Abstract
Traditional wastewater treatment processes still encounter challenges such as the limited treatment efficiency and excessive greenhouse gas emissions, which restrict their application in environmentally sustainable practices. This study developed an A/O biofilm system and assessed the impact of inoculating the system with the heterotrophic nitrification–aerobic denitrification (HN–AD) strain Alcaligenes faecalis WT14 on pollutant removal efficiency and greenhouse gas emissions. A continuous monitoring experiment was conducted over 140 days, comparing the system inoculated with WT14 (the TWT14 system) and the non-inoculated system (the CK system). The results demonstrated that the TWT14 system outperformed the CK system in pollutant removal, with higher NH₄⁺-N, TN, and COD removal efficiencies of 11.22%, 21.96%, and 12.51%, respectively, and the quality of discharge water from TWT14 maintaining compliance with national discharge standards. This improvement underscores the positive impact of inoculation with the WT14 strain on enhancing the pollutant removal performance of the A/O biofilm system. Regarding greenhouse gas emissions, the TWT14 system exhibited a significantly higher N₂O emission flux in the aeration tank compared with the CK system, while CO₂ and CH₄ emissions were predominantly concentrated in the anaerobic tank. Global warming potential (GWP) analysis showed no significant difference in the total average GWP between the two systems. However, the TWT14 system demonstrated a lower GWP per unit of TN removed, highlighting its superior ecological benefits. Environmental factor analysis revealed that the temperature, pH, humidity, and salinity had significant impacts on both pollutant removal efficiency and greenhouse gas emissions. Additionally, microbial community analysis indicated that inoculation with the WT14 strain enhanced microbial diversity and richness within the A/O biofilm system, with Alcaligenes and norank_f_JD30-KF-CM45 playing key roles in nitrogen removal. This study provides valuable insights for optimizing A/O biofilm system design and offers scientific guidance for the sustainable upgrading of wastewater treatment technologies.
1. Introduction
In the context of global urbanization and industrialization, the rising discharge of domestic wastewater poses a substantial challenge to the effective management of water pollution. This wastewater is characterized by high concentrations of organic matter and nutrients, which collectively threaten the integrity of aquatic ecosystems. While the conventional activated sludge method is commonly utilized in sewage treatment, it is not without its drawbacks, including suboptimal treatment performance, high energy consumption, and negative environmental impacts, particularly in light of increasingly stringent emission regulations. Consequently, there is a pressing need for research and development in sewage treatment technologies that focus on generating more efficient solutions. The anaerobic/oxic (A/O) process is recognized as a highly effective technology for sewage treatment [1]. In comparison with ecological treatment processes, such as constructed wetlands and ecological ponds, it exhibits significantly improved denitrification efficiency. In the traditional A/O process, biological denitrification serves as the core mechanism, encompassing two primary reactions: oxic nitrification and anoxic denitrification. These biochemical reactions are mediated by specific functional microorganisms located within designated reaction zones, thereby increasing the financial burden on sewage treatment facilities [2]. Furthermore, the conventional A/O process produces a significant quantity of residual sludge, which not only constitutes a considerable energy burden but also presents substantial challenges in terms of disposal [3]. Furthermore, the carbon-to-nitrogen ratio (C/N) in domestic wastewater is relatively low, which renders it susceptible to inadequate denitrification carbon sources. This deficiency ultimately results in ineffective removal outcomes. Research has indicated that the integration of the A/O process with a biofilm process, referred to as the A/O biofilm system, is an effective approach for the removal of NH4+-N, TN, and COD, while simultaneously reducing sludge production [4].
The implementation of microbial-mediated bio-enhancement technology presents a cost-effective and efficient approach to denitrification. The application of oxic denitrifying bacteria effectively addresses the need to separate nitrification and denitrification processes, thereby contributing to cost reduction [5]. Research has demonstrated that the bio-enhancement of HN–AD bacteria enhances biofilm formation and facilitates the concurrent removal of nitrogen pollutants and organic matter. Enhancing the performance of HN–AD bacteria has the potential to significantly improve the denitrification efficiency of wastewater treatment systems, thereby facilitating effective nitrogen removal in water treatment processes. Alcaligenes faecalis WT14, isolated from the wetland sediment with Myriophyllum aquaticum, has been classified as an HN–AD bacterium and has exhibited a substantial denitrification effect on simulated wastewater when subjected to optimal conditions [6]. The operation of wastewater treatment systems results in the generation of various greenhouse gases, with N₂O, CH₄, and CO₂ being the most significant emissions. In the context of biological denitrification, N₂O is identified as a direct source of carbon emissions, possessing a global warming potential that is 265 times greater than that of CO₂ [7]. Concurrently, research indicates that methane accounts for approximately 20% of the greenhouse effect, with approximately 5% of global methane emissions originating from wastewater treatment processes. Alterations to either the external or internal environment can substantially affect the microbial community and the expression of functional genes within a wastewater treatment system [8]. The composition of the microbial community is essential for the efficient removal of pollutants and the stable functioning of the treatment system [9]. The incorporation of functional microorganisms into wastewater treatment processes has been demonstrated to facilitate microbial proliferation and improve denitrification efficiency [10].
The optimization of wastewater treatment processes is essential as it seeks to minimize emissions while simultaneously analyzing the composition of microbial communities. This approach aims to improve the efficiency of wastewater treatment while also enhancing the understanding of the role that microorganisms play in this process. There is currently a paucity of literature focused on the enhancement of the A/O biofilm system through the integration of HN–AD bacteria. In light of the current research landscape, this study developed an HN–AD-enhanced A/O biofilm system. Over a period of 140 days, the study investigated and analyzed the removal efficiencies of NH4+-N, TN, and COD, alongside the characteristics of GHG emissions and the composition of the microbial community within the system. The significance of this research is underscored by several key aspects: (1) a systematic comparison of the enhancement effects on pollutant removal efficiency in the A/O biofilm system following the inoculation with specific strains, (2) a comprehensive assessment of the environmental impacts of both systems in terms of global warming potential (GWP), (3) an exploration of the mechanisms by which environmental factors influence pollutant removal and GHG emissions in the A/O biofilm system, and (4) an analysis of how the inoculation with the WT14 strain affects the microbial diversity and functional capabilities of the biofilm system. The findings of this research are anticipated to provide a theoretical basis for the design and optimization of the A/O biofilm system, as well as to offer scientific guidance for the environmentally sustainable advancement of sewage treatment technologies. Through a thorough examination and evaluation, this study aspires to contribute novel insights and methodologies for the application of the A/O biofilm system in sewage treatment, thereby promoting the evolution of sewage treatment technologies toward improved efficiency and enhanced environmental compatibility.
2. Materials and Methods
2.1. Experimental Setup
The experimental apparatus employed in this study was constructed from stainless steel and consisted of several essential components, including a wastewater inlet tank, water inlet pipe, peristaltic pump, reactor, aeration pump, and drain pipe. As illustrated in Figure 1, the reactor possesses an effective volume of 355.2 L and is structured as a two-stage water treatment system, comprising an anaerobic tank and an aeration tank. The respective volumes of the anaerobic tank and aeration tank were 144 L and 288 L. In this study, two sets of apparatus were established and subjected to two different conditions: the first set operated without the inoculation of the system with WT14 (designated as the CK system), while the second set included the inoculation of the system with WT14 (designated as the TWT14 system). Based on the preliminary experimental results, the total hydraulic retention time for each system was set to 5 days. A mixed carbon source, composed of straw stalk (25%, based on COD) and sodium citrate (75%), was added to the anaerobic tank. The COD ratio of the external carbon source to the influent COD was maintained at about 3:1. And the dissolved oxygen (DO) levels in the aeration tank were maintained at 2.53 ± 0.1 mg/L [6]. The system operated for a total duration of 140 days.
Figure 1.
Schematic diagram of the test setup.
2.2. Wastewater
The influent for the experiment was actual domestic sewage, which was collected every 5 days from the sewage collection tank at the student dormitory of the Institute of Subtropical Agriculture, Chinese Academy of Sciences. The main water quality parameters are presented in Table 1.
Table 1.
Test wastewater characteristics.
