Industrial Development Organization. G. Econ. Ann. Econ. 1972, 31, 725. [Google Scholar]
  2. Weber, A.; Friedrich, C.J. Alfred Weber’s Theory of the Location of Industries; University of Chicago Press: Chicago, IL, USA, 1929. [Google Scholar]
  3. Peddle, M.T. Planned industrial and commercial developments in the United States: A review of the history, literature, and empirical evidence regarding industrial parks and research parks. Econ. Dev. Q. 1993, 7, 107–124. [Google Scholar] [CrossRef]
  4. Wei, C.; Shen, J.; Fan, J.H. Rescaling: Role Changing of the state and spatial production strategy of region in the globalization era. City Plan. Rev. 2011, 35, 28–35. [Google Scholar]
  5. Yeung, Y.-m.; Lee, J.; Kee, G. China’s special economic zones at 30. Eurasian Geogr. Econ. 2009, 50, 222–240. [Google Scholar] [CrossRef]
  6. Li, W.B.; Chen, H. Analysis of City-Industry Integration and Planning Strategies. Urban Planning Forum. 2012, 2012, 99–103. [Google Scholar] [CrossRef]
  7. Wang, X.C. Study on Spatial Structure Transformation of Suburban Industrial Development Zone. Planners 2011, 27, 93–98. [Google Scholar]
  8. Hu, Y.; Wang, F.; Wilmot, C.G. Commuting variability by wage groups in Baton Rouge, 1990–2010. Pap. Appl. Geogr. 2017, 3, 14–29. [Google Scholar] [CrossRef]
  9. Wang, X.C. Exploring the Mechanisms and Dynamics of the Transformation of China’s Development Zones. Mod. Econ. Res. 2010, 2010, 15–19. [Google Scholar] [CrossRef]
  10. Hutton, T.A. The new economy of the inner city. Cities 2004, 21, 89–108. [Google Scholar] [CrossRef]
  11. Hamnett, C. Gentrification and the middle-class remaking of inner London, 1961-2001. Urban Stud. 2003, 40, 2401–2426. [Google Scholar] [CrossRef]
  12. Fan, Y.L.; Allen, R.; Sun, T.S. Spatial mismatch in Beijing, China: Implications of job accessibility for Chinese low-wage workers. Habitat Int. 2014, 44, 202–210. [Google Scholar] [CrossRef]
  13. Jing, Y.; Hu, Y.J.; Niedzielski, M.A. Neighborhood divides: Where you live matters for commuting and its efficiency. Cities 2023, 132, 11. [Google Scholar] [CrossRef]
  14. Deng, Y.L.; Zhao, P.J. Quantifying residential self-selection effects on commuting mode choice: A natural experiment. Transport. Res. Part D-Transport. Environ. 2022, 104, 14. [Google Scholar] [CrossRef]
  15. Sang, S.H.; O’Kelly, M.; Kwan, M.P. Examining Commuting Patterns: Results from a Journey-to-work Model Disaggregated by Gender and Occupation. Urban Stud. 2011, 48, 891–909. [Google Scholar] [CrossRef]
  16. Dai, D.D.; Zhou, C.S.; Ye, C.D. Spatial-temporal Characteristics and Factors Influencing Commuting Activities of Middle-class Residents in Guangzhou City, China. Chin. Geogr. Sci. 2016, 26, 410–428. [Google Scholar] [CrossRef]
  17. Han, H.R.; Yang, C.F.; Wang, E.R.; Song, J.P.; Zhang, M. Evolution of jobs-housing spatial relationship in Beijing Metropolitan Area: A job accessibility perspective. Chin. Geogr. Sci. 2015, 25, 375–388. [Google Scholar] [CrossRef]
  18. Song, Y.; Shao, G.F.; Song, X.D.; Liu, Y.; Pan, L.; Ye, H. The Relationships between Urban Form and Urban Commuting: An Empirical Study in China. Sustainability 2017, 9, 1150. [Google Scholar] [CrossRef]
  19. Wang, E.R.; Song, J.P.; Xu, T. From “spatial bond” to “spatial mismatch”: An assessment of changing jobs-housing relationship in Beijing. Habitat Int. 2011, 35, 398–409. [Google Scholar] [CrossRef]
  20. Iqbal, M.S.; Choudhury, C.F.; Wang, P.; González, M.C. Development of origin-destination matrices using mobile phone call data. Transp. Res. Part C-Emerg. Technol. 2014, 40, 63–74. [Google Scholar] [CrossRef]
  21. Yue, Y.; Lan, T.; Yeh, A.G.O.; Li, Q.Q. Zooming into individuals to understand the collective: A review of trajectory-based travel behaviour studies. Travel Behav. Soc. 2014, 1, 69–78. [Google Scholar] [CrossRef]
  22. Yuan, Y.; Raubal, M. Extracting dynamic urban mobility patterns from mobile phone data. In Proceedings of the Geographic Information Science: 7th International Conference, GIScience 2012, Columbus, OH, USA, 18–21 September 2012; Proceedings 7. pp. 354–367. [Google Scholar]
  23. Song, C.M.; Qu, Z.H.; Blumm, N.; Barabási, A.L. Limits of Predictability in Human Mobility. Science 2010, 327, 1018–1021. [Google Scholar] [CrossRef]
  24. Liu, Y.; Kang, C.G.; Gao, S.; Xiao, Y.; Tian, Y. Understanding intra-urban trip patterns from taxi trajectory data. J. Geogr. Syst. 2012, 14, 463–483. [Google Scholar] [CrossRef]
