What Role Do Urban Parks Play in Forming a Sense of Place? Lessons for Geodesign Using Social Media
Abstract
:1. Introduction
2. Literature Review
2.1. Cultural Ecosystem Services and Urban Green Space
2.2. Geoinformation, Social Media and Cultural Ecosystem Services
3. Methodology
- The tweet was geotagged with coordinates located within the park or directly adjacent, indicating that the user was in or around the park at the time of the post. Consequently, retweets, quotes, and advertisements were excluded, even if geotagged.
- If a tweet was not geotagged, it should mention the park. The text should reflect the visitor’s experience inside or around the urban park or its neighborhood.
- The text had to be written in the first-person narrative and not posted by organizations, businesses, or authorities.
3.1. Sense of Place Interpretation Framework
3.2. Data Encoding Analysis and Model Construction
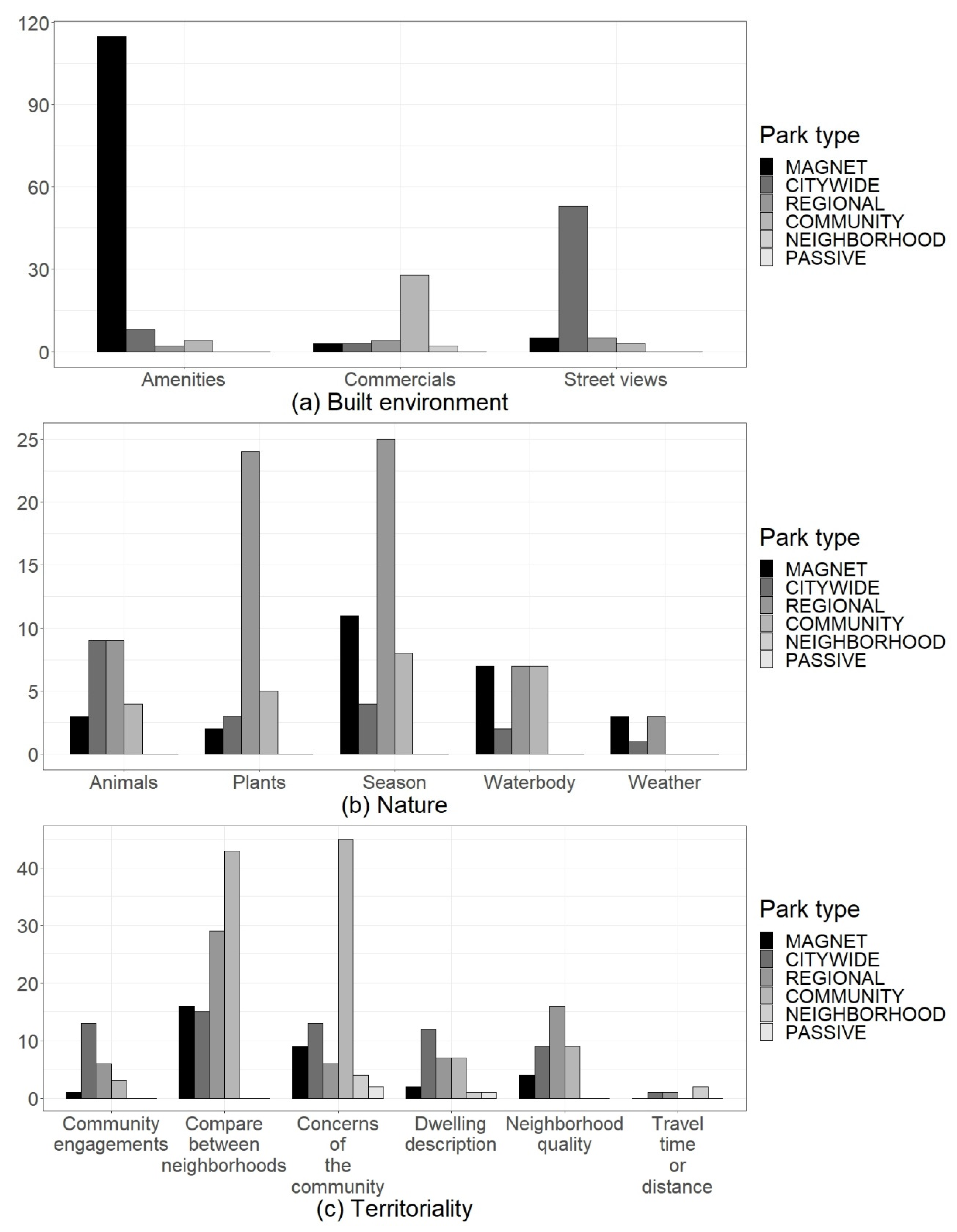
4. Results
4.1. Person Dimension
4.2. Place Dimension
4.3. Process Dimension
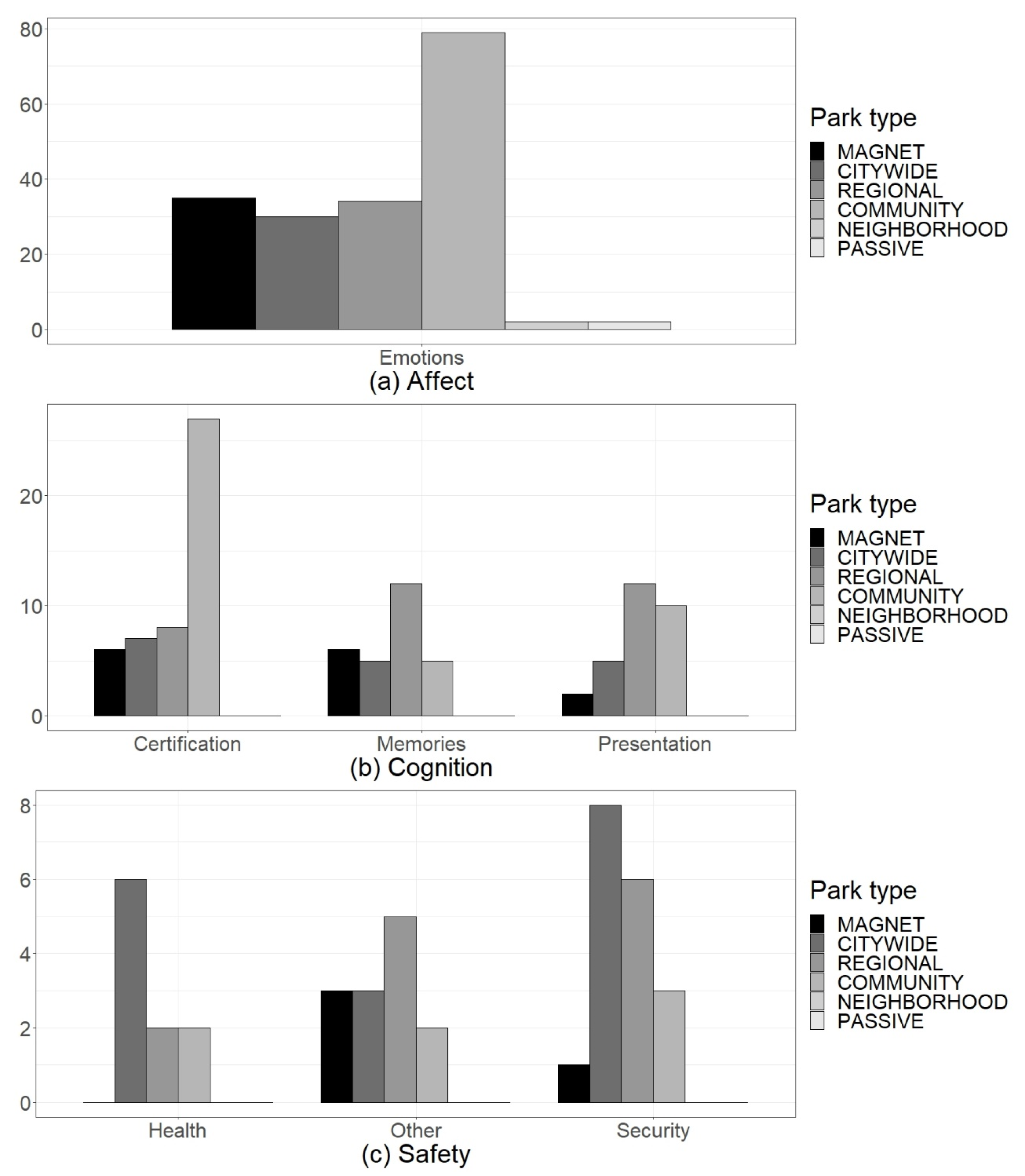
5. Discussion
5.1. Social Media Data, Geodesign, and a Sense of Place
5.2. How Urban Parks Contribute to a Sense of Place
5.3. Limitations
6. Conclusions
Author Contributions
Funding
Data Availability Statement
Conflicts of Interest
Appendix A
| Park | Park Type | Area (Acres) | Community |
|---|---|---|---|
| Lincoln Park | MAGNET PARK | 1212.15 | Lincoln Park |
| Grant Park | MAGNET PARK | 324.70 | Loop |
| Garfield Park | CITYWIDE PARK | 184.72 | East Garfield Park |
| Humboldt Park | CITYWIDE PARK | 206.09 | West Town |
| Washington Park | CITYWIDE PARK | 366.84 | Washington Park |
