A Single-Objective Optimization of Water Quality Sensors in Water Distribution Networks Using Advanced Metaheuristic Techniques
Abstract
1. Introduction
1.1. Literature Review
1.2. Contribution
2. Simulation Methodology
2.1. Simulation, Objective Function, and Constraints
Objective Function
2.2. Metaheuristic Algorithms
2.2.1. Artemisinin Optimization (AO) Algorithm
2.2.2. Educational Competition Optimizer (ECO)
2.2.3. Fata Morgana Algorithm (FATA)
2.2.4. Moss Growth Optimization (MGO)
2.2.5. Parrot Optimizer (PO)
2.2.6. Polar Lights Optimizer (PLO)
2.2.7. Rime Optimization Algorithm (RIME)
2.2.8. Runge Kutta Optimization (RUN)
2.2.9. Weighted Mean of Vectors (INFO)
2.2.10. Harris Hawks Optimizer (HHO)
3. Case Studies
3.1. Case Study I
3.2. Case Study II
4. Results and Discussion
4.1. General Setting of the Algorithm
4.2. Results of Case Study I
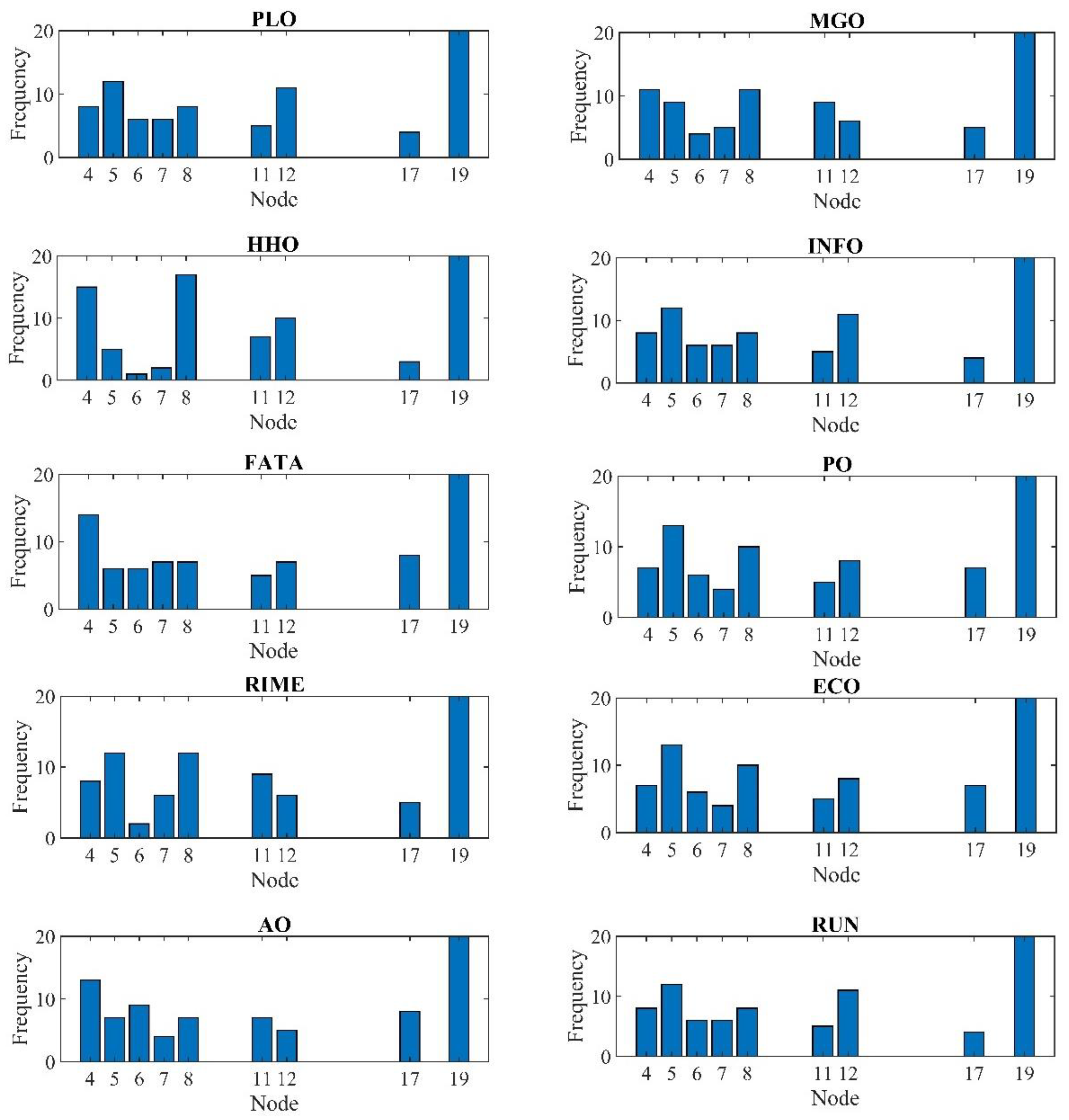
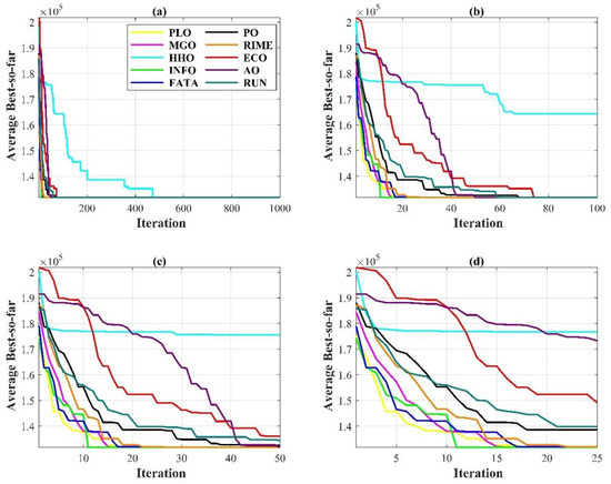
4.3. Results of Case Study II
5. Conclusions
Author Contributions
Funding
Data Availability Statement
Conflicts of Interest
References
- Berry, J.; Hart, W.E.; Phillips, C.A.; Uber, J.G.; Watson, J.-P. Sensor placement in municipal water networks with temporal integer programming models. J. Water Resour. Plan. Manag. 2006, 132, 218–224. [Google Scholar] [CrossRef]
- Afzali Ahmadabadi, S.; Jafari-Asl, J.; Banifakhr, E.; Houssein, E.H.; Ben Seghier, M.E.A. Risk-Based Design Optimization of Contamination Detection Sensors in Water Distribution Systems: Application of an Improved Whale Optimization Algorithm. Water 2023, 15, 2217. [Google Scholar] [CrossRef]
