Design of a 3D Platform for the Evaluation of Water Quality in Urban Rivers Based on a Digital Twin Model
Abstract
1. Introduction
2. Overview of the Basin Region and Water Quality Data
2.1. Overview of the Basin Region
2.2. Water Quality Data
3. Platform Design
3.1. Overall Platform Architecture
3.2. Platform Operational Process
4. Platform Water Quality Model
4.1. Water Quality Prediction Model
4.2. Two-Dimensional Diffusion Model of Ordinary Kriging-Interpolation Pollutants
4.3. Three-Dimensional Pollutant Diffusion Simulation Model
5. Realization of 3D Urban River Water Quality Evaluation Platform
5.1. Real-Time Water Quality Monitoring Module
5.2. Water Pollution Early Warning Module
5.3. Water Quality Evaluation Module
5.4. Water Pollution Prevention and Control Module
5.5. Platform Application Features
6. Discussion
7. Conclusions
- (1)
- A virtual 3D city model can be established with the combination of digital twins, which can monitor the water quality of different watershed segments at any time, simulate the real river environment, improve the visual expression effect, and make a good platform model base plate.
- (2)
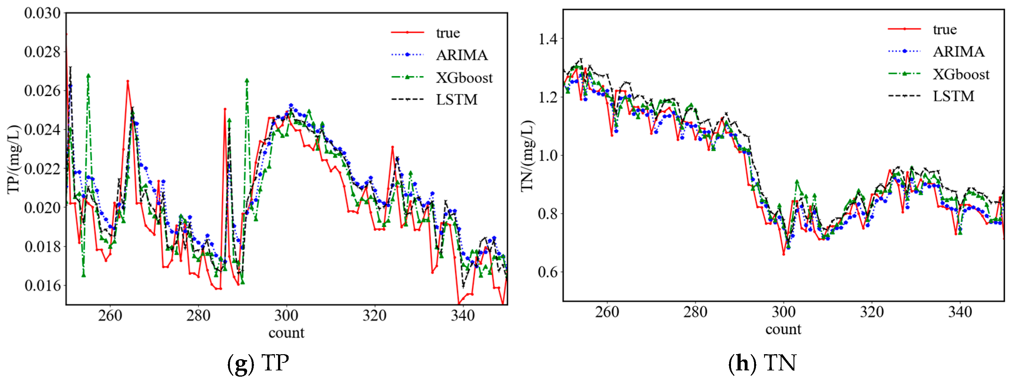
- One-dimensional algorithm water quality prediction was performed using an LSTM model. The RMSE, MSE, MAPE, and MAE of the model were as follows: 0.489, 0.240, 3.12%, and 0.329, respectively. Compared with ARIMA (XGBoost), the RMSE, MSE, MAPE, and MAE of the model decreased by 11.4% (18.3%), 15.1% (20.2%), 6.5% (9.3%), and 7.5% (9.6%), respectively.
- (3)
- The Kriging-interpolation model was used to draw a 2D water quality factor distribution map. The simulation results showed that the permanganate concentration in the upstream part of the basin was in the range of 4.45–6.44, classified as severe pollution, while downstream levels ranged from 3.68 to 4.44, reflecting a corresponding decrease in pollution.
- (4)
- Fluent software (2022) was used to simulate water pollution diffusion, simulate water pollution diffusion dynamically, intuitively visualize the changes in pollutants in the vertical direction of the river, and obtain the diffusion trajectory of pollutants flowing along the river.
- (5)
- We established a comprehensive management visual platform for display and analysis. Compared with traditional water quality assessment, this platform predicts and evaluates water quality based on virtual and real interaction, providing more convenient management for water conservancy management.
