Farmland Rental Participation, Agricultural Productivity, and Household Income: Evidence from Rural China
Abstract
:1. Introduction
2. Institutional Background
2.1. Household Responsibility System (HRS) and Smallholders’ Agricultural Production Performance
2.2. The Development of Farmland Rental Market and Market-Oriented Reforms
3. Theoretical Framework
3.1. Farmland Rental and Its Income Impacts
3.2. Farmland Rental Area, Productive Efficiency, and Household Income
4. Methods and Data
4.1. Model Specification and Estimation
4.1.1. Empirical Model Specification
4.1.2. Estimation Method
4.2. Data Source
5. Results
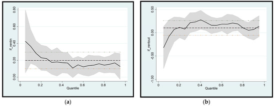
5.1. Farmland Rental Participation and Household Income
5.2. The Impacts of Rental Area and Agricultural Productivity
6. Discussion
7. Conclusions and Policy Implications
Author Contributions
Funding
Institutional Review Board Statement
Informed Consent Statement
Data Availability Statement
Acknowledgments
Conflicts of Interest
| 1 | This figure was announced in the Ministry of Agriculture and Rural Affairs of PRC’s reply to proposal No. 2292 of the third session of the 13th National People’s Congress (at http://www.moa.gov.cn/govpublic/FZJHS/202011/t20201117_6356403.htm, November 2020). |
References
- Benin, S.; Ahmed, M.; Pender, J.; Ehui, S. Development of land rental markets and agricultural productivity growth: The case of Northern Ethiopia. J. Afr. Econ. 2005, 14, 21–54. [Google Scholar] [CrossRef]
- Vranken, L.; Swinnen, J. Land rental markets in transition: Theory and evidence from Hungary. World Dev. 2006, 34, 481–500. [Google Scholar] [CrossRef]
- Baland, J.-M.; Gaspart, F.; Platteau, J.-P.; Place, F. The distributive impact of land markets in Uganda. Econ. Dev. Cult. Chang. 2007, 55, 283–311. [Google Scholar] [CrossRef] [Green Version]
- Jin, S.; Jayne, T.S. Land rental markets in Kenya: Implications for efficiency, equity, household income, and poverty. Land Econ. 2013, 89, 246–271. [Google Scholar] [CrossRef]
- Holden, S.T.; Otsuka, K. The roles of land tenure reforms and land markets in the context of population growth and land use intensification in Africa. Food Policy 2014, 48, 88–97. [Google Scholar] [CrossRef] [Green Version]
- Chamberlin, J.; Ricker-Gilbert, J. Participation in rural land rental markets in Sub-Saharan Africa: Who benefits and by how much? Evidence from Malawi and Zambia. Am. J. Agric. Econ. 2016, 98, 1507–1528. [Google Scholar] [CrossRef] [Green Version]
- Kijima, Y.; Tabetando, R. Efficiency and equity of rural land markets and the impact on income: Evidence in Kenya and Uganda from 2003 to 2015. Land Use Policy 2020, 91, 104416. [Google Scholar] [CrossRef] [Green Version]
- Jin, S.; Deininger, K. Land rental markets in the process of rural structural transformation: Productivity and equity impacts from China. J. Comp. Econ. 2009, 37, 629–646. [Google Scholar] [CrossRef] [Green Version]
- Lin, J.Y. Rural reforms and agricultural growth in China. Am. Econ. Rev. 1992, 82, 34–51. [Google Scholar]
- Deininger, K.; Jin, S. The potential of land rental markets in the process of economic development: Evidence from China. J. Dev. Econ. 2005, 78, 241–270. [Google Scholar] [CrossRef]
- Kung, J.K.-S. Common property rights and land reallocations in rural China: Evidence from a village survey. World Dev. 2000, 28, 701–719. [Google Scholar] [CrossRef]
- Lin, J.Y. The household responsibility system in China’s agricultural reform: A theoretical and empirical study. Econ. Dev. Cult. Chang. 1988, 36, S199–S224. [Google Scholar] [CrossRef]
- Tilt, B. Smallholders and the ‘household responsibility system’: Adapting to institutional change in Chinese agriculture. Hum. Ecol. 2008, 36, 189–199. [Google Scholar] [CrossRef]
- Wang, Q.; Zhang, X. Three rights separation: China’s proposed rural land rights reform and four types of local trials. Land Use Policy 2017, 63, 111–121. [Google Scholar] [CrossRef]
- Kung, J.K.-S. Off-farm labor markets and the emergence of land rental markets in rural China. J. Comp. Econ. 2002, 30, 395–414. [Google Scholar] [CrossRef]
- Liu, Z.; Liu, L. Characteristics and driving factors of rural livelihood transition in the east coastal region of China: A case study of suburban Shanghai. J. Rural Stud. 2016, 43, 145–158. [Google Scholar] [CrossRef]
- Guo, S.; Lin, L.; Liu, S.; Wei, Y.; Xu, D.; Li, Q.; Su, S. Interactions between sustainable livelihood of rural household and agricultural land transfer in the mountainous and hilly regions of Sichuan, China. Sustain. Dev. 2019, 27, 725–742. [Google Scholar] [CrossRef]
- Li, X.; Shenggen, F.; Xiaopeng, L.; Zhang, X. Community poverty and inequality in western China: A tale of three villages in Guizhou Province. China Econ. Rev. 2009, 20, 338–349. [Google Scholar]
