Promoting Effect of Whole-Region Comprehensive Land Consolidation on Rural Revitalization from the Perspective of Farm Households: A China Study
Abstract
1. Introduction
2. Internal Logic of WRCLC Promoting Rural Revitalization
2.1. Implementation Mode of WRCLC
2.2. Mechanism of Promoting Rural Revitalization through WRCLC
3. Methodology and Data Collection
3.1. Methodology
3.1.1. Modification of TOPSIS Method
3.1.2. PSM-DID Estimator
3.2. Variable Settings
3.2.1. Selection of Dependent Variables
3.2.2. Selection of Independent Variables
3.3. Data Collection and Descriptive Statistics
4. Results
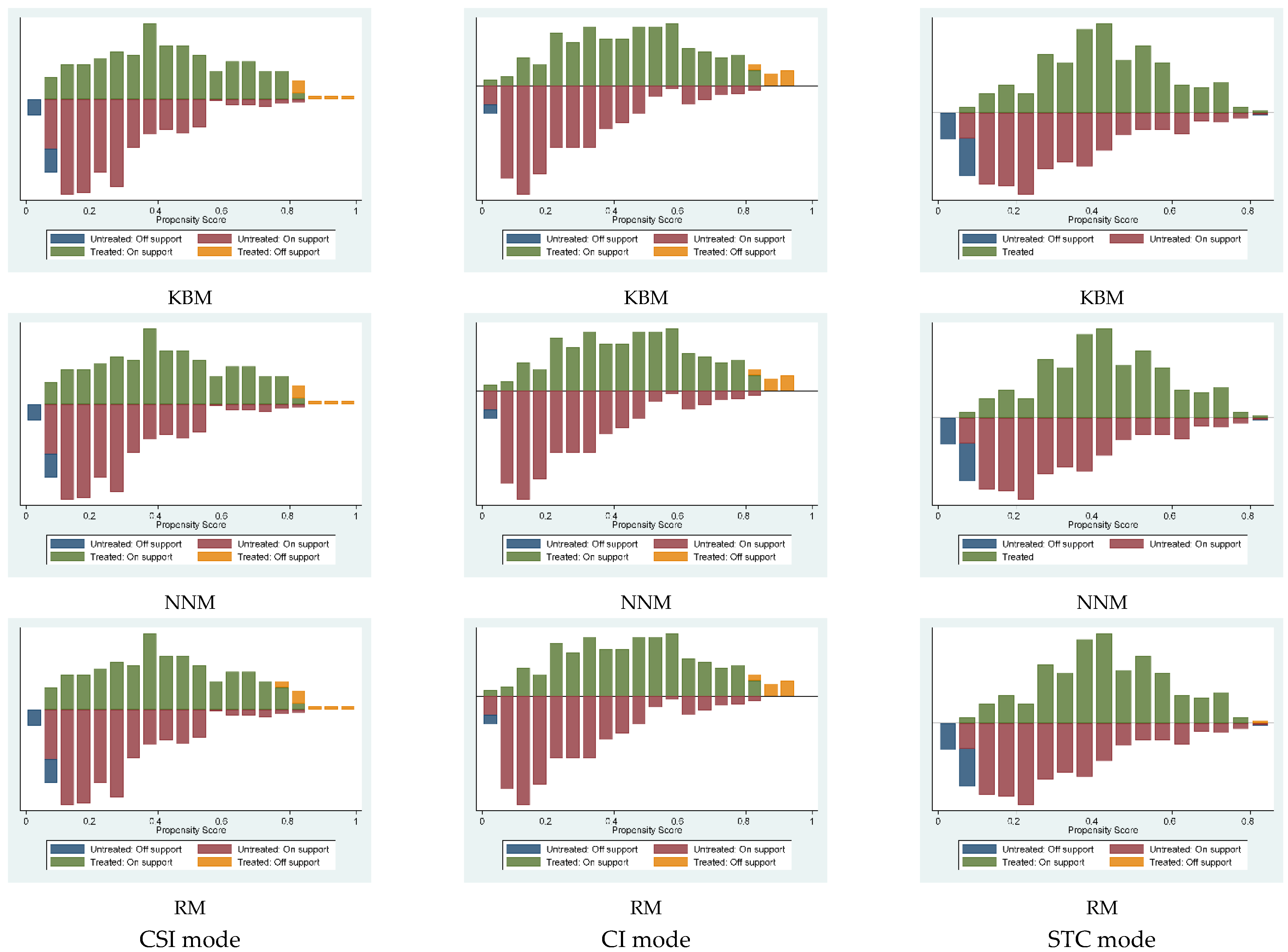
4.1. Estimation and Testing of Propensity Scores
4.2. Model Estimation and Result Analysis
5. Discussion
5.1. Mechanism of Promoting Rural Revitalization through WRCLC under Framework of “Element-Structure-Function”
5.2. Promotion Effect of WRCLC on Rural Revitalization Based on Quasi-Experimental Research
5.3. Limitations and Future Work
6. Conclusions and Policy Implications
Author Contributions
Funding
Data Availability Statement
Conflicts of Interest
Appendix A
| Variable | X1 | X2 | X3 | X4 | X5 | X6 | X7 | X8 | X9 | X10 | X11 | ||
|---|---|---|---|---|---|---|---|---|---|---|---|---|---|
| CSI node | KBM | %bias | −2.7 | −4.2 | 2.2 | 6.4 | −0.9 | −6.7 | 9.2 | −5.4 | 8.5 | −5.1 | 2.0 |
| t-value | −0.30 | −0.40 | 0.21 | 0.66 | −0.09 | −0.65 | 0.91 | −0.54 | 0.84 | −0.51 | 0.19 | ||
| NNM | %bias | −7.0 | −4.4 | 4.9 | 11.9 | 2.3 | −1.8 | 10.6 | −5.4 | 13.4 | −10.7 | 2.1 | |
| t-value | −0.84 | −0.42 | 0.47 | 1.23 | 0.22 | −0.18 | 1.07 | −0.55 | 1.32 | −1.05 | 0.20 | ||
| RM | %bias | −4.0 | −5.9 | 2.3 | 7.0 | −3.3 | −4.3 | 7.8 | −5.5 | 9.6 | −7.9 | 1.7 | |
| t-value | −0.45 | −0.55 | 0.22 | 0.71 | −0.32 | −0.42 | 0.79 | −0.55 | 0.93 | −0.78 | 0.16 | ||
| CI mode | KBM | %bias | −1.6 | −5.1 | 1.8 | 13.1 | −1.4 | 11.7 | 4.6 | −12.1 | −2.0 | 2.5 | 9.7 |
| t-value | −0.17 | −0.51 | 0.20 | 1.40 | −0.15 | 1.15 | 0.50 | −1.26 | −0.22 | 0.26 | 1.00 | ||
| NNM | %bias | 1.3 | −8.8 | 6.1 | 10.9 | 1.2 | 13.3 | 3.2 | −14.2 | −4.5 | −0.8 | 9.8 | |
| t-value | 0.14 | −0.89 | 0.66 | 1.16 | 0.12 | 1.32 | 0.34 | −1.50 | −0.48 | −0.08 | 1.00 | ||
| RM | %bias | 1.6 | −2.4 | −0.4 | 14.4 | 0.1 | 14.1 | 6.5 | −14.3 | −2.5 | 1.6 | 10.7 | |
| t-value | 0.17 | −0.24 | −0.04 | 1.55 | 0.01 | 1.39 | 0.73 | −1.49 | −0.27 | 0.17 | 1.09 | ||
| STC mode | KBM | %bias | −8.3 | −8.4 | 0.8 | −0.5 | −6.3 | −0.0 | 5.4 | 10.3 | −1.4 | 1.7 | −4.3 |
| t-value | −0.82 | −0.87 | 0.08 | −0.05 | −0.68 | −0.00 | 0.52 | 1.33 | −0.16 | 0.18 | −0.44 | ||
| NNM | %bias | −7.3 | −8.4 | 6.0 | 1.1 | −6.1 | 3.3 | 6.2 | 10.6 | 2.0 | −4.1 | −5.2 | |
| t-value | −0.72 | −0.87 | 0.63 | 0.12 | −0.66 | 0.35 | 0.60 | 1.37 | 0.22 | −0.42 | −0.53 | ||
| RM | %bias | −7.8 | −9.3 | 1.3 | −0.8 | −6.0 | −1.2 | 7.5 | 9.1 | 1.3 | 1.3 | −3.7 | |
| t-value | −0.79 | −0.95 | 0.14 | −0.09 | −0.64 | −0.13 | 0.73 | 1.17 | 0.15 | 0.14 | −0.38 |
| CSI Mode | CI Mode | STC Mode | ||||||||
|---|---|---|---|---|---|---|---|---|---|---|
| Pseudo R2 | LR chi2 | p > chi2 | Pseudo R2 | LR chi2 | p > chi2 | Pseudo R2 | LR chi2 | p > chi2 | ||
| Unmatched | 0.144 | 115.44 | 0.000 | 0.171 | 142.76 | 0.000 | 0.133 | 111.53 | 0.000 | |
| KBM | Matched | 0.006 | 3.38 | 0.985 | 0.013 | 7.41 | 0.765 | 0.007 | 4.28 | 0.961 |