- Weickgenannt, M.; Kapelan, Z.; Blokker, M.; Savic, D.A. Risk-based sensor placement for contaminant detection in water distribution systems. J. Water Resour. Plan. Manag. 2010, 136, 629–636. [Google Scholar] [CrossRef]
- Lee, B.H.; Deininger, R.A. Optimal locations of monitoring stations in water distribution system. J. Environ. Eng. 1992, 118, 4–16. [Google Scholar] [CrossRef]
- Kessler, A.; Ostfeld, A. Detecting accidental contaminations in municipal water networks: Application. In Proceedings of the Annual Water Resources Planning and Management Conference, Chicago, IL, USA, 8–10 June 1998. [Google Scholar]
- Kessler, A.; Ostfeld, A.; Sinai, G. Detecting accidental contaminations in municipal water networks. J. Water Resour. Plan. Manag. 1998, 124, 192–198. [Google Scholar] [CrossRef]
- Harmant, P.; Nace, A.; Kiene, L.; Fotoohi, F. Optimal supervision of drinking water distribution network. In WRPMD’99: Preparing for the 21st Century; Amer Society of Civil Engineers: Reston, VA, USA, 1999; pp. 1–9. [Google Scholar]
- Al-Zahrani, M.A.; Moeid, K. Locating optimum water quality monitoring stations in water distribution system. In Proceedings of the Bridging the Gap: Meeting the World’s Water and Environmental Resources Challenges—Proceedings of the World Water and Environmental Resources Congress 2001, Orlando, FL, USA, 20–24 May 2001; Volume 111. [Google Scholar] [CrossRef]
- Afshar, A.; Mariño, M.A. Multi-objective coverage-based ACO model for quality monitoring in large water networks. Water Resour. Manag. 2012, 26, 2159–2176. [Google Scholar] [CrossRef]
- Aral, M.M.; Guan, J.; Maslia, M.L. Optimal design of sensor placement in water distribution networks. J. Water Resour. Plan. Manag. 2010, 136, 5–18. [Google Scholar] [CrossRef]
