Modelling Impacts of Climate Change and Anthropogenic Activities on Ecosystem State Variables of Water Quality in the Cat Ba–Ha Long Coastal Area (Vietnam)
Abstract
1. Introduction
2. Data and Methods
2.1. Cat Ba–Ha Long Coastal Area
2.2. Data
2.3. Methods
2.3.1. Model Setup
2.3.2. Model Validation
2.3.3. Simulation Scenarios
3. Results
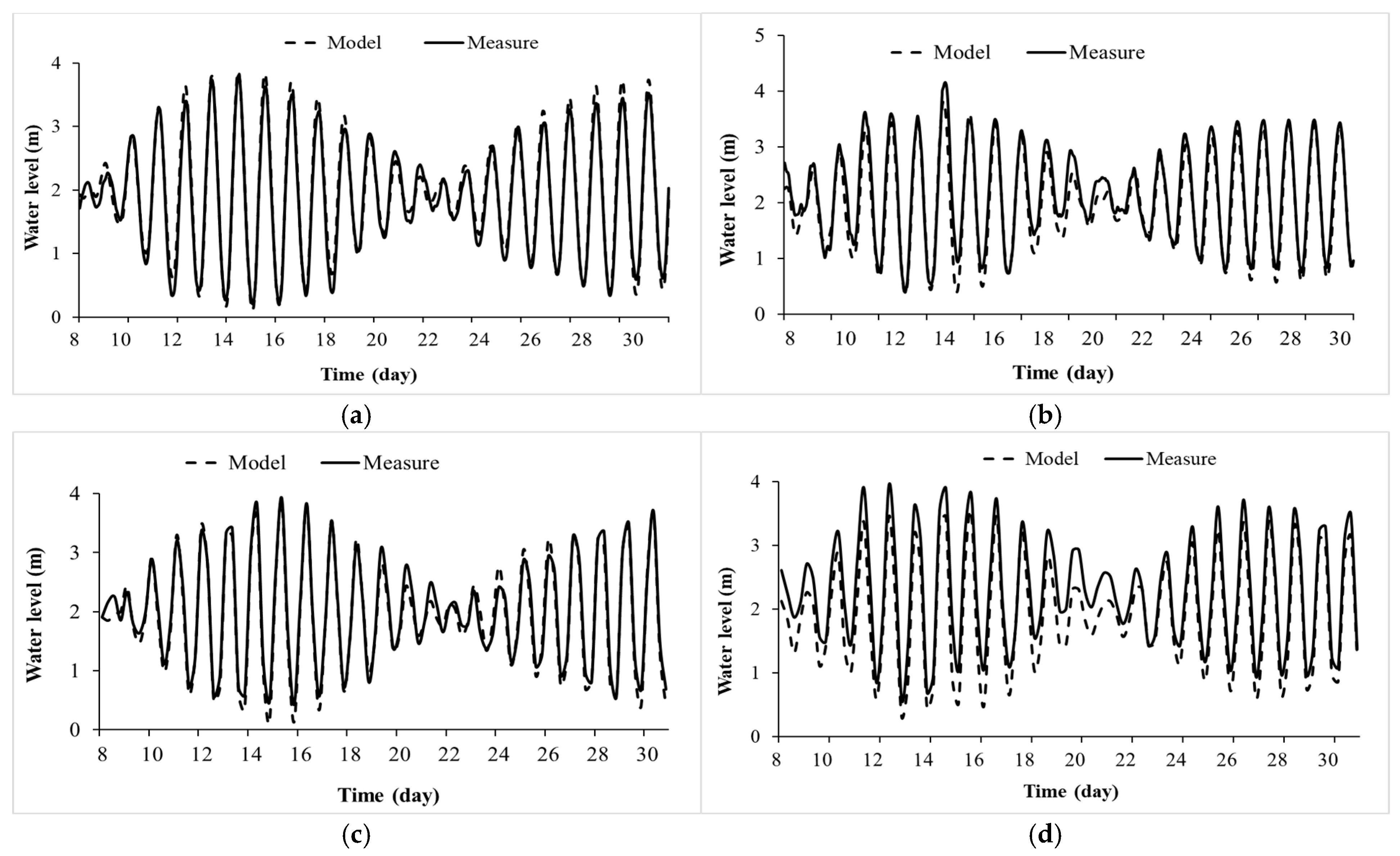
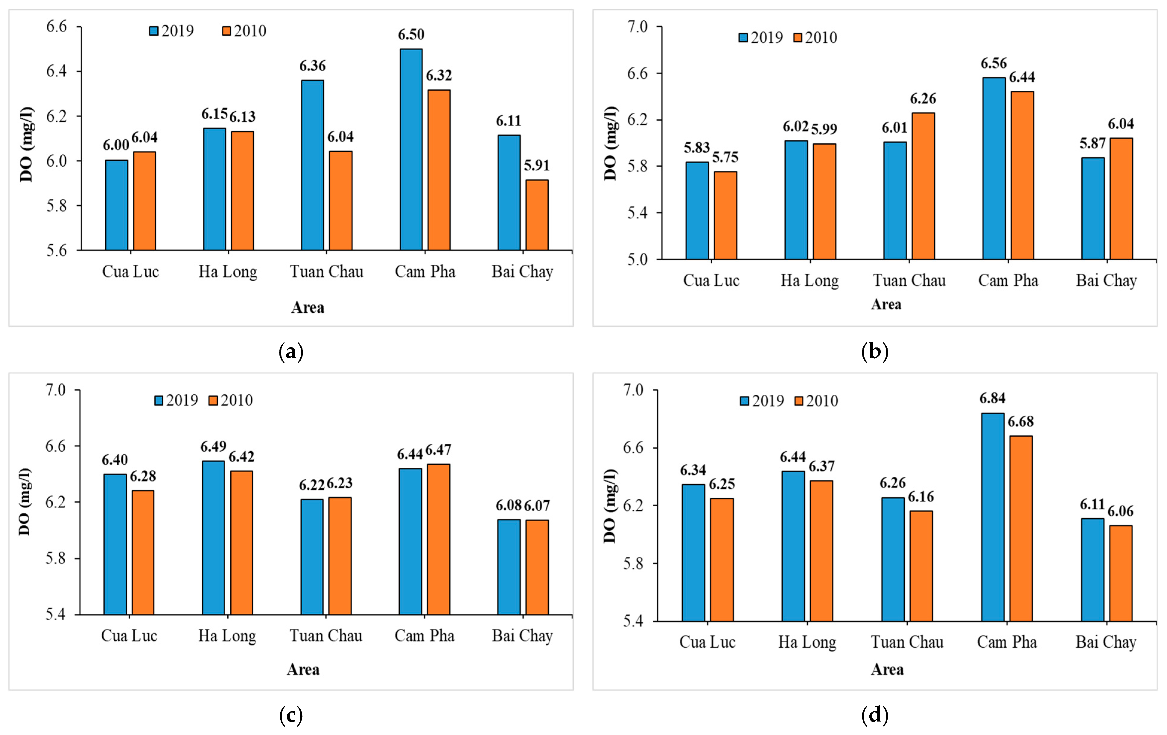
3.1. Model Validation’s Results
3.2. Impact of Human Activities and Climate Change on Hydrodynamics
3.3. Impact of Human Activities on Ecosystem Variables of Water Quality
3.3.1. Individual Impact Due to Increased Sources of Pollutants
3.3.2. Specific Impacts Due to Land Reclamation
3.4. Impact of Climate Change on Ecosystem Variables of Water Quality
3.5. Impact of Human Activities and Climate Change on Ecosystem Variables of Water Quality
4. Discussion
4.1. Impact of Human Activities
4.2. Impact of Climate Change
4.3. Combined Impact of Humans and Climate Change
5. Conclusions
Author Contributions
Funding
Data Availability Statement
Acknowledgments
Conflicts of Interest
References
- Costanza, R.; de Groot, R.; Sutton, P.; van der Ploeg, S.; Anderson, S.J.; Kubiszewski, I.; Farber, S.; Turner, R.K. Changes in the Global Value of Ecosystem Services. Glob. Environ. Chang. 2014, 26, 152–158. [Google Scholar] [CrossRef]
- Waters, C.N.; Zalasiewicz, J.; Summerhayes, C.; Barnosky, A.D.; Poirier, C.; Gałuszka, A.; Cearreta, A.; Edgeworth, M.; Ellis, E.C.; Ellis, M.; et al. The Anthropocene Is Functionally and Stratigraphically Distinct from the Holocene. Science 2016, 351, aad2622. [Google Scholar] [CrossRef] [PubMed]
- Vegas-Vilarrúbia, T.; Hernández, E.; Rull, V.; Rull Vegas, E. The Orinoco Megadelta as a Conservation Target in the Face of the Ongoing and Future Sea Level Rise. Sci. Total Environ. 2015, 515–516, 129–142. [Google Scholar] [CrossRef]
- Karl, T.R.; Trenberth, K.E. Modern Global Climate Change. Science 2003, 302, 1719–1723. [Google Scholar] [CrossRef] [PubMed]
- Halpern, B.S.; Walbridge, S.; Selkoe, K.A.; Kappel, C.V.; Micheli, F.; D’Agrosa, C.; Bruno, J.F.; Casey, K.S.; Ebert, C.; Fox, H.E.; et al. A Global Map of Human Impact on Marine Ecosystems. Science 2008, 319, 948–952. [Google Scholar] [CrossRef]
- Grimm, N.B.; Faeth, S.H.; Golubiewski, N.E.; Redman, C.L.; Wu, J.; Bai, X.; Briggs, J.M. Global Change and the Ecology of Cities. Science 2008, 319, 756–760. [Google Scholar] [CrossRef] [PubMed]