| NNM | Matched | 0.012 | 6.64 | 0.827 | 0.014 | 8.08 | 0.706 | 0.008 | 4.99 | 0.932 |
| RM | Matched | 0.007 | 3.68 | 0.978 | 0.017 | 9.62 | 0.565 | 0.007 | 4.21 | 0.963 |
| 1 | Zhejiang Provincial Natural Resources Department: http://zrzyt.zj.gov.cn/art/2021/11/10/art_1289955_58945454.html. (accessed on 10 August 2022). |
References
- Holmes, J. Impulses towards a multifunctional transition in rural Australia: Gaps in the research agenda. J. Rural. Stud. 2006, 22, 142–160. [Google Scholar] [CrossRef]
- Marsden, T. Mobilizing the regional eco-economy: Evolving webs of agri-food and rural development in the UK. Camb. J. Reg. Econ. Soc. 2010, 3, 225–244. [Google Scholar] [CrossRef]
- Markey, S.; Halseth, G.; Manson, D. Challenging the inevitability of rural decline: Advancing the policy of place in northern British Columbia. J. Rural. Stud. 2008, 24, 409–421. [Google Scholar] [CrossRef]
- Long, H.; Tu, S.; Ge, D.; Li, T.; Liu, Y. The allocation and management of critical resources in rural China under restructuring: Problems and prospects. J. Rural. Stud. 2016, 47, 392–412. [Google Scholar] [CrossRef]
- Liu, Y.; Li, Y. Revitalize the world’s countryside. Nature 2017, 548, 275–277. [Google Scholar] [CrossRef]
- Li, Y.; Westlund, H.; Liu, Y. Why some rural areas decline while some others not: An overview of rural evolution in the world. J. Rural. Stud. 2019, 68, 135–143. [Google Scholar] [CrossRef]
- Guo, Y.; Wang, J. Poverty alleviation through labor transfer in rural China: Evidence from Hualong County. Habitat Int. 2021, 116, 102402. [Google Scholar] [CrossRef]
- Long, H.; Liu, Y.; Li, X.; Chen, Y. Building new countryside in China: A geographical perspective. Land Use Policy 2010, 27, 457–470. [Google Scholar] [CrossRef]
- Hedlund, M.; Lundholm, E. Restructuring of rural Sweden—Employment transition and out-migration of three cohorts born 1945–1980. J. Rural. Stud. 2015, 42, 123–132. [Google Scholar] [CrossRef]
- Liu, Y. Introduction to land use and rural sustainability in China. Land Use Policy 2018, 74, 1–4. [Google Scholar] [CrossRef]
- Liu, Y.; Li, J.; Yang, Y. Strategic adjustment of land use policy under the economic transformation. Land Use Policy 2018, 74, 5–14. [Google Scholar] [CrossRef]
- Long, H.; Qu, Y. Land use transitions and land management: A mutual feedback perspective. Land Use Policy 2018, 74, 111–120. [Google Scholar] [CrossRef]
- Liu, Y.; Wang, Y. Rural land engineering and poverty alleviation: Lessons from typical regions in China. J. Geogr. Sci. 2019, 29, 643–657. [Google Scholar] [CrossRef]
- Zhou, Y.; Guo, L.; Liu, Y. Land consolidation boosting poverty alleviation in China: Theory and practice. Land Use Policy 2019, 82, 339–348. [Google Scholar] [CrossRef]
- Zhou, Y.; Li, Y.; Xu, C. Land consolidation and rural revitalization in China: Mechanisms and paths. Land Use Policy 2020, 91, 104379. [Google Scholar] [CrossRef]
- Zhang, L.; Ge, D.; Sun, P.; Sun, D. The transition mechanism and revitalization path of rural industrial land from a spatial governance perspective: The case of Shunde District, China. Land 2021, 10, 746. [Google Scholar] [CrossRef]
- Zhang, J. Village value orientation and rural revitalization. Chin. Rural. Econ. 2018, 1, 2–10. (In Chinese) [Google Scholar]
