Is Industrial-Scale Wastewater Treatment Possible with a Commercially Available Atmospheric Pressure Plasma System? A Practical Study Using the Example of a Car Wash
Abstract
1. Introduction
2. Experimental Realization
2.1. Plasma Equipment
2.2. Experimental Setup
2.3. Preparation of Water Samples and Chemical Measurements
- Deionized water (DI);
- Tap water with two different degrees of hardness;
- Reused water from a car wash.
2.4. Cultivation of Bacteria and Preparation of Test Suspensions
3. Direct Treatment
3.1. Materials and Methods
3.2. Results
3.2.1. Influence on pH Value, Nitrite Concentration, and Nitrate Concentration
3.2.2. Antibacterial Effects
3.2.3. Influence of Impurities and Turbidity on the Effectiveness of Plasma Treatment
4. Indirect Treatment
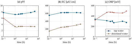
4.1. Stability of PAW over Time
4.2. Materials and Methods
4.3. Results
5. Discussion
5.1. Comparison with Previous Work
5.2. Possible Inactivation Mechanisms of Pseudomonas
5.3. Limiting Factors of the Plasma Treatment
5.4. Estimation of Additional Costs Due to the Use of Plasma
5.5. Factors to Consider Before Industrial Application
6. Conclusions
Author Contributions
Funding
Data Availability Statement
Acknowledgments
Conflicts of Interest
Abbreviations
| WHO | World Health Organization |
| DBP | Disinfection by-products |
| EC | Electrical conductivity |
| ORP | Oxidation reduction potential |
| CRB | Chlorine-resistant bacteria |
| AOP | Advanced oxidation process |
| RCS | Reactive chlorine species |
| RNS | Reactive nitrogen species |
| ROS | Reactive oxygen species |
| RONS | Reactive oxygen-nitrogen species |
| PAW | Plasma-activated water |
| DI | Deionized |
| °dH | degrees of German hardness |
| MGDA | Methylglycinediacetic acid trisodium salt |
| TSA | Tryptic soy agar |
| TSB | Tryptic soy broth |
| CASO | Casein-soy flour-peptone agar |
| CFU | Colony forming unit |
References
- World Health Organization. Billions of People Will Lack Access to Safe Water, Sanitation and Hygiene in 2030 Unless Progress Quadruples—Warn WHO, UNICEF. 2021. Available online: https://www.unicef.org/press-releases/billions-people-will-lack-access-safe-water-sanitation-and-hygiene-2030-unless (accessed on 22 January 2025).
- Haarstrick, A.; Bahadir, M. Water and its Global Meaning. In Water and Wastewater Management; Bahadir, M., Haarstrick, A., Eds.; Springer: Cham, Switzerland, 2022; pp. 3–14. [Google Scholar] [CrossRef]
- Kesari, K.K.; Soni, R.; Jamal, Q.M.S.; Tripathi, P.; Lal, J.A.; Jha, N.K.; Siddiqui, M.H.; Kumar, P.; Tripathi, V.; Ruokolainen, J. Wastewater Treatment and Reuse: A Review of its Applications and Health Implications. Water Air Soil Pollut. 2021, 232, 208. [Google Scholar] [CrossRef]
- Mena, K.D.; Gerba, C.P. Risk Assessment of Pseudomonas aeruginosa in Water. In Reviews of Environmental Contamination and Toxicology; Whitacre, D.M., Ed.; Springer: Boston, MA, USA, 2009; Volume 201, pp. 71–115. [Google Scholar] [CrossRef]
- Tacconelli, E.; Carrara, E.; Savoldi, A.; Harbarth, S.; Mendelson, M.; Monnet, D.L.; Pulcini, C.; Kahlmeter, G.; Kluytmans, J.; Carmeli, Y.; et al. Discovery, research, and development of new antibiotics: The WHO priority list of antibiotic-resistant bacteria and tuberculosis. Lancet Infect. Dis. 2018, 18, 318–327. [Google Scholar] [CrossRef]
- Ahmed, W.; Brandes, H.; Gyawali, P.; Sidhu, J.P.S.; Toze, S. Opportunistic pathogens in roof-captured rainwater samples, determined using quantitative PCR. Water Res. 2014, 53, 361–369. [Google Scholar] [CrossRef]