- Hamlington, B.D.; Strassburg, M.W.; Leben, R.R.; Han, W.; Nerem, R.S.; Kim, K.Y. Uncovering an Anthropogenic Sea-Level Rise Signal in the Pacific Ocean. Nat. Clim. Chang. 2014, 4, 782–785. [Google Scholar] [CrossRef]
- Jackson, J.B.C.; Kirby, M.X.; Berger, W.H.; Bjorndal, K.A.; Botsford, L.W.; Bourque, B.J.; Bradbury, R.H.; Cooke, R.; Erlandson, J.; Estes, J.A.; et al. Historical Overfishing and the Recent Collapse of Coastal Ecosystems. Science 2001, 293, 629–637. [Google Scholar] [CrossRef]
- Beman, J.M.; Chow, C.E.; King, A.L.; Feng, Y.; Fuhrman, J.A.; Andersson, A.; Bates, N.R.; Popp, B.N.; Hutchins, D.A. Global Declines in Oceanic Nitrification Rates as a Consequence of Ocean Acidification. Proc. Natl. Acad. Sci. USA 2011, 108, 208–213. [Google Scholar] [CrossRef]
- Jenamani, R. Analysis of Ocean-Atmospheric Features Associated with Extreme Temperature Variation over East Coast of India-A Special Emphasis to Orissa Heat Waves of 1998 and 2005. MAUSAM 2012, 63, 401–422. [Google Scholar] [CrossRef]
- Defeo, O.; McLachlan, A.; Schoeman, D.S.; Schlacher, T.A.; Dugan, J.; Jones, A.; Lastra, M.; Scapini, F. Threats to Sandy Beach Ecosystems: A Review. Estuar. Coast. Shelf Sci. 2009, 81, 1–12. [Google Scholar] [CrossRef]
- Bi, X.; Lu, Q.; Pan, X. Coastal Use Accelerated the Regional Sea-Level Rise. Ocean Coast. Manag. 2013, 82, 1–6. [Google Scholar] [CrossRef]
- Guilherme Becker, C.; Dalziel, B.D.; Kersch-Becker, M.F.; Park, M.G.; Mouchka, M. Indirect Effects of Human Development Along the Coast on Coral Health. Biotropica 2013, 45, 401–407. [Google Scholar] [CrossRef]
- Furby, K.A.; Apprill, A.; Cervino, J.M.; Ossolinski, J.E.; Hughen, K.A. Incidence of Lesions on Fungiidae Corals in the Eastern Red Sea Is Related to Water Temperature and Coastal Pollution. Mar. Environ. Res. 2014, 98, 29–38. [Google Scholar] [CrossRef]
- Elliott, M.; Cutts, N.D.; Trono, A. A Typology of Marine and Estuarine Hazards and Risks as Vectors of Change: A Review for Vulnerable Coasts and Their Management. Ocean Coast. Manag. 2014, 93, 88–99. [Google Scholar] [CrossRef]
- Parry, M.L.; Canziani, O.F.; Palutikof, J.P.; van der Linden, P.J.; Hanson, C.E. AR4 Climate Change 2007; Synthesis Report IPCC: Geneva, Switzerland, 2007. [Google Scholar]
- Delpla, I.; Jung, A.V.; Baures, E.; Clement, M.; Thomas, O. Impacts of Climate Change on Surface Water Quality in Relation to Drinking Water Production. Environ. Int. 2009, 35, 1225–1233. [Google Scholar] [CrossRef] [PubMed]
