Abstract
This study investigated the concentrations of metals in stormwater runoff collected during two extreme flooding events on the American University of Sharjah (AUS) campus in the United Arab Emirates (UAE). Given the increasing frequency of intense rainfall in arid regions, stormwater contamination represents a growing environmental and public health concern. Stormwater samples were analyzed using inductively coupled plasma optical emission spectrometry (ICP-OES) to quantify metal concentrations. The results showed that iron (0.049–2.080 mg/L), aluminum (0.097–2.020 mg/L), and potassium (0.614–3.860 mg/L) were the most abundant metals detected. Lower concentrations were observed for manganese (0.000–0.058 mg/L), barium (0.000–0.073 mg/L), chromium (0.000–0.013 mg/L), nickel (0.000–0.038 mg/L), and vanadium (0.000–0.004 mg/L). These findings underscore the critical need for effective stormwater management in arid regions, where climate change is expected to increase the frequency and intensity of extreme weather events. Improved drainage systems and long-term monitoring are essential to mitigate the environmental and public health risks posed by stormwater contamination in rapidly urbanizing areas.
1. Introduction
Stormwater acts as a major non-point source of pollution, significantly affecting water bodies by carrying various pollutants such as metals. These metals are particularly concerning due to their toxicity, persistence in the environment, and potential for long-term accumulation [1,2].
Stormwater management in arid regions presents challenges such as significant flood risks due to infrequent but intense rainfall events, where even small amounts of rain can lead to flash floods and debris flows, endangering communities [3]. Additionally, stormwater quality is highly variable, influenced by factors such as land use and anthropogenic activities, yet it exhibits similar water quality responses to more temperate systems [4,5]. Stormwater is increasingly being recognized as a valuable resource in addressing water scarcity in arid regions, with policies considering its capture and reuse [6,7]. To support this shift, aging gray infrastructure needs to be updated, allowing for the implementation of multi-purpose stormwater systems that not only manage flooding and pollution but also offer broader societal benefits [7].
Metals pose significant environmental challenges due to their toxicity, persistence, and mobility. These metals are harmful to aquatic organisms, affecting both plant and animal life through toxic exposure [1]. Moreover, metals are highly persistent in the environment, as they are not easily degradable and can remain for extended periods, potentially causing long-term damage to ecosystems [2]. In addition to their toxicity and persistence, metals exhibit high mobility; they tend to bind to particulates and accumulate in the sediments of stormwater control systems and natural water bodies, where they can continue to pose risks to the environment [8].
Vehicular emissions, including exhaust gases, tire wear, and engine oil leaks, are key contributors to metal contamination in stormwater. Additionally, atmospheric deposition plays a role, as metals are transported through the air and settle onto surfaces, later being washed into water bodies during rain events [1,9]. Urban infrastructure, such as asphalt roads, parking lots, and metallic structures, further contributes to this contamination, exacerbating the levels of metals found in stormwater [1].
Although specific regulatory thresholds for metals in stormwater in the United Arab Emirates (UAE) have not yet been established, international benchmarks such as those by the U.S. Environmental Protection Agency (EPA) are often referenced. The absence of national standards highlights the importance of baseline monitoring in the region. The U.S. EPA [10] has established acute and chronic toxicity thresholds for several metals in freshwater, including zinc (Zn: 120 µg/L for both acute and chronic exposure), lead (Pb: 82 µg/L for acute and 3.2 µg/L for chronic exposure), chromium (Cr VI: 16 µg/L for acute and 11 µg/L for chronic exposure), cadmium (Cd: 1.8 µg/L for acute and 0.72 µg/L for chronic exposure), and nickel (Ni: 470 µg/L for acute and 50 µg/L for chronic exposure) [1]. These regulatory standards serve to protect aquatic life from the harmful effects of metal contamination.
On 16 April 2024, the UAE experienced its heaviest rainfall in 75 years, leading to widespread disruption, including severe flooding at Dubai International Airport, one of the busiest international hubs [11]. In just 24 h, Dubai recorded over 144 mm of rain, equivalent to the city’s typical rainfall over a year and a half, causing significant flooding in homes, shopping malls, and highways. The extreme weather also impacted other Gulf Cooperation Council (GCC) countries, where 19 lives were lost, while 5 fatalities were reported in the UAE [12]. Antecedent Dry Weather Periods (ADWPs) play a critical role in the accumulation of urban pollutants and their subsequent wash-off during rainfall events. A study by Yang et al. (2021) [13] demonstrated that ADWPs were the primary factor influencing the buildup of pollutants associated with road-deposited sediments, while rainfall characteristics, such as intensity and duration, were the key drivers of their wash-off, transport, and removal.