- Coronel-Olivares, C.; Reyes-Gómez, L.M.; Hernández-Muñoz, A.; Martínez-Falcón, A.P.; Vázquez-Rodríguez, G.A.; Iturbe, U. Chlorine disinfection of Pseudomonas aeruginosa, total coliforms, Escherichia coli and Enterococcus faecalis: Revisiting reclaimed water regulations. Water Sci. Technol. 2011, 64, 2151–2157. [Google Scholar] [CrossRef]
- Wang, H.; Edwards, M.; Falkinham, J.O.; Pruden, A. Molecular survey of the occurrence of Legionella spp., Mycobacterium spp., Pseudomonas aeruginosa, and amoeba hosts in two chloraminated drinking water distribution systems. Appl. Environ. Microbiol. 2012, 78, 6285–6294. [Google Scholar] [CrossRef]
- Luo, L.W.; Wu, Y.H.; Yu, T.; Wang, Y.H.; Chen, G.Q.; Tong, X.; Bai, Y.; Xu, C.; Wang, H.B.; Ikuno, N.; et al. Evaluating method and potential risks of chlorine-resistant bacteria (CRB): A review. Water Res. 2021, 188, 116474. [Google Scholar] [CrossRef] [PubMed]
- Drogui, P.; Daghrir, R. Chlorine for Water Disinfection: Properties, Applications and Health Effects. In CO2 Sequestration, Biofuels and Depollution; Lichtfouse, E., Schwarzbauer, J., Robert, D., Eds.; Springer: Cham, Switzerland, 2015; pp. 1–32. [Google Scholar] [CrossRef]
- Wang, Y.H.; Wu, Y.H.; Tong, X.; Yu, T.; Peng, L.; Bai, Y.; Zhao, X.H.; Huo, Z.Y.; Ikuno, N.; Hu, H.Y. Chlorine disinfection significantly aggravated the biofouling of reverse osmosis membrane used for municipal wastewater reclamation. Water Res. 2019, 154, 246–257. [Google Scholar] [CrossRef]
- Xue, Z.; Hessler, C.M.; Panmanee, W.; Hassett, D.J.; Seo, Y. Pseudomonas aeruginosa inactivation mechanism is affected by capsular extracellular polymeric substances reactivity with chlorine and monochloramine. Fems Microbiol. Ecol. 2013, 83, 101–111. [Google Scholar] [CrossRef] [PubMed]
- Rice, S.A.; van den Akker, B.; Pomati, F.; Roser, D. A risk assessment of Pseudomonas aeruginosa in swimming pools: A review. J. Water Health 2012, 10, 181–196. [Google Scholar] [CrossRef] [PubMed]
- Li, X.; Cai, M.; Wang, L.; Niu, F.; Yang, D.; Zhang, G. Evaluation survey of microbial disinfection methods in UV-LED water treatment systems. Sci. Total Environ. 2019, 659, 1415–1427. [Google Scholar] [CrossRef] [PubMed]
- Song, K.; Mohseni, M.; Taghipour, F. Application of ultraviolet light-emitting diodes (UV-LEDs) for water disinfection: A review. Water Res. 2016, 94, 341–349. [Google Scholar] [CrossRef] [PubMed]
- Li, H.Y.; Osman, H.; Kang, C.W.; Ba, T. Numerical and experimental investigation of UV disinfection for water treatment. Appl. Therm. Eng. 2017, 111, 280–291. [Google Scholar] [CrossRef]
- Wang, J.; Qu, D.; Bu, L.; Zhu, S. Inactivation efficiency of P. Aeruginosa and ARGs removal in UV/NH2Cl process: Comparisons with UV and NH2Cl. Sep. Purif. Technol. 2023, 305, 122473. [Google Scholar] [CrossRef]
- Pichel, N.; Vivar, M.; Fuentes, M. The problem of drinking water access: A review of disinfection technologies with an emphasis on solar treatment methods. Chemosphere 2019, 218, 1014–1030. [Google Scholar] [CrossRef] [PubMed]
- Yu, S.Y.; Xie, Z.H.; Wu, X.; Zheng, Y.Z.; Shi, Y.; Xiong, Z.K.; Zhou, P.; Liu, Y.; He, C.S.; Pan, Z.C.; et al. Review of advanced oxidation processes for treating hospital sewage to achieve decontamination and disinfection. Chin. Chem. Lett. 2024, 35, 108714. [Google Scholar] [CrossRef]
- Azuma, T.; Usui, M.; Hayashi, T. Inactivation of Antibiotic-Resistant Bacteria in Wastewater by Ozone-Based Advanced Water Treatment Processes. Antibiotics 2022, 11, 210. [Google Scholar] [CrossRef]
