Influence of Irrigation on Vertical Migration of Soil Organic Carbon in Arid Area of Inland River
Abstract
1. Introduction
2. Study Area
3. Data and Methods
3.1. Collection and Analysis of Soil Samples
3.2. Analysis of Soil Data
3.2.1. Data of Organic Carbon Content
3.2.2. Data of Soil Water Content
3.2.3. Data of Soil Bulk Density
3.2.4. Data of Soil Particle Size
3.2.5. Meteorological Data
4. Result Analysis
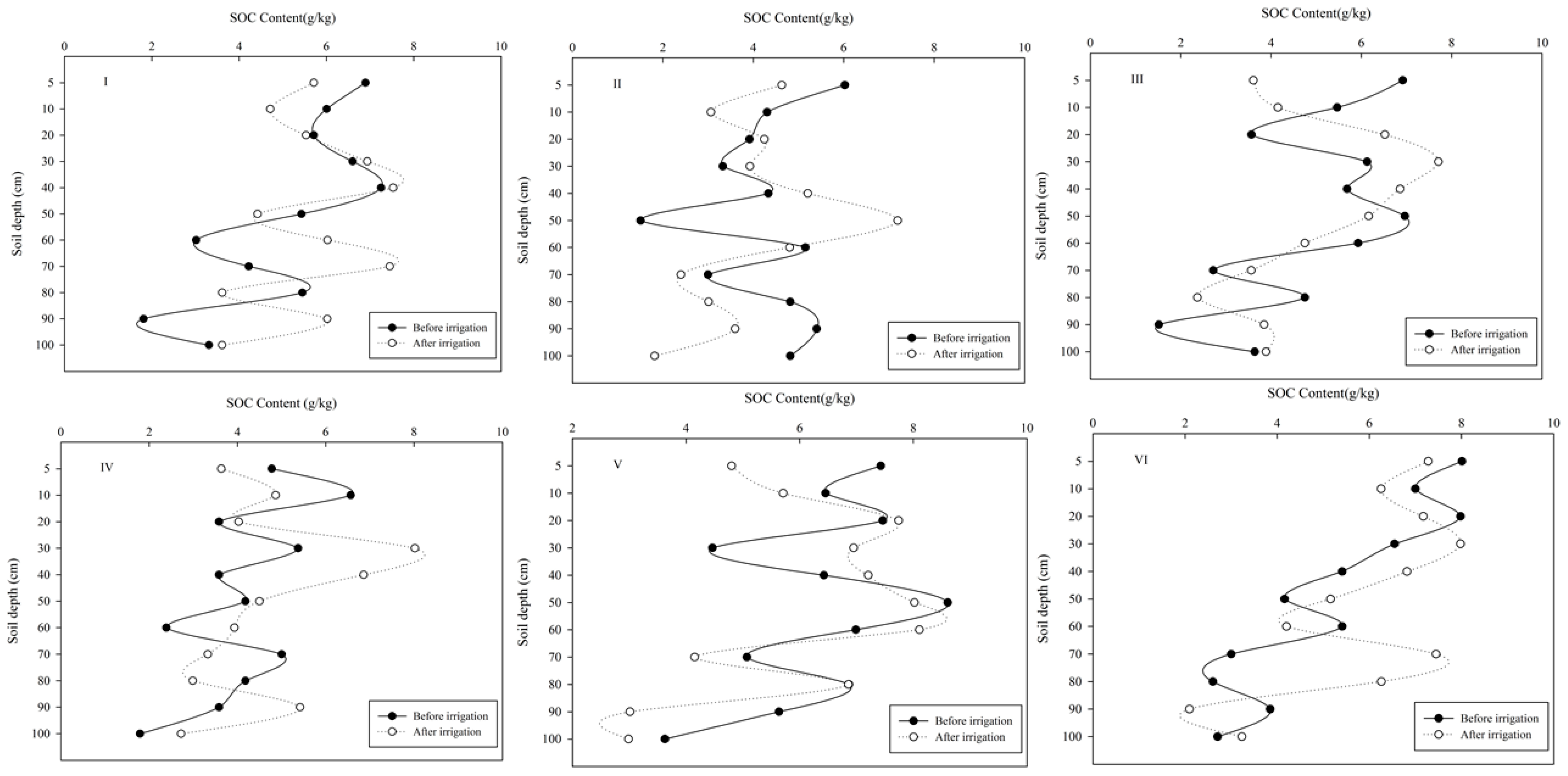
4.1. Comparison of Soil Organic Carbon before and after Irrigation
4.2. Migration Amount of SOC under Different Irrigation Conditions
4.3. Migration Law of Soil Organic Carbon during Irrigation Period
5. Discussion
5.1. Influence of Irrigation Amount on Soil Organic Carbon Migration
5.2. Influence of Precipitation on Organic Carbon Migration in Soil Profile in Irrigation Area
5.3. Influence of Plastic Film Mulching on Soil Organic Carbon Migration in Irrigation Area
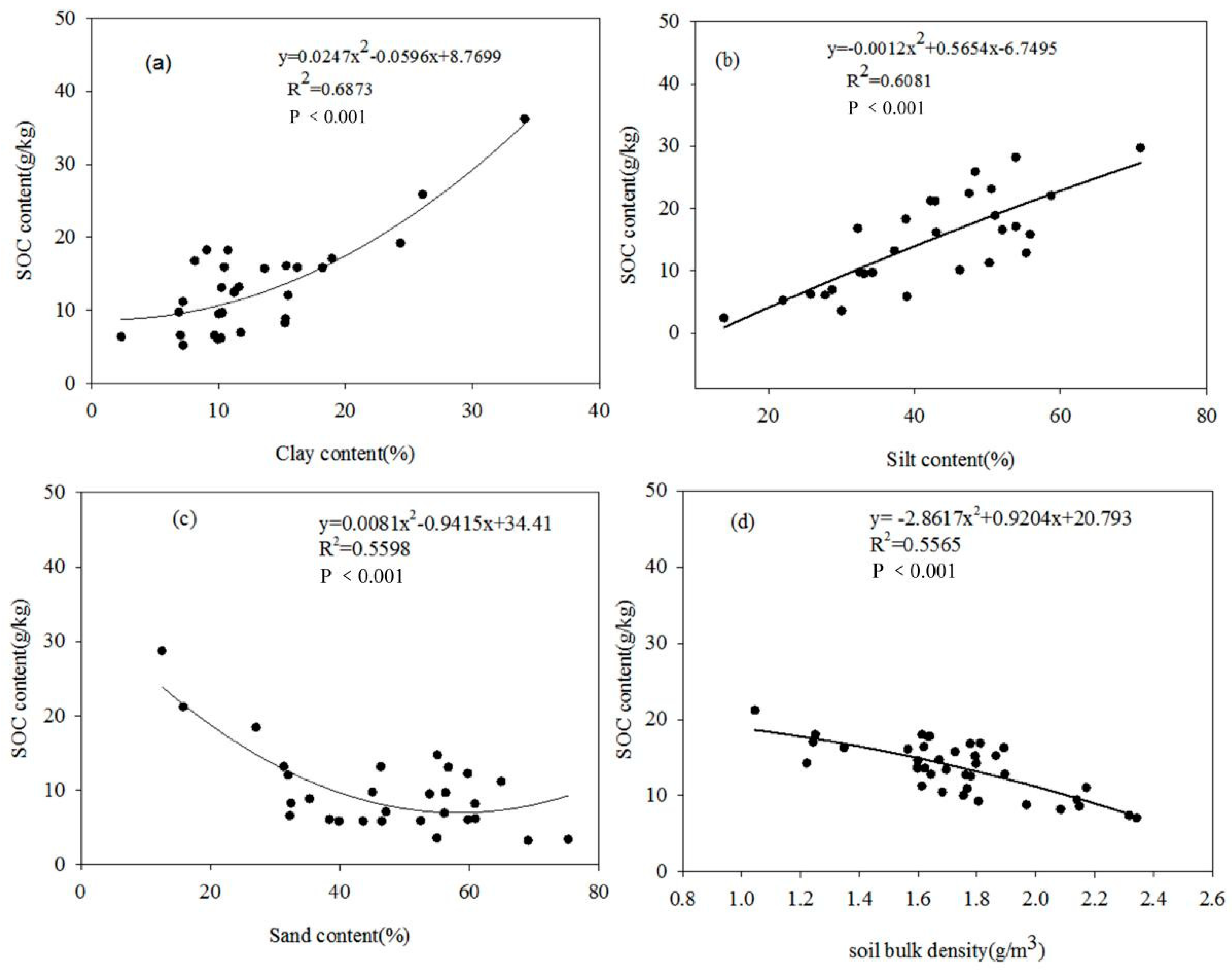
5.4. Influence of Different Soil Physical and Chemical Properties on SOC Content
6. Conclusions
Author Contributions
Funding
Data Availability Statement
Acknowledgments
Conflicts of Interest
References
- Liu, X.; He, B.; Yi, X.; Zhang, L.; Han, F. The soil water dynamics and hydraulic processes of crops with plastic film mulching in terraced dryland fields on the Loess Plateau. Environ. Earth Sci. 2016, 75, 809. [Google Scholar] [CrossRef]
- Yang, S.; Sheng, D.; Adamowski, J.; Gong, Y.; Zhang, J.; Cao, J. Effect of Land Use Change on Soil Carbon Storage over the Last 40 Years in the Shi Yang River Basin, China. Land 2018, 7, 11. [Google Scholar] [CrossRef]
- Bordovsky, D.G.; Choudhary, M.; Gerard, C.J. Effect of Tillage, Cropping, and Residue Management on Soil Properties in the Texas Rolling Plains. Soil Sci. 1999, 164, 331–340. [Google Scholar] [CrossRef]
- Heimann, M.; Reichstein, M. Terrestrial ecosystem carbon dynamics and climate feedbacks. Nature 2008, 451, 289–292. [Google Scholar] [CrossRef] [PubMed]
- Trost, B.; Prochnow, A.; Drastig, K.; Meyer-Aurich, A.; Ellmer, F.; Baumecker, M. Irrigation, soil organic carbon and N2O emissions. A review. Agron. Sustain. Dev. 2013, 33, 733–749. [Google Scholar] [CrossRef]
- Hossain, M.Z.; Bolan, N.; Sarkar, B. Role of cultural and nutrient management practices in carbon sequestration in agricultural soil. Adv. Agron. 2020, 166, 131–196. [Google Scholar] [CrossRef]