- Zhang, L.; Feng, S.; Heerink, N.; Qu, F.; Kuyvenhoven, A. How do land rental markets affect household income? Evidence from rural Jiangsu, PR China. Land Use Policy 2018, 74, 151–165. [Google Scholar] [CrossRef]
- Li, R.; Li, Q.; Lv, X.; Zhu, X. The land rental of Chinese rural households and its welfare effects. China Econ. Rev. 2019, 54, 204–217. [Google Scholar] [CrossRef]
- Chen, L.; Chen, H.; Zou, C.; Liu, Y. The Impact of Farmland Transfer on Rural Households’ Income Structure in the Context of Household Differentiation: A Case Study of Heilongjiang Province, China. Land 2021, 10, 362. [Google Scholar] [CrossRef]
- Peng, K.; Yang, C.; Chen, Y. Land transfer in rural China: Incentives, influencing factors and income effects. Appl. Econ. 2020, 52, 5477–5490. [Google Scholar] [CrossRef]
- Key, N. Farm size and productivity growth in the United States Corn Belt. Food Policy 2019, 84, 186–195. [Google Scholar] [CrossRef]
- Wang, J.; Chen, K.Z.; Gupta, S.D.; Huang, Z. Is small still beautiful? A comparative study of rice farm size and productivity in China and India. China Agric. Econ. Rev. 2015, 7, 484–509. [Google Scholar] [CrossRef]
- Adamopoulos, T.; Restuccia, D. The size distribution of farms and international productivity differences. Am. Econ. Rev. 2014, 104, 1667–1697. [Google Scholar] [CrossRef] [Green Version]
- Yao, W.; Hamori, S. The long-run relationship between farm size and productivity: A re-examination based on Chinese household aggregate panel data. China Agric. Econ. Rev. 2019, 11, 373–386. [Google Scholar] [CrossRef]
- Demsetz, H. Toward a theory of property rights. In Classic Papers in Natural Resource Economics; Springer: Berlin/Heidelberg, Germany, 1974; pp. 163–177. [Google Scholar]
- Feder, G.; Feeny, D. Land tenure and property rights: Theory and implications for development policy. World Bank Econ. Rev. 1991, 5, 135–153. [Google Scholar] [CrossRef]
- Vendryes, T. Land rights in rural China since 1978. Reforms, successes, and shortcomings. China Perspect. 2010. [Google Scholar] [CrossRef] [Green Version]
- Lin, J.Y. The Household Responsibility System Reform in China: A Peasant’s Institutional Choice. Am. J. Agric. Econ. 1987, 69, 410–415. [Google Scholar] [CrossRef] [Green Version]
- Dong, X.-Y. Two-tier land tenure system and sustained economic growth in post-1978 rural China. World Dev. 1996, 24, 915–928. [Google Scholar] [CrossRef]
- Chen, F.; Davis, J. Land reform in rural China since the mid-1980s. Land Reform Land Settl. Coop. 1998, 6, 123–137. [Google Scholar]
- Tan, S.; Heerink, N.; Qu, F. Land fragmentation and its driving forces in China. Land Use Policy 2006, 23, 272–285. [Google Scholar] [CrossRef]
- Lu, H.; Xie, H.; Yao, G. Impact of land fragmentation on marginal productivity of agricultural labor and non-agricultural labor supply: A case study of jiangsu, china. Habitat Int. 2019, 83, 65–72. [Google Scholar] [CrossRef]
- McMillan, J.; Whalley, J.; Zhu, L. The impact of China’s economic reforms on agricultural productivity growth. J. Political Econ. 1989, 97, 781–807. [Google Scholar] [CrossRef]
- Huang, J.; Rozelle, S. Technological change: Rediscovering the engine of productivity growth in China’s rural economy. J. Dev. Econ. 1996, 49, 337–369. [Google Scholar] [CrossRef]
- Fan, S.; Zhang, L.; Zhang, X. Reforms, investment, and poverty in rural China. Econ. Dev. Cult. Chang. 2004, 52, 395–421. [Google Scholar] [CrossRef] [Green Version]
- Rozelle, S.; Guo, L.; Shen, M.; Hughart, A.; Giles, J. Leaving China’s farms: Survey results of new paths and remaining hurdles to rural migration. China Q. 1999, 158, 367–393. [Google Scholar] [CrossRef]
- Jin, S.; Huang, J.; Hu, R.; Rozelle, S. The creation and spread of technology and total factor productivity in China’s agriculture. Am. J. Agric. Econ. 2002, 84, 916–930. [Google Scholar] [CrossRef]
- Wen, G.J. The land tenure system and its saving and investment mechanism: The case of modern China. Asian Econ. J. 1995, 9, 233–260. [Google Scholar] [CrossRef]
- Hu, W. Household land tenure reform in China: Its impact on farming land use and agro-environment. Land Use Policy 1997, 14, 175–186. [Google Scholar] [CrossRef]
- Li, G.; Rozelle, S.; Brandt, L. Tenure, land rights, and farmer investment incentives in China. Agric. Econ. 1998, 19, 63–71. [Google Scholar] [CrossRef]
- Huang, J.; Gao, L.; Rozelle, S. The effect of off-farm employment on the decisions of households to rent out and rent in cultivated land in China. China Agric. Econ. Rev. 2012, 4, 5–17. [Google Scholar] [CrossRef]
- Tuliu. Tuliu.com Published the Farmland Transfer Market Report to Comprehensively Understand the Market Trend of Rural Farmland Transfer. Available online: https://www.tuliu.com/read-79107.html (accessed on 2 December 2020).