- Kim, J.H.; Tran, T.V.T.; Chung, G. Optimization of water quality sensor locations in water distribution systems considering imperfect mixing. In Water Distribution Systems Analysis 2010; American Society of Civil Engineers: Reston, VA, USA, 2010; pp. 317–326. [Google Scholar]
- Bazargan-Lari, M.R.; Taghipour, S.; Habibi, M. Real-time contamination zoning in water distribution networks for contamination emergencies: A case study. Environ. Monit. Assess. 2021, 193, 336. [Google Scholar] [CrossRef]
- Afshar, A.; Miri Khombi, S.M. Multiobjective optimization of sensor placement in water distribution networks dual use benefit approach. Iran Univ. Sci. Technol. 2015, 5, 315–331. [Google Scholar]
- Naserizade, S.S.; Nikoo, M.R.; Montaseri, H.; Alizadeh, M.R. A Hybrid Fuzzy-Probabilistic Bargaining Approach for Multi-objective Optimization of Contamination Warning Sensors in Water Distribution Systems. Group Decis. Negot. 2021, 30, 641–663. [Google Scholar] [CrossRef]
- Shoorangiz, M.; Nikoo, M.R.; Šimůnek, J.; Gandomi, A.H.; Adamowski, J.F.; Al-Wardy, M. Multi-objective optimization of hydrant flushing in a water distribution system using a fast hybrid technique. J. Environ. Manag. 2023, 334, 117463. [Google Scholar] [CrossRef]
- Jafari-Asl, J.; Hashemi Monfared, S.A.; Abolfathi, S. Reducing Water Conveyance Footprint through an Advanced Optimization Framework. Water 2024, 16, 874. [Google Scholar] [CrossRef]
- Storn, R.; Price, K. Differential Evolution—A Simple and Efficient Adaptive Scheme for Global Optimization over Continuous Spaces; 1995. Available online: https://link.springer.com/article/10.1023/A:1008202821328 (accessed on 27 February 2025).