2.3. Carriers and Inoculum
The biological carrier material used was polypropylene rope-like material. The heterotrophic nitrification–aerobic denitrification (HN–AD) inoculation bacteria in the aeration tank were identified as Alcaligenes faecalis WT14 (GenBank No. MN578054), which was isolated from the sediment of a surface flow constructed wetland with Myriophyllum aquaticum [6]. Prior to the initiation of the experiment, the HN–AD bacteria were cultivated in a heterotrophic nitrification medium. The medium, maintained at a pH of 7.0, comprised the following components: ammonium sulfate (0.482 g/L), trisodium citrate (4.7 g/L), dipotassium hydrogen phosphate (0.2 g/L), magnesium sulfate heptahydrate (0.05 g/L), sodium chloride (0.12 g/L), manganese sulfate tetrahydrate (0.01 g/L), and ferrous sulfate (0.01 g/L). The HN–AD bacteria, which demonstrated an optical density (OD600) of 1.0 ± 0.1, were utilized in the experimental procedure. Following this procedure, centrifugation was performed at 4000 rpm for a duration of 10 min. Subsequently, the bacteria were resuspended in a 0.9% NaCl solution to restore the original volume. This procedure was conducted three times, after which the bacteria were preserved for subsequent use.
2.4. Sampling Methods
Upon the initiation of the apparatus, water samples were collected from three designated locations: the water intake point, the outlet of the anaerobic zone, and the outlet of the oxic zone. The sampling process was conducted daily, with each collection resulting in a yield of 250 milliliters of water. For each sampling location, three sets of parallel control groups were established. After the samples were collected, filtration was performed, and the concentrations of pollutants were assessed. Additionally, gas samples were collected from both the anaerobic and aeration tanks at five-day intervals using a custom-designed gas collection apparatus, with the samples being stored in 12 mL vacuum bottles. Simultaneously, the temperature within the apparatus was monitored. Every 20 days, biofilm carriers were randomly selected from the aeration tank for subsequent analysis. To maintain the integrity of the biofilm, the collected samples were immersed in a 2.5% glutaraldehyde solution and stored at 4 °C for the assessment of microorganism-related indicators.
2.5. Methods of Analysis
Prior to analysis, the water samples were subjected to filtration using a 0.45 μm filter membrane. The concentration of NH₄⁺-N was directly measured using a flow injection analyzer (AA3, SEAL, Germany). The TN in the water samples was determined using a flow injection analyzer following digestion with alkaline potassium persulfate. The COD was assessed using the dichromate method and quantified with an ultraviolet spectrophotometer (Shimadzu UV2600, Kyoto, Japan). The optical density at 600 nm (OD600) was measured using ultraviolet spectrophotometry. Additionally, the pH, dissolved oxygen (DO), and temperature (T) were assessed using a portable multi-parameter water quality tester (YSI ProPlus). The concentrations of nitrous oxide (N₂O), methane (CH₄), and carbon dioxide (CO₂) were quantified using gas chromatography (Agilent 1890D, Santa Clara, CA, USA).
2.6. DNA Extraction
DNA was extracted from the biofilm using a DNA extraction kit (DNAeasyPowerSoil Kit, QIAGEN, Hilden, Germany). The extraction of total DNA from the precipitates was performed according to the manufacturer’s instructions provided with the PowerSoil kit. The integrity of the extracted DNA was assessed using 1% agarose gel electrophoresis. Additionally, the concentration and purity of the DNA were evaluated using a micro-nucleic acid and protein analyzer (Nanodrop ND-1000 UV-Vis spectrophotometer, USA). All DNA samples were subsequently diluted to a concentration of 5 ng/μL. To avoid repeated freeze–thaw cycles, the DNA was divided into multiple aliquots and stored at −20 °C for subsequent use.
2.7. High-Throughput Sequencing
The bacterial 16S ribosomal RNA (rRNA) was selected for high-throughput sequencing. Universal primers were employed for the polymerase chain reaction (PCR) amplification of the bacterial 16S rRNA. The upstream primer utilized in this study was 338 F (5′-ACTCCTACGGGAGGCAGCAG-3′), whereas the downstream primer employed was 806 R (5′-GGACTACHVGGGTWTCTAAT-3′). The PCR amplification system was prepared with a total volume of 50 μL, comprising 2 μL of each primer (10 μM), 25 μL of Premix Ex Taq, and 25.0 ng of the DNA template. After amplification, the PCR products were recovered through 2% agarose gel electrophoresis to isolate the amplified fragments. The purified fragments were then processed using the Gel Extraction Kit (D25500-02, OMEGA, BioTek, Shoreline, WA, USA). The sequence library was prepared following the protocols specified in the TruSeq Nano DNA LT Library Prep Kit (Illumina, San Diego, CA, USA). Sequencing was performed using the Illumina MiSeq PE300 platform, which was developed by Shanghai Majorbio Bio-Pharm Technology Co., Ltd. (web address: https://cloud.majorbio.com/page/project/overview.html, accessed on 12 December 2024, Shanghai, China).
2.8. Determination of Microbial Molecular Diversity
Upon completion of the sequencing process, sequences shorter than 250 base pairs or those with a quality score below 30 were excluded from the sequence database. The remaining sequences were then analyzed through operational taxonomic unit (OTU) clustering at a 97% similarity threshold, using the UPARSE algorithm. The Mothur software was employed to analyze the Chao index, Shannon index, and ACE index on sequences exhibiting greater than 97% homology, consistent with the findings of the OTU clustering analysis. In addition to the data on species richness, variations in community structure across the different samples were further examined. Furthermore, the relationships among the microbial community structure, denitrification processes, emission reduction effects, and environmental factors were explored using the Pearson correlation coefficient.
2.9. Data Analysis
- (1)
- Calculation of removal rate
- (2)
- Gas flux calculations
- (3)
- Global Warming Potential (GWP) Calculations
The combined evaluation index GWP represents the relative warming capacity of each ecosystem. The GWP of GHG emissions from the A/O biofilm system in this study can be calculated as follows [11]:
where GWP is the global warming potential of CH4 and N2O emissions in g/(m2·d); F(CH4), F(CO2), and F(CO2) are CH4 and N2O fluxes in g/(m2·d); and 26 and 265 are constants for converting CH4 and N2O into CO2 emission equivalents over a 100-year time horizon.
- (4)
- Variance comparison and correlation analysis
The data were statistically analyzed using Excel 2021 and SPSS 25.0 software, data were averaged and standard errors were taken in replicated trials, and differences between the different treatment groups of the trial were analyzed using one-way ANOVA (one-way analysis of variance).
3. Results and Discussion
3.1. Characteristics of Pollutant Removal in the A/O Biofilm Systems
In this study, two A/O biofilm systems, designated as CK and TWT14, were continuously monitored over a period of 140 days. Figure 2 presents the concentrations of NH₄⁺-N, TN, and COD in the effluent, along with their respective removal rates. In the A/O biofilm system inoculated with the WT14 strain (TWT14 system), the average removal rates of NH₄⁺-N, TN, and COD in the effluent were observed to be 93.52%, 78.67%, and 91.63%, respectively. Compared with the CK system, which was not inoculated with the WT14 strain, the removal rates exhibited significant increases of 11.22%, 21.96%, and 12.51% (p < 0.05). The removal rates for the CK system were 82.3%, 56.71%, and 79.12%. The results demonstrated that the injection of WT14 substantially improved the removal efficiency of the A/O biofilm system. Additionally, the mean concentrations of NH4+-N, TN, and COD in the domestic wastewater effluent treated by the WT14-enhanced A/O biofilm system in this study were recorded as 2.69 ± 1.16 mg/L, 11.56 ± 2.51 mg/L, and 22.00 ± 7.95 mg/L, respectively. The measured values were all below the standard limit values established for Class I-A, as specified in the “Pollutant Emission Standards for Urban Wastewater Treatment Plants”. The maximum allowable concentrations of NH4+-N, TN, and COD were 8 mg/L, 15 mg/L, and 50 mg/L, respectively. This finding not only corroborates the system’s high efficiency in reducing pollutant concentrations but also underscores its potential and feasibility in practical sewage treatment applications.
Figure 2.
Pollutant concentration and removal rate of effluent from A/O biofilm system, where (a) shows ammonia concentration and removal rate, (b) shows TN concentration and removal rate, and (c) shows COD concentration and removal rate.