Author Contributions
Funding
Data Availability Statement
Conflicts of Interest
References
- Lin, K. The pollution and control strategy of solid waste on rivers from the perspective of urban river pollution control theory and ecological restoration technology. Renmin Yellow River 2023, 45, 167. [Google Scholar]
- Li, D. Research on Ecological Health of Urban River Landscape. Ph.D. Thesis, Sichuan Agricultural University, Ya’an, China, 2022. [Google Scholar]
- Tang, W.; Fu, X.; Wang, P.; Zhang, X.; He, Y.; Yuan, C. Construction and application of urban river water quality dynamic model based on SWMM and MIKE11. Northwest Hydropower 2023, 1, 6–12. [Google Scholar]
- Wang, J.; Gan, Z. Research on water pollution control and restoration technology of urban river. Leather Mak. Environ. Technol. 2022, 3, 102–105. [Google Scholar]
- Xiong, H. The effect of agricultural non–point Source Pollution of nitrogen and phosphorous on Lake Eutrophication. In IOP Conference Series: Earth and Environmental Science; IOP Publishing: Bristol, UK, 2017; Volume 64. [Google Scholar]
- da Silva, Y.J.A.B.; Cantalice, J.R.B.; do Nascimento, C.W.A.; Singh, V.P.; da Silva, Y.J.A.B.; Silva, C.M.C.A.C.; Guerra, S.M. Bedload as an indicator of heavy metal contamination in a Brazilian anthropized watershed. Catena 2017, 153, 106–113. [Google Scholar] [CrossRef]
- Prasad, M.; Aswal, R.S.; Joshi, A.; Kumar, G.A.; Ramola, R.C. A systematic study on occurrence, risk estimation and health implications of heavy metals in potable water from different sources of Garhwal Himalaya, Indian. Sci. Rep. 2022, 12, 20419. [Google Scholar] [CrossRef] [PubMed]
- Yuan, Z.; Li, Q.; Ma, X.; Han, M. Assessment of heavy metals contamination and water quality characterization in the Nanming River, Guizhou Province. Environ. Geochem. Health 2021, 43, 1273–1286. [Google Scholar] [CrossRef] [PubMed]
- Huang, F.; Wang, X.; Lou, L.; Zhou, Z.; Wu, J. Spatial variation and source apportionment of water pollution in Qiantang River (China) using statistical techniques. Water Res. 2010, 44, 1562–1572. [Google Scholar] [CrossRef] [PubMed]
- Sang, J.; Liu, Z.; Ding, X.; Yin, Y. Prediction model for pollution accidents trend in drinking water source areas: Enhancing water safety and comprehensive applications. Process Saf. Environ. Prot. 2024, 184, 12–24. [Google Scholar] [CrossRef]
- Ding, X.; Dong, X.; Hou, B.; Fan, G.; Zhang, X. Visual platform for water quality prediction and pre–warning of drinking water source area in the Three Gorges Reservoir Area. J. Clean. Prod. 2021, 309, 127398. [Google Scholar] [CrossRef]
- Qin, G.; Liu, J.; Xu, S.; Sun, Y. Pollution source apportionment and water quality risk evaluation of a drinking water reservoir during flood seasons. Int. J. Environ. Res. Public Health 2021, 18, 1873. [Google Scholar] [CrossRef] [PubMed]
- Huang, Z.; Feng, D.; Ma, Y.; Dai, Y.; Hu, X. Digital twin Taipu River flood control and water supply “four pre” business application design and implementation. Water Conserv. Inf. Technol. 2023, 4, 1–6. [Google Scholar]
- Hua, X.; Bai, T.; Li, L.; Zhao, Y.; Huang, Q. Impact of uncertainty of incoming water on the risk of water supply scheduling for inter-basin projects. J. Hydroelectr. Power 2019, 42, 21–31. [Google Scholar]
- Wang, J.; Wen, C.C.; Hua, G. A survey of digital twins for concepts, technologies and applications. Proc. CSC 2023, 21, 112–116+133. [Google Scholar]
- Xie, Y.; Yu, P. Internet of things big data empowering digital twin city construction technology. Digit. Commun. World 2023, 2, 77–79. [Google Scholar] [CrossRef]
- Liao, X.; Gao, Y.; Jin, S.; Yuan, L. Preliminary study on smart water conservancy construction scheme in Songliao Basin. China Flood Control Drought Relief 2022, 32, 40–43+53. [Google Scholar]
- Zhou, C.; Tang, H.; Li, Q.; Luo, B.; Feng, K. Technology and application of digital twin modeling platform for water conservancy business. Yangtze River 2022, 53, 203–208. [Google Scholar]