In our previous work [14], we highlighted the hidden risks associated with contaminants of emerging concern (CECs), including pharmaceuticals, personal care products, PFAS, tire-derived particles, microplastics, and regulated pollutants such as metals and PAHs, in urban runoff in climate-intensified storms across the Gulf Cooperation Council (GCC) countries. These events, which led to infrastructure failures and sewage overflows, underscored a critical research gap in understanding how pollutants behave under flood conditions in regions with limited stormwater infrastructure. Building upon these findings, the present study focuses specifically on metals in stormwater across the American University of Sharjah in the UAE, aiming to assess pollutant accumulation.
The objectives of this study are as follows: (1) to characterize the concentrations of metals in stormwater during two flood events; (2) to compare temporal variations in metal levels; and (3) to evaluate the potential sources and environmental implications of metal contamination in an arid, rapidly urbanizing region. By combining environmental monitoring with statistical evaluation, this research provides critical insights into the occurrence of pollutants during storm events. The findings are expected to contribute to improved urban water management practices and support the development of more resilient infrastructure in the UAE and similar arid regions facing escalating climate-related challenges.
2. Materials and Methodology
2.1. Sampling of Stormwater
In Dubai, the average annual rainfall is about 95 mm, with most of it falling between December and March. The driest months are June to September, with rainfall near 0 mm, while January and February average around 8–10 mm [15]. Two stormwater sampling campaigns were conducted around the campus of the American University of Sharjah during the extreme rainfall and flooding events on 16 April and 2 May 2024. Stormwater was manually collected from surface runoff across the AUS campus, including paved roads. The site consists of academic buildings, landscaping, and urban infrastructure. For each event, multiple samples were collected (10 in Campaign 1 and 14 in Campaign 2) using 2 L polypropylene bottles (Figure 1). The storm intensified early on Tuesday, 16 April, and it continued throughout the day, ultimately delivering over 144 mm of rainfall within a 24 h period in the Dubai area, according to meteorological data from Dubai International Airport [16]. The Dubai International Airport meteorological station is approximately 15 km from the sampling site. The second storm, which occurred on 2 May, produced approximately 20 mm of rain over 12 h. Minimal precipitation was observed in the days prior to both sampling events (Supplementary Materials Figure S3). The stormwater samples from the first event were collected during rainfall between 4:00 and 5:00 p.m. on 16 April, while the second set of samples was collected during rainfall between 11:00 a.m. and 12:00 p.m. on 2 May. Sampling photos can be found in the Supplementary Materials (Figure S1).
Figure 1.
Sampling locations, including first campaign (C1) and second campaign (C2). Street view figures represent locations from C1, namely, 1, 7, 6, and 2, and from C2, namely, 9, 4, 3, and 8 (from top to bottom). Map created using Google Earth.
2.2. Metal Analysis
The present study examines the concentrations of various metals in stormwater, specifically analyzing the following elements: silver (Ag), aluminum (Al), arsenic (As), barium (Ba), beryllium (Be), cadmium (Cd), cobalt (Co), chromium (Cr), copper (Cu), iron (Fe), potassium (K), manganese (Mn), molybdenum (Mo), nickel (Ni), lead (Pb), antimony (Sb), selenium (Se), tin (Sn), thallium (Tl), vanadium (V), and zinc (Zn). The metal concentrations in the stormwater samples were measured using inductively coupled plasma optical emission spectroscopy (ICP-OES). The samples were first filtered through a 0.22 µm syringe filter and then acidified with 1% nitric acid (HNO3, 69% vol, VWR chemicals, Dubai, United Arab Emirates) because the analysis was delayed beyond 24 h, following APHA guidelines [17]. The samples were analyzed for dissolved metals using an ICPE-9820 (Shimadzu, Kyoto, Japan). Blank samples used for quality control were prepared in the laboratory using 1% nitric acid, following the same filtration protocol as the field samples. Calibration curves were generated using external standards with concentrations of 0, 0.1, 0.5, 1.0, 2.5, and 5.0 ppm to determine the metal concentrations in the stormwater. A certified reference material containing 21 components (CPAchem, Stara Zagora, Bulgaria), accredited under ISO 9001, ISO/IEC 17025, and ISO 17034, was used for quality assurance and calibration. Quality assurance and quality control (QA/QC) measures included the use of spiked samples and procedural blanks to ensure analytical accuracy and precision. The limits of detection (LODs) were determined using the instrument software of the ICP system (ICPEsolution™, Shimadzu Corporation, Kyoto, Japan) and can be found in the Supplementary Materials (Figure S2).
2.3. Statistical Analysis
For this study, two key statistical methods were applied to evaluate the relationships and differences between the metal concentrations in the two stormwater sampling campaigns: Spearman’s correlation [1] and the Mann–Whitney U-test [2]. The dataset comprised 10 independently collected samples from the first campaign and 14 from the second, each representing a distinct sampling event. Spearman’s correlation was used to assess the strength and direction of the association between the metal concentrations. This non-parametric test is particularly suitable for the results, as it does not assume a normal distribution. Spearman’s correlation measures how well the relationship between two variables can be described by a monotonic function, providing insights into potential patterns and dependencies between the concentrations of different metals in the stormwater samples [18]. The Mann–Whitney U-test was employed to determine whether there was a statistically significant difference between the two sampling campaigns. This test is a non-parametric alternative to the t-test and is ideal for comparing two independent groups, especially when the data do not follow a normal distribution [19]. The Mann–Whitney U-test was used to assess whether the distribution of metal concentrations differed significantly between the first and second campaigns, helping to identify whether the changes observed in the data were meaningful or due to random variation.