The findings indicated that the TWT14 system exhibited significantly higher pollutant removal efficiency compared with the CK system. Similarly, the research by Liu Huan et al. [12] shows that when the C/N ratio was 4 in the oxic granular sludge system introduced with HN–AD bacteria (the H-ABGS system), the total nitrogen removal efficiency of the H-ABGS was 12.05% higher than that of the traditional bacteria–algae symbiotic oxic granular sludge system (the ABGS system) and 44.86% higher than that of the oxic granular sludge (the AGS system). The enhanced pollutant removal capacity of the A/O biofilm system inoculated with WT14 could be attributed to changes in the microbial community, which improved the system’s ability in decomposing and transforming organic substances and nitrogen compounds in sewage. Furthermore, the enhanced removal efficiency of the TWT14 system indicated that it offered significant environmental and economic advantages by decreasing pollutant emissions in wastewater. It is imperative to highlight that the effluent quality produced by the TWT14 system adhered to the national discharge standards that have been established. This approach not only reduces the environmental impacts associated with wastewater discharge but also provides reliable technical support for the operational implementation of sewage treatment technologies. The results of this study offer a scientific foundation for the ongoing optimization and expanded application of the A/O biofilm system in sewage treatment processes. Furthermore, they provide suggestions for future research initiatives and practical applications.
3.2. Characteristics of GHG Emissions in A/O Biofilm Systems
During the operation of the system, gas samples were collected from both the anaerobic tank and the aeration tank at five-day intervals to monitor the concentration variations of N₂O, CO₂, and CH₄. Figure 3 depicts the temporal trends in the emission fluxes of various GHGs. During the operational phase of the system, the emission fluxes of N₂O in the aeration tanks of the CK system and the TWT14 system (ranging from 1.06 to 22.69 mg/(m²·d) and from 1.18 to 29.99 mg/(m²·d), respectively) were markedly higher than those observed in the anaerobic tanks (ranging from 0.09 to 8.47 mg/(m²·d) and from 0.08 to 9.25 mg/(m²·d), respectively). The findings indicated that within the A/O biofilm system, the emission of N₂O was predominantly concentrated in the aeration tank. For CO₂ emissions, the CO₂ emission fluxes in the anaerobic tanks of the CK system and the TWT14 system (ranging from 729.76 to 24,904.01 mg/(m²·d) and from 776.46 to 25,681.87 mg/(m²·d), respectively) were markedly higher than those in the aeration tanks (ranging from 453.56 to 6433.96 mg/(m²·d) and from 328.22 to 7978.11 mg/(m²·d), respectively). This indicated that the primary contributor to CO₂ emissions within the A/O biofilm system was the anaerobic tank. Furthermore, the CH₄ emission fluxes in the anaerobic tanks of the two systems (ranging from 14.23 to 3894.74 mg/(m²·d) and from 12.63 to 3029.04 mg/(m²·d)) were also significantly higher than those in the aeration tanks (ranging from 0.14 to 4.42 mg/(m²·d) and from 0.20 to 3.93 mg/(m²·d)). As with CO₂ emissions, CH₄ emissions were similarly concentrated in the anaerobic tank. It is noteworthy that after the system stabilized, the mean N₂O emission flux in the aeration tank of the TWT14 system was significantly higher than that of the CK system (9.93 mg/(m²·d)), with a statistically significant difference (p < 0.05).
Figure 3.
Greenhouse gas emission fluxes from aeration tanks (a) and oxic tanks (b) of A/O biofilm systems.
Table 2 compares the total global warming potential (GWP) of the CK system and the TWT14 system in the anaerobic tank and the aeration tank, as well as the GWP generated during the removal of a unit mass of TN and COD (GWP/TN and GWP/COD). The results demonstrated that there was no statistically significant difference (p > 0.05) in the mean total GWP values between the two systems, which were 36.90 ± 6.06 mg/(m²·d) and 36.10 ± 4.15 mg/(m²·d). The results observed in this study may be attributed to the comparable GHG emission fluxes exhibited by both the CK system and the TWT14 system. Furthermore, no significant difference (p > 0.05) was observed in the GWP/COD values between the two systems. Nevertheless, the GWP/TN value of the TWT14 system was significantly lower than that of the CK system (p < 0.05). This finding indicated that the TWT14 system generated a smaller GWP value when processing a unit mass of TN. The A/O biofilm system, when inoculated with the strain WT14, demonstrated a significant potential for enhanced pollutant removal efficiency, thereby providing substantial ecological and environmental advantages.
Table 2.
GWP values and GWP/TN and GWP/COD during system operation.
The two A/O biofilm systems analyzed in this study revealed that N₂O emissions were predominantly localized in the aeration tank, where elevated concentrations of DO were observed. Conversely, the emission were significantly reduced under conditions of low DO, which was consistent with the findings of He et al. [13]. In contrast, the emission of N₂O in the anaerobic tank was relatively low. This phenomenon could be attributed to the predominance of ammonium nitrogen (NH₄⁺-N) in the influent, which was known to inhibit the nitrification process due to the low levels of DO observed in this study [14]. Although the anoxic environment provided conducive conditions for the denitrification process, the low concentration of NO₃⁻-N restricted the significant emission of N₂O within the anaerobic tank [15]. The emission of N₂O in the aeration tank of the TWT14 system was observed to be higher than that in the CK system. The observed phenomenon could be attributed to the introduction of the HN–AD bacterium WT14 into the system, as well as the inconsistencies in the microbial community structure that existed within the system. These discrepancies may have a substantial impact on the processes of nitrification and denitrification, which are essential to microbial metabolic activities, particularly in the production of N₂O.
Meanwhile, the elevated emission fluxes of CO₂ and CH₄ observed in the anaerobic tank provided additional evidence for the generation of these gases during the anaerobic decomposition of organic matter under anaerobic conditions [16]. The released quantity of carbon demonstrated a positive correlation with the level of CO₂ emissions when rice straw was employed as a carbon source [17]. The carbon source played a crucial role in facilitating the mineralization of microorganisms [18]. The carbon content within the system exhibited a strong correlation with the activities, growth, and metabolic processes of microorganisms. The previously discussed microbial activities contributed to the emission of CO₂ within the system [19]. The elevated concentration of methane CH₄ emissions observed in the anaerobic tank could be attributed to the anoxic environment, which was demonstrated to facilitate the growth and metabolic activities of methanogenic bacteria [20,21]. The methanogenic bacteria utilized the organic acids produced from the decomposition of rice straw by microorganisms within the anaerobic tank, thereby facilitating the production of methane CH₄. This resulted in the concentrated emission of CH₄ within the anaerobic tank.
The GWP serves as a critical metric for measuring the impacts of GHGs; the value of GWP is directly associated with the potential contribution of these gases to global climate change. In this study, although there was no significant difference in the average total GWP values between the two systems, the TWT14 system performed better in terms of TN removal efficiency per unit mass, which may be related to the characteristics of the inoculation strain WT14. The implementation of WT14 had a substantial impact on the pollutant removal efficiency of the system (p > 0.01), which may be attributed to advancements in both the structural composition and functional capabilities of the microbial community [6]. The TWT14 system demonstrated considerable efficacy in nitrogen removal, accompanied by a reduced global warming potential to total nitrogen (GWP/TN) ratio. This indicated a lower environmental impact while effectively eliminating pollutants. The characteristic of the TWT14 system not only emphasized the efficiency of pollutant removal but also aligned with the principles of environmental sustainability. Consequently, this characteristic of the TWT14 system may enhance its potential influence on future environmental management strategies, particularly in the context of global warming and initiatives aimed at reducing GHG emissions.
