An Evaluation of Secondary Mineral Formation/Dissolution and Phase Separation Based on Mg Isotopic Fractionation: The Shallow-Water Hydrothermal System in Milos, Greece
Abstract
1. Introduction
2. Materials and Methods
2.1. Geological Settings

2.2. Sampling and Determinations
3. Results
4. Discussion
4.1. Chemistry of Milos Hydrothermal Fluids
4.2. Influence of Carbonate Mineral Formation on Mg Isotopic Fractionation
4.3. Mg Isotopic Variation in Vent Fluids
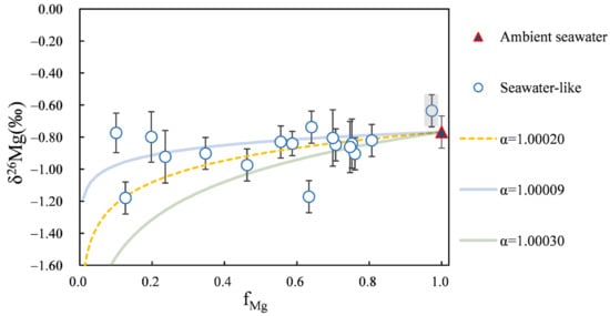
4.3.1. The Seawater-like Fluids
4.3.2. Deep Circulation-Vapor and Brine Phase
4.3.3. Combined Mg, B, and Li Isotopes in Vent Fluids
4.4. Global Data Comparisons
5. Conclusions
Supplementary Materials
Author Contributions
Funding
Data Availability Statement
Acknowledgments
Conflicts of Interest
References
- Baker, E.T.; German, C.R. On the global distribution of hydrothermal vent fields. Geophys. Monogr. Ser. 2004, 148, 245–266. [Google Scholar]
- Beaulieu, S.E.; Baker, E.T.; German, C.R.; Maffei, A. An authoritative global database for active submarine hydrothermal vent fields. Geochem. Geophys. Geosyst. 2013, 14, 4892–4905. [Google Scholar] [CrossRef]
- Diehl, A.; Bach, W. MARHYS (MARine Hydrothermal Solutions) Database: A Global Compilation of Marine Hydrothermal Vent Fluid, End Member, and Seawater Compositions. Geochem. Geophys. Geosyst. 2020, 21, e2020GC009385. [Google Scholar] [CrossRef]
- Tarasov, V.G.; Gebruk, A.V.; Mironov, A.N.; Moskalev, L.I. Deep-sea and shallow-water hydrothermal vent communities: Two different phenomena? Chem. Geol. 2005, 224, 5–39. [Google Scholar] [CrossRef]
- Voudouris, P.; Kati, M.; Magganas, A.; Keith, M.; Valsami-Jones, E.; Haase, K.; Klemd, R.; Nestmeyer, M. Arsenian pyrite and cinnabar from active submarine nearshore vents, Paleochori Bay, Milos Island, Greece. Minerals 2021, 11, 14. [Google Scholar] [CrossRef]
- Martelat, J.E.; Escartín, J.; Barreyre, T. Terrestrial shallow water hydrothermal outflow characterized from out of space. Mar. Geol. 2020, 422, 106119. [Google Scholar] [CrossRef]
- Zhang, Z.; Fan, W.; Bao, W.; Chen, C.T.A.; Liu, S.; Cai, Y. Recent developments of exploration and detection of shallow-water hydrothermal systems. Sustainability 2020, 12, 9109. [Google Scholar] [CrossRef]
- Rosman, K.J.R.; Taylor, P.D.P. Isotopic compositions of the elements 1997 (Technical Report). Pure Appl. Chem. 1998, 70, 217. [Google Scholar] [CrossRef]
- Guo, B.; Zhu, X.; Dong, A.; Yan, B.; Shi, G.; Zhao, Z. Mg isotopic systematics and geochemical applications: A critical review. J. Asian Earth Sci. 2019, 176, 368–385. [Google Scholar] [CrossRef]
- Carpenter, J.H.; Manella, M.E. Magnesium to chlorinity ratios in seawater. J. Geophys. Res. 1973, 78, 3621–3626. [Google Scholar] [CrossRef]
- Ling, M.-X.; Sedaghatpour, F.; Teng, F.-Z.; Hays, P.D.; Strauss, J.; Sun, W. Homogeneous magnesium isotopic composition of seawater: An excellent geostandard for Mg isotope analysis. Rapid Commun. Mass Spectrom. 2011, 25, 2828–2836. [Google Scholar] [CrossRef] [PubMed]
- Young, E.; Galy, A. The isotope geochemistry and cosmochemistry of magnesium. Rev. Mineral. Geochem. 2004, 55, 197–230. [Google Scholar] [CrossRef]