- Tu, S.; Long, H. Rural restructuring in China: Theory, approaches and research prospect. J. Geogr. Sci. 2017, 27, 1169–1184. [Google Scholar] [CrossRef]
- Li, Y.; Fan, P.; Liu, Y. What makes better village development in traditional agricultural areas of China? Evidence from long-term observation of typical villages. Habitat Int. 2019, 83, 111–124. [Google Scholar] [CrossRef]
- Xie, Z.; Zhang, F.; Lun, F.; Gao, Y.; Ao, J.; Zhou, J. Research on a diagnostic system of rural vitalization based on development elements in China. Land Use Policy 2020, 92, 104421. [Google Scholar] [CrossRef]
- Long, H.; Zhang, Y.; Tu, S. Rural vitalization in China: A perspective of land consolidation. J. Geogr. Sci. 2019, 29, 517–530. [Google Scholar] [CrossRef]
- Dong, Z. Explore a road of rural revitalization consistent with China’s reality—Practice and prospect of whole-region comprehensive land consolidation in rural areas of Zhejiang Province. Zhejiang Land Resour. 2018, 10, 7–12. (In Chinese) [Google Scholar]
- Xia, F. Whole-region comprehensive land consolidation: Background, connotation and future development. Zhejiang Land Resour. 2018, 10, 23–25. (In Chinese) [Google Scholar]
- Jia, W. Whole-region comprehensive land consolidation is focusing on releasing comprehensive benefits. China Nat. Resour. News 2020, 2, 3. (In Chinese) [Google Scholar]
- Rao, J. Comprehensive land consolidation as a development policy for rural vitalisation: Rural in situ urbanisation through semi socio-economic restructuring in Huai Town. J. Rural. Stud. 2022, 93, 386–397. [Google Scholar] [CrossRef]
- Pašakarnis, G.; Maliene, V. Towards sustainable rural development in Central and Eastern Europe: Applying land consolidation. Land Use Policy 2010, 27, 545–549. [Google Scholar] [CrossRef]
- Demetriou, D.; Stillwell, J.; See, L. Land consolidation in Cyprus: Why is an Integrated Planning and Decision Support System required? Land Use Policy 2012, 29, 131–142. [Google Scholar] [CrossRef]
- Lisec, A.; Primožič, T.; Ferlan, M.; Šumrada, R.; Drobne, S. Land owners’ perception of land consolidation and their satisfaction with the results—Slovenian experiences. Land Use Policy 2014, 38, 550–563. [Google Scholar] [CrossRef]
- Jiang, Y.; Long, H.; Tang, Y. Land consolidation and rural vitalization: A perspective of land use multifunctionality. Prog. Geogr. 2021, 40, 487–497. (In Chinese) [Google Scholar] [CrossRef]
- Zhang, B.; Niu, W.; Ma, L.; Zuo, X.; Kong, X.; Chen, H.; Zhang, Y.; Chen, W.; Zhao, M.; Xia, X. A company-dominated pattern of land consolidation to solve land fragmentation problem and its effectiveness evaluation: A case study in a hilly region of Guangxi Autonomous Region, Southwest China. Land Use Policy 2019, 88, 104115. [Google Scholar] [CrossRef]
- Asimeh, M.; Nooripoor, M.; Azadi, H.; Van Eetvelde, V.; Sklenička, P.; Witlox, F. Agricultural land use sustainability in Southwest Iran: Improving land leveling using consolidation plans. Land Use Policy 2020, 94, 104555. [Google Scholar] [CrossRef]
- Yao, S.; Long, T. Does market-orientated land consolidation promote rural revitalization: Based on the investigation of 1187 farmers Chengdu. China Land Sci. 2020, 34, 70–78. (In Chinese) [Google Scholar]
- Hiironen, J.; Riekkinen, K. Agricultural impacts and profitability of land consolidations. Land Use Policy 2016, 55, 309–317. [Google Scholar] [CrossRef]