3.3. The Impacts of Environmental Factors on Pollutant Removal and GHG Emissions from A/O Biofilm Systems
Figure 4a depicts the complex interrelationships among environmental factors, the concentrations of COD in the effluent from the anaerobic tank, and the associated GHG emissions. The results indicated a strong positive correlation (p < 0.01) between the COD levels in the effluent and both temperature (T) and pH, suggesting that optimal conditions for temperature and pH may have facilitated the degradation of organic matter, leading to increased COD concentrations. Furthermore, CO₂ emissions exhibited a significant positive relationship (p < 0.01) with COD concentrations, temperature, and pH levels, which may be associated with the metabolic activities of organic matter in anaerobic conditions. Notably, CO₂ emissions displayed a strong negative correlation (p < 0.01) with both relative humidity (RH) and salinity (SAL), implying that elevated levels of humidity and salinity may impede the metabolic processes of microorganisms. Furthermore, the substantial positive correlation (p < 0.01) observed between CH₄ emissions and both temperature and pH levels underscored the impacts of environmental factors on gas production during the anaerobic digestion process. The significant negative correlation (p < 0.01) identified with SAL suggested that increased salinity levels may hinder the activity of methanogenic bacteria.
Figure 4.
Heat map of correlation between environmental factors and water quality change and gas emission in the anaerobic tank (a) and the oxic tank (b).
Figure 4b depicts the correlations between pollutant concentrations and GHG emissions within the aeration tank of the A/O biofilm system, in conjunction with the pertinent environmental variables. The implementation of WT14 markedly improved the pollutant removal efficiency of the system (p > 0.01), a change attributed to enhancements in the structural and functional characteristics of the microbial community. The observed significant negative correlation (p < 0.01) between the concentration of effluent NH₄⁺-N and SAL indicated that salinity may exert an inhibitory effect on the process of ammonia nitrogen removal. The observed significant negative correlation (p < 0.01) between the concentration of effluent NO₃⁻-N and pH, along with significant positive correlations (p < 0.01) with RH and DO, underscores the sensitivity of the nitrification process to varying environmental conditions. Ultimately, the substantial negative correlation (p < 0.01) observed between the concentration of COD and SAL underscores the potential inhibitory effect of salinity on the degradation of organic matter.
In the anaerobic digestion process, temperature and pH were identified as two critical parameters that significantly affected the degradation of organic matter and the production of methane. An increase in temperature typically enhances the metabolic processes of microorganisms, consequently accelerating the decomposition of organic matter. However, excessively elevated temperatures may result in the thermal inactivation of microorganisms. It is imperative to meticulously control the temperature throughout the anaerobic digestion process. The influence of pH levels on anaerobic digestion is notably substantial as most anaerobic microorganisms demonstrate optimal growth in environments that are neutral or nearly neutral in pH. At the same time, the pH of the solution can also influence the structural properties of the pollutants to some extent [22]. In this study, the concentration of COD in the effluent from the anaerobic tank demonstrated a highly significant positive correlation with both temperature (T) and pH, thereby corroborating the findings of previous research. Furthermore, the incorporation of rice straw into the anaerobic tank may play a crucial role in influencing the concentration of COD in the effluent of the anaerobic system. Research has shown that the release of organic carbon from rice straw exhibits a positive correlation with temperature [23,24]. In the prolonged operation of the system, the initial carbon emissions derived from rice straw predominantly consist of soluble organic matter present on the surface. In contrast, during the later stages, the release of carbon is primarily attributed to the degradation of cellulose, hemicellulose, and lignin, a process that is enhanced by microbial activity. Throughout this process, the metabolic activity of microorganisms is markedly enhanced, resulting in the production and subsequent release of small molecular acidic compounds, predominantly organic acids, into the aqueous environment. Consequently, this phenomenon may lead to a decrease in the pH level within the anaerobic tank, resulting in the effluent from the anaerobic tank displaying weakly acidic characteristics [25]. The emission of CO₂ exhibits a highly significant positive correlation with the concentrations of COD, temperature, and pH levels. At the same time, CO₂ emissions were found to have a highly significant negative correlation with relative RH and SAL, which may be attributed to the inhibitory effects of humidity and salinity on microbial activity. Studies have shown that the performance of HN–AD bacteria can be affected by salinity. In high-salinity environments (salinity ≥ 1%), changes in osmotic pressure can alter the biochemical environment within cells, inhibiting microbial growth and metabolism and even causing toxic effects. Additionally, salting-out effects can occur with dehydrogenases, reducing their activity, leading to cell dehydration, plasmolysis, and even cell rupture or death, which diminishes microbial activity [26]. Wang et al. [27] evaluated the denitrification potential of Halomonas sp. strain B01 under different NaCl concentrations (0, 30, 60, 90, 120, 150, and 180 g/L), finding that the nitrogen removal rate was 96% at 60 g/L NaCl but decreased to 81% when the concentration reached 120 g/L. Similarly, Vibrio diabolicus SF16 [26] demonstrated stable, high ammonia nitrogen removal rates at salinities of 1-5% but almost no ammonia nitrogen removal in the absence of NaCl. Therefore, it is important to explore the impacts of salinity on the A/O biofilm system enhanced by WT14. Research [28] has also highlighted that parameters such as relative humidity and temperature can influence both influent and effluent water quality in water treatment processes. The experimental site was located in a subtropical monsoon climate, characterized by hot and humid summers and cold, damp winters. In the later stages of system operation, a slight increase in humidity was observed (as shown in Figure S2), which may be attributed to increased rainfall. As shown in Figure 4, the release of GHGs was positively correlated with T and negatively correlated with RH. Furthermore, T had a stronger correlation with both pollutant removal and greenhouse gas emissions compared with RH, suggesting that temperature had a greater influence on GHG emissions than RH. Under conditions of higher temperature and lower humidity and salinity, microbial activity was likely to be higher, thereby promoting CO₂ emissions. In the advanced phase of the system’s operation within this research, the persistent decrease in the pH level of the effluent from the anaerobic tank could potentially impede microbial activity, consequently leading to a reduction in the emissions of CO₂ and CH₄ [29]. During the high-temperature period from 0 to 45 days (with an average temperature of 30.90°C), the growth and metabolic activities of microorganisms were enhanced, which promoted the mineralization of straw and consequently led to higher CO₂ emissions [30]. The impacts of soil SAL on CO₂ and CH₄ emissions may be attributed to the observation that elevated levels of SAL resulted in diminished cellular activity, consequently leading to a reduction in the emissions of these two gases.
In the A/O biofilm system, the inoculation with WT14 significantly influenced the efficiency of pollutant removal, which can likely be attributed to the diversity and functionality of the microbial community. The concentration of NH4+-N in the effluent exhibited a highly significant negative correlation with SAL, suggesting that the removal of ammonium nitrogen was more efficient under conditions of reduced salinity. The concentration of NO3−−N in the effluent demonstrated a highly significant negative correlation with pH, alongside a highly significant positive correlation with RH and DO. The observed phenomenon can be attributed to the sensitivity of nitrifying bacteria to fluctuations in pH levels, in addition to the enhancement of the nitrification process facilitated by increased humidity and dissolved oxygen levels [31]. Furthermore, the significant negative correlation between COD concentration and SAL reinforced the notion that organic matter degradation was more effective at lower salinity levels. In this investigation, pH was found to significantly influence the NO3−−N concentration in the aeration basin effluent, likely because HN–AD bacteria favored an alkaline or neutral environment during the denitrification process [6]. During the advanced phases of system operation, a decline in pH levels impeded the aerobic denitrification processes of the system. This resulted in an increase in effluent NO3−−N concentration and a reduction in N2O emission flux [24]. Research indicates that nearly all HN–AD bacteria exhibit enhanced denitrification functionality at low DO concentrations [5], which elucidates the notable rise in NO3−−N concentration in the aeration basin effluent at the onset of system operation. Regarding GHG emissions, N2O emissions displayed a highly significant positive correlation (p < 0.01) with both pH and temperature (T), likely due to the suppression of denitrifying bacterial activity at lower temperatures (the optimal temperature for aerobic denitrification by WT14 bacteria is 20.1 °C) [6]. Additionally, as shown in Figure S3, during the 140−day operation of the system in this study, the T ranged from 5.58 °C to 35.42 °C, exhibiting a downward trend. Notably, after 90 days of operation, the temperature remained below 20 °C. As a result, the effluent pollutant concentration increased, and the GHG emission flux decreased. These findings showed the performances of the wastewater treatment system would be affected by the outside temperature, and more attention to outflow water quality control was needed for its application in a cold winter. CO2 and CH4 emissions were similarly influenced by environmental factors, akin to those observed in anaerobic ponds, and both exhibited highly significant negative correlations with SAL (p < 0.01) and highly significant positive correlations with pH (p < 0.01). It is important to note that all GHG emissions exhibited highly significant negative correlations with effluent NO3−−N concentration. This indicated that nitrate nitrogen concentration may inhibit certain gas−producing microorganisms. The observed correlation between N2O emissions and effluent NO3−-N concentration indicated that N2O emissions primarily arose from the reverse digestion process occurring in the aeration tank [32]. In conclusion, the concentration of NO3−-N in the effluent of the aeration basin was predominantly influenced by variations in pH and DO, while N2O emissions were primarily affected by changes in pH and temperature. The concentration of pollutants in the effluent was predominantly influenced by fluctuations in temperature and pH. Beyond the impacts of environmental factors on pollutant concentrations in the effluent, further investigation is warranted to elucidate the role of the microbial community in influencing pollutant levels within the system.