  25. Huang, J.; Levinson, D.; Wang, J.O.; Zhou, J.P.; Wang, Z.J. Tracking job and housing dynamics with smartcard data. Proc. Natl. Acad. Sci. USA 2018, 115, 12710–12715. [Google Scholar] [CrossRef]
  26. Wang, J.; Zhou, C.J.; Rong, J.; Liu, S.Y.; Wang, Y. Community-detection-based spatial range identification for assessing bilateral jobs-housing balance: The case of Beijing. Sustain. Cities Soc. 2022, 87, 11. [Google Scholar] [CrossRef]
  27. Zheng, M.N.; Liu, F.; Guo, X.C.; Lei, X.Y. Assessing the Distribution of Commuting Trips and Jobs-Housing Balance Using Smart Card Data: A Case Study of Nanjing, China. Sustainability 2019, 11, 5346. [Google Scholar] [CrossRef]
  28. Yao, Z.Y.; Kim, C. Analyzing the multiscale patterns of jobs-housing balance and employment self-containment by different income groups using LEHD data: A case study in Cincinnati metropolitan area. Comput. Environ. Urban Syst. 2022, 96, 13. [Google Scholar] [CrossRef]
  29. Pinter, G.; Felde, I. Commuting Analysis of the Budapest Metropolitan Area Using Mobile Network Data. ISPRS Int. J. Geo-Inf. 2022, 11, 466. [Google Scholar] [CrossRef]
  30. Wang, H.H.; Zeng, W.H.; Cao, R.X. Simulation of the Urban Jobs-Housing Location Selection and Spatial Relationship Using a Multi-Agent Approach. ISPRS Int. J. Geo-Inf. 2021, 10, 16. [Google Scholar] [CrossRef]
  31. Yang, X.P.; Fang, Z.X.; Yin, L.; Li, J.Y.; Zhou, Y.; Lu, S.W. Understanding the Spatial Structure of Urban Commuting Using Mobile Phone Location Data: A Case Study of Shenzhen, China. Sustainability 2018, 10, 1435. [Google Scholar] [CrossRef]
  32. Liu, H.; Kwan, M.P.; Hu, M.X.; Wang, H.; Zheng, J.M. Application of the local colocation quotient method in jobs-housing balance measurement based on mobile phone data: A case study of Nanjing City. Comput. Environ. Urban Syst. 2024, 109, 11. [Google Scholar] [CrossRef]
  33. Wang, J.F.; Luo, G.W.; Huang, Y.J.; Liu, M.; Wei, Y. Spatial Characteristics and Influencing Factors of Commuting in Central Urban Areas Using Mobile Phone Data: A Case Study of Nanning. Sustainability 2023, 15, 9648. [Google Scholar] [CrossRef]
  34. Horner, M.W.; Mefford, J.N. Investigating urban spatial mismatch using job–housing indicators to model home–work separation. Environ. Plan. A 2007, 39, 1420–1440. [Google Scholar] [CrossRef]
  35. Cervero, R. Jobs-housing balancing and regional mobility. J. Am. Plan. Assoc. 1989, 55, 136–150. [Google Scholar] [CrossRef]
  36. Martin, R.W. Spatial mismatch and the structure of American metropolitan areas, 1970–2000. J. Reg. Sci. 2004, 44, 467–488. [Google Scholar] [CrossRef]
  37. Martinus, K.; Biermann, S. Strategic Planning for Employment Self-Containment in Metropolitan Sub-Regions. Urban Policy Res. 2018, 36, 35–47. [Google Scholar] [CrossRef]
  38. Zhou, X.G.; Yeh, A.G.O.; Yue, Y. Spatial variation of self-containment and jobs-housing balance in Shenzhen using cellphone big data. J. Transp. Geogr. 2018, 68, 102–108. [Google Scholar] [CrossRef]
  39. Zhang, P.; Zhou, J.P.; Zhang, T.R. Quantifying and visualizing jobs-housing balance with big data: A case study of Shanghai. Cities 2017, 66, 10–22. [Google Scholar] [CrossRef]
  40. Hu, Y.J.; Wang, F.H. Decomposing excess commuting: A Monte Carlo simulation approach. J. Transp. Geogr. 2015, 44, 43–52. [Google Scholar] [CrossRef]
  41. Wang, D.G.; Cao, X.Y. Impacts of the built environment on activity-travel behavior: Are there differences between public and private housing residents in Hong Kong? Transp. Res. Part A-Policy Pract. 2017, 103, 25–35. [Google Scholar] [CrossRef]
  42. Tao, T.; Wang, J.Y.; Cao, X.Y. Exploring the non-linear associations between spatial attributes and walking distance to transit. J. Transp. Geogr. 2020, 82, 11. [Google Scholar] [CrossRef]
  43. Ren, H.; Zhen, J.; Ye, J.F.; Liu, B.; Zhong, D.T. The 2017 Blue Book on the Sustainable Development of Industrial Parks in China; Tongji University Press: Shanghai, China, 2017; p. 233. [Google Scholar]
  44. Zhen, J.; Ren, H.; Tang, K.Y. Sustainable Development of Industrial Parks in China: Process, Morphology, and Logic. Urban Plan. Forum 2022, 66–73. [Google Scholar] [CrossRef]
  45. Giuliano, G. Is Jobs-Housing Balance a Transportation Issue? University of California Transportation Center: Berkeley, CA, USA, 1991. [Google Scholar]
  46. Zhang, H.; Xu, S.; Liu, X.; Liu, C. Near “real-time” estimation of excess commuting from open-source data: Evidence from China’s megacities. J. Transp. Geogr. 2021, 91, 102929. [Google Scholar] [CrossRef]