- Holland, J.H. Adaptation in Natural and Artificial Systems; University of Michigan Press: Ann Arbor, MI, USA, 1975; p. 1. [Google Scholar]
- Rechenberg, I. Cybernetic solution path of an experimental problem (kybernetische lösungsansteuerung einer experimentellen forschungsaufgabe). In Evolutionary Computation: The Fossil Record; IEEE: Piscataway, NJ, USA, 1998. [Google Scholar] [CrossRef]
- Kennedy, J.; Eberhart, R. Particle swarm optimization. In Proceedings of the ICNN’95-International Conference on Neural Networks, Perth, WA, Australia, 27 November–1 December 1995; IEEE: Piscataway, NJ, USA, 1995; Volume 4, pp. 1942–1948. [Google Scholar]
- Dorigo, M.; Blum, C. Ant colony optimization theory: A survey. Theor. Comput. Sci. 2005, 344, 243–278. [Google Scholar] [CrossRef]
- Karaboga, D.; Akay, B. A comparative study of Artificial Bee Colony algorithm. Appl. Math. Comput. 2009, 214, 108–132. [Google Scholar] [CrossRef]
- Yang, X.S.; Deb, S. Cuckoo search via Lévy flights. In Proceedings of the 2009 World Congress on Nature and Biologically Inspired Computing, NABIC 2009—Proceedings, Coimbatore, India, 9–11 December 2009. [Google Scholar] [CrossRef]
- Fister, I.; Yang, X.S.; Brest, J. A comprehensive review of firefly algorithms. Swarm Evol. Comput. 2013, 13, 34–46. [Google Scholar] [CrossRef]
- Yang, X.S. A new metaheuristic Bat-inspired Algorithm. In Nature Inspired Cooperative Strategies for Optimization (NICSO 2010); Studies in Computational Intelligence; Springer: Berlin/Heidelberg, Germany, 2010; Volume 284. [Google Scholar] [CrossRef]
- Mirjalili, S.; Mirjalili, S.M.; Lewis, A. Grey Wolf Optimizer. Adv. Eng. Softw. 2014, 69, 46–61. [Google Scholar] [CrossRef]
- Mirjalili, S. Dragonfly algorithm: A new meta-heuristic optimization technique for solving single-objective, discrete, and multi-objective problems. Neural Comput. Appl. 2016, 27, 1053–1073. [Google Scholar] [CrossRef]
- Heidari, A.A.; Mirjalili, S.; Faris, H.; Aljarah, I.; Mafarja, M.; Chen, H. Harris hawks optimization: Algorithm and applications. Future Gener. Comput. Syst. 2019, 97, 849–872. [Google Scholar] [CrossRef]
- Ahmadianfar, I.; Heidari, A.A.; Noshadian, S.; Chen, H.; Gandomi, A.H. INFO: An efficient optimization algorithm based on weighted mean of vectors. Expert Syst. Appl. 2022, 195, 116516. [Google Scholar] [CrossRef]
- Kirkpatrick, S.; Gelatt, C.D.; Vecchi, M.P. Optimization by simulated annealing. Science 1983, 220, 671–680. [Google Scholar] [CrossRef]
- Deeb, H.; Sarangi, A.; Mishra, D.; Sarangi, S.K. Improved Black Hole optimization algorithm for data clustering. J. King Saud Univ.-Comput. Inf. Sci. 2022, 34, 5020–5029. [Google Scholar] [CrossRef]
- Tabari, A.; Ahmad, A. A new optimization method: Electro-Search algorithm. Comput. Chem. Eng. 2017, 103, 1–11. [Google Scholar] [CrossRef]
- Mohanty, D.K. Gravitational search algorithm for economic optimization design of a shell and tube heat exchanger. Appl. Therm. Eng. 2016, 107, 184–193. [Google Scholar] [CrossRef]
- Zhao, W.; Wang, L.; Zhang, Z. Atom search optimization and its application to solve a hydrogeologic parameter estimation problem. Knowl. Based Syst. 2019, 163, 283–304. [Google Scholar] [CrossRef]
- Qi, A.; Zhao, D.; Heidari, A.A.; Liu, L.; Chen, Y.; Chen, H. FATA: An efficient optimization method based on geophysics. Neurocomputing 2024, 607, 128289. [Google Scholar] [CrossRef]
- Ahmadianfar, I.; Heidari, A.A.; Gandomi, A.H.; Chu, X.; Chen, H. RUN beyond the metaphor: An efficient optimization algorithm based on Runge Kutta method. Expert. Syst. Appl. 2021, 181, 115079. [Google Scholar] [CrossRef]
- Su, H.; Zhao, D.; Heidari, A.A.; Liu, L.; Zhang, X.; Mafarja, M.; Chen, H. RIME: A physics-based optimization. Neurocomputing 2023, 532, 183–214. [Google Scholar] [CrossRef]
- Rossman, L. EPANET 2 User Manual. Soc. Stud. Sci. 2018, 38. Available online: https://www.microimages.com/documentation/tutorials/epanet2usermanual.pdf (accessed on 27 February 2025).