- Jiang, G.; Zhang, R.; Ma, W.; Zhou, D.; Wang, X.; He, X. Cultivated land productivity potential improvement in land consolidation schemes in Shenyang, China: Assessment and policy implications. Land Use Policy 2017, 68, 80–88. [Google Scholar] [CrossRef]
- Tang, X.; Pan, Y.; Liu, Y. Analysis and demonstration of investment implementation model and paths for China’s cultivated land consolidation. Appl. Geogr. 2017, 82, 24–34. [Google Scholar] [CrossRef]
- Du, X.; Zhang, X.; Jin, X. Assessing the effectiveness of land consolidation for improving agricultural productivity in China. Land Use Policy 2018, 70, 360–367. [Google Scholar] [CrossRef]
- Li, Y.; Li, Y.; Fan, P.; Long, H. Impacts of land consolidation on rural human-environment system in typical watershed of the Loess Plateau and implications for rural development policy. Land Use Policy 2019, 86, 339–350. [Google Scholar]
- Wang, Y.; Li, Y. Promotion of degraded land consolidation to rural poverty alleviation in the agro-pastoral transition zone of northern China. Land Use Policy 2019, 88, 104114. [Google Scholar] [CrossRef]
- Fang, Y.; Shi, K.; Niu, C. A comparison of the means and ends of rural construction land consolidation: Case studies of villagers’ attitudes and behaviours in Changchun City, Jilin province, China. J. Rural. Stud. 2016, 47, 459–473. [Google Scholar] [CrossRef]
- Wang, Y.; Zhu, Y.; Yu, M. Evaluation and determinants of satisfaction with rural livability in China’s less-developed eastern areas: A case study of Xianju County in Zhejiang Province. Ecol. Indic. 2019, 104, 711–722. [Google Scholar] [CrossRef]
- Guo, B.; Fang, Y.; Jin, X.; Zhou, Y. Monitoring the effects of land consolidation on the ecological environmental quality based on remote sensing: A case study of Chaohu Lake Basin, China. Land Use Policy 2020, 95, 104569. [Google Scholar] [CrossRef]
- Kupidura, A.; Łuczewski, M.; Home, R.; Kupidura, P. Public perceptions of rural landscapes in land consolidation procedures in Poland. Land Use Policy 2014, 39, 313–319. [Google Scholar] [CrossRef]
- Krupowicz, W.; Czarnecka, A.; Grus, M. Implementing crowdsourcing initiatives in land consolidation procedures in Poland. Land Use Policy 2020, 99, 105015. [Google Scholar] [CrossRef]
- Li, Y.; Liu, Y.; Long, H.; Cui, W. Community-based rural residential land consolidation and allocation can help to revitalize hollowed villages in traditional agricultural areas of China: Evidence from Dancheng County, Henan Province. Land Use Policy 2014, 39, 188–198. [Google Scholar] [CrossRef]
- Jin, X.; Xu, X.; Xiang, X.; Bai, Q.; Zhou, Y. System-dynamic analysis on socio-economic impacts of land consolidation in China. Habitat Int. 2016, 56, 166–175. [Google Scholar] [CrossRef]
- Zhang, D.; Wang, W.; Zhou, W.; Zhang, X.; Zuo, J. The effect on poverty alleviation and income increase of rural land consolidation in different models: A China study. Land Use Policy 2020, 99, 104989. [Google Scholar] [CrossRef]
- Heckman, J.; Ichimura, H.; Todd, P. Matching as an econometric evaluation estimator. Rev. Econ. Stud. 1998, 65, 261–294. [Google Scholar] [CrossRef]
- Smith, J.; Todd, P. Does matching overcome Lalonde’s critique of nonexperimental estimators? J. Economet. 2005, 125, 305–353. [Google Scholar] [CrossRef]
