Exploring the Behavior of the High-Andean Wetlands in the Semi-Arid Zone of Chile: The Influence of Precipitation and Temperature Variability on Vegetation Cover and Water Quality
Abstract
1. Introduction
2. Materials and Methods
2.1. Study Area
2.2. Satellite Data
2.3. Historical Precipitation and Water Quality Data
2.4. Normalized Difference Indices
2.5. Time-Series Analysis
2.6. Boxplot Analysis
2.7. Least-Squares Regression Analysis
3. Results and Discussion
3.1. Analysis of Temporal Behavior of Indices with Respect to Wetland Chain Precipitation
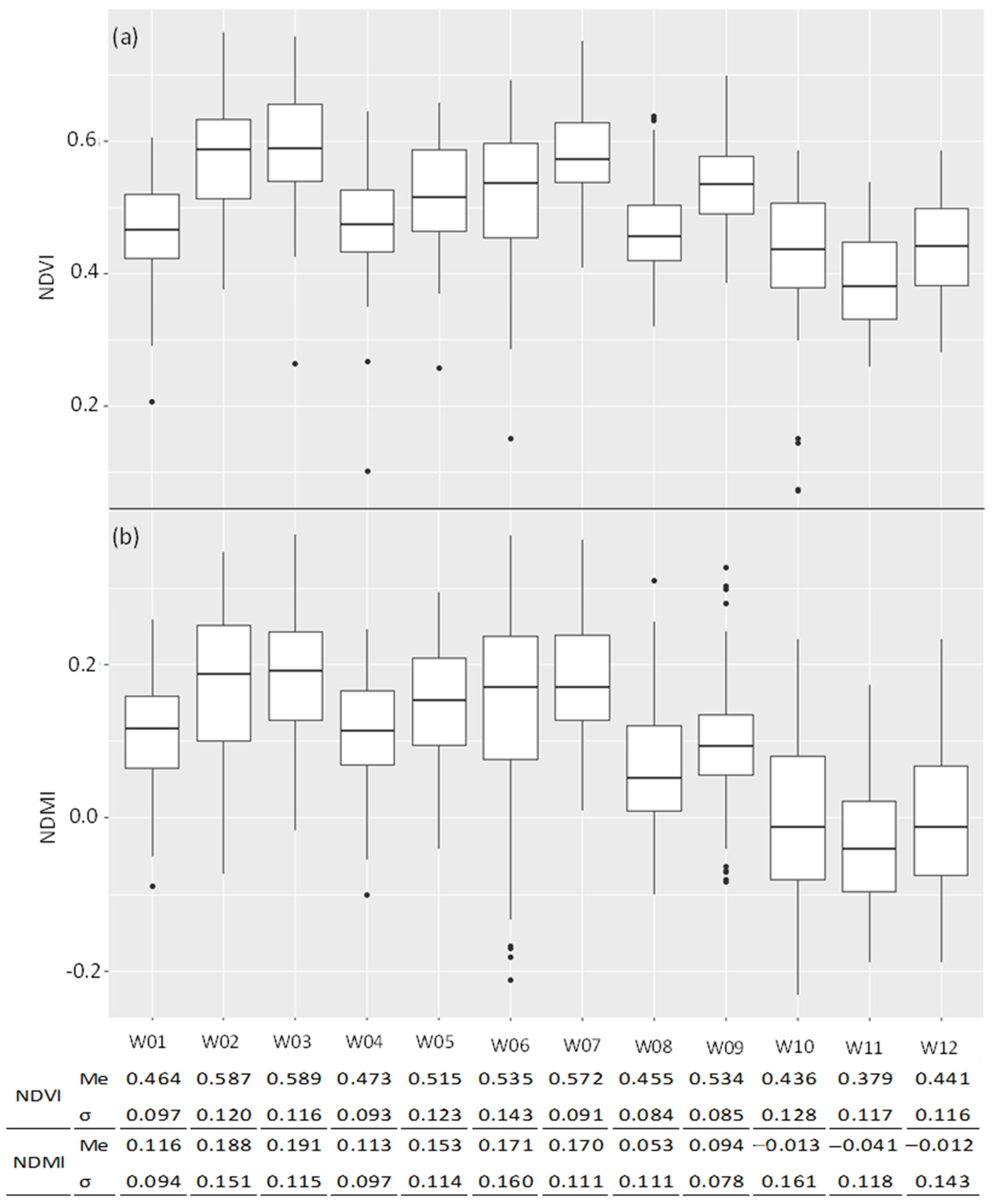
3.2. Spatial Analysis of Vegetation Cover by Wetland
Influence of Terrain Characteristics on the Wetlands
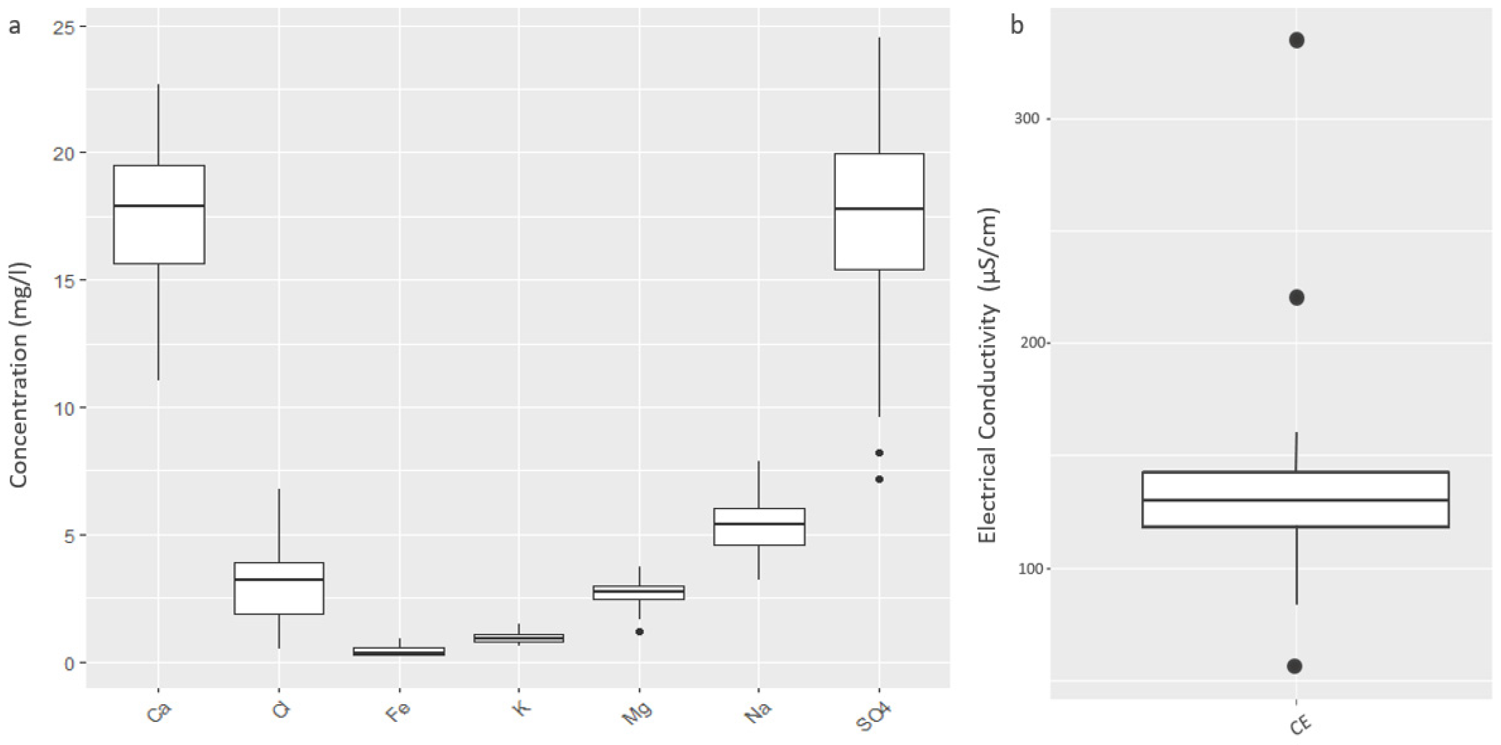
3.3. Linear Relationships Between Vegetation Cover and Selected Water Quality Parameters
4. Conclusions
Supplementary Materials
Author Contributions
Funding
Data Availability Statement
Acknowledgments
Conflicts of Interest
References
- Barducci, A.; Guzzi, D.; Marcoionni, P.; Pippi, I. Aerospace wetland monitoring by hyperspectral imaging sensors: A case study in the coastal zone of San Rossore Natural Park. J. Environ. Manag. 2009, 90, 2278–2286. [Google Scholar] [CrossRef] [PubMed]
- Yager, K.; Prieto, M.; Meneses, R.I. Reframing Pastoral Practices of Bofedal Management to Increase the Resilience of Andean Water Towers. Mt. Res. Dev. 2021, 41, A1–A9. [Google Scholar] [CrossRef]
- Ramsar Convention Secretariat. Manual de la Convención de Ramsar, 6th ed.; Secretaría de la Convención de Ramsar: Gland, Switzerland, 2013; Available online: https://www.ramsar.org/sites/default/files/documents/library/manual6-2013-sp.pdf (accessed on 11 March 2024).
