Estimating Double Cropping Plantations in the Brazilian Cerrado through PlanetScope Monthly Mosaics
Abstract
1. Introduction
2. Materials and Methods
2.1. Study Area
2.2. Methods
3. Results
3.1. Field Data
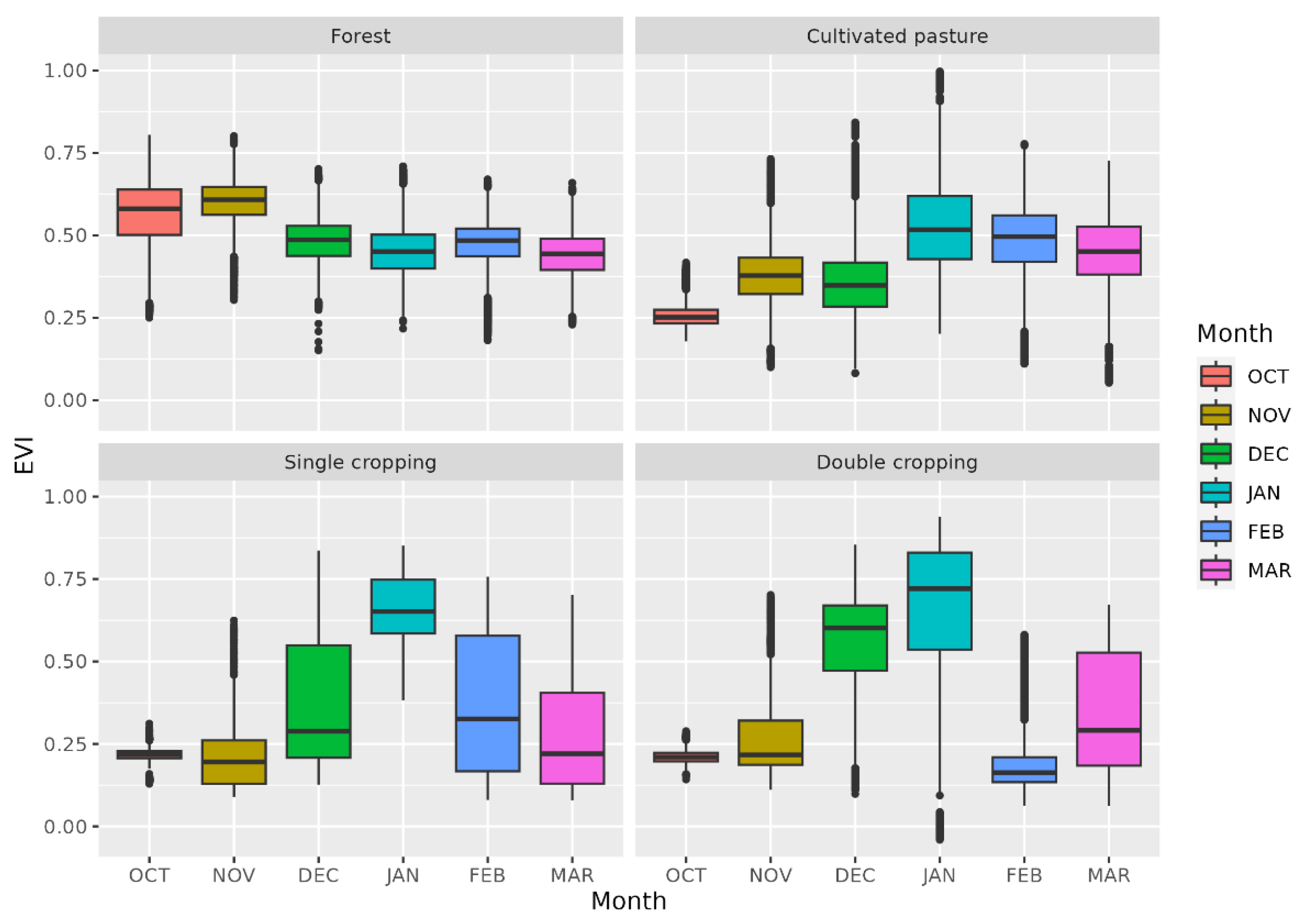
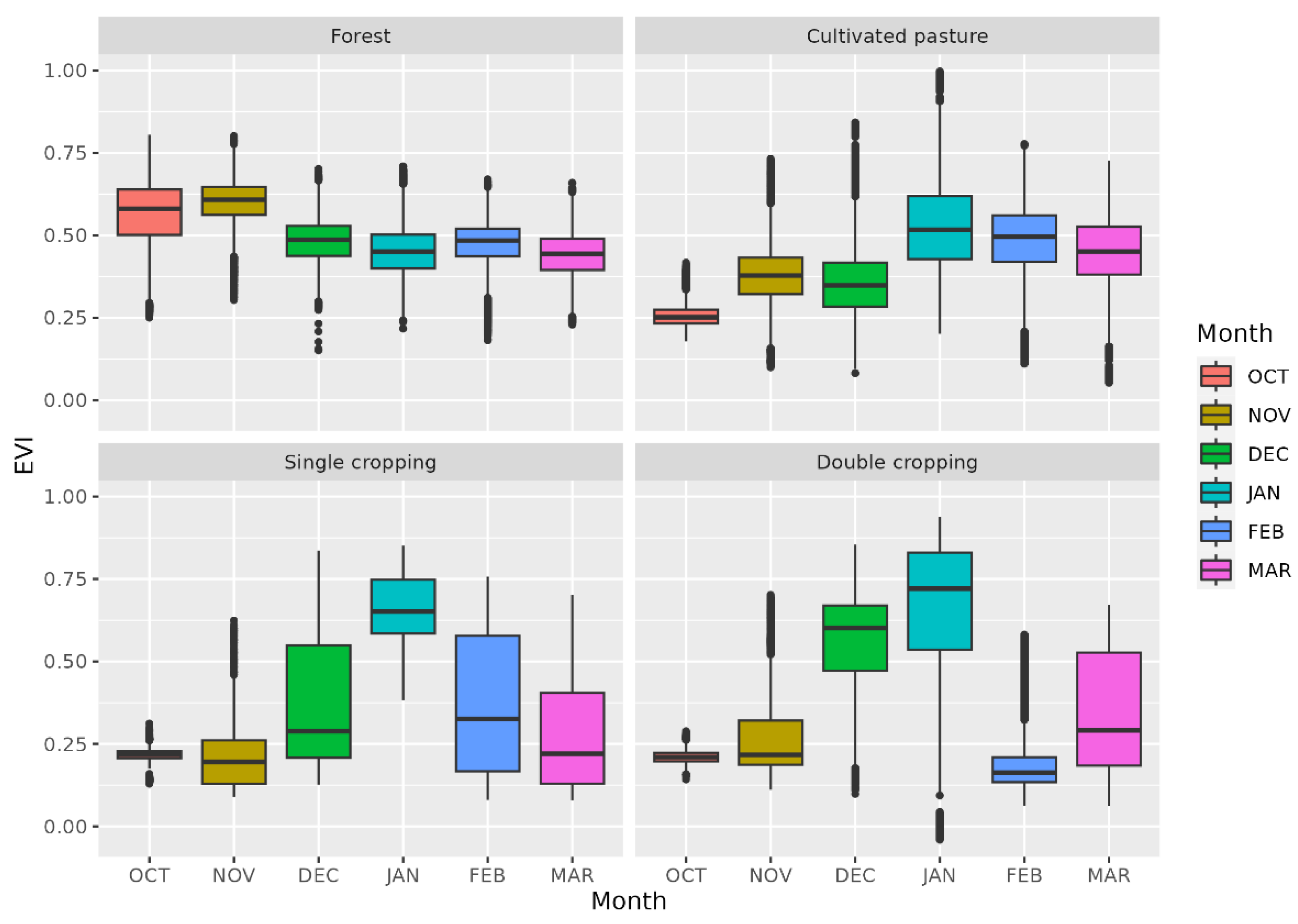
3.2. Spectral Signatures and Indices
3.3. Textural Features
3.4. Random Forest Classification
3.5. Accuracy Assessment
4. Discussion
5. Conclusions
- a.
- The high spatial and temporal resolution of the PS constellation of over 200 nanosatellites allows the addition of “double cropping” into the legend of LULC maps of the Cerrado biome.
- b.
- The use of textural attributes derived from the GLCM as input parameters in the supervised machine learning classification procedures is highly recommended.
- c.
- The most relevant PS images for identifying double cropping farm management systems are the ones obtained in February.
