Evaluating Effective Particle Size Distributions of Cohesive Sediment under Varying Shear Stress and Bed Configurations in a Rotating Annular Flume
Abstract
1. Introduction
2. Methods
2.1. Rotating Annular Flume
2.2. Flume Experiments and Sampling Procedure
| ID | Experiment | Initial TSS (mg/L) | Applied Shear Stress | Bed Type | PSD Sampling Time (min) | |
|---|---|---|---|---|---|---|
| 0 to 20 min | 20 to 300 min | |||||
| D1 | Deposition | 273.09 | 0.46 Pa | 0.12 Pa | Flume | 20, 60, 100, 200, 300 |
| D2 | Deposition | 480.41 | 0.46 Pa | 0.00 Pa | Flume | |
| D3 | Deposition | 483.76 | 0.46 Pa | 0.06 Pa | Flume | 20, 300 |
| D4 | Deposition | 476.74 | 0.46 Pa | 0.12 Pa | Flume | 20, 60, 100, 200, 300 |
| D5 | Deposition | 464.87 | 0.46 Pa | 0.21 Pa | Flume | |
| D6 | Deposition | 473.82 | 0.46 Pa | 0.32 Pa | Flume | |
| I8 | Ingress | 171.30 | 0.46 Pa | 0.32 Pa | Gravel | 10, 20, 40, 70, 100, 130, 160, 190, 220, 250, 280, 300 |
| E7 | Erosion | 3.47 | 0 to 580 min | Deposited sediment over the flat flume bed | 0, 10, 50, 70, 110, 130, 170, 190, 230, 250, 290, 320, 390, 410, 480, 500, 570 | |
| Stepwise increase—see Figure 2 | ||||||

2.3. Particle Size and Statistical Analysis
3. Results and Discussion
3.1. Influence of Suspended Sediment Concentration on Fine Sediment Deposition
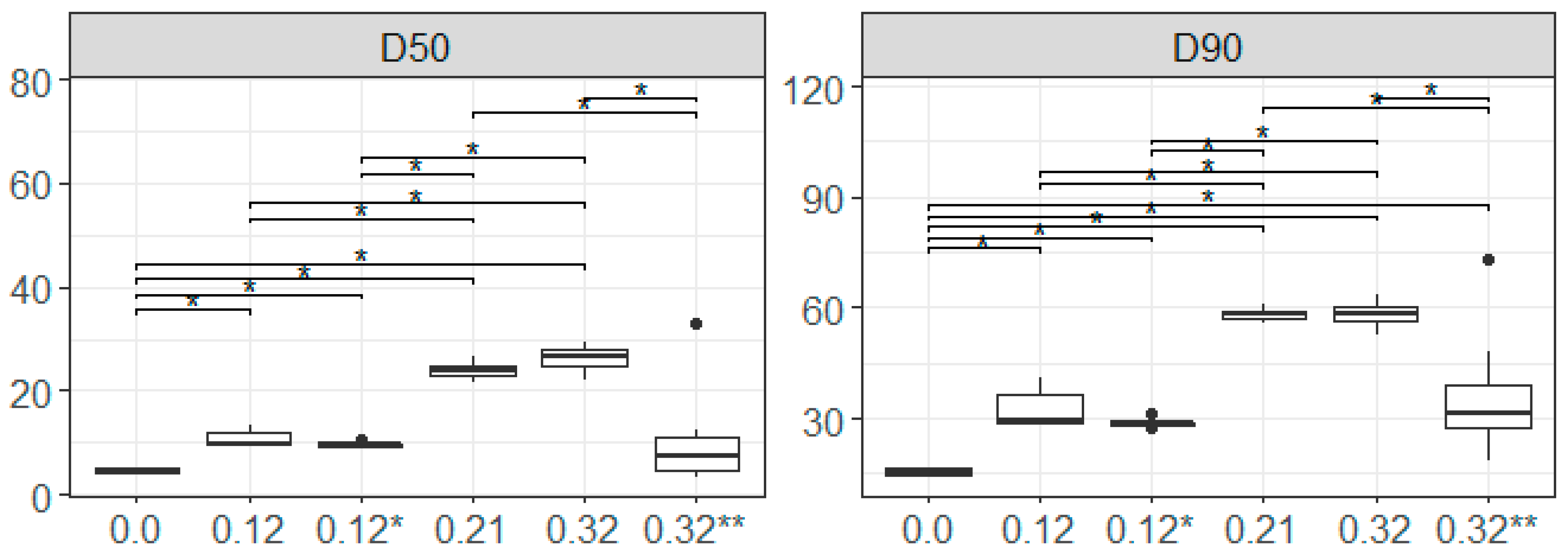
3.2. Shear-Dependent Flocculation
3.3. EPSDs in Deposition Experiments
3.4. EPSDs in Erosion Experiments
4. Conclusions
Author Contributions
Funding
Data Availability Statement
Acknowledgments
Conflicts of Interest
References
- Chapman, P.M.; Wang, F.; Caeiro, S.S. Assessing and Managing Sediment Contamination in Transitional Waters. Environ. Int. 2013, 55, 71–91. [Google Scholar] [CrossRef] [PubMed]
- Horowitz, A.J.; Elrick, K.A. The Relation of Stream Sediment Surface Area, Grain Size and Composition to Trace Element Chemistry. Appl. Geochem. 1987, 2, 437–451. [Google Scholar] [CrossRef]
- Bilotta, G.S.; Brazier, R.E. Understanding the Influence of Suspended Solids on Water Quality and Aquatic Biota. Water Res. 2008, 42, 2849–2861. [Google Scholar] [CrossRef] [PubMed]
- Chapman, J.M.; Proulx, C.L.; Veilleux, M.A.N.; Levert, C.; Bliss, S.; André, M.È.; Lapointe, N.W.R.; Cooke, S.J. Clear as Mud: A Meta-Analysis on the Effects of Sedimentation on Freshwater Fish and the Effectiveness of Sediment-Control Measures. Water Res. 2014, 56, 190–202. [Google Scholar] [CrossRef]
- Wilkes, M.A.; Gittins, J.R.; Mathers, K.L.; Mason, R.; Casas-Mulet, R.; Vanzo, D.; Mckenzie, M.; Murray-Bligh, J.; England, J.; Gurnell, A.; et al. Physical and Biological Controls on Fine Sediment Transport and Storage in Rivers. WIREs Water 2019, 6, e1331. [Google Scholar] [CrossRef]
- Wood, P.J.; Armitage, P.D. Biological Effects of Fine Sediment in the Lotic Environment. Environ. Manag. 1997, 21, 203–217. [Google Scholar] [CrossRef]