- U.S. Environmental Protection Agency. Why Are Wetlands Important? Available online: https://www.epa.gov/wetlands/why-are-wetlands-important (accessed on 9 November 2024).
- U.S. Geological Survey. Why Are Wetlands Important? Available online: https://www.usgs.gov/faqs/why-are-wetlands-important (accessed on 11 March 2024).
- Mitsch, W.J.; Bernal, B.; Hernandez, M.E. Ecosystem Services of Wetlands. Int. J. Biodivers. Sci. Ecosyst. Serv. Manag. 2015, 11, 1–4. [Google Scholar] [CrossRef]
- Marton, J.M.; Chowdhury, R.R.; Craft, C.B. A Comparison of the Spatial Variability of Denitrification and Related Soil Properties in Restored and Natural Depression Wetlands in Indiana, USA. Int. J. Biodivers. Sci. Ecosyst. Serv. Manag. 2014, 11, 36–45. [Google Scholar] [CrossRef]
- Evenson, G.R.; Golden, H.E.; Lane, C.R.; McLaughlin, D.L.; D’Amico, E. Depressional Wetlands Affect Watershed Hydrological, Biogeochemical, and Ecological Functions. Ecol. Appl. 2018, 28, 953–966. [Google Scholar] [CrossRef]
- Lane, C.R.; Leibowitz, S.G.; Autrey, B.C.; LeDuc, S.D.; Alexander, L.C. Hydrological, Physical, and Chemical Functions and Connectivity of Non-Floodplain Wetlands to Downstream Waters: A Review. JAWRA J. Am. Water Resour. Assoc. 2018, 54, 346–371. [Google Scholar] [CrossRef] [PubMed]
- Cheng, F.Y.; Van Meter, K.J.; Byrnes, D.K.; Basu, N.B. Maximizing US Nitrate Removal through Wetland Protection and Restoration. Nature 2020, 588, 625–630. [Google Scholar] [CrossRef]
- Fritz, K.M.; Schofield, K.A.; Alexander, L.C.; McManus, M.G.; Golden, H.E.; Lane, C.R.; Kepner, W.G.; LeDuc, S.D.; DeMeester, J.E.; Pollard, A.I. Physical and Chemical Connectivity of Streams and Riparian Wetlands to Downstream Waters: A Synthesis. JAWRA J. Am. Water Resour. Assoc. 2018, 54, 323–345. [Google Scholar] [CrossRef] [PubMed]
- Lu, S.; Li, J.; Si, J.; Miao, Y.; Qi, X.; Zhang, X.; Bao, W.; Zhang, X.; Zhou, S.; Jin, C.; et al. Evaluation and Prediction of Water Quality of Typical Wetlands in the Source Region of the Yangtze River. Water 2023, 15, 1612. [Google Scholar] [CrossRef]
- Qiu, J.; Shen, Z.; Xie, H. Drought Impacts on Hydrology and Water Quality under Climate Change. Sci. Total Environ. 2022, 858, 159854. [Google Scholar] [CrossRef] [PubMed]
- Squeo, F.A.; Warner, B.G.; Aravena, R.; Espinoza, D. Bofedales: High Altitude Peatlands of the Central Andes. Rev. Chil. Hist. Nat. 2006, 79, 245–255. [Google Scholar] [CrossRef]
- Hribljan, J.A.; Cooper, D.J.; Sueltenfuss, J.; Wolf, E.C.; Heckman, K.A.; Lilleskov, E.; Chimner, R.A. Carbon Storage and Long-Term Rate of Accumulation in High-Altitude Andean Peatlands of Bolivia. Mires Peat 2015, 15, 1–14. [Google Scholar]
- Aponte-Saravia, J.; Ospina-Noreña, J.E. Evaluando El Desempeño de Índices Espectrales Para Identificar Humedales Alto Andinos. Rev. Teledetec. 2019, 53, 59–72. [Google Scholar] [CrossRef]