Author Contributions
Funding
Informed Consent Statement
Data Availability Statement
Conflicts of Interest
References
- Sano, E.E.; Rodrigues, A.A.; Martins, E.S.; Bettiol, G.M.; Bustamante, M.M.C.; Bezerra, A.S.; Couto, A.F., Jr.; Vasconcelos, V.; Schuler, J.; Bolfe, E.L. Cerrado ecoregions: A spatial framework to assess and prioritize Brazilian savanna environmental diversity for conservation. J. Environ. Manag. 2019, 232, 818–828. [Google Scholar] [CrossRef] [PubMed]
- Myers, N.; Mittermeier, R.A.; Mittermeier, C.G.; Fonseca, G.A.B.; Kent, J. Biodiversity hotspots for conservation priorities. Nature 2000, 403, 853–858. [Google Scholar] [CrossRef] [PubMed]
- Alencar, A.; Shimbo, J.Z.; Lenti, F.; Marques, C.B.; Zimbres, B.; Rosa, M.; Arruda, V.; Castro, I.; Ribeiro, J.P.F.M.; Varela, V.; et al. Mapping three decades of changes in the Brazilian savanna native vegetation using Landsat data processed in the Google Earth Engine platform. Remote Sens. 2020, 12, 924. [Google Scholar] [CrossRef]
- Ribeiro, J.F.; Walter, B.M.T. As principais fitofisionomias do bioma Cerrado. In Cerrado: Ecologia e Flora; Sano, S.M., Almeida, S.P., Ribeiro, J.F., Eds.; Embrapa-CPAC: Planaltina, DF, Brazil, 2008; pp. 151–212. [Google Scholar]
- Bendini, H.N.; Fonseca, L.M.G.; Schwieder, M.; Körting, T.S.; Rufin, P.; Sanches, I.D.; Leitão, P.J.; Hostert, P. Detailed agricultural land classification in the Brazilian Cerrado based on phenological information from dense satellite image time series. Int. J. Appl. Earth Obs. Geoinf. 2019, 82, 101872. [Google Scholar] [CrossRef]
- MapBiomas. MapBiomas v. 7.0. Available online: https://mapbiomas.org/download (accessed on 29 September 2022).
- Soares Filho, B.; Rajão, R.; Macedo, M.; Carneiro, A.; Costa, W.; Coe, M.; Rodrigues, H.; Alencar, A. Cracking Brazil’s forest code. Science 2014, 344, 363–364. [Google Scholar] [CrossRef] [PubMed]
- Rattis, L.; Brando, P.M.; Macedo, M.N.; Spera, S.A.; Castanho, A.D.A.; Marques, E.Q.; Costa, N.Q.; Silverio, D.; Coe, M.T. Climatic limit for agriculture in Brazil. Nat. Clim. Chang. 2021, 11, 1098–1104. [Google Scholar] [CrossRef]
- Rodrigues, A.A.; Macedo, M.N.; Silvério, D.V.; Maracahipes, L.; Coe, M.T.; Brando, P.M.; Shimbo, J.Z.; Rajão, R.; Soares-Filho, B.; Bustamante, M.M.C. Cerrado deforestation threatens regional climate and water availability for agriculture and ecosystems. Glob. Chang. Biol. 2022, 28, 6807–6822. [Google Scholar] [CrossRef] [PubMed]
- Hellmayr, R.; Rausch, L.L.; Munger, J.; Gibbs, H.K. Brazil´s Amazon soy moratorium reduced deforestation. Nat. Food 2020, 1, 801–810. [Google Scholar] [CrossRef]
- Silva, V.P.R.; Silva, R.A.; Maciel, G.F.; Souza, E.P.; Braga, C.C.; Holanda, R.M. Soybean yield in the Matopiba region under climate changes. Rev. Bras. Eng. Agríc. Amb. 2020, 24, 8–14. [Google Scholar] [CrossRef]
- Souza, A.A.; Galvão, L.S.; Korting, T.S.; Almeida, C.A. On a data-driven approach for detecting disturbance in the Brazilian savannas using time series of vegetation indices. Remote Sens. 2021, 12, 4959. [Google Scholar] [CrossRef]