3. Results and Discussion
3.1. Distribution of Metals in Stormwater
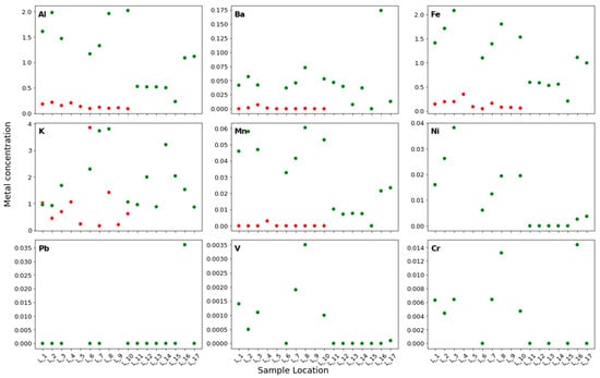
The analysis of the stormwater samples revealed a range of metals, with Fe, Al, and K showing the highest concentrations across the samples. Fe concentrations varied from 0.049 to 2.080 mg/L, while Al ranged from 0.097 to 2.020 mg/L, and K ranged from 0.614 to 3.860 mg/L. Lower concentrations were observed for Mn (0.000–0.058 mg/L), Ba (0.000–0.073 mg/L), Cr (0.000–0.013 mg/L), Ni (0.000–0.038 mg/L), and V (0.000–0.004 mg/L) (Figure 2).

Figure 2.
Distribution of metals in stormwater from the first sampling campaign (A) and the second sampling campaign (B). Metal concentrations are expressed as mg/L. Only metals detected above the limit of detection (LOD) are displayed for each campaign, resulting in different numbers of metals being represented in Figure 2A,B.
The distribution of the metals in the stormwater (Figure 2) indicates high levels of Al, Fe, and K in all the monitored stormwater samples. In addition, increased Ba and Mn concentrations (still below 0.1 mg/L) were observed during the second sampling event. Stormwater pollution typically originates from pavements, the wheels or other parts of a car, overflowing water from nearby land areas, nearby construction sites, and atmospheric conditions. The study site was maturely constructed during the stormwater events, except for a few renovation projects within the American University of Sharjah and outside. The high Al concentration could be from the wheels of cars, nearby construction sites, and aluminum sulfate used as a fertilizer in the green areas outside the road network. The presence of high Fe levels could be caused by construction sites, fertilizer, iron fillings on roads, and cars. Furthermore, the elevated levels of Fe and Al in the stormwater could be partially attributed to the local soil composition. The study area, located in the UAE, is characterized by sandy soils rich in silicate and aluminosilicate minerals, which naturally contain Fe and Al. During intense rainfall and flooding, these particles can be mobilized into the runoff. Similar findings have been reported in studies on desert soils in the region [20]. The high K level may originate from fertilizers [21]. Urban stormwater quality is influenced by pollutants originating from both ground-based sources and atmospheric (airborne) contributions [22]. Ba can typically be found in brake dust [23]. Mn is naturally available in sediment and rocks. In these stormwater samples, they may originate from overland flow or from some automobile parts and fluids. Since the concentrations were not very high, it is hard to predict the actual source of Mn.
3.2. Comparison Between the First and Second Sampling Campaigns
The differences in each metal value between the two campaigns were examined by first producing box plots (Figure 3). Each box plot shows the distribution of one metal based on the two different campaigns. Additionally, the significance of these differences was statistically tested using the Mann–Whitney test (Table 1). Scatter plots were also plotted to visualize how each metal level changed across different locations and different campaigns (Figure 4).
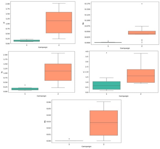
Figure 3.
Box plots for the distribution of metal concentrations in stormwater samples collected during the two campaigns (n = 10 for Campaign 1; n = 14 for Campaign 2). In each box plot, the lower and upper edges of the box represent the first (Q1) and third (Q3) quartiles, respectively. The horizontal line within the box indicates the median (Q2). The whiskers extend to the minimum and maximum values within 1.5 times the interquartile range from the lower and upper quartiles, respectively.
Table 1.
Mann–Whitney tests for difference of each metal concentration between Campaign 1 (n = 10) and Campaign 2 (n = 14).
Figure 4.
Scatterplots for the distribution of each metal concentration in mg/L among 17 different locations and 2 campaigns: Campaign 1 (n = 10) (red dots) and Campaign 2 (n = 14) (green dots).