- Whitehead, P.G.; Wilby, R.L.; Battarbee, R.W.; Kernan, M.; Wade, A.J. A Review of the Potential Impacts of Climate Change on Surface Water Quality. Hydrol. Sci. J. 2009, 54, 101–123. [Google Scholar] [CrossRef]
- Cox, B.A.; Whitehead, P.G. Impacts of Climate Change Scenarios on Dissolved Oxygen in the River Thames, UK. Hydrol. Res. 2009, 40, 138–152. [Google Scholar] [CrossRef]
- Hosseini, N.; Johnston, J.; Lindenschmidt, K.E. Impacts of Climate Change on the Water Quality of a Regulated Prairie River. Water 2017, 9, 199. [Google Scholar] [CrossRef]
- Alam, A.; Badruzzaman, A.B.M.; Ali, M.A. Assessing Effect of Climate Change on the Water Quality of the Sitalakhya River Using WASP Model. J. Civ. Eng. 2013, 41, 21–30. [Google Scholar]
- Ducharne, A.; Baubion, C.; Beaudoin, N.; Benoit, M.; Billen, G.; Brisson, N.; Garnier, J.; Kieken, H.; Lebonvallet, S.; Ledoux, E.; et al. Long Term Prospective of the Seine River System: Confronting Climatic and Direct Anthropogenic Changes. Sci. Total Environ. 2007, 375, 292–311. [Google Scholar] [CrossRef]
- Monteith, D.T.; Stoddard, J.L.; Evans, C.D.; De Wit, H.A.; Forsius, M.; Høgåsen, T.; Wilander, A.; Skjelkvåle, B.L.; Jeffries, D.S.; Vuorenmaa, J.; et al. Dissolved Organic Carbon Trends Resulting from Changes in Atmospheric Deposition Chemistry. Nature 2007, 450, 537–540. [Google Scholar] [CrossRef]
- Fellman, J.B.; Hood, E.; Edwards, R.T.; D’Amore, D.V. Changes in the Concentration, Biodegradability, and Fluorescent Properties of Dissolved Organic Matter during Stormflows in Coastal Temperate Watersheds. J. Geophys. Res. 2009, 114, 1021. [Google Scholar] [CrossRef]
- Lu, C.; Zhang, J.; Tian, H.; Crumpton, W.G.; Helmers, M.J.; Cai, W.J.; Hopkinson, C.S.; Lohrenz, S.E. Increased Extreme Precipitation Challenges Nitrogen Load Management to the Gulf of Mexico. Commun. Earth Environ. 2020, 1, 21. [Google Scholar] [CrossRef]
- Chang, H.; Evans, B.M.; Easterling, D.R. The Effects of Climate Change on Stream Flow and Nutrient Loading. J. Am. Water Resour. Assoc. 2001, 37, 973–985. [Google Scholar] [CrossRef]
- Pédrot, M.; Dia, A.; Davranche, M.; Bouhnik-Le Coz, M.; Henin, O.; Gruau, G. Insights into Colloid-Mediated Trace Element Release at the Soil/Water Interface. J. Colloid Interface Sci. 2008, 325, 187–197. [Google Scholar] [CrossRef] [PubMed]
- Bhat, S.; Hatfield, K.; Jacobs, J.M.; Lowrance, R.; Williams, R. Surface Runoff Contribution of Nitrogen during Storm Events in a Forested Watershed. Biogeochemistry 2007, 85, 253–262. [Google Scholar] [CrossRef]