- Huang, K.-J.; Teng, F.-Z.; Plank, T.; Staudigel, H.; Hu, Y.; Bao, Z.-Y. Magnesium isotopic composition of altered oceanic crust and the global Mg cycle. Geochim. Cosmochim. Acta 2018, 238, 357–373. [Google Scholar] [CrossRef]
- Li, W.; Beard, B.L.; Li, C.; Johnson, C.M. Magnesium isotope fractionation between brucite [Mg(OH)2] and Mg aqueous species: Implications for silicate weathering and biogeochemical processes. Earth Planet. Sci. Lett. 2014, 394, 82–93. [Google Scholar] [CrossRef]
- Ryu, J.-S.; Vigier, N.; Decarreau, A.; Lee, S.-W.; Lee, K.-S.; Song, H.; Petit, S. Experimental investigation of Mg isotope fractionation during mineral dissolution and clay formation. Chem. Geol. 2016, 445, 135–145. [Google Scholar] [CrossRef]
- Teng, F.-Z.; Li, W.-Y.; Rudnick, R.L.; Gardner, L.R. Contrasting lithium and magnesium isotope fractionation during continental weathering. Earth Planet. Sci. Lett. 2010, 300, 63–71. [Google Scholar] [CrossRef]
- Voigt, M.; Pearce, C.R.; Fries, D.M.; Baldermann, A.; Oelkers, E.H. Magnesium isotope fractionation during hydrothermal seawater-basalt interaction. Geochim. Cosmochim. Acta 2020, 272, 21–35. [Google Scholar] [CrossRef]
- Wimpenny, J.; Colla, C.A.; Yin, Q.-Z.; Rustad, J.R.; Casey, W.H. Investigating the behaviour of Mg isotopes during the formation of clay minerals. Geochim. Cosmochim. Acta 2014, 128, 178–194. [Google Scholar] [CrossRef]
- Shao, H.; Yang, S.; Dong, A.; Hu, Z. Magnesium isotopes of chlorite-rich hydrothermal sediments in the Okinawa Trough and indications for Mg cycle. Sci. China Earth Sci. 2023, 66, 648–662. [Google Scholar] [CrossRef]
- Vigier, N.; Decarreau, A.; Millot, R.; Carignan, J.; Petit, S.; France-Lanord, C. Quantifying Li isotope fractionation during smectite formation and implications for the Li cycle. Geochim. Cosmochim. Acta 2008, 72, 780–792. [Google Scholar] [CrossRef]
- Lou, U.T.; Wu, S.F.; You, C.F.; Chung, C.H.; Valsami-Jones, E.; Baltatzis, E. Lithium isotope systematics and water/rock interactions in a shallow-water hydrothermal system at Milos Island, Greece. Mar. Chem. 2023, 257, 104327. [Google Scholar] [CrossRef]
- Wu, S.F.; You, C.F.; Wang, B.S.; Valsami-Jones, E.; Baltatzis, E. Two-cells phase separation in shallow submarine hydrothermal system at Milos Island, Greece: Boron isotopic evidence. Geophys. Res. Lett. 2011, 38, 5. [Google Scholar] [CrossRef]
- Wu, S.-F.; You, C.-F.; Lin, Y.-P.; Valsami-Jones, E.; Baltatzis, E. New boron isotopic evidence for sedimentary and magmatic fluid influence in the shallow hydrothermal vent system of Milos Island (Aegean Sea, Greece). J. Volcanol. Geotherm. Res. 2016, 310, 58–71. [Google Scholar] [CrossRef]
- Monecke, T.; Petersen, S.; Hannington, M.D. Constraints on water depth of massive sulfide formation: Evidence from modern seafloor hydrothermal systems in arc-related settings. Econ. Geol. 2014, 109, 2079–2101. [Google Scholar] [CrossRef]
- Shi, X.; Shi, L.; Yan, Q.; Ye, J. Hydrothermal activities and mineralization in the arc and back-arc basin systems, Western Pacific. J. Jilin Univ. (Earth Sci. Ed.) 2016, 46, 1124–1138. [Google Scholar]