Figure 3 shows that Campaign 2 had higher values of Al, Ba, Fe, K, and Mn than Campaign 1. However, these differences needed to be further assessed statistically to determine whether they were significant. The Mann–Whitney test was conducted for this purpose, revealing that the differences between the two campaigns in terms of Al, Ba, Fe, K, and Mn concentrations were all significant, as depicted in Table 1.
The results from the two stormwater sampling campaigns show that the second sampling campaign has significantly higher concentrations of metals such as Al, Fe, Ba, and Mn than the first campaign. This increase in metal concentrations can be attributed to several factors. The variations in storm intensity between the two sampling campaigns offer further insights into the observed differences in metal concentrations. The first storm was much more intense, leading to widespread flooding across the campus that persisted for several days. With large volumes of water and no proper drainage system in place, the water remained stagnant for an extended period. In contrast, the second storm brought significantly less water, which may have caused the metals to become more concentrated. Without extensive flooding to disperse the contaminants, the reduced amount of water likely increased the overall concentration of metals in the runoff. This scenario could explain the higher levels of Al, Fe, Ba, and Mn observed during the second sampling event.
Another key factor influencing the differences is the lack of a proper drainage system because the UAE is a country in an arid region without the need for it, but, in recent years, climate change and storms have started to increase. In both storms, there was no infrastructure to channel or remove the water effectively. After the first storm, much of the floodwater was removed manually by trucks, with the remaining water left to evaporate due to the high temperatures typical of the UAE. This evaporation process could have left behind residual metals in the soil, which were then mobilized during the second storm, further contributing to the higher concentrations detected in the second sampling. These findings underscore the importance of considering stormwater management and infrastructure when assessing contaminant levels in stormwater. The interplay between the storm intensity, water volume, and lack of drainage systems plays a critical role in the behavior of pollutants in urban environments.
A study by Semerjian et al. [24] investigated sixty-eight street dust samples collected from different locations in Sharjah, UAE, in 2021. They reported several metals in the samples, such as Zn, Pb, Ni, Mn, Fe, Cr, Cu, As, and Cd, with mean concentrations of 392 ± 46 μg/g, 68.28 ± 11.3 μg/g, 856 ± 72 μg/g, 1437 ± 67 μg/g, 39,481 ± 4611 μg/g, 460 ± 31 μg/g, 150 ± 44 μg/g, 0.97 ± 0.28 μg/g, and 1.25 ± 0.65 μg/g, respectively, on a dry sample basis. These values show similar trends to the metal concentrations observed in our samples, particularly for Fe, Mn, and Ni, which were among the most abundant elements in both datasets. High Fe concentrations were present in both studies. The elevated levels of Ni, Cr, Mn, Zn, Pb, and Cd in Sharjah’s street dust likely stem from traffic-related sources such as fuel combustion, tire and brake wear, and lubricating oils, while the presence of Fe and Cu may also reflect industrial contributions [24]. However, As likely originates from atmospheric deposition or agrochemical use [24].
Different studies worldwide have revealed different metal profiles in stormwater. A study by Jafarzadeh et al. [25] focused on stormwater collected from the inlet and outlet of a bioretention basin in Texas, USA. The inlet samples showed the highest concentrations of several metals, including Fe (0.028 mg/L), Pb (0.007 mg/L), Mg (0.805 mg/L), Cu (0.027 mg/L), and Zn (0.021 mg/L). A study conducted in China analyzed the metal concentrations in different types of stormwater runoff: roof runoff, road runoff, and parking lot runoff. The mean concentrations of the metals varied based on the runoff type. For roof runoff, the average concentrations were 0.008 mg/L for Cu, 0.039 mg/L for Mn, 0.031 mg/L for Pb, 0.778 mg/L for Zn, and 0.073 mg/L for Fe. Road runoff exhibited slightly higher mean values for most metals, with Cu at 0.011 mg/L, Mn at 0.108 mg/L, Pb at 0.034 mg/L, Zn at 0.315 mg/L, and Fe at 0.256 mg/L. Parking lot runoff also showed elevated levels, with mean concentrations of 0.008 mg/L for Cu, 0.103 mg/L for Mn, 0.035 mg/L for Pb, 0.089 mg/L for Zn, and 0.365 mg/L for Fe [26]. In comparison, the analysis of the stormwater samples in our study revealed notably higher concentrations of Fe, ranging from 0.049 to 2.080 mg/L, which surpass the values reported in both the US [25] and Chinese studies [18]. Lower concentrations were observed for Mn (0.000–0.058 mg/L), Ba (0.000–0.073 mg/L), Cr (0.000–0.013 mg/L), Ni (0.000–0.038 mg/L), and V (0.000–0.004 mg/L). These values for Mn and other trace metals fall within or slightly below the ranges reported in other international studies, suggesting site-specific influences such as local land use. The metal concentrations in road runoff from various cities worldwide are summarized in Table 2. The data represent cities using sampling strategies comparable to those used in the present study.
Table 2.
Metal concentrations in road runoff from selected cities worldwide.