| Marquette Park | CITYWIDE PARK | 322.68 | Chicago Lawn |
| Columbus Park | CITYWIDE PARK | 135.12 | Austin |
| Calumet Park | CITYWIDE PARK | 198.98 | East Side |
| Rogers Park | REGIONAL PARK | 25.82 | Rogers Park |
| Mckinley Park | REGIONAL PARK | 69.28 | Mckinley Park |
| Portage Park | REGIONAL PARK | 36.48 | Portage Park |
| Gage Park | REGIONAL PARK | 29.22 | Gage Park |
| Loyola Park | REGIONAL PARK | 21.62 | Rogers Park |
| Wicker Park | COMMUNITY PARK | 4.03 | West Town |
| Beverly Park | COMMUNITY PARK | 13.06 | Beverly |
| Ridge Park | COMMUNITY PARK | 9.32 | Beverly |
| Austin Park | COMMUNITY PARK | 5.48 | Austin |
| Millennium Park | COMMUNITY PARK | 24.50 | Loop |
| Fuller Park | COMMUNITY PARK | 10.50 | Fuller Park |
| Kelly Park | COMMUNITY PARK | 7.08 | Lake View |
| Union Park | COMMUNITY PARK | 13.46 | Near West Side |
| Archer Park | COMMUNITY PARK | 13.22 | Archer Heights |
| Avondale Park | COMMUNITY PARK | 1.18 | Avondale |
| Kenwood Community Park | COMMUNITY PARK | 9.46 | Hyde Park |
| Edison Park | NEIGHBORHOOD PARK | 0.71 | Edison Park |
| Roosevelt Park | NEIGHBORHOOD PARK | 1.64 | Loop |
| Cragin Park | NEIGHBORHOOD PARK | 2.80 | Belmont Cragin |
| Lake Shore Park | NEIGHBORHOOD PARK | 3.69 | Near North Side |
| Norwood Park | PASSIVE PARK | 1.83 | Norwood Park |
| Clark Park | PASSIVE PARK | 21.56 | North Center |
Appendix B
- The tweet had to be geotagged with coordinates located within the park, indicating that the user was presently at the urban park and spending time within it. Consequently, retweets, quotes, and advertisements were excluded, even if geotagged.