- Butterfield, D.A.; Massoth, G.J.; McDuff, R.E.; Lupton, J.E.; Lilley, M.D. Geochemistry of hydrothermal fluids from Axial Seamount hydrothermal emissions study vent field, Juan de Fuca Ridge: Subseafloor boiling and subsequent fluid-rock interaction. J. Geophys. Res. Solid Earth 1990, 95, 12895–12921. [Google Scholar] [CrossRef]
- Wu, S.-F.; You, C.-F.; Valsami-Jones, E.; Baltatzis, E.; Shen, M.-L. Br/Cl and I/Cl systematics in the shallow-water hydrothermal system at Milos Island, Hellenic Arc. Mar. Chem. 2012, 140–141, 33–43. [Google Scholar] [CrossRef]
- Khimasia, A.; Renshaw, C.E.; Price, R.E.; Pichler, T. Hydrothermal Flux and Porewater Geochemistry in Paleochori Bay, Milos, Greece. Chem. Geol. 2021, 571, 120188. [Google Scholar] [CrossRef]
- Gilhooly, W.P.; Fike, D.A.; Druschel, G.K.; Kafantaris, F.C.A.; Price, R.E.; Amend, J.P. Sulfur and oxygen isotope insights into sulfur cycling in shallow-sea hydrothermal vents, Milos, Greece. Geochem. Trans. 2014, 15, 19. [Google Scholar] [CrossRef]
- Fytikas, M.; Innocenti, F.; Kolios, N.; Manetti, P.; Mazzuoli, R.; Poli, G.; Rita, F.; Villari, L. Volcanology and petrology of volcanic products from the island of Milos and neighbouring islets. J. Volcanol. Geotherm. Res. 1986, 28, 297–317. [Google Scholar] [CrossRef]
- Köster, M.H.; Williams, L.B.; Kudejova, P.; Gilg, H.A. The boron isotope geochemistry of smectites from sodium, magnesium and calcium bentonite deposits. Chem. Geol. 2019, 510, 166–187. [Google Scholar] [CrossRef]
- Megalovasilis, P. Partition Geochemistry of Hydrothermal Precipitates from Submarine Hydrothermal Fields in the Hellenic Volcanic Island Arc. Geochem. Int. 2014, 52, 992–1010. [Google Scholar] [CrossRef]
- Liakopoulos, A.; Glasby, G.P.; Papavassiliou, K.; Boulegue, J. Nature and origin of the Vani manganese deposit, Milos, Greece: An overview. Ore Geol. Rev. 2001, 18, 181–209. [Google Scholar] [CrossRef]
- Decher, A.; Bechtel, A.; Echle, W.; Friedrich, G.; Hoernes, S. Stable isotope geochemistry of bentonites from the island of Milos (Greece). Chem. Geol. 1996, 129, 101–113. [Google Scholar] [CrossRef]
- Christidis, G.E.; Huff, W.D. Geological aspects and genesis of bentonites. Elements 2009, 5, 93–98. [Google Scholar] [CrossRef]
- Christidis, G.E. Geochemical correlation of bentonites from Milos Island, Aegean, Greece. Clay Miner. 2001, 36, 295–306. [Google Scholar] [CrossRef]
- Caballero, E.; Reyes, E.; Delgado, A.; Huertas, F.; Linares, J. The formation of bentonite: Mass balance effects. Appl. Clay Sci. 1992, 6, 265–276. [Google Scholar] [CrossRef]
- Schlitzer, R. Ocean Data View. Available online: https://odv.awi.de (accessed on 8 January 2025).
- Wombacher, F.; Eisenhauer, A.; Heuser, A.; Weyer, S. Separation of Mg, Ca and Fe from geological reference materials for stable isotope ratio analyses by MC-ICP-MS and double-spike TIMS. J. Anal. At. Spectrom. 2009, 24, 627–636. [Google Scholar] [CrossRef]
- Galy, A.; Yoffe, O.; Janney, P.E.; Williams, R.W.; Cloquet, C.; Alard, O.; Halicz, L.; Wadhwa, M.; Hutcheon, I.D.; Ramon, E.; et al. Magnesium isotope heterogeneity of the isotopic standard SRM980 and new reference materials for magnesium-isotope-ratio measurements. J. Anal. At. Spectrom. 2003, 18, 1352–1356. [Google Scholar] [CrossRef]