- Schulze, E.D.; Luyssaert, S.; Ciais, P.; Freibauer, A.; Janssens, I.A.; Soussana, J.F.; Smith, P.; Grace, J.; Levin, I.; Thiruchittampalam, B.; et al. Importance of methane and nitrous oxide for Europe’s terrestrial greenhouse-gas balance. Nat. Geosci. 2010, 2, 842–850. [Google Scholar] [CrossRef]
- Morugán-Coronado, A.; García-Orenes, F.; Mataix-Solera, J.; Arcenegui, V.; Mataix-Beneyto, J. Short-term effects of treated wastewater irrigation on Mediterranean calcareous soil. Soil Tillage Res. 2011, 112, 18–26. [Google Scholar] [CrossRef]
- Adhikari, K.; Hartemink, A.E. Soil organic carbon increases under intensive agriculture in the Central Sands, Wisconsin, USA. Geoderma Reg. 2017, 10, 115–125. [Google Scholar] [CrossRef]
- Li, Z.-G.; Tian, C.-Y.; Zhang, R.-H.; Mohamed, I.; Liu, Y.; Zhang, G.-S.; Pan, J.-F.; Chen, F. Plastic mulching with drip irrigation increases soil carbon stocks of natrargid soils in arid areas of northwestern China. Catena 2015, 133, 179–185. [Google Scholar] [CrossRef]
- Muñoz-Rojas, M.; Abd-Elmabod, S.K.; Zavala, L.M.; De la Rosa, D.; Jordán, A. Climate change impacts on soil organic carbon stocks of Mediterranean agricultural areas: A case study in Northern Egypt. Agric. Ecosyst. Environ. 2017, 238, 142–152. [Google Scholar] [CrossRef]
- Li, C.; Feng, H.; Luo, S.; Wang, N.; Luo, X.; Dong, Q. Effects of ridge with plastic mulch-furrow irrigation on soil salt and nitrate nitrogen transport characteristics in arid areas. J. Soil Water Conserv. 2019, 33, 268–275. [Google Scholar]
- Denef, K.; Stewart, C.E.; Brenner, J.; Paustian, K. Does long-term center-pivot irrigation increase soil carbon stocks in semi-arid agro-ecosystems? Geoderma 2008, 145, 121–129. [Google Scholar] [CrossRef]
- Masto, R.E.; Chhonkar, P.K.; Singh, D.; Patra, A.K. Changes in soil quality indicators under long-term sewage irrigation in a sub-tropical environment. Environ. Geol. 2009, 56, 1237–1243. [Google Scholar] [CrossRef]
- Fallahzade, J.; Hajabbasi, M.A. The effects of irrigation and cultivation on the quality of desert soil in central Iran. Land Degrad. Dev. 2012, 23, 53–61. [Google Scholar] [CrossRef]
- Tang, G.M.; Xu, W.L.; Sheng, J.D.; Liang, Z.; Zhou, B.; Zhu, M. Changes of soil organic carbon and soil particle size organic carbon with different reclamation years in oasis farmland in Xinjiang. J. Soil Sci. 2010, 47, 279–285. [Google Scholar]