- Droppo, I.G.; Leppard, G.G.; Flannigan, D.T.; Liss, S.N. The Freshwater Floc: A Functional Relationship of Water and Organic and Inorganic Floc Constituents Affecting Suspended Sediment Properties. Water Air Soil Pollut. 1997, 99, 43–53. [Google Scholar] [CrossRef]
- Droppo, I.G.; Ongley, E.D. The State of Suspended Sediment in the Freshwater Fluvial Environment: A Method of Analysis. Water Res. 1992, 26, 65–72. [Google Scholar] [CrossRef]
- Lick, W.; Lick, J.; Ziegler, C.K. Flocculation and Its Effect on the Vertical Transport of Fine-Grained Sediments. Hydrobiologia 1992, 235–236, 1–16. [Google Scholar] [CrossRef]
- Droppo, I.G. Rethinking What Constitutes Suspended Sediment. Hydrol. Process. 2001, 15, 1551–1564. [Google Scholar] [CrossRef]
- Williams, N.D.; Walling, D.E.; Leeks, G.J.L. An Analysis of the Factors Contributing to the Settling Potential of Fine Fluvial Sediment. Hydrol. Process. 2008, 22, 4153–4162. [Google Scholar] [CrossRef]
- Petticrew, E.L.; Biickert, S.L. Characterization of Sediment Transport and Storage in the Upstream Portion of the Fraser River (British Columbia, Canada). IAHS-AISH Publ. 1998, 249, 383–391. [Google Scholar]
- Lamb, M.P.; de Leeuw, J.; Fischer, W.W.; Moodie, A.J.; Venditti, J.G.; Nittrouer, J.A.; Haught, D.; Parker, G. Mud in Rivers Transported as Flocculated and Suspended Bed Material. Nat. Geosci. 2020, 13, 566–570. [Google Scholar] [CrossRef]
- Krishnappan, B.G. Review of a Semi-Empirical Modelling Approach for Cohesive Sediment Transport in River Systems. Water 2022, 14, 256. [Google Scholar] [CrossRef]
- Livsey, D.N.; Crosswell, J.R.; Turner, R.D.R.; Steven, A.D.L.; Grace, P.R. Flocculation of Riverine Sediment Draining to the Great Barrier Reef, Implications for Monitoring and Modeling of Sediment Dispersal Across Continental Shelves. J. Geophys. Res. Ocean. 2022, 127, e2021JC017988. [Google Scholar] [CrossRef]
- Winterwerp, J.C. A Simple Model for Turbulence Induced Flocculation of Cohesive Sediment. J. Hydraul. Res. 1998, 36, 309–326. [Google Scholar] [CrossRef]
- Maltauro, R.; Stone, M.; Collins, A.L.; Krishnappan, B.G.; Silins, U. The Effect of Shear-Dependent Flocculation on the Multimodality of Effective Particle Size Distributions in a Gravel-Bed River during High Flows. J. Soils Sediments 2023, 23, 3589–3601. [Google Scholar] [CrossRef]
- Emelko, M.B.; Silins, U.; Bladon, K.D.; Stone, M. Implications of Land Disturbance on Drinking Water Treatability in a Changing Climate: Demonstrating the Need for “Source Water Supply and Protection” Strategies. Water Res. 2011, 45, 461–472. [Google Scholar] [CrossRef]
- Hauer, F.R.; Locke, H.; Dreitz, V.J.; Hebblewhite, M.; Lowe, W.H.; Muhlfeld, C.C.; Nelson, C.R.; Proctor, M.F.; Rood, S.B. Gravel-Bed River Floodplains Are the Ecological Nexus of Glaciated Mountain Landscapes. Sci. Adv. 2016, 2, e1600026. [Google Scholar] [CrossRef]