- Kong, X.; Liu, Y.; Jiang, P.; Tian, Y.; Zou, Y. A novel framework for rural homestead land transfer under collective ownership in China. Land Use Policy 2018, 78, 138–146. [Google Scholar] [CrossRef]
- Xu, Y.; Huang, X.; Bao, H.X.; Ju, X.; Zhong, T.; Chen, Z.; Zhou, Y. Rural land rights reform and agro-environmental sustainability: Empirical evidence from China. Land Use Policy 2018, 74, 73–87. [Google Scholar] [CrossRef]
- Dongliang, Z. Farmers Are Growing Further and Further from the Land: Land Transfer and the Practice of Three Rights Separation in China. Soc. Sci. China 2021, 42, 24–43. [Google Scholar] [CrossRef]
- Yan, J.; Yang, Y.; Xia, F. Subjective land ownership and the endowment effect in land markets: A case study of the farmland “three rights separation” reform in China. Land Use Policy 2021, 101, 105137. [Google Scholar] [CrossRef]
- Zhang, J.; Mishra, A.K.; Zhu, P.; Li, X. Land rental market and agricultural labor productivity in rural China: A mediation analysis. World Dev. 2020, 135, 105089. [Google Scholar] [CrossRef]
- Deininger, K.; Jin, S.; Xia, F.; Huang, J. Moving Off the Farm: Land Institutions to Facilitate Structural Transformation and Agricultural Productivity Growth in China. World Dev. 2014, 59, 505–520. [Google Scholar] [CrossRef] [Green Version]
- Liu, Z.; Rommel, J.; Feng, S.; Hanisch, M. Can land transfer through land cooperatives foster off-farm employment in China? China Econ. Rev. 2017, 45, 35–44. [Google Scholar] [CrossRef]
- Xu, D.-D.; Cao, S.; Wang, X.-X.; Liu, S.-Q. Influences of labor migration on rural household land transfer: A case study of Sichuan Province, China. J. Mt. Sci. 2018, 15, 2055–2067. [Google Scholar] [CrossRef]
- Feder, G. The relation between farm size and farm productivity: The role of family labor, supervision and credit constraints. J. Dev. Econ. 1985, 18, 297–313. [Google Scholar] [CrossRef]
- Sen, A.K. An aspect of Indian agriculture. Econ. Wkly. 1962, 14, 243–246. [Google Scholar]
- Mazumdar, D. Size of farm and productivity: A problem of Indian peasant agriculture. Economica 1965, 32, 161–173. [Google Scholar] [CrossRef]
- Saini, G. Holding Size, Productivity, and Some Related Aspects of Indian Agriculture. Econ. Political Wkly. 1971, 6, A79, A81–A85. [Google Scholar]
- Bardhan, P.K. Size, Productivity, and Returns to Scale: An Analysis of Farm-Level Data in Indian Agriculture. J. Political Econ. 1973, 81, 1370–1386. [Google Scholar] [CrossRef]
- Ghose, A.K. Farm size and land productivity in Indian agriculture: A reappraisal. J. Dev. Stud. 1979, 16, 27–49. [Google Scholar] [CrossRef]
- Collier, P. Malfunctioning of African rural factor markets: Theory and a Kenyan example. Oxf. Bull. Econ. Stat. 1983, 45, 141–172. [Google Scholar] [CrossRef]
- Barrett, C.B. On price risk and the inverse farm size-productivity relationship. J. Dev. Econ. 1996, 51, 193–215. [Google Scholar] [CrossRef] [Green Version]
- Heltberg, R. Rural Market Imperfections and the Farm Size-Productivity Relationship: Evidence from Pakistan. World Dev. 1998, 26, 1807–1826. [Google Scholar] [CrossRef]
- Akram-Lodhi, H. Vietnam’s agriculture: Is there an inverse relationship? ISS Work. Pap. Ser. Gen. Ser. 2001, 348, 1–36. [Google Scholar]
- Benjamin, D.; Brandt, L. Property rights, labour markets, and efficiency in a transition economy: The case of rural China. Can. J. Econ. 2002, 35, 689–716. [Google Scholar] [CrossRef]
- Kimhi, A. Plot Size and Maize Productivity in Zambia: The Inverse Relationship Re-examine. Agric. Econ. 2006, 35, 1–9. [Google Scholar] [CrossRef]
- Hazell, P.; Poulton, C.; Wiggins, S.; Dorward, A. The Future of Small Farms: Trajectories and Policy Priorities. World Dev. 2010, 38, 1349–1361. [Google Scholar] [CrossRef]
- Bojnec, Š.; Latruffe, L. Farm size, agricultural subsidies and farm performance in Slovenia. Land Use Policy 2013, 32, 207–217. [Google Scholar] [CrossRef]