- Guo, Z.; Xu, X.; Sun, T.; Xie, K. Research on lake environmental protection integrating digital twin technology. Environ. Sci. Manag. 2022, 47, 57–61. [Google Scholar]
- Zhou, H.; Cheng, K.; Wang, S.; Bai, Y.; Mo, L. Construction and application of digital twin Qiantang River Basin. Yangtze River 2024, 55, 241–247. [Google Scholar]
- Zhang, W.; Liao, X.; Wang, K.; Yu, Y. Research and Application of Digital Twin Basin Rehearsal Scenario: A Case Study of the Mainstream of Nenjiang River. Water Resour. Informatiz. 2024, 1, 25–29. [Google Scholar]
- He, T.; Li, F.; Cheng, J.; Hu, M.; Zhao, J. Design and application of digital twin watershed model management cloud platform of the Ministry of Water Resources. Water Resour. Hydropower Eng. 2024, 55, 1–15. [Google Scholar]
- Liu, C.; Zhang, H.; Jing, Z.; Yang, X.; Zhang, L. Research on 3D water quality deduction and simulation method for digital twin scene. J. Yangtze River Res. Inst. 2024, 8, 1–8. [Google Scholar]
- Jing, Z.; Qing, H.; Li, L.; Huang, X.; Zhang, Y. Development and application of digital twin platform for water quality safety in Danjiangkou project. Water Conserv. Informatiz. 2024, 1, 6–12+18. [Google Scholar]
- Rao, X.; Ma, R.; Zhang, L.; Liu, R. Research and design of digital twin-driven smart watershed platform. Water Resour. Hydropower Express 2022, 43, 117–123. [Google Scholar]
- Park, D.; You, H. A digital twin dam and watershed management platform. Water 2023, 15, 2106. [Google Scholar] [CrossRef]
- Yan, W.; Li, J.; Bai, X. Comprehensive assessment and visualized monitoring of urban drinking water quality. Chemom. Intell. Lab. Syst. 2016, 155, 26–35. [Google Scholar] [CrossRef]
- Jeong, J.-S.; Lee, H.S. Unstructured grid-based river–coastal ocean circulation modeling towards a digital twin of the Seto Inland Sea. Appl. Sci. 2023, 13, 8143. [Google Scholar] [CrossRef]
- Lu, S.; Li, J.; Si, J.; Miao, Y.; Qi, X.; Zhang, X.; Bao, W.; Zhang, X.; Zhou, S.; Jin, C.; et al. Evaluation and Prediction of Water Quality of Typical Wetlands in the Source Region of the Yangtze River. Water 2023, 15, 1612. [Google Scholar] [CrossRef]
- Jiang, Y.; Gui, H.; Yu, H.; Wang, M.; Fang, H.; Wang, C.; Chen, C.; Zhang, Y.; Huang, Y. Hydrochemical Characteristics and Water Quality Evaluation of Rivers in Different Regions of Cities: A Case Study of Suzhou City in Northern Anhui Province, China. Water 2020, 12, 950. [Google Scholar] [CrossRef]
- Qi, Y.; Li, C.; Zhang, K.; Sumita Li, J.; He, Z.; Cao, X.; Yan, A. Evaluation of Water Quality and Pollution Source Analysis of Meihu Reservoir. Water 2024, 16, 2493. [Google Scholar] [CrossRef]
- Liu, M.; Guan, X.; Meng, Y.; Yan, D. Ecological compensation mechanism under the double control of water quality and quantity in the Bai River Basin. J. Hydrol. 2023, 626, 130324. [Google Scholar] [CrossRef]
- Xu, J.; Ran, Z.; Liu, H.; Guan, X.; Meng, Y. Water quality evaluation and spatial variation analysis in Nanyang Baihe River Basin. China Rural. Water Resour. Hydropower 2021, 12, 66–71. [Google Scholar]
- Chen, X.; Wang, Y.; Jiang, L.; Huang, X.; Huang, D.; Dai, W.; Cai, Z.; Wang, D. Water quality status response to multiple anthropogenic activities in urban river. Environ. Sci. Pollut. Res. 2023, 30, 3440–3452. [Google Scholar] [CrossRef] [PubMed]
- Tian, Y.; Wu, Q.; Zhang, Y. A convolutional long short-term memory neural network based prediction model. Int. J. Comput. Commun. Control. 2020, 15. [Google Scholar] [CrossRef]
- Wang, B.Q.; Jin, C.X.; Zhou, R.; Sheng, D.; Jiang, Z.Q. Water quality prediction of Xili Reservoir based on long and short term memory network. J. Yangtze River Res. Inst. 2023, 40, 64–70. [Google Scholar]
- Wang, J.; Gao, Z.; Zhu, Y. Prediction of Yellow River water quality based on CNN-LSTM model. Yellow River People 2021, 43, 96–99+109. [Google Scholar]
- Li, Y.L.; Zhang, L.; Li, L. Water quality prediction of the southern source of Qiantang River based on GCN-LSTM. Yellow River People 2023, 45, 83–87+95. [Google Scholar]