- Davis, A.M.; Richter, F.M.; Mendybaev, R.A.; Janney, P.E.; Wadhwa, M.; McKeegan, K.D. Isotopic mass fractionation laws for magnesium and their effects on 26Al–26Mg systematics in solar system materials. Geochim. Cosmochim. Acta 2015, 158, 245–261. [Google Scholar] [CrossRef]
- Kleint, C.; Bach, W.; Diehl, A.; Fröhberg, N.; Garbe-Schönberg, D.; Hartmann, J.F.; Koschinsky, A. Geochemical Characterization of Highly Diverse Hydrothermal Fluids from Volcanic Vent Systems of the Kermadec Intra-Oceanic Arc. Chem. Geol. 2019, 528, 119289. [Google Scholar] [CrossRef]
- Price, R.E.; LaRowe, D.E.; Italiano, F.; Savov, I.; Pichler, T.; Amend, J.P. Subsurface Hydrothermal Processes and the Bioenergetics of Chemolithoautotrophy at the Shallow-Sea Vents off Panarea Island (Italy). Chem. Geol. 2015, 407–408, 21–45. [Google Scholar] [CrossRef]
- Price, R.E.; Giovannelli, D. A Review of the Geochemistry and Microbiology of Marine Shallow-Water Hydrothermal Vents. In Reference Module in Earth Systems and Environmental Sciences; Elsevier: Amsterdam, Netherlands, 2017; pp. 1–16. [Google Scholar]
- Fournier, R.O.; Truesdell, A.H. An empirical Na-K-Ca geothermometer for natural waters. Geochim. Cosmochim. Acta 1973, 37, 1255–1275. [Google Scholar] [CrossRef]
- Ferguson, J.E.; Henderson, G.M.; Kucera, M.; Rickaby, R.E.M. Systematic change of foraminiferal Mg/Ca ratios across a strong salinity gradient. Earth Planet. Sci. Lett. 2008, 265, 153–166. [Google Scholar] [CrossRef]
- Nessim, R.B.; Tadros, H.R.Z.; Abou Taleb, A.E.A.; Moawad, M.N. Chemistry of the Egyptian Mediterranean coastal waters. Egypt. J. Aquat. Res. 2015, 41, 1–10. [Google Scholar] [CrossRef]
- Valsami-Jones, E.; Baltatzis, E.; Bailey, E.H.; Boyce, A.J.; Alexander, J.L.; Magganas, A.; Anderson, L.; Waldron, S.; Ragnarsdottir, K.V. The geochemistry of fluids from an active shallow submarine hydrothermal system: Milos island, Hellenic Volcanic Arc. J. Volcanol. Geotherm. Res. 2005, 148, 130–151. [Google Scholar] [CrossRef]
- Varnavas, S.P.; Cronan, D.S. Submarine hydrothermal activity off Santorini and Milos in the Central Hellenic Volcanic Arc: A synthesis. Chem. Geol. 2005, 224, 40–54. [Google Scholar] [CrossRef]
- Wilckens, F.K.; Reeves, E.P.; Bach, W.; Seewald, J.S.; Kasemann, S.A. Application of B, Mg, Li, and Sr Isotopes in Acid-Sulfate Vent Fluids and Volcanic Rocks as Tracers for Fluid-Rock Interaction in Back-Arc Hydrothermal Systems. Geochem. Geophys. Geosyst. 2019, 20, 5849–5866. [Google Scholar] [CrossRef]
- Teng, F.-Z.; Hu, Y.; Chauvel, C. Magnesium Isotope Geochemistry in Arc Volcanism. Proc. Natl. Acad. Sci. USA 2016, 113, 7082–7087. [Google Scholar] [CrossRef]
- Bischoff, J.L.; Dickson, F.W. Seawater-Basalt Interaction at 200 °C and 500 Bars: Implications for Origin of Sea-Floor Heavy-Metal Deposits and Regulation of Seawater Chemistry. Earth Planet. Sci. Lett. 1975, 25, 385–397. [Google Scholar] [CrossRef]
- Pichler, T.; Veizer, J.; Hall, G.E. The Chemical Composition of Shallow-Water Hydrothermal Fluids in Tutum Bay, Ambitle Island, Papua New Guinea, and Their Effect on Ambient Seawater. Mar. Chem. 1999, 64, 229–252. [Google Scholar] [CrossRef]