- Li, R.A.; McDonald, J.A.; Sathasivan, A.; Khan, S.J. A multivariate Bayesian network analysis of water quality factors influencing trihalomethanes formation in drinking water distribution systems. Water Res. 2021, 190, 116712. [Google Scholar] [CrossRef]
- Latifi, M.; Gheibi, M.A.; Naeeni, S.T. Improving Consumer Satisfaction in Water Distribution Networks Through Optimal Use of Auxiliary Tanks (A Case Study of Kashan City, Iran). Water Resour. Manag. 2018, 32, 4103–4122. [Google Scholar] [CrossRef]
- Gheisi, A.; Forsyth, M.; Naser, G. Water Distribution Systems Reliability: A Review of Research Literature. J. Water Resour. Plan. Manag. 2016, 142, 04016047. [Google Scholar] [CrossRef]
- Geranmehr, M.; Yousefi-Khoraem, M. Optimal Quality Sensor Placement in Water Distribution Networks under Temporal and Spatial Uncertain Contamination. J. Water Wastewater 2020, 31, 143–155. (In Persian) [Google Scholar]
- Dogani, A.; Dourandish, A.; Ghorbani, M.; Shahbazbegian, M.R. A Hybrid Meta-Heuristic for a Bi-Objective Stochastic Optimization of Urban Water Supply System. IEEE Access 2020, 8, 135829–135843. [Google Scholar] [CrossRef]
- Lee, H.M.; Jung, D.; Sadollah, A.; Lee, E.H.; Kim, J.H. Performance comparison of metaheuristic optimization algorithms using water distribution system design benchmarks. In Harmony Search and Nature Inspired Optimization Algorithms: Theory and Applications, ICHSA 2018; Advances in Intelligent Systems and Computing; Springer: Singapore, 2019; Volume 741. [Google Scholar] [CrossRef]
- El-Ghandour, H.A.; Elbeltagi, E. Comparison of Five Evolutionary Algorithms for Optimization of Water Distribution Networks. J. Comput. Civ. Eng. 2018, 32, 04017066. [Google Scholar] [CrossRef]
- Kumar, V.; Yadav, S.M. A state-of-the-Art review of heuristic and metaheuristic optimization techniques for the management of water resources. Water Supply 2022, 22, 3702–3728. [Google Scholar] [CrossRef]
- Yuan, C.; Zhao, D.; Heidari, A.A.; Liu, L.; Chen, Y.; Wu, Z.; Chen, H. Artemisinin optimization based on malaria therapy: Algorithm and applications to medical image segmentation. Displays 2024, 84, 102740. [Google Scholar] [CrossRef]
- Lian, J.; Zhu, T.; Ma, L.; Wu, X.; Heidari, A.A.; Chen, Y.; Chen, H.; Hui, G. The educational competition optimizer. Int. J. Syst. Sci. 2024, 55, 3185–3222. [Google Scholar] [CrossRef]
- Zheng, B.; Chen, Y.; Wang, C.; Heidari, A.A.; Liu, L.; Chen, H. The moss growth optimization (MGO): Concepts and performance. J. Comput. Des. Eng. 2024, 11, 184–221. [Google Scholar] [CrossRef]
- Lian, J.; Hui, G.; Ma, L.; Zhu, T.; Wu, X.; Heidari, A.A.; Chen, Y.; Chen, H. Parrot optimizer: Algorithm and applications to medical problems. Comput. Biol. Med. 2024, 172, 108064. [Google Scholar] [CrossRef]
- Yuan, C.; Zhao, D.; Heidari, A.A.; Liu, L.; Chen, Y.; Chen, H. Polar lights optimizer: Algorithm and applications in image segmentation and feature selection. Neurocomputing 2024, 607, 128427. [Google Scholar] [CrossRef]