- Zhou, X.; Guo, Z.; Tang, X.; Wang, W.; Wu, M.; Song, B.; Xiang, Y.; Li, Y.; Xiong, W.; Huang, D.; et al. Sulfate radical-based advanced oxidation processes for simultaneous removal of antibiotic-resistant bacteria and antibiotic resistance genes and the affecting factors. Chem. Eng. J. 2024, 498, 155149. [Google Scholar] [CrossRef]
- Andreozzi, R. Advanced oxidation processes (AOP) for water purification and recovery. Catal. Today 1999, 53, 51–59. [Google Scholar] [CrossRef]
- Wu, S.; Zhang, Q.; Ma, R.; Yu, S.; Wang, K.; Zhang, J.; Fang, J. Reactive radical-driven bacterial inactivation by hydrogen-peroxide-enhanced plasma-activated-water. Eur. Phys. J. Spec. Top. 2017, 226, 2887–2899. [Google Scholar] [CrossRef]
- Bougeard, C.M.M.; Goslan, E.H.; Jefferson, B.; Parsons, S.A. Comparison of the disinfection by-product formation potential of treated waters exposed to chlorine and monochloramine. Water Res. 2010, 44, 729–740. [Google Scholar] [CrossRef]
- Nicol, M.J.; Brubaker, T.R.; Honish, B.J.; Simmons, A.N.; Kazemi, A.; Geissel, M.A.; Whalen, C.T.; Siedlecki, C.A.; Bilén, S.G.; Knecht, S.D.; et al. Antibacterial effects of low-temperature plasma generated by atmospheric-pressure plasma jet are mediated by reactive oxygen species. Sci. Rep. 2020, 10, 3066. [Google Scholar] [CrossRef] [PubMed]
- Kondeti, V.S.S.K.; Phan, C.Q.; Wende, K.; Jablonowski, H.; Gangal, U.; Granick, J.L.; Hunter, R.C.; Bruggeman, P.J. Long-lived and short-lived reactive species produced by a cold atmospheric pressure plasma jet for the inactivation of Pseudomonas aeruginosa and Staphylococcus aureus. Free. Radic. Biol. Med. 2018, 124, 275–287. [Google Scholar] [CrossRef]
- Mohamed, H.; Nayak, G.; Rendine, N.; Wigdahl, B.; Krebs, F.C.; Bruggeman, P.J.; Miller, V. Non-Thermal Plasma as a Novel Strategy for Treating or Preventing Viral Infection and Associated Disease. Front. Phys. 2021, 9, 683118. [Google Scholar] [CrossRef]
- Nishime, T.; Borges, A.C.; Koga-Ito, C.Y.; Machida, M.; Hein, L.; Kostov, K.G. Non-thermal atmospheric pressure plasma jet applied to inactivation of different microorganisms. Surf. Coatings Technol. 2017, 312, 19–24. [Google Scholar] [CrossRef]
- Nguyen, L.; Lu, P.; Boehm, D.; Bourke, P.; Gilmore, B.F.; Hickok, N.J.; Freeman, T.A. Cold atmospheric plasma is a viable solution for treating orthopedic infection: A review. Biol. Chem. 2018, 400, 77–86. [Google Scholar] [CrossRef]
- Lu, X.; Ye, T.; Cao, Y.; Sun, Z.; Xiong, Q.; Tang, Z.; Xiong, Z.; Hu, J.; Jiang, Z.; Pan, Y. The roles of the various plasma agents in the inactivation of bacteria. J. Appl. Phys. 2008, 104, 053309. [Google Scholar] [CrossRef]
- Theinkom, F.; Singer, L.; Cieplik, F.; Cantzler, S.; Weilemann, H.; Cantzler, M.; Hiller, K.A.; Maisch, T.; Zimmermann, J.L. Antibacterial Efficacy of Cold Atmospheric Plasma gainst Enterococcus faecalis Planktonic Cultures and Biofilms in Vitro. PLoS ONE 2019, 14, e0223925. [Google Scholar] [CrossRef] [PubMed]
- Brun, P.; Bernabè, G.; Marchiori, C.; Scarpa, M.; Zuin, M.; Cavazzana, R.; Zaniol, B.; Martines, E. Antibacterial efficacy and mechanisms of action of low power atmospheric pressure cold plasma: Membrane permeability, biofilm penetration and antimicrobial sensitization. J. Appl. Microbiol. 2018, 125, 398–408. [Google Scholar] [CrossRef]