- Westerling, A.L.; Hidalgo, H.G.; Cayan, D.R.; Swetnam, T.W. Warming and Earlier Spring Increase Western U.S. Forest Wildfire Activity. Science 2006, 313, 940–943. [Google Scholar] [CrossRef]
- Stone, M.; Krishnappan, B.G.; Silins, U.; Emelko, M.B.; Williams, C.H.S.; Collins, A.L.; Spencer, S.A. A New Framework for Modelling Fine Sediment Transport in Rivers Includes Flocculation to Inform Reservoir Management in Wildfire Impacted Watersheds. Water 2021, 13, 2319. [Google Scholar] [CrossRef]
- Droppo, I.G.; Krishnappan, B.G. Modeling of Hydrophobic Cohesive Sediment Transport in the Ells River Alberta, Canada. J. Soils Sediments 2016, 16, 2753–2765. [Google Scholar] [CrossRef]
- Lai, H.; Fang, H.; Huang, L.; He, G.; Reible, D. A Review on Sediment Bioflocculation: Dynamics, Influencing Factors and Modeling. Sci. Total Environ. 2018, 642, 1184–1200. [Google Scholar] [CrossRef]
- Lick, W. Entrainment, Deposition, and Transport of Fine-Grained Sediments in Lakes. Hydrobiologia 1982, 91–92, 31–40. [Google Scholar] [CrossRef]
- Ongley, E.D.; Bynoe, M.C. Physical and Geochemical Characteristics of Suspended Solids, Wilton Creek, Ontario. Hydrobiologia 1982, 91–92, 41–57. [Google Scholar] [CrossRef]
- Izquierdo–Ayala, K.; Garcia–Aragon, J.A.; Castillo–Uzcanga, M.M.; Salinas-Tapia, H. Freshwater Flocculation Dependence on Turbulence Properties in the Usumacinta River. J. Hydraul. Eng. 2021, 147, 05021009. [Google Scholar] [CrossRef]
- Sahin, C.; Ari Guner, H.A.; Ozturk, M.; Sheremet, A. Floc Size Variability under Strong Turbulence: Observations and Artificial Neural Network Modeling. Appl. Ocean Res. 2017, 68, 130–141. [Google Scholar] [CrossRef]
- Wharton, G.; Mohajeri, S.H.; Righetti, M. The Pernicious Problem of Streambed Colmation: A Multi-Disciplinary Reflection on the Mechanisms, Causes, Impacts, and Management Challenges. Wiley Interdiscip. Rev. Water 2017, 4, e1231. [Google Scholar] [CrossRef]
- Krishnappan, B.G.; Engel, P. Entrapment of Fines in Coarse Sediment Beds. In River Flow 2006; Taylor & Francis: Abingdon, UK, 2006; pp. 817–824. ISBN 0-415-40815-6. [Google Scholar]
- Mooneyham, C.; Strom, K. Deposition of Suspended Clay to Open and Sand-Filled Framework Gravel Beds in a Laboratory Flume. Water Resour. Res. 2018, 54, 323–344. [Google Scholar] [CrossRef]
- Legout, C.; Droppo, I.G.; Coutaz, J.; Bel, C.; Jodeau, M. Assessment of Erosion and Settling Properties of Fine Sediments Stored in Cobble Bed Rivers: The Arc and Isère Alpine Rivers before and after Reservoir Flushing. Earth Surf. Process. Landf. 2018, 43, 1295–1309. [Google Scholar] [CrossRef]
- Rathburn, S.; Wohl, E. Predicting Fine Sediment Dynamics along a Pool-Riffle Mountain Channel. Geomorphology 2003, 55, 111–124. [Google Scholar] [CrossRef]
- Lau, Y.L.; Droppo, I.G. Influence of Antecedent Conditions on Critical Shear Stress of Bed Sediments. Water Res. 2000, 34, 663–667. [Google Scholar] [CrossRef]