- Pašakarnis, G.; Maliene, V.; Dixon-Gough, R.; Malys, N. Decision support framework to rank and prioritise the potential land areas for comprehensive land consolidation. Land Use Policy 2021, 100, 104908. [Google Scholar] [CrossRef]
- Vogt, S.; Haas, A. The future of public participation in Germany: Empirical analyses of administration experts’ assessments. Technol. Forecast. Soc. Chang. 2015, 98, 157–173. [Google Scholar] [CrossRef]
- Xu, H. Research on the mechanism and implementation path of comprehensive land consolidation to promote rural revitalization. Guizhou Soc. Sci. 2021, 5, 144–152. (In Chinese) [Google Scholar]
- Long, H. Land consolidation: An indispensable way of spatial restructuring in rural China. J. Geogr. Sci. 2014, 24, 211–225. [Google Scholar] [CrossRef]
- Zhou, T.; Jiang, G.; Li, G.; Zhou, D.; Qu, Y. Neglected idle rural residential land (IRRL) in metropolitan suburbs: Spatial differentiation and influencing factors. J. Rural. Stud. 2020, 78, 163–175. [Google Scholar]
- Hwang, C.L.; Yoon, K. Multiple Attribute Decision Making: Methods and Application; Springer: Berlin/Heidelberg, Germany, 1981. [Google Scholar]
- Suneesh, E.; Sivapragash, M. Multi-response optimisation of micro-milling performance while machining a novel magnesium alloy and its alumina composites. Measurement 2021, 168, 108345. [Google Scholar] [CrossRef]
- Song, H.; Lu, B.; Ye, C.; Li, J.; Zhu, Z.; Zheng, L. Fraud vulnerability quantitative assessment of Wuchang rice industrial chain in China based on AHP-EWM and ANN methods. Food Res. Int. 2021, 140, 109805. [Google Scholar] [CrossRef]
- Dyer, J.S. A Clarification of “Remarks on the Analytic Hierarchy Process”. Manage. Sci. 1990, 36, 274–275. [Google Scholar] [CrossRef]
- Xu, Y.; Huang, X.; Bao, H.X.; Ju, X.; Zhong, T.; Chen, Z.; Zhou, Y. Rural land rights reform and agro-environmental sustainability: Empirical evidence from China. Land Use Policy 2018, 74, 73–87. [Google Scholar] [CrossRef]
- Del Prete, D.; Ghins, L.; Magrini, E.; Pauw, K. Land consolidation, specialization and household diets: Evidence from Rwanda. Food Policy 2019, 83, 139–149. [Google Scholar] [CrossRef]
- Athey, S.; Imbens, G.W. Identification and inference in nonlinear difference-in-differences models. Econometrica 2006, 74, 431–497. [Google Scholar] [CrossRef]
- Caliendo, M.; Kopeinig, S. Some practical guidance for the implementation of propensity score matching. J. Econ. Surv. 2008, 22, 31–72. [Google Scholar] [CrossRef]
- Li, Y.; Liu, Y.; Long, H.; Wang, L. Participatory appraisal of village development system: Methodology and application. Geogr. Res. 2014, 33, 372–384. (In Chinese) [Google Scholar]
- Zhang, T.; Xu, Y.; Li, H. The interaction mechanism research of rural construction effectiveness evaluation system. China Popul. Res. Environ. 2018, 28, 37–46. (In Chinese) [Google Scholar]
- Shen, J.; Wang, Y.; Zhu, M.; Wang, K. Evaluation index system and empirical analysis of rural revitalization level. Trans. Chin. Soc. Agric. Eng. 2020, 36, 236–243. (In Chinese) [Google Scholar]
- Yin, Q.; Sui, X.; Ye, B.; Zhou, Y.; Li, C.; Zou, S. What role does land consolidation play in the multi-dimensional rural revitalization in China? A research synthesis. Land Use Policy 2022, 120, 106261. [Google Scholar] [CrossRef]