- Zeghioud, H.; Nguyen-Tri, P.; Khezami, L.; Amrane, A.; Assadi, A.A. Review on discharge Plasma for water treatment: Mechanism, reactor geometries, active species and combined processes. J. Water Process Eng. 2020, 38, 101664. [Google Scholar] [CrossRef]
- Malik, M.A. Water Purification by Plasmas: Which Reactors are Most Energy Efficient? Plasma Chem. Plasma Process. 2010, 30, 21–31. [Google Scholar] [CrossRef]
- Mai-Prochnow, A.; Zhou, R.; Zhang, T.; Ostrikov, K.K.; Mugunthan, S.; Rice, S.A.; Cullen, P.J. Interactions of plasma-activated water with biofilms: Inactivation, dispersal effects and mechanisms of action. npj Biofilms Microbiomes 2021, 7, 11. [Google Scholar] [CrossRef]
- Mai-Prochnow, A.; Clauson, M.; Hong, J.; Murphy, A.B. Gram positive and Gram negative bacteria differ in their sensitivity to cold plasma. Sci. Rep. 2016, 6, 38610. [Google Scholar] [CrossRef] [PubMed]
- Davies, D. Understanding biofilm resistance to antibacterial agents. Nat. Rev. Drug Discov. 2003, 2, 114–122. [Google Scholar] [CrossRef] [PubMed]
- Sung, K.; Khan, S.; Ahn, J. Foodborne Pathogen Biofilms: Development, Detection, Control, and Antimicrobial Resistance. Pathogens 2023, 12, 352. [Google Scholar] [CrossRef]
- Gupta, T.T.; Ayan, H. Application of Non-Thermal Plasma on Biofilm: A Review. Appl. Sci. 2019, 9, 3548. [Google Scholar] [CrossRef]
- Machala, Z.; Tarabová, B.; Sersenová, D.; Janda, M.; Hensel, K. Chemical and antibacterial effects of plasma activated water: Correlation with gaseous and aqueous reactive oxygen and nitrogen species, plasma sources and air flow conditions. J. Phys. Appl. Phys. 2019, 52, 034002. [Google Scholar] [CrossRef]
- Tarabová, B.; Lukeš, P.; Janda, M.; Hensel, K.; Šikurová, L.; Machala, Z. Specificity of detection methods of nitrites and ozone in aqueous solutions activated by air plasma. Plasma Processes Polym. 2018, 15, 1800030. [Google Scholar] [CrossRef]
- Oehmigen, K.; Hähnel, M.; Brandenburg, R.; Wilke, C.; Weltmann, K.D.; von Woedtke, T. The Role of Acidification for Antimicrobial Activity of Atmospheric Pressure Plasma in Liquids. Plasma Processes Polym. 2010, 7, 250–257. [Google Scholar] [CrossRef]
- Vasikaran, E.M.; Murugesan, P.; Moses, J.; Anandharamakrishnan, C. Performance of non-thermal plasma reactor for removal of organic and inorganic chemical residues in aqueous media. J. Electrost. 2022, 115, 103671. [Google Scholar] [CrossRef]
- Keris-Sen, U.D.; Yonar, T. Nitrate and/or Nitric Acid Formation in the Presence of Different Radical Scavengers during Ozonation of Water Samples; Are Scavengers Effective? Water 2023, 15, 1840. [Google Scholar] [CrossRef]
- Alkawareek, M.Y.; Gorman, S.P.; Graham, W.G.; Gilmore, B.F. Potential cellular targets and antibacterial efficacy of atmospheric pressure non-thermal plasma. Int. J. Antimicrob. Agents 2014, 43, 154–160. [Google Scholar] [CrossRef]
- Martines, E.; Zuin, M.; Cavazzana, R.; Gazza, E.; Serianni, G.; Spagnolo, S.; Spolaore, M.; Leonardi, A.; Deligianni, V.; Brun, P.; et al. A novel plasma source for sterilization of living tissues. New J. Phys. 2009, 11, 115014. [Google Scholar] [CrossRef]
- van Gils, C.A.J.; Hofmann, S.; Boekema, B.K.H.L.; Brandenburg, R.; Bruggeman, P.J. Mechanisms of bacterial inactivation in the liquid phase induced by a remote RF cold atmospheric pressure plasma jet. J. Phys. Appl. Phys. 2013, 46, 175203. [Google Scholar] [CrossRef]
- relyon plasma GmbH. Data Sheet of the A450 Nozzle. Available online: https://www.relyon-plasma.com/wp-content/uploads/2016/05/nozzle-a450-data-sheet-EN.pdf (accessed on 18 October 2024).