- Gerbersdorf, S.U.; Jancke, T.; Westrich, B.; Paterson, D.M. Microbial Stabilization of Riverine Sediments by Extracellular Polymeric Substances. Geobiology 2008, 6, 57–69. [Google Scholar] [CrossRef]
- Tran, D.; Strom, K. Floc Sizes and Resuspension Rates from Fresh Deposits: Influences of Suspended Sediment Concentration, Turbulence, and Deposition Time. Estuar. Coast. Shelf Sci. 2019, 229, 106397. [Google Scholar] [CrossRef]
- Garcia-Aragon, J.; Droppo, I.G.; Krishnappan, B.G.; Trapp, B.; Jaskot, C. Erosion Characteristics and Floc Strength of Athabasca River Cohesive Sediments: Towards Managing Sediment-Related Issues. J. Soils Sediments 2011, 11, 679–689. [Google Scholar] [CrossRef]
- Krishnappan, B.G. Erosion Behaviour of Fine Sediment Deposits. Can. J. Civ. Eng. 2004, 31, 759–766. [Google Scholar] [CrossRef]
- Upadhayay, H.R.; Granger, S.J.; Collins, A.L. Dynamics of Fluvial Hydro-Sedimentological, Nutrient, Particulate Organic Matter and Effective Particle Size Responses during the U.K. Extreme Wet Winter of 2019–2020. Sci. Total Environ. 2021, 774, 145722. [Google Scholar] [CrossRef]
- Williams, N.D.; Walling, D.E.; Leeks, G.J.L. High Temporal Resolution in Situ Measurement of the Effective Particle Size Characteristics of Fluvial Suspended Sediment. Water Res. 2007, 41, 1081–1093. [Google Scholar] [CrossRef]
- Stone, M.; Krishnappan, B.G. Floc Morphology and Size Distributions of Cohesive Sediment in Steady-State Flow. Water Res. 2003, 37, 2739–2747. [Google Scholar] [CrossRef] [PubMed]
- Lambert, C.P.; Walling, D.E. Measurement of Channel Storage of Suspended Sediment in a Gravel-Bed River. Catena 1988, 15, 65–80. [Google Scholar] [CrossRef]
- American Public Health Association (APHA). Standard Methods for the Examination of Water and Wastewater, 19th ed.; APHA: Washington, DC, USA, 1995; ISBN 0-87553-223-3. [Google Scholar]
- Phillips, J.M.; Walling, D.E. Intra-Storm and Seasonal Variations in the Effective Particle Size Characteristics and Effective Particle Density of Fluvial Suspended Sediment in the Exe Basin, Devon, U.K. In Flocculation in Natural and Engineered Environmental Systems; CRC: Boca Raton, FL, USA, 2005. [Google Scholar]
- Droppo, I.G.; Jeffries, D.; Jaskot, C.; Backus, S. The Prevalence of Freshwater Flocculation in Cold Regions: A Case Study from the Mackenzie River Delta, Northwest Territories, Canada. Arctic 1998, 51, 155–164. [Google Scholar] [CrossRef]
- Lee, B.J.; Fettweis, M.; Toorman, E.; Molz, F.J. Multimodality of a Particle Size Distribution of Cohesive Suspended Particulate Matters in a Coastal Zone. J. Geophys. Res. Ocean 2012, 117, 117. [Google Scholar] [CrossRef]
- Mikkelsen, O.A.; Hill, P.S.; Milligan, T.G. Single-Grain, Microfloc and Macrofloc Volume Variations Observed with a LISST-100 and a Digital Floc Camera. J. Sea Res. 2006, 55, 87–102. [Google Scholar] [CrossRef]