- Gao, J.; Wu, T.; Wang, Z. The mechanism and promotion path in integrated linkage between poverty alleviation and rural revitalization in deep poverty-stricken areas: Data from Yi autonomous prefecture of Liangshan. Issues Agric. Econ. 2020, 3, 125–135. (In Chinese) [Google Scholar]
- Tian, Y.; Liu, Y.; Liu, X.; Kong, X.; Liu, G. Restructuring rural settlements based on subjective well-being (SWB): A case study in Hubei province, central China. Land Use Policy 2017, 63, 255–265. [Google Scholar] [CrossRef]
- Cao, Y.; Zhang, X.; He, L. Collective Action in maintaining rural infrastructures: Cadre-farmer relationship, institution rules and their interaction terms. Land Use Policy 2020, 99, 105043. [Google Scholar] [CrossRef]
- Granovetter, M. Economic Action and Social Structure: The Problem of Embeddedness. Am. J. Sociol. 1985, 91, 481–510. [Google Scholar] [CrossRef]
- Zang, Y.; Yang, Y.; Liu, Y. Understanding rural system with a social-ecological framework: Evaluating sustainability of rural evolution in Jiangsu province, South China. J. Rural. Stud. 2021, 86, 171–180. [Google Scholar] [CrossRef]
- He, C.; Li, P.; Liu, S.; Xu, D.; Xue, P. Factors influencing the efficiency of rural public goods investments in mountainous areas of China—Based on micro panel data from three periods. J. Rural. Stud. 2016, 47, 612–621. [Google Scholar] [CrossRef]
- Rosenbaum, P.R.; Rubin, D.B. The central role of the propensity score in observational studies for causal effects. Biometrika 1983, 70, 41–55. [Google Scholar] [CrossRef]
- Brookhart, M.A.; Schneeweiss, S.; Rothman, K.J.; Glynn, R.J.; Avorn, J.; Stürmer, T. Variable selection for propensity score models. Am. J. Epidemiol. 2006, 163, 1149–1156. [Google Scholar] [CrossRef] [PubMed]
- Rigg, J. Land, farming, livelihoods, and poverty: Rethinking the links in the Rural South. World Dev. 2006, 34, 180–202. [Google Scholar] [CrossRef]
- Wilson, G. Multifunctional “quality” and rural community resilience. Trans. Inst. Br. Geogr. 2010, 35, 364–381. [Google Scholar] [CrossRef]




| First-Level Indicator | Second-Level Indicators | Weight | Third-Level Indicators | Definition and Assignment Rules | Weight |
|---|---|---|---|---|---|
| Rural revitalization | Thriving industry | 0.17 | Land productivity | Output value of agricultural products per unit land area (CNY Yuan/mu) | 0.26 |
| Agricultural labor productivity | Ratio of annual agricultural income to the number of agricultural labors (CNY ten thousand/person) | 0.15 | |||
| Comprehensive mechanization rate of crop cultivation and harvest | Machine farming area/Total farming area×40%+Machine sowing area/Total sowing area×30%+Machine harvesting area/Total harvesting area×30% | 0.14 | |||
| Local employment opportunities of labor | Very few = 1; few = 2; general = 3; many = 4; very many = 5 | 0.47 | |||
| Ecological livability | 0.29 | Drinking water quality | Very low = 1; low = 2; general = 3; high = 4; very high = 5 | 0.18 | |
| Domestic sewage treatment degree | Very low = 1; low = 2; general = 3; high = 4; very high = 5 | 0.26 | |||
| Household garbage treatment degree | Very low = 1; low = 2; general = 3; high = 4; very high = 5 | 0.33 | |||
| Domestic energy source | Firewood or straw = 1; coal = 2; natural gas or liquefied gas = 3; electricity = 4; solar or biogas = 5 | 0.15 | |||
| Toilet types | Simple toilet = 1; sanitary toilet = 2; flush toilet = 3 | 0.10 | |||