- Parkhurst, D.L.; Appelo, C. Description of Input and Examples for PHREEQC Version 3: A Computer Program for Speciation, Batch-Reaction, One-Dimensional Transport, and Inverse Geochemical Calculations; U.S. Geological Survey: Reston, VA, USA, 2013; pp. 1–497. [Google Scholar]
- Sætre, C.; Hellevang, H.; Riu, L.; Dypvik, H.; Pilorget, C.; Poulet, F.; Werner, S.C. Experimental Hydrothermal Alteration of Basaltic Glass with Relevance to Mars. Meteorit. Planet. Sci. 2019, 54, 357–378. [Google Scholar] [CrossRef]
- Hall, D.M.; Lvov, S.N.; Gamwo, I.K. Thermodynamic Modeling of Mineral Scaling in High-Temperature and High-Pressure Aqueous Environments. Liquids 2022, 2, 303–317. [Google Scholar] [CrossRef]
- Tivey, M.K. Generation of Seafloor Hydrothermal Vent Fluids and Associated Mineral Deposits. Oceanography 2007, 20, 50–65. [Google Scholar] [CrossRef]
- Liakopoulos, A.; Katerinopoulos, A.; Markopoulos, T.; Boulegue, J. A Mineralogical, Petrographic, and Geochemical Study of Samples from Wells in the Geothermal Field of Milos Island (Greece). Geothermics 1991, 20, 237–256. [Google Scholar] [CrossRef]
- Teng, F.-Z.; Li, W.-Y.; Ke, S.; Marty, B.; Dauphas, N.; Huang, S.; Wu, F.-Y.; Pourmand, A. Magnesium Isotopic Composition of the Earth and Chondrites. Geochim. Cosmochim. Acta 2010, 74, 4150–4166. [Google Scholar] [CrossRef]
- Fytikas, M. Updating of the Geological and Geothermal Research on Milos Island. Geothermics 1989, 18, 485–496. [Google Scholar] [CrossRef]
- Tipper, E.T.; Galy, A.; Bickle, M.J. Riverine Evidence for a Fractionated Reservoir of Ca and Mg on the Continents: Implications for the Oceanic Ca Cycle. Earth Planet. Sci. Lett. 2006, 247, 267–279. [Google Scholar] [CrossRef]
- Hu, Z.; Li, W.; Hohl, S.V.; Meister, P.; Yang, S.; Zhang, B.; Xia, Z.; Liu, C. Evaporite Sequences as Archives for Mg Isotope Compositions of Seawater—Evidence from a Tethys Marginal Shelf Basin in the Anisian. Chem. Geol. 2024, 668, 122346. [Google Scholar] [CrossRef]
- Eom, J.; Yoshimura, T.; Araoka, D.; Gamo, T.; Kawahata, H. Magnesium Isotopic Composition of Submarine Vent Fluids from Arc and Back-Arc Hydrothermal Systems in the Western Pacific. Chem. Geol. 2020, 551, 119767. [Google Scholar] [CrossRef]
- Pogge von Strandmann, P.A.; Burton, K.W.; Opfergelt, S.; Eiríksdóttir, E.S.; Murphy, M.J.; Einarsson, A.; Gislason, S.R. Hydrothermal and Cold Spring Water and Primary Productivity Effects on Magnesium Isotopes: Lake Myvatn, Iceland. Front. Earth Sci. 2020, 8, 109. [Google Scholar] [CrossRef]
- Leeman, W.P.; Tonarini, S.; Pennisi, M.; Ferrara, G. Boron Isotopic Variations in Fumarolic Condensates and Thermal Waters from Vulcano Island, Italy: Implications for Evolution of Volcanic Fluids. Geochim. Cosmochim. Acta 2005, 69, 143–163. [Google Scholar] [CrossRef]
- Daskalopoulou, K.; Gagliano, A.L.; Calabrese, S.; Longo, M.; Hantzis, K.; Kyriakopoulos, K.; D’Alessandro, W. Gas Geochemistry and CO2 Output Estimation at the Island of Milos, Greece. J. Volcanol. Geotherm. Res. 2018, 365, 13–22. [Google Scholar] [CrossRef]