- Szulc, M.J. Diagnostics of a Pulsed Low-Current High-Voltage Discharge Operated at Atmospheric Pressure. Ph.D. Thesis, Universität der Bundeswehr, München, Germany, 2022. [Google Scholar]
- Szulc, M.; Forster, G.; Marques-Lopez, J.L.; Schein, J. A Simple and Compact Laser Scattering Setup for Characterization of a Pulsed Low-Current Discharge. Appl. Sci. 2022, 12, 6915. [Google Scholar] [CrossRef]
- Spinks, A.T.; Dunstan, R.; Harrison, T.; Coombes, P.; Kuczera, G. Thermal inactivation of water-borne pathogenic and indicator bacteria at sub-boiling temperatures. Water Res. 2006, 40, 1326–1332. [Google Scholar] [CrossRef]
- Tsuji, A.; Kaneko, Y.; Takahashi, K.; Ogawa, M.; Goto, S. The effects of temperature and pH on the growth of eight enteric and nine glucose non-fermenting species of Gram negative rods. Microbiol. Immunol. 1982, 26, 15–24. [Google Scholar] [CrossRef] [PubMed]
- iTeh Inc. DIN EN 1276:2019—Chemical Disinfectants and Antiseptics—Quantitative Suspension Test for the Evaluation of Bactericidal Activity of Chemical Disinfectants and Antiseptics Used in Food, Industrial, Domestic and Institutional Areas—Test Method and Requirements. Available online: https://standards.iteh.ai/catalog/standards/cen/5b01722b-fe29-4d96-8608-7e5c9da8a80a/en-1276-2019 (accessed on 24 January 2025).
- ATCC Global Bioresource Center. Pseudomonas aeruginosa (Schroeter) Migula Strain Genome. Available online: https://www.atcc.org/products/15442/ (accessed on 22 January 2025).
- Carl Roth GmbH. Product Datasheet of the CASO Agar. Available online: https://www.carlroth.com/com/en/ (accessed on 18 October 2024).
- iTeh Inc. CEN/TC 216—Chemical Disinfectants and Antiseptics Standards. Available online: https://standards.iteh.ai/catalog/tc/cen/6c5f8db6-e764-4c69-b6c8-4b1e4f494c73/cen-tc-216?srsltid=AfmBOoocn_mOtajq5wY4fgNS7D-akCmi90coesyFj078cMCtOSGHk8M8 (accessed on 22 January 2025).
- Sigma Aldrich, Merck KGaA. Safety Data Sheet of the Cetrimide Agar. Available online: https://www.sigmaaldrich.com/DE/en/sds/sial/22470?userType=anonymous (accessed on 18 October 2024).