Figure 5 presents a Spearman’s rank correlation heatmap, which reveals notable correlations among several pairs of metals. High correlations are observed between Mn and Al, Mn and Ba, Mn and Ni, and Mn and Fe. Additionally, Al shows strong correlations with Ba, Fe, Ni, and V. Similar findings were reported by Semerjian et al. [24], who also identified high correlations among Ni, Mn, and Fe, suggesting a common source likely linked to anthropogenic activities. Conversely, Pb exhibits weak or negative correlations with most other metals, indicating that it may have distinct sources or pathways within the stormwater environment.
Figure 5.
Spearman’s pairwise correlations between different metals.
In the region studied, metals such as Al, Cr, Mn, Ni, and Pb are likely linked to both traffic and industrial activities, consistent with findings from previous research in Sharjah [33,34,35]. Specifically, Pb, Ni, Mn, and Cr are commonly associated with traffic sources, including engine wear, brake pads, and tire abrasion, contributing to elevated metal concentrations in urban areas. Fe, one of the most abundant metals detected, is likely derived from both natural and industrial sources, including the rust and wear of vehicle components, as well as industrial activities like metal production and smelting in the UAE [36]. Pb is traditionally linked to vehicle emissions due to its former use as a gasoline additive, as well as to engine lubricants, which serve as anti-wear agents [37].
3.3. Stormwater Fate and Management in Arid Regions
In regions like the UAE, where stormwater is often directly discharged into the sea, it is crucial to understand stormwater’s role as a potential pathway for metals to enter marine ecosystems. Metals transported in stormwater runoff can accumulate in the marine environment, leading to bioaccumulation in various marine organisms. This process poses serious risks to marine life, as these metals can be toxic at elevated levels, potentially impacting food chains and affecting species of economic and ecological importance. Past studies have monitored marine organisms for metals and documented concentrations exceeding the maximum permissible limits set by the FAO, WHO, and EC. For example, Alizada et al. [38] investigated the bioaccumulation of metals in Indian anchovy (Stolephorus indicus), a common forage fish in the region. The mean concentrations (in μg/g wet weight) of elements in this species were found to range as follows: Cr (0.1–24.0), Ni (0.3–76.5), and V (0.1–27.0); this includes only the elements also found in the present study. These findings highlight Cr as a particularly relevant element due to its presence in both environmental samples and marine organisms, suggesting potential for trophic transfer [38].
Stormwater management in arid regions presents unique challenges due to infrequent but intense rainfall events, which can lead to flash floods, rapid runoff, and increased pollutant loads in environments with limited natural water drainage. Stormwater pollution levels and the presence of metals vary significantly from region to region [39], making it challenging to rely on a single stormwater management strategy. This highlights the importance of first characterizing the metal content in stormwater, particularly in regions like the UAE where, for the first time, these data are being analyzed. The UAE is increasingly affected by unexpected storms, exacerbated by climate change, leading to substantial stormwater accumulation and urban flooding. Conventional low-impact development technologies, such as bioswales, constructed wetlands, vegetated filter strips, and media filters [40,41,42], are typically employed for stormwater management and are technically robust. However, their application may be limited in arid and semi-arid regions, like the UAE, where annual precipitation is minimal [43]. Given these challenges, alternative approaches must be considered, including cost-effective filtration solutions. A study conducted in Saudi Arabia, another arid region, demonstrated that ceramic filtration offers a low-cost, energy-efficient, and easy-to-maintain option that can complement existing stormwater management practices [44]. Furthermore, green infrastructure, when adapted to arid conditions using drought-tolerant vegetation and permeable surfaces, presents a sustainable and effective solution for stormwater management in the UAE’s rapidly urbanizing landscape.
4. Conclusions
The present study is the first to investigate metals in stormwater within an arid region like the UAE. This is a crucial area of study, as stormwater in regions without adequate drainage systems often flows directly into marine environments, potentially transporting various pollutants. Fe, Al, and K are the most abundant metals, with lower levels of Mn, Ba, Cr, Ni, and V. The second storm event shows notably higher Al, Fe, Ba, and Mn concentrations, likely due to a reduced runoff volume, a lack of drainage infrastructure, and the remobilization of residues left after the first, more intense storm. A source evaluation indicates that many metals share overlapping origins. Strong correlations among Mn, Al, Ba, Ni, and Fe suggest common sources, likely from anthropogenic activities such as traffic emissions and industrial processes. Traffic-related contributions include engine wear, brake pad and tire abrasion, and the rusting of vehicle components, which can release Pb, Ni, Mn, and Cr into stormwater. Fe, one of the most abundant metals, also originates from industrial activities, such as metal production and smelting, as well as natural soil inputs. Pb appears to have distinct sources from the other metals, reflecting its use in leaded gasoline, ongoing contributions from engine lubricants, and wear-related releases. Given the increasing frequency of extreme weather events due to climate change, effective stormwater management is essential in these arid regions, where flooding can persist for days, posing risks to both urban infrastructure and coastal ecosystems. Furthermore, this study underscores the need for the long-term monitoring of stormwater pollutants to better understand their accumulation and environmental impact. Such data can inform policies and the development of sustainable drainage solutions to protect both public health and marine biodiversity in the region.