- Drewry, J.J.; Newham, L.T.H.; Croke, B.F.W. Suspended Sediment, Nitrogen and Phosphorus Concentrations and Exports during Storm-Events to the Tuross Estuary, Australia. J. Environ. Manag. 2009, 90, 879–887. [Google Scholar] [CrossRef]
- Coulliette, A.D.; Noble, R.T. Impacts of Rainfall on the Water Quality of the Newport River Estuary (Eastern North Carolina, USA). J. Water Health 2008, 6, 473–482. [Google Scholar] [CrossRef]
- Whitehead, P.G.; Barbour, E.; Futter, M.N.; Sarkar, S.; Rodda, H.; Caesar, J.; Butterfield, D.; Jin, L.; Sinha, R.; Nicholls, R.; et al. Impacts of Climate Change and Socio-Economic Scenarios on Flow and Water Quality of the Ganges, Brahmaputra and Meghna (GBM) River Systems: Low Flow and Flood Statistics. Environ. Sci. Process. Impacts 2015, 17, 1057–1069. [Google Scholar] [CrossRef] [PubMed]
- Dalla Valle, M.; Codato, E.; Marcomini, A. Climate Change Influence on POPs Distribution and Fate: A Case Study. Chemosphere 2007, 67, 1287–1295. [Google Scholar] [CrossRef]
- Jin, L.; Whitehead, P.G.; Sarkar, S.; Sinha, R.; Futter, M.N.; Butterfield, D.; Caesar, J.; Crossman, J. Assessing the Impacts of Climate Change and Socio-Economic Changes on Flow and Phosphorus Flux in the Ganga River System. Environ. Sci. Process. Impacts 2015, 17, 1098–1110. [Google Scholar] [CrossRef]
- Whitehead, P.G.; Wilby, R.L.; Butterfield, D.; Wade, A.J. Impacts of Climate Change on In-Stream Nitrogen in a Lowland Chalk Stream: An Appraisal of Adaptation Strategies. Sci. Total Environ. 2006, 365, 260–273. [Google Scholar] [CrossRef] [PubMed]
- Jeppesen, E.; Søndergaard, M.; Jensen, J.P.; Havens, K.E.; Anneville, O.; Carvalho, L.; Coveney, M.F.; Deneke, R.; Dokulil, M.T.; Foy, B.; et al. Lake Responses to Reduced Nutrient Loading–an Analysis of Contemporary Long-term Data from 35 Case Studies. Freshw. Biol. 2005, 50, 1747–1771. [Google Scholar] [CrossRef]
- Schirmer, M.; Schuchardt, B. Assessing the Impact of Climate Change on the Weser Estuary Region: An Interdisciplinary Approach. Clim. Res. 2001, 18, 133–140. [Google Scholar] [CrossRef][Green Version]
- Mujere, N.; Moyce, W. Climate Change Impacts on Surface Water Quality. In Environmental Sustainability and Climate Change Adaptation Strategies; Ganpat, W., Isaac, W.-A., Eds.; IGI Global Scientific Publishing: Hershey, PA, USA, 2017; pp. 322–340. ISBN 9781522516088. [Google Scholar]
- Vinh, V.D.; Hai, N.M.; Thao, N.V. Impacts of Landfill on Sediment Transport and Deposition in Ha Long- Bai Tu Long Coastal Area. Vietnam J. Mar. Sci. Technol. 2019, 19, 19–31. [Google Scholar]