- Joshi, I.; Salvi, D.; Schaffner, D.W.; Karwe, M.V. Characterization of Microbial Inactivation Using Plasma-Activated Water and Plasma-Activated Acidified Buffer. J. Food Prot. 2018, 81, 1472–1480. [Google Scholar] [CrossRef] [PubMed]
- Tan, J.; Karwe, M.V. Inactivation and removal of Enterobacter aerogenes biofilm in a model piping system using plasma-activated water (PAW). Innov. Food Sci. Emerg. Technol. 2021, 69, 102664. [Google Scholar] [CrossRef]
- Pawłat, J.; Terebun, P.; Kwiatkowski, M.; Tarabová, B.; Kovalová, Z.; Kučerová, K.; Machala, Z.; Janda, M.; Hensel, K. Evaluation of Oxidative Species in Gaseous and Liquid Phase Generated by Mini-Gliding Arc Discharge. Plasma Chem. Plasma Process. 2019, 39, 627–642. [Google Scholar] [CrossRef]
- Bălan, G.G.; Roşca, I.; Ursu, E.L.; Doroftei, F.; Bostănaru, A.C.; Hnatiuc, E.; Năstasă, V.; Şandru, V.; Ştefănescu, G.; Trifan, A.; et al. Plasma-activated water: A new and effective alternative for duodenoscope reprocessing. Infect. Drug Resist. 2018, 11, 727–733. [Google Scholar] [CrossRef] [PubMed]
- Wang, Q.H.; Yu, L.J.; Liu, Y.; Lin, L.; gang Lu, R.; ping Zhu, J.; He, L.; Lu, Z.L. Methods for the detection and determination of nitrite and nitrate: A review. Talanta 2017, 165, 709–720. [Google Scholar] [CrossRef] [PubMed]
- Chen, X.; Yin, G.; Zhao, N.; Gan, T.; Yang, R.; Xia, M.; Feng, C.; Chen, Y.; Huang, Y. Simultaneous determination of nitrate, chemical oxygen demand and turbidity in water based on UV–Vis absorption spectrometry combined with interval analysis. Spectrochim. Acta Part Mol. Biomol. Spectrosc. 2021, 244, 118827. [Google Scholar] [CrossRef] [PubMed]
- Wartel, M.; Faubert, F.; Dirlau, I.D.; Rudz, S.; Pellerin, N.; Astanei, D.; Burlica, R.; Hnatiuc, B.; Pellerin, S. Analysis of plasma activated water by gliding arc at atmospheric pressure: Effect of the chemical composition of water on the activation. J. Appl. Phys. 2021, 129, 233301. [Google Scholar] [CrossRef]
- Zhang, H.; Wu, Q.; Li, Y.; Xiong, S. Simultaneous Detection of Nitrate and Nitrite Based on UV Absorption Spectroscopy and Machine Learning. Spectrosc. Suppl. Adv. UV-Vis-Nir Spectrosc. 2021, 36, 38–44. Available online: https://www.spectroscopyonline.com/view/simultaneous-detection-of-nitrate-and-nitrite-based-on-uv-absorption-spectroscopy-and-machine-learning (accessed on 18 October 2024).
- Zhao, Y.M.; Ojha, S.; Burgess, C.M.; Sun, D.W.; Tiwari, B.K. Inactivation efficacy and mechanisms of plasma activated water on bacteria in planktonic state. J. Appl. Microbiol. 2020, 129, 1248–1260. [Google Scholar] [CrossRef] [PubMed]
- Zhao, Y.M.; Ojha, S.; Burgess, C.M.; Sun, D.W.; Tiwari, B.K. Inactivation efficacy of plasma-activated water: Influence of plasma treatment time, exposure time and bacterial species. Int. J. Food Sci. Technol. 2021, 56, 721–732. [Google Scholar] [CrossRef]
- Traylor, M.J.; Pavlovich, M.J.; Karim, S.; Hait, P.; Sakiyama, Y.; Clark, D.S.; Graves, D.B. Long-term antibacterial efficacy of air plasma-activated water. J. Phys. Appl. Phys. 2011, 44, 472001. [Google Scholar] [CrossRef]
- Modic, M.; McLeod, N.P.; Sutton, J.M.; Walsh, J.L. Cold atmospheric pressure plasma elimination of clinically important single- and mixed-species biofilms. Int. J. Antimicrob. Agents 2017, 49, 375–378. [Google Scholar] [CrossRef] [PubMed]
- Relyon Plasma GmbH. Operating Instructions of the Plasma Generator PG31. Available online: https://www.relyon-plasma.com/wp-content/uploads/2024/02/F0298601_BA_PG31_EN.pdf (accessed on 18 October 2024).