- Jueschke, E.; Marschner, B.; Tarchitzky, J.; Chen, Y. Effects of treated wastewater irrigation on the dissolved and soil organic carbon in Israeli soils. Water Sci. Technol. 2008, 57, 727–733. [Google Scholar] [CrossRef]
- Stergiadi, M.; Marcel, V.D.P.; de Nijs, T.C.M.; Bierkens, M.F.P. Effects of climate change and land management on soil organic carbon dynamics and carbon leaching in northwestern europe. Biogeosciences 2016, 13, 519–1536. [Google Scholar] [CrossRef]
- Trost, B.; Ellmer, F.; Baumecker, M.; Meyer-Aurich, A.; Prochnow, A.; Drastig, K. Effects of irrigation and nitrogen fertilizer on yield, carbon inputs from above ground harvest residues and soil organic carbon contents of a sandy soil in Germany. Soil Use Manag. 2014, 30, 209–218. [Google Scholar] [CrossRef]
- Dong, L.; Zhang, H.; Wang, L.; Yu, D.; Yang, F.; Shi, X.; Saleem, H.; Akhtar, M.S. Irrigation with sediment-laden river water affects the soil texture and composition of organic matter fractions in arid and semi-arid areas of Northwest China. Geoderma 2018, 328, 10–19. [Google Scholar] [CrossRef]
- Carlson, E.A.; Cooper, D.J.; Merritt, D.M.; Kondratieff, B.C.; Reagan, M. Waskom Irrigation canals are newly created streams of semi-arid agricultural regions. Sci. Total Environ. 2018, 646, 770–781. [Google Scholar] [CrossRef]
- Tana, Q.; Atsushi, T.; Tsugiyuki, M.; Tao, W. Analysis of the spatial variation of soil salinity and its causal factors in china’s minqin oasis. Math. Probl. Eng. 2017, 2017, 9745264. [Google Scholar]
- Li, X.; He, M.; Duan, Z.; Xiao, H.; Jia, X. Recovery of topsoil physicochemical properties in revegetated sites in the sand-burial ecosystems of the Tengger Desert, northern China. Geomorphology 2007, 88, 254–265. [Google Scholar] [CrossRef]
- Tarchouna, L.G.; Merdy, P.; Raynaud, M.; Pfeifer, H.-R.; Lucas, Y. Effects of long-term irrigation with treated wastewater. Part I: Evolution of soil physico-chemical properties. Appl. Geochem. 2010, 25, 1703–1710. [Google Scholar] [CrossRef]
- Wang, Z.; Cui, X.; Meng, Z.; Dang, X.; Wang, J. Soil Particle Size Distributions of Different Management Styles Under Complex Wind and Water Erosion in Xilin River Basin. Soils 2018, 50, 819–825. [Google Scholar]
- Chen, C.-P.; Juang, K.-W.; Cheng, C.-H.; Pai, C.-W. Effects of adjacent land-use types on the distribution of soil organic carbon stocks in the montane area of central Taiwan. Bot. Stud. 2016, 57, 32. [Google Scholar] [CrossRef]