  47. Cai, J.; Li, X.P.; Liu, L.J.; Chen, Y.Z.; Wang, X.W.; Lu, S.H. Coupling and coordinated development of new urbanization and agro-ecological environment in China. Sci. Total Environ. 2021, 776, 11. [Google Scholar] [CrossRef]
  48. Wang, R.; Tan, J.L. Exploring the coupling and forecasting of financial development, technological innovation, and economic growth. Technol. Forecast. Soc. Chang. 2021, 163, 11. [Google Scholar] [CrossRef]
  49. Illingworth, V. The New Penguin Dictionary of Geology; Foreign Language Press: Beijing, China, 1996. [Google Scholar]
  50. Naikoo, M.W.; Shahfahad; Talukdar, S.; Ishtiaq, M.; Rahman, A. Modelling built-up land expansion probability using the integrated fuzzy logic and coupling coordination degree model. J. Environ. Manag. 2023, 325, 17. [Google Scholar] [CrossRef] [PubMed]
  51. Chen, Q.; Chen, W.X.; Wu, D.; Zheng, L.; Li, J.F. Spatiotemporal evolution and influencing factors of tourism development efficiency in the Yangtze River Economic Belt, China. J. Clean. Prod. 2022, 379, 11. [Google Scholar] [CrossRef]
  52. Xu, M.X.; Hu, W.Q. A research on coordination between economy, society and environment in China: A case study of Jiangsu. J. Clean. Prod. 2020, 258, 10. [Google Scholar] [CrossRef]
  53. Geng, Y.Q.; Wei, Z.J.; Zhang, H.; Maimaituerxun, M. Analysis and Prediction of the Coupling Coordination Relationship between Tourism and Air Environment: Yangtze River Economic Zone in China as Example. Discret. Dyn. Nat. Soc. 2020, 2020, 15. [Google Scholar] [CrossRef]
  54. Liu, X.L.; Vu, D.; Perera, S.C.; Wang, G.F.; Xiong, R. Nexus between water-energy-carbon footprint network: Multiregional input-output and coupling coordination degree analysis. J. Clean. Prod. 2023, 430, 13. [Google Scholar] [CrossRef]
  55. Song, Y.Z.; Wang, J.F.; Ge, Y.; Xu, C.D. An optimal parameters-based geographical detector model enhances geographic characteristics of explanatory variables for spatial heterogeneity analysis: Cases with different types of spatial data. GISci. Remote Sens. 2020, 57, 593–610. [Google Scholar] [CrossRef]
  56. Wang, J.F.; Hu, Y. Environmental health risk detection with GeogDetector. Environ. Modell. Softw. 2012, 33, 114–115. [Google Scholar] [CrossRef]
  57. Qiao, P.W.; Yang, S.C.; Lei, M.; Chen, T.B.; Dong, N. Quantitative analysis of the factors influencing spatial distribution of soil heavy metals based on geographical detector. Sci. Total Environ. 2019, 664, 392–413. [Google Scholar] [CrossRef] [PubMed]
  58. Luo, G.W.; Ye, J.Y.; Wang, J.F.; Wei, Y. Urban Functional Zone Classification Based on POI Data and Machine Learning. Sustainability 2023, 15, 4631. [Google Scholar] [CrossRef]
  59. Wang, H.Y.; Qin, F.; Xu, C.D.; Li, B.; Guo, L.P.; Wang, Z. Evaluating the suitability of urban development land with a Geodetector. Ecol. Indic. 2021, 123, 13. [Google Scholar] [CrossRef]
  60. D’Agata, A.; Alaimo, L.S.; Cudlín, P.; Salvati, L. Easy come, easy go: Short-term land-use dynamics vis a vis regional economic downturns. Socio-Econ. Plan. Sci. 2023, 88, 10. [Google Scholar] [CrossRef]
Figure 1. Location map of the study area. (a) Industrial parks in Nanjing. (b) Mobile communication base stations in Nanjing.
Figure 1. Location map of the study area. (a) Industrial parks in Nanjing. (b) Mobile communication base stations in Nanjing.
Land 13 01605 g001
Figure 2. Identification process of a jobs–housing community.
Figure 2. Identification process of a jobs–housing community.
Land 13 01605 g002
Figure 3. Residential and working population in various industrial parks.
Figure 3. Residential and working population in various industrial parks.
Land 13 01605 g003
Figure 4. Comparison of commute quantity in different industrial parks.
Figure 4. Comparison of commute quantity in different industrial parks.
Land 13 01605 g004
Figure 5. Spatial distribution of commuting across different industrial parks. (a) Outward flows and (b) inward flows.
Figure 5. Spatial distribution of commuting across different industrial parks. (a) Outward flows and (b) inward flows.
Land 13 01605 g005
Figure 6. Jobs–housing balance in Nanjing Industrial Park.
Figure 6. Jobs–housing balance in Nanjing Industrial Park.
Land 13 01605 g006
Figure 7. Spatial distribution of HSCi and WSCi in Nanjing Industrial Park. (a) HSCi. (b) WSCi.
Figure 7. Spatial distribution of HSCi and WSCi in Nanjing Industrial Park. (a) HSCi. (b) WSCi.
Land 13 01605 g007