- Lin, C.M.; Chu, Y.C.; Hsiao, C.P.; Wu, J.S.; Hsieh, C.W.; Hou, C.Y. The Optimization of Plasma-Activated Water Treatments to Inactivate Salmonella Enteritidis (ATCC 13076) on Shell Eggs. Foods 2019, 8, 520. [Google Scholar] [CrossRef] [PubMed]
- Simon, S.; Salgado, B.; Hasan, M.I.; Sivertsvik, M.; Fernández, E.N.; Walsh, J.L. Influence of Potable Water Origin on the Physicochemical and Antimicrobial Properties of Plasma Activated Water. Plasma Chem. Plasma Process. 2022, 42, 377–393. [Google Scholar] [CrossRef]
- Lukes, P.; Dolezalova, E.; Sisrova, I.; Clupek, M. Aqueous-phase chemistry and bactericidal effects from an air discharge plasma in contact with water: Evidence for the formation of peroxynitrite through a pseudo-second-order post-discharge reaction of H2O2 and HNO2. Plasma Sources Sci. Technol. 2014, 23, 015019. [Google Scholar] [CrossRef]
- Julák, J.; Hujacová, A.; Scholtz, V.; Khun, J.; Holada, K. Contribution to the Chemistry of Plasma-Activated Water. Plasma Phys. Rep. 2018, 44, 125–136. [Google Scholar] [CrossRef]
- Jablonowski, H.; Hänsch, M.A.C.; Dünnbier, M.; Wende, K.; Hammer, M.U.; Weltmann, K.D.; Reuter, S.; von Woedtke, T. Plasma jet’s shielding gas impact on bacterial inactivation. Biointerphases 2015, 10, 029506. [Google Scholar] [CrossRef]
- Liu, Z.; Wang, S.; Pang, B.; Zhang, H.; Gao, Y.; Xu, D.; Kong, M.G. The impact of surface-to-volume ratio on the plasma activated water characteristics and its anticancer effect. J. Phys. Appl. Phys. 2021, 54, 215203. [Google Scholar] [CrossRef]
- Relyon Plasma GmbH. Operating Instructions of the PS2000 Power Supply. Available online: https://www.relyon-plasma.com/wp-content/uploads/2024/03/F0307903_BA_PS2000OEM_EN.pdf (accessed on 18 October 2024).
- Relyon Plasma GmbH. Data Sheet of the A450 Nozzle. Available online: https://www.relyon-plasma.com/wp-content/uploads/2024/03/2021_Data_sheet_A450_EN-1.pdf (accessed on 18 October 2024).
- Relyon Plasma GmbH. Online Shop—A450 Nozzle. Available online: https://www.relyon-plasma.com/produkt/duese-a450/ (accessed on 14 January 2025).
- Aggelopoulos, C.A. Recent advances of cold plasma technology for water and soil remediation: A critical review. Chem. Eng. J. 2022, 428, 131657. [Google Scholar] [CrossRef]
- Schmitt-John, T. Mobile Plasma-Dekontamination. Available online: https://www.sifo.de/sifo/shareddocs/Downloads/files/moplasdekon-vortrag_katastrophenschutz-kongress_2021.pdf?__blob=publicationFile&v=1 (accessed on 18 October 2024).
- Relyon Plasma GmbH. MediPlas. High-Performance Ozone Generating Components for Medical and Industrial Applications. Available online: https://www.relyon-plasma.com/wp-content/uploads/2023/07/2023_mediplas_Flyer_blau_TDK.pdf (accessed on 18 October 2024).
- relyon plasma GmbH. MediPlas Ozone Generator at the Helmholtz Center for Infection Research. Available online: https://www.relyon-plasma.com/mediplas-ozone-generator-at-the-hzi/?lang=en (accessed on 18 October 2024).
- Nastasa, V.; Pasca, A.S.; Malancus, R.N.; Bostanaru, A.C.; Ailincai, L.I.; Ursu, E.L.; Vasiliu, A.L.; Minea, B.; Hnatiuc, E.; Mares, M. Toxicity Assessment of Long-Term Exposure to Non-Thermal Plasma Activated Water in Mice. Int. J. Mol. Sci. 2021, 22, 11534. [Google Scholar] [CrossRef] [PubMed]
- Bundesministerium der JUSTIZ. Verordnung über Anforderungen an das Einleiten von Abwasser in Gewässer. Available online: https://www.gesetze-im-internet.de/abwv/ (accessed on 18 October 2024).