- Scopel, E.; Triomphe, B.; Affholder, F.; Silva, F.A.M.; Corbeels, M.; Xavier, J.H.V.; Lahmar, R.; Recous, S.; Bernoux, M.; Blanchart, E.; et al. Conservation agriculture cropping systems in temperate and tropical conditions, performances and impacts. A review. Agron. Sustain. Dev. 2013, 33, 113–130. [Google Scholar] [CrossRef]
- Xu, J.; Gao, J.; Holanda, H.V.; Rodríguez, L.F.; Caixeta-Filho, J.V.; Zong, R.; Jiang, H.; Li, H.; Du, Z.; Wang, X.; et al. Double cropping and cropland expansion boost grain production in Brazil. Nat. Food 2021, 2, 264–273. [Google Scholar] [CrossRef]
- Guo, Y.; Xia, H.; Pan, L.; Zhao, X.; Li, R. Mapping the northern limit of double cropping using a phenology-based algorithm and Google Earth Engine. Remote Sens. 2022, 14, 1004. [Google Scholar] [CrossRef]
- CONAB. Companhia Nacional de Abastecimento. In Acompanhamento da Safra Brasileira; Grãos. Safra 2021/22, 12o Levantamento; CONAB: Brasília, DF, Brazil, 2022. [Google Scholar]
- Mingwei, Z.; Qingbo, Z.; Zhongxin, C.; Jia, L.; Yong, Z.; Chongfa, C. Crop discrimination in Northern China with double cropping systems using Fourier analysis of time-series MODIS data. Int. J. Appl. Earth Obs. Geoinf. 2008, 10, 476–485. [Google Scholar] [CrossRef]
- Picoli, M.C.A.; Camara, G.; Sanches, I.; Simões, R.; Carvalho, A.; Maciel, A.; Coutinho, A.; Esquerdo, J.; Antunes, J.; Begotti, R.A.; et al. Big earth observation time series analysis for monitoring Brazilian agriculture. ISPRS J. Photogramm. Remote Sens. 2018, 145, 328–339. [Google Scholar] [CrossRef]
- Chaves, M.E.D.; Alves, M.C.; Sáfadi, T.; Oliveira, M.S.; Picoli, M.C.A.; Simões, R.E.O.; Mataveli, G.A.V. Time-weighted dynamic time warping analysis for mapping interannual cropping practices changes in large-scale agro-industrial farms in Brazilian Cerrado. Sci. Remote Sens. 2021, 3, 100021. [Google Scholar] [CrossRef]
- Claverie, M.; Ju, J.; Masek, J.G.; Dungan, J.L.; Vermote, E.F.; Roger, J.C.; Skakun, S.V.; Justice, C. The harmonized Landsat and Sentinel-2 surface reflectance data set. Remote Sens. Environ. 2018, 219, 145–161. [Google Scholar] [CrossRef]
- Liu, C.; Zhang, Q.; Tao, S.; Qi, J.; Ding, M.; Guan, Q.; Wu, B.; Zhang, M.; Nabil, M.; Tian, F.; et al. A new framework to map fine resolution cropping intensity across the globe: Algorithm, validation, and implication. Remote Sens. Environ. 2020, 251, 112095. [Google Scholar] [CrossRef]
- Pan, L.; Xia, H.; Yang, J.; Niu, W.; Wang, R.; Song, H.; Guo, Y.; Qin, Y. Mapping cropping intensity in Huaihe basin using phenology algorithm, all Sentinel-2 and Landsat images in Google Earth Engine. Int. J. Appl. Earth Obs. Geoinf. 2021, 102, 102376. [Google Scholar] [CrossRef]
- Parreiras, T.C.; Bolfe, E.L.; Chaves, M.E.D.; Sanches, I.D.; Sano, E.E.; Victoria, D.C.; Bettiol, G.M.; Vicente, L.E. Hierarchical classification of soybean in the Brazilian savanna based on Harmonized Landsat Sentinel data. Remote Sens. 2022, 14, 3736. [Google Scholar] [CrossRef]
- Planet. Planet Imagery Product Specifications. 2022. Available online: https://assets.planet.com/docs/Planet_Combined_Imagery_Product_Specs_letter_screen.pdf (accessed on 30 September 2022).
- NICFI. Norway´s International Climate and Forest Initiative. Standing with the World´s Tropical Forests. 2021. Available online: https://www.nicfi.no/ (accessed on 30 September 2022).