Figure 8. Trend diagram of coupling coordination degree.
Figure 8. Trend diagram of coupling coordination degree.
Land 13 01605 g008
Figure 9. Results of geographical detector factors.
Figure 9. Results of geographical detector factors.
Land 13 01605 g009
Figure 10. Driving factors interact with heat maps.
Figure 10. Driving factors interact with heat maps.
Land 13 01605 g010
Figure 11. Quadrant map of commuting patterns.
Figure 11. Quadrant map of commuting patterns.
Land 13 01605 g011
Table 1. Development of major industrial parks in Nanjing.
Table 1. Development of major industrial parks in Nanjing.
No.NameLevelTypeArea (km2)Development OrientationLeading Industries
1Jiangning Development Zone (JDZ)NationalEconomic Development Zone242.12Modern international high-tech industrial new townGreen smart car, smart grid, new generation information technology, high-end equipment, intelligent environmental protection, life sciences, modern logistics, etc.
2Nanjing Economic and Technological Development Zone (NETDZ)Economic Development Zone199.04First-class international high-tech industrial new townOptoelectronic display, biomedicine, high-end equipment, modern logistics, science and technology services, etc.
3Nanjing High-Tech Zone (NHTZ)High-tech Development Zone145.78World-class high-tech parkNew-generation information technology, artificial intelligence, biomedicine, etc.
4Nanjing Chemical Industry Park (NCIP)Chemical Park85.30Key petrochemical basesPetrochemicals, basic organic chemical materials, fine chemicals, polymer materials, new chemical materials, life medicine, etc.
5Xuzhuang High-Tech Development Zone (XHTDZ)ProvincialHigh-tech Development Zone4.08Modern Service Industry ClusterIncubation R&D, closed development, education and training, and public support, etc.
6Baixia High-Tech Zone (BHTZ)High-tech Development Zone2.07A Science and Technology Innovation Cluster with Strong Influence in the Yangtze River DeltaHigh-tech R&D and incubation zone, advanced manufacturing industry, modern service industry, headquarters economy, etc.
7BinjiangDevelopment Zone (BDZ)Economic Development Zone55.02A first-class development zone of international standardInformation and Communication Technology, Green Intelligent Vehicles, High-end Intelligent Equipment, Modern Service Industry, Health Industry, etc.
8Pukou Economic Development Zone (PEDZ)Economic Development Zone81.58A modern riverside new town featuring advanced manufacturing and port logisticsBiomedicine, high-tech textile and electronic information, etc.
9Jiangsu Gaochun Economic Development Zone (JGEDZ)Economic Development Zone93.36A new district with modern manufacturing as its main functionMachinery manufacturing, electronic information, new materials, green food, software industry, etc.
10Nanjing Luhe Economic Development Zone (NLEDZ)Economic Development Zone22.08Yangtze River Delta Modern Industrial ClusterElectric vehicle industry, environmental protection equipment industry, new energy electric industry, urban industry, trade and logistics industry, etc.
11Lishui Economic Development Zone (LEDZ)Economic Development Zone90.77Nanjing manufacturing base and food processing production baseFood and medicine, automobiles and parts, machinery and electronics, new materials, etc.
12Nanjing Jiangning Hi-Tech Industrial Development Zone (NJHTIDZ)MunicipalHigh-tech Development Zone61.71A new technological city with balanced functionsNew medicine and life health, new energy vehicles, software and information services, etc.
13Nanjing Jiangbei New Area Industrial Technology Research and Innovation Park (NJNAITRIP)High-tech Development Zone10.20World Influential Industrial Science and Technology Innovation CenterIntelligent manufacturing embedded hardware and software, Internet +, satellite navigation, etc.
14China (Nanjing) Software Valley (CNSV)High-tech Development Zone74.28Urban regional software centersCommunications software, outsourcing of services and information services, etc.
15Chi-Lin Technology Innovation Park (CLTIP)High-tech Development Zone54.56A modern eco-technology innovation city with complex functionsIntegrated circuits, software and information services, intelligent equipment manufacturing, artificial intelligence, etc.
16Nanjing New Town Science and Technology Park (NNTSTP)High-tech Development Zone10.45Core area of modern service industrySoftware and information services, technology services, artificial intelligence, etc.
Table 2. Sources and types of data.