- Paul, C.; Nehring, R.; Banker, D.; Somwaru, A. Scale economies and efficiency in US agriculture: Are traditional farms history? J. Product. Anal. 2004, 22.3, 185–205. [Google Scholar] [CrossRef]
- Wu, Z.; Liu, M.; Davis, J. Land consolidation and productivity in Chinese household crop production. China Econ. Rev. 2005, 16, 28–49. [Google Scholar] [CrossRef]
- Mengtao, G.; Yin, Z. Small Farmers with High Efficiency?—The Experimental Identification of Rural Areas of 8 Provinces of China. Stat. Res. 2006, 5, 21–26. [Google Scholar]
- Chen, Z.; Huffman, W.E.; Rozelle, S. Inverse relationship between productivity and farm size: The case of China. Contemp. Econ. Policy 2011, 29, 580–592. [Google Scholar] [CrossRef]
- Fan, S.; Chan-Kang, C. Is small beautiful? Farm size, productivity, and poverty in Asian agriculture. Agric. Econ. 2005, 32, 135–146. [Google Scholar] [CrossRef] [Green Version]
- Ren, C.; Liu, S.; Van Grinsven, H.; Reis, S.; Jin, S.; Liu, H.; Gu, B. The impact of farm size on agricultural sustainability. J. Clean. Prod. 2019, 357–367. [Google Scholar] [CrossRef]
- Wang, Y.; Xin, L.; Li, X.; Yan, J. Impact of land use rights transfer on household labor productivity: A study applying propensity score matching in Chongqing, China. Sustainability 2017, 9, 4. [Google Scholar] [CrossRef] [Green Version]
- Benjamin, D.; Brandt, L. Land, factor markets, and inequality in rural China: Historical evidence. Explor. Econ. Hist. 1997, 34, 460–494. [Google Scholar] [CrossRef]
- Koenker, R.; Bassett, G., Jr. Regression quantiles. Econom. J. Econom. Soc. 1978, 46, 33–50. [Google Scholar] [CrossRef]
- Yu, K.; Lu, Z.; Stander, J. Quantile regression: Applications and current research areas. J. R. Stat. Soc. Ser. D 2003, 52, 331–350. [Google Scholar] [CrossRef]
- Gan, L.; Yin, Z.; Jia, N.; Xu, S.; Ma, S.; Zheng, L. Data You Need to Know about China; Springer: Berlin/Heidelberg, Germany, 2014. [Google Scholar]
- Stock, J.H.; Yogo, M. Testing for weak instruments in Linear IV regression. In Identification and Inference for Econometric Models: Essays in Honor of Thomas Rothenberg; Cambridge University Press: Cambridge, UK, 2005; pp. 80–108. [Google Scholar]
- Yan, X.; Huo, X.; Xin, X.; Wang, X. Drivers of household entry and intensity in land rental market in rural China: Evidence from North Henan Province. China Agric. Econ. Rev. 2016, 8, 345–364. [Google Scholar] [CrossRef]
- Su, B.; Li, Y.; Li, L.; Wang, Y. How does nonfarm employment stability influence farmers’ farmland transfer decisions? Implications for China’s land use policy. Land Use Policy 2018, 74, 66–72. [Google Scholar] [CrossRef]
- Mu, R.; Van de Walle, D. Left Behind to Farm? Women’s Labor Re-allocation in Rural China; The World Bank: Washington, DC, USA, 2009. [Google Scholar]
- He, C.; Ye, J. Lonely sunsets: Impacts of rural–urban migration on the left-behind elderly in rural China. Popul. Space Place 2014, 20, 352–369. [Google Scholar] [CrossRef]
- Wu, H.; Ye, J. Hollow Lives: Women Left Behind in Rural C hina. J. Agrar. Chang. 2016, 16, 50–69. [Google Scholar] [CrossRef]
- Deng, Q.; Li, E.; Zhang, P. Livelihood sustainability and dynamic mechanisms of rural households out of poverty: An empirical analysis of Hua County, Henan Province, China. Habitat Int. 2020, 99, 102160. [Google Scholar] [CrossRef]
- Wang, Y.; Li, X.; Xin, L.; Tan, M.; Jiang, M. Regional differences of land circulation in China and its drivers: Based on 2003-2013 rural fixed observation points data. Acta Geogr. Sin. 2018, 73, 487–502. [Google Scholar]




| Variable name | Description | Observations | Mean | Std. Dev. | Min | Max |
|---|---|---|---|---|---|---|
| Household income | ||||||
| On-farm income | Income generated from agricultural production (yuan/year) | 11,591 | 8130.68 | 50,912.67 | 0 | 3 × 106 |