- Wei, K.L.; Wang, C.H. Effects of different organic fertilizers on the growth of the tea plants and the chemical properties of soils. Taiwan. J. Agric. Chem. Food Sci. 2011, 49, 205–219. [Google Scholar]
- Russo, D. Numerical analysis of the nonsteady transport of interacting solutes through unsaturated soil: 2. layered systems. Water Resour. Res. 2010, 24, 285–290. [Google Scholar] [CrossRef]
- Shang, F.; Ren, S.; Yang, P.; Li, C.; Ma, N. Effects of Different Fertilizer and Irrigation Water Types, and Dissolved Organic Matter on Soil C and N Mineralization in Crop Rotation Farmland. Water Air Soil Pollut. 2015, 226, 396. [Google Scholar] [CrossRef]
- Azooz, R.H.; Arshad, M.A.; Franzluebbers, A.J. Pore size distribution and hydraulic conductivity affected by tillage in northwestern canada. Soil Sci. Soc. Am. J. 1996, 60, 1197–1201. [Google Scholar] [CrossRef]
- Sobotková, M.; Snehota, M.; Budínová, E.; Tesar, M. Isothermal and non-isothermal infiltration and deuterium transport: A case study in a soil column from a headwater catchment. J. Hydrol. Hydroamech. 2017, 65, 234–243. [Google Scholar] [CrossRef][Green Version]
- Six, J.; Ogle, S.M.; Breidt, F.J.; Conant, R.T.; Mosier, A.R.; Paustian, K. The potential to mitigate global warming with no-tillage management is only realized when practised in the long term. Glob. Chang. Biol. 2004, 10, 155–160. [Google Scholar] [CrossRef]
- Olin, S.; Lindeskog, M.; Pugh, T.A.M.; Schurgers, G.; Wårlind, D.; Mishurov, M.; Zaehle, S.; Stocker, B.D.; Smith, B.; Arneth, A. Soil carbon management in large-scale Earth system modelling: Implications for crop yields and nitrogen leaching. Earth Syst. Dyn. 2015, 6, 745–768. [Google Scholar] [CrossRef]
- Chen, X.; Liu, J.; Drng, Q.; Chu, G.; Zhou, G.; Zhang, D. Effects of precipitation intensity on soil organic carbon fractions and their distribution under subtropical forests of South China. Chin. J. Appl. Ecol. 2010, 21, 1210–1216. [Google Scholar]
- Van Oost, K.; Quine, T.A.; Govers, G.; De Gryze, S.; Six, J.; Harden, J.W.; Ritchie, J.C.; McCarty, G.W.; Heckrath, G.; Kosmas, C.; et al. The Impact of Agricultural Soil Erosion on the Global Carbon Cycle. Science 2007, 318, 626–629. [Google Scholar] [CrossRef]