- If a tweet was not geotagged, it had to mention the urban park, and the text should reflect the visitor’s experience inside or around the urban park or its neighborhood.
- The user had to spend time inside the park or in its vicinity.
- The text had to be written in the first-person narrative and not posted by organizations, businesses, or authorities.
| Tweet Text | Action | Reason |
|---|---|---|
| I love Chicago in the fall 🍁. #chicago #lincolnparkchicago #compass #fall #autumn #door #home #neighborhood #leaves #thanksgiving @ Lincoln Park | Retain | The tweet is geotagged with the location inside Lincoln Park |
| A futute lil flower guy floating in the sky #Spring🌸🌸 @ Humboldt Park, Chicago | Retain | The tweet is geotagged with the location inside Humboldt Park |
| Walking in the neighborhood today we got to see all kinds of animals.#citylife #ourneighborsareanimals #lincolnpark #chiccago @ Alfred Caldwell Lily Pool | Retain | The tweet mentioned Lincoln Park, and the text indicates that the user spent time in the Lincoln Park neighborhood |
| I live in East Lincoln Park for the above reasons. Also, free zoo! Who doesn’t like that? Tons of greenery and parks in the neighborhood. Also, Absolutely ZERO shortage of coffee ☕️ shops 😂 | Retain | The tweet mentioned the user’s preference living in the Lincoln Park neighborhood |
| Marquette is in a waaay worse neighborhood than Lincoln Park. | Retain | The tweet is geotagged with the location in Marquette Park |
| Your finest Chitown planners and your favorite community engagement associate 😜 we were out in Washington Park for a community event today! @cmapillinois @lindsaybanks #womeninplanning #communityengagement | Remove | Although the tweet is posted with a geo-tag inside Washington Park, it is published by an organization rather than a visitor |
| Summer cultural events across Chicago have been reimagined as part of #OpenChicago. New programs include “Chicago Presents,” “House City,” “Taste of Chicago To-Go,” Latinx; World Music community events—plus much more in Millennium Park. | Remove | Although the tweet mentions lots of experiences in Millennium Park, it is not edited with a first-person narrative, and we cannot decide if the user spent time on these activities. In fact, it looks more like an advertisement. |
| “The Southeast Side deserves to be known for its GREEN SPACES. No other neighborhood has as many parks, preserves, or natural areas like we do. And yes that is a flex 🌳 If you’re reading this and are able, go visit Eggers or Big Marsh and just listen to the birds talking” | Remove | The main text is quoting an article |
| Facet | Semantic Theme | Tweet Text |
|---|---|---|
| Cultural or group | Demographic | Im a Black man from Garfield Park Chicago. Look that neighborhood up on Google real quick. Actually know what you are talking about before saying any ole shit about someone. |
| I remember Wicker Park when 90% of those that live there now wouldn’t drive past there. Lincoln Park was a Puerto Rican neighborhood way back. Humboldt Park, Logan Square, it’s all gentrifying; while some people do respect older residents you can’t ignore the hostility we feel. | ||
| Historical | My Neighborhood Riverwalk guide explains some historical fact of Chicago River on best late birthday celebration ever! @ Horner Park, Chicago | |
| Religious | Then, on a long afternoon bike ride on the North Branch Trail, the kids and I passed a large outdoor gathering at forest preserve. It took me a few minutes, but suddenly I started hearing Kyrgyz music, and then came to discover it was an Kyrgyz community Eid celebration! | |
| Other public events | A live performance! It’s been a long time. Even though the event was outside it was very welcome. Many thanks to the Grant Park Symphony. I love it. | |
| Individuals | Activities | Went for a walk this morning to McKinley Park in my neighborhood and I was reminded of what I and so many other people (kids and families) have to breathe everyday if they want to go outside. It was really bad. #stopmatasphalt @aldcardenas |
| Biking in #Chicago from Millennium Park to Lincoln Park neighbourhood (5 mile ride). | ||
| Milestones | 31derful years! Happy anniversary to my fair lady, Cheryl Sabas. Thank you, my love. I love you. @ Lincoln Park | |
| I’ve been chasing this race for years. Not only did I kill thr time, I finally made it. #runchi #running #shamrockshuffle @ Grant Park | ||