- Wagner, F.H.; Dalagnol, R.; Silva-Júnior, C.H.L.; Carter, G.; Ritz, A.L.; Hirye, M.C.M.; Ometto, J.P.H.B.; Saatchi, S. Mapping tropical forest cover and deforestation with Planet NICFI satellite images and deep learning in Mato Grosso State (Brazil) from 2015 to 2021. Remote Sens. 2023, 15, 521. [Google Scholar] [CrossRef]
- Rufin, P.; Bey, A.; Picoli, M.; Meyfroidt, P. Large-area mapping of active cropland and short-term fallows in smallholder landscapes using PlanetScope data. Int. J. Appl. Earth Obs. Geoinf. 2022, 11, 102937. [Google Scholar] [CrossRef]
- Pascual, A.; Tupinambá-Simões, F.; Guerra-Hernández, J.; Bravo, F. High-resolution planet satellite imagery and multi-temporal surveys to predict risk of tree mortality in tropical eucalypt forestry. J. Environ. Manag. 2022, 310, 114804. [Google Scholar] [CrossRef] [PubMed]
- Masolele, R.N.; De Sy, V.; Marcos, D.; Verbesselt, J.; Gieseke, F.; Mulatu, K.A.; Moges, Y.; Sebrala, H.; Martius, C.; Herold, M. Using high-resolution imagery and deep learning to classify land-use following deforestation: A case study in Ethiopia. Gisci. Remote Sens. 2022, 59, 1446–1472. [Google Scholar] [CrossRef]
- IBGE, Instituto Brasileiro de Geografia e Estatística. PAM—Produção Agrícola Municipal. 1985. Available online: https://biblioteca.ibge.gov.br/visualizacao/periodicos/66/pam_1985_v12_t3_sul_centro_oeste.pdf (accessed on 30 September 2022).
- IBGE, Instituto Brasileiro de Geografia e Estatística. PAM—Produção Agrícola Municipal. 2021. Available online: https://www.ibge.gov.br/estatisticas/economicas/agricultura-e-pecuaria/9117-producao-agricola-municipal-culturas-temporarias-e-permanentes.html?=&t=resultados (accessed on 30 September 2022).
- Alvares, C.A.; Stape, J.L.; Sentelhas, P.C.; Gonçalves, J.L.M.; Spavorek, G. Köppen’s climate classification map for Brazil. Meteorol. Z. 2014, 22, 711–728. [Google Scholar] [CrossRef] [PubMed]
- INMET, Instituto Nacional de Meteorologia. Banco de Dados Meteorológicos. Available online: https://bdmep.inmet.gov.br/ (accessed on 1 October 2022).
- IBGE. Instituto Brasileiro de Geografia e Estatística. In Manual Técnico de Pedologia, 2nd ed.; IBGE: Rio de Janeiro, RJ, Brazil, 2007. [Google Scholar]
- Reatto, A.; Correia, J.R.; Spera, S.T.; Martins, E.S. Solos do bioma Cerrado. Aspectos pedológicos. In Cerrado: Ecologia e Flora; Sano, S.M., Almeida, S.P., Ribeiro, J.F., Eds.; Embrapa Cerrados: Planaltina, DF, Brazil, 2008; pp. 107–149. [Google Scholar]
- Breiman, L. Random Forests. Mach. Learn. 2001, 45, 5–32. [Google Scholar] [CrossRef]
- Gorelick, N.; Hancher, M.; Dixon, M.; Ilyushchenko, S.; Thau, D.; Moore, R. Google Earth Engine: Planetary-scale geospatial analysis for everyone. Remote Sens. Environ. 2017, 202, 18–27. [Google Scholar] [CrossRef]
- Pandey, P.; Kington, J.; Kanwar, A.; Curdoglo, M. Addendum to Planet basemaps product specifications: NICFI basemaps. Revision: v02. NICFI. 2021. Available online: https://assets.planet.com/docs/NICFI_Basemap_Spec_Addendum.pdf. (accessed on 1 October 2022).
- Embrapa. Embrapa Meio Ambiente. AgroTag. Available online: https://www.agrotag.cnptia.embrapa.br/#!/ (accessed on 9 October 2022).