Supplementary Materials
The following supporting information can be downloaded at: https://www.mdpi.com/article/10.3390/w17162457/s1, Figure S1: Sampling location and sample collection protocol; Figure S2: Detection limits [mg/L] for analyzed metals; Figure S3: Information regarding the sampling date and 3 days before, including temperature [C] and precipitation [mm].
Author Contributions
L.D. contributed to conceptualization, methodology, investigation, data curation, formal analysis, visualization, writing—original draft, and writing—review and editing. S.K. contributed to methodology, supervision, and writing—review and editing. T.A. was responsible for methodology, software, and writing—review and editing. M.M.M. contributed to resources and writing—review and editing. A.M. performed formal analysis and validation. J.N.R. contributed to investigation and writing—review and editing. D.S.A. provided supervision and contributed to writing—review and editing. F.S. was involved in conceptualization, funding acquisition, project administration, supervision, and writing—review and editing. All authors have read and agreed to the published version of the manuscript.
Funding
This research received no external funding.
Data Availability Statement
The original contributions presented in this study are included in the article/Supplementary Material. Further inquiries can be directed to the corresponding author.
Conflicts of Interest
The authors declare no financial interests that are directly or indirectly related to the work submitted for publication.
References
- Biswal, B.K.; Vijayaraghavan, K.; Tsen-Tieng, D.L.; Balasubramanian, R. Biochar-based bioretention systems for removal of chemical and microbial pollutants from stormwater: A critical review. J. Hazard. Mater. 2022, 422, 126886. [Google Scholar] [CrossRef]
- Miino, M.C.; Raček, J.; Chorazy, T.; Hlavínek, P. Conventional and non-conventional adsorbents for reducing dissolved heavy metal pollution in runoff from roads: A systematic review and meta-analysis. Environ. Nanotechnol. Monit. Manag. 2023, 21, 100907. [Google Scholar]
- Bialik, O.M.; Bookman, R.; Elyashiv, H.; Marietou, A.; Saar, R.; Rivlin, T.; Antler, G. Tropical storm-induced disturbance of deep-water porewater profiles, Gulf of Aqaba. Mar. Geol. 2022, 453, 106926. [Google Scholar] [CrossRef]
- Behrouz, M.S.; Yazdi, M.N.; Sample, D.J.; Scott, D.; Owen, J.S., Jr. What are the relevant sources and factors affecting event mean concentrations (EMCs) of nutrients and sediment in stormwater? Sci. Total Environ. 2022, 828, 154368. [Google Scholar] [CrossRef]
- Regier, P.J.; González-Pinzón, R.; Van Horn, D.J.; Reale, J.K.; Nichols, J.; Khandewal, A. Water quality impacts of urban and non-urban arid-land runoff on the Rio Grande. Sci. Total Environ. 2020, 729, 138443. [Google Scholar] [CrossRef]
- Sharvelle, S.; Dozier, A.; Arabi, M.; Reichel, B. A geospatially-enabled web tool for urban water demand forecasting and assessment of alternative urban water management strategies. Environ. Model. Softw. 2017, 97, 213–228. [Google Scholar] [CrossRef]
- Gordon, B.L.; Quesnel, K.J.; Abs, R.; Ajami, N.K. A case-study based framework for assessing the multi-sector performance of green infrastructure. J. Environ. Manag. 2018, 223, 371–384. [Google Scholar] [CrossRef] [PubMed]
- Pitt, R.; Clark, S.; Johnson, P.D.; Morquecho, R.; Gill, S.; Pratap, M. High level treatment of stormwater heavy metals. In Critical Transitions in Water and Environmental Resources Management; American Society of Civil Engineers: Reston, VA, USA, 2004; pp. 1–10. [Google Scholar]
- Gosset, A.; Durrieu, C.; Barbe, P.; Bazin, C.; Bayard, R. Microalgal whole-cell biomarkers as sensitive tools for fast toxicity and pollution monitoring of urban wet weather discharges. Chemosphere 2019, 217, 522–533. [Google Scholar] [CrossRef] [PubMed]
- US Environmental Protection Agency (USEPA). Risk Assessment Guidance for Superfund, Volume I, Human Health Evaluation Manual (Part A); Environmental Protection Agency: Washington, DC, USA, 1989. [Google Scholar]
- Forbes. At Least 20 Dead in UAE and Oman After Record Rainfall Causes Severe Flooding. 2024. Available online: https://www.forbes.com/sites/siladityaray/2024/04/17/record-rainfall-causes-severe-flooding-and-at-least-18-deaths-in-uae-and-oman/?sh=746a78cf2ae5 (accessed on 19 April 2024).