- Anderson, T.G.; Christie, D.A.; Chávez, R.O.; Olea, M.; Anchukaitis, K.J. Spatiotemporal Peatland Productivity and Climate Relationships across the Western South American Altiplano. J. Geophys. Res. Biogeosci. 2021, 126, e2020JG005994. [Google Scholar] [CrossRef]
- Ashok, A.; Rani, H.P.; Jayakumar, K.V. Monitoring of Dynamic Wetland Changes Using NDVI and NDWI Based Landsat Imagery. Remote Sens. Appl. Soc. Environ. 2021, 23, 100547. [Google Scholar] [CrossRef]
- De La Fuente, A.; Meruane, C.; Suárez, F. Long-Term Spatiotemporal Variability in High Andean Wetlands in Northern Chile. Sci. Total Environ. 2020, 756, 143830. [Google Scholar] [CrossRef]
- Uribe-Álvarez, M.C.; Prieto, M.; Meseguer-Ruiz, O. Bofedal Response to Climate Variability, Local Management, and Water Extraction: A Case Study of Chucuyo, Northern Chile. J. Mt. Sci. 2021, 19, 241–252. [Google Scholar] [CrossRef]
- Chávez, R.O.; Meseguer-Ruiz, O.; Olea, M.; Calderón-Seguel, M.; Yager, K.; Meneses, R.I.; Lastra, J.A.; Núñez-Hidalgo, I.; Sarricolea, P.; Serrano-Notivoli, R.; et al. Andean Peatlands at Risk? Spatiotemporal Patterns of Extreme NDVI Anomalies, Water Extraction and Drought Severity in a Large-Scale Mining Area of Atacama, Northern Chile. Int. J. Appl. Earth Obs. Geoinf. 2022, 116, 103138. [Google Scholar] [CrossRef]
- Luo, N.; Yu, R.; Wen, B. Characteristics of Changes in Typical Mountain Wetlands in the Middle and High Latitudes of China over the Past 30 Years. Land 2024, 13, 1124. [Google Scholar] [CrossRef]
- Valois, R.; Schaffer, N.; Figueroa, R.; Maldonado, A.; Yáñez, E.; Hevia, A.; Carrizo, G.Y.; MacDonell, S. Characterizing the Water Storage Capacity and Hydrological Role of Mountain Peatlands in the Arid Andes of North-Central Chile. Water 2020, 12, 1071. [Google Scholar] [CrossRef]
- Guo, M.; Li, J.; Sheng, C.; Xu, J.; Wu, L. A Review of Wetland Remote Sensing. Sensors 2017, 17, 777. [Google Scholar] [CrossRef]
- Ju, Y.; Bohrer, G. Classification of Wetland Vegetation Based on NDVI Time Series from the HLS Dataset. Remote Sens. 2022, 14, 2107. [Google Scholar] [CrossRef]
- Jombo, S.; Adelabu, S. Evaluating Landsat-8, Landsat-9 and Sentinel-2 Imageries in Land Use and Land Cover (LULC) Classification in a Heterogeneous Urban Area. GeoJournal 2023, 88, 377–399. [Google Scholar] [CrossRef]
- Rapinel, S.; Panhelleux, L.; Gayet, G.; Vanacker, R.; Lemercier, B.; Laroche, B.; Chambaud, F.; Guelmami, A.; Hubert-Moy, L. National Wetland Mapping Using Remote-Sensing-Derived Environmental Variables, Archive Field Data, and Artificial Intelligence. Heliyon 2023, 9, e13482. [Google Scholar] [CrossRef]
- Zhang, H.; Guo, J.; Li, X.; Liu, Y.; Wang, T. Spatiotemporal Variation in and Responses of the NDVI to Climate in Western Ordos and Eastern Alxa. Sustainability 2023, 15, 4375. [Google Scholar] [CrossRef]
- Mashala, M.J.; Dube, T.; Mudereri, B.T.; Ayisi, K.K.; Ramudzuli, M.R. A Systematic Review on Advancements in Remote Sensing for Assessing and Monitoring Land Use and Land Cover Changes Impacts on Surface Water Resources in Semi-Arid Tropical Environments. Remote Sens. 2023, 15, 3926. [Google Scholar] [CrossRef]