- Vinh, V.D.; Hai, N.M.; Khanh, D.G. Impacts of Pollution Discharges from Dinh Vu Industrial Zone on Water Quality in the Hai Phong Coastal Area. Vietnam J. Mar. Sci. Technol. 2020, 20, 173–187. [Google Scholar] [CrossRef]
- Nguyen, H.M.; Ouillon, S.; Vu, V.D. Sea Level Variation and Trend Analysis by Comparing Mann–Kendall Test and Innovative Trend Analysis in Front of the Red River Delta, Vietnam (1961–2020). Water 2022, 14, 1709. [Google Scholar] [CrossRef]
- Vu Duy, V.; Ouillon, S.; Nguyen Minh, H. Sea Surface Temperature Trend Analysis by Mann-Kendall Test and Sen’s Slope Estimator: A Study of the Hai Phong Coastal Area (Vietnam) for the Period 1995-2020. Vietnam J. Earth Sci. 2022, 44, 73–91. [Google Scholar] [CrossRef] [PubMed]
- Vinh, V.D.; Hai, N.M.; Purayil, S.P.; Lacroix, G.; Duong, N.T. Seasonal Variation of Coastal Currents and Residual Currents in the CAT BA–HA Long Coastal Area (VIET NAM): Results of Coherens Model. Reg. Stud. Mar. Sci. 2024, 80, 103874. [Google Scholar] [CrossRef]
- Vinh, V.D.; Ouillon, S.; Thanh, T.D.; Chu, L. V Impact of the Hoa Binh Dam (Vietnam) on Water and Sediment Budgets in the Red River Basin and Delta. Hydrol. Earth Syst. Sci. 2014, 18, 3987–4005. [Google Scholar] [CrossRef]
- Weatherall, P.; Marks, K.M.; Jakobsson, M.; Schmitt, T.; Tani, S.; Arndt, J.E.; Rovere, M.; Chayes, D.; Ferrini, V.; Wigley, R. A New Digital Bathymetric Model of the World’s Oceans. Earth Space Sci. 2015, 2, 331–345. [Google Scholar] [CrossRef]
- Egbert, G.D.; Svetlana, Y.E. Efficient Inverse Modeling of Barotropic Ocean Tides in: Journal of Atmospheric and Oceanic Technology. J. Atmos. Ocean Technol. 2002, 19, 183–204. [Google Scholar] [CrossRef]
- Hersbach, H.; Bell, B.; Berrisford, P.; Hirahara, S.; Horányi, A.; Muñoz-Sabater, J.; Nicolas, J.; Peubey, C.; Radu, R.; Schepers, D.; et al. The ERA5 Global Reanalysis. Q. J. R. Meteorol. Soc. 2020, 146, 1999–2049. [Google Scholar] [CrossRef]
- Copernicus Marine Service. Global Ocean Physics Analysis and Forecast. Marine Data Store. Available online: https://data.marine.copernicus.eu/product/GLOBAL_MULTIYEAR_PHY_001_030/description (accessed on 10 January 2024).
- The Ministry of Natural Resources and Environment (MONRE). Climate Change for Vietnam, Updated 2020; Environmental Resources and Maps Publishing House: Vietnam, 2020; ISBN 978-604-952-687-9. Available online: https://pilot.dcc.gov.vn/en/publications/scenario-of-climate-change-sea-level-1508 (accessed on 10 January 2024).