| Off-farm income | Income generated from off-farm activities (yuan/year) | 11,597 | 23,915.62 | 84,360.27 | 0 | 6 × 106 |
| 1.Wage income | Wage earnings (yuan/year) | 11,604 | 16,962.60 | 30,600.85 | 0 | 318,000 |
| 2.Business income | Income generated from family business activities (yuan/year) | 11,597 | 1857.51 | 65,697.21 | 0 | 6 × 106 |
| 3.Property income | Income generated from managing household owned movable property and real estate (yuan/year) | 11,604 | 614.24 | 12,811.70 | 0 | 1 × 106 |
| 4.Transfer income | Income received from transfer payments (such as retirement pension, dismissal payment, housing accumulation fund, etc.). | 11,604 | 4473.18 | 41,074.88 | 0 | 4 × 106 |
| Farmland rental | ||||||
| If_rentout | Whether such household participates in farmland renting out (dummy variable, if yes = 1) | 9748 | 0.14 | 0.35 | 0 | 1 |
| Out_area | Amount of outflow area (mu *) | 9708 | 0.79 | 10.63 | 0 | 1000 |
| If_rentin | Whether such household participates in farmland renting in (dummy variable, if yes = 1) | 11,587 | 0.14 | 0.35 | 0 | 1 |
| In_area | Amount of inflow area (mu *) | 11,562 | 2.03 | 13.91 | 0 | 650 |
| Production input | ||||||
| Agr_eff | Annual agricultural output yield (kilogram/mu *) | 4042 | 363.17 | 402.24 | 0 | 2925 |
| Farmland_area | Household contractual responsibility farmland area (mu *) | 9384 | 4.91 | 3.56 | 0.3 | 60 |
| Land quality | The average quality of household farmland (1. very poor, 2. poor, 3. average, 4. good, and 5. very good) | 9720 | 3.29 | 1.00 | 1 | 5 |
| Agr_input | Annual investment in agricultural production (including costs of fertilizers, pesticides, seeds, rental machinery, hired labor etc., yuan/year) | 10,562 | 4278.98 | 7657.88 | 0 | 64,100 |
| Agr_labor | The number of family members engaged in agricultural production | 8446 | 1.96 | 0.91 | 0 | 14 |
| bus_hour | Average daily business hours per family member(hours) | 11,527 | 0.96 | 3.20 | 0 | 24 |
| work_hour | Average daily working hours per family member(hours) | 11,604 | 1.92 | 3.93 | 0 | 24 |
| Household characteristics | ||||||
| Head_gender | Gender of household head (female = 1; male = 2) | 11,604 | 1.88 | 0.33 | 1 | 2 |
| Head_age | Age of household head (years old) | 11,603 | 55.68 | 12.54 | 3 | 99 |
| Head_edu | Educational level of household head (1. no schooling, 2. primary school, 3. junior high school, 4. senior high school, 5. technical secondary school/vocational high school, 6. junior college/vocational college 7. undergraduate, 8. master, and 9. doctor) | 11,588 | 2.48 | 0.98 | 1 | 7 |
| If_official | One (or more) family member is village official (dummy variable, if yes = 1) | 8372 | 0.06 | 0.24 | 0 | 1 |
| Family size | Number of family members | 11,604 | 4.11 | 1.93 | 1 | 19 |
| Health_condition | Average health status of family members (1. very good, 2. Good, 3. Average, 4. Bad, and 5. very bad) | 11,602 | 2.74 | 0.81 | 1 | 5 |
| Instrumental variables | ||||||
| Share_out | Share of households participating in renting in farmland activity at provincial level (%) | 11,604 | 0.14 | 0.04 | 0.01 | 0.26 |
| Share_in | Share of households participating in renting out farmland activity at provincial level (%) | 11,604 | 0.14 | 0.03 | 0.09 | 0.22 |
| Land_title | Whether the household was issued with land title registration (dummy variable, if yes = 1) | 9446 | 0.45 | 0.50 | 0 | 1 |
| On-Farm Income | Off-Farm Income | Total Income | ||||
|---|---|---|---|---|---|---|
| Observations | Mean (yuan) | Observations | Observations | Mean (yuan) | ||
| (Std. Dev.) | (Std. Dev.) | |||||
| Rent out households | 1305 | 3543.089 | 1305 | 30,508.11 | 1304 | 34,079.13 |
| (44,104.23) | (49,289.11) | (66,074.62) | ||||
| Rent in households | 1654 | 17,450.18 | 1658 | 22,774.50 | 1654 | 40,245.48 |