3.4. Mechanisms of Pollutant Removal and GHG Emissions Induced by Microbial Activity
3.4.1. The Impact of Inoculation Strain WT14 on Biofilm Microbial Communities
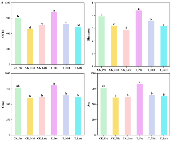
Alpha diversity serves as a quantitative metric for assessing the internal diversity found within a particular area or ecosystem. An increase in its value indicates a rise in both the abundance and the diversity of bacterial populations [33]. In the assessment of alpha diversity, a variety of indices are frequently utilized, including Chao, Shannon, Ace, Simpson, and Coverage, among others. It is essential to recognize that the Chao and Ace indices primarily measure the richness of a community, whereas the Shannon and Coverage indices are utilized to assess the diversity within that community. Figure 5a illustrates the richness and diversity of microbial communities present within the biofilms of the aeration tanks in both systems. In the initial phase of system operation (T_Pre), the OTUs reached a peak of 1018.0, while the Shannon diversity index was recorded at 4.4, and both the Chao and ACE indices were measured at 807.7 and 829.7, respectively, for the TWT14 system. The findings suggested that the introduction of the WT14 strain significantly increased both the diversity and the richness of the microbial community within the A/O biofilm system. During the intermediate phase of system operation (CK_Mid, T_Mid), a notable decline in the indices of both systems was observed, indicating a decrease in the richness and diversity of microorganisms as the operation progressed. In the advanced phase of the CK system’s operation, a notable decline in the Shannon index was observed, whereas the Chao and ACE indices exhibited stability. This suggested that during the later stage of the CK system (CK_Late), a specific microorganism may have established a dominant presence on the carrier, with its ecological role becoming particularly pronounced in the effective treatment of rural domestic sewage. In the later operational phase (T_Late) of the TWT14 system, the Chao and ACE indices were found to be comparable to those observed in the CK system. The Shannon index exhibited a significant increase in the TWT14 system. This observation suggested that the improved nitrogen removal efficiency exhibited by the TWT14 system during this phase was likely correlated with an increase in microbial diversity within its biofilm.


Figure 5.
Composition of microbiological phyla and genera at different stages of operation. (a) New information on the abundance and diversity of microflora in biofilm samples (lower case letters indicate statistically significant differences, p < 0.05). (b,c) The composition and distribution of bacterial colonies at the phylum taxonomic level (TOP10), respectively. (d) A heat map of the distribution of bacterial colonies at the genus level. Pentagrams label HN–AD bacteria, and triangles label denitrifying bacteria.
Utilizing high-throughput sequencing data, we conducted an analysis of the phylum-level diversity of microorganisms present in biofilms, as well as the distribution of their predominant flora across various operational stages. The relevant findings are illustrated in Figure 5b,c. The bioaugmentation strain WT14 did not alter the composition of the dominant microorganisms at the phylum level; however, it significantly affected their relative abundance. In this study, the predominant phyla identified within the two A/O biofilm systems were Proteobacteria, Firmicutes, and Actinobacteriota. The relative abundance of Proteobacteria varied between 31.12% and 73.97%, while the relative abundance of Firmicutes ranged from 13.98% to 54.94%. During the intermediate phase of system operation, a significant increase in the relative abundances of Firmicutes was observed in both the CK system and the TWT14 system. Furthermore, the relative abundance of Actinobacteriota exhibited variability, with values ranging from 3.04% to 26.47%. Furthermore, the relative abundance of Bacteroidota varied between 0.32% and 22.80%, a fluctuation that may be associated with the integration of rice straw into the system.
Throughout various phases of system operation, the introduction of strain WT14 had a significant effect on both the composition and distribution of the microbial community within the biofilm. Proteobacteria, a prominent phylum relevant to sewage treatment, includes a wide variety of species that are essential for denitrification, methane oxidation, and numerous other metabolic processes [34,35]. The significant relative abundances of these species are likely to be instrumental in the efficient removal of COD and TN within the A/O biofilm system. Notably, the phylum Proteobacteria encompasses several genera that exhibit HN–AD capabilities, including Acinetobacter, Pseudomonas, Rhodobacter, Hydrogenophaga, and Alcaligenes faecalis, among others [6,36,37]. The inoculation with the WT14 strain within the TWT14 system may explain the observed increase in the relative abundance of Proteobacteria in the TWT14 system compared with the CK system during the initial phase of operation. Firmicutes, a prominent group of heterotrophic microorganisms, play a vital role in the biogeochemical cycles of organic carbon and protein. The process is capable of decomposing volatile fatty acids, such as butyrate and propionate, into hydrogen, acetate, and carbon dioxide [38,39]. This process may clarify the observed decrease in pH levels within the aeration tank during the intermediate phase of system operation. Furthermore, Firmicutes also has the capacity to enhance the ammonia conversion rate within the system, which may be attributed to its cell wall structure, electron transfer, and intrinsic nitrogen removal capabilities. Furthermore, it encompasses genera that demonstrate the ability for aerobic denitrification, including Bacillus [40]. Actinobacteriota is involved in the catalytic degradation of macromolecular sugars and organic compounds found in agricultural waste biomass [41]. Conversely, Bacteroidota is often detected in denitrification systems in which lignocellulose acts as the principal carbon source [42]. Furthermore, it is recognized as a prevalent type of HN–AD bacteria [41].
The analysis of Figure 5d indicates that the predominant bacterial genera identified in the biofilm samples exhibited significant variations across the different operational stages of the A/O biofilm system. During the CK_Pre, Chryseobacterium was identified as the dominant bacterial genus, followed by Glutamicibacter and Stenotrophomonas. During the T_Pre phase, Alcaligenes and Chryseobacterium were identified as the predominant genera of bacteria within the biofilm. The two systems exhibited comparable levels of Chryseobacterium abundance; however, a significantly higher presence was observed in the CK system. Furthermore, it is essential to emphasize that Alcaligenes was rarely detected during the CK_Pre stage; however, in the T_Pre stage, the relative abundance of Alcaligenes reached its maximum level. This observation suggests that the strain WT14 exhibited effective proliferation during this period. During the intermediate phase of system operation, the dominant bacterial genus within the biofilm of the CK system transitioned to Bacillus, which achieved a relative abundance of 41.22%. The genera identified subsequently were Acinetobacter and Enterobacter. In contrast, the TWT14 system demonstrated a reduction in the relative abundance of Alcaligenes, while Pseudomonas and Bacillus emerged as the predominant bacterial genera. By the final stage of system operation, the leading bacterial genera in the CK system included Pseudomonas, Massilia, and Xanthobacter, whereas the TWT14 system was characterized by the presence of Microbacterium, Pseudomonas, and Bacillus as the dominant genera. Furthermore, traditional denitrification-associated bacterial genera, including Clostridium_sensu_stricto_l and Bosea, were identified during the later stages of system operation.