- Delft Hydraulics. Delft3D-FLOW User Manual; Deltares: Delft, The Netherlands, 2003. [Google Scholar]
- Nash, J.E.; Sutcliffe, J. V River Flow Forecasting through Conceptual Models Part I—A Discussion of Principles. J. Hydrol. 1970, 10, 282–290. [Google Scholar] [CrossRef]
- Chai, T.; Draxler, R.R. Root Mean Square Error (RMSE) or Mean Absolute Error (MAE)?—Arguments against Avoiding RMSE in the Literature. Geosci. Model Dev. 2014, 7, 1247–1250. [Google Scholar] [CrossRef]
- Viney, N.R.; Perraud, J.-M.; Vaze, J.; Chiew, F.H.S.; Post, D.A.; Yang, A. The Usefulness of Bias Constraints in Model Calibration for Regionalisation to Ungauged Catchments. In Proceedings of the 18th World IMACS/MODSIM Congress, Cairns, Australia, 13–17 July 2009; pp. 1247–1250. Available online: http://mssanz.org.au/modsim09 (accessed on 12 November 2024).
- Phiri, O.; Mumba, P.; Moyo, B.H.Z.; Kadewa, W. Assessment of the Impact of Industrial Effluents on Water Quality of Receiving Rivers in Urban Areas of Malawi. Int. J. Environ. Sci. Technol. 2005, 2, 237–244. [Google Scholar] [CrossRef]
- Muwanga, A.; Barifaijo, E. Impact of Industrial Activities on Heavy Metal Loading and Their Physico-Chemical Effects on Wetlands of Lake Victoria Basin (Uganda). Afr. J. Sci. Technol. 2006, 7, 51–63. [Google Scholar] [CrossRef]
- Bini, M.; Rossi, V. Climate Change and Anthropogenic Impact on Coastal Environments. Water 2021, 13, 1182. [Google Scholar] [CrossRef]
- Atasoy, M.; Palmquist, R.B.; Phaneuf, D.J. Estimating the Effects of Urban Residential Development on Water Quality Using Microdata. J. Environ. Manag. 2006, 79, 399–408. [Google Scholar] [CrossRef]
- Vitousek, P.M.; Aber, J.D.; Howarth, R.W.; Likens, G.E.; Matson, P.A.; Schindler, D.W.; Schlesinger, W.H.; Tilman, D.G. Technical Report: Human Alteration of the Global Nitrogen Cycle: Sources and Consequences. Ecol. Appl. 1997, 7, 737. [Google Scholar] [CrossRef]
- Malone, T.C.; Newton, A. The Globalization of Cultural Eutrophication in the Coastal Ocean: Causes and Consequences. Front. Mar. Sci. 2020, 7, 558977. [Google Scholar] [CrossRef]
- Miller, W.; Harding, L., Jr. Climate Forcing of the Spring Bloom in Chesapeake Bay. Mar. Ecol. Prog. Ser. 2007, 331, 11–22. [Google Scholar] [CrossRef]
- IPCC AR5. Climate Change 2013–The Physical Science Basis; Working Group I Contribution to the Fifth Assessment Report of the Intergovernmental Panel on Climate Change; Cambridge University Press: Cambridge, UK, 2013. [Google Scholar] [CrossRef]
- Schmidtko, S.; Stramma, L.; Visbeck, M. Decline in Global Oceanic Oxygen Content during the Past Five Decades. Nature 2017, 542, 335–339. [Google Scholar] [CrossRef]
- Oschlies, A.; Brandt, P.; Stramma, L.; Schmidtko, S. Drivers and Mechanisms of Ocean Deoxygenation. Nat. Geosci. 2018, 11, 467–473. [Google Scholar] [CrossRef]
- Keeling, R.F.; Körtzinger, A.; Gruber, N. Ocean Deoxygenation in a Warming World. Ann. Rev. Mar. Sci. 2010, 2, 199–229. [Google Scholar] [CrossRef] [PubMed]
- Bopp, L.; Resplandy, L.; Orr, J.C.; Doney, S.C.; Dunne, J.P.; Gehlen, M.; Halloran, P.; Heinze, C.; Ilyina, T.; Séférian, R.; et al. Multiple Stressors of Ocean Ecosystems in the 21st Century: Projections with CMIP5 Models. Biogeosciences 2013, 10, 6225–6245. [Google Scholar] [CrossRef]
