Assessing Water-Saving Technologies and the Impact of Giant Tortoise Herbivory on the Restoration of Opuntia megasperma var. orientalis on Española Island—Galapagos
Abstract
1. Introduction
2. Materials and Methods
2.1. Study Area
2.2. Implementation of the Study
2.3. Statistical Analysis
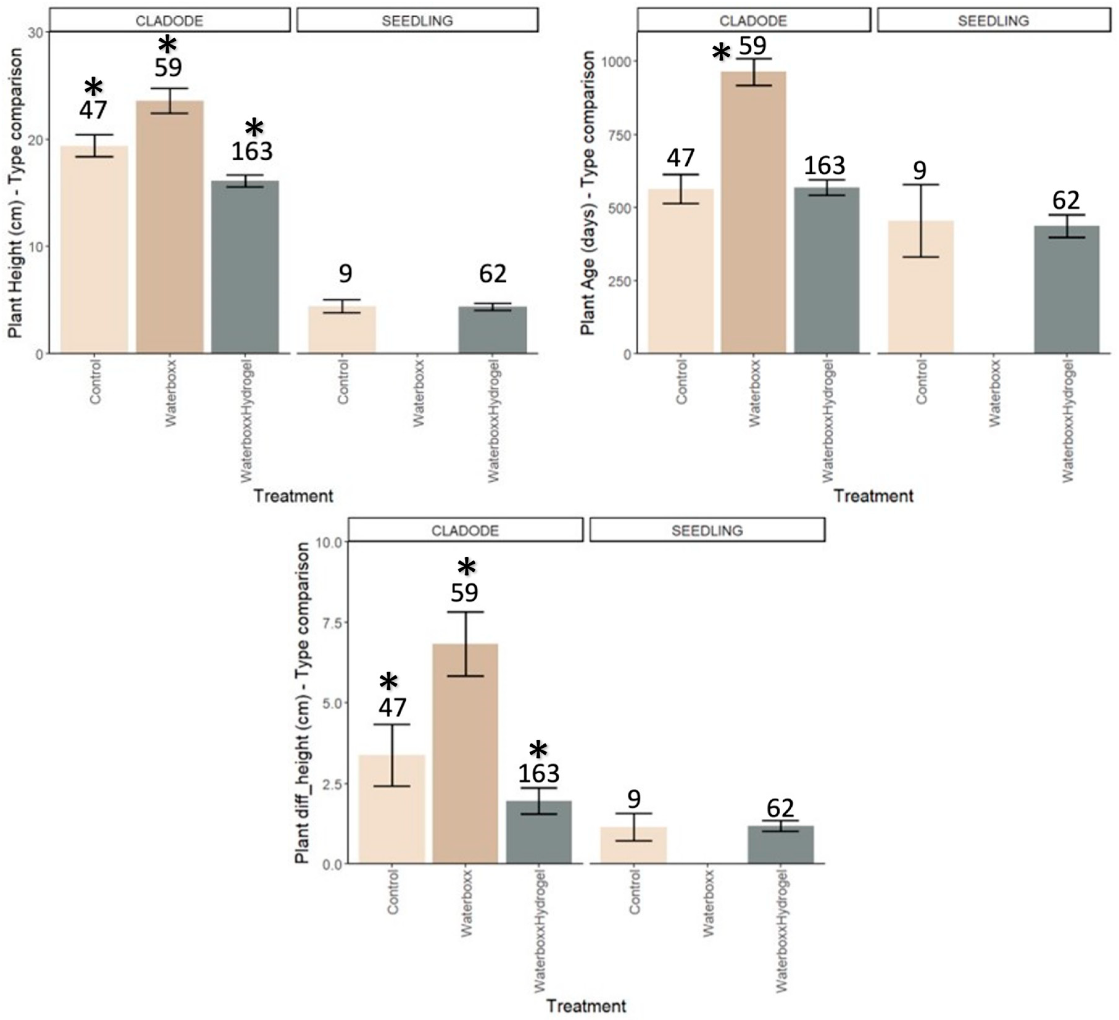
3. Results
3.1. Survival Analysis
3.2. Effect of Water-Saving Technologies on Height, Age, and Growth of Plants
3.3. Cladodes vs. Seedlings
4. Discussion
5. Conclusions
Supplementary Materials
Author Contributions
Funding
Institutional Review Board Statement
Informed Consent Statement
Data Availability Statement
Acknowledgments
Conflicts of Interest
References
- Wiggins, I.L.; Porter, D.M.; Anderson, E.F. Flora of the Galapagos Islands; Stanford University Press: Stanford, CA, USA, 1971. [Google Scholar]
- Mcmullen, C. Flowering Plants of the Galapagos; Cornell University Press: Ithaca, NY, USA; London, UK, 2018. [Google Scholar]
- Tye, A.; Francisco-Ortega, J. Origins and evolution of Galapagos endemic vascular plants. In The Biology of Island Floras; Bramwell, D., Caujapé-Castells, J., Eds.; Cambridge University Press: Cambridge, UK, 2011; pp. 89–153. [Google Scholar] [CrossRef]
- Anderson, E.F. The Cactus Family; Timber Press: Portland, OR, USA, 2001. [Google Scholar]
- Tapia, P.I.; Negoita, L.; Gibbs, J.P.; Jaramillo, P. Effectiveness of water-saving technologies during early stages of restoration of endemic Opuntia cacti in the Galápagos Islands, Ecuador. PeerJ 2019, 7. [Google Scholar] [CrossRef] [PubMed]
- Hicks, D.J.; Mauchamp, A. Size-dependent predation by feral mammals on Galápagos Opuntia. Galapagos Rep. 1995, 53, 26–28. [Google Scholar]
- Howell, J.T. The Cactaceae of the Galapagos Islands. Calif. Acad. Sci. 1933, 21, 41–54. [Google Scholar]