- Monteiro, A.T.; Arenas-Castro, S.; Punalekar, S.M.; Cunha, M.; Mendes, I.; Giamberini, M.; Da Costa, E.M.; Fava, F.; Lucas, R. Remote Sensing of Vegetation and Soil Moisture Content in Atlantic Humid Mountains with Sentinel-1 and 2 Satellite Sensor Data. Ecol. Indic. 2024, 163, 112123. [Google Scholar] [CrossRef]
- Filippa, G.; Cremonese, E.; Galvagno, M.; Isabellon, M.; Bayle, A.; Choler, P.; Carlson, B.Z.; Gabellani, S.; Morra di Cella, U.; Migliavacca, M. Climatic Drivers of Greening Trends in the Alps. Remote Sens. 2019, 11, 2527. [Google Scholar] [CrossRef]
- Obuchowicz, C.; Poussin, C.; Giuliani, G. Change in Observed Long-Term Greening across Switzerland—Evidence from a Three Decades NDVI Time-Series and Its Relationship with Climate and Land Cover Factors. Big Earth Data 2023, 8, 1–32. [Google Scholar] [CrossRef]
- Zhang, Y.; Gao, J.; Liu, L.; Wang, Z.; Ding, M.; Yang, X. NDVI-Based Vegetation Changes and Their Responses to Climate Change from 1982 to 2011: A Case Study in the Koshi River Basin in the Middle Himalayas. Glob. Planet. Chang. 2013, 108, 139–148. [Google Scholar] [CrossRef]
- Li, Y.; Hou, Z.; Zhang, L.; Qu, Y.; Zhou, G.; Lin, J.; Li, J.; Huang, K. Long-term spatio-temporal changes of wetlands in Tibetan Plateau and their response to climate change. Int. J. Appl. Earth Obs. Geoinf. 2023, 121, 103351. [Google Scholar] [CrossRef]
- Pan, F.; Xie, J.; Lin, J.; Zhao, T.; Ji, Y.; Hu, Q.; Pan, X.; Wang, C.; Xi, X. Evaluation of Climate Change Impacts on Wetland Vegetation in the Dunhuang Yangguan National Nature Reserve in Northwest China Using Landsat Derived NDVI. Remote Sens. 2018, 10, 735. [Google Scholar] [CrossRef]
- Lagomasino, D.; Price, R.M.; Whitman, D.; Campbell, P.K.E.; Melesse, A. Estimating Major Ion and Nutrient Concentrations in Mangrove Estuaries in Everglades National Park Using Leaf and Satellite Reflectance. Remote Sens. Environ. 2014, 154, 202–218. [Google Scholar] [CrossRef]
- Liu, X.; Zhou, Z.; Ding, Y. Vegetation Coverage Change and Erosion Types Impacts on the Water Chemistry in Western China. Sci. Total Environ. 2021, 772, 145543. [Google Scholar] [CrossRef] [PubMed]
- Vieira, F.R.; Christofaro, C. Contributions of the Vegetation Index (NDVI) in Water Quality Prediction Models in a Semi-Arid Tropical Watershed. J. Arid Environ. 2024, 220, 105122. [Google Scholar] [CrossRef]
- Vivanco, E. Humedales y Turberas en Chile. Available online: https://obtienearchivo.bcn.cl/obtienearchivo?id=repositorio/10221/24257/2/Humedales_y_turberas_en_Chile_CMA_2017_FINAL.pdf (accessed on 24 March 2024).
- Convención de Ramsar y EHAA. Estrategia Regional para la Conservación y Uso Sostenible de Humedales Altoandinos; Gobiernos de Ecuador y Chile, CONDESAN y TNC-Chile. Available online: https://humedaleschile.mma.gob.cl/wp-content/uploads/2018/04/ERHAA_espanol.pdf (accessed on 24 March 2024).