- Seliverstov, A.F.; Ershov, B.G.; Lagunova, Y.O.; Morozov, P.A.; Kamrukov, A.S.; Shashkovskii, S.G. Oxidative degradation of EDTA in aqueous solutions under UV irradiation. Radiochemistry 2008, 50, 70–74. [Google Scholar] [CrossRef]
- Sillanpää, M.E.; Agustiono Kurniawan, T.; Lo, W.h. Degradation of chelating agents in aqueous solution using advanced oxidation process (AOP). Chemosphere 2011, 83, 1443–1460. [Google Scholar] [CrossRef]







| Distance | Gas | Flow | Power | Frequency | Nozzle |
|---|---|---|---|---|---|
| DCA | kHz | A450 |
| Water Type | Deionized Water | Tap Water | Hardened Tap Water |
| Hardness | 2 °dH | 13–14 °dH | 21–22 °dH |
| Parameter | Deionized Water | Tap Water | |||||||
|---|---|---|---|---|---|---|---|---|---|
| Untreated | Treated | Diff | Untreated | Treated | Diff | Hardened Untreated | Hardened Treated | Diff | |
| pH [°dH] | |||||||||
| EC [] | 758 | 486 | 637 | 821 | 989 | ||||
| ORP [] | 253 | 546 | 367 | 341 | 300 | 264 | |||
| nitrite [] | 68 | 200 | 190 | ||||||
| nitrate [] | 122 | 22 | |||||||
| fluoride [] | <0.1 | <0.1 | |||||||
| chloride [] | 98 | 94 | |||||||
| phosphate [] | <0.1 | <0.1 | <0.1 | <0.1 | <0.1 | ||||
| sulfate [] | |||||||||
| TOC [] | |||||||||
| Reduction Level | Power Consum. [] | Water Volume [L] | Treatment Time [] | Electricity Price [EUR/] | Energy Cost [EUR] | Service Life [] | Maintenance Cost [EUR] | Water Consum. [L/wash] | Total Cost Increase [EUR/wash] |
|---|---|---|---|---|---|---|---|---|---|
| 1000 | 33 | 1000 | 150 |
Disclaimer/Publisher’s Note: The statements, opinions and data contained in all publications are solely those of the individual author(s) and contributor(s) and not of MDPI and/or the editor(s). MDPI and/or the editor(s) disclaim responsibility for any injury to people or property resulting from any ideas, methods, instructions or products referred to in the content. |
© 2025 by the authors. Licensee MDPI, Basel, Switzerland. This article is an open access article distributed under the terms and conditions of the Creative Commons Attribution (CC BY) license (https://creativecommons.org/licenses/by/4.0/).
Share and Cite
Szulc, M.; Kirner, C.; Götz, J.; Schein, J. Is Industrial-Scale Wastewater Treatment Possible with a Commercially Available Atmospheric Pressure Plasma System? A Practical Study Using the Example of a Car Wash. Water 2025, 17, 413. https://doi.org/10.3390/w17030413
Szulc M, Kirner C, Götz J, Schein J. Is Industrial-Scale Wastewater Treatment Possible with a Commercially Available Atmospheric Pressure Plasma System? A Practical Study Using the Example of a Car Wash. Water. 2025; 17(3):413. https://doi.org/10.3390/w17030413
Chicago/Turabian StyleSzulc, Michał, Carmen Kirner, Jörg Götz, and Jochen Schein. 2025. "Is Industrial-Scale Wastewater Treatment Possible with a Commercially Available Atmospheric Pressure Plasma System? A Practical Study Using the Example of a Car Wash" Water 17, no. 3: 413. https://doi.org/10.3390/w17030413
APA StyleSzulc, M., Kirner, C., Götz, J., & Schein, J. (2025). Is Industrial-Scale Wastewater Treatment Possible with a Commercially Available Atmospheric Pressure Plasma System? A Practical Study Using the Example of a Car Wash. Water, 17(3), 413. https://doi.org/10.3390/w17030413