- León-Yánez, S.; Valencia, R.; Pitman, N.; Endara, L.; Ulloa, C.U.; Navarrete, H. Libro Rojo de las Plantas Endémicas del Ecuador, 2nd ed.; Publicaciones del Herbario QCA; Pontificia Universidad Católica del Ecuador; Ministerio del Ambiente: Quito, Ecuador, 2011. [Google Scholar]
- Beck, R.H. In the home of the giant tortoise. In 7th Annual Report of the New York. Zoological Society; Nabu Press: CA, USA, 1903; Volume 7, pp. 160–174. [Google Scholar]
- Slevin, J.R. Log of the Schooner “Academy” on a voyage of Scientific research to the Galápagos Islands 1905–1906. Occas. Pap. Calif. Acad. Sci. 1931, 17, 1–162. [Google Scholar]
- Coronel, V. Distribución y Reestablecimiento de Opuntia Megasperma var. Orientalis Howell. (Cactaceae) en Punta Cevallos, Isla Española—Galápagos; Universidad del Azuay: Cuenca, Ecuador, 2002. [Google Scholar]
- Gibbs, J.P.; Márquez, C.; Sterling, E.J. The role of endangered species reintroduction in ecosystem restoration: Tortoise-cactus interactions on Española Island, Galápagos. Restor. Ecol. 2008, 16, 88–93. [Google Scholar] [CrossRef]
- Tapia, P.I. Dietary Choice of a Recently Described Giant Tortoise Species (Chelonoidis donfaustoi) in the Galapagos Islands, Ecuador during the Dry Season. Bachelor’s Thesis, Newcastle University, Newcastle upon Tyne, UK, 2019. [Google Scholar]
- Blake, S.; Yackulic, C.B.; Cabrera, F.; Deem, S.L.; Ellis-Soto, D.; Gibbs, J.P.; Kummeth, F.; Wikelski, M.; Bastille, R. Movement ecology. In Galapagos Giant Tortoise; Gibbs, J.P., Cayot, L.J., Tapia Aguilera, W., Eds.; Academic Press: Elsevier, CA, USA, 2021; Chapter 13; pp. 261–280. [Google Scholar] [CrossRef]
- Tapia, W.; Gibbs, J.P. Rewilding giant tortoises engineers plant communities at local to landscape scales. Conserv. Lett. 2023, 16. [Google Scholar] [CrossRef]
- Caccone, A.G.; Powell, J.R. Giant Tortoise Mapping Their Genetic Past and Future; Department of Ecology and Evolutionary Biology: New Haven, CT, USA; pp. 98–104.