| Realizations | A moment of rest and reflection at our community garden in Gage Park. |
| Facet | Semantic Theme | Tweet Text |
|---|---|---|
| Built environment | Commercials | I live in East Lincoln Park for the above reasons. Also, free zoo! Who doesn’t like that? Tons of greenery and parks in the neighborhood. Also, Absolutely ZERO shortage of coffee ☕️ shops 😂 |
| Facilities and amenities | I like my new apartment and being close to transit but holy shit wicker park is least friendly neighborhood I’ve lived in. | |
| Street views | “Night Lights”. I loved the quality of the light hitting the houses in my Rogers Park neighborhood. @ Rogers Park, Chicago | |
| Nature | Plants | There are some PRETTY trees in my neighborhood. @ Portage Park |
| Waterbody | I drove from my neighborhood on the western end of Chicago all the way to the lake last Sunday and saw few outdoor masks in heavily populated areas like Humboldt Park and Bucktown but all young people. At least no one accosts me for masking! | |
| Animals | I found a bird in a tree yesterday. And we saw the first butterfly of the season. #outandabout @ Humboldt Park, Chicago | |
| Season | I love Chicago in the fall 🍁. #chicago #lincolnparkchicago #compass #fall #autumn #door #home #neighborhood #leaves #thanksgiving @ Lincoln Park | |
| Weather | Washington Park makes the snow look like a movie scene 😍 | |
| Territoriality | Community engagements | My little part of keeping the neighborhood relatively affordable and diverse. |
| Concerns of the community | they don’t have a budget to invest in the Gage Park Library. They spent $257,760 renting a rundown space from a private landlord over the last 6 years. They have been renting for 30… bad financial planning. Buy a building in our community. | |
| Dwelling description | ||
| Compare between neighborhoods | Marquette is in a waaay worse neighborhood than Lincoln Park. | |
| Neighborhood quality | @swingkennedy Oak Park (although it’s not in-Chicago, it’s still accessible via the green line or Metra). La Grange is also a fantastic suburb. As far as neighborhoods go, Rogers Park is a great family-friendly neighborhood. But Lincoln Park is the go-to in the city. | |
| Travel time or distance | @IrvLeavitt having owned 14 different homes in various neighborhoods over my life (grew up in Sauganash and despised it) my favorite was Edison Park...restaurants are plentiful...xpwy minutes away...cops and fire are top-notch neighbors...very little crime... |
| Facet | Semantic Theme | Tweet Text |
|---|---|---|
| Affect | \ | I made it through Gage Park, Southside of Chicago!! I’m shedding light on my neighborhood and the circumstances you’re faced with as a Young Black Man 🤝🤧💔. This is where I’m from and I take pride in how far I’ve come 🌟🎯💯. Thank you @BeingMaryJhay 💗💗💗. You the realest⛽️💕. |
| Cognition | Memories | I grew up playing small fry basketball at Marquette Park Coach Green was somebody who taught me a little about myself growing up, today he passed away and I’m just thinking about home and the community that helped shaped me into the person I am today |
| Certification | @KatContii If you come to the city. Logan square and wicker park neighborhoods will be your go to for food and beer | |
| Presentation | I took this photo during summer of this year. It was in a small restaurant in Wicker Park. If you know the area, you might know what it is. 😉 | |
| Safety | Security | I know some of them live in lower crime north side neighborhoods and suburbs. Logan Square, Wicker Park, and Avondale are all represented. |
| Health | As more and more factories open in Gage Park I know that the health of our community is under attack. | |
| Other | Help me make my neighborhood safer. |
References
- Lee, B.X.; Kjaerulf, F.; Turner, S.; Cohen, L.; Donnelly, P.D.; Muggah, R.; Davis, R.; Realini, A.; Kieselbach, B.; MacGregor, L.S. Transforming our world: Implementing the 2030 agenda through sustainable development goal indicators. J. Public Health Policy 2016, 37, 13–31. [Google Scholar] [CrossRef] [PubMed]
- Campbell, S. Green Cities, Growing Cities, Just Cities?: Urban Planning and the Contradictions of Sustainable Development. J. Am. Plann. Assoc. 1996, 62, 296–312. [Google Scholar] [CrossRef]