- Singh, S.; Jagadamma, S.; Shekoofa, A.; Mayes, M. The influence of moisture content variation on microbial mineralization of soil organic carbon. In Proceedings of the American Society of Agronomy-Crop Science Society of America-Soil Science Society of America Annual Meetings, San Antonio, TX, USA, 10–13 November 2019. [Google Scholar]
- Callesen, I.; Liski, J.; Raulund-Rasmussen, K.; Olsson, M.T.; Tau-Strand, L.; Vesterdal, L.; Westman, C.J. Soil carbon stores in Nordic well-drained forest soils-relationships with climate and texture class. Glob. Chang. Biol. 2003, 9, 358–370. [Google Scholar] [CrossRef]
- Weintraub, M.N.; Scott-Denton, L.E.; Schmidt, S.K.; Monson, R.K. The effects of tree rhizodeposition on soil exoenzyme activity, dissolved organic carbon, and nutrient availability in a subalpine forest ecosystem. Oecologia 2007, 154, 327–338. [Google Scholar] [CrossRef]
- Qin, Y.; Xin, Z.; Yu, X.; Xiao, Y.; Manuel, R. Influence of vegetation restoration on topsoil organic carbon in a small catchment of the loess hilly region, China. PLoS ONE 2014, 9, e94489. [Google Scholar] [CrossRef]
- Masse, D.; Cambier, C.; Brauman, A.; Sall, S.; Assigbetse, K.; Chotte, J.-L. MIOR: An individual-based model for simulating the spatial patterns of soil organic matter microbial decomposition. Eur. J. Soil Sci. 2010, 58, 1127–1135. [Google Scholar] [CrossRef][Green Version]
- Wynn, J.G.; Bird, M.I.; Vellen, L.; Grand-Clement, E.; Carter, J.; Berry, S.L. Continental-scale measurement of the soil organic carbon pool with climatic, edaphic, and biotic controls. Glob. Biogeochem. Cycles 2006, 20, 1–9. [Google Scholar] [CrossRef]
- Davidson, E.A.; Janssens, I.A. Temperature sensitivity of soil carbon decomposition and feedbacks to climate change. Nature 2006, 440, 165–173. [Google Scholar] [CrossRef] [PubMed]
- Su, Y.Z.; Wang, X.F.; Yang, R.; Lee, J. Effects of sandy desertified land rehabilitation on soil carbon sequestration and aggregation in an arid region in China. J. Environ. Manag. 2010, 91, 2109–2116. [Google Scholar] [CrossRef] [PubMed]








| Soil Depth (cm) | Clay (%) | Silt (%) | Sand (%) | Soil Bulk Density (g/cm2) | Porosity (%) | pH | EC (μs/cm) |
|---|---|---|---|---|---|---|---|
| 0–10 | 10.2 | 25.77 | 60.95 | 1.052 | 61 | 7.87 | 2.48 |
| 10–20 | 9.94 | 27.76 | 59.79 | 1.194 | 58 | 7.89 | 2.46 |
| 20–30 | 10.33 | 34.23 | 56.34 | 1.398 | 54 | 7.93 | 2.43 |
| 30–40 | 15.48 | 58.69 | 22.04 | 1.18 | 51 | 7.96 | 2.39 |
| 40–50 | 10.01 | 33.09 | 53.87 | 1.14 | 47 | 8.19 | 2.34 |