- Gosliner, T. Galápagos Islands, Biology. In Encyclopedia of Islands; Gillespie, R.G., Claque, D., Eds.; University of California Press: Berkeley, CA, USA, 2009; pp. 357–367. [Google Scholar]
- Cayot, L.J. Española Island: From Near Extinction to Recovery. In Galapagos Giant Tortoises; Gibbs, J.P., Cayot, L.J., Tapia, W., Eds.; Elsevier: New York, NY, USA, 2021; pp. 435–450. [Google Scholar]
- Gibbs, J.P.; Hunter, E.A.; Shoemaker, K.T.; Tapia, W.H.; Cayot, L.J. Demographic Outcomes and Ecosystem Implications of Española Island, Giant Tortoise Reintroduction to Espan Galapagos. PLoS ONE 2014, 9. [Google Scholar] [CrossRef] [PubMed]
- Tapia, W.; Goldspiel, H.B.; Gibbs, J.P. Introduction of giant tortoises as a replacement “ecosystem engineer” to facilitate restoration of Santa Fe Island, Galapagos. Restor. Ecol. 2021, 30. [Google Scholar] [CrossRef]
- Atkinson, R. Rescuing and Restoring the Endangered Native Plants of Espanola Island, Galapagos. A Report to JAGA and Keidanren Nature Conservation Foundation; The Charles Darwin Foundation: Puerto Ayora, Ecuador, 2007; pp. 1–14. [Google Scholar]
- Grant, P.R.; Grant, B.R. The slow recovery of Opuntia megasperma on Española. Not. Galapagos 1989, 48, 13–15. [Google Scholar]
- Márquez, C.; Vargas, F.H.; Snell, H.L.; Mauchamp, A.; Gibbs, J.P.; Tapia, W. ¿Porque hay tan pocas Opuntia en Galápagos? Ecol. Apl. 2003, 2, 21–29. [Google Scholar] [CrossRef][Green Version]
- Hoff, P. Groasis technology: Manual de instrucciones de plantación. In Planting Manual Groasis Waterboxx® Plant Cocoon—Groasis Has Been Designated as National Icon by the Dutch Government for Being One of the 3 Most Innovative Projects of The Netherlands; Nationale Iconen: The Netherlands, 2014; p. 27. [Google Scholar]
- Negoita, L.; Gibbs, J.P.; Jaramillo, P. Cost-effectiveness of water-saving technologies for restoration of tropical dry forest: A case study from the Galapagos Islands, Ecuador. Restor. Ecol. 2021, 30. [Google Scholar] [CrossRef]
- Jaramillo, P.; Lorenz, S.; Ortiz, G.; Cueva, P.; Jiménez, E.; Ortiz, J.; Rueda, D.; Freire, M.; Gibbs, J.P.; Tapia, W. Galapagos Verde 2050: An opportunity to restore degraded ecosystems and promote sustainable agriculture in the Archipelago. In Galapagos Report 2013–2014; GNPD, GCREG, CDF, GC, Eds.; Puerto Ayora, Ecuador, 2015; pp. 133–143. Available online: https://www.researchgate.net/profile/Patricia-Jaramillo-Diaz/publication/281842310_Galapagos_Verde_2050_An_opportunity_to_restore_degraded_ecosystems_and_promote_sustainable_agriculture_in_the_Archipelago/links/5ea241ffa6fdcc88fc3a1142/Galapagos-Verde-2050-An-opportunity-to-restore-degraded-ecosystems-and-promote-sustainable-agriculture-in-the-Archipelago.pdf (accessed on 18 January 2024).