- Tucker, C.J. Red and photographic infrared linear combinations for monitoring vegetation. Remote Sens. Environ. 1979, 8, 127–150. [Google Scholar] [CrossRef]
- Huete, A.; Didan, K.; Miura, T.; Rodriguez, E.P.; Gao, X.; Ferreira, L.G. Overview of the radiometric and biophysical performance of the MODIS vegetation indices. Remote Sens. Environ. 2002, 83, 195–213. [Google Scholar] [CrossRef]
- Hunt, E.R., Jr.; Cavigelli, M.; Daughtry, C.S.T.; McMurtrey III, J.; Walthall, C.L. Evaluation of digital photography from model aircraft for remote sensing of crop biomass and nitrogen status. Precis. Agric. 2005, 6, 359–378. [Google Scholar] [CrossRef]
- Haddad, I.; Galvão, L.S.; Breunig, F.M.; Dalagnol, R.; Bourscheidt, V.; Jacon, A.D. On the combined use of phenological metrics derived from different PlanetScope vegetation indices for classifying savannas in Brazil. Remote Sens. Appl. Soc. Environ. 2002, 26, 100764. [Google Scholar] [CrossRef]
- Haralick, R.M.; Shanmugam, K.; Dinstein, I.H. Textural features for image classification. IEEE Trans. Syst. Man Cybern 1973, 3, 610–621. [Google Scholar] [CrossRef]
- Tassi, A.; Vizzari, M. Object-oriented LULC classification in Google Earth Engine combining SNIC, GLCM, and machine learning algorithms. Remote Sens. 2020, 12, 3776. [Google Scholar] [CrossRef]
- Iqbal, N.; Mumtaz, R.; Shafi, U.; Zaidi, S.M.H. Gray level co-occurrence matrix (GLCM) texture based crop classification using low altitude remote sensing platforms. PeerJ Comput. Sci. 2021, 7, e536. [Google Scholar] [CrossRef]
- Sothe, C.; Almeida, C.M.; Liesenberg, V.; Schimalski, M.B. Evaluating Sentinel-2 and Landsat-8 data to map successional forest stages in a subtropical forest in southern Brazil. Remote Sens. 2017, 9, 838. [Google Scholar] [CrossRef]
- Kwak, G.H.; Park, N.W. Impact of texture information on crop classification with machine learning and UAV images. Appl. Sci. 2019, 9, 643. [Google Scholar] [CrossRef]
- Olofsson, P.; Foody, G.M.; Herold, M.; Stehman, S.V.; Woodcock, C.E.; Wulder, M.A. Good practices for estimating area and assessing accuracy of land change. Remote Sens. Environ. 2014, 148, 42–47. [Google Scholar] [CrossRef]
- Clark, M.L.; Aide, T.M.; Riner, G. Land change for all municipalities in Latin America and the Caribbean assessed from 250-m MODIS imagery (2001–2010). Remote Sens. Environ. 2012, 126, 84–103. [Google Scholar] [CrossRef]
- OTB Team. OTB CookBook Documentation: Release 6.6.1. 2018. Available online: https://www.orfeo-toolbox.org/packages/archives/Doc/CookBook-6.6.1.pdf (accessed on 11 November 2022).
- CAR. Cadastro Ambiental Rural. Available online: https://www.car.gov.br/#/ (accessed on 8 December 2022).
- Vizzari, M. PlanetScope, Sentinel-2, and Sentinel-1 data integration for object-based land cover classification in Google Earth Engine. Remote Sens. 2022, 14, 2628. [Google Scholar] [CrossRef]
- IBGE, Instituto Brasileiro de Geografia e Estatística, SIDRA. Produção Agrícola Municipal. Available online: https://sidra.ibge.gov.br/pesquisa/pam/tabelas (accessed on 20 December 2022).