Prior to the initiation of operations in the TWT14 system, the aeration tank was inoculated with the WT14 strain. At the conclusion of the operational phase, the relative abundance of Alcaligenes decreased from 8.10% to 0.60%. The observed decline may be attributed to the comparatively limited competitive advantage of strain WT14 when juxtaposed with the indigenous microorganisms present within the A/O biofilm system. The incorporation of specific strains exhibiting high adaptability and specialized functions, such as Pseudomonas and Bacillus, during the biological treatment process facilitated the development of species with targeted functionalities. This practice altered the composition of the microbial community, thereby enhancing the efficacy of pollutant removal [43]. In the present study, bioaugmentation did not consistently lead to the establishment of the strain WT14 as the dominant bacterial genus within the A/O biofilm system. Nonetheless, it facilitated the proliferation of diverse bacterial species possessing heterotrophic HN–AD capabilities, including Pseudomonas [44] and Bacillus [45], among others. The findings presented herein aligned with the research outcomes documented by Hong [46], Xiang [47], and Zhao [48]. The identification of traditional denitrifying bacterial genera has substantiated the simultaneous occurrence of both oxic and anoxic denitrification processes. The anoxic conditions that develop within the biofilm create an environment that promotes the proliferation of these microorganisms [49]. Clostridium_sensu_stricto_l, a member of the Firmicutes phylum, possesses the capability to decompose organic materials and generate small-molecule acids under anoxic conditions [50]. Furthermore, it contributes to the processes of dissimilatory nitrate reduction and denitrification. Bosea demonstrates denitrification capabilities, enabling the removal of nitrate from water, while also significantly contributing to the degradation of lignocellulose [51].
3.4.2. The Relationship Between Pollutant Removal Efficiency and GHG Emissions in the A/O Biofilm System and the Corresponding Microbial Community
Figure 6 illustrates the intricate interrelationships between the composition of the microbial community, the concentrations of pollutants present in the system effluent, the emissions of GHGs, and various environmental factors. Alcaligenes and the taxonomic group norank_f_JD30-KF-CM45 were identified as significant contributors to the enhancement of nitrogen removal efficiency within the A/O biofilm system. The prevalence of Alcaligenes exhibited a significant negative correlation with the concentrations of effluent NH4+-N and NO3−-N (p < 0.05), highlighting its critical role in the efficiency of nitrogen removal by Alcaligenes. Numerous microorganisms belonging to the Alcaligenes genus demonstrated a significant capacity for the effective removal of nitrogen. Alcaligenes faecalis NR exhibited the capacity to eliminate 300 mg/L of NH4+-N within a 24 h period [52]. Furthermore, Alcaligenes faecalis TF-1 exhibited the ability to remove 52.87 mg/L of NH4+-N in environments characterized by elevated salinity levels [53]. Furthermore, Alcaligenes faecalis WT14 exhibited the ability to attain a TN removal rate of 99.3% in simulated sewage under optimal conditions [6]. In accordance with the behavior exhibited by numerous oxic denitrifying bacteria, a substantial negative correlation was observed between the levels of DO and the abundance of Alcaligenes (p < 0.05). This indicated that Alcaligenes exhibited enhanced denitrifying activity in environments characterized by low concentrations of DO [54]. Furthermore, this finding was consistent with the observation that DO levels demonstrated a highly significant positive correlation with the concentration of NO3−-N in the effluent (p < 0.01). Norank_f_JD30-KF-CM45 was classified within the phylum Chlorobi and was identified as a denitrifying bacterium [13]. This finding suggested that anoxic denitrification played a significant role in the overall denitrification process occurring within the A/O biofilm system.
Figure 6.
Heat map of correlation of bacterial genera with pollutant concentrations, GHG emissions, and environmental factors. ** indicates significant correlation at the 0.01 level (two-sided); * indicates significant correlation at the 0.05 level (two-sided).
4. Conclusions
In this study, two A/O biofilm systems, namely, the CK system and the TWT14 system, were observed over 140 days to evaluate their efficiencies in removing NH₄⁺-N, TN, and COD, alongside analyzing the characteristics of greenhouse gas emissions. The results demonstrated that the TWT14 system, inoculated with the WT14 strain, exhibited significantly enhanced pollutant removal efficiencies compared with the CK system. Specifically, the average removal rates for NH₄⁺-N, TN, and COD in the TWT14 system were 93.52%, 78.67%, and 91.63%, respectively. These values were significantly higher than those observed in the CK system, which were 82.3%, 56.71%, and 79.12%. Furthermore, the effluent quality produced by the TWT14 system met national discharge standards, highlighting its potential for practical application in wastewater treatment. The TWT14 system also demonstrated a lower GWP when TN was removed per unit mass, suggesting that it offered enhanced ecological benefits. Environmental factors significantly influenced the removal efficiency and the greenhouse gases emissions, with temperature and pH identified as the primary determinants. Additionally, the analysis of the microbial community revealed that the TWT14 system, after being inoculated with the WT14 strain, exhibited increased microbial diversity during the later operational stages. The increase in microbial diversity was closely associated with the observed enhancements in nitrogen removal efficiency. These findings lay a scientific foundation for optimizing and scaling the application of the A/O biofilm system in wastewater treatment. Future studies should focus on scaling the A/O biofilm system for large-scale applications and further optimizing its performance under real environmental conditions. Further research on microbial community dynamics and strategies to minimize greenhouse gas emissions will be beneficial to carbon emission reduction.
Supplementary Materials
The following supporting information can be downloaded at: https://www.mdpi.com/article/10.3390/w17020162/s1, Figure S1. Polypropylene rope carrier. The polypropylene rope support has a length of 500 mm, a diameter of approximately 50 mm, a specific surface area ranging from 5600 to 6500 m²/m³, a density of 0.9–0.91 g/cm³, and a specific gravity of approximately 0.9. Figure S2. Humidity changes during system operation. Figure S3. Temperature changes during system operation.
Author Contributions
Conceptualization, F.L. and P.P.; methodology, B.W. and Y.W.; software, Y.W., B.W. and Z.O.; validation, P.P., M.Z. and S.Z.; formal analysis, Y.W. and B.W.; investigation, Y.W. and B.W.; resources, F.L.; data curation, Y.W., B.W. and Z.O.; writing—original draft preparation, Y.W. and B.W.; writing—review and editing, Y.W., F.L. and P.P.; visualization, Y.W. and B.W.; supervision, F.L.; project administration, F.L.; funding acquisition, F.L. All authors have read and agreed to the published version of the manuscript.
Funding
This research was funded by the National Key Research and Development Program of China (2024YFD1700300 and 2024YFD1700302), the National Natural Science Foundation of China (42077316), Hunan Youth Science and Technology Talent Project (2022RC1127), and the Science and Technology Cooperation Program of Hunan Province (2023WK2003).
Data Availability Statement
Data will be made available upon request.
Conflicts of Interest
The authors declare that they do not have any commercial or associative interest that represents a conflict of interest in connection with the work submitted.