- Neethu, T.M.; Dubey, P.K.; Kaswala, A.R. Prospects and applications of hydrogel technology in agriculture. Int. J. Curr. Microbiol. Appl. Sci. 2018, 7, 3155–3162. [Google Scholar] [CrossRef]
- Sahu, N.; Gupta, D.; Ujjwal, N. Hydrogel: Preparation, Characterization and Applications. Asian Pac. J. Nurs. Health Sci. 2020, 3, 1–11. [Google Scholar]
- Jaramillo, P.; Calle-loor, A.; Velasco, N.; Cevallos, D. Water-Saving Technologies in Galapagos Agriculture: A Step towards Sustainability. Horticulturae 2023, 9, 683. [Google Scholar] [CrossRef]
- Jaramillo, P.; Cornejo, F.; Solís, M.; Mayorga, P.; Negoita, L. Effect of water-saving technologies on productivity and profitability of tomato cultivation in Galapagos, Ecuador. J. Appl. Hortic. 2023, 24, 296–301. [Google Scholar] [CrossRef]
- Jaramillo, P. Galapagos Verde 2050 Is Starting the Process of Ecological Restoration on Española Island. [Online Blog] Darwinfoundation.org. Available online: https://www.darwinfoundation.org/en/blog-articles/138-galapagos-verde-2050-is-starting-the-process-of-ecological-restoration-on-espanola-island (accessed on 8 December 2021).
- GVS A Satellite-Based Environmental Monitoring System for the Galapagos Archipelago. Galapagos Conservancy. Available online: https://www.galapagosvitalsigns.org/terrestrial/santacruz/precipitation/ (accessed on 18 January 2024).
- Jaramillo, P.; Tapia, W.; Negoita, L.; Plunkett, E.; Guerrero, M.; Mayorga, P.; Gibbs, J.P. The Galapagos Verde 2050 Project; Paramillo, P., Tapia, W., Gibbs, J.P., Eds.; Charles Darwin Foundation: Puerto Ayora, Ecuador, 2020; Volume 1, p. 67. [Google Scholar]
- Cosecha Lluvia Cosecha de Lluvia: El Primer Hidroretenedor en Ecuador con Hidrogel. Cosecha de Lluvia. Available online: https://www.cosechadelluvia.com/cosecha-de-lluvia-conoce-mas (accessed on 18 January 2024).
- Jaramillo, P.; Calle-Loor, A.; Gualoto, E.; Bolaños, C.; Cevallos, D. Adoption of Sustainable Agriculture Practices Through Participatory Research: A Case Study on Galapagos Islands Farmers Using Water-Saving Technologies. Plants 2022, 11, 2848. [Google Scholar] [CrossRef] [PubMed]
- Quick Agro. Fertilizantes, estimulantes y reguladores. In Vademecum Agrícola; Edifarm: Quito, Ecuador, 2016; p. 250. [Google Scholar]
- Holm, S. A simple sequentially rejective multiple test procedure. Scand. J. Stat. 1979, 6, 65–70. [Google Scholar]
- R Core Team. R a Language and Environment for Statistical Computing; R Foundation for Statistical Computing: Vienna, Austria, 2023; Available online: https://www.R-project.org/ (accessed on 20 May 2023).
- Geng, T.; Jia, F.; Cai, W.; Wu, L.; Gan, B.; Jing, Z.; Li, S.; McPhaden, M.J. Increased occurrences of consecutive La Niña events under global warming. Nature 2023, 619, 774–781. [Google Scholar] [CrossRef] [PubMed]
- Kumar, S.; Louhaichi, M.; Dana Ram, P.; Tirumala, K.K.; Ahmad, S.; Rai, A.K.; Appaswamygowda, B.H. Cactus pear (Opuntia ficus-indica) productivity, proximal composition and soil parameters as affected by planting time and agronomic management in a semi-arid region of india. Agronomy 2021, 11, 1647. [Google Scholar] [CrossRef]
- Plunkett, E. Galapagos Verde 2050: Bringing Ecological Integrity Back to South Plaza. 2019. Available online: https://www.darwinfoundation.org/en/blog-articles/461-gv2050-bringing-ecological-integrity-back-to-south-plaza (accessed on 18 January 2024).