- Kakihana, H.; Kotaka, M.; Satoh, S.; Nomura, M.; Okamoto, M. Fundamental Studies on the Ion-Exchange Separation of Boron Isotopes. Bull. Chem. Soc. Jpn. 1977, 50, 158–163. [Google Scholar] [CrossRef]
- Hershey, J.P.; Fernandez, M.; Milne, P.J.; Millero, F.J. The Ionization of Boric Acid in NaCl, Na-Ca-Cl, and Na-Mg-Cl Solutions at 25 °C. Geochim. Cosmochim. Acta 1986, 50, 143–148. [Google Scholar] [CrossRef]
- Spivack, A.J.; Edmond, J.M. Boron Isotope Exchange Between Seawater and the Oceanic Crust. Geochim. Cosmochim. Acta 1987, 51, 1033–1043. [Google Scholar] [CrossRef]









| Sample No. | TYPE | SO4 1 (mM) | Ca 1 (mM) | Na 1 (mM) | Cl 1 (mM) | K 1 (mM) | pH 1 | Total Alkalinity 1 (mg/L) | T (°C) 1 | T (°C) 2 |
|---|---|---|---|---|---|---|---|---|---|---|
| 03ML-1 | Seawater | 34 | 13 | 580 | 635 | 12 | 7.9 | 100 | 31.2 | 174.0 |
| 03ML-2 | Seawater-like | 36 | 13 | 590 | 660 | 13 | 5.5 | 65 | 106.7 | 176.0 |
| 03ML-4 | Seawater | 38 | 15 | 656 | 726 | 13 | 8.1 | 80 | 31.0 | 173.7 |
| 03ML-5 | Cave | 27 | 9 | 106 | 121 | 11 | 1.6 | - | 94.4 | 194.0 |
| 03ML-6 | Cave | 30 | 5 | 57 | 67 | 5 | 1.6 | 0.02 | 81.1 | 170.8 |
| 03ML-7 | Submarine-brine | 9 | 70 | 1058 | 1252 | 138 | 3.3 | - | 88.5 | 289.9 |
| 03ML-9 | Submarine-brine | 10 | 63 | 962 | 1128 | 122 | 3.7 | - | 78.3 | 286.4 |
| 03ML-10 | Submarine-brine | 10 | 61 | 1013 | 1185 | 122 | 4.1 | - | 82.7 | 323.3 |
| 03ML-12 | Seawater-like | 9 | 98 | 1324 | 1603 | 164 | 5.0 | 15 | 107.0 | 287.2 |
| 03ML-14 | Seawater-like | 11 | 79 | 1237 | 1454 | 161 | 4.9 | - | 114.2 | 292.6 |
| 03ML-15 | Seawater-like | 23 | 52 | 904 | 1060 | 82 | 6.6 | 60 | 62.5 | 261.2 |
| 03ML-16 | Submarine-brine | 8 | 100 | 1256 | 1460 | 155 | 5.3 | 30 | 68.7 | 285.4 |
| 03ML-18 | Seawater-like | 29 | 19 | 573 | 655 | 24 | 5.8 | 90 | 111.2 | 208.8 |
| 03ML-19 | Seawater-like | 22 | 23 | 543 | 626 | 34 | 5.7 | 40 | 104.2 | 231.6 |
| 03ML-20 | Seawater-like | 9 | 67 | 1098 | 1351 | 146 | 5.0 | 0 | 113.8 | 293.1 |
| 03ML-21 | Seawater-like | 27 | 33 | 702 | 821 | 47 | 6.1 | 90 | 112.2 | 237.7 |
| 03ML-22 | Seawater-like | 27 | 11 | 526 | 566 | 14 | 5.8 | 105 | 110.1 | 184.7 |
| 03ML-23 | Submarine-brine | 7 | 75 | 1170 | 1366 | 159 | 3.3 | 0 | 107.9 | 295.6 |
| 03ML-25 | Seawater-like | 22 | 12 | 495 | 546 | 20 | 4.6 | - | 110.3 | 209.3 |
| 03ML-26 | Seawater-like | 23 | 9 | 434 | 460 | 10 | 5.5 | 55 | 110.3 | 175.6 |
| 03ML-28 | Seawater | 35 | 13 | 577 | 626 | 12 | 8.1 | 95 | 29.0 | 174.6 |
| 03ML-29 | Seawater-like | 27 | 12 | 467 | 542 | 14 | 5.3 | 30 | 110.3 | 190.0 |
| 03ML-30 | Seawater-like | 11 | 33 | 716 | 837 | 80 | 5.5 | 10 | 111.9 | 276.9 |
| 03ML-31 | Seawater-like | 20 | 47 | 790 | 916 | 77 | 6.4 | 10 | 108.6 | 264.0 |
| 03ML-32 | Submarine-brine | 6 | 54 | 922 | 1068 | 122 | 3.9 | - | 81.3 | 290.9 |
| 03ML-33 | Seawater | 33 | 13 | 564 | 636 | 12 | 7.9 | 125 | 36.9 | 173.9 |
| 03ML-35 | Submarine-brine | 6 | 57 | 954 | 1095 | 132 | 3.4 | - | 96.8 | 295.2 |
| 03ML-37 | Seawater-like | 7 | 73 | 993 | 1192 | 123 | 5.2 | - | 108.0 | 283.6 |
| 03ML-39 | Seawater-like | 28 | 19 | 532 | 606 | 25 | 6.6 | 90 | 92.2 | 215.3 |
| 03ML-41 | Seawater-like | 26 | 11 | 466 | 507 | 12 | 5.6 | 60 | 111.9 | 183.4 |
| 02ML-4 | Cave | 29 | 9 | 88.78 | 128 | 13 | 1.8 | - | 91.4 | 303.5 |