- Agnoletti, M. Rural landscape, nature conservation and culture: Some notes on research trends and management approaches from a (southern) European perspective. Landsc. Urban Plan. 2014, 126, 66–73. [Google Scholar] [CrossRef]
- Gu, Y.; Deal, B.; Larsen, L. Geodesign Processes and Ecological Systems Thinking in a Coupled Human-Environment Context: An Integrated Framework for Landscape Architecture. Sustainability 2018, 10, 3306. [Google Scholar] [CrossRef]
- Huang, L.; Xiang, W.; Wu, J.; Traxler, C.; Huang, J. Integrating GeoDesign with Landscape Sustainability Science. Sustainability 2019, 11, 833. [Google Scholar] [CrossRef]
- Chan, K.; Satterfield, T. Managing Cultural Ecosystem Services for Sustainability; University of British Columbia: Vancouver, BC, Canada, 2015. [Google Scholar]
- Hannon, B. Sense of place: Geographic discounting by people, animals and plants. Ecol. Econ. 1994, 10, 157–174. [Google Scholar] [CrossRef]
- Hausmann, A.; Slotow, R.; Burns, J.K.; Minin, E.D. The ecosystem service of sense of place: Benefits for human well-being and biodiversity conservation. Environ. Conserv. 2016, 43, 117–127. [Google Scholar] [CrossRef]
- Ryfield, F.; Cabana, D.; Brannigan, J.; Crowe, T. Conceptualizing ‘sense of place’ in cultural ecosystem services: A framework for interdisciplinary research. Ecosyst. Serv. 2019, 36, 100907. [Google Scholar] [CrossRef]
- Brown, G.; Raymond, C. The relationship between place attachment and landscape values: Toward mapping place attachment. Appl. Geogr. 2007, 27, 89–111. [Google Scholar] [CrossRef]
- Tuan, Y.-F. Space and Place: The Perspective of Experience; 7. print.; Univ. of Minnesota Press: Minneapolis, MN, USA, 1977; ISBN 978-0-8166-3877-2. [Google Scholar]
- Zia, A.; Norton, B.G.; Metcalf, S.S.; Hirsch, P.D.; Hannon, B.M. Spatial discounting, place attachment, and environmental concern: Toward an ambit-based theory of sense of place. J. Environ. Psychol. 2014, 40, 283–295. [Google Scholar] [CrossRef]
- Jorgensen, B.S.; Stedman, R.C. Sense of place as an attitude: Lakeshore owners attitudes toward their properties. J. Environ. Psychol. 2001, 21, 233–248. [Google Scholar] [CrossRef]
- Lewicka, M. What makes neighborhood different from home and city? Effects of place scale on place attachment. J. Environ. Psychol. 2010, 30, 35–51. [Google Scholar] [CrossRef]
- Pretty, G.; Chipuer, H.; Bramston, P. Sense of place amongst adolescents and adults in two rural Australian towns: The discriminating features of place attachment, sense of community and place dependence in relation to place identity. J. Environ. Psychol. 2003. [Google Scholar] [CrossRef]
- Wilson, R. A sense of place. Early Child. Educ. J. 1997, 24, 191–194. [Google Scholar] [CrossRef]
- Masterson, V.A.; Stedman, R.C.; Enqvist, J.; Tengö, M.; Giusti, M.; Wahl, D.; Svedin, U. The contribution of sense of place to social-ecological systems research: A review and research agenda. Ecol. Soc. 2017, 22, 49. [Google Scholar] [CrossRef]
- Soini, K.; Vaarala, H.; Pouta, E. Residents’ sense of place and landscape perceptions at the rural–urban interface. Landsc. Urban Plan. 2012, 104, 124–134. [Google Scholar] [CrossRef]
- Davenport, M.A.; Anderson, D.H. Getting from sense of place to place-based management: An interpretive investigation of place meanings and perceptions of landscape change. Soc. Nat. Resour. 2005, 18, 625–641. [Google Scholar] [CrossRef]
- Maguire, B.D. Modeling Place Attachment Using GIS; University of British Columbia: Vancouver, BC, Canada, 2017. [Google Scholar]
- Song, Y.; Wang, R.; Fernandez, J.; Li, D. Investigating sense of place of the Las Vegas Strip using online reviews and machine learning approaches. Landsc. Urban Plan. 2021, 205, 103956. [Google Scholar] [CrossRef]
- Wartmann, F.M.; Purves, R.S. Investigating sense of place as a cultural ecosystem service in different landscapes through the lens of language. Landsc. Urban Plan. 2018, 175, 169–183. [Google Scholar] [CrossRef]
- Gottwald, S.; Brenner, J.; Albert, C.; Janssen, R. Integrating sense of place into participatory landscape planning: Merging mapping surveys and geodesign workshops. Landsc. Res. 2021, 46, 1041–1056. [Google Scholar] [CrossRef]
- Campagna, M.; Floris, R.; Massa, P.; Girsheva, A.; Ivanov, K. The Role of Social Media Geographic Information (SMGI) in Spatial Planning. In Planning Support Systems and Smart Cities; Geertman, S., Ferreira, J., Jr., Goodspeed, R., Stillwell, J., Eds.; Lecture Notes in Geoinformation and Cartography; Springer International Publishing: Cham, Switzerland, 2015; pp. 41–60. ISBN 978-3-319-18368-8. [Google Scholar]