| (44,606.01) | (105,124.2) | (114,952.40) | ||||
| Autarkic households | 8632 | 7038.501 | 8635 | 23,139.17 | 8627 | 30,181.02 |
| (52,771.12) | (84,042.72) | (100,301.90) | ||||
| Variable Name | Total Income | On-Farm Income | Off-Farm Income | |||
|---|---|---|---|---|---|---|
| If_Rentin | If_Rentout | If_Rentin | If_Rentout | If_Rentin | If_Rentout | |
| Share-in×Land_title | 0.2642 *** | 0.1956 *** | 0.2735 *** | |||
| (0.0884) | (0.1010) | (0.0745) | ||||
| Share-out×Land_title | 0.1641 *** | 0.2019 *** | 0.2120 *** | |||
| (0.0638) | (0.0695) | (0.0594) | ||||
| Observations | 3394 | 3394 | 2792 | 2792 | 5097 | 5097 |
| F-statistic | 17.82 *** | 14.54 *** | 19.29 *** | 13.73 *** | 24.10 *** | 21.74 *** |
| Minimum eigenvalue statistic | 19.66 | 17.70 | 14.00 | 18.32 | 24.82 | 24.09 |
| Total Income | On-Farm Income | Off-Farm Income | ||||||||||
|---|---|---|---|---|---|---|---|---|---|---|---|---|
| Variable name | OLS (1) | OLS (2) | 2SLS (3) | 2SLS (4) | OLS (5) | OLS (6) | 2SLS (7) | 2SLS (8) | OLS (9) | OLS (10) | 2SLS (11) | 2SLS (12) |
| If_rentin | 0.1986 *** | 1.1246 ** | 0.2636 *** | 0.7020 *** | 0.0573 | 1.5128 | ||||||
| (0.0482) | (1.3495) | (0.0537) | (1.4977) | (0.0515) | (1.0681) | |||||||
| If_rentout | 0.1029 | 0.7309 | −0.1842 ** | −1.5441 *** | 0.0731 | 1.8395 | ||||||
| (0.0883) | (2.8278) | (0.0868) | (1.5547) | (0.0761) | (1.5598) | |||||||
| Farmland_area | 0.0220 *** | 0.0214 *** | 0.0305 *** | 0.0187 *** | 0.0427 *** | 0.0420 *** | 0.0405 *** | 0.0424 *** | ||||
| (0.0026) | (0.0026) | (0.0056) | (0.0039) | (0.0031) | (0.0031) | (0.0052) | (0.0033) | |||||
| Land_quality | 0.0830 *** | 0.0825 *** | 0.0805 *** | 0.0258 *** | 0.0871 *** | 0.0886 *** | 0.0821 *** | 0.0656 *** | ||||
| (0.0202) | (0.0202) | (0.0292) | (0.0426) | (0.0210) | (0.0210) | (0.0225) | (0.0286) | |||||
| Agr_eff | 0.0002 *** | 0.0002 *** | 0.0002 *** | 0.0001 *** | 0.0002 *** | 0.0002 *** | 0.0002 *** | 0.0002 *** | ||||
| (3.81 × 10−5) | (3.7 × 10−5) | (0.0001) | 0.0001) | (4.9 × 10−5) | (4.5 × 10−5) | (0.0001) | (0.0001) | |||||
| Agr_labor | −0.1102 *** | −0.1087 *** | −0.1126 *** | −0.0403 *** | 0.0690*** | 0.0667 *** | 0.0710 *** | 0.0906 *** | ||||
| (0.0266) | (0.0267) | (0.0365) | (0.0541) | (0.0260) | (0.0260) | (0.0276) | (0.0341) | |||||
| Agr_input | 1.24 × 10−5 *** | 1.60 × 10−5 *** | 3.71 × 10−5 * | 2.52 × 10−5 *** | 4 × 10−5 *** | 4.4 × 10−5 *** | 5.41 × 10−5 *** | 4.53 × 10−5 *** | ||||
| (3.19 × 10−6) | (3.10 × 10−6) | (2.36 × 10−5) | (6.35E × 10−6) | (3.43 × 10−6) | (3.35 × 10−6) | (2.33 × 10−5) | (3.86 × 10−6) | |||||
| Bus_hour | 0.0536 *** | 0.0533 *** | 0.0531 *** | 0.0306 *** | 0.0110 *** | 0.0144 *** | 0.0204 *** | 0.0068 *** | ||||
| (0.0068) | (0.0068) | (0.0099) | (0.0167) | (0.0066) | (0.0067) | (0.0078) | (0.0099) | |||||
| Wage_hour | 0.0685 *** | 0.0672 *** | 0.0841 *** | 0.0496 *** | 0.0993 *** | 0.1000 *** | 0.1185 *** | 0.0927 *** | ||||
| (0.0046) | (0.0046) | (0.0096) | (0.0124) | (0.0043) | (0.0044) | (0.0128) | (0.0074) | |||||
| Head_gender | 0.1398 | 0.1338 | 0.2915 | 0.2314 | 0.0168 | 0.0026 | 0.0245 | 0.0434 | 0.0997 | 0.1209 | 0.2568 | 0.1543 |
| (0.0692) | (0.0697) | (0.1163) | (0.1223) | (0.0677) | (0.0676) | (0.1090) | (0.0792) | (0.0736) | (0.0756) | (0.1103) | (0.0907) | |
| Head_age | 0.0031 | 0.0024 | 0.0085 | 0.0084 | −0.0046 | −0.0049 | −0.0069 | −0.0071 | 0.0052 *** | 0.0053 *** | 0.0119 | −0.0025 |
| (0.0021) | (0.0021) | (0.0036) | (0.0066) | (0.0021) | (0.0021) | (0.0039) | (0.0028) | (0.0020) | (0.0021) | (0.0049) | (0.0052) | |
| Head_edu | 0.1470 *** | 0.1441 *** | 0.1918 *** | 0.1321 *** | 0.0851 *** | 0.0804 *** | 0.0685 *** | 0.0778 *** | 0.0784 *** | 0.0731 *** | 0.0996 *** | 0.0740 *** |
| (0.0226 | (0.0226) | (0.0369) | (0.0354) | (0.0225) | (0.0225) | (0.0374) | (0.0249) | (0.0219) | (0.0225) | (0.0289) | (0.0265) | |