- Pörtner, H.-O.; Roberts, D.C.; Adams, H.; Adelekan, I.; Adler, C.; Adrian, R.; Aldunce, P.; Ali, E.; Bednar-Friedl, B.; Begum, R.A.; et al. 2022: Technical Summary. In Climate Change 2022: Impacts, Adaptation, and Vulnerability. Contribution of Working Group II to the Sixth Assessment Report of the Intergovernmental Panel on Climate Change; Pörtner, H.-O., Roberts, D.C., Tignor, M., Poloczanska, E.S., Mintenbeck, K., Alegría, A., Craig, M., Langsdorf, S., Löschke, S., Möller, V., et al., Eds.; Cambridge University Press: Cambridge, UK; New York, NY, USA, 2022; pp. 37–118. [Google Scholar] [CrossRef]
- Salimi, S.; Almuktar, S.A.A.A.N.; Scholz, M. Impact of Climate Change on Wetland Ecosystems: A Critical Review of Experimental Wetlands. J. Environ. Manag. 2021, 286, 112160. [Google Scholar] [CrossRef] [PubMed]
- Araya-López, R.A.; Lopatin, J.; Fassnacht, F.E.; Hernández, H.J. Monitoring Andean High Altitude Wetlands in Central Chile with Seasonal Optical Data: A Comparison between Worldview-2 and Sentinel-2 Imagery. ISPRS J. Photogramm. Remote Sens. 2018, 145, 213–224. [Google Scholar] [CrossRef]
- Blin, N.; Hausner, M.; Leray, S.; Lowry, C.; Suárez, F. Potential Impacts of Climate Change on an Aquifer in the Arid Altiplano, Northern Chile: The Case of the Protected Wetlands of the Salar Del Huasco Basin. J. Hydrol. Reg. Stud. 2022, 39, 100996. [Google Scholar] [CrossRef]
- Chávez, R.O.; Christie, D.A.; Olea, M.; Anderson, T.G. A Multiscale Productivity Assessment of High Andean Peatlands across the Chilean Altiplano Using 31 Years of Landsat Imagery. Remote Sens. 2019, 11, 2955. [Google Scholar] [CrossRef]
- Garreaud, R.; Alvarez-Garreton, C.; Barichivich, J.; Boisier, J.P.; Christie, D.; Galleguillos, M.; LeQuesne, C.; McPhee, J.; Zambrano-Bigiarini, M. The 2010–2015 mega drought in Central Chile: Impacts on regional hydroclimate and vegetation. Hydrol. Earth Syst. Sci. Discuss. 2017, 21, 6307–6327. [Google Scholar] [CrossRef]
- Garreaud, R.D.; Boisier, J.P.; Rondanelli, R.; Montecinos, A.; Sepúlveda, H.H.; Veloso-Aguila, D. The Central Chile Mega Drought (2010–2018): A Climate Dynamics Perspective. Int. J. Climatol. 2019, 40, 421–439. [Google Scholar] [CrossRef]
- Comunidad Agrícola Estancia Estero Derecho. Plan de Manejo para la Conservación del Área Protegida Privada y Santuario de la Naturaleza Estero Derecho. 2017. Available online: https://www.esteroderecho.cl/PMC2017/PMC%20APP%20y%20SN%20Estero%20Derecho%2020170515.pdf (accessed on 3 April 2024).
- Souvignet, M.; Oyarzún, R.; Verbist, K.M.J.; Gaese, H.; Heinrich, J. Hydro-Meteorological Trends in Semi-Arid North-Central Chile (29–32°S): Water Resources Implications for a Fragile Andean Region. Hydrol. Sci. J. 2012, 57, 479–495. [Google Scholar] [CrossRef]
- Alvarez-Garreton, C.; Mendoza, P.A.; Boisier, J.P.; Addor, N.; Galleguillos, M.; Zambrano-Bigiarini, M.; Lara, A.; Puelma, C.; Cortes, G.; Garreaud, R.; et al. The CAMELS-CL Dataset: Catchment Attributes and Meteorology for Large Sample Studies—Chile Dataset. Hydrol. Earth Syst. Sci. 2018, 22, 5817–5846. [Google Scholar] [CrossRef]
- Barría, P.; Sandoval, I.B.; Guzman, C.; Chadwick, C.; Alvarez-Garreton, C.; Díaz-Vasconcellos, R.; Ocampo-Melgar, A.; Fuster, R. Water Allocation under Climate Change. Elem. Sci. Anthr. 2021, 9, 00131. [Google Scholar] [CrossRef]
- Merino, R.N.; Pino, C. Criósfera del río Cochiguaz y Cuenca Superior del río Claro o Derecho, Región de Coquimbo: Geomorfología Periglaciar e Inventario de Glaciares Rocosos; Servicio Nacional de Geología y Minería: Santiago, Chile, 2020; Informe Registrado IR-20-80; 85p.