- Scalisi, A.; Morandi, B.; Inglese, P.; Lo-Bianco, R. Cladode growth dynamics in Opuntia ficus-indica under drought. Environ. Exp. Bot. 2016, 122, 158–167. [Google Scholar] [CrossRef]



| Planting Date | Treatment | Cladodes | Seedlings | Total by Batch | Temperature | Precipitation |
|---|---|---|---|---|---|---|
| (°C) | (mm) | |||||
| 26 June 2017 | C | 8 | 0 | 48 | 24.7 | 1.71 |
| W + H | 40 | 0 | ||||
| 22 November 2017 | C | 7 | 0 | 66 | 26 | 3.4 |
| W | 59 | 0 | ||||
| 20 November 2018 | C | 0 | 9 | 82 | 26.9 | 4.2 |
| W + H | 0 | 73 | ||||
| 6 February 2019 | C | 4 | 0 | 14 | 27.6 | 136.8 |
| W + H | 10 | 0 | ||||
| 26 April 2019 | C | 3 | 0 | 20 | 26.6 | 195.5 |
| W + H | 17 | 0 | ||||
| 31 August 2019 | C | 25 | 0 | 110 | 21.5 | 20.8 |
| W + H | 85 | 0 | ||||
| Total cladodes or seedlings | 258 | 82 | ||||
| Total W + H | 225 | |||||
| Total Waterboxx | 59 | |||||
| Total Control | 56 | |||||
| Total plants | 340 | |||||
| Batch 1 | Batch 2 | Batch 3 | Batch 4 | Batch 5 | Batch 6 | ||
|---|---|---|---|---|---|---|---|
| Trait | N | 48 | 66 | 82 | 14 | 20 | 110 |
| Plant height | F | 1.613 | 0.041 | 0.012 | 6.439 | 0.305 | 8.169 |
| p | 0.211 | 0.840 | 0.972 | 0.026 | 0.587 | 0.005 | |
| Plant age | F | 0.129 | 10.233 | 0.026 | 0.064 | 18.773 | 17.864 |
| p | 0.720 | 0.002 | 0.872 | 0.803 | <0.001 | <0.001 | |
| Plant growth | F | 0.127 | 0.827 | 0.001 | 1.573 | 1.468 | 21.055 |
| p | 0.723 | 0.366 | 0.920 | 0.233 | 0.241 | <0.001 |
Disclaimer/Publisher’s Note: The statements, opinions and data contained in all publications are solely those of the individual author(s) and contributor(s) and not of MDPI and/or the editor(s). MDPI and/or the editor(s) disclaim responsibility for any injury to people or property resulting from any ideas, methods, instructions or products referred to in the content. |
© 2024 by the authors. Licensee MDPI, Basel, Switzerland. This article is an open access article distributed under the terms and conditions of the Creative Commons Attribution (CC BY) license (https://creativecommons.org/licenses/by/4.0/).
Share and Cite
Cevallos, D.; Jaramillo Díaz, P. Assessing Water-Saving Technologies and the Impact of Giant Tortoise Herbivory on the Restoration of Opuntia megasperma var. orientalis on Española Island—Galapagos. Water 2024, 16, 369. https://doi.org/10.3390/w16030369
Cevallos D, Jaramillo Díaz P. Assessing Water-Saving Technologies and the Impact of Giant Tortoise Herbivory on the Restoration of Opuntia megasperma var. orientalis on Española Island—Galapagos. Water. 2024; 16(3):369. https://doi.org/10.3390/w16030369
Chicago/Turabian StyleCevallos, David, and Patricia Jaramillo Díaz. 2024. "Assessing Water-Saving Technologies and the Impact of Giant Tortoise Herbivory on the Restoration of Opuntia megasperma var. orientalis on Española Island—Galapagos" Water 16, no. 3: 369. https://doi.org/10.3390/w16030369
APA StyleCevallos, D., & Jaramillo Díaz, P. (2024). Assessing Water-Saving Technologies and the Impact of Giant Tortoise Herbivory on the Restoration of Opuntia megasperma var. orientalis on Española Island—Galapagos. Water, 16(3), 369. https://doi.org/10.3390/w16030369