- Guardian. Desert City of Dubai Floods as Heaviest Rainfall in 75 Years Hits UAE. 2024. Available online: https://www.theguardian.com/world/2024/apr/17/dubai-floods-uae-rainfall-weather-forecast (accessed on 19 April 2024).
- Yang, W.; Wang, Z.; Hua, P.; Zhang, J.; Krebs, P. Impact of green infrastructure on the mitigation of road-deposited sediment induced stormwater pollution. Sci. Total Environ. 2021, 770, 145294. [Google Scholar] [CrossRef]
- Aga, D.S.; Samara, F.; Dronjak, L.; Kanan, S.; Mortula, M.M.; Vahapoglu, L. Rising Water, Rising Risks: The Hidden Dangers of Emerging Contaminants in Climate-Intensified Storms. ACS EST Water 2024, 4, 2785–2788. [Google Scholar] [CrossRef]
- Available online: https://en.climate-data.org/asia/united-arab-emirates/dubai/dubai-385/ (accessed on 1 April 2025).
- NPR. 2024. Available online: https://www.npr.org/2024/04/17/1245236005/record-rain-united-arab-emirates (accessed on 1 July 2024).
- Eaton, A.D.; Franson, M.A.H. (Eds.) Standard Methods for the Examination of Water and Wastewater, 21st ed.; APHA: Washington, DC, USA, 2005. [Google Scholar]
- Bocianowski, J.; Wronska-Pilarek, D.; Krysztofiak-Kaniewska, A.; Matusiak, K.; Wiatrowska, B. Comparison of pearson’s and spearman’s correlation coefficients for selected traits of Pinus sylvestris L. Biom. Lett. 2024, 61, 115–135. [Google Scholar] [CrossRef]
- Fay, M.P.; Proschan, M.A. Wilcoxon-Mann-Whitney or T-Test? On Assumptions for Hypothesis Tests and Multiple Interpretations of Decision Rules. Stat. Surv. 2010, 4, 1–39. [Google Scholar] [CrossRef]
- Shahid, S.A.; Abdelfattah, M.A.; Taha, F.K. (Eds.) Developments in Soil Salinity Assessment and Reclamation: Innovative Thinking and Use of Marginal Soil and Water Resources in Irrigated Agriculture; Springer Science & Business Media: New York, NY, USA, 2013. [Google Scholar]
- Göbel, P.; Dierkes, C.; Coldewey, W.G. Storm water runoff concentration matrix for urban areas. J. Contam. Hydrol. 2007, 91, 26–42. [Google Scholar] [CrossRef]
- Weerasundara, L.; Magana-Arachchi, D.N.; Ziyath, A.M.; Goonetilleke, A.; Vithanage, M. Health risk assessment of heavy metals in atmospheric deposition in a congested city environment in a developing country: Kandy City, Sri Lanka. J. Environ. Manag. 2018, 220, 198–206. [Google Scholar] [CrossRef] [PubMed]
- O’Sharkey, K.; Meng, Q.; Mitra, S.; Paik, S.A.; Liu, J.; Shen, J.; Ritz, B. Associations between brake and tire wear-related PM2.5 metal components, particulate oxidative stress potential, and autism spectrum disorder in Southern California. Environ. Int. 2024, 185, 108573. [Google Scholar] [CrossRef]
- Semerjian, L.; Adeniji, A.O.; Shanableh, A.; Semreen, M.H.; Mousa, M.; Abass, K.; Okoh, A. Assessment of elemental chemistry, spatial distribution, and potential risks of road-deposited dusts in Sharjah, United Arab Emirates. Heliyon 2024, 10, e29088. [Google Scholar] [CrossRef]
- Jafarzadeh, A.; Matta, A.; Moghadam, S.V.; Vadde, K.K.; Dessouky, S.; Hutchinson, J.; Kapoor, V. Assessing the removal of heavy metals and polycyclic aromatic hydrocarbons and occurrence of metal resistance genes and antibiotic resistance genes in a stormwater bioretention system. Chemosphere 2024, 364, 143043. [Google Scholar] [CrossRef] [PubMed]
- Li, W.; Shen, Z.; Tian, T.; Liu, R.; Qiu, J. Temporal variation of heavy metal pollution in urban stormwater runoff. Front. Environ. Sci. Eng. 2012, 6, 692–700. [Google Scholar] [CrossRef]
- Che, W.; Liu, Y.; Li, J. Urban rainwater quality and pollution control at home and abroad. Water Wastewater Eng. 2003, 29, 38–42. [Google Scholar]
- Kayhanian, M.; Singh, A.; Suverkropp, C.; Borroum, S. Impact of annual average daily traffic on highway runoff pollutant concentrations. J. Environ. Eng. 2003, 129, 975–980. [Google Scholar] [CrossRef]
- Hu, A.; Li, Z.; Zhang, S.; Liu, J.; Chen, J. Progress of the research of urban road rainwater runoff quality. Geomat. World 2010, 36, 123–127. [Google Scholar]
- Pagotto, C.; Legret, M.; Cloirec, P.L. Comparison of the hydraulic behaviour and the quality of highway runoff water according to the type of pavement. Water Res. 2000, 34, 4446–4452. [Google Scholar] [CrossRef]