- Scannell, L.; Gifford, R. Defining place attachment: A tripartite organizing framework. J. Environ. Psychol. 2010, 30, 1–10. [Google Scholar] [CrossRef]
- Alawadi, K. Place attachment as a motivation for community preservation: The demise of an old, bustling, Dubai community. Urban Stud. 2017, 54, 2973–2997. [Google Scholar] [CrossRef]
- Harvey, D.J.; Merry, A.H.; Royle, L.; Campbell, M.P.; Rudd, P.M. Justice, Nature & the Geography of Difference; Blackwell: Cambridge, MA, USA, 1996. [Google Scholar]
- Creswell, J.W. Qualitative Inquiry & Research Design: Choosing among Five Approaches, 3rd ed.; SAGE Publications: Los Angeles, CA, USA, 2013; ISBN 978-1-4129-9531-3. [Google Scholar]
- Nanzer, B. Measuring Sense of Place: A Scale for Michigan. Adm. Theory Prax. 2004, 26, 362–382. [Google Scholar] [CrossRef]
- Stedman, R.C. Toward a Social Psychology of Place: Predicting Behavior from Place-Based Cognitions, Attitude, and Identity. Environ. Behav. 2002, 34, 561–581. [Google Scholar] [CrossRef]
- Bubalo, M.; van Zanten, B.T.; Verburg, P.H. Crowdsourcing geo-information on landscape perceptions and preferences: A review. Landsc. Urban Plan. 2019, 184, 101–111. [Google Scholar] [CrossRef]
- Wells, N.M.; Lekies, K.S. Nature and the Life Course: Pathways from Childhood Nature Experiences to Adult Environmentalism. Child. Youth Environ. 2006, 16, 1–24. [Google Scholar] [CrossRef]
- Gill, T. The Benefits of Children’s Engagement with Nature: A Systematic Literature Review. Child. Youth Environ. 2014, 24, 10–34. [Google Scholar] [CrossRef]
- Grimshaw, L.; Mates, L. ‘It’s part of our community, where we live’: Urban heritage and children’s sense of place. Urban Stud. 2021, 59, 00420980211019597. [Google Scholar] [CrossRef]
- Chapin, F.S.; Knapp, C.N. Sense of place: A process for identifying and negotiating potentially contested visions of sustainability. Environ. Sci. Policy 2015, 53, 38–46. [Google Scholar] [CrossRef]
- Farmer, J.R.; Knapp, D.; Meretsky, V.J.; Chancellor, C.; Fischer, B.C. Motivations Influencing the Adoption of Conservation Easements. Conserv. Biol. 2011, 25, 827–834. [Google Scholar] [CrossRef]
- Lokhorst, A.M.; Hoon, C.; le Rutte, R.; de Snoo, G. There is an I in nature: The crucial role of the self in nature conservation. Land Use Policy 2014, 39, 121–126. [Google Scholar] [CrossRef]
- Alessa, L.; Kliskey, A.; Brown, G. Social–ecological hotspots mapping: A spatial approach for identifying coupled social–ecological space. Landsc. Urban Plan. 2008, 85, 27–39. [Google Scholar] [CrossRef]
- Brown, B.; Perkins, D.D.; Brown, G. Place attachment in a revitalizing neighborhood: Individual and block levels of analysis. J. Environ. Psychol. 2003, 23, 259–271. [Google Scholar] [CrossRef]
- Xiao, Y.; Wang, Z.; Li, Z.; Tang, Z. An assessment of urban park access in Shanghai—Implications for the social equity in urban China. Landsc. Urban Plan. 2017, 157, 383–393. [Google Scholar] [CrossRef]
- Millennium Ecosystem Assessment (MEA). Ecosystems and Human Well-Being: Synthesis; Island Press: Washington, DC, USA, 2005; ISBN 978-1-59726-040-4. [Google Scholar]
- Van der Ploeg, S.; De Groot, R.S.; Wang, Y. The TEEB Valuation Database: Overview of Structure, Data and Results; Foundation for Sustainable Development: Wageningen, The Netherlands, 2010. [Google Scholar]
- Daily, G. Developing a Scientific Basis for Managing Earth’s Life Support Systems. Conserv. Ecol. 1999, 3, 2. [Google Scholar] [CrossRef]
- Costanza, R.; d’Arge, R.; de Groot, R.; Farber, S.; Grasso, M.; Hannon, B.; Limburg, K.; Naeem, S.; O’Neill, R.V.; Paruelo, J.; et al. The value of the world’s ecosystem services and natural capital. Nature 1997, 387, 253–260. [Google Scholar] [CrossRef]
- Milcu, A.I.; Hanspach, J.; Abson, D.; Fischer, J. Cultural Ecosystem Services: A Literature Review and Prospects for Future Research. Ecol. Soc. 2013, 18, 44. [Google Scholar] [CrossRef]
- Tieskens, K.F.; Van Zanten, B.T.; Schulp, C.J.E.; Verburg, P.H. Aesthetic appreciation of the cultural landscape through social media: An analysis of revealed preference in the Dutch river landscape. Landsc. Urban Plan. 2018, 177, 128–137. [Google Scholar] [CrossRef]
- Urbis, A.; Povilanskas, R.; Newton, A. Valuation of aesthetic ecosystem services of protected coastal dunes and forests. Ocean Coast. Manag. 2019, 179, 104832. [Google Scholar] [CrossRef]