| 02ML-5 | Cave | 37 | 6 | 45.46 | 65 | 7 | 1.6 | - | 78.2 | 288.1 |
| 02ML-29 | Cave | 28 | 9 | 91.28 | 125 | 13 | 1.7 | - | 91.0 | 190.0 |
| 02ML-30 | Cave | 34 | 5 | 49.37 | 68 | 7 | 1.8 | - | 90.0 | 276.9 |
| Sample No. | Type | Mg 1 (mM) | δ25Mg (‰) | 2SD | δ26Mg (‰) | 2SD | Li 2 (mM) | δ7Li 2 (‰) | B 1 (mM) | δ11B 1 (‰) |
|---|---|---|---|---|---|---|---|---|---|---|
| 03ML-1 | Seawater | 65.8 | −0.30 | 0.06 | −0.58 | 0.10 | 0.0 | 31.5 | 0.5 | 38.19 |
| 03ML-2 | Seawater-like | 65.7 | −0.38 | 0.06 | −0.64 | 0.10 | 0.0 | 22.0 | 0.5 | 37.32 |
| 03ML-4 | Seawater | 73.1 | −0.36 | 0.06 | −0.61 | 0.10 | 0.0 | 29.8 | 0.5 | 38.16 |
| 03ML-5 | Cave | 2.7 | −0.30 | 0.06 | −0.58 | 0.10 | 0.6 | 4.7 | 0.4 | 3.64 |
| 03ML-6 | Cave | 2.2 | −0.36 | 0.06 | −0.60 | 0.10 | 0.2 | 4.3 | 0.2 | 4.21 |
| 03ML-7 | Submarine-brine | 12.1 | −0.59 | 0.06 | −1.00 | 0.10 | 6.9 | 5.7 | 4.5 | 4.43 |
| 03ML-9 | Submarine-brine | 16.7 | −0.40 | 0.08 | −0.76 | 0.10 | 6.4 | 4.7 | 4.1 | 4.48 |
| 03ML-10 | Submarine-brine | 21.9 | −0.39 | 0.06 | −0.65 | 0.10 | 6.3 | 5.7 | 4.1 | 4.93 |
| 03ML-12 | Seawater-like | 6.8 | −0.42 | 0.11 | −0.77 | 0.12 | 7.3 | 1.7 | 6.7 | 4.56 |
| 03ML-14 | Seawater-like | 15.9 | −0.51 | 0.13 | −0.92 | 0.16 | 7.9 | 4.6 | 5.1 | 4.43 |
| 03ML-15 | Seawater-like | 37.5 | −0.47 | 0.06 | −0.83 | 0.10 | 3.4 | 8.8 | 3.3 | 11.28 |
| 03ML-16 | Submarine-brine | 5.1 | −0.40 | 0.10 | −0.75 | 0.11 | 7.0 | 1.8 | 6.4 | 4.09 |
| 03ML-18 | Seawater-like | 54.5 | −0.47 | 0.06 | −0.82 | 0.10 | 0.6 | 5.6 | 1.0 | 24.99 |
| 03ML-19 | Seawater-like | 39.6 | −0.48 | 0.07 | −0.84 | 0.08 | 1.2 | 4.1 | 1.5 | 13.99 |
| 03ML-20 | Seawater-like | 13.4 | −0.51 | 0.11 | −0.80 | 0.16 | 7.2 | 2.1 | 4.4 | 5.06 |
| 03ML-21 | Seawater-like | 47.7 | −0.48 | 0.06 | −0.85 | 0.10 | 1.8 | 5.0 | 2.0 | 13.61 |
| 03ML-22 | Seawater-like | 50.7 | −0.44 | 0.12 | −0.84 | 0.15 | 0.2 | 9.1 | 0.4 | 30.22 |
| 03ML-23 | Submarine-brine | 10.3 | −0.40 | 0.15 | −0.73 | 0.20 | 7.4 | 8.7 | 4.9 | 4.39 |
| 03ML-25 | Seawater-like | 42.7 | −0.67 | 0.06 | −1.17 | 0.10 | 0.5 | 5.5 | 0.9 | 15.33 |
| 03ML-26 | Seawater-like | 43.2 | −0.42 | 0.06 | −0.74 | 0.10 | 0.0 | 21.3 | 0.3 | 36.51 |
| 03ML-28 | Seawater | 66.3 | −0.54 | 0.06 | −1.02 | 0.10 | 0.0 | 26.8 | 0.5 | 38.88 |
| 03ML-29 | Seawater-like | 51.3 | −0.51 | 0.06 | −0.90 | 0.10 | 0.2 | 6.8 | 0.7 | 24.28 |
| 03ML-30 | Seawater-like | 23.5 | −0.51 | 0.06 | −0.90 | 0.10 | 3.5 | 4.5 | 2.3 | 6.05 |
| 03ML-31 | Seawater-like | 31.2 | −0.55 | 0.06 | −0.97 | 0.10 | 3.1 | 4.2 | 3.0 | 10.92 |
| 03ML-32 | Submarine-brine | 11.3 | −0.47 | 0.06 | −0.84 | 0.10 | 5.5 | 3.9 | 3.5 | 4.63 |
| 03ML-33 | Seawater | 64.7 | −0.48 | 0.06 | −0.86 | 0.10 | 0.0 | 30.6 | 0.4 | 38.84 |
| 03ML-35 | Submarine-brine | 8.5 | −0.48 | 0.13 | −0.84 | 0.12 | 5.9 | 3.7 | 3.8 | 4.34 |
| 03ML-37 | Seawater-like | 8.5 | −0.65 | 0.06 | −1.18 | 0.10 | 5.5 | 4.1 | 5.0 | 9.13 |
| 03ML-39 | Seawater-like | 47.2 | −0.45 | 0.16 | −0.81 | 0.18 | 0.7 | 4.6 | 1.0 | 18.33 |
| 03ML-41 | Seawater-like | 50.4 | −0.43 | 0.12 | −0.86 | 0.16 | 0.1 | 7.0 | 0.5 | 34.93 |
| 02ML-4 | Cave | 1.8 | −0.30 | 0.06 | −0.52 | 0.10 | 0.8 | 4.7 | 0.6 | 6.68 |