- Gnecco, I.; Berretta, C.; Lanza, L.G.; La Barbera, P. Stormwater pollution in the urban environment of Genoa, Italy. Atmos. Res. 2005, 77, 60–73. [Google Scholar] [CrossRef]
- Zakharova, J.; Pouran, H.; Bridgeman, J.; Wheatley, A.; Arif, M. Understanding metal concentration and speciation in motorway runoff. Environ. Technol. 2022, 43, 1732–1744. [Google Scholar] [CrossRef]
- Chen, H.; Wu, D.; Wang, Q.; Fang, L.; Wang, Y.; Zhan, C.; Zhang, J.; Zhang, S.; Cao, J.; Qi, S.; et al. The predominant sources of heavy metals in different types of fugitive dust determined by principal component analysis (PCA) and positive matrix factorization (PMF) modeling in Southeast Hubei: A typical mining and metallurgy area in Central China. Int. J. Environ. Res. Public Health 2022, 19, 13227. [Google Scholar] [CrossRef]
- Saeedi, M.; Li, L.Y.; Salmanzadeh, M. Heavy metals and polycyclic aromatic hydrocarbons: Pollution and ecological risk assessment in street dust of Tehran. J. Hazard. Mater. 2012, 227–228, 9–17. [Google Scholar] [CrossRef] [PubMed]
- Soltani, N.; Keshavarzi, B.; Moore, F.; Tavakol, T.; Lahijanzadeh, A.R.; Jaafarzadeh, N.; Kermani, M. Ecological and human health hazards of heavy metals and polycyclic aromatic hydrocarbons (PAHs) in road dust of Isfahan metropolis, Iran. Sci. Total Environ. 2015, 505, 712–723. [Google Scholar] [CrossRef]
- Dong, B.; Zhang, R.; Gan, Y.; Cai, L.; Freidenreich, A.; Wang, K.; Guo, T.; Wang, H. Multiple methods for the identification of heavy metal sources in cropland soils from a resource-based region. Sci. Total Environ. 2019, 651, 3127–3138. [Google Scholar] [CrossRef]
- Bai, Y.; Zhang, Y.; Liu, X.; Wang, Y. The spatial distribution and source apportionment of heavy metals in soil of Shizuishan, China. Environ. Earth Sci. 2023, 82, 494. [Google Scholar] [CrossRef]
- Alizada, N.; Malik, S.; Muzaffar, S.B. Bioaccumulation of heavy metals in tissues of Indian anchovy (Stolephorus indicus) from the UAE coast, Arabian Gulf. Mar. Pollut. Bull. 2020, 154, 111033. [Google Scholar] [CrossRef] [PubMed]
- Sakson, G.; Brzezinska, A.; Zawilski, M. Emission of heavy metals from an urban catchment into receiving water and possibility of its limitation on the example of Lodz city. Environ. Monit. Assess. 2018, 190, 281. [Google Scholar] [CrossRef] [PubMed]
- Yu, J.; Yu, H.; Xu, L. Performance evaluation of various stormwater best management practices. Environ. Sci. Pollut. Res. 2013, 20, 6160–6171. [Google Scholar] [CrossRef] [PubMed]
- Reddy, K.R.; Xie, T.; Dastgheibi, S. Mixed-media filter system for removal of multiple contaminants from urban stormwater: Large-scale laboratory testing. J. Hazard. Toxic Radioact. Waste 2014, 18, 04014011. [Google Scholar] [CrossRef]
- Anderson, B.S.; Phillips, B.M.; Voorhees, J.P.; Siegler, K.; Tjeerdema, R. Bioswales reduce contaminants associated with toxicity in urban stormwater. Environ. Toxicol. Chem. 2016, 35, 3124–3134. [Google Scholar] [CrossRef]
- Gautam, M.R.; Acharya, K.; Stone, M. Best management practices for stormwater management in the desert southwest. J. Contemp. Water Res. Educ. 2010, 146, 39–49. [Google Scholar] [CrossRef]
- Shafiquzzaman, M.; Haider, H.; Ghazaw, Y.M.; Alharbi, F.; AlSaleem, S.; Almoshaogeh, M. Evaluation of a low-cost ceramic filter for sustainable reuse of urban stormwater in arid environments. Water 2020, 12, 460. [Google Scholar] [CrossRef]
Disclaimer/Publisher’s Note: The statements, opinions and data contained in all publications are solely those of the individual author(s) and contributor(s) and not of MDPI and/or the editor(s). MDPI and/or the editor(s) disclaim responsibility for any injury to people or property resulting from any ideas, methods, instructions or products referred to in the content. |
© 2025 by the authors. Licensee MDPI, Basel, Switzerland. This article is an open access article distributed under the terms and conditions of the Creative Commons Attribution (CC BY) license (https://creativecommons.org/licenses/by/4.0/).