- TEEB Synthesis. Mainstreaming the Economics of Nature: A Synthesis of the Approach, Conclusions and Recommendations of TEEB; Earthscan: London, UK; Washington, DC, USA, 2010; ISBN 978-3-9813410-3-4. [Google Scholar]
- Thakuriah, P.; Tilahun, N.Y.; Zellner, M. Big Data and Urban Informatics: Innovations and Challenges to Urban Planning and Knowledge Discovery. In Seeing Cities Through Big Data: Research, Methods and Applications in Urban Informatics; Thakuriah, P., Tilahun, N., Zellner, M., Eds.; Springer Geography; Springer International Publishing: Cham, Switzerland, 2017; pp. 11–45. ISBN 978-3-319-40902-3. [Google Scholar]
- Wilkins, E.J.; Wood, S.A.; Smith, J.W. Uses and Limitations of Social Media to Inform Visitor Use Management in Parks and Protected Areas: A Systematic Review. Environ. Manag. 2021, 67, 120–132. [Google Scholar] [CrossRef]
- Zhang, S.; Zhou, W. Recreational visits to urban parks and factors affecting park visits: Evidence from geotagged social media data. Landsc. Urban Plan. 2018, 180, 27–35. [Google Scholar] [CrossRef]
- Ilieva, R.T.; McPhearson, T. Social-media data for urban sustainability. Nat. Sustain. 2018, 1, 553–565. [Google Scholar] [CrossRef]
- Kane, K.; Kim, Y.-A. Parcels, points, and proximity: Can exhaustive sources of big data improve measurement in cities? Environ. Plan. B Urban Anal. City Sci. 2020, 47, 695–715. [Google Scholar] [CrossRef]
- Tasse, D.; Hong, J.I. Using User-Generated Content to Understand Cities. In Seeing Cities Through Big Data: Research, Methods and Applications in Urban Informatics; Thakuriah, P., Tilahun, N., Zellner, M., Eds.; Springer Geography; Springer International Publishing: Cham, Switzerland, 2017; pp. 49–64. ISBN 978-3-319-40902-3. [Google Scholar]
- De Mauro, A.; Greco, M.; Grimaldi, M. What is big data? A consensual definition and a review of key research topics. AIP Conf. Proc. 2015, 1644, 97–104. [Google Scholar] [CrossRef]
- Toivonen, T.; Heikinheimo, V.; Fink, C.; Hausmann, A.; Hiippala, T.; Järv, O.; Tenkanen, H.; Di Minin, E. Social media data for conservation science: A methodological overview. Biol. Conserv. 2019, 233, 298–315. [Google Scholar] [CrossRef]
- Sun, Y.; Fan, H.; Li, M.; Zipf, A. Identifying the city center using human travel flows generated from location-based social networking data. Environ. Plan. B Plan. Des. 2016, 43, 480–498. [Google Scholar] [CrossRef]
- Botta, F.; Moat, H.S.; Preis, T. Measuring the size of a crowd using Instagram. Environ. Plan. B Urban Anal. City Sci. 2019, 2399808319841615. [Google Scholar] [CrossRef]
- Donahue, M.L.; Keeler, B.L.; Wood, S.A.; Fisher, D.M.; Hamstead, Z.A.; McPhearson, T. Using social media to understand drivers of urban park visitation in the Twin Cities, MN. Landsc. Urban Plan. 2018, 175, 1–10. [Google Scholar] [CrossRef]
- Hamstead, Z.A.; Fisher, D.; Ilieva, R.T.; Wood, S.A.; McPhearson, T.; Kremer, P. Geolocated social media as a rapid indicator of park visitation and equitable park access. Comput. Environ. Urban Syst. 2018, 72, 38–50. [Google Scholar] [CrossRef]
- Heikinheimo, V.; Minin, E.D.; Tenkanen, H.; Hausmann, A.; Erkkonen, J.; Toivonen, T. User-Generated Geographic Information for Visitor Monitoring in a National Park: A Comparison of Social Media Data and Visitor Survey. ISPRS Int. J. Geo-Inf. 2017, 6, 85. [Google Scholar] [CrossRef]
- Song, X.P.; Richards, D.R.; He, P.; Tan, P.Y. Does geo-located social media reflect the visit frequency of urban parks? A city-wide analysis using the count and content of photographs. Landsc. Urban Plan. 2020, 203, 103908. [Google Scholar] [CrossRef]
- Wood, S.A.; Guerry, A.D.; Silver, J.M.; Lacayo, M. Using social media to quantify nature-based tourism and recreation. Sci. Rep. 2013, 3, 2976. [Google Scholar] [CrossRef] [PubMed]
- Yoshimura, N.; Hiura, T. Demand and supply of cultural ecosystem services: Use of geotagged photos to map the aesthetic value of landscapes in Hokkaido. Ecosyst. Serv. 2017, 24, 68–78. [Google Scholar] [CrossRef]
- Langemeyer, J.; Calcagni, F.; Baró, F. Mapping the intangible: Using geolocated social media data to examine landscape aesthetics. Land Use Policy 2018, 77, 542–552. [Google Scholar] [CrossRef]