| Rural civilization | 0.16 | Culture, education, and entertainment expenditure proportion | The proportion of culture, education, and entertainment expenditure in total family expenditure | 0.57 | |
| Kinship and neighborhood harmony degree | Very low = 1; low = 2; general = 3; high = 4; very high = 5 | 0.10 | |||
| Social contact expenditures | Very low = 1; low = 2; general = 3; high = 4; very high = 5 | 0.14 | |||
| Feudal superstition activities | Very many = 1; many = 2; general = 3; few = 4; very few = 5 | 0.08 | |||
| Excellent family tradition inheritance degree | Very low = 1; low = 2; general = 3; high = 4; very high = 5 | 0.12 | |||
| Effective governance | 0.14 | Democratic right guarantee | Very low = 1; low = 2; general = 3; high = 4; very high = 5 | 0.30 | |
| Public affair participation ability | Very weak = 1; weak = 2; general = 3; strong = 4; very strong = 5 | 0.28 | |||
| Public affair participation enthusiasm | Very low = 1; low = 2; general = 3; high = 4; very high = 5 | 0.25 | |||
| Villagers’ moral quality | Very low = 1; low = 2; general = 3; high = 4; very high = 5 | 0.19 | |||
| Affluent life | 0.25 | Per capita net income | Annual household per capita net income (CNY) | 0.47 | |
| Engel’s Coefficient | Proportion of total household food expenditure in total expenditure | 0.16 | |||
| Happiness index | Very low = 1; low = 2; general = 3; high = 4; very high = 5 | 0.09 | |||
| Per capita housing area | Per capita housing area of households (m2) | 0.29 |
| Variable | Code | Type | Meaning and Assignment Rules | Source |
|---|---|---|---|---|
| Household head’s gender | X1 | Discrete | 1 = male; 0 = female | [67] |
| Household head’s age | X2 | Discrete | 1 = under 40; 2 = between 41 and 55; 3 = between 56 and 64; 4 = over 65 | [67] |
| Household head’s education | X3 | Discrete | 1 = illiterate or semi-literate; 2 = primary school; 3 = secondary school; 4 = high school; 5 = college or higher | [40] |
| The proportion of household labor force | X4 | Continuous | Proportion of the labor force in the total family population (%) | [68] |
| The proportion of agricultural labor force | X5 | Continuous | Proportion of the agricultural labor force in the total labor force (%) | [68] |
| The household contracted land area | X6 | Continuous | Land area contracted by farm households (ha) | [68] |
| Social capital | X7 | Discrete | Presence or absence of village or town leader in the farm household (1 = yes, 0 = no) | [68] |
| Village’s landform characteristics | X8 | Discrete | Mountain = 1; Hills = 2; Basin = 3; Plain = 4 | [19,71] |
| Transportation convenience degree | X9 | Discrete | Very low = 1; low = 2; general = 3; high = 4; very high = 5 | [19,71] |
| Economic development level | X10 | Continuous | Per capita annual net income of farmer households (CNY) | [19,71] |
| Village cadres’ decision-making and behavior ability | X11 | Discrete | Very weak = 1; weak = 2; general = 3; strong = 4; very strong = 5 | [19,71] |
| Matching Algorithm | CSI Mode | CI Mode | STC Mode | |||||||
|---|---|---|---|---|---|---|---|---|---|---|
| PSM-DID ATT | STD Error | t-Value | PSM-DID ATT | STD Error | t-Value | PSM-DID ATT | STD Error | t-Value | ||
| Rural revitalization | KBM | 0.211 *** | 0.011 | 19.28 | 0.162 *** | 0.011 | 14.86 | 0.127 *** | 0.010 | 12.94 |