- Hu, Q.; Li, Z.; Wang, L.; Huang, Y.; Wang, Y.; Li, L. Rainfall spatial estimations: A review from spatial interpolation to multi source data merging. Water 2019, 11, 579. [Google Scholar] [CrossRef]
- Ma, J.; Ding, Y.; Cheng, J.C.; Jiang, F.; Wan, Z. A temporal-spatial interpolation and extrapolation method based on geographic Long Short-Term Memory neural network for PM2.5. J. Clean. Prod. 2019, 237, 117729. [Google Scholar] [CrossRef]
- Glekas, I.P. Application of a three dimensional model for the prediction of pollutant dispersion in Cyprus coastal waters. Water Sci. Technol. 1995, 32, 179–187. [Google Scholar] [CrossRef]














| Time | Temp | PH | DO | EC | CODMn | NH3 | TP | TN |
|---|---|---|---|---|---|---|---|---|
| 7 December 2022 8:00 | 9.05 | 8.1482 | 11.51158 | 357.4706 | 2.39582 | 0.0352 | 0.02309 | 1.37953 |
| 7 December 2022 12:00 | 9.61 | 8.19415 | 11.74247 | 358.3208 | 2.49771 | 0.03295 | 0.02362 | 1.17825 |
| 7 December 2022 16:00 | 9.55 | 8.23013 | 11.97614 | 357.8636 | 2.35271 | 0.03677 | 0.02208 | 1.21716 |
| 7 December 2022 20:00 | 9.54 | 8.194 | 11.91526 | 359.0518 | 2.3292 | 0.0356 | 0.02134 | 1.26315 |
| 8 December 2022 8:00 | 9.25 | 8.14515 | 11.53645 | 356.0063 | 2.52123 | 0.03437 | 0.02348 | 1.53841 |
| 8 December 20228 12:00 | 10 | 8.11626 | 11.16739 | 361.1989 | 2.46244 | 0.03373 | 0.02235 | 1.37325 |
| 8 December 2022 16:00 | 9.8 | 8.26116 | 12.08803 | 354.9365 | 2.44677 | 0.03373 | 0.02277 | 1.40999 |
| 8 December 2022 20:00 | 9.79 | 8.2273 | 11.92833 | 356.219 | 2.53298 | 0.03379 | 0.02235 | 1.39107 |
| 12 February 2023 8:00 | 6.72 | 8.13932 | 11.79802 | 418.2695 | 1.691 | 0.0319 | 0.01843 | 2.334 |
| 12 February 2023 12:00 | 6.79 | 8.14851 | 11.8406 | 399.6593 | 1.4485 | 0.03417 | 0.01839 | 2.30907 |
| 12 February 2023 16:00 | 6.85 | 8.16152 | 11.9227 | 401.4006 | 1.38592 | 0.03219 | 0.01888 | 2.43125 |
| 12 February 2023 20:00 | 6.8 | 8.09967 | 11.61483 | 420.7609 | 1.5189 | 0.03191 | 0.01897 | 2.4031 |
| 13 February 2023 8:00 | 6.48 | 8.06394 | 11.39673 | 428.839 | 1.55411 | 0.04849 | 0.01995 | 2.37227 |
| 13 February 2023 12:00 | 6.51 | 8.13733 | 11.77478 | 418.4093 | 1.35463 | 0.05189 | 0.01999 | 2.54319 |
| 13 February 2023 20:00 | 6.69 | 8.11243 | 11.74804 | 419.7077 | 1.2412 | 0.04613 | 0.0193 | 2.39942 |
| 14 February 2023 0:00 | 6.6 | 8.13127 | 11.8292 | 400.1544 | 1.21773 | 0.04704 | 0.01904 | 2.34001 |
| Parameter | RMSE | MSE | MAPE | MAE |
|---|---|---|---|---|
| LSTM | 0.489 | 0.240 | 3.12% | 0.329 |
| ARIMA | 0.552 | 0.283 | 3.34% | 0.356 |
| XGboost | 0.599 | 0.301 | 3.44% | 0.364 |
Disclaimer/Publisher’s Note: The statements, opinions and data contained in all publications are solely those of the individual author(s) and contributor(s) and not of MDPI and/or the editor(s). MDPI and/or the editor(s) disclaim responsibility for any injury to people or property resulting from any ideas, methods, instructions or products referred to in the content. |
© 2024 by the authors. Licensee MDPI, Basel, Switzerland. This article is an open access article distributed under the terms and conditions of the Creative Commons Attribution (CC BY) license (https://creativecommons.org/licenses/by/4.0/).
Share and Cite
Xu, Y.; Hui, M.; Qu, H. Design of a 3D Platform for the Evaluation of Water Quality in Urban Rivers Based on a Digital Twin Model. Water 2024, 16, 3668. https://doi.org/10.3390/w16243668
Xu Y, Hui M, Qu H. Design of a 3D Platform for the Evaluation of Water Quality in Urban Rivers Based on a Digital Twin Model. Water. 2024; 16(24):3668. https://doi.org/10.3390/w16243668
Chicago/Turabian StyleXu, Yanan, Ming Hui, and Haozhe Qu. 2024. "Design of a 3D Platform for the Evaluation of Water Quality in Urban Rivers Based on a Digital Twin Model" Water 16, no. 24: 3668. https://doi.org/10.3390/w16243668
APA StyleXu, Y., Hui, M., & Qu, H. (2024). Design of a 3D Platform for the Evaluation of Water Quality in Urban Rivers Based on a Digital Twin Model. Water, 16(24), 3668. https://doi.org/10.3390/w16243668