Table 2. Sources and types of data.
Data NameData SourcesData Formats
Mobile phone signaling dataChina Mobilecsv
POI dataGaode Map (https://lbs.amap.com/) (accessed on 31 December 2020)shp
Road networkOpenStreet Map (https://www.openstreetmap.org/) (accessed on 31 December 2020)shp
Industrial park dataRefer to the official website of the industrial park and manually vectorizeexcel
Land use dataSurvey data of land use change in Nanjing in 2020shp
Table 3. Classification criteria of coupling coordination degree.
Table 3. Classification criteria of coupling coordination degree.
D-Value Interval[0.0~0.1)[0.1~0.2)[0.2~0.3)[0.3~0.4)[0.4~0.5)[0.5~0.6)[0.6~0.7)[0.7~0.8)[0.8~0.9)[0.9~1.0]
Level of coordination12345678910
Type of coordinationExtreme disorderSevere disorderModerate disorderMild disorderBorderline disorderSue for coordinationPrimary coordinationModerate coordinationGood coordinationExcellent coordination
Table 4. Types of dependent variables.
Table 4. Types of dependent variables.
TypeVariableVariable NameUnitMeasuring Method
YCoupling coordination level/The coupling coordination degree is calculated by the coupling coordination degree model and divided into 10 levels by combining the division interval of the coupling coordination degree value.
Park AttributesX1Park grade/Combined with the data on the official website of each industrial park, it is divided into three levels: national industrial parks, provincial industrial parks, and municipal industrial parks.
X2Park areakm2Combined with the data from the official website of each industrial park, the scope of each industrial park is identified, and the size of the area is calculated with the help of ArcGIS.
X3Compatibility of dominant industry type and residence/Combining the data from the official website of each industrial park and judging based on the type of industrial park, the Economic Development Zone has the highest compatibility, the High and New Technology Industrial Development Zone is medium, and the Chemical Industrial Park Development Zone is the lowest.
X4Number of companies and research institutions/Obtained from POI data statistics.
X5Permanent residents/Based on the mobile phone signaling data, the population that meets the conditions of long-term residence (average daily length of stay is longer than 480 min, and the number of days of residence in the sample is not less than 9 days) or long-term work (average daily length of stay is longer than 480 min, and the number of days of work in the sample is not less than 9 days) is counted as the permanent population of the base station.
Land useX6Land use mix/Based on the 2020 Nanjing Land Use Change Survey data, the Shannon Diversity Index metric is used [60], using the formula: D i v e r s i t y = Σ P j ln P j ( j = 1,2 , · · · , n ) , where Pj indicates the proportion of the jth type in the industrial park, and the land use types include 17 categories, such as arable land, parkland, woodland, grassland, and wetland.
X7Percentage of residential land/The area of residential land in each industrial park is calculated based on the data of the Nanjing Land Use Change Survey in 2020 and divided by the area of the industrial park.
Public service facilitiesX8Integrated medical densityper km2The number of general hospitals in each industrial park, including health stations, was obtained by counting the number of general hospitals in the industrial park based on POI data and dividing it by the area of the industrial park.
X9Secondary and below densityper km2Based on the POI data, the number of secondary schools and below in the industrial estates, excluding vocational schools, was counted and divided by the area of the industrial estates.
Transportation facilitiesX10Density of public transport stopsper km2The number of public transport stops in industrial parks is counted based on POI data and divided by the area of the industrial park.
X11Road network densitykm/km2The total length of roads at all levels in each park is calculated from the road network data and divided by the area of the industrial park.
Disclaimer/Publisher’s Note: The statements, opinions and data contained in all publications are solely those of the individual author(s) and contributor(s) and not of MDPI and/or the editor(s). MDPI and/or the editor(s) disclaim responsibility for any injury to people or property resulting from any ideas, methods, instructions or products referred to in the content.