| 50–60 | 16.21 | 55.83 | 23.6 | 1.206 | 44 | 8.21 | 2.23 |
| 60–70 | 34.34 | 42.98 | 14.36 | 1.208 | 42 | 8.24 | 2.14 |
| 70–80 | 26.09 | 38.96 | 29.88 | 1.106 | 41 | 8.27 | 1.99 |
| 80–90 | 11.75 | 28.72 | 56.11 | 1.2 | 39 | 8.29 | 1.95 |
| 90–100 | 7.21 | 21.97 | 69.08 | 1.372 | 36 | 8.32 | 1.91 |
| January | February | March | April | May | June | July | August | September | October | November | December | ||
|---|---|---|---|---|---|---|---|---|---|---|---|---|---|
| 8 | AP (mm) | 3.5 | 1.1 | 0 | 14.2 | 6 | 12 | 25.9 | 50 | 24 | 7 | 0.3 | 1.1 |
| MAT (°C) | −8.9 | −4.1 | 8.8 | 13.1 | 18.9 | 24.2 | 25.6 | 23.1 | 16.1 | 8.8 | 1.7 | −8.8 | |
| 2019 | AP (mm) | 3.1 | 0 | 0 | 7.2 | 17.8 | 16.6 | 12.5 | 14.9 | 25.7 | 14.4 | 1.7 | 1.1 |
| MAT (°C) | −8 | −3.8 | 5.4 | 14.8 | 16.4 | 22.4 | 24.4 | 23.7 | 19.1 | 9.3 | 1.6 | −4.5 |
Disclaimer/Publisher’s Note: The statements, opinions and data contained in all publications are solely those of the individual author(s) and contributor(s) and not of MDPI and/or the editor(s). MDPI and/or the editor(s) disclaim responsibility for any injury to people or property resulting from any ideas, methods, instructions or products referred to in the content. |
© 2023 by the authors. Licensee MDPI, Basel, Switzerland. This article is an open access article distributed under the terms and conditions of the Creative Commons Attribution (CC BY) license (https://creativecommons.org/licenses/by/4.0/).
Share and Cite
Zhang, W.; Zhu, G.; Wan, Q.; Lu, S.; Zhao, L.; Qiu, D.; Lin, X. Influence of Irrigation on Vertical Migration of Soil Organic Carbon in Arid Area of Inland River. Land 2023, 12, 1532. https://doi.org/10.3390/land12081532
Zhang W, Zhu G, Wan Q, Lu S, Zhao L, Qiu D, Lin X. Influence of Irrigation on Vertical Migration of Soil Organic Carbon in Arid Area of Inland River. Land. 2023; 12(8):1532. https://doi.org/10.3390/land12081532
Chicago/Turabian StyleZhang, Wenhao, Guofeng Zhu, Qiaozhuo Wan, Siyu Lu, Ling Zhao, Dongdong Qiu, and Xinrui Lin. 2023. "Influence of Irrigation on Vertical Migration of Soil Organic Carbon in Arid Area of Inland River" Land 12, no. 8: 1532. https://doi.org/10.3390/land12081532
APA StyleZhang, W., Zhu, G., Wan, Q., Lu, S., Zhao, L., Qiu, D., & Lin, X. (2023). Influence of Irrigation on Vertical Migration of Soil Organic Carbon in Arid Area of Inland River. Land, 12(8), 1532. https://doi.org/10.3390/land12081532