| 02ML-5 | Cave | 1.3 | −0.58 * | 0.06 | −0.97 * | 0.10 | 0.3 | 4.7 | 0.3 | 7.24 |
| 02ML-29 | Cave | 1.8 | −0.38 | 0.06 | −0.63 | 0.10 | 0.7 | 4.3 | 0.6 | 4.90 |
| 02ML-30 | Cave | 1.7 | −0.35 | 0.06 | −0.57 | 0.10 | 0.3 | 4.6 | 0.3 | 6.57 |
| Mineral SI | Submarine-Brine | Cave | Seawater-Like | ||
|---|---|---|---|---|---|
| Sample no. | 03ML-16 | 03ML-6 | 03ML-2 | 03ML-12 | 03ML-18 |
| T(°C)-(Na-K-Ca) | 285.4 | 170.8 | 176.0 | 287.2 | 208.8 |
| Anhydrite (CaSO4) | 1.53 1 | −0.55 | 0.74 1 | 1.55 1 | 1.01 1 |
| Gypsum (CaSO4·2H2O) | −0.24 | −15.61 | −0.27 | −0.23 | −0.23 |
| Aragonite (CaCO3) | −2.75 | −17.23 | −0.63 | −3.20 | −0.21 |
| Calcite (CaCO3) | −2.71 | −17.16 | −0.56 | −3.16 | −0.15 |
| Dolomite (CaMg(CO3)2) | −13.66 | −36.48 | −2.54 | −14.52 | −3.15 |
| Location, Hydrothermal System | Fractionation Factor (α) | Temperature (°C) | pH |
|---|---|---|---|
| The Manus Basin, acid sulfate (white smoker) systems [50] | No fractionation | 47~241 | 0.9~2.4 |
| The western Pacific, arc, and back-arc hydrothermal systems [63] | 1.00008 | 200~320 | 2.5~5.3 |
| The Milos Island, shallow-water hydrothermal systems (seawater-like fluids, this study) | 1.00020 | 63~114 | 4.6~6.6 |
Disclaimer/Publisher’s Note: The statements, opinions and data contained in all publications are solely those of the individual author(s) and contributor(s) and not of MDPI and/or the editor(s). MDPI and/or the editor(s) disclaim responsibility for any injury to people or property resulting from any ideas, methods, instructions or products referred to in the content. |
© 2025 by the authors. Licensee MDPI, Basel, Switzerland. This article is an open access article distributed under the terms and conditions of the Creative Commons Attribution (CC BY) license (https://creativecommons.org/licenses/by/4.0/).
Share and Cite
Chen, Y.-C.; You, C.-F.; Chung, C.-H.; Huang, K.-F.; Wu, S.-F.; Valsami-Jones, E.; Baltatzis, E. An Evaluation of Secondary Mineral Formation/Dissolution and Phase Separation Based on Mg Isotopic Fractionation: The Shallow-Water Hydrothermal System in Milos, Greece. Water 2025, 17, 370. https://doi.org/10.3390/w17030370
Chen Y-C, You C-F, Chung C-H, Huang K-F, Wu S-F, Valsami-Jones E, Baltatzis E. An Evaluation of Secondary Mineral Formation/Dissolution and Phase Separation Based on Mg Isotopic Fractionation: The Shallow-Water Hydrothermal System in Milos, Greece. Water. 2025; 17(3):370. https://doi.org/10.3390/w17030370
Chicago/Turabian StyleChen, Yi-Chi, Chen-Feng You, Chuan-Hsiung Chung, Kuo-Fang Huang, Shein-Fu Wu, Eugenia Valsami-Jones, and Emmanuel Baltatzis. 2025. "An Evaluation of Secondary Mineral Formation/Dissolution and Phase Separation Based on Mg Isotopic Fractionation: The Shallow-Water Hydrothermal System in Milos, Greece" Water 17, no. 3: 370. https://doi.org/10.3390/w17030370
APA StyleChen, Y.-C., You, C.-F., Chung, C.-H., Huang, K.-F., Wu, S.-F., Valsami-Jones, E., & Baltatzis, E. (2025). An Evaluation of Secondary Mineral Formation/Dissolution and Phase Separation Based on Mg Isotopic Fractionation: The Shallow-Water Hydrothermal System in Milos, Greece. Water, 17(3), 370. https://doi.org/10.3390/w17030370