Share and Cite

MDPI and ACS Style

Yuan, X.; Wang, X.; Wang, Y.; Li, J.; Zhang, Y.; Gao, Z.; Zhang, G. Commuting Pattern Recognition of Industrial Parks Using Mobile Phone Signaling Data: A Case Study of Nanjing, China. Land 2024, 13, 1605. https://doi.org/10.3390/land13101605

AMA Style

Yuan X, Wang X, Wang Y, Li J, Zhang Y, Gao Z, Zhang G. Commuting Pattern Recognition of Industrial Parks Using Mobile Phone Signaling Data: A Case Study of Nanjing, China. Land. 2024; 13(10):1605. https://doi.org/10.3390/land13101605

Chicago/Turabian Style

Yuan, Xinguo, Xingping Wang, Yingyu Wang, Juan Li, Yang Zhang, Zhan Gao, and Gai Zhang. 2024. "Commuting Pattern Recognition of Industrial Parks Using Mobile Phone Signaling Data: A Case Study of Nanjing, China" Land 13, no. 10: 1605. https://doi.org/10.3390/land13101605

APA Style

Yuan, X., Wang, X., Wang, Y., Li, J., Zhang, Y., Gao, Z., & Zhang, G. (2024). Commuting Pattern Recognition of Industrial Parks Using Mobile Phone Signaling Data: A Case Study of Nanjing, China. Land, 13(10), 1605. https://doi.org/10.3390/land13101605

Note that from the first issue of 2016, this journal uses article numbers instead of page numbers. See further details here.

Article Metrics

Back to TopTop