- Gal, Y.; Ghahramani, Z. Dropout as a bayesian approximation: Representing model uncertainty in deep learning International conference on machine learning. In Proceedings of the 33rd International Conference on Machine Learning Research, New York, NY, USA, 19–24 June 2016. [Google Scholar]
- Padarian, J.; Minasny, B.; McBratney, A.B. Assessing the uncertainty of deep learning soil spectral models using Monte Carlo dropout. Geoderma 2022, 425, 116063. [Google Scholar] [CrossRef]
- Milanés-Hermosilla, D.; Codorniú, R.T.; López-Baracaldo, R.; Sagaró-Zamora, R.; Delisle-Rodriguez, D.; Villarejo-Mayor, J.J.; Núñez-Álvarez, J.R. Monte Carlo dropout for uncertainty estimation and motor imagery classification. Sensors 2021, 21, 7241. [Google Scholar] [CrossRef] [PubMed]











| Parameters | Description |
|---|---|
| Spatial resolution | 4.77 m |
| Processing level | Atmospherically corrected, normalized, analytic mosaics |
| Spectral bands | Blue (0.455–0.515 μm), green (0.500–0.590 μm), red (0.590–0.670 μm), and near-infrared (0.780–0.860 μm) |
| Vegetation indices | NDVI, EVI, GRNDI |
| Textural features | Contrast, dissimilarity, homogeneity, angular second moment, energy, entropy, mean, variance, correlation, and maximum probability |
| Monthly mosaics | October 2021 to March 2022 |
| LULC Class | Number of Sites Visited in October 2021 | LULC Class | Number of Sites Visited in April 2022 |
|---|---|---|---|
| Forestland | 36 | Forestland | − |
| Shrubland | 10 | Shrubland | − |
| Pastureland | 46 | Pastureland | − |
| Sugarcane | 45 | Sugarcane | − |
| Reforestation | 2 | Reforestation | − |
| Cotton | 1 | Cotton | − |
| Bare soil | 61 | Maize | 35 |
| Sorghum | 14 | ||
| Sugarcane | 6 | ||
| Crop residue | 4 | ||
| Crotalaria | 2 | ||
| TOTAL | 201 | 61 |
| ASM | CON | COR | DIS | ENE | ENT | HOM | MAX | MEAN | VAR | |
|---|---|---|---|---|---|---|---|---|---|---|
| ASM | 1 | |||||||||
| CON | −0.343 | 1 | ||||||||
| COR | 0.067 | −0.381 | 1 | |||||||
| DIS | −0.561 | 0.924 | −0.358 | 1 | ||||||
| ENE | 0.957 | −0.477 | 0.178 | −0.719 | 1 | |||||
| ENT | −0.772 | 0.641 | −0.234 | 0.862 | −0.912 | 1 | ||||
| HOM | 0.822 | −0.636 | 0.180 | −0.869 | 0.937 | −0.966 | 1 | |||
| MAX | 0.969 | −0.400 | 0.084 | −0.628 | 0.975 | −0.834 | 0.880 | 1 | ||
| MEAN | 0.025 | 0.049 | 0.423 | 0.059 | 0.149 | −0.086 | −0.038 | 0.006 | 1 | |
| VAR | 0.149 | 0.006 | 0.359 | −0.012 | 0.266 | −0.189 | 0.061 | 0.123 | 0.973 | 1 |
| Model | Attributes | Overall Accuracy (%) | Kappa Index | p-Value | mTry | nTree |
|---|---|---|---|---|---|---|
| 1 | 4 Bands + 3 VIs + 1 GLCM | 88.31 | 0.8438 | <2.2 × 10−16 | 6 | 300 |
| 2 | 4 Bands + 3 VIs + 2 GLCMs | 88.31 | 0.8438 | <2.2 × 10−16 | 7 | 300 |
| 3 | 4 Bands + 3 VIs + 3 GLCMs | 89.61 | 0.8611 | <2.2 × 10−16 | 7 | 300 |
| 4 | 4 Bands + 3 VIs + 4 GLCMs | 89.61 | 0.8611 | <2.2 × 10−16 | 7 | 300 |
| 5 | 4 Bands + 3 VIs + 5 GLCMs | 89.61 | 0.8611 | <2.2 × 10−16 | 7 | 300 |
| 6 | 4 Bands + 3 VIs + 6 GLCMs | 89.61 | 0.8611 | <2.2 × 10−16 | 7 | 300 |
| 7 | 4 Bands + 3 VIs + 7 GLCMs | 89.61 | 0.8611 | <2.2 × 10−16 | 7 | 300 |
| 8 | 4 Bands + 3 VIs + 8 GLCMs | 89.61 | 0.8611 | <2.2 × 10−16 | 7 | 300 |