- SERNAGEOMIN. Mapa Geológico de Chile: Versión Digital. Available online: https://tiendadigital.sernageomin.cl/es/geologia-basica/3273-mapa-geologico-de-chile-version-digital.html (accessed on 2 April 2024).
- Harvey, A. Alluvial Fans. In Reference Module in Earth Systems and Environmental Sciences; Elsevier: Amsterdam, The Netherlands, 2018; ISBN 978-0-12-409548-9. [Google Scholar] [CrossRef]
- Stock, J.D. Waters Divided: A History of Alluvial Fan Research and a View of Its Future. In Treatise on Geomorphology; Shroder, J.F., Ed.; Academic Press: San Diego, CA, USA, 2013; pp. 413–458. ISBN 978-0-08-088522-3. [Google Scholar] [CrossRef]
- EOS. NDVI FAQ: All You Need to Know About NDVI. 2024. Available online: https://eos.com/blog/ndvi-faq-all-you-need-to-know-about-ndvi/ (accessed on 9 April 2024).
- USGS. Landsat Normalized Difference Vegetation Index. 2024. Available online: https://www.usgs.gov/landsat-missions/landsat-normalized-difference-vegetation-index (accessed on 9 April 2024).
- EOS. NDMI: A Comprehensive Guide to NDMI Analysis. 2024. Available online: https://eos.com/make-an-analysis/ndmi/ (accessed on 11 April 2024).
- USGS. Landsat Normalized Difference Moisture Index. 2024. Available online: https://www.usgs.gov/landsat-missions/normalized-difference-moisture-index (accessed on 11 April 2024).
- Li, P.; Jiang, L.; Feng, Z. Cross-Comparison of Vegetation Indices Derived from Landsat-7 Enhanced Thematic Mapper Plus (ETM+) and Landsat-8 Operational Land Imager (OLI) Sensors. Remote Sens. 2013, 6, 310–329. [Google Scholar] [CrossRef]
- Roy, D.P.; Kovalskyy, V.; Zhang, H.K.; Vermote, E.F.; Yan, L.; Kumar, S.S.; Egorov, A. Characterization of Landsat-7 to Landsat-8 Reflective Wavelength and Normalized Difference Vegetation Index Continuity. Remote Sens. Environ. 2016, 185, 57–70. [Google Scholar] [CrossRef]
- Gavilán, V.; Lillo-Saavedra, M.; Holzapfel, E.; Rivera, D.; García-Pedrero, A. Seasonal Crop Water Balance Using Harmonized Landsat-8 and Sentinel-2 Time Series Data. Water 2019, 11, 2236. [Google Scholar] [CrossRef]
- Ghebrezgabher, M.G.; Yang, T.; Yang, X.; Sereke, T.E. Assessment of NDVI Variations in Responses to Climate Change in the Horn of Africa. Egypt. J. Remote Sens. Space Sci. 2020, 23, 249–261. [Google Scholar] [CrossRef]
- Klatetzki, T.; Schimank, U. Perspektiven der Gesellschaftstheorie: Sozialität, Kulturalität, Materialität; Springer: Berlin/Heidelberg, Germany, 2013. [Google Scholar] [CrossRef]
- Hove, M.; Van Hille, R.P.; Lewis, A.E. Mechanisms of Formation of Iron Precipitates from Ferrous Solutions at High and Low pH. Chem. Eng. Sci. 2008, 63, 1626–1635. [Google Scholar] [CrossRef]
- Peña-Guerrero, M.D.; Nauditt, A.; Muñoz-Robles, C.; Ribbe, L.; Meza, F. Drought Impacts on Water Quality and Potential Implications for Agricultural Production in the Maipo River Basin, Central Chile. Hydrol. Sci. J. 2020, 65, 1005–1021. [Google Scholar] [CrossRef]








| Code | Wetland | Area (ha) | Altitude (m.a.s.l) | Slope (%) |
|---|---|---|---|---|
| W01 | Bofedal 1 | 2.06 | 2751–2795 | 14 |
| W02 | Bofedal 2 | 2.76 | 2796–2823 | 10 |
| W03 | Los Corralitos | 10.57 | 2848–2884 | 5 |
| W04 | Los Toros | 6.94 | 2884–2921 | 8 |
| W05 | Bofedal 5 | 8.80 | 2923–2967 | 7 |