References
- Meng, Q.; Zhou, Y.; Cui, Z. Application of A/O-MBR in Livestock and Poultry Breeding Wastewater. Technol. Water Treat. 2024, 50, 87–90. [Google Scholar]
- Zhao, B.; Tian, M.; An, Q.; Ye, J.; Guo, J.S. Characteristics of a heterotrophic nitrogen removal bacterium and its potential application on treatment of ammonium-rich wastewater. Bioresour. Technol. 2017, 226, 46–54. [Google Scholar] [CrossRef] [PubMed]
- Feng, Z. Study on the Treatment of High Nitrogenwastewater in Townships by MABRenhanced AO Process. Master’s Thesis, Chongqing Jiaotong University, Chongqing, China, 2023. [Google Scholar]
- Liu, W.; Hao, S.; Ma, B.; Zhang, S.; Li, J. In-situ fermentation coupling with partial-denitrification/anammox process for enhanced nitrogen removal in an integrated three-stage anoxic/oxic (A/O) biofilm reactor treating low COD/N real wastewater. Bioresour. Technol. 2022, 344, 126267. [Google Scholar] [CrossRef]
- Xi, H.P.; Zhou, X.T.; Arslan, M.; Luo, Z.J.; Wei, J.; Wu, Z.R.; El-Din, M.G. Heterotrophic nitrification and aerobic denitrification process: Promising but a long way to go in the wastewater treatment. Sci. Total Environ. 2022, 805, 150212. [Google Scholar] [CrossRef]
- Chen, J.; Xu, J.; Zhang, S.; Liu, F.; Peng, J.; Peng, Y.; Wu, J. Nitrogen removal characteristics of a novel heterotrophic nitrification and aerobic denitrification bacteria, Alcaligenes faecalis strain WT14. J. Environ. Manag. 2021, 282, 111961. [Google Scholar] [CrossRef]
- Hao, X.D.; Yang, Z.L.; Yu, W.B.; Liu, R.B. N2O Emission from the Processes ofWastewater Treatment: Mechanisms andControl Strategies. Chin. J. Environ. Sci. 2023, 44, 1163–1173. [Google Scholar] [CrossRef]
- Fang, P.; Li, Y.; Wei, D.; Jin, D. Microbial community diversity and its response to environmental factors during sewage treatment. Microbiol. China 2020, 47, 3004–3020. [Google Scholar]
- Gu, Y.F.; Wei, Y.; Xiang, Q.J.; Zhao, K.; Yu, X.M.; Zhang, X.P.; Li, C.N.; Chen, Q.; Xiao, H.; Zhang, X.H. C:N ratio shaped both taxonomic and functional structure of microbial communities in livestock and poultry breeding wastewater treatment reactor. Bioresour. Technol. Rep. 2019, 651, 625–633. [Google Scholar] [CrossRef]
- Bohui, W. Study on Enrichment and Domestication of Cold-Resistant Denitrogenation Functional Floraand Nitrogen Removal Characteristics of Efficient Strain. Master’s Thesis, Hebei Uniersity of Science and Technology, Shijiazhuang, China, 2022. [Google Scholar]
- Du, Y.; Pan, K.; Yu, C.; Luo, B.; Gu, W.; Sun, H.; Min, Y.; Liu, D.; Geng, Y.; Han, W.; et al. Plant diversity decreases net global warming potential integrating multiple functions in microcosms of constructed wetlands. J. Clean. Prod. 2018, 184, 718–726. [Google Scholar] [CrossRef]
- Liu, H.; Yang, C.; Qin, S.; Long, K.; Zhao, T.; Zhang, Q. Effects of C/N on the treatment of rura!wastewater by HN-AD bacterial-algalgranular sludge system. China Environ. Sci. 2024, 44, 1296–1306. [Google Scholar] [CrossRef]
- Wang, K.; Zhou, C.T.; Zhou, H.; Jiang, M.; Chen, G.; Wang, C.; Zhang, Z.J.; Zhao, X.D.; Jiang, L.M.; Zhou, Z. Comparison on biological nutrient removal and microbial community between full-scale anaerobic/anoxic/aerobic process and its upgrading processes. Bioresour. Technol. 2023, 374, 128757. [Google Scholar] [CrossRef] [PubMed]
- Wang, X.F.; Bengtsson, S.; Oehmen, A.; Carvalho, G.; Werker, A.; Reis, M.A.M. Application of dissolved oxygen (DO) level control for polyhydroxyalkanoate (PHA) accumulation with concurrent nitrification in surplus municipal activated sludge. New Biotechnol. 2019, 50, 37–43. [Google Scholar] [CrossRef] [PubMed]
- Li, S.; Gong, F.; Qi, F.; Sun, S.; Sun, Z. Study on the Production Characteristics of Nitrous Oxide in Wastewater Biochemical Treatment Process. J. Saf. Environ. 2012, 12, 75–80. [Google Scholar]
- Yan, X.; Han, Y.; Li, Q.; Xue, Z.; Zhang, C.; Sun, J. Greenhouse Gas Emission during Wastewater Treatment Processes. Environ. Chem. 2015, 34, 853–862. [Google Scholar]
- Ge, G.; Pan, D.; Zheng, Y.; Xiong, X.; Lin, S.; Wang, Y.; Hu, R. Nitrogen removal of wastewater with lowC/N ratio by straw and steel slag mixed fillers. J. Agro-Environ. Sci. 2024, 43, 906–915. [Google Scholar]
- Shen, Z.; Shi, B.; Wang, B.; Jiang, H. The Temperature Dependence of Soil Organicmatter Decomposition and CO2 Efflux: A Review. Act. Ecol. Sin. 2013, 33, 3011–3019. [Google Scholar] [CrossRef]
- Wang, B.; Li, H.; Du, X.; Cai, Y.; Peng, J.; Zhang, S.; Liu, F. Characteristics of Greenhouse Gas Emissions from Constructed Wetlands Vegetated with Myriophyllum aquatic: The Effects of Influent C/N Ratio and Microbial Responses. Water 2024, 16, 308. [Google Scholar] [CrossRef]
- Liu, S.T.; Feng, X.J.; Li, X.N. Bioelectrochemical approach for control of methane emission from wetlands. Bioresour. Technol. 2017, 241, 812–820. [Google Scholar] [CrossRef]
- Wu, H.M.; Zhang, J.; Ngo, H.H.; Guo, W.S.; Liang, S. Evaluating the sustainability of free water surface flow constructed wetlands: Methane and nitrous oxide emissions. J. Clean. Prod. 2017, 147, 152–156. [Google Scholar] [CrossRef]
- Molla, M.A.I.; Furukawa, M.; Tateishi, I.; Katsumata, H.; Kaneco, S. Mineralization of Diazinon with nanosized-photocatalyst TiO2 in water under sunlight irradiation: Optimization of degradation conditions and reaction pathway. Environ. Technol. 2020, 41, 3524–3533. [Google Scholar] [CrossRef]
- Cameron, S.G.; Schipper, L.A. Nitrate removal and hydraulic performance of organic carbon for use in denitrification beds. Ecol. Eng. 2010, 36, 1588–1595. [Google Scholar] [CrossRef]
- Shen, Q.S.; Ji, F.Y.; Wei, J.Z.; Fang, D.X.; Zhang, Q.; Jiang, L.; Cai, A.R.; Kuang, L. The influence mechanism of temperature on solid phase denitrification based on denitrification performance, carbon balance, and microbial analysis. Sci. Total Environ. 2020, 732, 139333. [Google Scholar] [CrossRef] [PubMed]
- Zhang, W.; Zhang, Y.; Yin, L.; Ruan, X. The Characteristics of Carbon Sources Fordenitrification in Groundwater From Tenkinds of Agricultural Wastes. Acta. Sci. Circumst. 2017, 37, 1787–1797. [Google Scholar] [CrossRef]
- Duan, J.; Fang, H.; Su, B.; Chen, J.; Lin, J. Characterization of a halophilic heterotrophic nitrification–aerobic denitrification bacterium and its application on treatment of saline wastewater. Bioresour. Technol. 2015, 179, 421–428. [Google Scholar] [CrossRef]
- Wang, T.; Li, J.; Zhang, L.H.; Yu, Y.; Zhu, Y.M. Simultaneous heterotrophic nitrification and aerobic denitrification at high concentrations of NaCl and ammonia nitrogen by Halomonas bacteria. Water Sci. Technol. 2017, 76, 386–395. [Google Scholar] [CrossRef]
- Zhao, Y.; Sharma, A.; Sivakumar, B.; Marshall, L.; Wang, P.; Jiang, J. A Bayesian method for multi-pollution source water quality model and seasonal water quality management in river segments. Environ. Model. Software 2014, 57, 216–226. [Google Scholar] [CrossRef]
- Sheng, Y.Q.; Zhu, L.Z. Biochar alters microbial community and carbon sequestration potential across different soil pH. Sci. Total Environ. 2018, 622, 1391–1399. [Google Scholar] [CrossRef]
- Ruan, Y.; Kuzyakov, Y.; Liu, X.Y.; Zhang, X.H.; Xu, Q.C.; Guo, J.J.; Guo, S.W.; Shen, Q.R.; Yang, Y.F.; Ling, N. Elevated temperature and CO2 strongly affect the growth strategies of soil bacteria. Nat. Commun. 2023, 14, 391. [Google Scholar] [CrossRef]