- R Core Team, R. A Language and Environment for Statistical Computing 2023; R Core Team: Vienna, Austria, 2023. Available online: https://www.R-project.org/ (accessed on 10 November 2023).
- RStudio Team RStudio. Integrated Development Environment for R 2023; RStudio, PBC: Boston, MA, USA, 2023. Available online: http://www.rstudio.com/ (accessed on 10 November 2023).
- Kassambara, A. Rstatix: Pipe-Friendly Framework for Basic Statistical Tests. Available online: https://rpkgs.datanovia.com/rstatix/ (accessed on 15 November 2023).
- Wickham, H. Ggplot2: Elegant Graphics for Data Analysis; Springer: New York, NY, USA, 2016; ISBN 978-3-319-24277-4. [Google Scholar]
- Kassambara, A. Ggpubr: “ggplot2” Based Publication Ready Plots. Available online: https://rpkgs.datanovia.com/ggpubr/ (accessed on 15 November 2023).
- Partheniades, E.; Kennedy, J.F. Depositional Behavior of Fine Sediment in a Turbulent Fluid Motion. In Proceedings of the Coastal Engineering 1966, London, UK, 1–5 September 1966; pp. 707–729. [Google Scholar]
- Mehta, A.J.; Partheniades, E. An Investigation of the Depositional Properties of Flocculated Fine Sediments. J. Hydraul. Res. 1975, 13, 361–381. [Google Scholar] [CrossRef]
- Casson, L.W.; Lawler, D.F. Flocculation in Turbulent Flow: Measurement and Modeling of Particle Size Distributions. J. AWWA 1990, 82, 54–68. [Google Scholar] [CrossRef]
- Eisma, D. Flocculation and De-Flocculation of Suspended Matter in Estuaries. Neth. J. Sea Res. 1986, 20, 183–199. [Google Scholar] [CrossRef]
- Spencer, K.L.; Wheatland, J.A.T.; Bushby, A.J.; Carr, S.J.; Droppo, I.G.; Manning, A.J. A Structure–Function Based Approach to Floc Hierarchy and Evidence for the Non-Fractal Nature of Natural Sediment Flocs. Sci. Rep. 2021, 11, 14012. [Google Scholar] [CrossRef]
- Ho, Q.N.; Fettweis, M.; Spencer, K.L.; Lee, B.J. Flocculation with Heterogeneous Composition in Water Environments: A Review. Water Res. 2022, 213, 118147. [Google Scholar] [CrossRef]
- Guo, C.; Manning, A.J.; Bass, S.; Guo, L.; He, Q. A Quantitative Lab Examination of Floc Fractal Property Considering Influences of Turbulence, Salinity and Sediment Concentration. J. Hydrol. 2021, 601, 126574. [Google Scholar] [CrossRef]
- Koiter, A.J.; Owens, P.N.; Petticrew, E.L.; Lobb, D.A. The Role of Gravel Channel Beds on the Particle Size and Organic Matter Selectivity of Transported Fine-Grained Sediment: Implications for Sediment Fingerprinting and Biogeochemical Flux Research. J. Soils Sediments 2015, 15, 2174–2188. [Google Scholar] [CrossRef]
- Spicer, P.T.; Pratsinis, S.E.; Raper, J.; Amal, R.; Bushell, G.; Meesters, G. Effect of Shear Schedule on Particle Size, Density, and Structure during Flocculation in Stirred Tanks. Powder Technol. 1998, 97, 26–34. [Google Scholar] [CrossRef]
- Strom, K.; Keyvani, A. Flocculation in a Decaying Shear Field and Its Implications for Mud Removal in Near-field River Mouth Discharges. J. Geophys. Res. Ocean 2016, 121, 2142–2162. [Google Scholar] [CrossRef]