- Gosal, A.S.; Geijzendorffer, I.R.; Václavík, T.; Poulin, B.; Ziv, G. Using social media, machine learning and natural language processing to map multiple recreational beneficiaries. Ecosyst. Serv. 2019, 38, 100958. [Google Scholar] [CrossRef]
- Clemente, P.; Calvache, M.; Antunes, P.; Santos, R.; Cerdeira, J.O.; Martins, M.J. Combining social media photographs and species distribution models to map cultural ecosystem services: The case of a Natural Park in Portugal. Ecol. Indic. 2019, 96, 59–68. [Google Scholar] [CrossRef]
- Song, Y.; Fernandez, J.; Wang, T. Understanding Perceived Site Qualities and Experiences of Urban Public Spaces: A Case Study of Social Media Reviews in Bryant Park, New York City. Sustainability 2020, 12, 8036. [Google Scholar] [CrossRef]
- Auxier, B.; Anderson, M. Social Media Use in 2021. Pew Res. Cent. Internet Sci. Tech. 2021, 1, 1–4. [Google Scholar]
- Plunz, R.A.; Zhou, Y.; Carrasco Vintimilla, M.I.; Mckeown, K.; Yu, T.; Uguccioni, L.; Sutto, M.P. Twitter sentiment in New York City parks as measure of well-being. Landsc. Urban Plan. 2019, 189, 235–246. [Google Scholar] [CrossRef]
- Mislove, A.; Lehmann, S.; Ahn, Y.-Y.; Onnela, J.-P.; Rosenquist, J. Understanding the Demographics of Twitter Users. Proc. Int. AAAI Conf. Web Soc. Media 2011, 5, 554–557. [Google Scholar] [CrossRef]
- Hecht, B.; Stephens, M. A Tale of Cities: Urban Biases in Volunteered Geographic Information. Proc. Int. AAAI Conf. Web Soc. Media 2014, 8, 197–205. [Google Scholar] [CrossRef]
- Lenormand, M.; Tugores, A.; Colet, P.; Ramasco, J.J. Tweets on the Road. PLoS ONE 2014, 9, e105407. [Google Scholar] [CrossRef] [PubMed]
- Clayton, S. Environmental identity: A conceptual and an operational definition. Identity Nat. Environ. Psychol. Significance Nat. 2003, 3, 45–65. [Google Scholar]
- Mohan, J.; Twigg, L. Sense of Place, Quality of Life and Local Socioeconomic Context: Evidence from the Survey of English Housing, 2002/03. Urban Stud. 2007, 44, 2029–2045. [Google Scholar] [CrossRef]
- Shahzad, L.; Afzal, B.; Sharif, F.; Mansoor, A. Community Perceptions of an Urban Park as an Indicator for Quality of Life. Pak. J. Sci. 2017, 69, 52–57. [Google Scholar]
- Steinitz, C. A Framework for Geodesign: Changing Geography by Design; Esri Press: Redlands, CA, USA, 2012. [Google Scholar]
- Dunkel, A. Visualizing the perceived environment using crowdsourced photo geodata. Landsc. Urban Plan. 2015, 142, 173–186. [Google Scholar] [CrossRef]








| Citywide | Regional | Community | ||||
|---|---|---|---|---|---|---|
| Estimate | p Value | Estimate | p Value | Estimate | p Value | |
| Cultural or group | 0.33 | 0.98 | 7.56 | 0.61 | −94.76 | 0.21 |
| Individuals | 60.65 | 0.10 * | −6.65 | 0.84 | −21.26 | 0.45 |
| Built environment | −759.71 | 0.09 * | −15.73 | 0.48 | 23.38 | 0.43 |
| Nature | 4.06 | 0.71 | 56.81 | 0.17 | −32.26 | 0.05 * |
| Territoriality | 52.41 | 0.20 | −3.67 | 0.85 | −26.95 | 0.14 |
| Affect | −90.65 | 0.09 * | −61.43 | 0.21 | 48.83 | 0.17 |
| Cognition | 143.22 | 0.17 | 18.00 | 0.40 | 41.31 | 0.10 * |
| Safety | −13.22 | 0.24 | −12.70 | 0.24 | 11.02 | 0.14 |
Disclaimer/Publisher’s Note: The statements, opinions and data contained in all publications are solely those of the individual author(s) and contributor(s) and not of MDPI and/or the editor(s). MDPI and/or the editor(s) disclaim responsibility for any injury to people or property resulting from any ideas, methods, instructions or products referred to in the content. |
© 2023 by the authors. Licensee MDPI, Basel, Switzerland. This article is an open access article distributed under the terms and conditions of the Creative Commons Attribution (CC BY) license (https://creativecommons.org/licenses/by/4.0/).
Share and Cite
Zeng, Y.; Deal, B. What Role Do Urban Parks Play in Forming a Sense of Place? Lessons for Geodesign Using Social Media. Land 2023, 12, 1960. https://doi.org/10.3390/land12111960
Zeng Y, Deal B. What Role Do Urban Parks Play in Forming a Sense of Place? Lessons for Geodesign Using Social Media. Land. 2023; 12(11):1960. https://doi.org/10.3390/land12111960
Chicago/Turabian StyleZeng, Yijun, and Brian Deal. 2023. "What Role Do Urban Parks Play in Forming a Sense of Place? Lessons for Geodesign Using Social Media" Land 12, no. 11: 1960. https://doi.org/10.3390/land12111960
APA StyleZeng, Y., & Deal, B. (2023). What Role Do Urban Parks Play in Forming a Sense of Place? Lessons for Geodesign Using Social Media. Land, 12(11), 1960. https://doi.org/10.3390/land12111960