- Minaei, A.; Haghighi, A.; Ghafouri, H.R. Computer-aided decision-making model for multiphase upgrading of aged water distribution mains. J. Water Resour. Plan. Manag. 2019, 145, 04019008. [Google Scholar] [CrossRef]
- Arcuri, A.; Fraser, G. Parameter tuning or default values? An empirical investigation in search-based software engineering. Empir. Softw. Eng. 2013, 18, 594–623. [Google Scholar] [CrossRef]
- Eliades, D.G.; Kyriakou, M.; Polycarpou, M.M. Sensor placement in water distribution systems using the S-PLACE Toolkit. Procedia Eng. 2014, 70, 602–611. [Google Scholar] [CrossRef]
- Mirjalili, S.; Lewis, A. The whale optimization algorithm. Adv. Eng. Softw. 2016, 95, 51–67. [Google Scholar] [CrossRef]
- Seyyedabbasi, A.; Kiani, F. Sand Cat swarm optimization: A nature-inspired algorithm to solve global optimization problems. Eng. Comput. 2022, 39, 2627–2651. [Google Scholar] [CrossRef]
- Meraihi, Y.; Ramdane-Cherif, A.; Acheli, D.; Mahseur, M. Dragonfly algorithm: A comprehensive review and applications. Neural Comput. Appl. 2020, 32, 16625–16646. [Google Scholar] [CrossRef]
- Mirjalili, S. Moth-flame optimization algorithm: A novel nature-inspired heuristic paradigm. Knowl. Based Syst. 2015, 89, 228–249. [Google Scholar] [CrossRef]









| Metaheuristics | Algorithms | References |
|---|---|---|
| Evolutionary Algorithms | Differential Evolution (DE) | [17] |
| Genetic Algorithms (GA) | [18] | |
| Evolutionary Strategy (ES) | [19] | |
| Swarm Based Algorithms | Particle Swarm Optimization (PSO) | [20] |
| Ant Colony Optimization (ACO) | [21] | |
| Artificial Bee Colony (ABC) | [22] | |
| Cuckoo Search (CS) | [23] | |
| Firefly Algorithm (FA) | [24] | |
| Bat Algorithm (BA) | [25] | |
| Grey Wolf Optimizer (GWO) | [26] | |
| Dragonfly Algorithm (DA) | [27] | |
| Harris Hawks Optimization (HHO) | [28] | |
| Weighted Mean of Vectors (INFO) | [29] | |
| Physics-Based Algorithms | Simulated Annealing (SA) | [30] |
| Black Hole Optimization (BHO) | [31] | |
| Electro-Search Algorithm (ESA) | [32] | |
| Gravitational Search Algorithm (GSA) | [33] | |
| Atom Search Optimization (ASO) | [34] | |
| Fata Morgana Algorithm (FATA) | [35] | |
| Runge Kutta Optimization (RUN) | [36] | |
| Rime Optimization Algorithm (RIME) | [37] |
| Algorithm | Parameters |
|---|---|
| AO | ~ |
| HHO | |
| ECO | |
| FATA | |
| MGO | ~ |
| PO | ~ |
| PLO | ass of a charged particle |
| RIME | |
| RUN | (Constant numbers) |
| INFO | (Constant numbers) |
| Algorithm | Contaminated Water Consumption (m3) | |||
|---|---|---|---|---|
| Worst (Max) | Best (Min) | Average | SD | |
| PLO | 131,754 | 131,754 | 131,754 | 0 |
| MGO | 131,754 | 131,754 | 131,754 | 0 |
| HHO | 131,754 | 131,754 | 131,754 | 0 |
| INFO | 131,754 | 131,754 | 131,754 | 0 |
| FATA | 131,754 | 131,754 | 131,754 | 0 |
| PO | 131,754 | 131,754 | 131,754 | 0 |