| 9 | 4 Bands + 3 VIs + 9 GLCMs | 90.91 | 0.8780 | <2.2 × 10−16 | 7 | 300 |
| 10 | 4 Bands + 3 VIs + 10 GLCMs | 90.91 | 0.8784 | <2.2 × 10−16 | 7 | 300 |
| 11 | 4 Bands + 3 VIs + 11 GLCMs | 88.31 | 0.8437 | <2.2 × 10−16 | 7 | 300 |
| 12 | 4 Bands + 3 VIs + 12 GLCMs | 88.31 | 0.8436 | <2.2 × 10−16 | 7 | 300 |
| 13 | 4 Bands + 3 VIs + 13 GLCMs | 88.31 | 0.8436 | <2.2 × 10−16 | 7 | 300 |
| 14 | 4 Bands + 3 VIs + 14 GLCMs | 89.61 | 0.8611 | <2.2 × 10−16 | 7 | 300 |
| 15 | 4 Bands + 3 VIs + 15 GLCMs | 89.61 | 0.8610 | <2.2 × 10−16 | 7 | 300 |
| 16 | 4 Bands + 3 VIs + 16 GLCMs | 89.61 | 0.8610 | <2.2 × 10−16 | 8 | 300 |
| 17 | 4 Bands + 3 VIs + 17 GLCMs | 88.31 | 0.8436 | <2.2 × 10−16 | 8 | 300 |
| 18 | 4 Bands + 3 VIs + 18 GLCMs | 88.31 | 0.8435 | <2.2 × 10−16 | 8 | 300 |
| 19 | 4 Bands + 3 VIs + 19 GLCMs | 88.31 | 0.8437 | <2.2 × 10−16 | 8 | 300 |
| 20 | 4 Bands + 3 VIs + 20 GLCMs | 88.31 | 0.8437 | <2.2 × 10−16 | 8 | 300 |
| RF Classification | |||||||||||
|---|---|---|---|---|---|---|---|---|---|---|---|
| Field Data | DC | SC | CP | NV | Total | O.E. (%) | C.E. (%) | Precision | Recall | F-score | |
| DC | 21 | 1 | 2 | 0 | 24 | 13.0 | 4.5 | 0.95 | 0.88 | 0.91 | |
| SC | 1 | 16 | 3 | 0 | 20 | 20.0 | 5.9 | 0.94 | 0.80 | 0.86 | |
| CP | 0 | 0 | 14 | 0 | 14 | 0 | 26.3 | 0.74 | 1 | 0.85 | |
| NV | 0 | 0 | 0 | 19 | 19 | 0 | 0 | 1 | 1 | 1 | |
| Total | 22 | 17 | 19 | 19 | 77 | ||||||
| Overall accuracy (%) | 90.91 | ||||||||||
| Kappa index | 0.8784 | ||||||||||
Disclaimer/Publisher’s Note: The statements, opinions and data contained in all publications are solely those of the individual author(s) and contributor(s) and not of MDPI and/or the editor(s). MDPI and/or the editor(s) disclaim responsibility for any injury to people or property resulting from any ideas, methods, instructions or products referred to in the content. |
© 2023 by the authors. Licensee MDPI, Basel, Switzerland. This article is an open access article distributed under the terms and conditions of the Creative Commons Attribution (CC BY) license (https://creativecommons.org/licenses/by/4.0/).
Share and Cite
Sano, E.E.; Bolfe, É.L.; Parreiras, T.C.; Bettiol, G.M.; Vicente, L.E.; Sanches, I.D.; Victoria, D.d.C. Estimating Double Cropping Plantations in the Brazilian Cerrado through PlanetScope Monthly Mosaics. Land 2023, 12, 581. https://doi.org/10.3390/land12030581
Sano EE, Bolfe ÉL, Parreiras TC, Bettiol GM, Vicente LE, Sanches ID, Victoria DdC. Estimating Double Cropping Plantations in the Brazilian Cerrado through PlanetScope Monthly Mosaics. Land. 2023; 12(3):581. https://doi.org/10.3390/land12030581
Chicago/Turabian StyleSano, Edson Eyji, Édson Luis Bolfe, Taya Cristo Parreiras, Giovana Maranhão Bettiol, Luiz Eduardo Vicente, Ieda Del′Arco Sanches, and Daniel de Castro Victoria. 2023. "Estimating Double Cropping Plantations in the Brazilian Cerrado through PlanetScope Monthly Mosaics" Land 12, no. 3: 581. https://doi.org/10.3390/land12030581
APA StyleSano, E. E., Bolfe, É. L., Parreiras, T. C., Bettiol, G. M., Vicente, L. E., Sanches, I. D., & Victoria, D. d. C. (2023). Estimating Double Cropping Plantations in the Brazilian Cerrado through PlanetScope Monthly Mosaics. Land, 12(3), 581. https://doi.org/10.3390/land12030581