- Sun, H.; You, Y.; Zhao, H.; Guo, Y.; Yu, H.; Li, H.; Ma, J. Inhibitory Effect of Free Ammonia on Theactivity of Nitrifying Bacteria and Recoverability. China. Environ. Sci. 2015, 35, 95–100. [Google Scholar]
- Gao, J.L.; Wang, R.; Li, Y.L.; Huang, H.M.; Su, X.M.; An, Z.J.; Yin, W.J.; Yang, L.Z.; Rong, L.; Sun, F.Q. Effect of aeration modes on nitrogen removal and N2O emission in the partial nitrification and denitrification process for landfill leachate treatment. Sci. Total Environ. 2022, 853, 158424. [Google Scholar] [CrossRef]
- Zhang, L.; Su, F.; Wang, N.; Liu, S.; Yang, M.; Wang, Y.Z.; Huo, D.Q.; Zhao, T.T. Biodegradability enhancement of hydrolyzed polyacrylamide wastewater by a combined Fenton-SBR treatment process. Bioresour. Technol. 2019, 278, 99–107. [Google Scholar] [CrossRef] [PubMed]
- Chen, D.Y.; Gu, X.S.; Zhu, W.Y.; He, S.B.; Huang, J.C.; Zhou, W.L. Electrons transfer determined greenhouse gas emissions in enhanced nitrogen-removal constructed wetlands with different carbon sources and carbon-to-nitrogen ratios. Bioresour. Technol. 2019, 285, 121313. [Google Scholar] [CrossRef] [PubMed]
- Cheng, C.; Sun, T.Y.; Li, H.J.; He, Q.; Pavlostathis, S.G.; Zhang, J. New insights in correlating greenhouse gas emissions and microbial carbon and nitrogen transformations in wetland sediments based on genomic and functional analysis. J. Environ. Manag. 2021, 297, 113280. [Google Scholar] [CrossRef]
- Cui, Y.; Cui, Y.-W.; Huang, J.-L. A novel halophilic Exiguobacterium mexicanum strain removes nitrogen from saline wastewater via heterotrophic nitrification and aerobic denitrification. Bioresour. Technol. 2021, 333, 125189. [Google Scholar] [CrossRef] [PubMed]
- Liu, H.K.; Li, H.D.; Wei, H.; Zhu, X.M.; Han, D.; Jin, J.Y.; Yang, Y.X.; Xie, S.Q. Biofloc formation improves water quality and fish yield in a freshwater pond aquaculture system. Aquaculture 2019, 506, 256–269. [Google Scholar] [CrossRef]
- Ling, Y.; Yan, G.K.; Wang, H.Y.; Dong, W.Y.; Wang, H.; Chang, Y.; Chang, M.; Li, C.Y. Release Mechanism, Secondary Pollutants and Denitrification Performance Comparison of Six Kinds of Agricultural Wastes as Solid Carbon Sources for Nitrate Removal. Int. J. Environ. Res. Public Health 2021, 18, 1232. [Google Scholar] [CrossRef]
- Zhang, J.; Jiao, S.; Lu, Y. Biogeographic distribution of bacterial, archaeal and methanogenic communities and their associations with methanogenic capacity in Chinese wetlands. Sci. Total Environ. 2018, 622–623, 664–675. [Google Scholar] [CrossRef]
- Zhang, Q.; Liang, S.Y.; Tan, S.W.; Chen, W.; Liu, H.; Yang, C.X.; Qin, S.M.; Long, K. MBBR start-up with HN-AD bacteria inoculation: Comparative analysis in simulated and real wastewater for performance, microbial characteristics, and nitrogen removal mechanism. J. Water. Process Eng. 2024, 58, 104786. [Google Scholar] [CrossRef]
- Long, F.; Wang, L.G.; Cai, W.F.; Lesnik, K.; Liu, H. Predicting the performance of anaerobic digestion using machine learning algorithms and genomic data. Water Res. 2021, 199, 117182. [Google Scholar] [CrossRef]
- Matar, G.K.; Bagchi, S.; Zhang, K.; Oerther, D.B.; Saikaly, P.E. Membrane biofilm communities in full-scale membrane bioreactors are not randomly assembled and consist of a core microbiome. Water Res. 2017, 123, 124–133. [Google Scholar] [CrossRef]
- Zhang, X.; Li, X.; Zhang, Q.; Peng, Q.; Zhang, W.; Gao, F. New insight into the biological treatment by activated sludge: The role of adsorption process. Bioresour. Technol. 2014, 153, 160–164. [Google Scholar] [CrossRef] [PubMed]
- Zhang, N.; Chen, H.; Lyu, Y.; Wang, Y. Nitrogen removal by a metal-resistant bacterium, Pseudomonas putida ZN1, capable of heterotrophic nitrification–aerobic denitrification. J. Chem. Technol. Biotechnol. 2019, 94, 1165–1175. [Google Scholar] [CrossRef]
- Kim, J.K.; Park, K.J.; Cho, K.S.; Nam, S.-W.; Park, T.-J.; Bajpai, R. Aerobic nitrification–denitrification by heterotrophic Bacillus strains. Bioresour. Technol. 2005, 96, 1897–1906. [Google Scholar] [CrossRef] [PubMed]
- Hong, P.; Wu, X.; Shu, Y.; Wang, C.; Tian, C.; Wu, H.; Xiao, B. Bioaugmentation treatment of nitrogen-rich wastewater with a denitrifier with biofilm-formation and nitrogen-removal capacities in a sequencing batch biofilm reactor. Bioresour. Technol. 2020, 303, 122905. [Google Scholar] [CrossRef]
- Xiang, Z.Z.; Chen, X.; Bai, J.; Li, B.H.; Li, H.; Huang, X. Bioaugmentation performance for moving bed biofilm reactor (MBBR) treating mariculture wastewater by an isolated novel halophilic heterotrophic nitrification aerobic denitrification (HNAD) strain (Zobellella B307). J. Environ. Manag. 2023, 325, 116566. [Google Scholar] [CrossRef]
- Zhao, B.; Ran, X.C.; Tian, M.; An, Q.; Guo, J.S. Assessing the performance of a sequencing batch biofilm reactor bioaugmented with P. stutzeri strain XL-2 treating ammonium-rich wastewater. Bioresour. Technol. 2018, 270, 70–79. [Google Scholar] [CrossRef]
- Wang, Z.; Gao, M.; Wei, J.; Ma, K.; Pei, J.; Zhang, J.; Zhou, Y.; Yang, Y.; Yu, S. Long-term effects of salinity on extracellular polymeric substances, microbial activity and microbial community from biofilm and suspended sludge in an anoxic-aerobic sequencing batch biofilm reactor. J. Taiwan Inst. Chem. Eng. 2016, 68, 275–280. [Google Scholar] [CrossRef]
- Yu, M.F.; Pan, Y.T.; Yang, L.L.; Liu, W.; He, F.; Ma, L. Response of Sediment Microbial Communities to the Rural Wastewater in the Pond-Ditch Circulation System. Front. Environ. Sci. 2021, 9, 717458. [Google Scholar] [CrossRef]
- Feng, L.J.; Chen, K.; Han, D.D.; Zhao, J.; Lu, Y.; Yang, G.F.; Mu, J.; Zhao, X.J. Comparison of nitrogen removal and microbial properties in solid-phase denitrification systems for water purification with various pretreated lignocellulosic carriers. Bioresour. Technol. 2017, 224, 236–245. [Google Scholar] [CrossRef]
- Zhao, B.; An, Q.; He, Y.L.; Guo, J.S. N2O and N2 production during heterotrophic nitrification by Alcaligenes faecalis strain NR. Bioresour. Technol. 2012, 116, 379–385. [Google Scholar] [CrossRef]
- Zhang, Q.; Zhu, Y.A.; Yuan, C.B.; Zhang, C.; Cui, M.L.; Zhao, T.T. Nitrogen removal and mechanism of an extremely high-ammonia tolerant heterotrophic nitrification-aerobic denitrification bacterium Alcaligenes faecalis TF-1. Bioresour. Technol. 2022, 361, 127643. [Google Scholar] [CrossRef] [PubMed]
- Tsujino, S.; Dohra, H.; Fujiwara, T. Gene expression analysis of Alcaligenes faecalis during induction of heterotrophic nitrification. Sci. Rep. 2021, 11, 23105. [Google Scholar] [CrossRef] [PubMed]
Disclaimer/Publisher’s Note: The statements, opinions and data contained in all publications are solely those of the individual author(s) and contributor(s) and not of MDPI and/or the editor(s). MDPI and/or the editor(s) disclaim responsibility for any injury to people or property resulting from any ideas, methods, instructions or products referred to in the content. |
© 2025 by the authors. Licensee MDPI, Basel, Switzerland. This article is an open access article distributed under the terms and conditions of the Creative Commons Attribution (CC BY) license (https://creativecommons.org/licenses/by/4.0/).