- Van der Molen, J.; Aldridge, J.N.; Coughlan, C.; Parker, E.R.; Stephens, D.; Ruardij, P. Modelling Marine Ecosystem Response to Climate Change and Trawling in the North Sea. Biogeochemistry 2013, 113, 213–236. [Google Scholar] [CrossRef]
- Diaz, R.J.; Rosenberg, R. Spreading Dead Zones and Consequences for Marine Ecosystems. Science 2008, 321, 926–929. [Google Scholar] [CrossRef] [PubMed]
- Staehr, P.A.; Testa, J.; Carstensen, J. Decadal Changes in Water Quality and Net Productivity of a Shallow Danish Estuary Following Significant Nutrient Reductions. Estuaries Coasts 2017, 40, 63–79. [Google Scholar] [CrossRef]
- Mahaffey, C.; Palmer, M.; Greenwood, N.; Sharples, J. Impacts of Climate Change on Dissolved Oxygen Concentration Relevant to the Coastal and Marine Environment around the UK. MCCIP Sci. Rev. 2020, 2002, 31–53. [Google Scholar] [CrossRef]
- Cai, M.; Liu, Y.; Chen, K.; Huang, D.; Yang, S. Quantitative Analysis of Anthropogenic Influences on Coastal Water–A New Perspective. Ecol. Indic. 2016, 67, 673–683. [Google Scholar] [CrossRef]
- Wang, H.; Codiga, D.L.; Stoffel, H.; Oviatt, C.; Huizenga, K.; Grear, J. Effect of Nutrient Reductions on Dissolved Oxygen and PH: A Case Study of Narragansett Bay. Front. Mar. Sci. 2024, 11, 1374873. [Google Scholar] [CrossRef]

















| Pollutant | Domestic | Aquaculture | Livestock | Industry | Total |
|---|---|---|---|---|---|
| 2019 | |||||
| COD | 18,688.6 | 201.53 | 13,079.4 | 160,965 | 192,934.5 |
| BOD5 | 11,680.4 | 57.21 | 8179.8 | 57,535.3 | 77,452.7 |
| NO3− + NO2− | 28.5 | 0.37 | 64.1 | 672 | 764.99 |
| NH4+ | 854.7 | 8.87 | 1539.5 | 16,504.4 | 18,907.48 |
| PO43− | 85.5 | 14.92 | 282.9 | 462.7 | 846 |
| 2030 | |||||
| COD | 32,092.3 | 206.5 | 16,921.3 | 327,670.5 | 376,890.6 |
| BOD5 | 20,057.6 | 58.7 | 10,582.8 | 120,742.8 | 151,441.8 |
| NO3− + NO2− | 48.9 | 0.4 | 85.1 | 923.6 | 1058.04 |
| NH4+ | 1467.6 | 9.1 | 2042.6 | 23,210.2 | 26,729.49 |
| PO43− | 146.7 | 15.3 | 367.5 | 988.6 | 1518.1 |
| Area | 2010 | 2019 | Reclaimed Land Area |
|---|---|---|---|
| Cua Luc Bay | 2288.0 | 1868.8 | 419.2 |
| Bai Chay–Tuan Chau | 4770.3 | 3546.1 | 1224.2 |
| Cam Pha | 7132.5 | 6553.8 | 578.8 |
| Cam Pha–Van Don | 16,851.9 | 16,060.8 | 791.1 |
| Year | Scenario Group 1 Climate Change (RCP8.5) | Scenarios Group 2 Human Activities | Scenario Group 3 Combine: Climate Change Plus Human Activities |
|---|---|---|---|
| 2010 | Before land reclamation, sea encroachment (2010) | ||
| 2019 |
| ||
| 2030 |
| Increasing of riverine input: BOD + 95.5% COD + 95.3% NO3 + 38.3% NH4 + 41.4% PO4 + 79.4% (2030h) | Combination of scenario group 1 and group 2 (2030h-cc) |
| 2050 |
| Same as scenario 2030 (pollution controlled) | Combination of scenario group 1 and group 2 (2050h-cc) |
| Station | Parameters | Coefficients | ||
|---|---|---|---|---|
| NSE | RMSE | BIAS | ||
| Hon Dau, Bai Chay | Water level | 0.91–0.97 | 0.15–0.23 | −0.12–0.17 |
| Cua Luc, Ha Long, Tuan Chau, and Cam Pha | Current magnitude | 0.55–0.65 | 0.03–0.05 | −0.03–0.06 |
| Current direction | 0.58–0.71 | 23.2–35.5 | −10.2–20.3 | |
| Cua Luc, Ha Long, Tuan Chau, and Cam Pha | BOD5, COD | 0.54–0.67 | 0.15–0.29 | −0.001–0.004 |
| NO3−, NH4+, PO43− | 0.56–0.68 | 3.3–5.2 | −1.79–0.91 | |