| If_official | 0.1106 | 0.1140 | 0.1047 | 0.2563 * | 0.1331 | 0.1275 | 0.1188 | 0.1690 | 0.0961 | 0.0668 | −0.0109 | 0.0856 |
| (0.0763) | (0.0765) | (0.1099) | (0.1250) | (0.0894) | (0.0903) | (0.0978) | (0.1050) | (0.0762) | (0.0779) | (0.1010) | (0.0931) | |
| Family_size | 0.1765 *** | 0.1749 *** | 0.1773 *** | 0.1839 *** | −0.0201 | −0.0198 | −0.0212 | −0.0227 | 0.2110 *** | 0.2172 *** | 0.2131 *** | 0.2514 *** |
| (0.0117) | (0.0119) | (0.0163) | (0.0197) | (0.0127) | (0.0127) | (0.0134) | 0.0137) | (0.0115) | (0.0117) | (0.0126) | (0.0239 ) | |
| Health_condition | −0.2768 *** | −0.2776 *** | −0.2357 *** | −0.2143 *** | −0.1439 *** | −0.1503 *** | −0.1585 *** | −0.1300 *** | −0.2439 *** | −0.2439 *** | −0.2207 *** | −0.2454 *** |
| (0.0272) | (0.0273) | (0.0430) | (0.0533) | (0.0271) | (0.0272) | (0.0374) | (0.0355) | (0.0270) | (0.0278) | (0.0333) | (0.0322) | |
| VIF-value | 1.13 | 1.12 | 1.12 | 1.1 | 1.09 | 1.08 | ||||||
| F-statistic | 94.25 *** | 93.3 *** | 85.24 *** | 81.49 *** | 133.12 *** | 128.68 *** | ||||||
| Wald chi2 | 589.71 *** | 470.08 *** | 848.31 *** | 843.36 *** | 952.73 *** | 817.76 *** | ||||||
| R2 | 0.2503 | 0.2469 | 0.3345 | 0.3292 | 0.1574 | 0.1627 | ||||||
| Observations | 3471 | 3472 | 3394 | 3394 | 2853 | 2852 | 2792 | 2792 | 5548 | 5243 | 5097 | 5097 |
| Quantiles | Observations | ||||||
|---|---|---|---|---|---|---|---|
| 0.1 | 0.25 | 0.5 | 0.75 | 0.9 | |||
| Total income | If_rentin | 0.3650 *** | 0.2213 *** | 0.1082 * | 0.1082 *** | 0.1692 *** | 3471 |
| (0.0997) | (0.0735) | (0.0666) | (0.0666) | (0.0563) | |||
| Pseudo R2 | 0.1271 | 0.1600 | 0.1623 | 0.1519 | 0.1475 | ||
| If_rentout | −0.0797 | 0.0777 | 0.1597 * | 0.1913 *** | 0.0685 | 3472 | |
| (0.2157) | (0.1644) | (0.0852) | (0.0684) | (0.1201) | |||
| Pseudo R2 | 0.1227 | 0.1574 | 0.1621 | 0.1514 | 0.1448 | ||
| On-farm income | If_rentin | 0.1428 *** | 0.2416 *** | 0.3025 *** | 0.3273 *** | 0.3460 *** | 2853 |
| (0.1135) | (0.0748) | (0.0541) | (0.0711) | (0.0722) | |||
| Pseudo R2 | 0.1180 | 0.1634 | 0.2323 | 0.2607 | 0.2620 | ||
| If_rentout | −0.1969 ** | −0.2773 ** | −0.1536 ** | −0.2023 *** | −0.1784 | 2852 | |
| (0.1512) | (0.1133) | (0.0775) | (0.1380) | (0.1397) | |||
| Pseudo R2 | 0.1181 | 0.1625 | 0.2274 | 0.2548 | 0.2533 | ||
| Off-farm income | If_rentin | −0.0107 | −0.0669 | −0.1179 | −0.0194 | 0.0155 | 5548 |
| (0.0947) | (0.0946) | (0.0613) | (0.0500) | (0.0574) | |||
| Pseudo R2 | 0.0952 | 0.1063 | 0.0987 | 0.0806 | 0.0775 | ||
| If_rentout | −0.2392 | −0.1179 | 0.0192 | 0.1104 ** | 0.1246 | 5243 | |
| (0.2259) | (0.0613) | (0.0776) | (0.0553) | (0.0770) | |||
| Pseudo R2 | 0.0983 | 0.1092 | 0.1005 | 0.0833 | 0.0802 | ||
| Variable Name | On-Farm Income | Total Income | ||
|---|---|---|---|---|
| (1) | (2) | (3) | (4) | |
| In_area | 0.0131 *** | 0.0097 *** | 0.0060 *** | 0.0031 *** |
| (0.0019) | (0.0017) | (0.0017) | (0.0024) | |
| Agr_eff | 0.0001 *** | 0.0001 *** | 7.75 × 10−5 *** | 5.50 × 10−5 *** |
| (4.72 × 10-5) | (3.9 × 10-5) | (2.75 × 10−5) | (1.94 × 10−5) | |
| In_area*Agr_eff | 1.5E-05 *** | 1.49 × 10−5 *** | ||
| (4.94 × 10−6) | (4.67E-06) | |||
| Farmland_area | 0.0321 *** | 0.0315 *** | 0.0131 *** | 0.0130 *** |
| (0.0040) | (0.0040) | (0.0044) | (0.0044) | |
| Land_quality | 0.0783 * | 0.07569 * | 0.1167 *** | 0.1154 *** |
| (0.0436) | (0.0433) | (0.0402) | (0.0400) | |
| Agr_labor | 0.0849 *** | 0.0909 *** | −0.0878 *** | −0.0834 *** |
| (0.0600) | (0.0602) | (0.0542) | (0.0542) | |
| Agr_input | 2.33 × 10−5 *** | 2.1 × 10−5 *** | 2.76 × 10−6 *** | −1.26 × 10−6 *** |
| (5.09 × 10−6) | (5.29 × 10−6) | (4.93 × 10-6) | (5.46 × 10-6) | |
| Head_age | −0.0119 *** | −0.0116 *** | −0.0131 *** | −0.0129 *** |
| (0.0043) | (0.0043) | (0.0042) | (0.0042) | |
| Head_edu | 0.0932 * | 0.0875 * | 0.1231 ** | 0.1198 ** |