- Spicer, P.T.; Pratsinis, S.E. Shear-Induced Flocculation: The Evolution of Floc Structure and the Shape of the Size Distribution at Steady State. Water Res. 1996, 30, 1049–1056. [Google Scholar] [CrossRef]
- Jarvis, P.; Jefferson, B.; Gregory, J.; Parsons, S.A. A Review of Floc Strength and Breakage. Water Res. 2005, 39, 3121–3137. [Google Scholar] [CrossRef]
- Detert, M.; Parker, G. Estimation of the Washout Depth of Fine Sediments from a Granular Bed. J. Hydraul. Eng. 2010, 136, 790–793. [Google Scholar] [CrossRef]
- Kuhnle, R.A.; Wren, D.G.; Langendoen, E.J. Erosion of Sand from a Gravel Bed. J. Hydraul. Eng. 2016, 142, 04015052. [Google Scholar] [CrossRef]
- Schälchli, U. The Clogging of Coarse Gravel River Beds by Fine Sediment. Hydrobiologia 1992, 235–236, 189–197. [Google Scholar] [CrossRef]
- Gibson, S.; Abraham, D.; Heath, R.; Schoellhamer, D. Vertical Gradational Variability of Fines Deposited in a Gravel Framework. Sedimentology 2009, 56, 661–676. [Google Scholar] [CrossRef]
- Wohl, E. Legacy Effects on Sediments in River Corridors. Earth-Sci. Rev. 2015, 147, 30–53. [Google Scholar] [CrossRef]






Disclaimer/Publisher’s Note: The statements, opinions and data contained in all publications are solely those of the individual author(s) and contributor(s) and not of MDPI and/or the editor(s). MDPI and/or the editor(s) disclaim responsibility for any injury to people or property resulting from any ideas, methods, instructions or products referred to in the content. |
© 2024 by the authors. Licensee MDPI, Basel, Switzerland. This article is an open access article distributed under the terms and conditions of the Creative Commons Attribution (CC BY) license (https://creativecommons.org/licenses/by/4.0/).
Share and Cite
Maltauro, R.; Stone, M.; Collins, A.L.; Krishnappan, B.G. Evaluating Effective Particle Size Distributions of Cohesive Sediment under Varying Shear Stress and Bed Configurations in a Rotating Annular Flume. Water 2024, 16, 546. https://doi.org/10.3390/w16040546
Maltauro R, Stone M, Collins AL, Krishnappan BG. Evaluating Effective Particle Size Distributions of Cohesive Sediment under Varying Shear Stress and Bed Configurations in a Rotating Annular Flume. Water. 2024; 16(4):546. https://doi.org/10.3390/w16040546
Chicago/Turabian StyleMaltauro, Rafaela, Micheal Stone, Adrian L. Collins, and Bommanna G. Krishnappan. 2024. "Evaluating Effective Particle Size Distributions of Cohesive Sediment under Varying Shear Stress and Bed Configurations in a Rotating Annular Flume" Water 16, no. 4: 546. https://doi.org/10.3390/w16040546
APA StyleMaltauro, R., Stone, M., Collins, A. L., & Krishnappan, B. G. (2024). Evaluating Effective Particle Size Distributions of Cohesive Sediment under Varying Shear Stress and Bed Configurations in a Rotating Annular Flume. Water, 16(4), 546. https://doi.org/10.3390/w16040546