| W06 | Candelilla | 2.13 | 2956–2988 | 9 |
| W07 | El Chañar | 18.90 | 2984–3034 | 5 |
| W08 | Bofedal 8 | 5.21 | 3029–3057 | 6 |
| W09 | Piuquenes | 49.73 | 3050–3198 | 5 |
| W10 | Llareta | 20.68 | 3263–3314 | 3 |
| W11 | Bofedal 11 | 119.46 | 3329–3515 | 3 |
| W12 | Bofedal 12 | 116.40 | 3488–3659 | 5 |
| Variable | NDVI | NDMI | Strength of Correlation | ||
|---|---|---|---|---|---|
| Precipitation | ρ | p-value | ρ | p-value | |
| P (year n) | 0.28 | 0.128 | −0.138 | 0.436 | None |
| P (year n − 1) | 0.654 | 5.58 × 10−5 * | 0.637 | 9.66 × 10−5 * | Strong |
| P (year n − 2) | 0.471 | 7.05 × 10−3 * | 0.42 | 1.75 × 10−3 * | Medium |
| Temperature | r | p-value | r | p-value | |
| T (year n) | 0.28 | 0.128 | 0.074 | 0.691 | None |
| T (year n − 1) | −0.049 | 0.791 | −0.138 | 0.459 | None |
| T(year n − 2) | 0.135 | 0.468 | 0.168 | 0.364 | None |
| Parameter | NDVI | NDMI | ||||
|---|---|---|---|---|---|---|
| Coefficient | p-Value | Coefficient | p-Value | |||
| CE | −0.374 | 0.095 | −0.500 | 0.021 | * | |
| Ca | −0.072 | 0.756 | −0.429 | 0.052 | ||
| Cl | −0.403 | 0.035 | * | −0.470 | 0.032 | * |
| K | −0.036 | 0.877 | 0.009 | 0.969 | ||
| Mg | −0.167 | 0.468 | −0.457 | 0.037 | * | |
| Na | −0.449 | 0.041 | * | −0.541 | 0.011 | * |
| SO4 | 0.211 | 0.358 | −0.103 | 0.658 | ||
| Fe | 0.386 | 0.084 | 0.588 | 0.005 | * | |
Disclaimer/Publisher’s Note: The statements, opinions and data contained in all publications are solely those of the individual author(s) and contributor(s) and not of MDPI and/or the editor(s). MDPI and/or the editor(s) disclaim responsibility for any injury to people or property resulting from any ideas, methods, instructions or products referred to in the content. |
© 2024 by the authors. Licensee MDPI, Basel, Switzerland. This article is an open access article distributed under the terms and conditions of the Creative Commons Attribution (CC BY) license (https://creativecommons.org/licenses/by/4.0/).
Share and Cite
Duhalde, D.; Cortés, J.; Arumí, J.-L.; Boll, J.; Oyarzún, R. Exploring the Behavior of the High-Andean Wetlands in the Semi-Arid Zone of Chile: The Influence of Precipitation and Temperature Variability on Vegetation Cover and Water Quality. Water 2024, 16, 3682. https://doi.org/10.3390/w16243682
Duhalde D, Cortés J, Arumí J-L, Boll J, Oyarzún R. Exploring the Behavior of the High-Andean Wetlands in the Semi-Arid Zone of Chile: The Influence of Precipitation and Temperature Variability on Vegetation Cover and Water Quality. Water. 2024; 16(24):3682. https://doi.org/10.3390/w16243682
Chicago/Turabian StyleDuhalde, Denisse, Javiera Cortés, José-Luis Arumí, Jan Boll, and Ricardo Oyarzún. 2024. "Exploring the Behavior of the High-Andean Wetlands in the Semi-Arid Zone of Chile: The Influence of Precipitation and Temperature Variability on Vegetation Cover and Water Quality" Water 16, no. 24: 3682. https://doi.org/10.3390/w16243682
APA StyleDuhalde, D., Cortés, J., Arumí, J.-L., Boll, J., & Oyarzún, R. (2024). Exploring the Behavior of the High-Andean Wetlands in the Semi-Arid Zone of Chile: The Influence of Precipitation and Temperature Variability on Vegetation Cover and Water Quality. Water, 16(24), 3682. https://doi.org/10.3390/w16243682