| RIME | 131,754 | 131,754 | 131,754 | 0 |
| ECO | 131,754 | 131,754 | 131,754 | 0 |
| AO | 131,754 | 131,754 | 131,754 | 0 |
| RUN | 131,754 | 131,754 | 131,754 | 0 |
| Algorithm | WOA-SCSO | WOA | SCSO | WOA-SA | MFO * | DO |
|---|---|---|---|---|---|---|
| Contaminated water consumption (m3) | 131,754 | 293,963 | 201,372 | 139,014 | - | 205,845 |
| Algorithm | Contaminated Water Consumption (Liter) | |||
|---|---|---|---|---|
| Worst (Max) | Best (Min) | Average | SD | |
| PLO | 4.5810 × 103 | 3.7100 × 103 | 4.2598 × 103 | 2.8693 × 102 |
| MGO | 4.4232 × 103 | 3.7100 × 103 | 3.9453 × 103 | 2.5557 × 102 |
| HHO | 7.0495 × 103 | 3.7100 × 103 | 4.5878 × 103 | 6.7592 × 102 |
| INFO | 4.3989 × 103 | 3.7100 × 103 | 3.8696 × 103 | 2.2897 × 102 |
| FATA | 4.6155 × 103 | 3.7100 × 103 | 4.3067 × 103 | 3.1597 × 102 |
| PO | 5.2123 × 103 | 4.3989 × 103 | 4.7842 × 103 | 2.8169 × 102 |
| RIME | 4.3989 × 103 | 3.7100 × 103 | 3.8133 × 103 | 2.0093 × 102 |
| ECO | 5.0614 × 103 | 4.1303 × 103 | 4.5554 × 103 | 2.5180 × 102 |
| AO | 4.6155 × 103 | 3.7100 × 103 | 3.9145 × 103 | 2.8709 × 102 |
| RUN | 4.9311 × 103 | 3.7100 × 103 | 4.2670 × 103 | 3.2783 × 102 |
Disclaimer/Publisher’s Note: The statements, opinions and data contained in all publications are solely those of the individual author(s) and contributor(s) and not of MDPI and/or the editor(s). MDPI and/or the editor(s) disclaim responsibility for any injury to people or property resulting from any ideas, methods, instructions or products referred to in the content. |
© 2025 by the authors. Licensee MDPI, Basel, Switzerland. This article is an open access article distributed under the terms and conditions of the Creative Commons Attribution (CC BY) license (https://creativecommons.org/licenses/by/4.0/).
Share and Cite
Siadatpour, S.A.S.; Aghamolaei, Z.; Jafari-Asl, J.; Baniasadi Moghadam, A. A Single-Objective Optimization of Water Quality Sensors in Water Distribution Networks Using Advanced Metaheuristic Techniques. Water 2025, 17, 1221. https://doi.org/10.3390/w17081221
Siadatpour SAS, Aghamolaei Z, Jafari-Asl J, Baniasadi Moghadam A. A Single-Objective Optimization of Water Quality Sensors in Water Distribution Networks Using Advanced Metaheuristic Techniques. Water. 2025; 17(8):1221. https://doi.org/10.3390/w17081221
Chicago/Turabian StyleSiadatpour, Seyed Amir Saman, Zohre Aghamolaei, Jafar Jafari-Asl, and Abolfazl Baniasadi Moghadam. 2025. "A Single-Objective Optimization of Water Quality Sensors in Water Distribution Networks Using Advanced Metaheuristic Techniques" Water 17, no. 8: 1221. https://doi.org/10.3390/w17081221
APA StyleSiadatpour, S. A. S., Aghamolaei, Z., Jafari-Asl, J., & Baniasadi Moghadam, A. (2025). A Single-Objective Optimization of Water Quality Sensors in Water Distribution Networks Using Advanced Metaheuristic Techniques. Water, 17(8), 1221. https://doi.org/10.3390/w17081221