| NNM | 0.208 *** | 0.011 | 19.00 | 0.157 *** | 0.011 | 14.40 | 0.123 *** | 0.010 | 12.53 | |
| RM | 0.200 *** | 0.011 | 18.18 | 0.154 *** | 0.011 | 14.15 | 0.116 *** | 0.010 | 11.83 | |
| Average | 0.206 | 0.158 | 0.122 | |||||||
| Thriving industry | KBM | 0.195 *** | 0.015 | 13.24 | 0.204 *** | 0.014 | 14.38 | 0.134 *** | 0.013 | 10.12 |
| NNM | 0.186 *** | 0.015 | 12.63 | 0.199 *** | 0.014 | 14.03 | 0.129 *** | 0.013 | 9.75 | |
| RM | 0.180 *** | 0.015 | 12.19 | 0.198 *** | 0.014 | 13.95 | 0.124 *** | 0.013 | 9.35 | |
| Average | 0.187 | 0.200 | 0.129 | |||||||
| Ecological livability | KBM | 0.231 *** | 0.011 | 20.83 | 0.172 *** | 0.012 | 14.72 | 0.133 *** | 0.011 | 12.21 |
| NNM | 0.225 *** | 0.011 | 20.30 | 0.162 *** | 0.012 | 13.86 | 0.129 *** | 0.011 | 11.89 | |
| RM | 0.220 *** | 0.011 | 19.92 | 0.158 *** | 0.012 | 13.52 | 0.121 *** | 0.011 | 11.13 | |
| Average | 0.225 | 0.164 | 0.128 | |||||||
| Rural civilization | KBM | 0.132 *** | 0.022 | 6.04 | 0.124 *** | 0.016 | 7.73 | 0.118 *** | 0.020 | 5.87 |
| NNM | 0.128 *** | 0.022 | 5.86 | 0.120 *** | 0.016 | 7.48 | 0.113 *** | 0.020 | 5.62 | |
| RM | 0.122 *** | 0.022 | 5.63 | 0.112 *** | 0.016 | 6.98 | 0.108 *** | 0.020 | 5.37 | |
| Average | 0.127 | 0.119 | 0.113 | |||||||
| Effective governance | KBM | 0.128 *** | 0.015 | 8.45 | 0.119 *** | 0.015 | 8.04 | 0.110 *** | 0.013 | 8.18 |
| NNM | 0.124 *** | 0.015 | 8.19 | 0.116 *** | 0.015 | 7.84 | 0.104 *** | 0.013 | 7.71 | |
| RM | 0.115 *** | 0.015 | 7.65 | 0.107 *** | 0.015 | 7.23 | 0.101 *** | 0.013 | 7.48 | |
| Average | 0.122 | 0.114 | 0.105 | |||||||
| Affluent life | KBM | 0.223 *** | 0.020 | 11.09 | 0.167 *** | 0.021 | 8.11 | 0.138 *** | 0.022 | 6.41 |
| NNM | 0.218 *** | 0.020 | 10.85 | 0.152 *** | 0.021 | 7.39 | 0.134 *** | 0.022 | 6.23 | |
| RM | 0.213 *** | 0.020 | 10.59 | 0.148 *** | 0.021 | 7.19 | 0.121 *** | 0.022 | 5.60 | |
| Average | 0.218 | 0.156 | 0.131 | |||||||
Publisher’s Note: MDPI stays neutral with regard to jurisdictional claims in published maps and institutional affiliations. |
© 2022 by the authors. Licensee MDPI, Basel, Switzerland. This article is an open access article distributed under the terms and conditions of the Creative Commons Attribution (CC BY) license (https://creativecommons.org/licenses/by/4.0/).
Share and Cite
Zhang, D.; Yu, L.; Wang, W. Promoting Effect of Whole-Region Comprehensive Land Consolidation on Rural Revitalization from the Perspective of Farm Households: A China Study. Land 2022, 11, 1854. https://doi.org/10.3390/land11101854
Zhang D, Yu L, Wang W. Promoting Effect of Whole-Region Comprehensive Land Consolidation on Rural Revitalization from the Perspective of Farm Households: A China Study. Land. 2022; 11(10):1854. https://doi.org/10.3390/land11101854
Chicago/Turabian StyleZhang, Dongli, Lihong Yu, and Wenxiong Wang. 2022. "Promoting Effect of Whole-Region Comprehensive Land Consolidation on Rural Revitalization from the Perspective of Farm Households: A China Study" Land 11, no. 10: 1854. https://doi.org/10.3390/land11101854
APA StyleZhang, D., Yu, L., & Wang, W. (2022). Promoting Effect of Whole-Region Comprehensive Land Consolidation on Rural Revitalization from the Perspective of Farm Households: A China Study. Land, 11(10), 1854. https://doi.org/10.3390/land11101854