| (0.0515) | (0.0513) | (0.0496) | (0.0495) | |
| Head_gender | 0.0360 | 0.0226 | 0.0155 | 0.0044 |
| (0.1659) | (0.1648) | (0.1566) | (0.1552) | |
| If_official | 0.3139 ** | 0.3024 ** | 0.2201 | 0.2107 |
| (0.1405) | (0.1444) | (0.1515) | (0.1518) | |
| Family size | −0.0510 *** | −0.0488 * | 0.1988 *** | 0.2014 *** |
| (0.0294) | (0.0291) | (0.0217) | (0.0217) | |
| Health_condition | −0.2179 *** | −0.2221 *** | −0.2773 *** | −0.2792 *** |
| (0.0639) | (0.0633) | (0.0577) | (0.0572) | |
| Constant | 9.1777 *** | 9.2139 *** | 9.9176 *** | 9.9395 *** |
| (0.4992) | (0.4981) | (0.4517) | (0.4480) | |
| VIF | 1.16 | 1.27 | 1.2 | 1.31 |
| F- statistic | 44.62 *** | 43.84 *** | 26.2 *** | 26.39 *** |
| R2 | 0.4096 | 0.4163 | 0.2613 | 0.2684 |
| Observations | 630 | 630 | 706 | 706 |
| On-Farm Income | Off-Farm Income | |||
|---|---|---|---|---|
| (1) | (2) | (3) | (4) | |
| Out_area | −0.0031 ** | −0.0296 ** | 0.0138 | 0.0130 |
| (0.0268) | (0.0270) | (0.0093) | (0.0101) | |
| Agr_eff | 6.10 × 10−5 *** | 4.48 × 10−5 *** | ||
| (1.32 × 10−5) | (3.04 × 10−5) | |||
| Out_area* Agr_eff | 3.56 × 10−5 *** | |||
| (1.14 × 10−5) | ||||
| Bus_hour | 0.0096 *** | 0.0161 *** | ||
| (0.0261) | (0.0355) | |||
| Wage_hour | 0.1060 *** | 0.1047 *** | ||
| (0.0142) | (0.0193) | |||
| Out_area* Bus_hour | 0.0015 | |||
| (0.0036) | ||||
| Out_area*Wage_hour | 0.0002 | |||
| (0.0018) | ||||
| Farmland_area | 0.0107 | 0.0245 | ||
| (0.0186) | (0.0194) | |||
| Land_quality | 0.0242 | 0.0428 | ||
| (0.0899) | (0.0912) | |||
| Agr_labor | −0.0816 | −0.0915 | ||
| (0.0992) | (0.1000) | |||
| Agr_input | 6.27 × 10−5 *** | 6.14 × 10−5 *** | ||
| (1.35 × 10−5) | (1.17 × 10−5) | |||
| Head_age | −0.0126 | −0.0109 | −0.0015 | −0.0017 |
| (0.0088) | (0.0086) | (0.0072) | (0.0074) | |
| Head_edu | 0.0086 | 0.0015 | 0.0878 | 0.0888 |
| (0.1051) | (0.1045) | (0.0798) | (0.0801) | |
| Head_gender | 0.1743 | 0.1580 | 0.8537 | 0.8525 |
| (0.2719) | (0.2604) | (0.3002) | (0.3003) | |
| If_official | −0.3656 | −0.3866 | −0.1186 | −0.1197 |
| (0.2444) | (0.2459) | (0.2852) | (0.2869) | |
| Familysize | 0.0625 | 0.0756 | 0.2132 *** | 0.2134 *** |
| (0.0519) | (0.0501) | (0.0414) | (0.0415) | |
| Health_condition | −0.0995 | −0.0958 | −0.0916 | −0.0890 |
| (0.1114) | 0.1096) | (0.0972) | (0.0980) | |
| Constant | 9.1132 *** | 8.9085 *** | 9.2033 *** | 9.2059 *** |
| (0.7758) | (0.7457) | (0.7417) | (0.7504) | |
| VIF | 1.35 | 1.7 | 1.11 | 1.39 |
| F-value | 28.40 *** | 36.34 *** | 15.59 *** | 14.35 *** |
| R2 | 0.3385 | 0.3731 | 0.1897 | 0.1899 |
| Observations | 158 | 158 | 485 | 485 |
Publisher’s Note: MDPI stays neutral with regard to jurisdictional claims in published maps and institutional affiliations. |
© 2021 by the authors. Licensee MDPI, Basel, Switzerland. This article is an open access article distributed under the terms and conditions of the Creative Commons Attribution (CC BY) license (https://creativecommons.org/licenses/by/4.0/).
Share and Cite
Han, W.; Zhang, Z.; Zhang, X.; He, L. Farmland Rental Participation, Agricultural Productivity, and Household Income: Evidence from Rural China. Land 2021, 10, 899. https://doi.org/10.3390/land10090899
Han W, Zhang Z, Zhang X, He L. Farmland Rental Participation, Agricultural Productivity, and Household Income: Evidence from Rural China. Land. 2021; 10(9):899. https://doi.org/10.3390/land10090899
Chicago/Turabian StyleHan, Wenjing, Zhengfeng Zhang, Xiaoling Zhang, and Li He. 2021. "Farmland Rental Participation, Agricultural Productivity, and Household Income: Evidence from Rural China" Land 10, no. 9: 899. https://doi.org/10.3390/land10090899
APA StyleHan, W., Zhang, Z., Zhang, X., & He, L. (2021). Farmland Rental Participation, Agricultural Productivity, and Household Income: Evidence from Rural China. Land, 10(9), 899. https://doi.org/10.3390/land10090899