| Season | Location | Scenarios | ||||
|---|---|---|---|---|---|---|
| 2030h | 2030cc | 2030h-cc | 2050cc | 2050h-cc | ||
| Northeast monsoon | Cua Luc | 0.17 | 0.05 | 0.22 | 0.09 | 0.25 |
| Ha Long | 0.15 | 0.05 | 0.20 | 0.08 | 0.23 | |
| Tuan Chau | 0.18 | 0.07 | 0.24 | 0.12 | 0.29 | |
| Cam Pha | 0.17 | 0.07 | 0.24 | 0.13 | 0.29 | |
| Bai Chay | 0.21 | 0.06 | 0.26 | 0.10 | 0.30 | |
| Average * | 0.17 | 0.06 | 0.23 | 0.10 | 0.27 | |
| Transitional season from northeast to southwest | Cua Luc | 0.15 | 0.03 | 0.18 | 0.04 | 0.39 |
| Ha Long | 0.44 | 0.04 | 0.47 | 0.05 | 0.37 | |
| Tuan Chau | 0.42 | 0.06 | 0.48 | 0.09 | 0.40 | |
| Cam Pha | 0.36 | 0.03 | 0.39 | 0.04 | 0.28 | |
| Bai Chay | 0.09 | 0.06 | 0.15 | 0.09 | 0.17 | |
| Average * | 0.29 | 0.04 | 0.33 | 0.06 | 0.32 | |
| Southwest monsoon | Cua Luc | 0.16 | 0.27 | 0.12 | 0.28 | 0.13 |
| Ha Long | 0.14 | 0.25 | 0.11 | 0.27 | 0.13 | |
| Tuan Chau | 0.15 | 0.28 | 0.13 | 0.31 | 0.17 | |
| Cam Pha | 0.14 | 0.28 | 0.14 | 0.29 | 0.16 | |
| Bai Chay | 0.15 | 0.27 | 0.12 | 0.30 | 0.15 | |
| Average * | 0.15 | 0.27 | 0.13 | 0.29 | 0.15 | |
| Transitional season from southwest to northeast | Cua Luc | 0.12 | 0.02 | 0.14 | 0.03 | 0.15 |
| Ha Long | 0.10 | 0.02 | 0.13 | 0.03 | 0.14 | |
| Tuan Chau | 0.13 | 0.03 | 0.16 | 0.05 | 0.18 | |
| Cam Pha | 0.07 | 0.02 | 0.09 | 0.03 | 0.10 | |
| Bai Chay | 0.15 | 0.03 | 0.18 | 0.04 | 0.20 | |
| Average * | 0.12 | 0.03 | 0.14 | 0.04 | 0.15 | |
Disclaimer/Publisher’s Note: The statements, opinions and data contained in all publications are solely those of the individual author(s) and contributor(s) and not of MDPI and/or the editor(s). MDPI and/or the editor(s) disclaim responsibility for any injury to people or property resulting from any ideas, methods, instructions or products referred to in the content. |
© 2025 by the authors. Licensee MDPI, Basel, Switzerland. This article is an open access article distributed under the terms and conditions of the Creative Commons Attribution (CC BY) license (https://creativecommons.org/licenses/by/4.0/).
Share and Cite
Hai, N.M.; Vinh, V.D.; Ouillon, S.; Lan, T.D.; Duong, N.T. Modelling Impacts of Climate Change and Anthropogenic Activities on Ecosystem State Variables of Water Quality in the Cat Ba–Ha Long Coastal Area (Vietnam). Water 2025, 17, 319. https://doi.org/10.3390/w17030319
Hai NM, Vinh VD, Ouillon S, Lan TD, Duong NT. Modelling Impacts of Climate Change and Anthropogenic Activities on Ecosystem State Variables of Water Quality in the Cat Ba–Ha Long Coastal Area (Vietnam). Water. 2025; 17(3):319. https://doi.org/10.3390/w17030319
Chicago/Turabian StyleHai, Nguyen Minh, Vu Duy Vinh, Sylvain Ouillon, Tran Dinh Lan, and Nguyen Thanh Duong. 2025. "Modelling Impacts of Climate Change and Anthropogenic Activities on Ecosystem State Variables of Water Quality in the Cat Ba–Ha Long Coastal Area (Vietnam)" Water 17, no. 3: 319. https://doi.org/10.3390/w17030319
APA StyleHai, N. M., Vinh, V. D., Ouillon, S., Lan, T. D., & Duong, N. T. (2025). Modelling Impacts of Climate Change and Anthropogenic Activities on Ecosystem State Variables of Water Quality in the Cat Ba–Ha Long Coastal Area (Vietnam). Water, 17(3), 319. https://doi.org/10.3390/w17030319

